UNIT V CONTROL SYSTEM
ANALYSIS USING
STATE VARIABLE METHODS
UNIT V CONTROL SYSTEM ANALYSIS USING
STATE VARIABLE METHODS
State variable representation-Conversion of state variable models to
transfer functions-Conversion of transfer functions to state variable
models-State transition matrix- Solution of state equations-Concepts of
Controllability and Observability- control design using state feedback. -
State variable analysis of digital control system
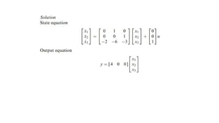
State Model
State Model
State-Space Representations in Canonical Forms.
• controllable canonical form,
• observable canonical form,
• diagonal (or Jordan) canonical form
STATE-SPACE REPRESENTATIONS OF TRANSFER-FUNCTION SYSTEMS
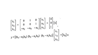
Controllable Canonical Form.
Observable Canonical Form.
Diagonal Canonical Form denominator polynomial distinct-roots case
Jordan Canonical Form
Denominator polynomial involves multiple roots.
(i)Controllable Canonical Form.
Observable Canonical Form
SOLUTION OF STATE EQUATIONS
COMPUTATION OF STATE TRANSITION
MATRIX
Computation of State Transition Matrix by Laplace Transform Method
OBSERVABILITY
CONTROL SYSTEM ANALYSIS USING STATE VARIABLE METHODS
CONTROL SYSTEM ANALYSIS USING STATE VARIABLE METHODS
CONTROL SYSTEM ANALYSIS USING STATE VARIABLE METHODS
CONTROL SYSTEM ANALYSIS USING STATE VARIABLE METHODS
CONTROL SYSTEM ANALYSIS USING STATE VARIABLE METHODS
CONTROL SYSTEM ANALYSIS USING STATE VARIABLE METHODS
CONTROL SYSTEM ANALYSIS USING STATE VARIABLE METHODS
CONTROL SYSTEM ANALYSIS USING STATE VARIABLE METHODS
CONTROL SYSTEM ANALYSIS USING STATE VARIABLE METHODS
CONTROL SYSTEM ANALYSIS USING STATE VARIABLE METHODS
CONTROL SYSTEM ANALYSIS USING STATE VARIABLE METHODS
CONTROL SYSTEM ANALYSIS USING STATE VARIABLE METHODS
CONTROL SYSTEM ANALYSIS USING STATE VARIABLE METHODS
CONTROL SYSTEM ANALYSIS USING STATE VARIABLE METHODS
CONTROL SYSTEM ANALYSIS USING STATE VARIABLE METHODS
CONTROL SYSTEM ANALYSIS USING STATE VARIABLE METHODS
CONTROL SYSTEM ANALYSIS USING STATE VARIABLE METHODS
CONTROL SYSTEM ANALYSIS USING STATE VARIABLE METHODS
CONTROL SYSTEM ANALYSIS USING STATE VARIABLE METHODS
CONTROL SYSTEM ANALYSIS USING STATE VARIABLE METHODS
CONTROL SYSTEM ANALYSIS USING STATE VARIABLE METHODS
CONTROL SYSTEM ANALYSIS USING STATE VARIABLE METHODS
CONTROL SYSTEM ANALYSIS USING STATE VARIABLE METHODS
CONTROL SYSTEM ANALYSIS USING STATE VARIABLE METHODS
CONTROL SYSTEM ANALYSIS USING STATE VARIABLE METHODS
CONTROL SYSTEM ANALYSIS USING STATE VARIABLE METHODS
CONTROL SYSTEM ANALYSIS USING STATE VARIABLE METHODS
CONTROL SYSTEM ANALYSIS USING STATE VARIABLE METHODS

CONTROL SYSTEM ANALYSIS USING STATE VARIABLE METHODS