Control Systems
1
Department of Electronics & Communication Engineering,
Madan Mohan Malaviya University of Technology, Gorakhpur
Subject Code: BEC-26 Third Year ECE
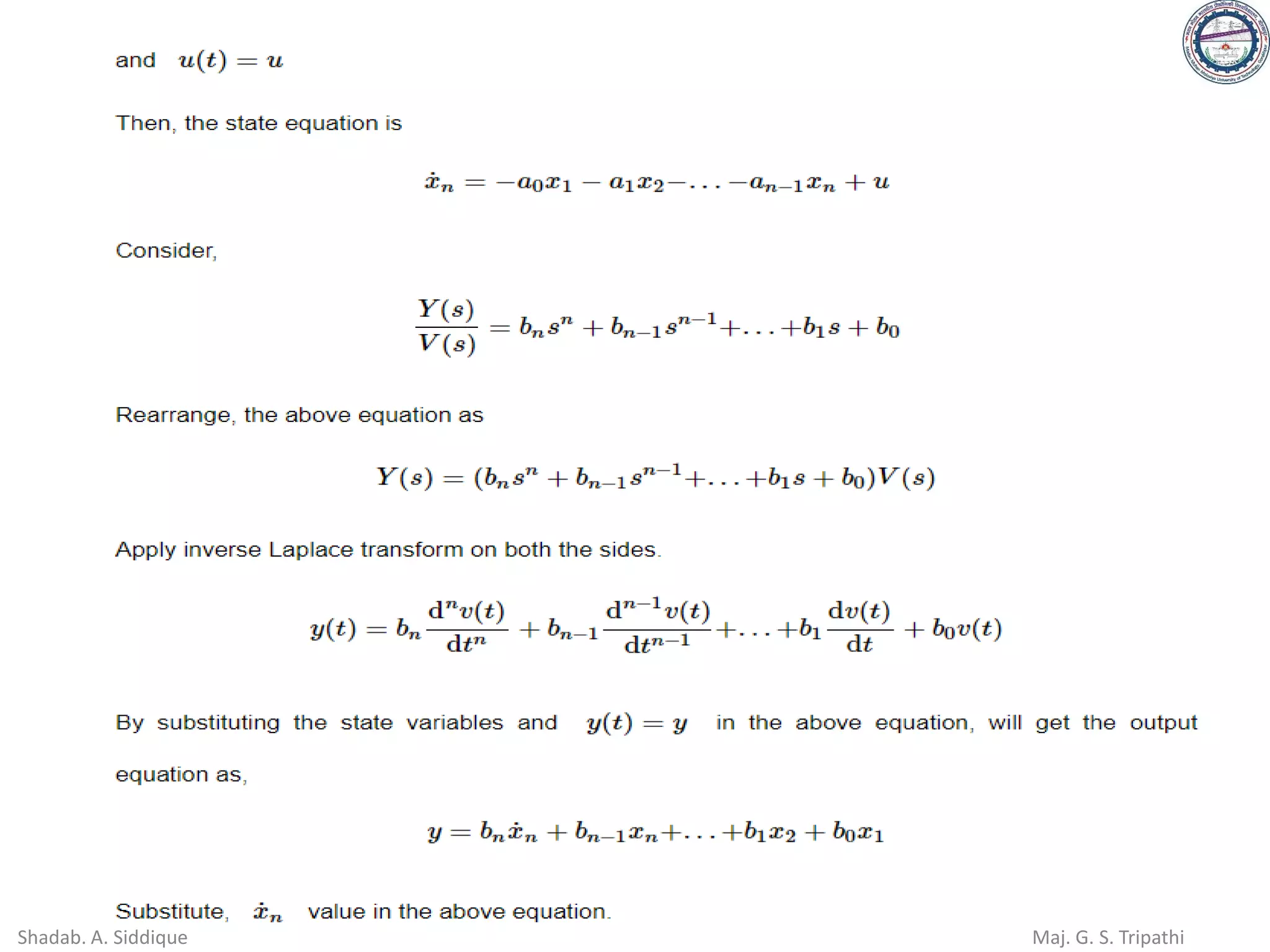
Shadab A. Siddique Maj. G. S. Tripathi
Assistant Professor Associate Professor
Unit-II
State space analysis
State space analysis is an excellent method for the design and analysis of control
systems. The conventional and old method for the design and analysis of control systems
is the transfer function method. The transfer function method for design and analysis had
many drawbacks.
Advantages of state variable analysis.
▪ It can be applied to non linear system.
▪ It can be applied to tile invariant systems.
▪ It can be applied to multiple input multiple output systems.
▪ Its gives idea about the internal state of the system.
State Variable Analysis and Design
State: The state of a dynamic system is the smallest set of variables called state variables
such that the knowledge of these variables at time t=to (Initial condition), together with the
knowledge of input for ≥ 𝑡0 , completely determines the behaviour of the system for any
time 𝑡 ≥ 𝑡0 .
State vector: If n state variables are needed to completely describe the behaviour of a
given system, then these n state variables can be considered the n components of a vector
X. Such a vector is called a state vector.
State space: The n-dimensional space whose co-ordinate axes consists of the x1 axis, x2
axis,.... xn axis, where x1 , x2 ,..... xn are state variables: is called a state space.
Shadab. A. Siddique Maj. G. S. Tripathi
STATE VARIABLE MODELS
✓ We consider physical sytems described by nth-order ordinary differential equation.
Utilizing a set of variables, known as state variables, we can obtain a set of first-
order differential equations. We group these first-order equations using a compact
matrix notation in a model known as the state variable model.
✓ The time-domain state variable model lends itself readily to computer solution and
analysis. The Laplace transform is utilized to transform the differential equations
representing the system to an algebraic equation expressed in terms of the complex
variable s. Utilizing this algebraic equation, we are able to obtain a transfer function
representation of the input-output relationship.
✓ With the ready availability of digital computers, it is convenient to consider the time-
domain formulation of the equations representing control system. The time domain
techniques can be utilized for nonlinear, time varying, and multivariable systems.
Shadab. A. Siddique Maj. G. S. Tripathi
A time-varying control system is a system for which one or more of the
parameters of the system may vary as a function of time.
For example, the mass of a missile varies as a function of time as the fuel is
expended during flight. A multivariable system is a system with several input
and output.
The State Variables of a Dynamic System:
The time-domain analysis and design of control systems utilizes the concept
of the state of a system.
The state of a system is a set of variables such that the knowledge of these
variables and the input functions will, with the equations describing the
dynamics, provide the future state and output of the system.
Shadab. A. Siddique Maj. G. S. Tripathi
Lets consider a multi input & multi output system is having
r inputs 𝑢1 𝑡 , 𝑢2 𝑡 , … …. 𝑢𝑟(𝑡)
m no of outputs 𝑦1 𝑡 ,𝑦2 𝑡 , … … . 𝑦𝑚 (𝑡)
n no of state variables 𝑥1 𝑡 , 𝑥2 𝑡 , … … . 𝑥𝑛 (𝑡)
Then the state model is given by state & output equation
A is state matrix of size (n×n)
B is the input matrix of size (n×r)
C is the output matrix of size (m×n)
D is the direct transmission matrix of size (m×r)
X(t) is the state vector of size (n×1)
Y(t) is the output vector of size (m×1)
U(t) is the input vector of size (r×1)
(Block diagram of the linear, continuous time
control system represented in state space)
State Model
Shadab. A. Siddique Maj. G. S. Tripathi
For a dynamic system, the state of a system is described in terms of a set of
state variables
)]
t
(
x
)
t
(
x
)
t
(
x
[ n
2
1 
The state variables are those variables that determine the future behavior of
a system when the present state of the system and the excitation signals are
known. Consider the system shown in Figure 1, where y1(t) and y2(t) are the
output signals and u1(t) and u2(t) are the input signals. A set of state
variables [x1 x2 ... xn] for the system shown in the figure is a set such that
knowledge of the initial values of the state variables [x1(t0) x2(t0) ... xn(t0)] at
the initial time t0, and of the input signals u1(t) and u2(t) for t˃=t0, suffices to
determine the future values of the outputs and state variables.
System
Input Signals
u1(t)
u2(t)
Output Signals
y1(t)
y2(t)
System
u(t)
Input
x(0) Initial conditions
y(t)
Output
Figure 1. Dynamic system.
Shadab. A. Siddique Maj. G. S. Tripathi
The state variables describe the future response of a system, given the
present state, the excitation inputs, and the equations describing the
dynamics.
A simple example of a state variable is the state of an on-off light switch.
The switch can be in either the on or the off position, and thus the state of
the switch can assume one of two possible values. Thus, if we know the
present state (position) of the switch at t0 and if an input is applied, we are
able to determine the future value of the state of the element.
The concept of a set of state variables that
represent a dynamic system can be illustrated in
terms of the spring-mass-damper system shown
in Figure 2. The number of state variables chosen
to represent this system should be as small as
possible in order to avoid redundant state
variables. A set of state variables sufficient to
describe this system includes the position and the
velocity of the mass.
k c
m
y(t) u(t)
Figure 2. 1-dof system.
Shadab. A. Siddique Maj. G. S. Tripathi
dt
)
t
(
dy
)
t
(
x
)
t
(
y
)
t
(
x
2
1
=
=
y
y
c
y
)
t
(
u
W
,
y
k
2
1
E
,
y
m
2
1
E 2
2
2
1 
−

=

=
= 

Kinetic and Potential energies, virtual work.
Therefore we will define a set of variables as [x1 x2], where
Lagrange’s equation ( ) ( )
y
2
1
2
1
Q
y
E
E
y
E
E
dt
d
=

−

−









−


2
1 E
E
L −
=
Lagrangian of the system is expressed as Generalized Force
)
(
)
(
1
2
2
2
2
t
u
x
k
x
c
dt
dx
m
t
u
y
k
dt
dy
c
dt
y
d
m
=
+
+
=
+
+
Equation of motion in terms of state variables.
We can write the equations that describe the behavior of the spring-mass-
damper system as the set of two first-order differential equations.
Shadab. A. Siddique Maj. G. S. Tripathi
)
t
(
u
m
1
x
m
k
x
m
c
dt
dx
x
dt
dx
1
2
2
2
1
+
−
−
=
=
This set of difefrential equations
describes the behavior of the state of
the system in terms of the rate of
change of each state variables.
As another example of the state variable characterization of a system, consider the
RLC circuit shown in Figure 3.
u(t)
Current
source
L
C
R
Vc
Vo
iL
ic
( ) 2
c
2
c
2
2
L
1 v
C
2
1
dt
i
C
2
1
E
,
i
L
2
1
E =
=
= 
The state of this system can
be described in terms of a set
of variables [x1 x2], where x1
is the capacitor voltage vc(t)
and x2 is equal to the inductor
current iL(t). This choice of
state variables is intuitively
satisfactory because the
stored energy of the network
can be described in terms of
these variables.
Figure 3
Shadab. A. Siddique Maj. G. S. Tripathi
Therefore x1(t0) and x2(t0) represent the total initial energy of the network and
thus the state of the system at t=t0.
Utilizing Kirchhoff’s current low at the junction, we obtain a first order
differential equation by describing the rate of change of capacitor voltage
L
c
c i
)
t
(
u
dt
dv
C
i −
=
=
Kirchhoff’s voltage low for the right-hand loop provides the equation describing
the rate of change of inducator current as
c
L
L
v
i
R
dt
di
L +
−
=
The output of the system is represented by the linear algebraic equation
)
t
(
i
R
v L
0 =
Shadab. A. Siddique Maj. G. S. Tripathi
We can write the equations as a set of two first order differential equations in
terms of the state variables x1 [vC(t)] and x2 [iL(t)] as follows:
2
1
2
2
1
x
L
R
x
L
1
dt
dx
)
t
(
u
C
1
x
C
1
dt
dx
−
=
+
−
=
L
c
i
)
t
(
u
dt
dv
C −
=
c
L
L
v
i
R
dt
di
L +
−
=
The output signal is then 2
0
1 x
R
)
t
(
v
)
t
(
y =
=
Utilizing the first-order differential equations and the initial conditions of the
network represented by [x1(t0) x2(t0)], we can determine the system’s future
and its output.
The state variables that describe a system are not a unique set, and several
alternative sets of state variables can be chosen. For the RLC circuit, we
might choose the set of state variables as the two voltages, vC(t) and vL(t).
Shadab. A. Siddique Maj. G. S. Tripathi
In an actual system, there are several choices of a set of state variables that
specify the energy stored in a system and therefore adequately describe the
dynamics of the system.
The state variables of a system characterize the dynamic behavior of a
system. The engineer’s interest is primarily in physical, where the variables
are voltages, currents, velocities, positions, pressures, temperatures, and
similar physical variables.
The State Differential Equation:
The state of a system is described by the set of first-order differential
equations written in terms of the state variables [x1 x2 ... xn]. These first-
order differential equations can be written in general form as
m
nm
1
1
n
n
nn
2
2
n
1
1
n
n
m
m
2
1
21
n
n
2
2
22
1
21
2
m
m
1
1
11
n
n
1
2
12
1
11
1
u
b
u
b
x
a
x
a
x
a
x
u
b
u
b
x
a
x
a
x
a
x
u
b
u
b
x
a
x
a
x
a
x










+
+
+
+
=
+
+
+
+
=
+
+
+
+
=
Shadab. A. Siddique Maj. G. S. Tripathi
Thus, this set of simultaneous differential equations can be written in matrix
form as follows:




















+
























=












m
1
nm
1
n
m
1
11
n
2
1
nn
2
n
1
n
n
2
22
21
n
1
12
11
n
2
1
u
u
b
b
b
b
x
x
x
a
a
a
a
a
a
a
a
a
x
x
x
dt
d















n: number of state variables, m: number of inputs.
The column matrix consisting of the state variables is called the state vector
and is written as












=
n
2
1
x
x
x
x

Shadab. A. Siddique Maj. G. S. Tripathi
The vector of input signals is defined as u. Then the system can be represented by the
compact notation of the state differential equation as
u
B
x
A
x +
=

This differential equation is also commonly called the state equation. The matrix A is
an nxn square matrix, and B is an nxm matrix. The state differential equation relates the
rate of change of the state of the system to the state of the system and the input signals.
In general, the outputs of a linear system can be related to the state variables and the
input signals by the output equation
u
D
x
C
y +
=
Where y is the set of output signals expressed in column vector form. The state-space
representation (or state-variable representation) is comprised of the state variable
differential equation and the output equation.
 A(t) is called the state matrix,
 B(t) the input matrix,
 C(t) the output matrix, and
 D(t) the direct transmission matrix.
Shadab. A. Siddique Maj. G. S. Tripathi
)
t
(
u
0
C
1
x
L
R
L
1
C
1
0
x








+










−
−
=

We can write the state variable differential equation for the RLC circuit as
and the output as
 x
R
0
y =
The solution of the state differential equation can be obtained in a manner
similar to the approach we utilize for solving a first order differential equation.
Consider the first-order differential equation
bu
ax
x +
=

Where x(t) and u(t) are scalar functions of time. We expect an exponential
solution of the form eat. Taking the Laplace transform of both sides, we have
Shadab. A. Siddique Maj. G. S. Tripathi
)
s
(
U
b
)
s
(
X
a
x
)
s
(
X
s 0 +
=
−
therefore,
)
s
(
U
a
s
b
a
s
)
0
(
x
)
s
(
X
−
+
−
=
The inverse Laplace transform of X(s) results in the solution
 

+
= 
−
t
0
)
t
(
a
at
d
)
(
u
b
e
)
0
(
x
e
)
t
(
x
We expect the solution of the state differential equation to be similar to x(t)
and to be of differential form. The matrix exponential function is defined
as

 +
+
+
+
+
=
!
k
t
A
!
2
t
A
At
I
e
k
k
2
2
At
Shadab. A. Siddique Maj. G. S. Tripathi
which converges for all finite t and any A. Then the solution of the state
differential equation is found to be
    )
s
(
U
B
A
sI
)
0
(
x
A
sI
)
s
(
X
d
)
(
u
B
e
)
0
(
x
e
)
t
(
x
1
1
t
0
)
t
(
A
At
−
−

−
−
+
−
=


+
= 
where we note that [sI-A]-1=ϕ(s), which is the Laplace transform of ϕ(t)=eAt.
The matrix exponential function ϕ(t) describes the unforced response of
the system and is called the fundamental or state transition matrix.
 


−

+

=
t
0
d
)
(
u
B
)
t
(
)
0
(
x
)
t
(
)
t
(
x
Shadab. A. Siddique Maj. G. S. Tripathi
Shadab. A. Siddique Maj. G. S. Tripathi
Shadab. A. Siddique Maj. G. S. Tripathi
Shadab. A. Siddique Maj. G. S. Tripathi
Shadab. A. Siddique Maj. G. S. Tripathi
Shadab. A. Siddique Maj. G. S. Tripathi
Shadab. A. Siddique Maj. G. S. Tripathi
Shadab. A. Siddique Maj. G. S. Tripathi
Shadab. A. Siddique Maj. G. S. Tripathi
Shadab. A. Siddique Maj. G. S. Tripathi
Shadab. A. Siddique Maj. G. S. Tripathi
Shadab. A. Siddique Maj. G. S. Tripathi
Shadab. A. Siddique Maj. G. S. Tripathi
Shadab. A. Siddique Maj. G. S. Tripathi
Shadab. A. Siddique Maj. G. S. Tripathi
Shadab. A. Siddique Maj. G. S. Tripathi
Shadab. A. Siddique Maj. G. S. Tripathi
Shadab. A. Siddique Maj. G. S. Tripathi
Shadab. A. Siddique Maj. G. S. Tripathi
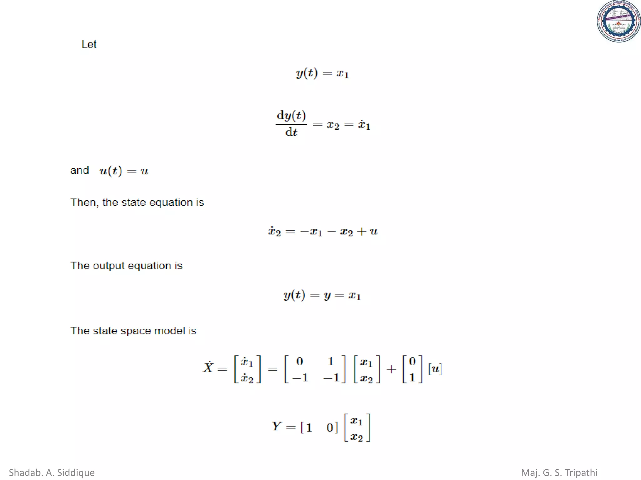
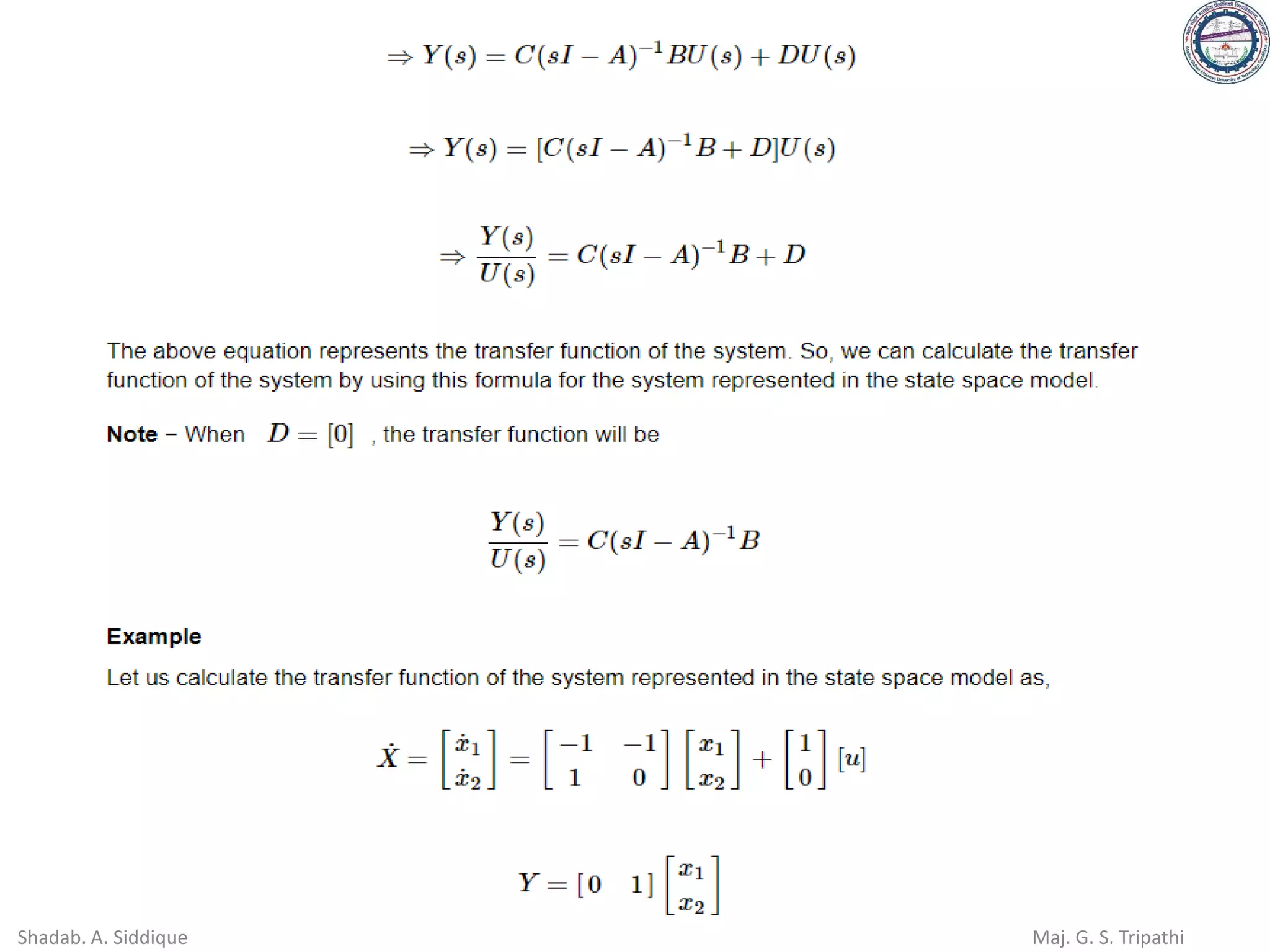
THE TRANSFER FUNCTION FROM THE STATE EQUATION
The transfer function of a single input-single output (SISO) system can be
obtained from the state variable equations.
u
B
x
A
x +
=

x
C
y =
where y is the single output and u is the single input. The Laplace transform
of the equations
)
s
(
CX
)
s
(
Y
)
s
(
U
B
)
s
(
AX
)
s
(
sX
=
+
=
where B is an nx1 matrix, since u is a single input. We do not include initial
conditions, since we seek the transfer function. Reordering the equation
Shadab. A. Siddique Maj. G. S. Tripathi
 
)
s
(
BU
)
s
(
C
)
s
(
Y
)
s
(
BU
)
s
(
)
s
(
BU
A
sI
)
s
(
X
)
s
(
U
B
)
s
(
X
]
A
sI
[
1

=

=
−
=
=
−
−
Therefore, the transfer function G(s)=Y(s)/U(s) is
B
)
s
(
C
)
s
(
G 
=
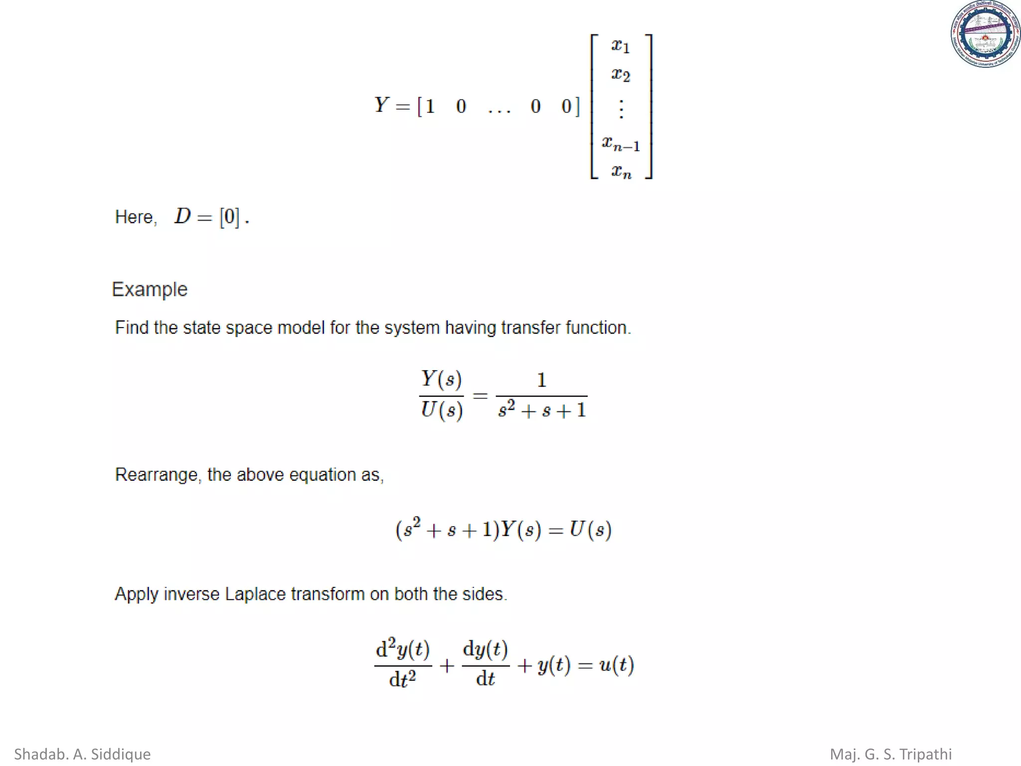
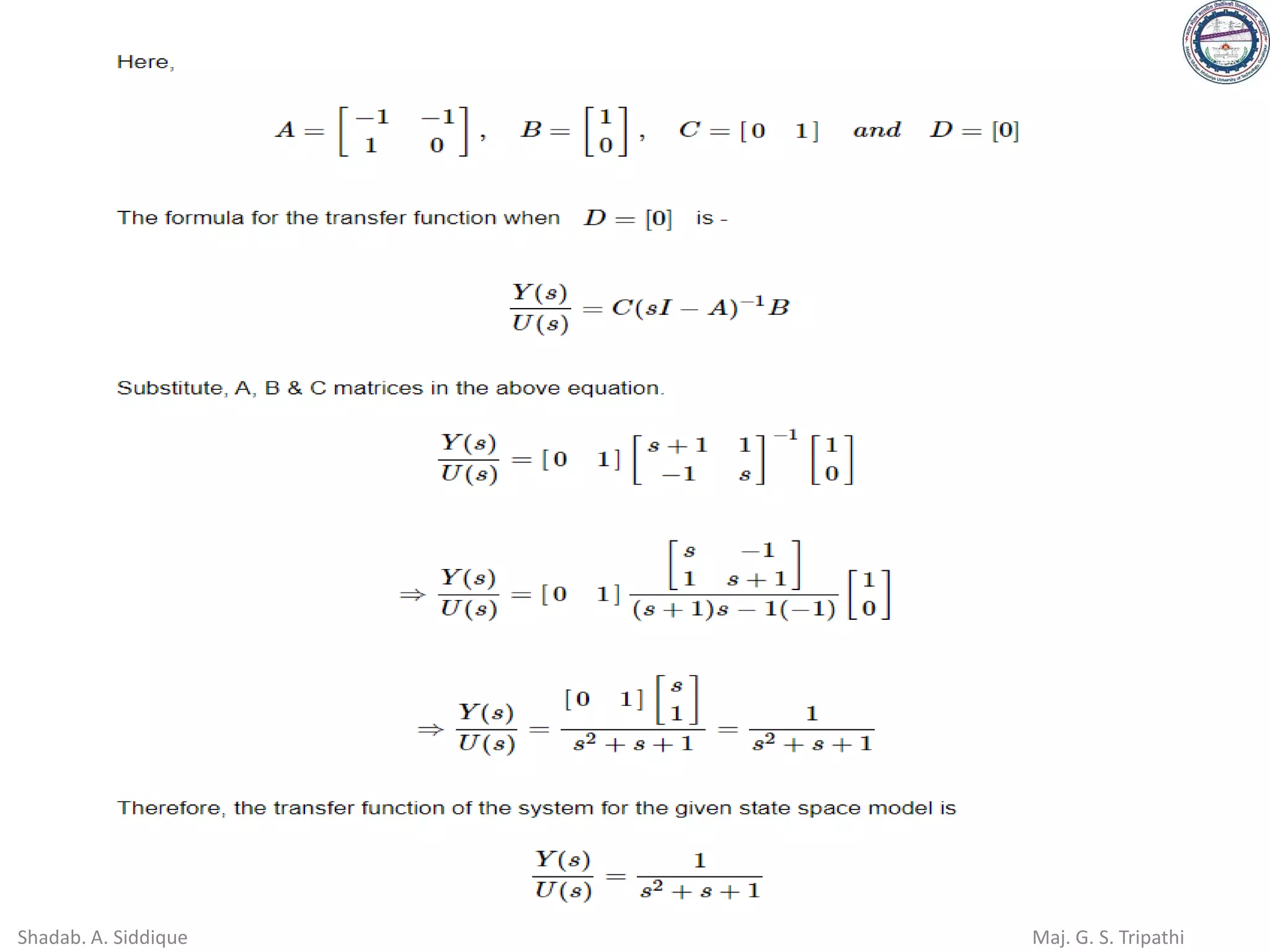
Example:
Determine the transfer function G(s)=Y(s)/U(s) for the RLC circuit as described
by the state differential function
 x
R
0
y
,
u
0
C
1
x
L
R
L
1
C
1
0
x =








+










−
−
=

Shadab. A. Siddique Maj. G. S. Tripathi
 










+
−
=
−
L
R
s
L
1
C
1
s
A
sI
 
LC
1
s
L
R
s
)
s
(
s
L
1
C
1
L
R
s
)
s
(
1
A
sI
)
s
(
2
1
+
+
=











−
+

=
−
=

−
Then the transfer function is
 
LC
1
s
L
R
s
LC
/
R
)
s
(
LC
/
R
)
s
(
G
0
C
1
)
s
(
s
)
s
(
L
1
)
s
(
C
1
)
s
(
L
R
s
R
0
)
s
(
G
2
+
+
=

=

























−

+
=
Shadab. A. Siddique Maj. G. S. Tripathi
Example: Consider the third-order system
6
s
16
s
8
s
6
s
8
s
2
)
s
(
R
)
s
(
Y
)
s
(
G 2
3
2
+
+
+
+
+
=
=
We can obtain a state-space representation using the ss function. The state-
space representation of the system given by G(s) is
   
0
D
and
75
.
0
1
1
C
0
0
2
B
,
0
1
0
0
0
4
5
.
1
4
8
A
=
=










=









 −
−
−
=
Shadab. A. Siddique Maj. G. S. Tripathi
2
R(s)
1/s
-8
4
x1
1/s 1 1/s
x3 Y(s)
1
-4
-1.5
2
R(s)
-8
1/s
x2
1/s 0.75
1
1
Block diagram with x1 defined as the leftmost state variable.
   
0
D
and
75
.
0
1
1
C
0
0
2
B
,
0
1
0
0
0
4
5
.
1
4
8
A
=
=










=









 −
−
−
=
Shadab. A. Siddique Maj. G. S. Tripathi
 

+
= 
−
t
0
)
t
(
A
At
d
)
(
u
B
e
)
0
(
x
e
)
t
(
x
 


−

+

=
t
0
d
)
(
u
B
)
t
(
)
0
(
x
)
t
(
)
t
(
x
For the RLC network, the state-space representation is given as:
   
0
D
and
0
1
C
,
0
2
B
,
3
1
2
0
A =
=






=






−
−
=
The initial conditions are x1(0)=x2(0)=1 and the input u(t)=0.
Shadab. A. Siddique Maj. G. S. Tripathi
THE DESIGN OF STATE VARIABLE FEEDBACK SYSTEMS
The time-domain method, expressed in terms of state variables, can also be utilized
to design a suitable compensation scheme for a control system. Typically, we are
interested in controlling the system with a control signal, u(t), which is a function of
several measurable state variables. Then we develop a state variable controller that
operates on the information available in measured form.
State variable design is typically comprised of three steps. In the first step, we
assume that all the state variables are measurable and utilize them in a full-state
feedback control law. Full-state feedback is not usually practical because it is not
possible (in general) to measure all the states. In paractice, only certain states (or
linear combinations thereof) are measured and provided as system outputs. The
second step in state varaible design is to construct an observer to estimate the
states that are not directly sensed and available as outputs. Observers can either
be full-state observers or reduced-order observers. Reduced-order observers
account for the fact that certain states are already available as system outputs;
hence they do not need to be estimated. The final step in the design process is to
appropriately connect the observer to the full-state feedback conrol low. It is
common to refer to the state-varaible controller as a compensator. Additionally, it is
possible to consider reference inputs to the state variable compensator to complete
the design.
Dorf and Bishop, Modern Control Systems
Shadab. A. Siddique Maj. G. S. Tripathi
CONTROLLABILITY:
Full-state feedback design commonly relies on pole-placement
techniques. It is important to note that a system must be completely
controllable and completely observable to allow the flexibility to place all
the closed-loop system poles arbitrarily. The concepts of controllability and
observability were introduced by Kalman in the 1960s.
A system is completely controllable if there exists an unconstrained
control u(t) that can transfer any initial state x(t0) to any other desired
location x(t) in a finite time, t0≤t≤T.
Shadab. A. Siddique Maj. G. S. Tripathi
Shadab. A. Siddique Maj. G. S. Tripathi
For the system
Bu
Ax
x +
=

we can determine whether the system is controllable by examining the
algebraic condition
  n
B
A
B
A
AB
B
rank 1
n
2
=
−

The matrix A is an nxn matrix an B is an nx1 matrix. For multi input systems,
B can be nxm, where m is the number of inputs.
For a single-input, single-output system, the controllability matrix Pc is
described in terms of A and B as
 
B
A
B
A
AB
B
P 1
n
2
c
−
= 
which is nxn matrix. Therefore, if the determinant of Pc is nonzero, the system
is controllable.
Shadab. A. Siddique Maj. G. S. Tripathi
Example:
Consider the system
   u
0
x
0
0
1
y
,
u
1
0
0
x
a
a
a
1
0
0
0
1
0
x
2
1
0
+
=










+










−
−
−
=

( )









−
−
=










−
=










=










−
−
−
=
1
2
2
2
2
2
2
1
0 a
a
a
1
B
A
,
a
1
0
AB
,
1
0
0
B
,
a
a
a
1
0
0
0
1
0
A
 
( )









−
−
−
=
=
1
2
2
2
2
2
c
a
a
a
1
a
1
0
1
0
0
B
A
AB
B
P
The determinant of Pc =1 and ≠0 , hence this system is controllable.
Shadab. A. Siddique Maj. G. S. Tripathi
Example.
Consider a system represented by the two state equations
1
2
2
1
1 x
d
x
3
x
,
u
x
2
x +
−
=
+
−
= 

The output of the system is y=x2. Determine the condition of controllability.
   u
0
x
1
0
y
,
u
0
1
x
3
d
0
2
x +
=






+






−
−
=






 −
=





−
=












−
−
=






=
d
0
2
1
P
d
2
0
1
3
d
0
2
AB
and
0
1
B
c The determinant of pc is equal to d, which is
nonzero only when d is nonzero.
Shadab. A. Siddique Maj. G. S. Tripathi
The controllability matrix Pc can be constructed in Matlab by using ctrb
command.












−
−
−
−
=












=
2
.
8
0
20000
20000
0
5
.
20
500
500
1
0
0
0
0
1
0
0
A
,
0
50
0
0
B
From two-mass system,
Pc =
1.0e+007 *
0 0.0000 -0.0001 -0.0004
0 0 0 0.1000
0.0000 -0.0001 -0.0004 0.0594
0 0 0.1000 -2.8700
rank_Pc =
4
det_Pc =
-2.5000e+015
clc
clear
A=[0 0 1 0;0 0 0 1;-500 500 -20.5
0;20000 -20000 0 -8.2];
B=[0;0;50;0];
Pc=ctrb(A,B)
rank_Pc=rank(Pc)
det_Pc=det(Pc)
The system is
controllable.
Shadab. A. Siddique Maj. G. S. Tripathi
OBSERVABILITY:
All the poles of the closed-loop system can be placed arbitrarily in the complex
plane if and only if the system is observable and controllable. Observability
refers to the ability to estimate a state variable.
A system is completely observable if and only if there exists a finite time T
such that the initial state x(0) can be determined from the
observation history y(t) given the control u(t).
Cx
y
and
Bu
Ax
x =
+
=

Consider the single-input, single-output system
where C is a 1xn row vector, and x is an nx1 column vector. This system is
completely observable when the determinant of the observability matrix P0
is nonzero.
Shadab. A. Siddique Maj. G. S. Tripathi
The observability matrix, which is an nxn matrix, is written as












=
−1
n
O
A
C
A
C
C
P

Shadab. A. Siddique Maj. G. S. Tripathi
   
1
0
0
CA
,
0
1
0
CA 2
=
=
Thus, we obtain










=
1
0
0
0
1
0
0
0
1
PO
The det P0=1, and the system is completely observable. Note that
determination of observability does not utility the B and C matrices.
Example: Consider the system given by
 x
1
1
y
and
u
1
1
x
1
1
0
2
x =






−
+






−
=

 
0
0
1
C
,
a
a
a
1
0
0
0
1
0
A
2
1
0
=










−
−
−
=
Example:
Consider the previously given system
Shadab. A. Siddique Maj. G. S. Tripathi
We can check the system controllability and observability using the Pc and P0
matrices.
From the system definition, we obtain






−
=






−
=
2
2
AB
and
1
1
B
  





−
−
=
=
2
1
2
1
AB
B
Pc
Therefore, the controllability matrix is determined to be
det Pc=0 and rank(Pc)=1. Thus, the system is not controllable.
  





−
−
=
=
2
1
2
1
AB
B
Pc
Therefore, the controllability matrix is determined to be
Shadab. A. Siddique Maj. G. S. Tripathi
From the system definition, we obtain
   
1
1
CA
and
1
1
C =
=






=






=
1
1
1
1
CA
C
Po
Therefore, the observability matrix is determined to be
det PO=0 and rank(PO)=1. Thus, the system is not observable.
If we look again at the state model, we note that
2
1 x
x
y +
=
However,
( ) 2
1
1
2
1
2
1 x
x
u
u
x
x
x
2
x
x +
=
−
+
−
+
=
+ 

Shadab. A. Siddique Maj. G. S. Tripathi
Thus, the system state variables do not depend on u, and the system is not
controllable. Similarly, the output (x1+x2) depends on x1(0) plus x2(0) and does
not allow us to determine x1(0) and x2(0) independently. Consequently, the
system is not observable.
The observability matrix PO can be constructed in Matlab by using obsv
command.
From two-mass system,
Po =
1 1
1 1
rank_Po =
1
det_Po =
0
clc
clear
A=[2 0;-1 1];
C=[1 1];
Po=obsv(A,C)
rank_Po=rank(Po)
det_Po=det(Po) The system is not
observable.
Shadab. A. Siddique Maj. G. S. Tripathi
Shadab. A. Siddique Maj. G. S. Tripathi
Shadab. A. Siddique Maj. G. S. Tripathi
Shadab. A. Siddique Maj. G. S. Tripathi
Shadab. A. Siddique Maj. G. S. Tripathi
UNIT-II
The End
Thank You
59
Shadab. A. Siddique Maj. G. S. Tripathi

BEC- 26 control systems_unit-II

  • 1.
    Control Systems 1 Department ofElectronics & Communication Engineering, Madan Mohan Malaviya University of Technology, Gorakhpur Subject Code: BEC-26 Third Year ECE Shadab A. Siddique Maj. G. S. Tripathi Assistant Professor Associate Professor Unit-II
  • 2.
    State space analysis Statespace analysis is an excellent method for the design and analysis of control systems. The conventional and old method for the design and analysis of control systems is the transfer function method. The transfer function method for design and analysis had many drawbacks. Advantages of state variable analysis. ▪ It can be applied to non linear system. ▪ It can be applied to tile invariant systems. ▪ It can be applied to multiple input multiple output systems. ▪ Its gives idea about the internal state of the system. State Variable Analysis and Design State: The state of a dynamic system is the smallest set of variables called state variables such that the knowledge of these variables at time t=to (Initial condition), together with the knowledge of input for ≥ 𝑡0 , completely determines the behaviour of the system for any time 𝑡 ≥ 𝑡0 . State vector: If n state variables are needed to completely describe the behaviour of a given system, then these n state variables can be considered the n components of a vector X. Such a vector is called a state vector. State space: The n-dimensional space whose co-ordinate axes consists of the x1 axis, x2 axis,.... xn axis, where x1 , x2 ,..... xn are state variables: is called a state space. Shadab. A. Siddique Maj. G. S. Tripathi
  • 3.
    STATE VARIABLE MODELS ✓We consider physical sytems described by nth-order ordinary differential equation. Utilizing a set of variables, known as state variables, we can obtain a set of first- order differential equations. We group these first-order equations using a compact matrix notation in a model known as the state variable model. ✓ The time-domain state variable model lends itself readily to computer solution and analysis. The Laplace transform is utilized to transform the differential equations representing the system to an algebraic equation expressed in terms of the complex variable s. Utilizing this algebraic equation, we are able to obtain a transfer function representation of the input-output relationship. ✓ With the ready availability of digital computers, it is convenient to consider the time- domain formulation of the equations representing control system. The time domain techniques can be utilized for nonlinear, time varying, and multivariable systems. Shadab. A. Siddique Maj. G. S. Tripathi
  • 4.
    A time-varying controlsystem is a system for which one or more of the parameters of the system may vary as a function of time. For example, the mass of a missile varies as a function of time as the fuel is expended during flight. A multivariable system is a system with several input and output. The State Variables of a Dynamic System: The time-domain analysis and design of control systems utilizes the concept of the state of a system. The state of a system is a set of variables such that the knowledge of these variables and the input functions will, with the equations describing the dynamics, provide the future state and output of the system. Shadab. A. Siddique Maj. G. S. Tripathi
  • 5.
    Lets consider amulti input & multi output system is having r inputs 𝑢1 𝑡 , 𝑢2 𝑡 , … …. 𝑢𝑟(𝑡) m no of outputs 𝑦1 𝑡 ,𝑦2 𝑡 , … … . 𝑦𝑚 (𝑡) n no of state variables 𝑥1 𝑡 , 𝑥2 𝑡 , … … . 𝑥𝑛 (𝑡) Then the state model is given by state & output equation A is state matrix of size (n×n) B is the input matrix of size (n×r) C is the output matrix of size (m×n) D is the direct transmission matrix of size (m×r) X(t) is the state vector of size (n×1) Y(t) is the output vector of size (m×1) U(t) is the input vector of size (r×1) (Block diagram of the linear, continuous time control system represented in state space) State Model Shadab. A. Siddique Maj. G. S. Tripathi
  • 6.
    For a dynamicsystem, the state of a system is described in terms of a set of state variables )] t ( x ) t ( x ) t ( x [ n 2 1  The state variables are those variables that determine the future behavior of a system when the present state of the system and the excitation signals are known. Consider the system shown in Figure 1, where y1(t) and y2(t) are the output signals and u1(t) and u2(t) are the input signals. A set of state variables [x1 x2 ... xn] for the system shown in the figure is a set such that knowledge of the initial values of the state variables [x1(t0) x2(t0) ... xn(t0)] at the initial time t0, and of the input signals u1(t) and u2(t) for t˃=t0, suffices to determine the future values of the outputs and state variables. System Input Signals u1(t) u2(t) Output Signals y1(t) y2(t) System u(t) Input x(0) Initial conditions y(t) Output Figure 1. Dynamic system. Shadab. A. Siddique Maj. G. S. Tripathi
  • 7.
    The state variablesdescribe the future response of a system, given the present state, the excitation inputs, and the equations describing the dynamics. A simple example of a state variable is the state of an on-off light switch. The switch can be in either the on or the off position, and thus the state of the switch can assume one of two possible values. Thus, if we know the present state (position) of the switch at t0 and if an input is applied, we are able to determine the future value of the state of the element. The concept of a set of state variables that represent a dynamic system can be illustrated in terms of the spring-mass-damper system shown in Figure 2. The number of state variables chosen to represent this system should be as small as possible in order to avoid redundant state variables. A set of state variables sufficient to describe this system includes the position and the velocity of the mass. k c m y(t) u(t) Figure 2. 1-dof system. Shadab. A. Siddique Maj. G. S. Tripathi
  • 8.
    dt ) t ( dy ) t ( x ) t ( y ) t ( x 2 1 = = y y c y ) t ( u W , y k 2 1 E , y m 2 1 E 2 2 2 1  −  =  = =  Kinetic and Potential energies, virtual work. Therefore we will define a set of variables as [x1 x2], where Lagrange’s equation ( ) ( ) y 2 1 2 1 Q y E E y E E dt d =  −  −          −   2 1 E E L − = Lagrangian of the system is expressed as Generalized Force ) ( ) ( 1 2 2 2 2 t u x k x c dt dx m t u y k dt dy c dt y d m = + + = + + Equation of motion in terms of state variables. We can write the equations that describe the behavior of the spring-mass- damper system as the set of two first-order differential equations. Shadab. A. Siddique Maj. G. S. Tripathi
  • 9.
    ) t ( u m 1 x m k x m c dt dx x dt dx 1 2 2 2 1 + − − = = This set ofdifefrential equations describes the behavior of the state of the system in terms of the rate of change of each state variables. As another example of the state variable characterization of a system, consider the RLC circuit shown in Figure 3. u(t) Current source L C R Vc Vo iL ic ( ) 2 c 2 c 2 2 L 1 v C 2 1 dt i C 2 1 E , i L 2 1 E = = =  The state of this system can be described in terms of a set of variables [x1 x2], where x1 is the capacitor voltage vc(t) and x2 is equal to the inductor current iL(t). This choice of state variables is intuitively satisfactory because the stored energy of the network can be described in terms of these variables. Figure 3 Shadab. A. Siddique Maj. G. S. Tripathi
  • 10.
    Therefore x1(t0) andx2(t0) represent the total initial energy of the network and thus the state of the system at t=t0. Utilizing Kirchhoff’s current low at the junction, we obtain a first order differential equation by describing the rate of change of capacitor voltage L c c i ) t ( u dt dv C i − = = Kirchhoff’s voltage low for the right-hand loop provides the equation describing the rate of change of inducator current as c L L v i R dt di L + − = The output of the system is represented by the linear algebraic equation ) t ( i R v L 0 = Shadab. A. Siddique Maj. G. S. Tripathi
  • 11.
    We can writethe equations as a set of two first order differential equations in terms of the state variables x1 [vC(t)] and x2 [iL(t)] as follows: 2 1 2 2 1 x L R x L 1 dt dx ) t ( u C 1 x C 1 dt dx − = + − = L c i ) t ( u dt dv C − = c L L v i R dt di L + − = The output signal is then 2 0 1 x R ) t ( v ) t ( y = = Utilizing the first-order differential equations and the initial conditions of the network represented by [x1(t0) x2(t0)], we can determine the system’s future and its output. The state variables that describe a system are not a unique set, and several alternative sets of state variables can be chosen. For the RLC circuit, we might choose the set of state variables as the two voltages, vC(t) and vL(t). Shadab. A. Siddique Maj. G. S. Tripathi
  • 12.
    In an actualsystem, there are several choices of a set of state variables that specify the energy stored in a system and therefore adequately describe the dynamics of the system. The state variables of a system characterize the dynamic behavior of a system. The engineer’s interest is primarily in physical, where the variables are voltages, currents, velocities, positions, pressures, temperatures, and similar physical variables. The State Differential Equation: The state of a system is described by the set of first-order differential equations written in terms of the state variables [x1 x2 ... xn]. These first- order differential equations can be written in general form as m nm 1 1 n n nn 2 2 n 1 1 n n m m 2 1 21 n n 2 2 22 1 21 2 m m 1 1 11 n n 1 2 12 1 11 1 u b u b x a x a x a x u b u b x a x a x a x u b u b x a x a x a x           + + + + = + + + + = + + + + = Shadab. A. Siddique Maj. G. S. Tripathi
  • 13.
    Thus, this setof simultaneous differential equations can be written in matrix form as follows:                     +                         =             m 1 nm 1 n m 1 11 n 2 1 nn 2 n 1 n n 2 22 21 n 1 12 11 n 2 1 u u b b b b x x x a a a a a a a a a x x x dt d                n: number of state variables, m: number of inputs. The column matrix consisting of the state variables is called the state vector and is written as             = n 2 1 x x x x  Shadab. A. Siddique Maj. G. S. Tripathi
  • 14.
    The vector ofinput signals is defined as u. Then the system can be represented by the compact notation of the state differential equation as u B x A x + =  This differential equation is also commonly called the state equation. The matrix A is an nxn square matrix, and B is an nxm matrix. The state differential equation relates the rate of change of the state of the system to the state of the system and the input signals. In general, the outputs of a linear system can be related to the state variables and the input signals by the output equation u D x C y + = Where y is the set of output signals expressed in column vector form. The state-space representation (or state-variable representation) is comprised of the state variable differential equation and the output equation.  A(t) is called the state matrix,  B(t) the input matrix,  C(t) the output matrix, and  D(t) the direct transmission matrix. Shadab. A. Siddique Maj. G. S. Tripathi
  • 15.
    ) t ( u 0 C 1 x L R L 1 C 1 0 x         +           − − =  We can writethe state variable differential equation for the RLC circuit as and the output as  x R 0 y = The solution of the state differential equation can be obtained in a manner similar to the approach we utilize for solving a first order differential equation. Consider the first-order differential equation bu ax x + =  Where x(t) and u(t) are scalar functions of time. We expect an exponential solution of the form eat. Taking the Laplace transform of both sides, we have Shadab. A. Siddique Maj. G. S. Tripathi
  • 16.
    ) s ( U b ) s ( X a x ) s ( X s 0 + = − therefore, ) s ( U a s b a s ) 0 ( x ) s ( X − + − = Theinverse Laplace transform of X(s) results in the solution    + =  − t 0 ) t ( a at d ) ( u b e ) 0 ( x e ) t ( x We expect the solution of the state differential equation to be similar to x(t) and to be of differential form. The matrix exponential function is defined as   + + + + + = ! k t A ! 2 t A At I e k k 2 2 At Shadab. A. Siddique Maj. G. S. Tripathi
  • 17.
    which converges forall finite t and any A. Then the solution of the state differential equation is found to be     ) s ( U B A sI ) 0 ( x A sI ) s ( X d ) ( u B e ) 0 ( x e ) t ( x 1 1 t 0 ) t ( A At − −  − − + − =   + =  where we note that [sI-A]-1=ϕ(s), which is the Laplace transform of ϕ(t)=eAt. The matrix exponential function ϕ(t) describes the unforced response of the system and is called the fundamental or state transition matrix.     −  +  = t 0 d ) ( u B ) t ( ) 0 ( x ) t ( ) t ( x Shadab. A. Siddique Maj. G. S. Tripathi
  • 18.
    Shadab. A. SiddiqueMaj. G. S. Tripathi
  • 19.
    Shadab. A. SiddiqueMaj. G. S. Tripathi
  • 20.
    Shadab. A. SiddiqueMaj. G. S. Tripathi
  • 21.
    Shadab. A. SiddiqueMaj. G. S. Tripathi
  • 22.
    Shadab. A. SiddiqueMaj. G. S. Tripathi
  • 23.
    Shadab. A. SiddiqueMaj. G. S. Tripathi
  • 24.
    Shadab. A. SiddiqueMaj. G. S. Tripathi
  • 25.
    Shadab. A. SiddiqueMaj. G. S. Tripathi
  • 26.
    Shadab. A. SiddiqueMaj. G. S. Tripathi
  • 27.
    Shadab. A. SiddiqueMaj. G. S. Tripathi
  • 28.
    Shadab. A. SiddiqueMaj. G. S. Tripathi
  • 29.
    Shadab. A. SiddiqueMaj. G. S. Tripathi
  • 30.
    Shadab. A. SiddiqueMaj. G. S. Tripathi
  • 31.
    Shadab. A. SiddiqueMaj. G. S. Tripathi
  • 32.
    Shadab. A. SiddiqueMaj. G. S. Tripathi
  • 33.
    Shadab. A. SiddiqueMaj. G. S. Tripathi
  • 34.
    Shadab. A. SiddiqueMaj. G. S. Tripathi
  • 35.
    Shadab. A. SiddiqueMaj. G. S. Tripathi
  • 36.
    THE TRANSFER FUNCTIONFROM THE STATE EQUATION The transfer function of a single input-single output (SISO) system can be obtained from the state variable equations. u B x A x + =  x C y = where y is the single output and u is the single input. The Laplace transform of the equations ) s ( CX ) s ( Y ) s ( U B ) s ( AX ) s ( sX = + = where B is an nx1 matrix, since u is a single input. We do not include initial conditions, since we seek the transfer function. Reordering the equation Shadab. A. Siddique Maj. G. S. Tripathi
  • 37.
      ) s ( BU ) s ( C ) s ( Y ) s ( BU ) s ( ) s ( BU A sI ) s ( X ) s ( U B ) s ( X ] A sI [ 1  =  = − = = − − Therefore, thetransfer function G(s)=Y(s)/U(s) is B ) s ( C ) s ( G  = Example: Determine the transfer function G(s)=Y(s)/U(s) for the RLC circuit as described by the state differential function  x R 0 y , u 0 C 1 x L R L 1 C 1 0 x =         +           − − =  Shadab. A. Siddique Maj. G. S. Tripathi
  • 38.
                + − = − L R s L 1 C 1 s A sI   LC 1 s L R s ) s ( s L 1 C 1 L R s ) s ( 1 A sI ) s ( 2 1 + + =            − +  = − =  − Thenthe transfer function is   LC 1 s L R s LC / R ) s ( LC / R ) s ( G 0 C 1 ) s ( s ) s ( L 1 ) s ( C 1 ) s ( L R s R 0 ) s ( G 2 + + =  =                          −  + = Shadab. A. Siddique Maj. G. S. Tripathi
  • 39.
    Example: Consider thethird-order system 6 s 16 s 8 s 6 s 8 s 2 ) s ( R ) s ( Y ) s ( G 2 3 2 + + + + + = = We can obtain a state-space representation using the ss function. The state- space representation of the system given by G(s) is     0 D and 75 . 0 1 1 C 0 0 2 B , 0 1 0 0 0 4 5 . 1 4 8 A = =           =           − − − = Shadab. A. Siddique Maj. G. S. Tripathi
  • 40.
    2 R(s) 1/s -8 4 x1 1/s 1 1/s x3Y(s) 1 -4 -1.5 2 R(s) -8 1/s x2 1/s 0.75 1 1 Block diagram with x1 defined as the leftmost state variable.     0 D and 75 . 0 1 1 C 0 0 2 B , 0 1 0 0 0 4 5 . 1 4 8 A = =           =           − − − = Shadab. A. Siddique Maj. G. S. Tripathi
  • 41.
       + =  − t 0 ) t ( A At d ) ( u B e ) 0 ( x e ) t ( x    −  +  = t 0 d ) ( u B ) t ( ) 0 ( x ) t ( ) t ( x For the RLC network, the state-space representation is given as:     0 D and 0 1 C , 0 2 B , 3 1 2 0 A = =       =       − − = The initial conditions are x1(0)=x2(0)=1 and the input u(t)=0. Shadab. A. Siddique Maj. G. S. Tripathi
  • 42.
    THE DESIGN OFSTATE VARIABLE FEEDBACK SYSTEMS The time-domain method, expressed in terms of state variables, can also be utilized to design a suitable compensation scheme for a control system. Typically, we are interested in controlling the system with a control signal, u(t), which is a function of several measurable state variables. Then we develop a state variable controller that operates on the information available in measured form. State variable design is typically comprised of three steps. In the first step, we assume that all the state variables are measurable and utilize them in a full-state feedback control law. Full-state feedback is not usually practical because it is not possible (in general) to measure all the states. In paractice, only certain states (or linear combinations thereof) are measured and provided as system outputs. The second step in state varaible design is to construct an observer to estimate the states that are not directly sensed and available as outputs. Observers can either be full-state observers or reduced-order observers. Reduced-order observers account for the fact that certain states are already available as system outputs; hence they do not need to be estimated. The final step in the design process is to appropriately connect the observer to the full-state feedback conrol low. It is common to refer to the state-varaible controller as a compensator. Additionally, it is possible to consider reference inputs to the state variable compensator to complete the design. Dorf and Bishop, Modern Control Systems Shadab. A. Siddique Maj. G. S. Tripathi
  • 43.
    CONTROLLABILITY: Full-state feedback designcommonly relies on pole-placement techniques. It is important to note that a system must be completely controllable and completely observable to allow the flexibility to place all the closed-loop system poles arbitrarily. The concepts of controllability and observability were introduced by Kalman in the 1960s. A system is completely controllable if there exists an unconstrained control u(t) that can transfer any initial state x(t0) to any other desired location x(t) in a finite time, t0≤t≤T. Shadab. A. Siddique Maj. G. S. Tripathi
  • 44.
    Shadab. A. SiddiqueMaj. G. S. Tripathi
  • 45.
    For the system Bu Ax x+ =  we can determine whether the system is controllable by examining the algebraic condition   n B A B A AB B rank 1 n 2 = −  The matrix A is an nxn matrix an B is an nx1 matrix. For multi input systems, B can be nxm, where m is the number of inputs. For a single-input, single-output system, the controllability matrix Pc is described in terms of A and B as   B A B A AB B P 1 n 2 c − =  which is nxn matrix. Therefore, if the determinant of Pc is nonzero, the system is controllable. Shadab. A. Siddique Maj. G. S. Tripathi
  • 46.
    Example: Consider the system   u 0 x 0 0 1 y , u 1 0 0 x a a a 1 0 0 0 1 0 x 2 1 0 + =           +           − − − =  ( )          − − =           − =           =           − − − = 1 2 2 2 2 2 2 1 0 a a a 1 B A , a 1 0 AB , 1 0 0 B , a a a 1 0 0 0 1 0 A   ( )          − − − = = 1 2 2 2 2 2 c a a a 1 a 1 0 1 0 0 B A AB B P The determinant of Pc =1 and ≠0 , hence this system is controllable. Shadab. A. Siddique Maj. G. S. Tripathi
  • 47.
    Example. Consider a systemrepresented by the two state equations 1 2 2 1 1 x d x 3 x , u x 2 x + − = + − =   The output of the system is y=x2. Determine the condition of controllability.    u 0 x 1 0 y , u 0 1 x 3 d 0 2 x + =       +       − − =        − =      − =             − − =       = d 0 2 1 P d 2 0 1 3 d 0 2 AB and 0 1 B c The determinant of pc is equal to d, which is nonzero only when d is nonzero. Shadab. A. Siddique Maj. G. S. Tripathi
  • 48.
    The controllability matrixPc can be constructed in Matlab by using ctrb command.             − − − − =             = 2 . 8 0 20000 20000 0 5 . 20 500 500 1 0 0 0 0 1 0 0 A , 0 50 0 0 B From two-mass system, Pc = 1.0e+007 * 0 0.0000 -0.0001 -0.0004 0 0 0 0.1000 0.0000 -0.0001 -0.0004 0.0594 0 0 0.1000 -2.8700 rank_Pc = 4 det_Pc = -2.5000e+015 clc clear A=[0 0 1 0;0 0 0 1;-500 500 -20.5 0;20000 -20000 0 -8.2]; B=[0;0;50;0]; Pc=ctrb(A,B) rank_Pc=rank(Pc) det_Pc=det(Pc) The system is controllable. Shadab. A. Siddique Maj. G. S. Tripathi
  • 49.
    OBSERVABILITY: All the polesof the closed-loop system can be placed arbitrarily in the complex plane if and only if the system is observable and controllable. Observability refers to the ability to estimate a state variable. A system is completely observable if and only if there exists a finite time T such that the initial state x(0) can be determined from the observation history y(t) given the control u(t). Cx y and Bu Ax x = + =  Consider the single-input, single-output system where C is a 1xn row vector, and x is an nx1 column vector. This system is completely observable when the determinant of the observability matrix P0 is nonzero. Shadab. A. Siddique Maj. G. S. Tripathi
  • 50.
    The observability matrix,which is an nxn matrix, is written as             = −1 n O A C A C C P  Shadab. A. Siddique Maj. G. S. Tripathi
  • 51.
       1 0 0 CA , 0 1 0 CA 2 = = Thus, we obtain           = 1 0 0 0 1 0 0 0 1 PO The det P0=1, and the system is completely observable. Note that determination of observability does not utility the B and C matrices. Example: Consider the system given by  x 1 1 y and u 1 1 x 1 1 0 2 x =       − +       − =    0 0 1 C , a a a 1 0 0 0 1 0 A 2 1 0 =           − − − = Example: Consider the previously given system Shadab. A. Siddique Maj. G. S. Tripathi
  • 52.
    We can checkthe system controllability and observability using the Pc and P0 matrices. From the system definition, we obtain       − =       − = 2 2 AB and 1 1 B         − − = = 2 1 2 1 AB B Pc Therefore, the controllability matrix is determined to be det Pc=0 and rank(Pc)=1. Thus, the system is not controllable.         − − = = 2 1 2 1 AB B Pc Therefore, the controllability matrix is determined to be Shadab. A. Siddique Maj. G. S. Tripathi
  • 53.
    From the systemdefinition, we obtain     1 1 CA and 1 1 C = =       =       = 1 1 1 1 CA C Po Therefore, the observability matrix is determined to be det PO=0 and rank(PO)=1. Thus, the system is not observable. If we look again at the state model, we note that 2 1 x x y + = However, ( ) 2 1 1 2 1 2 1 x x u u x x x 2 x x + = − + − + = +   Shadab. A. Siddique Maj. G. S. Tripathi
  • 54.
    Thus, the systemstate variables do not depend on u, and the system is not controllable. Similarly, the output (x1+x2) depends on x1(0) plus x2(0) and does not allow us to determine x1(0) and x2(0) independently. Consequently, the system is not observable. The observability matrix PO can be constructed in Matlab by using obsv command. From two-mass system, Po = 1 1 1 1 rank_Po = 1 det_Po = 0 clc clear A=[2 0;-1 1]; C=[1 1]; Po=obsv(A,C) rank_Po=rank(Po) det_Po=det(Po) The system is not observable. Shadab. A. Siddique Maj. G. S. Tripathi
  • 55.
    Shadab. A. SiddiqueMaj. G. S. Tripathi
  • 56.
    Shadab. A. SiddiqueMaj. G. S. Tripathi
  • 57.
    Shadab. A. SiddiqueMaj. G. S. Tripathi
  • 58.
    Shadab. A. SiddiqueMaj. G. S. Tripathi
  • 59.
    UNIT-II The End Thank You 59 Shadab.A. Siddique Maj. G. S. Tripathi