Embed presentation
Downloaded 14 times



































































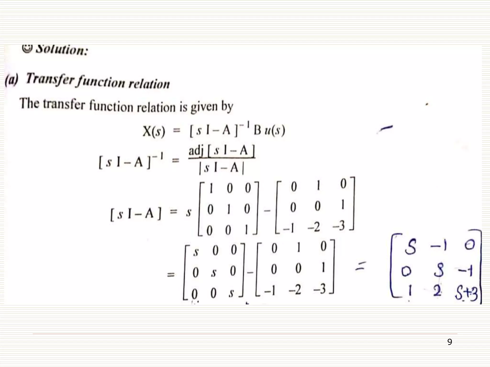
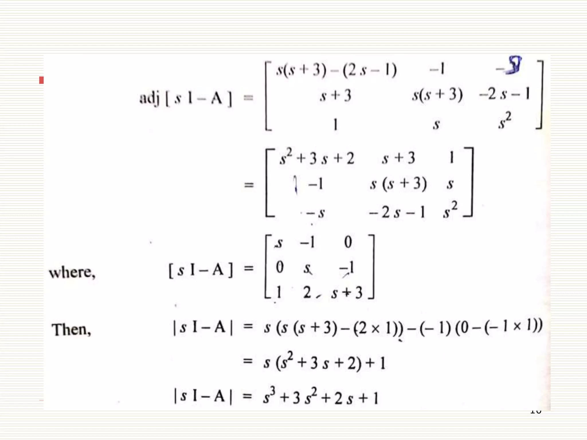
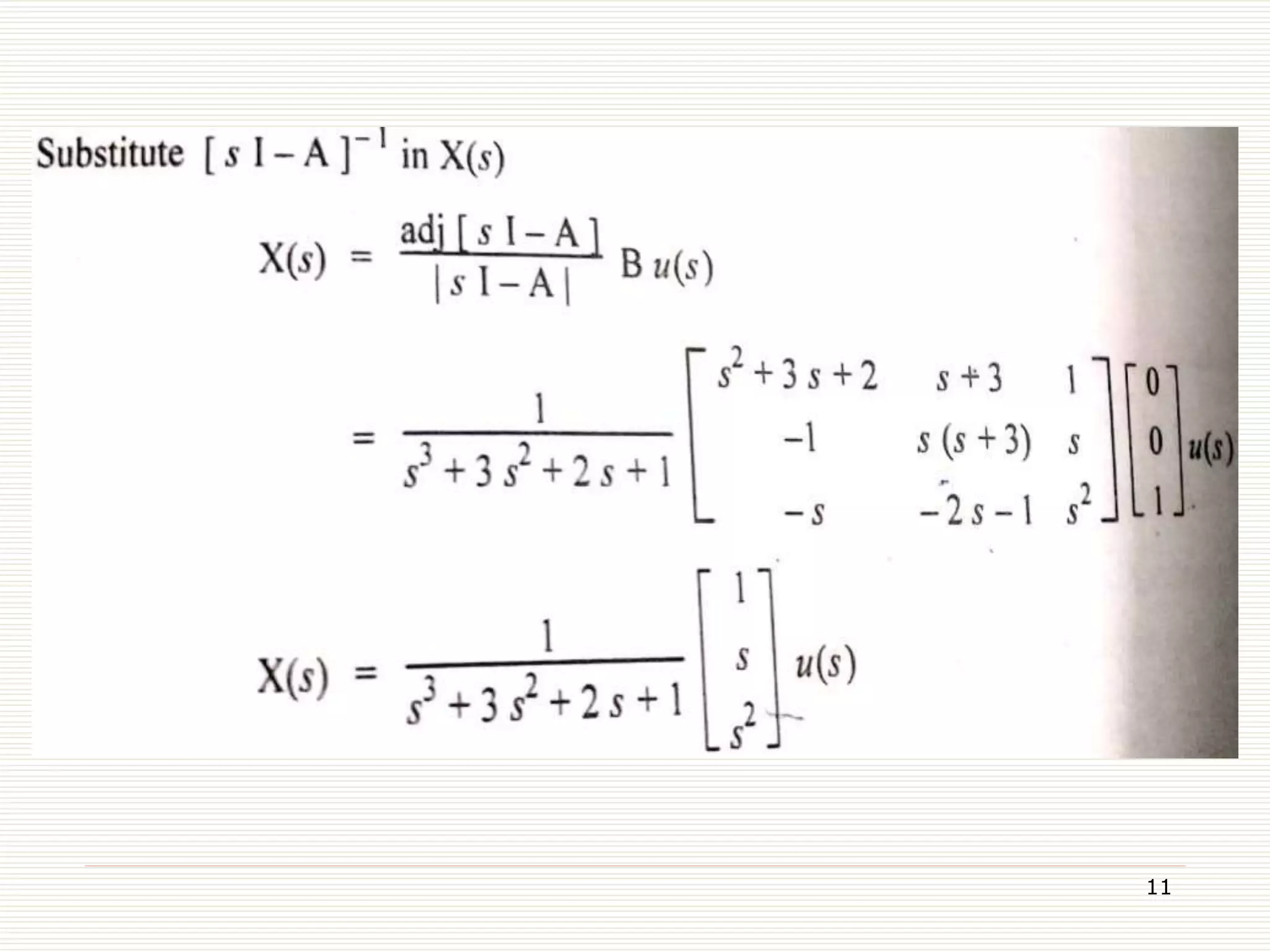
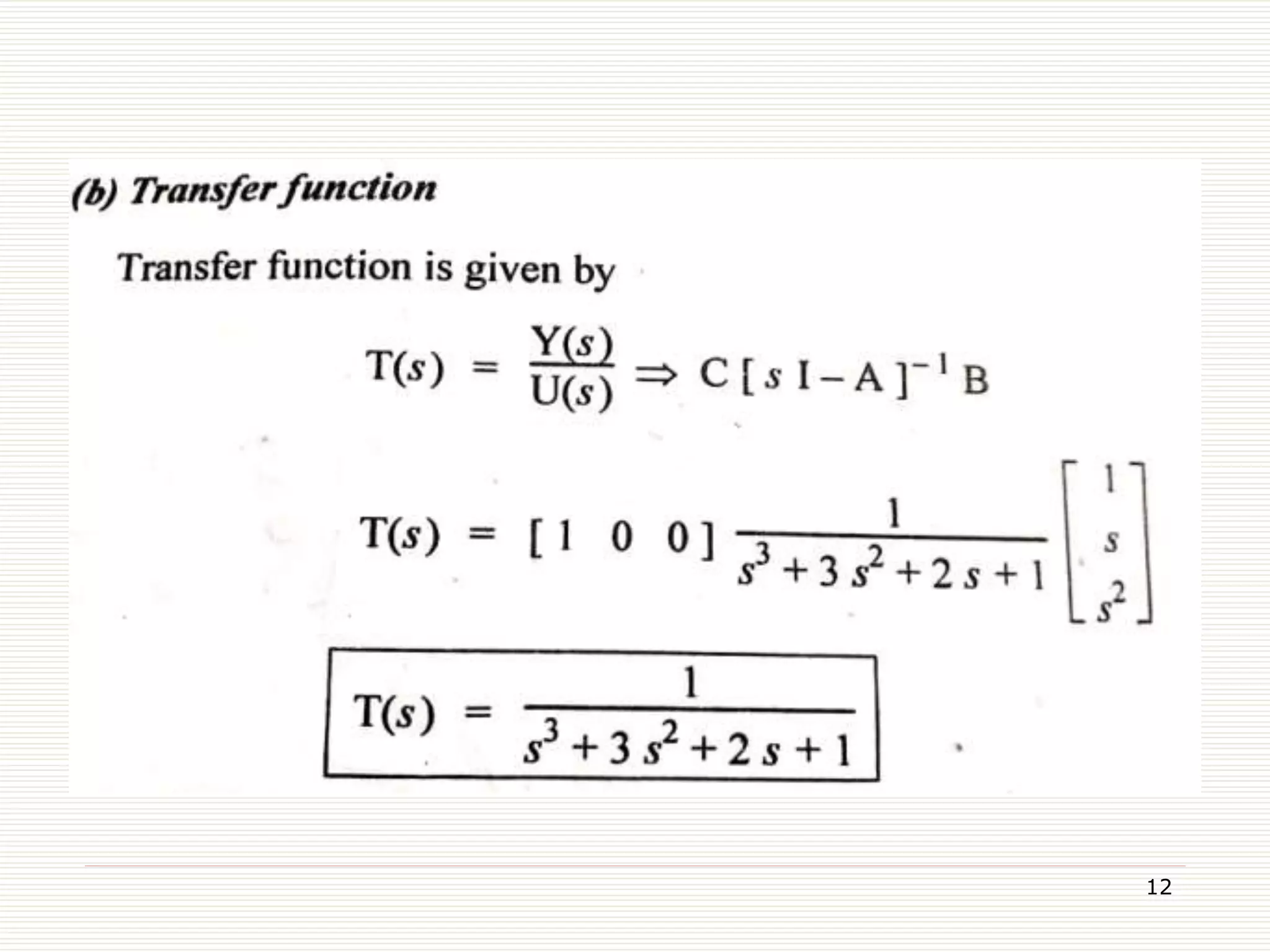
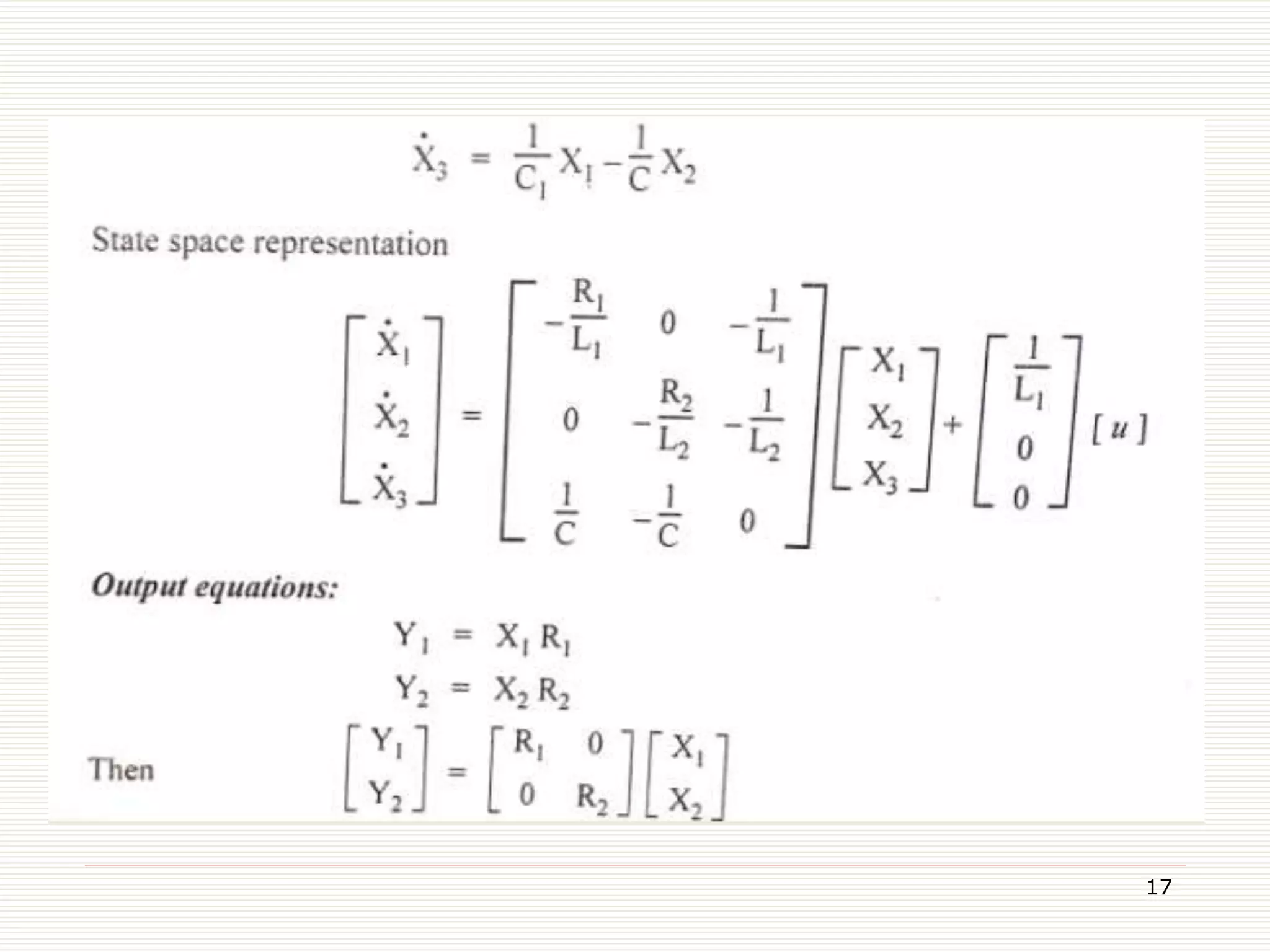
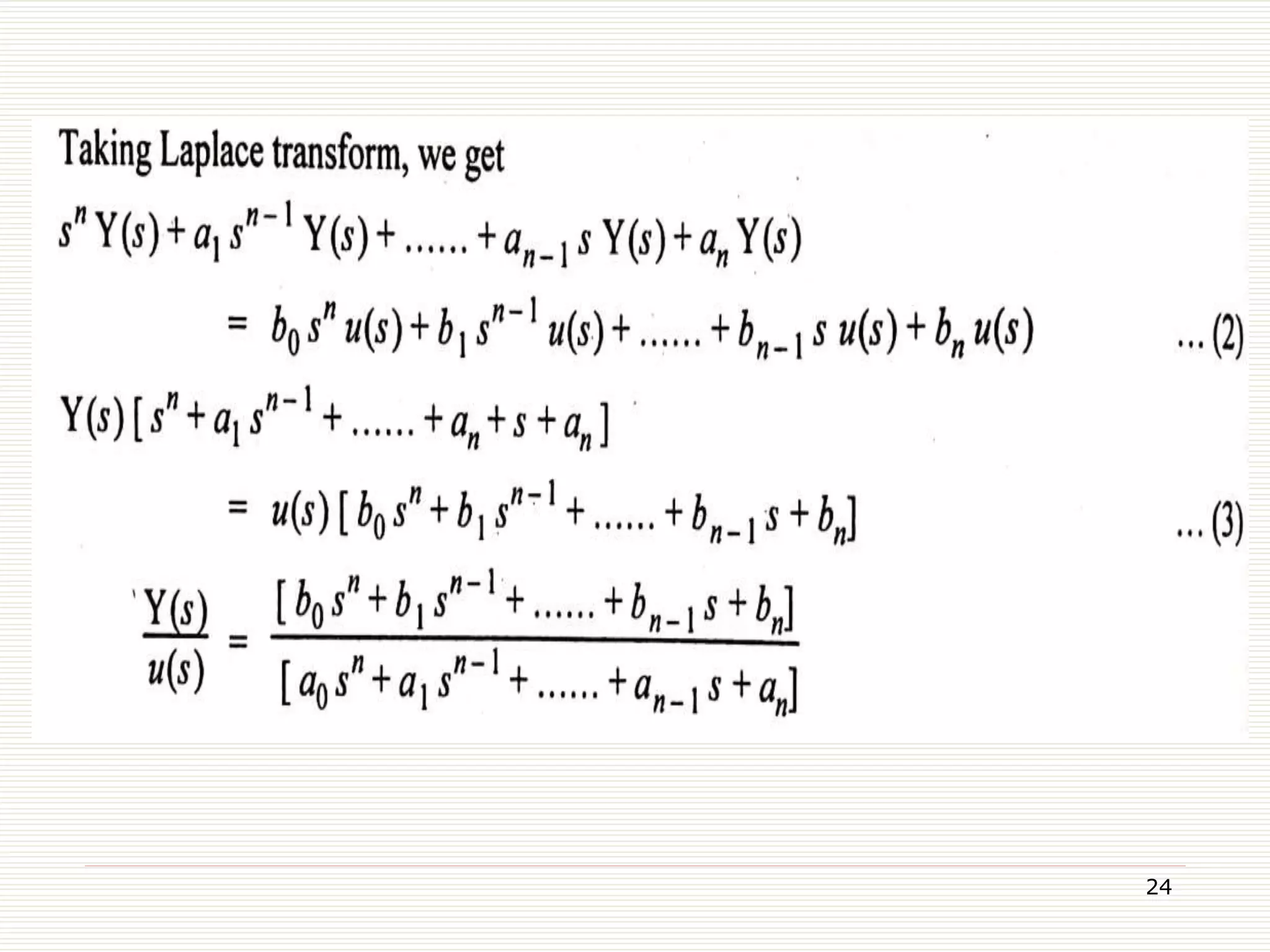
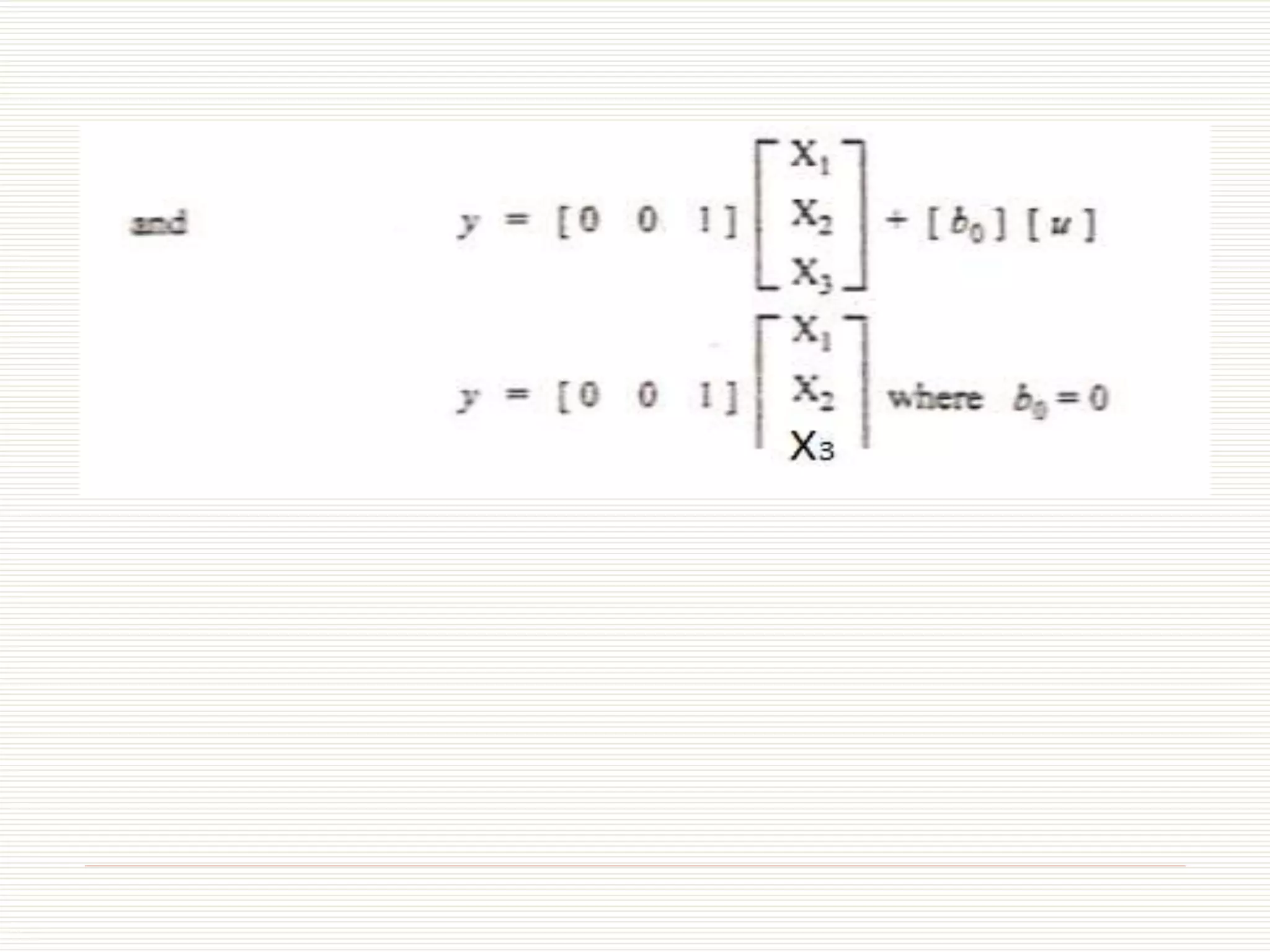
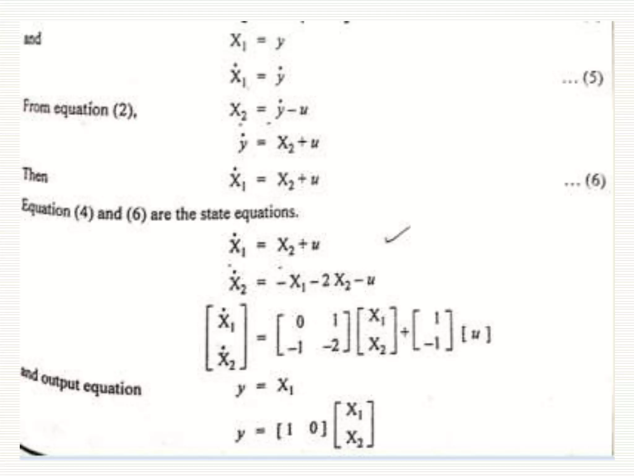
The document presents a state variable analysis focusing on concepts such as state variables, state models for linear time-invariant systems, and the solution of state and output equations. It discusses controllability and observability, including the effect of state feedback, and concludes that a specific system is observable based on its rank. The work was presented by Mr. C.S. Satheesh at Muthayammal Engineering College, Tamil Nadu, India.

































































