Composite functions
f(x) = x 2   x x 2 2 4 7 49 g(x) = x + 1 2 3
f(g(x)) f(x) = x 2 g(x) (g(x)) 2 x g(x) = x + 1 x x+1 (x+1) 2
 
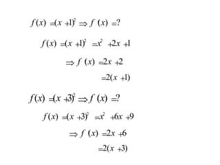
f x x f x ( ) ( ) ( ) ? = + Þ ¢ = 1 2 f x x x x ( ) ( ) = + = + + 1 2 1 2 2 Þ ¢ = + f x x ( ) 2 2 f x x f x ( ) ( ) ( ) ? = + Þ ¢ = 3 2 f x x x x ( ) ( ) = + = + + 3 6 9 2 2 Þ ¢ = + f x x ( ) 2 6 = + 2 1 ( ) x = + 2 3 ( ) x
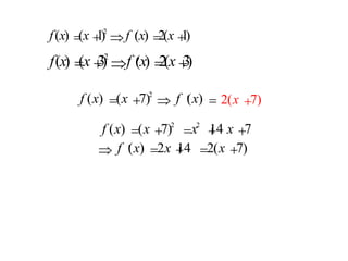
f x x f x x ( ) ( ) ( ) ( ) = + Þ ¢ = + 1 2 1 2 f x x f x ( ) ( ) ( ) = + Þ ¢ = 7 2 f x x f x x ( ) ( ) ( ) ( ) = + Þ ¢ = + 3 2 3 2 2 7 ( ) x + f x x x x f x x x ( ) ( ) ( ) ( ) = + = + + Þ ¢ = + = + 7 14 7 2 14 2 7 2 2
f x x f x ( ) ( ) ( ) = + Þ ¢ = 2 3 2 2 2 3 ( ) x + 2 5 2 ( ) x + f x x x x x x f x x x ( ) ( ) ( )( ) ( ) ( ) = + = + + = + + Þ ¢ = + = + 2 3 2 3 2 3 4 12 9 8 12 4 2 3 2 2 Oops f x x x x f x x x ( ) ( ) ( ) ( ) = + = + + Þ ¢ = + = + 5 2 25 20 4 50 40 10 5 2 2 2 Oops again = + 2 2 2 3 . ( ) x = + 5 2 5 2 . ( ) x f x x f x ( ) ( ) ( ) = + Þ ¢ = 5 2 2
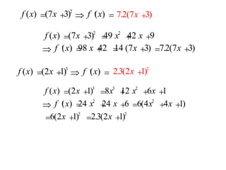
f x x f x ( ) ( ) ( ) = + Þ ¢ = 7 3 2 7 2 7 3 . ( ) x + f x x x x f x x x x ( ) ( ) ( ) ( ) . ( ) = + = + + Þ ¢ = + = + = + 7 3 49 42 9 98 42 14 7 3 7 2 7 3 2 2 f x x f x ( ) ( ) ( ) = + Þ ¢ = 2 1 3 2 3 2 1 2 . ( ) x + f x x x x x f x x x x x x x ( ) ( ) ( ) ( ) ( ) . ( ) = + = + + + Þ ¢ = + + = + + = + = + 2 1 8 12 6 1 24 24 6 6 4 4 1 6 2 1 2 3 2 1 3 3 2 2 2 2 2
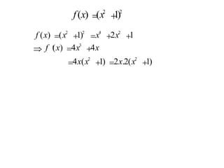
f x x ( ) ( ) = + 2 2 1 f x x x x f x x x ( ) ( ) ( ) = + = + + Þ ¢ = + 2 2 4 2 3 1 2 1 4 4 = + = + 4 1 2 2 1 2 2 x x x x ( ) . ( )
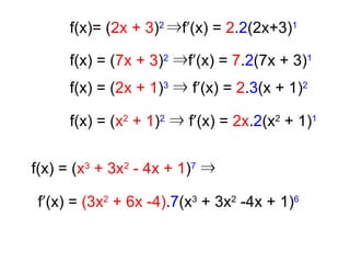
f(x)= ( 2x + 3 ) 2   ⇒fʹ(x) =  2 . 2 (2x+3) 1 f(x) = ( 7x + 3 ) 2  ⇒fʹ(x) =  7 . 2 (7x + 3) 1 f(x) = ( 2x + 1 ) 3  ⇒ fʹ(x) =  2 . 3 (x + 1) 2 f(x) = ( x 2  + 1 ) 2  ⇒ fʹ(x) =  2x . 2 (x 2  + 1) 1 f(x) = ( x 3  + 3x 2  - 4x + 1 ) 7  ⇒  fʹ(x) =  (3x 2  + 6x -4) . 7 (x 3  + 3x 2  -4x + 1) 6
 

Compfuncdiff

  • 1.
  • 2.
    f(x) = x2 x x 2 2 4 7 49 g(x) = x + 1 2 3
  • 3.
    f(g(x)) f(x) =x 2 g(x) (g(x)) 2 x g(x) = x + 1 x x+1 (x+1) 2
  • 4.
  • 5.
    f x xf x ( ) ( ) ( ) ? = + Þ ¢ = 1 2 f x x x x ( ) ( ) = + = + + 1 2 1 2 2 Þ ¢ = + f x x ( ) 2 2 f x x f x ( ) ( ) ( ) ? = + Þ ¢ = 3 2 f x x x x ( ) ( ) = + = + + 3 6 9 2 2 Þ ¢ = + f x x ( ) 2 6 = + 2 1 ( ) x = + 2 3 ( ) x
  • 6.
    f x xf x x ( ) ( ) ( ) ( ) = + Þ ¢ = + 1 2 1 2 f x x f x ( ) ( ) ( ) = + Þ ¢ = 7 2 f x x f x x ( ) ( ) ( ) ( ) = + Þ ¢ = + 3 2 3 2 2 7 ( ) x + f x x x x f x x x ( ) ( ) ( ) ( ) = + = + + Þ ¢ = + = + 7 14 7 2 14 2 7 2 2
  • 7.
    f x xf x ( ) ( ) ( ) = + Þ ¢ = 2 3 2 2 2 3 ( ) x + 2 5 2 ( ) x + f x x x x x x f x x x ( ) ( ) ( )( ) ( ) ( ) = + = + + = + + Þ ¢ = + = + 2 3 2 3 2 3 4 12 9 8 12 4 2 3 2 2 Oops f x x x x f x x x ( ) ( ) ( ) ( ) = + = + + Þ ¢ = + = + 5 2 25 20 4 50 40 10 5 2 2 2 Oops again = + 2 2 2 3 . ( ) x = + 5 2 5 2 . ( ) x f x x f x ( ) ( ) ( ) = + Þ ¢ = 5 2 2
  • 8.
    f x xf x ( ) ( ) ( ) = + Þ ¢ = 7 3 2 7 2 7 3 . ( ) x + f x x x x f x x x x ( ) ( ) ( ) ( ) . ( ) = + = + + Þ ¢ = + = + = + 7 3 49 42 9 98 42 14 7 3 7 2 7 3 2 2 f x x f x ( ) ( ) ( ) = + Þ ¢ = 2 1 3 2 3 2 1 2 . ( ) x + f x x x x x f x x x x x x x ( ) ( ) ( ) ( ) ( ) . ( ) = + = + + + Þ ¢ = + + = + + = + = + 2 1 8 12 6 1 24 24 6 6 4 4 1 6 2 1 2 3 2 1 3 3 2 2 2 2 2
  • 9.
    f x x( ) ( ) = + 2 2 1 f x x x x f x x x ( ) ( ) ( ) = + = + + Þ ¢ = + 2 2 4 2 3 1 2 1 4 4 = + = + 4 1 2 2 1 2 2 x x x x ( ) . ( )
  • 10.
    f(x)= ( 2x+ 3 ) 2 ⇒fʹ(x) = 2 . 2 (2x+3) 1 f(x) = ( 7x + 3 ) 2 ⇒fʹ(x) = 7 . 2 (7x + 3) 1 f(x) = ( 2x + 1 ) 3 ⇒ fʹ(x) = 2 . 3 (x + 1) 2 f(x) = ( x 2 + 1 ) 2 ⇒ fʹ(x) = 2x . 2 (x 2 + 1) 1 f(x) = ( x 3 + 3x 2 - 4x + 1 ) 7 ⇒ fʹ(x) = (3x 2 + 6x -4) . 7 (x 3 + 3x 2 -4x + 1) 6
  • 11.