Embed presentation
Downloaded 39 times
















































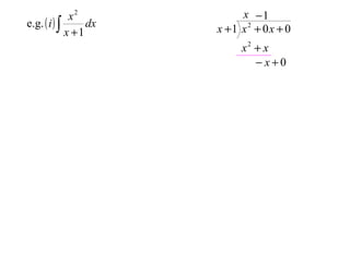
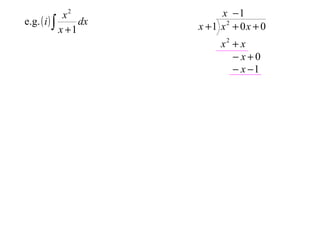
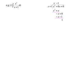
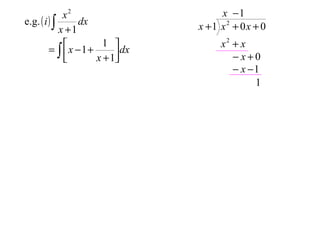
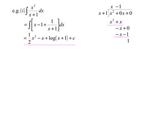
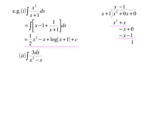
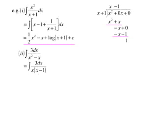
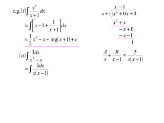
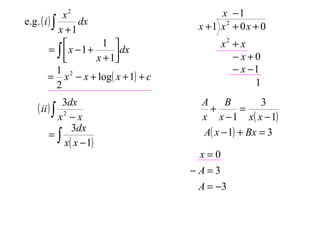
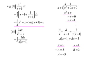
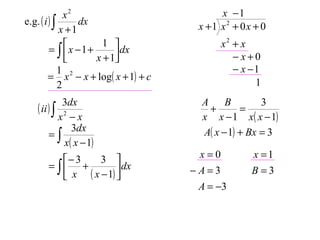
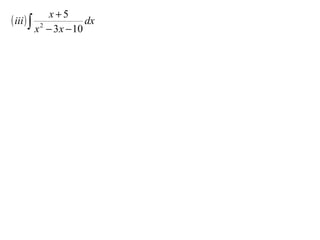
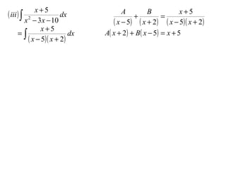
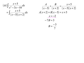
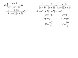
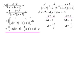
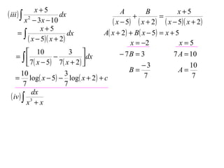
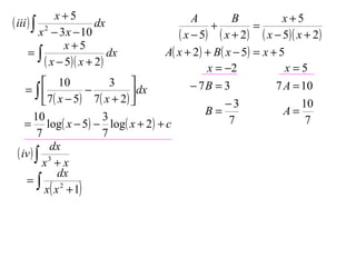
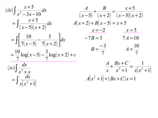
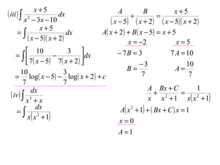
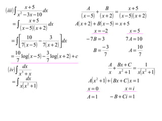
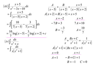
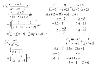
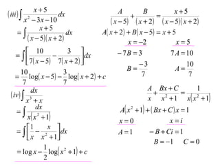
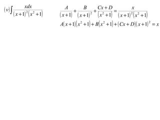
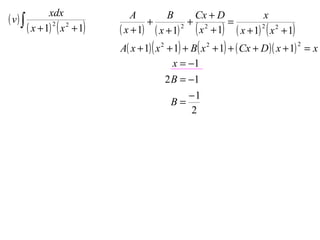
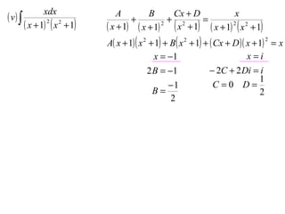
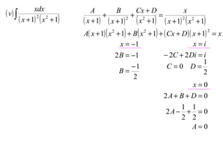
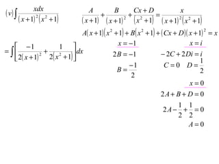
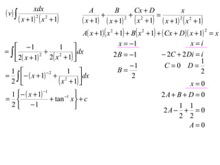
The document describes the process of integration by partial fractions. It explains that when the degree of the numerator is greater than or equal to the denominator, division is performed. Otherwise, the denominator is factored. For each linear factor, the numerator is written as a sum of terms divided by that factor. For multiple linear factors, the numerator is written as a sum of terms divided by powers of that factor. Examples are provided to demonstrate these steps.















































