Regression Analysis
Regression analysis is a mathematical measure of the
averages relationship between two or more variable in terms of the
original units of data.
Types of Regression
(i)
Simple Regression (Two Variable at a time)
(ii)
Multiple Regression (More than two variable at a time)
Linear Regression: If the regression curve is a straight line then there
is a linear regression between the variables .
Non-linear Regression/ Curvilinear Regression: If the regression
curve is not a straight line then there is a non-linear regression
between the variables.
Simple Linear Regression Model & its Estimation
A simple linear regression model is based on a single independent
variable and its general form is:

Yt     X t   t
Here

Intercepts

Yt
Xt

t

= dependent variable or regressands
= independent variable or regressor
= random error or disturbance term

Importance of error
(i)

Slope/ Regression Coefficients

 t term:

It captures the effect of on the dependent variable of all
variable not included in the model.
(ii) It captures any specification error related to assumed linear
functional form.
(iii) It captures the effects of unpredictable random componenets
present in the dependent variable.
Estimation of the Model
Yt
Xt
Sales
Adver Exp
(thousands (million of
of Unit)
Rs.)

ˆ
Yt

ˆ
X

=309/
7

36/7

t

xt2

y t  Y t  Yˆt

ˆ
xt  X t  X t

xtyt

-7.14286

-0.64286

4.591837

0.413265

37

4.5

48

6.5

3.857143

1.357143

5.234694

1.841837

45

3.5

0.857143

-1.64286

-1.40816

2.69898

36

3

-8.14286

-2.14286

17.44898

4.591837

25

2.5

-19.1429

-2.64286

50.59184

6.984694

55

8.5

10.85714

3.357143

36.44898

11.27041

63

7.5

18.85714

2.357143

44.44898

5.556122

44.1428

∑Yt =309

∑Xt = 36

5.1428

∑xt yt
=157.37

∑xt 2 =
33.354
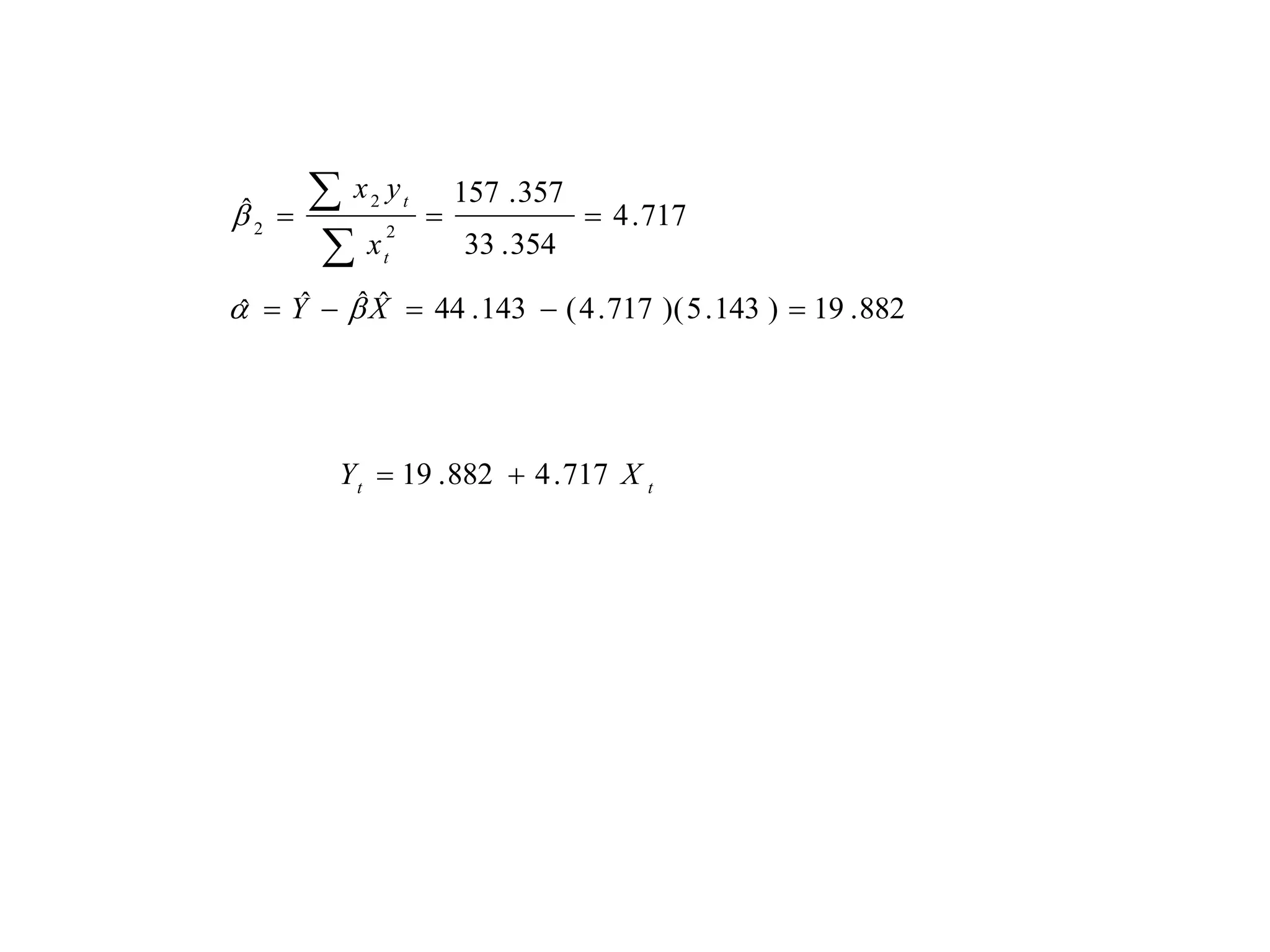
Estimation of the Model
ˆ
 

xy
x
t

2
t

t



157 . 357

 4 . 717

33 . 354

ˆˆ
ˆ
  Y   X  44 . 143  ( 4 . 717 )( 5 . 143 )  19 . 882
ˆ

Then the estimated simple linear regression model is
Y t  19 . 882  4 . 717 X t
ˆ
2 

x y
x
2

2
t

t



157 . 357

 4 . 717

33 . 354

ˆˆ
ˆ
  Y   X  44 . 143  ( 4 . 717 )( 5 . 143 )  19 . 882
ˆ

Y t  19 . 882  4 . 717 X t
General Formula for First Order Coefficients
rYX .W 

rXY  rXW rYW
(1  rXW )(1  rYW )
2

2

General Formula for Second Order Coefficients

rYX .WO 

rXY .O  rXW .O rYW .O
(1  r

2
XW . O

)(1  r

2
YW . O

)
Partial Correlation
Remarks:
1. Partial correlation coefficients lies between -1 & 1
2. Correlation coefficients are calculated on the bases of zero
order coefficients or simple correlation where no variable is
kept constant.
Limitation:
1. In the calculation of partial correlation coefficients, it is
presumed that there exists a linear relation between variables.
In real situation, this condition lacks in some cases.
2. The reliability of the partial correlation coefficient decreases as
their order goes up. This means that the second order partial
coefficients are not as dependable as the first order ones are.
Therefore, it is necessary that the size of the items in the gross
correlation should be large.
3. It involves a lot of calculation work and its analysis is not easy.
Partial Correlation
Example: From the following data calculate 12.3
x1 : 4
0
1
1
1
3
x2 : 2
0
2
4
2
3
x3 : 1
4
2
2
3
0
Solution:
X

1



16
2

 2,

X

2



16
2

 2

and

X

3



16
2

 2

4

1

3

0

4

0
Partial Correlation
Multiple Correlation
The fluctuation in given series are not usually dependent upon a
single factor or cause. For example wheat yields is not only
dependent upon rain but also on the fertilizer used, sunshine etc.
The association between such series and several variable causing
these fluctuation is known as multiple correlation.
It is also defined as “ the correlation between several variable.”

Co-efficient of Multiple Correlation:
Let there be three variable X1, X2 and X3.
Let X1 be dependent variable, depending upon independent
variable , X2 and X3. The multiple correlation coefficient are defined
as follows:
R1.23 = Multiple correlation with X1 as dependent variable and X2. and X3. , as
independent variable
R2.13 = Multiple correlation with X2 as dependent variable and X1. and X3. , as
independent variable
R3.12 = Multiple correlation with X3 as dependent variable and X1. and X2 , as
independent variable
Calculation of Multiple Correlation Coefficient
General Formula

For example
Remarks
•
•
•
•
•
•
•

Multiple correlation coefficient is a non-negative coefficient.
It is value ranges between 0 and 1. It cannot assume a minus
value.
If R1.23 = 0, then r12 = 0 and r13=0
R1.23 r12 and R1.23 r13
R1.23 is the same as R1.32
(R1.23 )2 = Coefficient of multiple determination.
If there are 3 independent variable and one dependent variable the
formula for finding out the multiple correlation is

R1 .234 

1  (1  r

2

14 )(1  r

2

12 . 3 )(1  r

2
12 . 34

)
Limitation
Advantages of Multiple Correlation
Example
Given the following data
X1:
3
5
X2:
16
10
X3:
90
72

6
7
54

8
4
42

12
3
30

Compute coefficients of correlation of X3 on X1 and X2

14
2
12
Example
Example
Types of Correlation
r12.3 is the correlation between variables 1 and 2 with variable 3
removed from both variables. To illustrate this, run separate
regressions using X3 as the independent variable and X1 and X2 as
dependent variables. Next, compute residuals for regression...

X

Regression Analysis

  • 1.
    Regression Analysis Regression analysisis a mathematical measure of the averages relationship between two or more variable in terms of the original units of data. Types of Regression (i) Simple Regression (Two Variable at a time) (ii) Multiple Regression (More than two variable at a time) Linear Regression: If the regression curve is a straight line then there is a linear regression between the variables . Non-linear Regression/ Curvilinear Regression: If the regression curve is not a straight line then there is a non-linear regression between the variables.
  • 2.
    Simple Linear RegressionModel & its Estimation A simple linear regression model is based on a single independent variable and its general form is: Yt     X t   t Here Intercepts Yt Xt t = dependent variable or regressands = independent variable or regressor = random error or disturbance term Importance of error (i) Slope/ Regression Coefficients  t term: It captures the effect of on the dependent variable of all variable not included in the model. (ii) It captures any specification error related to assumed linear functional form. (iii) It captures the effects of unpredictable random componenets present in the dependent variable.
  • 3.
    Estimation of theModel Yt Xt Sales Adver Exp (thousands (million of of Unit) Rs.) ˆ Yt ˆ X =309/ 7 36/7 t xt2 y t  Y t  Yˆt ˆ xt  X t  X t xtyt -7.14286 -0.64286 4.591837 0.413265 37 4.5 48 6.5 3.857143 1.357143 5.234694 1.841837 45 3.5 0.857143 -1.64286 -1.40816 2.69898 36 3 -8.14286 -2.14286 17.44898 4.591837 25 2.5 -19.1429 -2.64286 50.59184 6.984694 55 8.5 10.85714 3.357143 36.44898 11.27041 63 7.5 18.85714 2.357143 44.44898 5.556122 44.1428 ∑Yt =309 ∑Xt = 36 5.1428 ∑xt yt =157.37 ∑xt 2 = 33.354
  • 4.
    Estimation of theModel ˆ   xy x t 2 t t  157 . 357  4 . 717 33 . 354 ˆˆ ˆ   Y   X  44 . 143  ( 4 . 717 )( 5 . 143 )  19 . 882 ˆ Then the estimated simple linear regression model is Y t  19 . 882  4 . 717 X t
  • 11.
    ˆ 2  x y x 2 2 t t  157. 357  4 . 717 33 . 354 ˆˆ ˆ   Y   X  44 . 143  ( 4 . 717 )( 5 . 143 )  19 . 882 ˆ Y t  19 . 882  4 . 717 X t
  • 16.
    General Formula forFirst Order Coefficients rYX .W  rXY  rXW rYW (1  rXW )(1  rYW ) 2 2 General Formula for Second Order Coefficients rYX .WO  rXY .O  rXW .O rYW .O (1  r 2 XW . O )(1  r 2 YW . O )
  • 17.
    Partial Correlation Remarks: 1. Partialcorrelation coefficients lies between -1 & 1 2. Correlation coefficients are calculated on the bases of zero order coefficients or simple correlation where no variable is kept constant. Limitation: 1. In the calculation of partial correlation coefficients, it is presumed that there exists a linear relation between variables. In real situation, this condition lacks in some cases. 2. The reliability of the partial correlation coefficient decreases as their order goes up. This means that the second order partial coefficients are not as dependable as the first order ones are. Therefore, it is necessary that the size of the items in the gross correlation should be large. 3. It involves a lot of calculation work and its analysis is not easy.
  • 18.
    Partial Correlation Example: Fromthe following data calculate 12.3 x1 : 4 0 1 1 1 3 x2 : 2 0 2 4 2 3 x3 : 1 4 2 2 3 0 Solution: X 1  16 2  2, X 2  16 2  2 and X 3  16 2  2 4 1 3 0 4 0
  • 19.
  • 20.
    Multiple Correlation The fluctuationin given series are not usually dependent upon a single factor or cause. For example wheat yields is not only dependent upon rain but also on the fertilizer used, sunshine etc. The association between such series and several variable causing these fluctuation is known as multiple correlation. It is also defined as “ the correlation between several variable.” Co-efficient of Multiple Correlation: Let there be three variable X1, X2 and X3. Let X1 be dependent variable, depending upon independent variable , X2 and X3. The multiple correlation coefficient are defined as follows: R1.23 = Multiple correlation with X1 as dependent variable and X2. and X3. , as independent variable R2.13 = Multiple correlation with X2 as dependent variable and X1. and X3. , as independent variable R3.12 = Multiple correlation with X3 as dependent variable and X1. and X2 , as independent variable
  • 21.
    Calculation of MultipleCorrelation Coefficient General Formula For example
  • 22.
    Remarks • • • • • • • Multiple correlation coefficientis a non-negative coefficient. It is value ranges between 0 and 1. It cannot assume a minus value. If R1.23 = 0, then r12 = 0 and r13=0 R1.23 r12 and R1.23 r13 R1.23 is the same as R1.32 (R1.23 )2 = Coefficient of multiple determination. If there are 3 independent variable and one dependent variable the formula for finding out the multiple correlation is R1 .234  1  (1  r 2 14 )(1  r 2 12 . 3 )(1  r 2 12 . 34 )
  • 23.
  • 24.
  • 25.
    Example Given the followingdata X1: 3 5 X2: 16 10 X3: 90 72 6 7 54 8 4 42 12 3 30 Compute coefficients of correlation of X3 on X1 and X2 14 2 12
  • 26.
  • 27.
  • 28.
    Types of Correlation r12.3is the correlation between variables 1 and 2 with variable 3 removed from both variables. To illustrate this, run separate regressions using X3 as the independent variable and X1 and X2 as dependent variables. Next, compute residuals for regression... X