1 
VALIDATION OF 
WATER SUPPLY SYSTEM 
MALIBA PHARMACY COLLEGE.
CONTENTS 
2 
 Objectives 
 Introduction 
 Validation & System Qualification 
 Monitoring 
 Maintenance 
 Revalidation & Change control 
 Validation documentation 
 Summary
OBJECTIVE 
3 
To understand: 
1. The need for water quality manual 
2. reason for usage of pharmaceutical water 
supply systems. 
3. The technical requirements for water supply 
systems. 
4. Different types of water supply systems. 
5. Validation requirements. 
6. Qualification & inspection requirement
INTRODUCTION 
4 
High-quality water is essential for the manufacturing of 
pharmaceuticals. Water is the most commonly used raw 
material in pharmaceutical manufacturing. 
water is directly or indirectly used in the pharmaceutical 
manufacturing such as a major component in injectable 
products and in cleaning of manufacturing equipment. 
It is one of the raw material that is usually processed by the 
pharmaceutical manufacturer prior to use because it cannot be 
supplied by the vendor. 
Water is thus an important raw material in GMP and in 
validating the manufacturing process.
INTRODUCTION 
5 
Why purification? 
o Although tap water is reasonably pure, it is 
always variable due to seasonal variations, 
regional variation in quality. 
o One must remove impurities and control microbes 
to avoid contamination of products. 
o Pretreatment depends on quality of feed water.
INTRODUCTION 
6 
Quality of water should be specific for product 
quality. 
Water contains, 
 Organic and inorganic impurities 
 Microbial contamination 
 Endotoxin 
 Particulate contamination 
Low quality of water can lead to 
 product degradation 
 product contamination 
 loss of product and profit
TYPES OF WATER 
7 
Different grades of Water for Pharmaceutical 
Purposes-each 
type has its on characteristic for all parameters. 
Potable water 
Purified water 
Water for injection(WFI) 
Sterile water for injection, inhalation, irrigation 
Sterile bacteriostatic water for injection
8
9
DIFFERENT TECHNIQUES USED FOR 
WATER TREATMENT 
10 
De-chlorination (Sodium Bisulphite, 
Carbon Filter) 
Filtration 
Ultra Filtration 
Softening 
Demineralization 
Reverse Osmosis 
UV Treatment 
Deionization 
Ozonization
DIFFERENT EQUIPMENTS AND 
COMPONENTS FOR WATER SYSTEM 
11 
Piping 
Valves 
Pumps 
Pressure gauges 
Heat exchangers 
Distillation unit 
Filters 
Deionizers 
Sensors 
Auxiliary equipment
WATER STORAGE AND 
DISTRIBUTION – CONSIDERATIONS 
12 
Materials of Construction (Chemical and Heat 
Compatibility) 
Stainless Steel (316 or 316L) 
Teflon, Silicone, Viton (gaskets, diaphragms) 
Minimize Dead Legs (<= 2 pipe diameters) 
Smooth Surfaces (Mechanical Polish , Electropolish) 
Clean joints (sanitary Tri®Clamp, automatic orbital 
welding) 
 Passivate interior surfaces to form barrier between 
water and free iron (0.5 to 1% alkali at 160ºF for 30 
minutes followed by 1% Phosphoric Acid or Nitric Acid 
at 150ºF to 180º F for 10 minutes.)
Conti…. 
13 
Design of the following should be appropriate to 
prevent recontamination after treatment- 
Vent filter 
Sanitary overflow 
Tank UV light 
Conical Bottom 
Steam sterilization 
Combination of on-line (TOC, Conductivity meter etc.) 
and off-line monitoring (lab testing by proper sampling) 
to ensure compliance with water specification
VALIDATION CONCEPT 
14 
To prove the performance of processes or systems under 
all conditions expected to be encountered during future 
operations. 
To prove the performance, one must demonstrate 
(document) that the processes or systems consistently 
produce the specified qquuaannttiittyy aanndd qquuaalliittyy of water when 
operated and maintained according to specific written 
operating and maintenance procedures. 
validation involves proving- 
1. Engineering design 
2.Operating procedures and acceptable ranges for control 
parameters 
3. Maintenance procedures to accomplish it
Conti.. 
15 
the system must be carefully, 
-designed 
-installed 
-tested during processing, after construction, and 
under all operating conditions. 
Variations in daily, weekly and annual system 
usage patterns must be validated.
WHY VALIDATION OF WATER 
SYSTEM? 
16 
Most widely used and sometimes most expensive 
ingredient 
Drug component even if not in product 
Generally reviewed in depth by Regulators 
Many recalls water related 
Always considered direct impact system 
To ensure reliable, consistent production of water of 
required quality 
To operate system within design capacity 
To prevent unacceptable microbial, chemical and 
physical contamination during production, storage 
and distribution 
To monitor system performance, storage and 
distribution systems
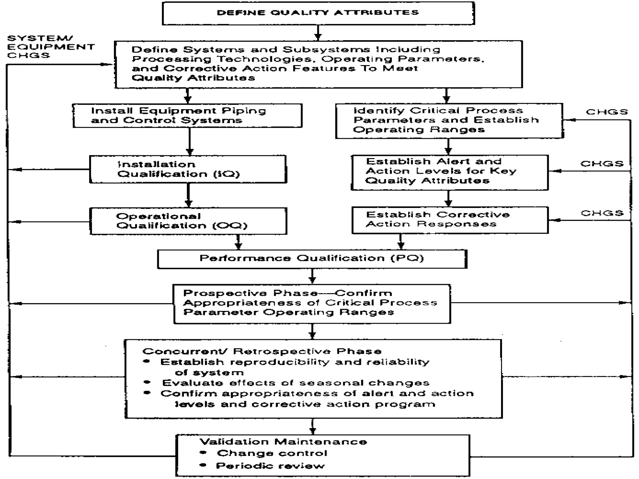
VALIDATION CYCLE: 
17 
It includes four major steps- 
Determination of Quality Attributes 
The Validation Protocol 
Steps of Validation 
Control during routine operation
DETERMINATION OF QUALITY ATTRIBUTES 
18 
The quality attributes, is gaining a clear 
understanding of the required quality of water and 
its intended use 
Should be determined before starting the 
validation. 
 Without defining required quality attributes, we 
cannot establish validation protocols.
THE VALIDATION PROTOCOL 
19 
A written plan stating how validation will be 
ccoonndduucctteedd and defining aacccceeppttaannccee ccrriitteerriiaa for 
quality. 
For example, the protocol for a manufacturing 
process-it 
identifies -process equipment 
-critical process parameters 
-product characteristics, 
-sampling, 
-test data to be collected, 
-number of validation runs 
-acceptable test results
STEPS OF VALIDATION 
20 
Establishing standards for quality attributes 
Defining system and subsystem 
Designing equipment, control, & monitoring 
technologies 
Establishing standards for operating parameters 
Developing an IQ stage & OQ stage 
Establishing alert and action levels 
Developing a prospective PQ stage 
Completing protocols and documenting each 
steps
Conti… 
21
ALERT AND ACTION LEVELS: 
22 
Alert and action levels are distinct from process 
parameters and product specifications. 
They are used for monitoring and control rather than 
accept or reject decisions. 
The levels should be determined based on the statistical 
analysis of the data obtained by monitoring at the PQ 
step. 
Alert levels are levels or ranges that when exceeded 
indicate that a process may have drifted from its normal 
operation condition. 
 Alert levels indicate a warning and do not necessarily 
require a corrective action. Exceeding an action level 
indicates that corrective action should be taken to bring 
the process back into its normal operating range.
SYSTEM QUALIFICATION 
23 
Validation Master Plan 
User Requirement Specification 
Design Qualification 
Installation Qualification 
Operation Qualification 
Performance Qualification 
Re- Qualification.
DESIGN QUALIFICATION OF WATER SYSTEM 
24 
Based on the URS, supplier designs the equipment. 
 This is 1st step in the qualification of new water supply 
systems. 
 Define process schematically by use of PFD and P&IDs. 
 It is documented the design of the system & will include : 
-Functional Specification.(Storage, purification, etc) 
-Technical/Performance specification for equipment. 
(requirements of water volume and flow, define pumps and 
pipe sizes ) 
-Detailed layout of the system. 
Design must be in compliance with GMPs and other regulatory 
requirements.
INSTALLATION QUALIFICATION 
25 
IQ is in the form of checklist and it should include- 
 Instrumentation checked against current engineering 
drawings and specifications 
 Review of P&ID 
 Verification of materials of construction 
 Installation of equipment with piping 
 Calibration of measuring instruments 
 Collection and collation of supplier operating and 
working instructions and maintenance requirements
Conti… 
26 
Installation of system as per Design requirements. 
Installation Verification- 
Systematic range of adjustments, measurements 
and tests should be carried out to ensure proper 
installation. 
Documentation include details of completed 
installation.
27 
Conti… 
• IQ Document should contain, 
Instrument name, model, I.D. No., Personnel 
responsible for activities and Date. 
A fully verified installation that complies with the 
documented design. (all deviations will have been 
recorded and assessed.) 
 All equipment documentation and maintenance 
requirements would be documented. 
 Completed calibration of measuring 
instruments. 
 Verification of Materials of construction.
OPERATION QUALIFICATION 
28 
Definition : The purpose of OQ is to establish, through 
documented testing, that all critical components are 
capable of operating within established limits and 
tolerances. 
 it is the functional testing of system components 
mainly the critical components. 
The purpose of OQ is also to verify and document that 
the water supply system provides acceptable operational 
control under “at-rest” conditions.
29 
Conti… 
Operation Qualification Checks- 
Ability to provide water of sufficient quality and 
quantity to ensure achievement of specifications. 
Ability to maintain general parameters like 
temperature, pressure, flow at set points. 
Ability to maintain any critical parameters(pH, 
TOC, endotoxin, microbial level, conductivity etc ).
30 
Conti… 
Includes the tests that have been developed from 
knowledge of processes, systems and equipment. 
Tests include a condition or a set of conditions with 
upper and lower operating limits, sometimes referred 
to as ‘worst case’ conditions.
31 
PERFORMANCE QUALIFICATION 
The purpose of PQ is to verify and document that 
water supply system provides acceptable control 
under ‘ Full Operational ‘ conditions. 
PQ should follow successful completion of IQ 
and OQ. 
PQ verifies that over time, the critical 
parameters, as defined in the DQ are being 
achieved.
32 
Conti… 
According to the FDA’s advice: 
“The observed variability of the equipment 
between and within runs can be used as a basis 
for determining the total number of trials 
selected for the subsequent PQ studies of the 
process.”
33 
Conti… 
PQ is used to demonstrate consistent achievement of 
critical parameters over time. 
(such as pH, TOC, conductivity) 
PQ and OQ tests are sometimes performed in 
conjunction with one another.
QUALIFICATION PHASES 
34 
Three phase approach recommended according to 
WHO Technical Report Series 929 to prove 
reliability and robustness. 
Phase 1 (investigational phase): 
A test period of 2-4 weeks – monitor the system 
System to operate continuously without failure or 
performance deviation 
Chemical and microbiological testing should 
include in accordance with a defined plan
Conti… 
35 
Sample daily from- 
incoming feed-water 
after each step in the purification process 
each point of use and at other defined sample 
points 
Develop: 
appropriate operating ranges 
and finalize operating, cleaning, sanitizing 
and maintenance procedures
Conti… 
36 
Demonstrate production and delivery of water of 
the required quality and quantity 
Use and define the standard operating procedures 
(SOPs) for operation, maintenance, sanitization 
and troubleshooting 
Verify provisional alert and action levels 
Develop and define test-failure procedure
37 
Phase 2(verification step) 
A further test period of 2-4 weeks – further intensive 
monitoring of the system 
Utilization of all the SOPs after the satisfactory 
completion of phase 1 
Sampling scheme generally the same as in phase 1 
Water can be used for manufacturing purposes during 
this phase
Conti.. 
38 
Phase-2 demonstrates: 
Consistent operation within established ranges. so 
it demostrate that the system is in control. 
Consistent production and delivery of water of the 
required quantity and quality when the system is 
operated in accordance with the SOPs.
39 
Phase 3 
Over 1 year after the satisfactory completion of 
phase 2 
Water can be used for manufacturing purposes 
during this phase 
Demonstrate: 
extended reliable performance 
that seasonal variations are evaluated 
Sample locations, sampling frequencies and tests 
should be reduced to the normal routine pattern 
based on established procedures proven during 
phases 1 and 2
MONITORING 
40 
 Monitoring and feed back data are important in maintaining 
the performance systems. Monitoring parameters include: 
Flow, pressure, temperature, conductivity, TOC 
 Samples taken: 
From points of use, and specific sample points 
In a similar way how water is used in service 
 Tests should include physical, chemical and microbial 
attributes 
 For example, stable state can be achieved by applying 
automatic continuous monitoring of TOC and conductivity of 
the water system. They are the major quality attributes of 
water by which organic and inorganic impurities can be 
determined.
MAINTENANCE 
41 
A controlled, documented maintenance covering : 
 Defined frequency with plan and instructions 
 Calibration programme 
 SOPs for tasks 
 Control of approved spares 
 Record and review of problems and faults during 
maintenance
MAINTENANCE 
System sanitization and bioburden control 
Systems in place to control proliferation of microbes 
Techniques for sanitizing or sterilization 
Consideration already during design stage – then 
validated 
Special precautions if water not kept in the range of 
70 to 80 degrees Celsius
REVALIDATION & CHANGE CONTROL 
43 
Once the validation is completed, the standard operating 
procedures (SOPs) are formalized. 
Routine operation should be performed according to the 
established SOP. 
If any deviation from SOP observed, determine the change 
and their impact on whole system 
Revalidation and evaluation should be performed 
depending upon the impact of the change on system.
VALIDATION REPORT 
44 
Written at the conclusion of the equipment IQ, OQ 
and at completion of process validation. 
Will serve as primary documentation for FDA 
regulatory inspection 
Will serve as reference document when changes to 
the system are occurred and revalidation is needed.
VALIDATION REPORT 
45 
STANDARD FORMAT 
1. Executive summary 
2. Discussion 
3. Conclusions & recommendation 
4. List of attachment 
 Topic should be presented in the order in which they 
appear in the protocol. 
 Protocol deviation are fully explained & justified. 
 The report is signed & dated by designated representatives 
of each unit involved in water system validation.
46 
Complete Documentation 
Verification of design documentation, including 
◦ Description of installation and functions 
◦ Specification of the requirements 
Instructions for performance control 
Operating procedures 
Maintenance instructions 
Maintenance records 
Training of personnel (program and records) 
Environmental records 
Inspection of plant 
Finally certification (Sign Off) by Engineering, 
User (Production) and QA Heads.
SUMMARY 
47 
Water supply systems, 
 Play a major role in the quality of 
pharmaceuticals. 
 Must be designed properly by professionals. 
 Must be validated as a critical system.
48 
THANK YOU

Water system validation

  • 1.
    1 VALIDATION OF WATER SUPPLY SYSTEM MALIBA PHARMACY COLLEGE.
  • 2.
    CONTENTS 2 Objectives  Introduction  Validation & System Qualification  Monitoring  Maintenance  Revalidation & Change control  Validation documentation  Summary
  • 3.
    OBJECTIVE 3 Tounderstand: 1. The need for water quality manual 2. reason for usage of pharmaceutical water supply systems. 3. The technical requirements for water supply systems. 4. Different types of water supply systems. 5. Validation requirements. 6. Qualification & inspection requirement
  • 4.
    INTRODUCTION 4 High-qualitywater is essential for the manufacturing of pharmaceuticals. Water is the most commonly used raw material in pharmaceutical manufacturing. water is directly or indirectly used in the pharmaceutical manufacturing such as a major component in injectable products and in cleaning of manufacturing equipment. It is one of the raw material that is usually processed by the pharmaceutical manufacturer prior to use because it cannot be supplied by the vendor. Water is thus an important raw material in GMP and in validating the manufacturing process.
  • 5.
    INTRODUCTION 5 Whypurification? o Although tap water is reasonably pure, it is always variable due to seasonal variations, regional variation in quality. o One must remove impurities and control microbes to avoid contamination of products. o Pretreatment depends on quality of feed water.
  • 6.
    INTRODUCTION 6 Qualityof water should be specific for product quality. Water contains,  Organic and inorganic impurities  Microbial contamination  Endotoxin  Particulate contamination Low quality of water can lead to  product degradation  product contamination  loss of product and profit
  • 7.
    TYPES OF WATER 7 Different grades of Water for Pharmaceutical Purposes-each type has its on characteristic for all parameters. Potable water Purified water Water for injection(WFI) Sterile water for injection, inhalation, irrigation Sterile bacteriostatic water for injection
  • 8.
  • 9.
  • 10.
    DIFFERENT TECHNIQUES USEDFOR WATER TREATMENT 10 De-chlorination (Sodium Bisulphite, Carbon Filter) Filtration Ultra Filtration Softening Demineralization Reverse Osmosis UV Treatment Deionization Ozonization
  • 11.
    DIFFERENT EQUIPMENTS AND COMPONENTS FOR WATER SYSTEM 11 Piping Valves Pumps Pressure gauges Heat exchangers Distillation unit Filters Deionizers Sensors Auxiliary equipment
  • 12.
    WATER STORAGE AND DISTRIBUTION – CONSIDERATIONS 12 Materials of Construction (Chemical and Heat Compatibility) Stainless Steel (316 or 316L) Teflon, Silicone, Viton (gaskets, diaphragms) Minimize Dead Legs (<= 2 pipe diameters) Smooth Surfaces (Mechanical Polish , Electropolish) Clean joints (sanitary Tri®Clamp, automatic orbital welding)  Passivate interior surfaces to form barrier between water and free iron (0.5 to 1% alkali at 160ºF for 30 minutes followed by 1% Phosphoric Acid or Nitric Acid at 150ºF to 180º F for 10 minutes.)
  • 13.
    Conti…. 13 Designof the following should be appropriate to prevent recontamination after treatment- Vent filter Sanitary overflow Tank UV light Conical Bottom Steam sterilization Combination of on-line (TOC, Conductivity meter etc.) and off-line monitoring (lab testing by proper sampling) to ensure compliance with water specification
  • 14.
    VALIDATION CONCEPT 14 To prove the performance of processes or systems under all conditions expected to be encountered during future operations. To prove the performance, one must demonstrate (document) that the processes or systems consistently produce the specified qquuaannttiittyy aanndd qquuaalliittyy of water when operated and maintained according to specific written operating and maintenance procedures. validation involves proving- 1. Engineering design 2.Operating procedures and acceptable ranges for control parameters 3. Maintenance procedures to accomplish it
  • 15.
    Conti.. 15 thesystem must be carefully, -designed -installed -tested during processing, after construction, and under all operating conditions. Variations in daily, weekly and annual system usage patterns must be validated.
  • 16.
    WHY VALIDATION OFWATER SYSTEM? 16 Most widely used and sometimes most expensive ingredient Drug component even if not in product Generally reviewed in depth by Regulators Many recalls water related Always considered direct impact system To ensure reliable, consistent production of water of required quality To operate system within design capacity To prevent unacceptable microbial, chemical and physical contamination during production, storage and distribution To monitor system performance, storage and distribution systems
  • 17.
    VALIDATION CYCLE: 17 It includes four major steps- Determination of Quality Attributes The Validation Protocol Steps of Validation Control during routine operation
  • 18.
    DETERMINATION OF QUALITYATTRIBUTES 18 The quality attributes, is gaining a clear understanding of the required quality of water and its intended use Should be determined before starting the validation.  Without defining required quality attributes, we cannot establish validation protocols.
  • 19.
    THE VALIDATION PROTOCOL 19 A written plan stating how validation will be ccoonndduucctteedd and defining aacccceeppttaannccee ccrriitteerriiaa for quality. For example, the protocol for a manufacturing process-it identifies -process equipment -critical process parameters -product characteristics, -sampling, -test data to be collected, -number of validation runs -acceptable test results
  • 20.
    STEPS OF VALIDATION 20 Establishing standards for quality attributes Defining system and subsystem Designing equipment, control, & monitoring technologies Establishing standards for operating parameters Developing an IQ stage & OQ stage Establishing alert and action levels Developing a prospective PQ stage Completing protocols and documenting each steps
  • 21.
  • 22.
    ALERT AND ACTIONLEVELS: 22 Alert and action levels are distinct from process parameters and product specifications. They are used for monitoring and control rather than accept or reject decisions. The levels should be determined based on the statistical analysis of the data obtained by monitoring at the PQ step. Alert levels are levels or ranges that when exceeded indicate that a process may have drifted from its normal operation condition.  Alert levels indicate a warning and do not necessarily require a corrective action. Exceeding an action level indicates that corrective action should be taken to bring the process back into its normal operating range.
  • 23.
    SYSTEM QUALIFICATION 23 Validation Master Plan User Requirement Specification Design Qualification Installation Qualification Operation Qualification Performance Qualification Re- Qualification.
  • 24.
    DESIGN QUALIFICATION OFWATER SYSTEM 24 Based on the URS, supplier designs the equipment.  This is 1st step in the qualification of new water supply systems.  Define process schematically by use of PFD and P&IDs.  It is documented the design of the system & will include : -Functional Specification.(Storage, purification, etc) -Technical/Performance specification for equipment. (requirements of water volume and flow, define pumps and pipe sizes ) -Detailed layout of the system. Design must be in compliance with GMPs and other regulatory requirements.
  • 25.
    INSTALLATION QUALIFICATION 25 IQ is in the form of checklist and it should include-  Instrumentation checked against current engineering drawings and specifications  Review of P&ID  Verification of materials of construction  Installation of equipment with piping  Calibration of measuring instruments  Collection and collation of supplier operating and working instructions and maintenance requirements
  • 26.
    Conti… 26 Installationof system as per Design requirements. Installation Verification- Systematic range of adjustments, measurements and tests should be carried out to ensure proper installation. Documentation include details of completed installation.
  • 27.
    27 Conti… •IQ Document should contain, Instrument name, model, I.D. No., Personnel responsible for activities and Date. A fully verified installation that complies with the documented design. (all deviations will have been recorded and assessed.)  All equipment documentation and maintenance requirements would be documented.  Completed calibration of measuring instruments.  Verification of Materials of construction.
  • 28.
    OPERATION QUALIFICATION 28 Definition : The purpose of OQ is to establish, through documented testing, that all critical components are capable of operating within established limits and tolerances.  it is the functional testing of system components mainly the critical components. The purpose of OQ is also to verify and document that the water supply system provides acceptable operational control under “at-rest” conditions.
  • 29.
    29 Conti… OperationQualification Checks- Ability to provide water of sufficient quality and quantity to ensure achievement of specifications. Ability to maintain general parameters like temperature, pressure, flow at set points. Ability to maintain any critical parameters(pH, TOC, endotoxin, microbial level, conductivity etc ).
  • 30.
    30 Conti… Includesthe tests that have been developed from knowledge of processes, systems and equipment. Tests include a condition or a set of conditions with upper and lower operating limits, sometimes referred to as ‘worst case’ conditions.
  • 31.
    31 PERFORMANCE QUALIFICATION The purpose of PQ is to verify and document that water supply system provides acceptable control under ‘ Full Operational ‘ conditions. PQ should follow successful completion of IQ and OQ. PQ verifies that over time, the critical parameters, as defined in the DQ are being achieved.
  • 32.
    32 Conti… Accordingto the FDA’s advice: “The observed variability of the equipment between and within runs can be used as a basis for determining the total number of trials selected for the subsequent PQ studies of the process.”
  • 33.
    33 Conti… PQis used to demonstrate consistent achievement of critical parameters over time. (such as pH, TOC, conductivity) PQ and OQ tests are sometimes performed in conjunction with one another.
  • 34.
    QUALIFICATION PHASES 34 Three phase approach recommended according to WHO Technical Report Series 929 to prove reliability and robustness. Phase 1 (investigational phase): A test period of 2-4 weeks – monitor the system System to operate continuously without failure or performance deviation Chemical and microbiological testing should include in accordance with a defined plan
  • 35.
    Conti… 35 Sampledaily from- incoming feed-water after each step in the purification process each point of use and at other defined sample points Develop: appropriate operating ranges and finalize operating, cleaning, sanitizing and maintenance procedures
  • 36.
    Conti… 36 Demonstrateproduction and delivery of water of the required quality and quantity Use and define the standard operating procedures (SOPs) for operation, maintenance, sanitization and troubleshooting Verify provisional alert and action levels Develop and define test-failure procedure
  • 37.
    37 Phase 2(verificationstep) A further test period of 2-4 weeks – further intensive monitoring of the system Utilization of all the SOPs after the satisfactory completion of phase 1 Sampling scheme generally the same as in phase 1 Water can be used for manufacturing purposes during this phase
  • 38.
    Conti.. 38 Phase-2demonstrates: Consistent operation within established ranges. so it demostrate that the system is in control. Consistent production and delivery of water of the required quantity and quality when the system is operated in accordance with the SOPs.
  • 39.
    39 Phase 3 Over 1 year after the satisfactory completion of phase 2 Water can be used for manufacturing purposes during this phase Demonstrate: extended reliable performance that seasonal variations are evaluated Sample locations, sampling frequencies and tests should be reduced to the normal routine pattern based on established procedures proven during phases 1 and 2
  • 40.
    MONITORING 40 Monitoring and feed back data are important in maintaining the performance systems. Monitoring parameters include: Flow, pressure, temperature, conductivity, TOC  Samples taken: From points of use, and specific sample points In a similar way how water is used in service  Tests should include physical, chemical and microbial attributes  For example, stable state can be achieved by applying automatic continuous monitoring of TOC and conductivity of the water system. They are the major quality attributes of water by which organic and inorganic impurities can be determined.
  • 41.
    MAINTENANCE 41 Acontrolled, documented maintenance covering :  Defined frequency with plan and instructions  Calibration programme  SOPs for tasks  Control of approved spares  Record and review of problems and faults during maintenance
  • 42.
    MAINTENANCE System sanitizationand bioburden control Systems in place to control proliferation of microbes Techniques for sanitizing or sterilization Consideration already during design stage – then validated Special precautions if water not kept in the range of 70 to 80 degrees Celsius
  • 43.
    REVALIDATION & CHANGECONTROL 43 Once the validation is completed, the standard operating procedures (SOPs) are formalized. Routine operation should be performed according to the established SOP. If any deviation from SOP observed, determine the change and their impact on whole system Revalidation and evaluation should be performed depending upon the impact of the change on system.
  • 44.
    VALIDATION REPORT 44 Written at the conclusion of the equipment IQ, OQ and at completion of process validation. Will serve as primary documentation for FDA regulatory inspection Will serve as reference document when changes to the system are occurred and revalidation is needed.
  • 45.
    VALIDATION REPORT 45 STANDARD FORMAT 1. Executive summary 2. Discussion 3. Conclusions & recommendation 4. List of attachment  Topic should be presented in the order in which they appear in the protocol.  Protocol deviation are fully explained & justified.  The report is signed & dated by designated representatives of each unit involved in water system validation.
  • 46.
    46 Complete Documentation Verification of design documentation, including ◦ Description of installation and functions ◦ Specification of the requirements Instructions for performance control Operating procedures Maintenance instructions Maintenance records Training of personnel (program and records) Environmental records Inspection of plant Finally certification (Sign Off) by Engineering, User (Production) and QA Heads.
  • 47.
    SUMMARY 47 Watersupply systems,  Play a major role in the quality of pharmaceuticals.  Must be designed properly by professionals.  Must be validated as a critical system.
  • 48.