Embed presentation
Downloaded 236 times







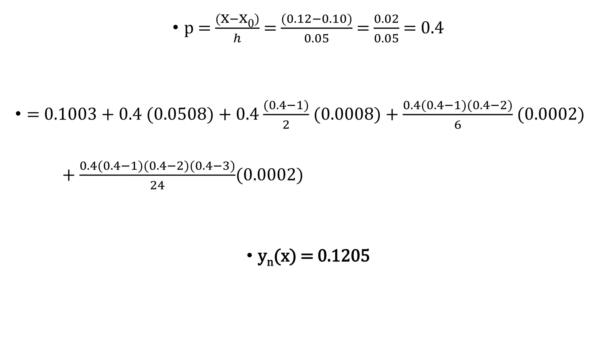
This document provides Newton's formula for forward difference interpolation and an example of using it to find the value of tan(0.12). - Newton's formula uses forward difference interpolation to find the value of a polynomial of degree n that fits a set of (n+1) equally spaced (x,y) points. - The coefficients of the polynomial are determined using forward differences of the y-values. - In the example, the value of tan(0.12) is found by applying Newton's formula to a table of tan(x) values from 0.10 to 0.30 using forward differences up to degree 4.






