Block Diagram Reduction Techniques
& Signal Flow Graph
Presented by
Mr. C.S.Satheesh, M.E.,
Assistant Professor, Department of EEE,
Muthayammal Engineering College (Autonomous),
Namakkal (Dt), Rasipuram – 637408
MUTHAYAMMAL ENGINEERING COLLEGE
(An Autonomous Institution)
(Approved by AICTE, New Delhi, Accredited by NAAC, NBA & Affiliated to Anna University),
Rasipuram - 637 408, Namakkal Dist., Tamil Nadu, India.
Block diagram
➢ A control system may consist of a number of
components. A block diagram of a system is a
pictorial representation of the functions performed
by each component and of the flow of signals.
➢ The elements of a block diagram are block, branch
point and summing point.
Block
In a block diagram all system variables are linked
to each other through functional blocks.
The functional block or simply block is a symbol for
the mathematical operation on the input signal to the
block that produces the output.
Block diagram reduction
PROBLEM
Solution
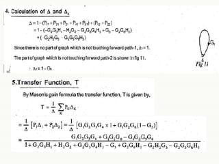
Problem 2:
Using block diagram reduction technique find closed
loop transfer function of the system whose block
diagram is shown in fig
solution
Result
Signal flow graph
➢Signal flow graph of control system is further simplification
of block diagram of control system.
➢Here, the blocks of transfer function, summing symbols and
take off points are eliminated by branches and nodes.
➢The transfer function is referred as transmittance in signal flow
graph.
➢Let us take an example of equation
y = Kx.
➢This equation can be represented with block diagram as below
➢The same equation can be represented by signal flow graph,
➢where x is input variable node, y is output variable node and a is
the transmittance of the branch connecting directly these two
nodes.
Problem 1
Solution
Problem 2
Solution
2.Individual loop gain
3.
References :
➢ A.Nagoorkani, Control Systems,
RBA Publications.
4/5/2021 35
Thank You
36

Block diagram reduction techniques

  • 1.
    Block Diagram ReductionTechniques & Signal Flow Graph Presented by Mr. C.S.Satheesh, M.E., Assistant Professor, Department of EEE, Muthayammal Engineering College (Autonomous), Namakkal (Dt), Rasipuram – 637408 MUTHAYAMMAL ENGINEERING COLLEGE (An Autonomous Institution) (Approved by AICTE, New Delhi, Accredited by NAAC, NBA & Affiliated to Anna University), Rasipuram - 637 408, Namakkal Dist., Tamil Nadu, India.
  • 3.
    Block diagram ➢ Acontrol system may consist of a number of components. A block diagram of a system is a pictorial representation of the functions performed by each component and of the flow of signals. ➢ The elements of a block diagram are block, branch point and summing point.
  • 4.
    Block In a blockdiagram all system variables are linked to each other through functional blocks. The functional block or simply block is a symbol for the mathematical operation on the input signal to the block that produces the output.
  • 6.
  • 11.
  • 12.
  • 14.
    Problem 2: Using blockdiagram reduction technique find closed loop transfer function of the system whose block diagram is shown in fig
  • 15.
  • 19.
  • 20.
    Signal flow graph ➢Signalflow graph of control system is further simplification of block diagram of control system. ➢Here, the blocks of transfer function, summing symbols and take off points are eliminated by branches and nodes. ➢The transfer function is referred as transmittance in signal flow graph. ➢Let us take an example of equation y = Kx. ➢This equation can be represented with block diagram as below
  • 21.
    ➢The same equationcan be represented by signal flow graph, ➢where x is input variable node, y is output variable node and a is the transmittance of the branch connecting directly these two nodes.
  • 24.
  • 25.
  • 30.
  • 31.
  • 32.
  • 33.
  • 35.
    References : ➢ A.Nagoorkani,Control Systems, RBA Publications. 4/5/2021 35
  • 36.