Unit-5
State Space Analysis
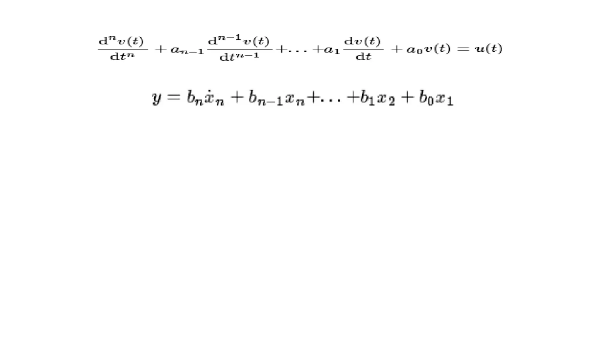
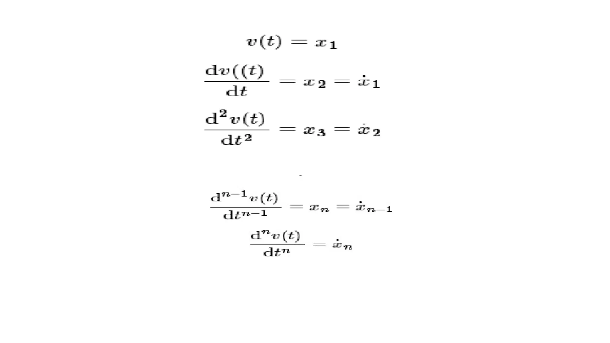
State :
It is a group of variables, which summarizes the history of the system
in order to predict the future values (outputs).
State Variable:
The number of the state variables required is equal to the number of
the storage elements present in the system.
State Vector:
Terms used in State Space Model
It is a vector, which contains the state variables as elements.
 The state space model can be obtained from any one of these two
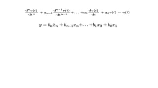
mathematical models
 Those are the differential equation model and the transfer function model .
State Variable: The state of a dynamic system is the smallest set of
variables called state variables such that the knowledge of these variables at
time t=to (Initial condition), together with the knowledge of input for ≥ 0 ,
𝑡
completely determines the behavior of the system for any time ≥ 0 .
𝑡 𝑡
State vector: If n state variables are needed to completely describe the
behaviour of a given system, then these n state variables can be considered the n
components of a vector X. Such a vector is called a state vector.
State space: The n-dimensional space whose co-ordinate axes consists of the
x1 axis, x2 axis,.... xn axis, where x1 , x2 ,..... xn are state variables: is called a
state space
Advantages of State Space Method(SSM)
 It can analyze multi input and multi output systems easily
 It can gives the information about controllability of the system
 It can describes all dynamic Systems
 The analysis of the system can be possible by considering the initial
conditions of the system
 Accurate than Transfer Function
Dis- Advantages:
 More computations are required
 Techniques are more complex compared to T.F,,D.E
Problem on
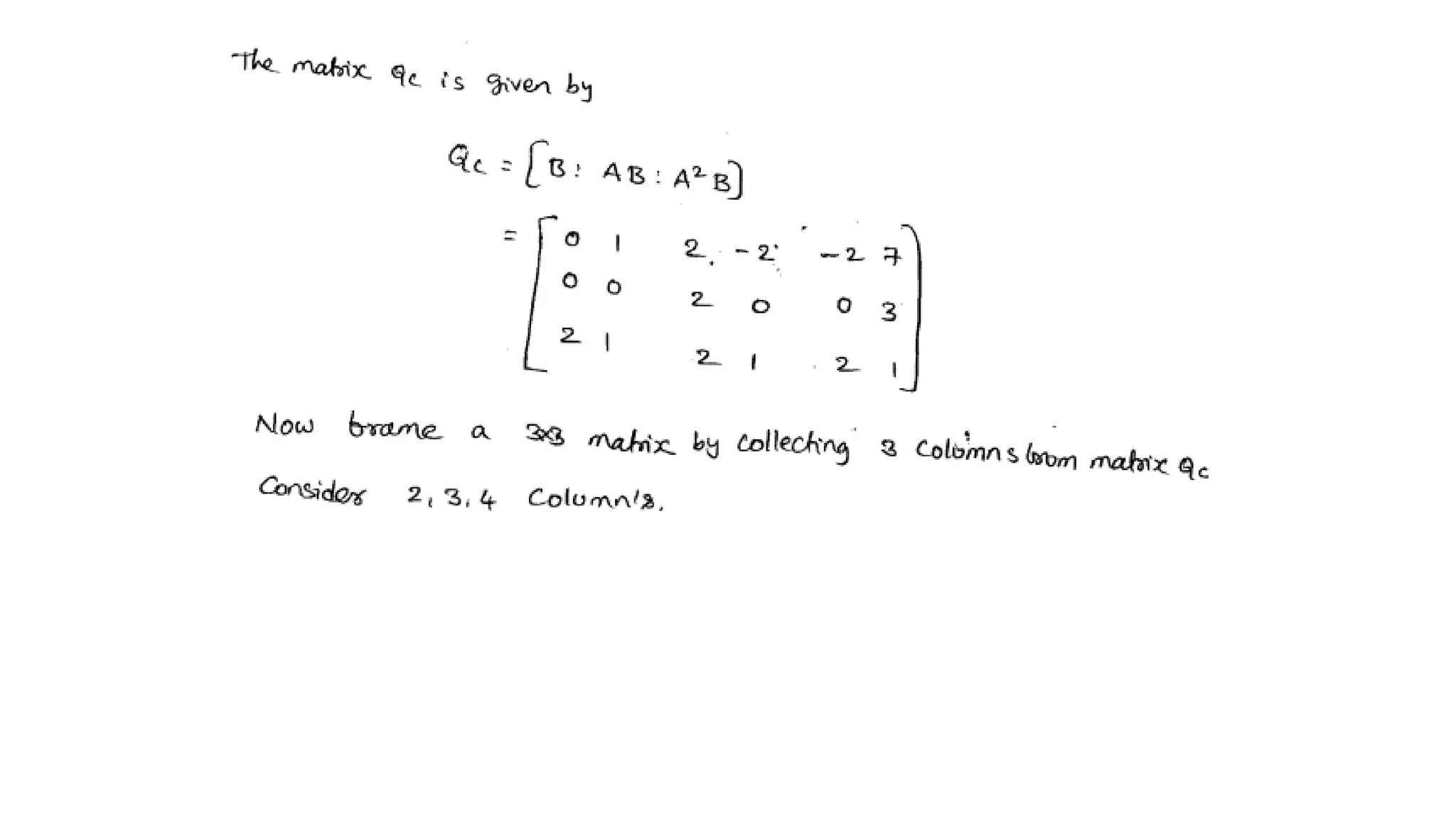
controllability and observability
verify the controllability and observability of a control system
which is represented in the state space model as,
Solution:
OBSERVABILITY:
CONTROLLABILITY:
OBSERVABILITY:
Problem:2
Solution:
Properties of
State Transition Matrix
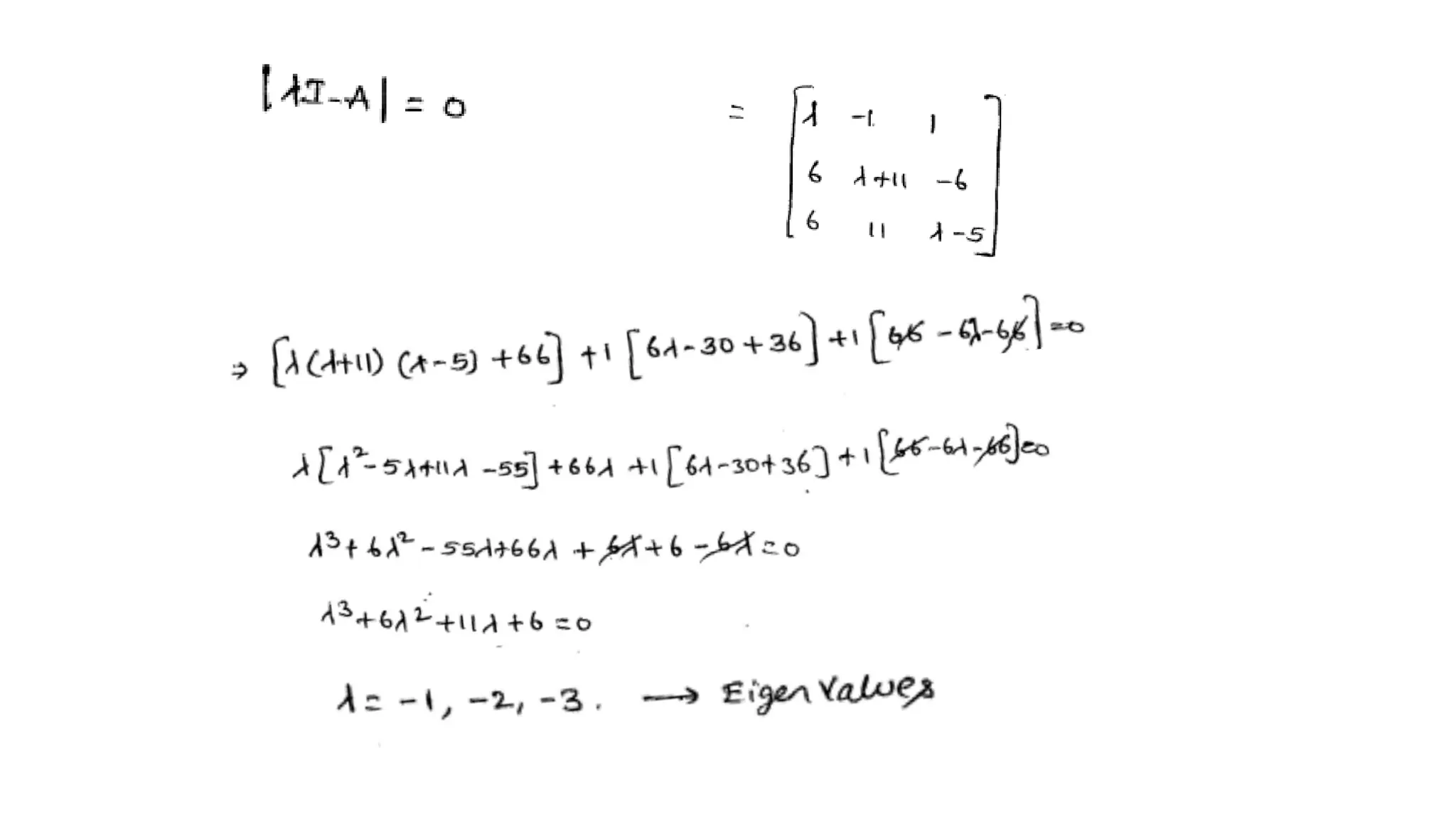
DIAGONALISATION
Diagonalisation of the matrix is also called as
the canonical form representation of state model
Procedure for
Diagonalizing a Matrix:
Step 1 Find n linearly independent eigenvectors of A, say M1,
M2, ..., Mn.
Step 2 Form the matrix M having M1, M2, ..., Mn as its column
vectors.
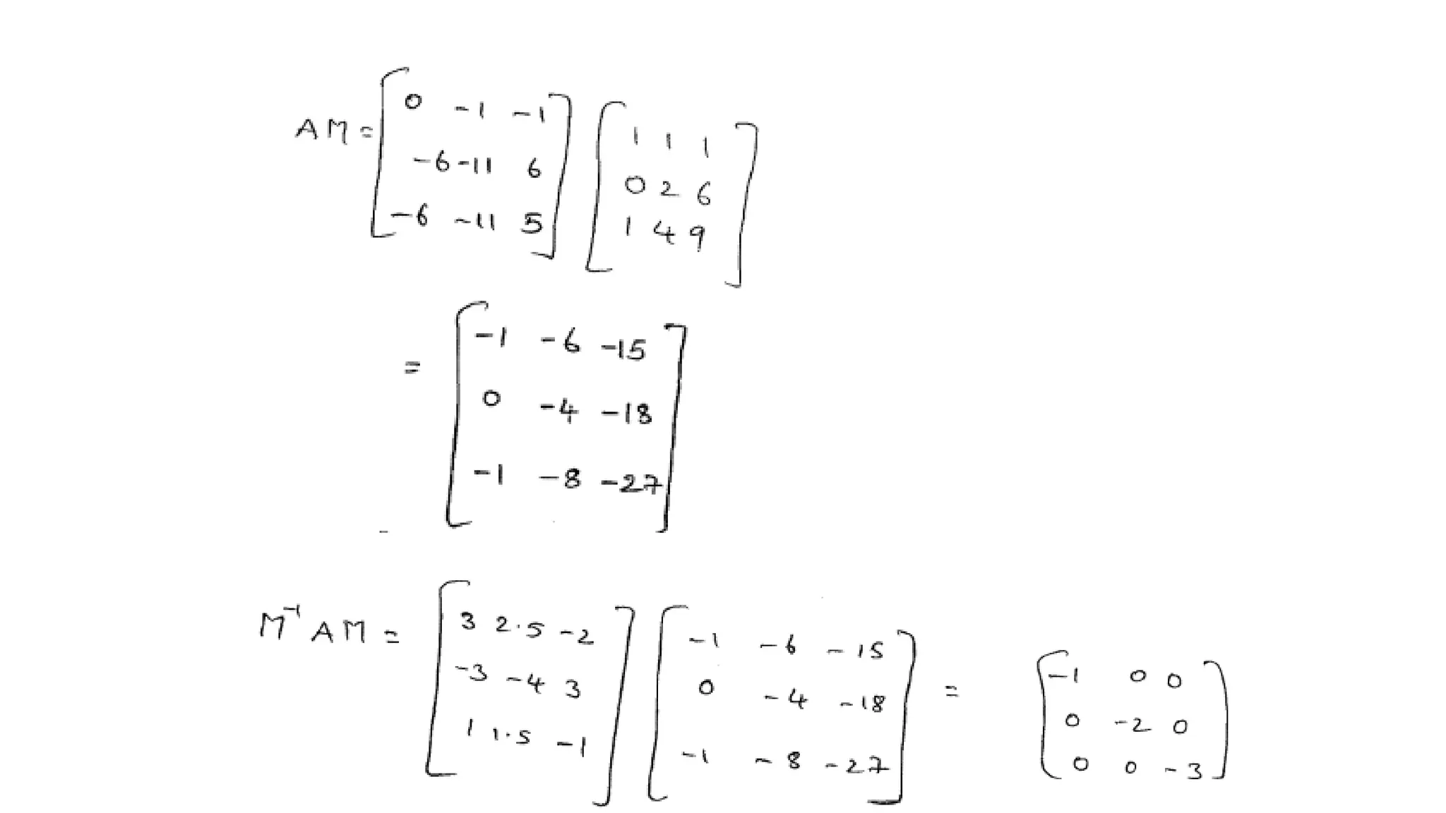
Step 3 The matrix M−1AM will then be diagonal with λ1, λ2, ...,
λn as its diagonal entries, where λi is the eigenvalue
corresponding to Mi , for i = 1, 2, ..., n.
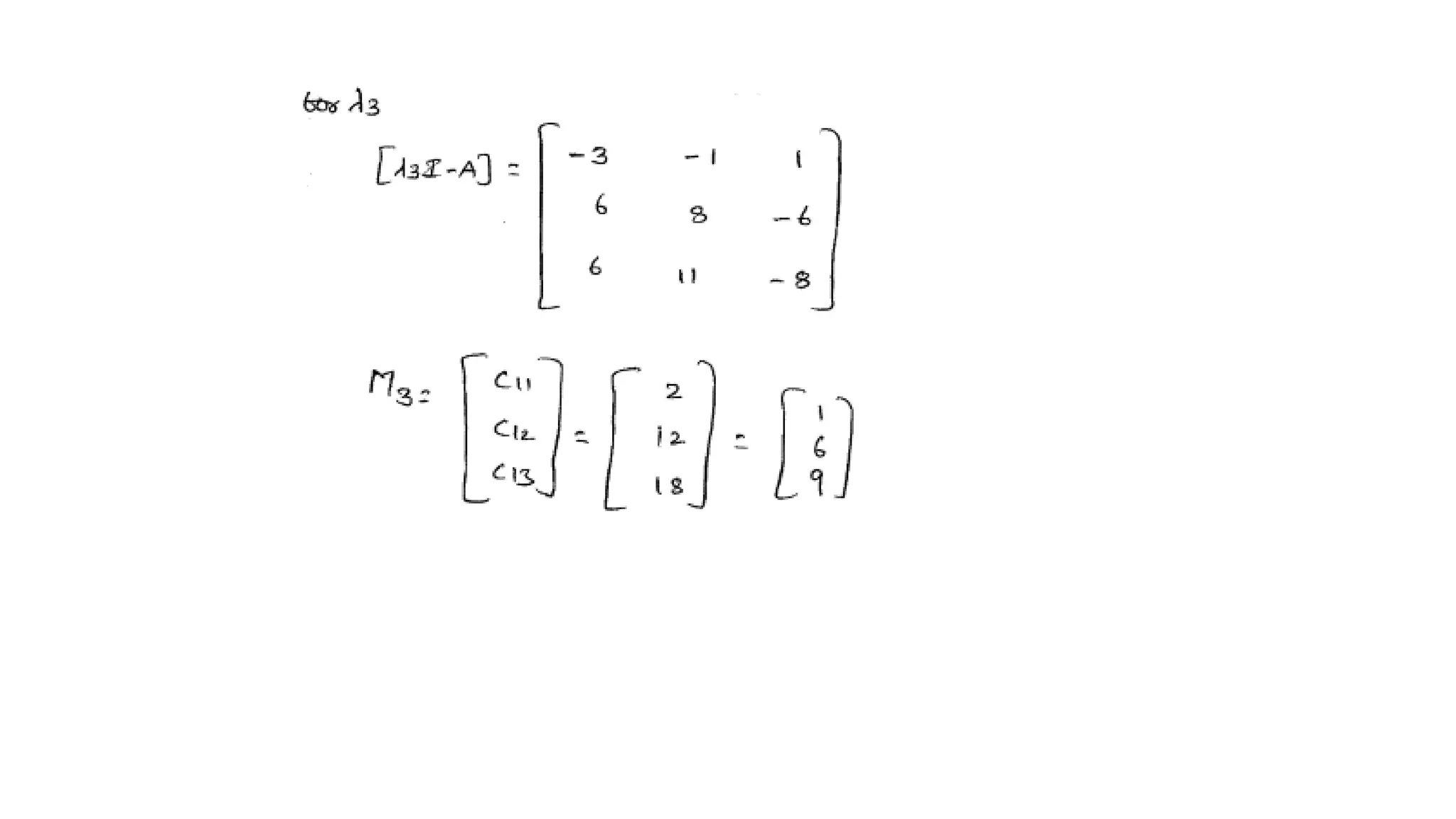
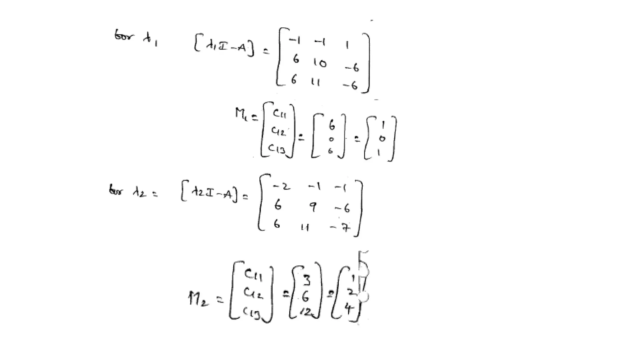
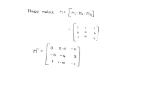
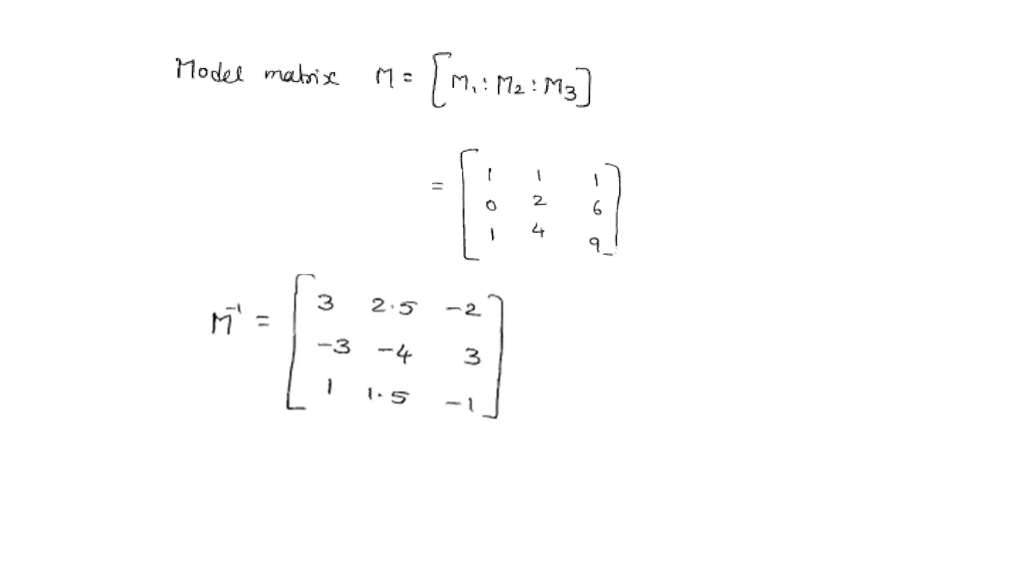
Example Problem on
Diagonalisation of Matrix
Solution:
Canonical Representation of State
model is
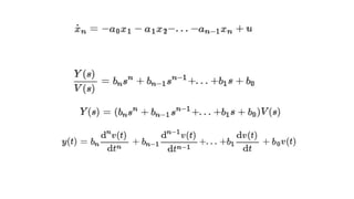
Transfer Function from SSM
We know the state space model of a Linear Time-
Invariant (LTI) system is
Apply Laplace Transform on both sides of
the state equation.
Apply Laplace Transform on both sides of the
output equation
Substitute, X(s) value in the above equation
Calculate the transfer function of the system represented in the
state space model as,
PROBLEM:
SOLUTION:
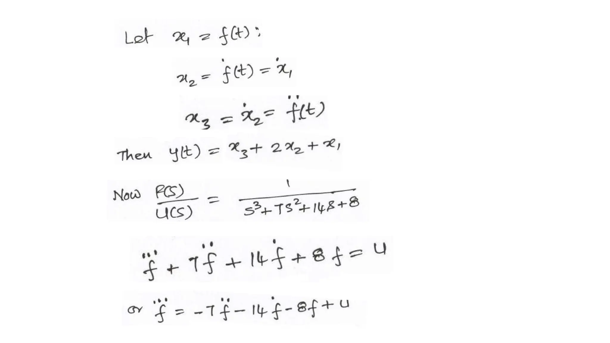
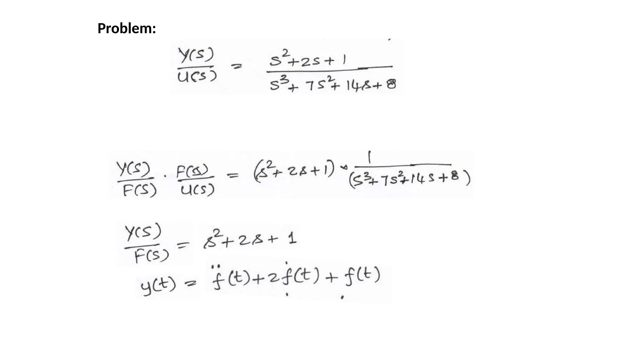
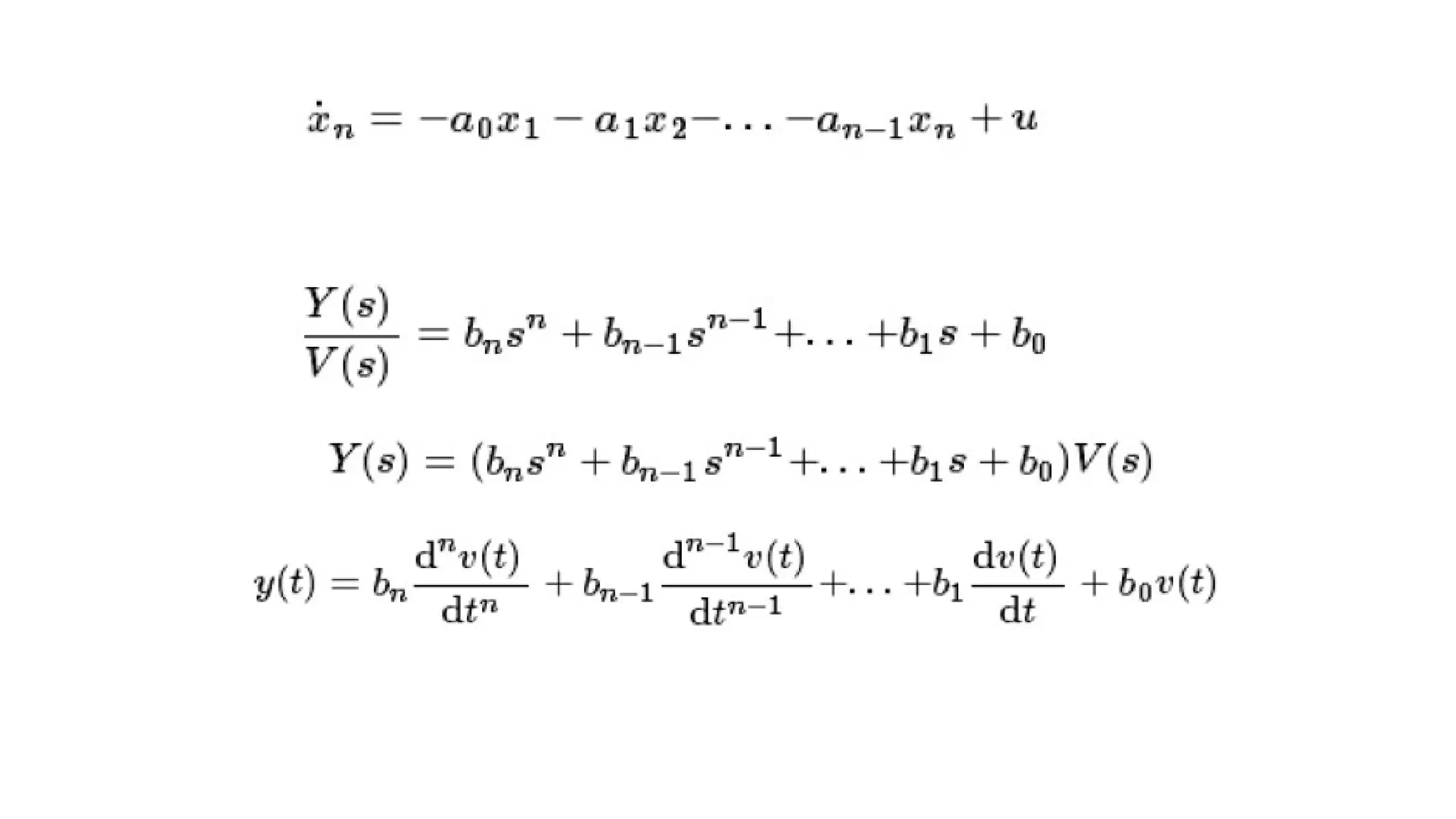
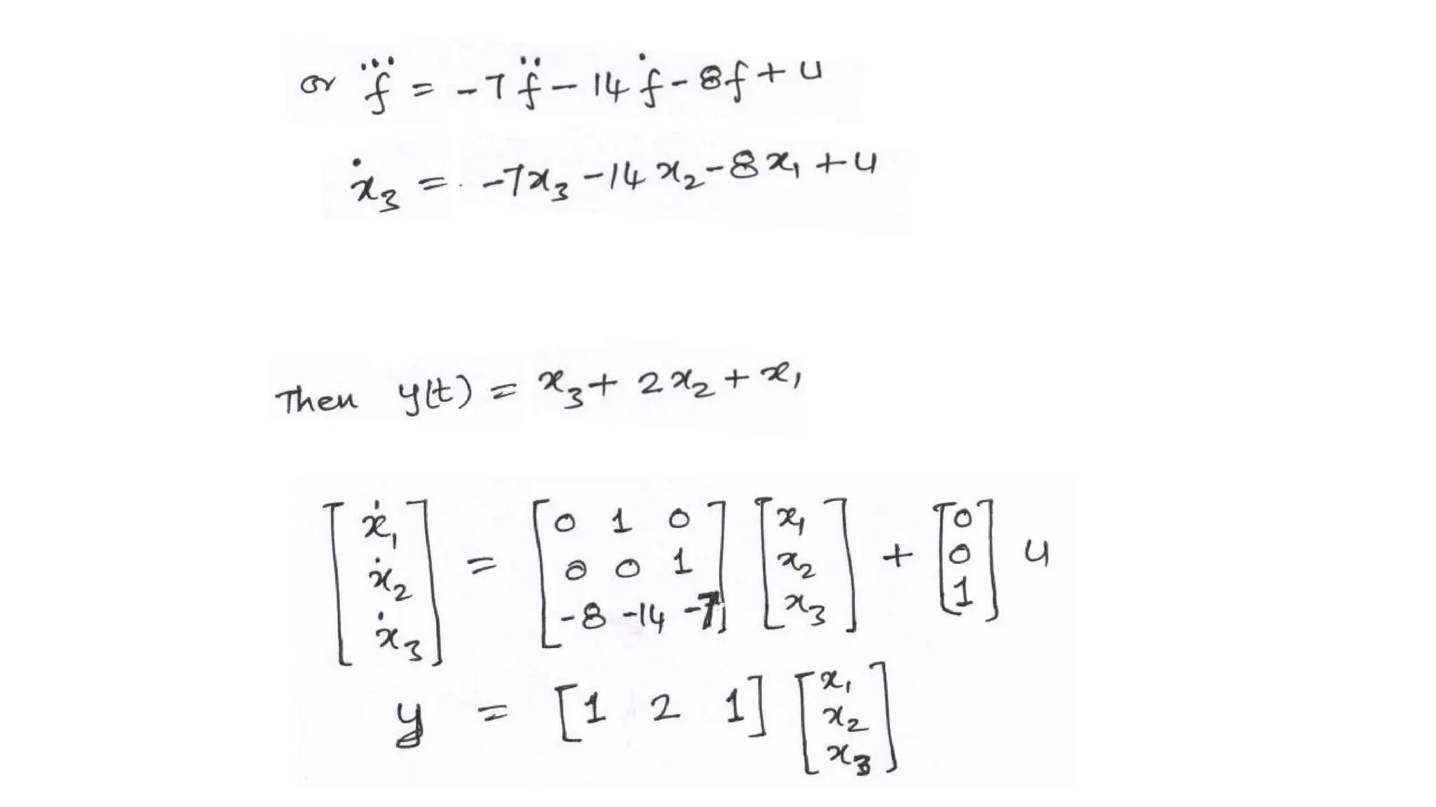
SSM from Transfer Function
Find the state space model for the system having transfer function.
Problem:
SOLUTION:
MODEL:2
Problem:
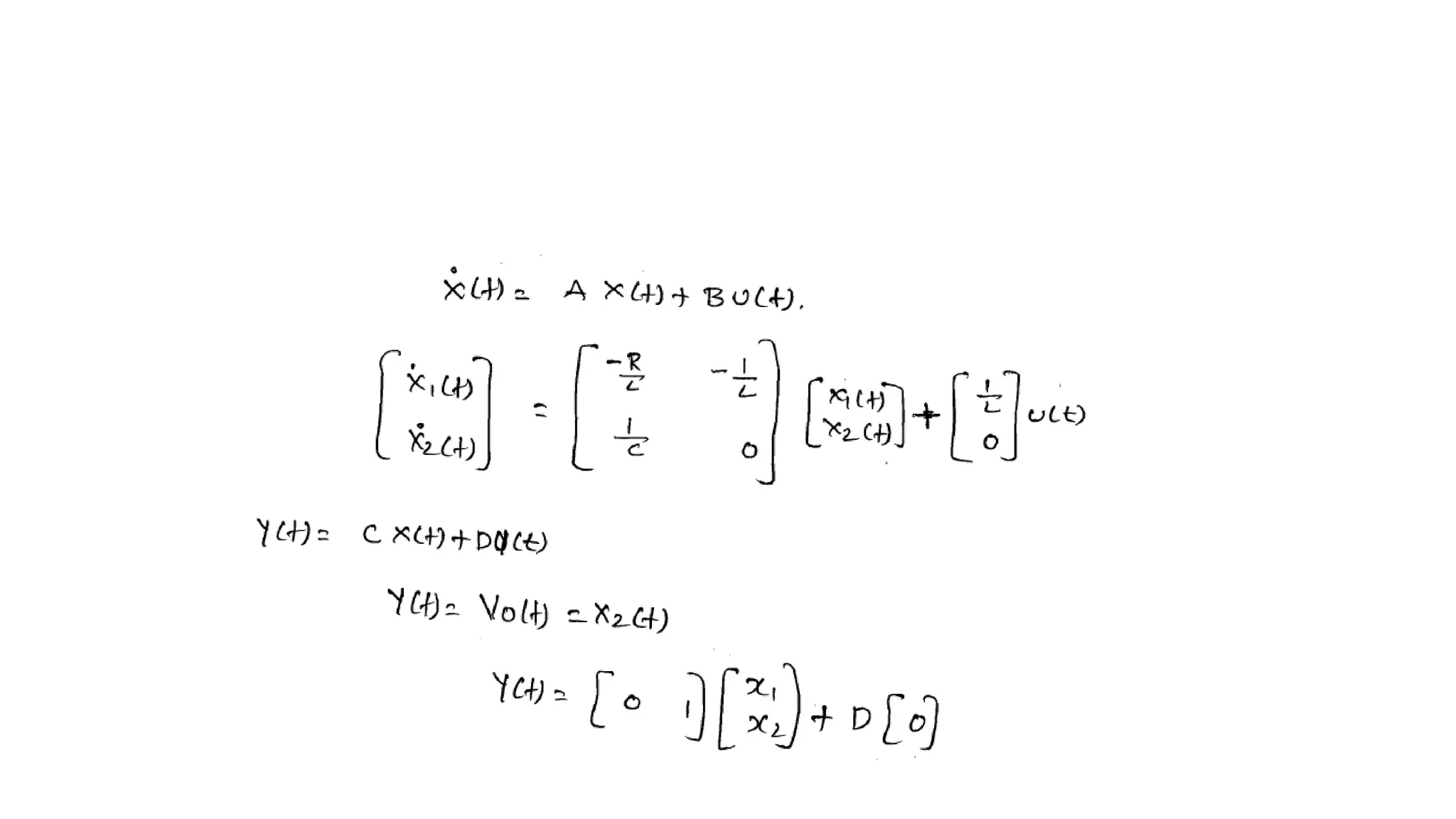
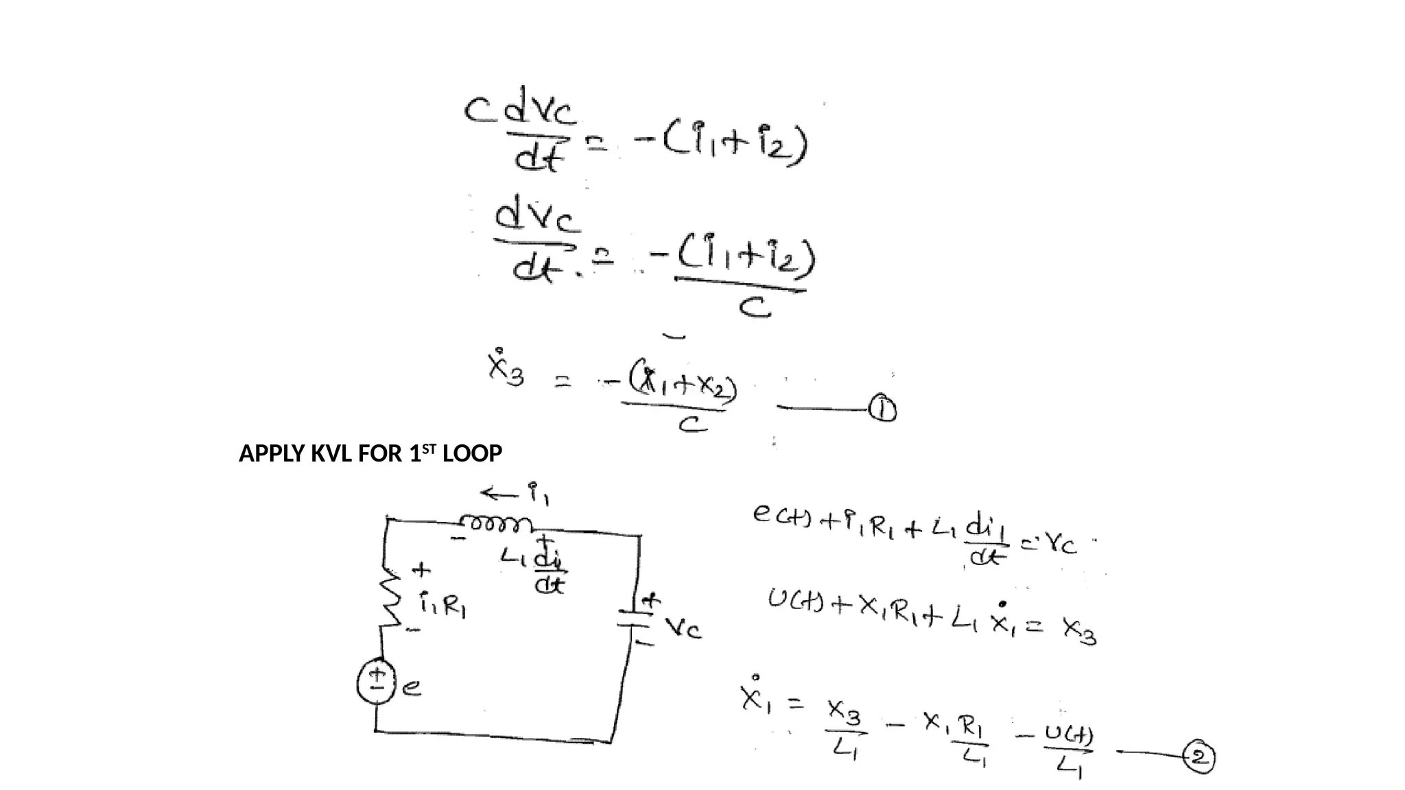
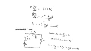
Electrical Circuit to SSM
Derive the State Space Model for the given
Electrical Network
From the Circuit
PROBLEM:2
APPLY KVL FOR 1ST
LOOP
APPLY KVL FOR 2ND
LOOP
Thank You

Linear Control Systems unit 5 complete d

  • 1.
  • 2.
    State : It isa group of variables, which summarizes the history of the system in order to predict the future values (outputs). State Variable: The number of the state variables required is equal to the number of the storage elements present in the system. State Vector: Terms used in State Space Model It is a vector, which contains the state variables as elements.  The state space model can be obtained from any one of these two mathematical models  Those are the differential equation model and the transfer function model .
  • 3.
    State Variable: Thestate of a dynamic system is the smallest set of variables called state variables such that the knowledge of these variables at time t=to (Initial condition), together with the knowledge of input for ≥ 0 , 𝑡 completely determines the behavior of the system for any time ≥ 0 . 𝑡 𝑡 State vector: If n state variables are needed to completely describe the behaviour of a given system, then these n state variables can be considered the n components of a vector X. Such a vector is called a state vector. State space: The n-dimensional space whose co-ordinate axes consists of the x1 axis, x2 axis,.... xn axis, where x1 , x2 ,..... xn are state variables: is called a state space
  • 4.
    Advantages of StateSpace Method(SSM)  It can analyze multi input and multi output systems easily  It can gives the information about controllability of the system  It can describes all dynamic Systems  The analysis of the system can be possible by considering the initial conditions of the system  Accurate than Transfer Function Dis- Advantages:  More computations are required  Techniques are more complex compared to T.F,,D.E
  • 48.
    Problem on controllability andobservability verify the controllability and observability of a control system which is represented in the state space model as, Solution:
  • 50.
  • 52.
  • 53.
  • 55.
  • 62.
  • 64.
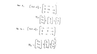
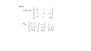
    DIAGONALISATION Diagonalisation of thematrix is also called as the canonical form representation of state model
  • 67.
    Procedure for Diagonalizing aMatrix: Step 1 Find n linearly independent eigenvectors of A, say M1, M2, ..., Mn. Step 2 Form the matrix M having M1, M2, ..., Mn as its column vectors. Step 3 The matrix M−1AM will then be diagonal with λ1, λ2, ..., λn as its diagonal entries, where λi is the eigenvalue corresponding to Mi , for i = 1, 2, ..., n.
  • 68.
  • 69.
  • 76.
  • 77.
    Transfer Function fromSSM We know the state space model of a Linear Time- Invariant (LTI) system is Apply Laplace Transform on both sides of the state equation. Apply Laplace Transform on both sides of the output equation
  • 78.
    Substitute, X(s) valuein the above equation
  • 79.
    Calculate the transferfunction of the system represented in the state space model as, PROBLEM: SOLUTION:
  • 82.
    SSM from TransferFunction Find the state space model for the system having transfer function. Problem: SOLUTION:
  • 85.
  • 89.
  • 92.
    Electrical Circuit toSSM Derive the State Space Model for the given Electrical Network
  • 93.
  • 95.
  • 96.
    APPLY KVL FOR1ST LOOP
  • 97.
    APPLY KVL FOR2ND LOOP
  • 99.