VITAMINS
Dr. Muhammad Sarfraz
M.B.B.S., M.Phil.(Pharmacology)
Senior Demonstrator
Quaid-e-Azam Medical College
Bwp.
1
Vitamin A
2
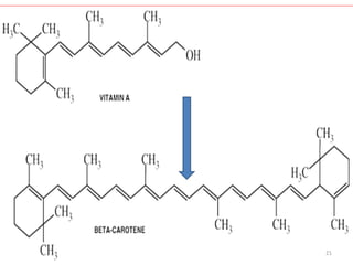
vitamin A
Beta-ionone ring
attached to
isoprenoid chain
Both structural features are
essential for vitamin activity
Called a
Retinyl Group 3
4
5
Vitamin A
• Two Groups of Compounds
Have Vitamin A Activity
6
1st Group
Pre-formed Vitamin A
Only In Foods Of
Animal Origin
Retinol
7
Retinoids
• RETINOIDS comprise
of
• Retinol
• Retinaldehyde
• Retinoic Acid
8
© 2008 Thomson - Wadsworth
10
11
12
13
Vitamin A
2nd group
• CAROTENOIDS, found in
plants, are composed of
β-carotenes
PRECURSORS OF VITAMIN A
Cleaved To Yield
Retinaldehyde
14
15
16
Vitamin A
β-carotenes
Cleaved In The
Intestinal Mucosa
By
Carotene Dioxygenase
17
Vitamin A
Conversion of carotenes is
inefficient
One 6th-12th of retinol’s
activity
Yielding
Retinaldehyde
18
19
PRINCIPAL SITE OF
Carotene Dioxygenase
ATTACK
IS THE CENTRAL BOND OF
β-CAROTENE
20
21
22
Vitamin A
Retinal reduced To Retinol
Esterified with long chain
fatty acids
23
Vitamin A
Secreted as components of
Chylomicrons in lymphatics
Together With Esters
Formed From Dietary
Retinol
24
25
26
27
28
29
30
31
32
Unit of activity
International units (I.U.)
• 0.3 µg of retinol = 1 I.U.
• Daily requirement
• Adult Male And Female
• 3000 I.U. /day
33
Unit of activity
International units (I.U.)
• Recommended Allowance
• 5000 I.U./ day
• Higher In
Growing Children, Pregnant Women
, Lactating Mothers
and
HEPATIC DISEASE
34
• Absorption
Small intestine
(vit.A and carotene
precursors)
35
• Tocopherols (Vit.E) And
Other Antioxidants
Protect
Against Oxidation And
Destruction In Small
Intestine
36
• DIETARY VIT.A ….ester
form …hydrolysis…by
..cholesterol esterase---
• Free retinol ….Absorbed ---
-Re Esterification In
Intest.Epithelial Cells
37
38
• Storage
• In Liver As Retinyl Ester……
Retinyl Palmitate…95% Of Stored
Vit.A
• RELEASED WHEN REQUIRED
• 10-20 mg of vit.A /100 gm of liver.
39
40
• Transport
• In blood….retinol binding
protein…RBP
• Retinoic Acid Binding
Protein..RABP
• Cellular.. RBP
42
RETINA
TARGET TISSUES
ABSORPTION
TRANSPORT
AND
STORAGE
ABSORPTION
TRANSPORT
AND
STORAGE
MECHANISM OF ACTION OF VITAMIN
“A”
• Retinoic acid …. Binds with
high affinity to specific proteins
in the nucleus of target tissues
• Activated retinoic acid-receptor
complex interacts with nuclear
chromatin…..
45
MECHANISM OF ACTION OF VITAMIN
“A”
• Stimulation of retinoid-
specific RNA synthesis
• Mediation of physiologic
functions
46
Role of vitamin A
•VISION (RETINAL)
•REPRODUCTION
• GROWTH AND CELL
DIFFERENTIATION
47
Role of vitamin A
•MAINTENANCE OF
EPITHELIAL TISSUES
• CONTROL OF KERATIN
PRODUCTION
48
Role of vitamin A
• RETINOIC ACID
Mediates Most Of The Actions
Except Vision
49
Role of vitamin A
• Retinoid X receotors form
dimers with vitamin D and
thyroid hormone receptors
• So deficiency of vitamin A
impairs vitamin D and thyroid
hormone function
50
vision
51
Functions of vit.A
In The RETINA
RETINALDEHYDE
Functions As The
Prosthetic Group
Of The
Light-sensitive
Proteins
Opsin 52
Functions of vit.A
RHODOPSIN
Visual Purple
In Rods
And
IODOPSIN
In Cones
53
Functions of vit.A
• Cones
specialized for color and
detailed vision in bright
light
• Rods
Specialized for vision in
dim light …. Night vision54
55
Functions of vit.A
• In the pigment epithelium
of the retina
• ALL-TRANS-RETINOL
• Isomerized to
11-cis-RETINOL
• Oxidized to
• 11-cis-RETINALDEHYDE
56
57
Functions of vit.A
• The aldehyde group of retinal
Reacts With Amino group of
Lysine Residue in opsin,
forming the holo-protein
RHODOPSIN.
• Rhodopsin has light absorbing
property
• Even dim light can break
rhodopsin 58
59
Functions of vit.A
• When light falls on rhodopsin
• It splits into opsin and all
trans retinal in series of
events
60
61
62
• the absorption of light by
rhodopsin
•  isomerization of the
retinaldehyde from 11-cis to
all-trans, and a conformational
change in opsin.
• release of retinaldehyde
from the protein
64
• the initiation of a nerve
impulse.
•  series of conformational
changes
•  formation of metarhodopsin
II,
 initiates a guanine nucleotide
amplification cascade and
then a nerve impulse.
65
• Final Step Is Hydrolysis of
RHODOPSIN
• Release ALL-TRANS-
RETINALDEHYDE And OPSIN
• Key To Initiation Of The Visual
Cycle Is The Availability Of 11-
cis-Retinaldehyde, And Hence
Vitamin A. 66
• In Deficiency,
Both The Time Taken To Adapt
To Darkness And The Ability
To See In Poor Light Are
Impaired
68
Impaired dark
adaptation time
Decreased vitamin
A in plasma
Decreased
RBP in plasma
Normal
plasma
vitamin A
20 to 80
µg/100ml
70
71
Vitamin A Deficiency Is The Most Important
Preventable Cause Of Blindness
Earliest Sign Of Deficiency
Loss Of Sensitivity To
Green
Light
followed by
 Impairment To Adapt To Dim
Light
followed by
 NIGHT BLINDNESS 72
Vitamin A Deficiency Is The Most Important
Preventable Cause Of Blindness
Keratinization
Of Cornea
Leading To
Permanent
Blindness 73
Role in the Regulation of Gene Expression and
Tissue Differentiation
• Control Of Cell
Differentiation And
Turnover
• Regulate
Growth,Development, And
Tissue Differentiation
74
Role in the Regulation of Gene Expression and
Tissue Differentiation
• Retinol
Essential for normal
reproduction
Supporting spermatogenesis
in the male
preventing fetal resorption
in the female 75
Role in the Regulation of Gene Expression and
Tissue Differentiation
Control The Expression
Of The
Gene For Keratin
In Most Epithelial
Tissues Of The Body
76
Role in the Regulation of Gene Expression and
Tissue Differentiation
Retinoic Acid
Binds To
Nuclear Receptors
That Bind To Response
Elements Of DNA And
Regulate The Transcription
Of Specific Genes 77
78
Vitamin A deficiency is the most
important preventable cause of
blindness
• More prolonged deficiency leads to
xerophthalmia
keratinization of the cornea and
blindness
81
Bitot’s spot Bitot’s spot
KeratomalaciaXerophthalmia
Vitamin A
ANTI-INFECTIVE VITAMIN
REQUIRED FOR NORMAL
FUNCTIONING OF THE
IMMUNE SYSTEM
84
SKIN AND MUCOSAL CELLS
FUNCTION AS A BARRIER AND
FORM THE BODY'S FIRST LINE
OF DEFENSE AGAINST
INFECTION.
• RETINOL AND ITS METABOLITES
ARE REQUIRED TO MAINTAIN THE
INTEGRITY AND FUNCTION OF
EPITHELIAL CELLS
85
86
VITAMIN A
CONTROLS
KERATIN
PRODUCTION
87
88
89
90
Important Role In
Differentiation Of Immune System Cells
CENTRAL ROLE IN THE
DEVELOPMENT
AND
DIFFERENTIATION
of white blood cells
such as
LYMPHOCYTES 91
Important Role In
Differentiation Of Immune System Cells
EVEN MILD DEFICIENCY
LEADS TO INCREASED
SUSCEPTIBILITY TO
INFECTIOUS DISEASES
92
93
• Red capsule 200000 IU (60 mg RE) 12-59
months of age , blue capsule 100000 IU (30
mg RE) 6-11 months of age twice yearly
(WHO RECOMMENDATION)
• SIDE EFFECTS bulging of open fontanelles in
younger infants
• Nausea / vomitting , headache in older
children
95
Growth and development
Both Vitamin A Excess And
Deficiency
Cause Birth Defects
Retinol
And
Retinoic Acid
ESSENTIAL
FOR
EMBRYONIC DEVELOPMENT 96
Red blood cell production
97
VITAMIN A TOXICITY
HYPERVITAMINOSIS
A
98
Vitamin A Is Toxic In Excess
• Limited Capacity To
Metabolize Vitamin A
• Excessive Intakes Lead To
Accumulation Beyond The
Capacity Of Binding
Proteins
99
Vitamin A Is Toxic In Excess
Hypervitaminosis A
• Unbound Vitamin A Causes
• Membrane lysis
• Tissue damage
100
Vitamin A Is Toxic In Excess
Hypervitaminosis A
Caused By
Overconsumption Of
Preformed Vitamin A
Not Carotenoids
101
Increased Consumption Of
Caroteinoids
102
103
Vitamin A Is Toxic In Excess
Hypervitaminosis A
Preformed Vitamin A
Rapidly Absorbed
Slowly Cleared
From The Body
104
One ounce of
polar bear
liver contains
enough
vitamin A
(retinol) to kill
a person!
Vitamin A Is Toxic in Excess
hypervitaminosis A
Symptoms
• Central Nervous System
Increased intracranial
pressure
• Headache
• Nausea
• Ataxia
And
• Anorexia 106
Vitamin A Is Toxic in Excess
hypervitaminosis A
• LIVER
Hepatomegaly
• CALCIUM HOMEOSTASIS
Thickening Of The Long Bones
Hypercalcemia
And
Calcification Of Soft Tissues
107
Vitamin A Is Toxic in Excess
hypervitaminosis A
• SKIN
excessive drynes
desquamation
and
alopecia
108
109
110
113

VITAMIN A

  • 1.
    VITAMINS Dr. Muhammad Sarfraz M.B.B.S.,M.Phil.(Pharmacology) Senior Demonstrator Quaid-e-Azam Medical College Bwp. 1
  • 2.
  • 3.
    vitamin A Beta-ionone ring attachedto isoprenoid chain Both structural features are essential for vitamin activity Called a Retinyl Group 3
  • 4.
  • 5.
  • 6.
    Vitamin A • TwoGroups of Compounds Have Vitamin A Activity 6
  • 7.
    1st Group Pre-formed VitaminA Only In Foods Of Animal Origin Retinol 7
  • 8.
    Retinoids • RETINOIDS comprise of •Retinol • Retinaldehyde • Retinoic Acid 8
  • 9.
    © 2008 Thomson- Wadsworth
  • 10.
  • 11.
  • 12.
  • 13.
  • 14.
    Vitamin A 2nd group •CAROTENOIDS, found in plants, are composed of β-carotenes PRECURSORS OF VITAMIN A Cleaved To Yield Retinaldehyde 14
  • 15.
  • 16.
  • 17.
    Vitamin A β-carotenes Cleaved InThe Intestinal Mucosa By Carotene Dioxygenase 17
  • 18.
    Vitamin A Conversion ofcarotenes is inefficient One 6th-12th of retinol’s activity Yielding Retinaldehyde 18
  • 19.
  • 20.
    PRINCIPAL SITE OF CaroteneDioxygenase ATTACK IS THE CENTRAL BOND OF β-CAROTENE 20
  • 21.
  • 22.
  • 23.
    Vitamin A Retinal reducedTo Retinol Esterified with long chain fatty acids 23
  • 24.
    Vitamin A Secreted ascomponents of Chylomicrons in lymphatics Together With Esters Formed From Dietary Retinol 24
  • 25.
  • 26.
  • 27.
  • 28.
  • 29.
  • 30.
  • 31.
  • 32.
  • 33.
    Unit of activity Internationalunits (I.U.) • 0.3 µg of retinol = 1 I.U. • Daily requirement • Adult Male And Female • 3000 I.U. /day 33
  • 34.
    Unit of activity Internationalunits (I.U.) • Recommended Allowance • 5000 I.U./ day • Higher In Growing Children, Pregnant Women , Lactating Mothers and HEPATIC DISEASE 34
  • 35.
    • Absorption Small intestine (vit.Aand carotene precursors) 35
  • 36.
    • Tocopherols (Vit.E)And Other Antioxidants Protect Against Oxidation And Destruction In Small Intestine 36
  • 37.
    • DIETARY VIT.A….ester form …hydrolysis…by ..cholesterol esterase--- • Free retinol ….Absorbed --- -Re Esterification In Intest.Epithelial Cells 37
  • 38.
  • 39.
    • Storage • InLiver As Retinyl Ester…… Retinyl Palmitate…95% Of Stored Vit.A • RELEASED WHEN REQUIRED • 10-20 mg of vit.A /100 gm of liver. 39
  • 40.
  • 42.
    • Transport • Inblood….retinol binding protein…RBP • Retinoic Acid Binding Protein..RABP • Cellular.. RBP 42
  • 43.
  • 44.
  • 45.
    MECHANISM OF ACTIONOF VITAMIN “A” • Retinoic acid …. Binds with high affinity to specific proteins in the nucleus of target tissues • Activated retinoic acid-receptor complex interacts with nuclear chromatin….. 45
  • 46.
    MECHANISM OF ACTIONOF VITAMIN “A” • Stimulation of retinoid- specific RNA synthesis • Mediation of physiologic functions 46
  • 47.
    Role of vitaminA •VISION (RETINAL) •REPRODUCTION • GROWTH AND CELL DIFFERENTIATION 47
  • 48.
    Role of vitaminA •MAINTENANCE OF EPITHELIAL TISSUES • CONTROL OF KERATIN PRODUCTION 48
  • 49.
    Role of vitaminA • RETINOIC ACID Mediates Most Of The Actions Except Vision 49
  • 50.
    Role of vitaminA • Retinoid X receotors form dimers with vitamin D and thyroid hormone receptors • So deficiency of vitamin A impairs vitamin D and thyroid hormone function 50
  • 51.
  • 52.
    Functions of vit.A InThe RETINA RETINALDEHYDE Functions As The Prosthetic Group Of The Light-sensitive Proteins Opsin 52
  • 53.
    Functions of vit.A RHODOPSIN VisualPurple In Rods And IODOPSIN In Cones 53
  • 54.
    Functions of vit.A •Cones specialized for color and detailed vision in bright light • Rods Specialized for vision in dim light …. Night vision54
  • 55.
  • 56.
    Functions of vit.A •In the pigment epithelium of the retina • ALL-TRANS-RETINOL • Isomerized to 11-cis-RETINOL • Oxidized to • 11-cis-RETINALDEHYDE 56
  • 57.
  • 58.
    Functions of vit.A •The aldehyde group of retinal Reacts With Amino group of Lysine Residue in opsin, forming the holo-protein RHODOPSIN. • Rhodopsin has light absorbing property • Even dim light can break rhodopsin 58
  • 59.
  • 60.
    Functions of vit.A •When light falls on rhodopsin • It splits into opsin and all trans retinal in series of events 60
  • 61.
  • 62.
  • 64.
    • the absorptionof light by rhodopsin •  isomerization of the retinaldehyde from 11-cis to all-trans, and a conformational change in opsin. • release of retinaldehyde from the protein 64
  • 65.
    • the initiationof a nerve impulse. •  series of conformational changes •  formation of metarhodopsin II,  initiates a guanine nucleotide amplification cascade and then a nerve impulse. 65
  • 66.
    • Final StepIs Hydrolysis of RHODOPSIN • Release ALL-TRANS- RETINALDEHYDE And OPSIN • Key To Initiation Of The Visual Cycle Is The Availability Of 11- cis-Retinaldehyde, And Hence Vitamin A. 66
  • 68.
    • In Deficiency, BothThe Time Taken To Adapt To Darkness And The Ability To See In Poor Light Are Impaired 68
  • 69.
    Impaired dark adaptation time Decreasedvitamin A in plasma Decreased RBP in plasma Normal plasma vitamin A 20 to 80 µg/100ml
  • 70.
  • 71.
  • 72.
    Vitamin A DeficiencyIs The Most Important Preventable Cause Of Blindness Earliest Sign Of Deficiency Loss Of Sensitivity To Green Light followed by  Impairment To Adapt To Dim Light followed by  NIGHT BLINDNESS 72
  • 73.
    Vitamin A DeficiencyIs The Most Important Preventable Cause Of Blindness Keratinization Of Cornea Leading To Permanent Blindness 73
  • 74.
    Role in theRegulation of Gene Expression and Tissue Differentiation • Control Of Cell Differentiation And Turnover • Regulate Growth,Development, And Tissue Differentiation 74
  • 75.
    Role in theRegulation of Gene Expression and Tissue Differentiation • Retinol Essential for normal reproduction Supporting spermatogenesis in the male preventing fetal resorption in the female 75
  • 76.
    Role in theRegulation of Gene Expression and Tissue Differentiation Control The Expression Of The Gene For Keratin In Most Epithelial Tissues Of The Body 76
  • 77.
    Role in theRegulation of Gene Expression and Tissue Differentiation Retinoic Acid Binds To Nuclear Receptors That Bind To Response Elements Of DNA And Regulate The Transcription Of Specific Genes 77
  • 78.
  • 81.
    Vitamin A deficiencyis the most important preventable cause of blindness • More prolonged deficiency leads to xerophthalmia keratinization of the cornea and blindness 81
  • 82.
  • 83.
  • 84.
    Vitamin A ANTI-INFECTIVE VITAMIN REQUIREDFOR NORMAL FUNCTIONING OF THE IMMUNE SYSTEM 84
  • 85.
    SKIN AND MUCOSALCELLS FUNCTION AS A BARRIER AND FORM THE BODY'S FIRST LINE OF DEFENSE AGAINST INFECTION. • RETINOL AND ITS METABOLITES ARE REQUIRED TO MAINTAIN THE INTEGRITY AND FUNCTION OF EPITHELIAL CELLS 85
  • 86.
  • 87.
  • 88.
  • 89.
  • 90.
  • 91.
    Important Role In DifferentiationOf Immune System Cells CENTRAL ROLE IN THE DEVELOPMENT AND DIFFERENTIATION of white blood cells such as LYMPHOCYTES 91
  • 92.
    Important Role In DifferentiationOf Immune System Cells EVEN MILD DEFICIENCY LEADS TO INCREASED SUSCEPTIBILITY TO INFECTIOUS DISEASES 92
  • 93.
  • 94.
    • Red capsule200000 IU (60 mg RE) 12-59 months of age , blue capsule 100000 IU (30 mg RE) 6-11 months of age twice yearly (WHO RECOMMENDATION) • SIDE EFFECTS bulging of open fontanelles in younger infants • Nausea / vomitting , headache in older children
  • 95.
  • 96.
    Growth and development BothVitamin A Excess And Deficiency Cause Birth Defects Retinol And Retinoic Acid ESSENTIAL FOR EMBRYONIC DEVELOPMENT 96
  • 97.
    Red blood cellproduction 97
  • 98.
  • 99.
    Vitamin A IsToxic In Excess • Limited Capacity To Metabolize Vitamin A • Excessive Intakes Lead To Accumulation Beyond The Capacity Of Binding Proteins 99
  • 100.
    Vitamin A IsToxic In Excess Hypervitaminosis A • Unbound Vitamin A Causes • Membrane lysis • Tissue damage 100
  • 101.
    Vitamin A IsToxic In Excess Hypervitaminosis A Caused By Overconsumption Of Preformed Vitamin A Not Carotenoids 101
  • 102.
  • 103.
  • 104.
    Vitamin A IsToxic In Excess Hypervitaminosis A Preformed Vitamin A Rapidly Absorbed Slowly Cleared From The Body 104
  • 105.
    One ounce of polarbear liver contains enough vitamin A (retinol) to kill a person!
  • 106.
    Vitamin A IsToxic in Excess hypervitaminosis A Symptoms • Central Nervous System Increased intracranial pressure • Headache • Nausea • Ataxia And • Anorexia 106
  • 107.
    Vitamin A IsToxic in Excess hypervitaminosis A • LIVER Hepatomegaly • CALCIUM HOMEOSTASIS Thickening Of The Long Bones Hypercalcemia And Calcification Of Soft Tissues 107
  • 108.
    Vitamin A IsToxic in Excess hypervitaminosis A • SKIN excessive drynes desquamation and alopecia 108
  • 109.
  • 110.
  • 113.