TEOREMA DASAR KALKULUS
Makalah ini Dibuat untuk Memenuhi Tugas Akhir Mata Kuliah
Analisis Riil 2
Disusun Oleh:
NURUL ULFAH (3125110321)
Program Studi Matematika
Jurusan Matematika
Fakultas Matematika dan Ilmu Pengetahuan Alam
Universitas Negeri Jakarta
2013
Daftar Isi
1 PENDAHULUAN 1
1.1 Latar Belakang . . . . . . . . . . . . . . . . . . . . . . . . . . . . 1
1.2 Permasalahan . . . . . . . . . . . . . . . . . . . . . . . . . . . . . 1
1.3 Tujuan Penulisan . . . . . . . . . . . . . . . . . . . . . . . . . . . 1
1.4 Manfaat Penulisan . . . . . . . . . . . . . . . . . . . . . . . . . . 2
2 PEMBAHASAN 3
2.1 Teorema Dasar (Bentuk Pertama) . . . . . . . . . . . . . . . . . . 3
2.2 Teorema Dasar Kalkulus (Bentuk Pertama) . . . . . . . . . . . . 3
2.3 Teorema Dasar (Bentuk ke Dua) . . . . . . . . . . . . . . . . . . . 5
2.4 Teorema Dasar Kalkulus (Bentuk ke Dua) . . . . . . . . . . . . . 7
2.5 Teorema Substitusi . . . . . . . . . . . . . . . . . . . . . . . . . . 8
3 KESIMPULAN 10
i
KATA PENGANTAR
Segala puji bagi Allah Tuhan Yang Maha Esa, karena atas berkat dan rahmat-Nya,
penulis dapat menyelesaikan makalah yang berjudul ”Teorema Dasar Kalkulus”
ini. Penulisan makalah ini dilakukan dalam rangka memenuhi salah satu syarat
untuk menyelesaikan tugas matakuliah Analisis Riil 2 Jurusan Matematika Fakul-
tas MIPA Universitas Negeri Jakarta. Makalah ini berisikan uraian sederhana
mengenai teorema-teorema dasar dalam kalkulus yang diharapkan dapat dipaha-
mi dengan mudah oleh pembaca.
Penulis menyadari bahwa makalah ini masih banyak kekurangan di dalamnya.
Oleh karena itu, penulis mengharapkan kepada pembaca untuk memberikan masukan-
masukan yang bersifat membangun untuk kesempurnaan makalah ini.
Akhir kata, penulis berharap semoga tugas ini membawa manfaat bagi pengem-
bangan ilmu.
1
1 PENDAHULUAN
1.1 Latar Belakang
Dalam makalah ini, kita akan menyelidiki hubungan antara derivative dan inte-
gral. Terdapat dua teorema yang berkaitan dengan masalah ini; yang pertama
yaitu dengan mengintegralkan derivative, dan yang lainnya dengan menurunkan
suatu integral. Teorema ini biasa disebut dengan Teorema Dasar Kalkulus, yang
menyatakan bahwa operasi dari differensial dan integral adalah invers dari yang
lain. Namun, ada beberapa hal yang tidak boleh diabaikan.
Bagian pertama dari teorema ini, biasa disebut sebagai teorema dasar kalkulus
pertama, menunjukkan bahwa sebuah integral tak tentu dapat dibalikkan dengan
menggunakan pendifferensialan. Bagian kedua, biasa disebut sebagai teorema
dasar kalkulus kedua, mengizinkan seseorang untuk menghitung integral tentu
dari sebuah fungsi dengan menggunakan salah satu dari bergai macam antitu-
runan. Bagian teorema ini memiliki aplikasi yang sangat penting, karena dapat
mempermudah perhitungan integral tentu.
Oleh karena itu, dalam makalah ini penulis mencoba menguraikan mengenai isi
dari masing-masing teorema dasar kalkulus tersebut.
1.2 Permasalahan
Berdasarkan pada latar belakang di atas, adapun rumusan masalah dalam makalah
ini adalah:
1. Bagaimana isi Teorema Dasar Kalkulus bentuk pertama?
2. Bagaimana pembuktian teorema tersebut dan contohnya?
3. Bagaimana isi Teorema Dasar Kalkulus bentuk kedua?
4. Bagaimana pembuktian teorema tersebut dan contohnya?
1.3 Tujuan Penulisan
Sesuai dengan rumusan masalah di atas, adapun tujuan penulisan ini adalah:
1. Ingin mengetahui isi dari Teorema Dasar Kalkulus bentuk pertama
2. Ingin mengetahui pembuktian teorema tersebut dan contohya
3. Ingin mengetahui isi dari Teorema Dasar Kalkulus bentuk kedua
4. Ingin mengetahui pembuktian teorema tersebut dan contohya
1
1.4 Manfaat Penulisan
Dengan dituslikannya makalah mengenai materi ini, penulis berharap dapat mem-
berikan informasi tambahan kepada pembaca dan dapat menambah wawasan
pengetahuan mengenai Teorema Dasar Kalkulus bentuk pertama dan Teorema
Dasar Kalkulus bentuk kedua.
2
2 PEMBAHASAN
2.1 Teorema Dasar (Bentuk Pertama)
Bentuk pertama dari teorema dasar memberikan teoritis untuk metode penghi-
tungan suatu integral yang dipelajari dalam kalkulus. Hal ini menyatakan bahwa
jika suatu fungsi f adalah turunan dari fungsi F, dan jika f anggota R[a, b], ma-
ka integral
b
a
f(x) dapat dihitung dengan cara menunjukkan nilai F|b
a:= F(b)-
F(a).SuatufungsiFsedemikianhinggaF’(x)=f(x)untuksetiapx∈ [a, b] disebut se-
bagai antiderivatif atau primitive of f pada [a, b]. Jadi jika f memiliki suatu anti
derivatif, itu adalah suatu persoalan sederhana untuk menghitung integral.
Dalam prakteknya, akan lebih mudah untuk memberikan beberapa nilai c dimana
F (c) tidak terdapat dalam R, atau dimana itu tidak sama dengan f(c). Itu di
luar ketentuan bahwa kita dapat memperbolehkan suatu bilangan yang terbatas
sebagai hal yang khusus.
2.2 Teorema Dasar Kalkulus (Bentuk Pertama)
Misalkan terdapat sebuah himpunan berhingga E di [a, b] dan fungsi f,F : [a, b]
→ R memenuhi:
(a) F adalah kontinu di [a, b]
(b) F (x) = f(x) untuk semua x ∈ [a, b]E
(c) f anggota dari R[a, b]
Maka diperoleh
b
a
f(x) = F(b) − F(a) (2.2.1)
Bukti
Kita akan membuktikan teorema ini, dimana E := {a, b}. Secara umum dapat
diperoleh dengan mengubah interval ke dalam gabungan dari suatu interval bi-
langan terbatas.
Diberikan ε > 0, karena f ∈ R [a, b] diasumsikan ada δε > 0 sedemikian se-
hingga jika ˙P adalah suatu tag partisi dengan ˙P < δε, maka
3
S(f; ˙P) −
b
a
f < ε. (2.2.2)
Dimana titik di atas P menunjukkan bahwa tag telah dipilih untuk setiap sub
interval.
˙P := ([xi−1, xi], ti)n
i=1 dan
S(f; ( ˙P)) := Σn
i=1f(ti)(xi −x1−i), merupakan jumlah Riemann dari fungsi f : [a, b]
→ R
Jika subinterval dalam ˙P adalah [xi−1, xi], maka dengan menggunakan Teorema
Nilai Rata-Rata untuk F pada [xi−1, xi] menyatakan bahwa ada ui ∈ (xi−1, xi)
sedemikian sehingga
F(xi) − F(xi−1) = F (ui).(xi − xi−1) untuk i = 1, ..., n.
Jika kita menambahkan bentuk ini, dilihat dari jumlah dan bukti yang ada bahwa
F (ui) = f(ui), maka kita peroleh
F(b) − F(a) = Σn
i=1(F(xi) − F(xi−1)) = Σn
i=1f(ui)(xi − xi−1).
Sekarang, misalkan ˙Pu := {([xi−1, xi], ui)}(i = 1)n
, jadi jumlah pada persamaan
kanan S(f; ˙Pu). Jika kita substitusi F(b) − F(a) = S(f; Pu) pada persamaan
(2.2.2), dapat disimpulkan bahwa
F(b) − F(a) −
b
a
f < ε
Namun, karena ε > 0 berubah-ubah, maka kita dapat mengambil kesimpulan
bahwa persamaan (2.2.1) berlaku.
Keterangan
Jika suatu F terdiferensial pada setiap interval dari [a, b] maka hipotesis (a) se-
cara otomatis memenuhi. Jika f tidak terdefinisi untuk beberapa titik c ∈ E, kita
mengambil f(c) := 0. Namun jika F terdiferensial pada setiap interval dari [a, b],
kondisi (c) tidak secara otomatis memenuhi, karena ada fungsi F sedemikian se-
hingga F bukan terintegral secara Riemann.
Contoh Jika A(x) := |x| untuk x ∈ [−10, 10], maka A (x) = −1 jika x ∈ [−10, 0)
dan A (x) = +1 untuk x ∈ (0, 10]. Mengingat definisi dari fungsi signum, kita
dapatkan A (x) = sgn(x) untuk semua x ∈ [−10, 10]{0. Karena fungsi signum
4
adalah fungsi tangga, maka anggota dari R[−10, 10]. Oleh karena itu Teorema
Fundamental (dengan E = {0}) menyatakan bahwa
10
−10
sgn(x)dx = A(10) − A(−10) = 10 − 10 = 0
2.3 Teorema Dasar (Bentuk ke Dua)
Sekarang dengan Teorema Dasar (Bentuk ke dua) akan dibedakan integral yang
melibatkan batas atas variabelnya.
Definisi Jika f ∈ R[a, b] maka fungsi yang didefinisikan sebagai:
F(z) :=
b
a
f; z ∈ [a, b] (2.3.1)
ini disebut integral tak tentu dari f dengan nilai awal a (kadang nilai selain a
dapat pula digunakan sebagai nilai awal)
Kita akan menunjukkan bahwa jika f ∈ R[a, b], maka integral tak tentu F
memenuhi kondisi Lipschitz maka F kontinu pada [a, b]
Definisi Fungsi Lipschitz Misalkan A ⊆ R dan f : A → R. Jika terdapat
konstanta K > 0 sedemikian hingga:
|f(x) − f(u)| ≤ K|x − u|
untuk setiap x, u ∈ A, maka f dikatakan fungsi lipschitz.
5
Teorema 2.3.1. Integral tak tentu F yang didefinisikan pada definisi (2.3.1)
adalah kontinu pada [a, b]. Faktanya jika |f(x)| ≤ M untuk semua x ∈ [a, b],
maka |F(z) − F(w)| ≤ M|z − w| untuk semua z, w ∈ [a, b]
Bukti: Dari teorema Additivitas Misalkan f : [a, b] → R dan misalkan c ∈ (a, b).
Maka f ∈ R[a, b] jika dan hanya jika f terbatas pada [a, c] dan [c, b] yang meru-
pakan integral Riemann. Pada kasus ini:
b
a
f =
c
a
f +
b
c
f
menyatakan jika z, w ∈ [a, b] dan misalkan w ≤ z, maka:
F(z) =
z
a
f =
w
a
f +
z
w
f = F(w) +
z
w
f
Sehingga diperoleh
F(z) − F(w) =
z
w
f
Sekarang jika −M ≤ f(x) ≤ M untuk semua x ∈ [a.b], maka:
Teorema 2.3.2. Misalkan f dan g adalah di dalam R[a, b]. Jika f(x) ≤ g(x)
untuk semua x ∈ [a, b], maka:
b
a
f ≤
b
a
g
Dari teorema diatas diperoleh:
z
w
−Mdx ≤
z
w
f(x)dx ≤
z
w
Mdx
−Mx|z
w ≤
z
w
f(x)dx ≤ Mx|z
wdx
−M(z − w) ≤
z
w
f(x)dx ≤ M(z − w)
6
menyatakan bahwa
−M(z − w) ≤
z
w
f(x)dx ≤ M(z − w)
Sehingga diperoleh
|F(z) − F(w)| ≤
z
w
f ≤ M|z − w|
Terbukti
Selanjutnya kita akan menunjukkan integral tak tentu F adalah terdiferensial
pada sembarang titik dimana f kontinu.
2.4 Teorema Dasar Kalkulus (Bentuk ke Dua)
Misalkan f ∈ R [a, b] dan f kontinu pada titik c ∈ [a, b]. Maka integral tak tentu
yang didefinisikan dari definisi (3) adalah terdiferensialkan di c dan F (c) = f(c).
Bukti: Andaikan c ∈ [a, b) dan mengingat turunan dari kanan F pada c. Karena
f kontinu pada c, diberikan ε > 0 maka terdapat ηε > 0 sedemikian sehingga jika
c ≤ x ≤ c + ηε, maka:
f(c) − ε < f(x) < f(c) + ε (2.4.1)
Ambil h yang memenuhi 0 < h < ηε. Menurut teorema Additivitas menunjukkan
bahwa f adalah terintegralkan pada interval [a, c], [a, c + h], dan [c, c + h] dan:
F(c + h) − F(c) =
c+h
c
f
F(c + h) =
h
c
f +
c+h
c
f
Sekarang pada interval [c, c + h] fungsi f memenuhi pertidaksamaan (2.4.1), se-
hingga kita peroleh:
(f(c) − ε)h ≤ F(c + h) − F(c) =
c+h
c
f ≤ (f(c) + ε)h
7
Jika kita membaginya dengan h > 0 dan mengurangkannya dengan f(c), kita
peroleh:
F(c + h) − F(c)
h
− f(c) ≤ ε
tetapi, ε > 0 berubah-ubah, kita simpulkan limit kanan diberikan oleh:
lim
h→0+
F(c + h) − F(c)
h
= f(c)
dengan cara yang sama dibuktikan untuk limit kirinya juga sama dengan f(c)
dimana c ∈ (a, b], sehingga pernyataan terpenuhi.
Teorema 2.4.1. Jika f kontinu pada [a, b] maka integral tak tentu F yang didefin-
isikan oleh definisi 2.3.1 adalah terdiferensial di [a, b] dan F (x) = f(x) untuk
semua x ∈ [a, b].
Teorema diatas, dapat diringkas: Jika f kontinu pada [a, b]. maka integral tak
tentu dari f adalah anti turunannya. Kita akan meninjau bahwa secara umum
integral tak tentu tidak harus menjadi antiturunan (baik karena turunan dari in-
tegral tak tentu tidak ada atau tidak sama f(x)
contoh
Jika f(x) = sgn(x) pada [−1, 1], maka f ∈ R[−1, 1] dan integral tak tentu F(x)
:= |x| − 1 dengan nilai awal -1. Tetapi, F (0) tidak ada, F bukan anti turunan
dari f pada [−1, 1]
2.5 Teorema Substitusi
Misalkan J := [α, β] dan misalkan ϕ : J → R memiliki turunan di J. Jika
f : I → R adalah kontinu pada interval I yang terdapat pada ϕ(J), maka:
β
α
f(ϕ(t)).ϕ (t)dt =
ϕ(β)
ϕ(α)
f(x)dx (2.5.1)
Hipotesis bahwa f dan ϕ adalah kontinu yang membatasi, tetapi digunakan untuk
memastikan adanya integral Riemann pada sisi kiri persamaan (2.5.1).
Bukti:
8
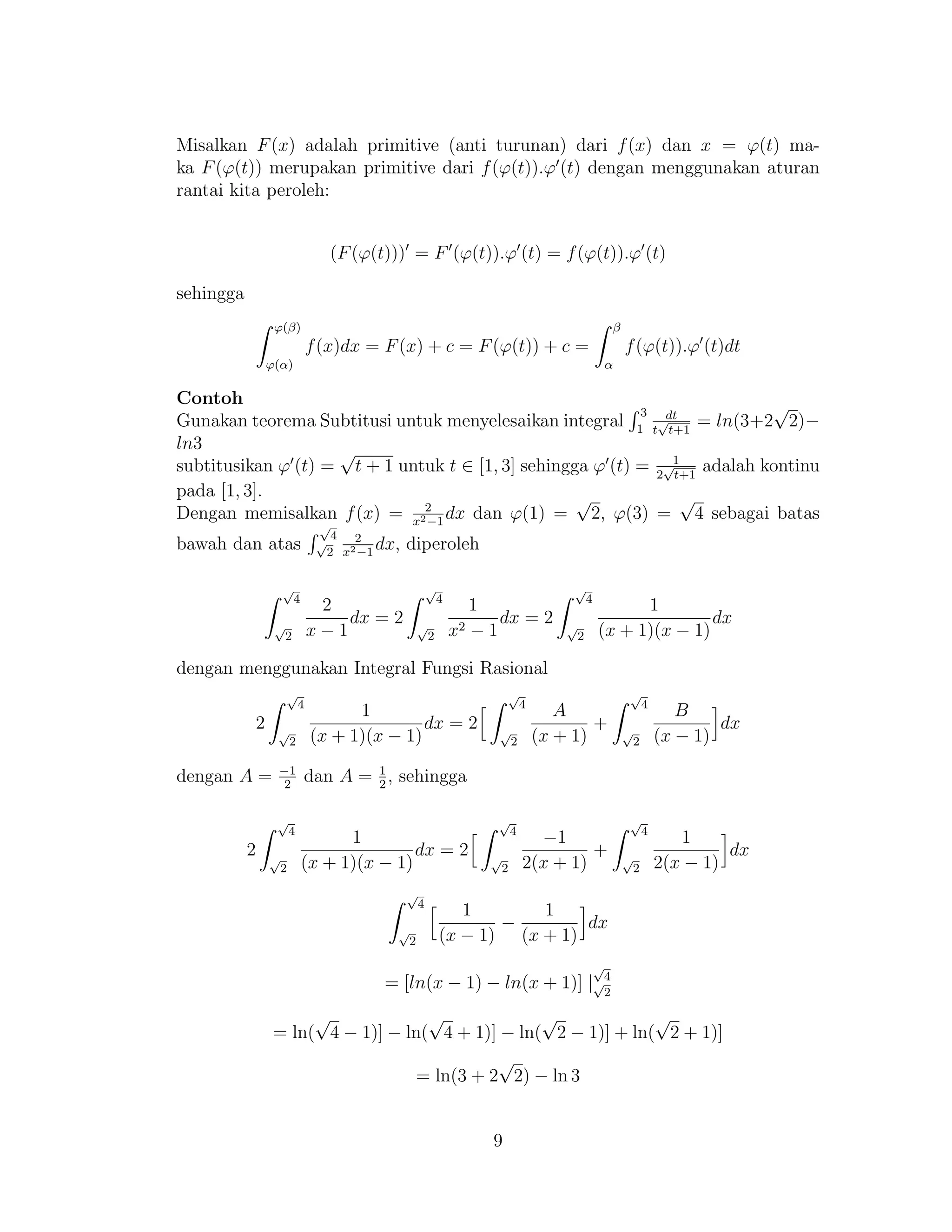
Misalkan F(x) adalah primitive (anti turunan) dari f(x) dan x = ϕ(t) ma-
ka F(ϕ(t)) merupakan primitive dari f(ϕ(t)).ϕ (t) dengan menggunakan aturan
rantai kita peroleh:
(F(ϕ(t))) = F (ϕ(t)).ϕ (t) = f(ϕ(t)).ϕ (t)
sehingga
ϕ(β)
ϕ(α)
f(x)dx = F(x) + c = F(ϕ(t)) + c =
β
α
f(ϕ(t)).ϕ (t)dt
Contoh
Gunakan teorema Subtitusi untuk menyelesaikan integral
3
1
dt
t
√
t+1
= ln(3+2
√
2)−
ln3
subtitusikan ϕ (t) =
√
t + 1 untuk t ∈ [1, 3] sehingga ϕ (t) = 1
2
√
t+1
adalah kontinu
pada [1, 3].
Dengan memisalkan f(x) = 2
x2−1
dx dan ϕ(1) =
√
2, ϕ(3) =
√
4 sebagai batas
bawah dan atas
√
4
√
2
2
x2−1
dx, diperoleh
√
4
√
2
2
x − 1
dx = 2
√
4
√
2
1
x2 − 1
dx = 2
√
4
√
2
1
(x + 1)(x − 1)
dx
dengan menggunakan Integral Fungsi Rasional
2
√
4
√
2
1
(x + 1)(x − 1)
dx = 2
√
4
√
2
A
(x + 1)
+
√
4
√
2
B
(x − 1)
dx
dengan A = −1
2
dan A = 1
2
, sehingga
2
√
4
√
2
1
(x + 1)(x − 1)
dx = 2
√
4
√
2
−1
2(x + 1)
+
√
4
√
2
1
2(x − 1)
dx
√
4
√
2
1
(x − 1)
−
1
(x + 1)
dx
= [ln(x − 1) − ln(x + 1)] |
√
4√
2
= ln(
√
4 − 1)] − ln(
√
4 + 1)] − ln(
√
2 − 1)] + ln(
√
2 + 1)]
= ln(3 + 2
√
2) − ln 3
9
3 KESIMPULAN
Teorema Fundamental Kalkulus merupakan hubungan dua teorema yang berkai-
tan yaitu teorema integral dan turunan. Dengan menggunakan Teorema Dasar
Kalkuus ini, kita mengintegralkan sebuah turunan, dan menurunkan suatu inte-
gral untuk menyelesaikan suatu integral tanpa harus menghitungnya sebagai limit
jumlah Riemann. Terdapat dua macam bentuk Teorema Dasar Kalkulus, yaitu
teorema dasar bentuk pertama dan teorema dasar bentuk kedua.
Bentuk pertama dari Teorema dasar ini memberikan sebuah dasar teoritis un-
tuk metode penghitungan suatu integral, dimana pembaca telah mempelajarinya
dalam kalkulus. Selain itu, teorema dasar kalkulus bentuk pertama ini juga me-
nunjukkan bahwa sebuah integral tak tentu dapat dibalikkan dengan menggu-
nakan pendifferensialan.
Sedangkan pada bentuk kedua dari Teorema Dasar ini mengizinkan seseorang
untuk menghitung integral tentu dari sebuah fungsi dengan menggunakan salah
satu dari bergai macam antiturunan. Oleh karena itu, bagian teorema ini memili-
ki aplikasi yang sangat penting, karena dapat mempermudah perhitungan integral
tentu.
10
Pustaka
[1] Bartle, G.Robert, Donald R. Sherbet.(2011).Introduction to Real Analysis
4th Edition.John Willey Sons, Inc
[2] [ONLINE] Tersedia (http://www.docstoc.com/docs/70385726/Pengantar-
Analisis-Real-Teorema-Fundamental)
11

TEOREMA DASAR KALKULUS

  • 1.
    TEOREMA DASAR KALKULUS Makalahini Dibuat untuk Memenuhi Tugas Akhir Mata Kuliah Analisis Riil 2 Disusun Oleh: NURUL ULFAH (3125110321) Program Studi Matematika Jurusan Matematika Fakultas Matematika dan Ilmu Pengetahuan Alam Universitas Negeri Jakarta 2013
  • 2.
    Daftar Isi 1 PENDAHULUAN1 1.1 Latar Belakang . . . . . . . . . . . . . . . . . . . . . . . . . . . . 1 1.2 Permasalahan . . . . . . . . . . . . . . . . . . . . . . . . . . . . . 1 1.3 Tujuan Penulisan . . . . . . . . . . . . . . . . . . . . . . . . . . . 1 1.4 Manfaat Penulisan . . . . . . . . . . . . . . . . . . . . . . . . . . 2 2 PEMBAHASAN 3 2.1 Teorema Dasar (Bentuk Pertama) . . . . . . . . . . . . . . . . . . 3 2.2 Teorema Dasar Kalkulus (Bentuk Pertama) . . . . . . . . . . . . 3 2.3 Teorema Dasar (Bentuk ke Dua) . . . . . . . . . . . . . . . . . . . 5 2.4 Teorema Dasar Kalkulus (Bentuk ke Dua) . . . . . . . . . . . . . 7 2.5 Teorema Substitusi . . . . . . . . . . . . . . . . . . . . . . . . . . 8 3 KESIMPULAN 10 i
  • 3.
    KATA PENGANTAR Segala pujibagi Allah Tuhan Yang Maha Esa, karena atas berkat dan rahmat-Nya, penulis dapat menyelesaikan makalah yang berjudul ”Teorema Dasar Kalkulus” ini. Penulisan makalah ini dilakukan dalam rangka memenuhi salah satu syarat untuk menyelesaikan tugas matakuliah Analisis Riil 2 Jurusan Matematika Fakul- tas MIPA Universitas Negeri Jakarta. Makalah ini berisikan uraian sederhana mengenai teorema-teorema dasar dalam kalkulus yang diharapkan dapat dipaha- mi dengan mudah oleh pembaca. Penulis menyadari bahwa makalah ini masih banyak kekurangan di dalamnya. Oleh karena itu, penulis mengharapkan kepada pembaca untuk memberikan masukan- masukan yang bersifat membangun untuk kesempurnaan makalah ini. Akhir kata, penulis berharap semoga tugas ini membawa manfaat bagi pengem- bangan ilmu. 1
  • 4.
    1 PENDAHULUAN 1.1 LatarBelakang Dalam makalah ini, kita akan menyelidiki hubungan antara derivative dan inte- gral. Terdapat dua teorema yang berkaitan dengan masalah ini; yang pertama yaitu dengan mengintegralkan derivative, dan yang lainnya dengan menurunkan suatu integral. Teorema ini biasa disebut dengan Teorema Dasar Kalkulus, yang menyatakan bahwa operasi dari differensial dan integral adalah invers dari yang lain. Namun, ada beberapa hal yang tidak boleh diabaikan. Bagian pertama dari teorema ini, biasa disebut sebagai teorema dasar kalkulus pertama, menunjukkan bahwa sebuah integral tak tentu dapat dibalikkan dengan menggunakan pendifferensialan. Bagian kedua, biasa disebut sebagai teorema dasar kalkulus kedua, mengizinkan seseorang untuk menghitung integral tentu dari sebuah fungsi dengan menggunakan salah satu dari bergai macam antitu- runan. Bagian teorema ini memiliki aplikasi yang sangat penting, karena dapat mempermudah perhitungan integral tentu. Oleh karena itu, dalam makalah ini penulis mencoba menguraikan mengenai isi dari masing-masing teorema dasar kalkulus tersebut. 1.2 Permasalahan Berdasarkan pada latar belakang di atas, adapun rumusan masalah dalam makalah ini adalah: 1. Bagaimana isi Teorema Dasar Kalkulus bentuk pertama? 2. Bagaimana pembuktian teorema tersebut dan contohnya? 3. Bagaimana isi Teorema Dasar Kalkulus bentuk kedua? 4. Bagaimana pembuktian teorema tersebut dan contohnya? 1.3 Tujuan Penulisan Sesuai dengan rumusan masalah di atas, adapun tujuan penulisan ini adalah: 1. Ingin mengetahui isi dari Teorema Dasar Kalkulus bentuk pertama 2. Ingin mengetahui pembuktian teorema tersebut dan contohya 3. Ingin mengetahui isi dari Teorema Dasar Kalkulus bentuk kedua 4. Ingin mengetahui pembuktian teorema tersebut dan contohya 1
  • 5.
    1.4 Manfaat Penulisan Dengandituslikannya makalah mengenai materi ini, penulis berharap dapat mem- berikan informasi tambahan kepada pembaca dan dapat menambah wawasan pengetahuan mengenai Teorema Dasar Kalkulus bentuk pertama dan Teorema Dasar Kalkulus bentuk kedua. 2
  • 6.
    2 PEMBAHASAN 2.1 TeoremaDasar (Bentuk Pertama) Bentuk pertama dari teorema dasar memberikan teoritis untuk metode penghi- tungan suatu integral yang dipelajari dalam kalkulus. Hal ini menyatakan bahwa jika suatu fungsi f adalah turunan dari fungsi F, dan jika f anggota R[a, b], ma- ka integral b a f(x) dapat dihitung dengan cara menunjukkan nilai F|b a:= F(b)- F(a).SuatufungsiFsedemikianhinggaF’(x)=f(x)untuksetiapx∈ [a, b] disebut se- bagai antiderivatif atau primitive of f pada [a, b]. Jadi jika f memiliki suatu anti derivatif, itu adalah suatu persoalan sederhana untuk menghitung integral. Dalam prakteknya, akan lebih mudah untuk memberikan beberapa nilai c dimana F (c) tidak terdapat dalam R, atau dimana itu tidak sama dengan f(c). Itu di luar ketentuan bahwa kita dapat memperbolehkan suatu bilangan yang terbatas sebagai hal yang khusus. 2.2 Teorema Dasar Kalkulus (Bentuk Pertama) Misalkan terdapat sebuah himpunan berhingga E di [a, b] dan fungsi f,F : [a, b] → R memenuhi: (a) F adalah kontinu di [a, b] (b) F (x) = f(x) untuk semua x ∈ [a, b]E (c) f anggota dari R[a, b] Maka diperoleh b a f(x) = F(b) − F(a) (2.2.1) Bukti Kita akan membuktikan teorema ini, dimana E := {a, b}. Secara umum dapat diperoleh dengan mengubah interval ke dalam gabungan dari suatu interval bi- langan terbatas. Diberikan ε > 0, karena f ∈ R [a, b] diasumsikan ada δε > 0 sedemikian se- hingga jika ˙P adalah suatu tag partisi dengan ˙P < δε, maka 3
  • 7.
    S(f; ˙P) − b a f< ε. (2.2.2) Dimana titik di atas P menunjukkan bahwa tag telah dipilih untuk setiap sub interval. ˙P := ([xi−1, xi], ti)n i=1 dan S(f; ( ˙P)) := Σn i=1f(ti)(xi −x1−i), merupakan jumlah Riemann dari fungsi f : [a, b] → R Jika subinterval dalam ˙P adalah [xi−1, xi], maka dengan menggunakan Teorema Nilai Rata-Rata untuk F pada [xi−1, xi] menyatakan bahwa ada ui ∈ (xi−1, xi) sedemikian sehingga F(xi) − F(xi−1) = F (ui).(xi − xi−1) untuk i = 1, ..., n. Jika kita menambahkan bentuk ini, dilihat dari jumlah dan bukti yang ada bahwa F (ui) = f(ui), maka kita peroleh F(b) − F(a) = Σn i=1(F(xi) − F(xi−1)) = Σn i=1f(ui)(xi − xi−1). Sekarang, misalkan ˙Pu := {([xi−1, xi], ui)}(i = 1)n , jadi jumlah pada persamaan kanan S(f; ˙Pu). Jika kita substitusi F(b) − F(a) = S(f; Pu) pada persamaan (2.2.2), dapat disimpulkan bahwa F(b) − F(a) − b a f < ε Namun, karena ε > 0 berubah-ubah, maka kita dapat mengambil kesimpulan bahwa persamaan (2.2.1) berlaku. Keterangan Jika suatu F terdiferensial pada setiap interval dari [a, b] maka hipotesis (a) se- cara otomatis memenuhi. Jika f tidak terdefinisi untuk beberapa titik c ∈ E, kita mengambil f(c) := 0. Namun jika F terdiferensial pada setiap interval dari [a, b], kondisi (c) tidak secara otomatis memenuhi, karena ada fungsi F sedemikian se- hingga F bukan terintegral secara Riemann. Contoh Jika A(x) := |x| untuk x ∈ [−10, 10], maka A (x) = −1 jika x ∈ [−10, 0) dan A (x) = +1 untuk x ∈ (0, 10]. Mengingat definisi dari fungsi signum, kita dapatkan A (x) = sgn(x) untuk semua x ∈ [−10, 10]{0. Karena fungsi signum 4
  • 8.
    adalah fungsi tangga,maka anggota dari R[−10, 10]. Oleh karena itu Teorema Fundamental (dengan E = {0}) menyatakan bahwa 10 −10 sgn(x)dx = A(10) − A(−10) = 10 − 10 = 0 2.3 Teorema Dasar (Bentuk ke Dua) Sekarang dengan Teorema Dasar (Bentuk ke dua) akan dibedakan integral yang melibatkan batas atas variabelnya. Definisi Jika f ∈ R[a, b] maka fungsi yang didefinisikan sebagai: F(z) := b a f; z ∈ [a, b] (2.3.1) ini disebut integral tak tentu dari f dengan nilai awal a (kadang nilai selain a dapat pula digunakan sebagai nilai awal) Kita akan menunjukkan bahwa jika f ∈ R[a, b], maka integral tak tentu F memenuhi kondisi Lipschitz maka F kontinu pada [a, b] Definisi Fungsi Lipschitz Misalkan A ⊆ R dan f : A → R. Jika terdapat konstanta K > 0 sedemikian hingga: |f(x) − f(u)| ≤ K|x − u| untuk setiap x, u ∈ A, maka f dikatakan fungsi lipschitz. 5
  • 9.
    Teorema 2.3.1. Integraltak tentu F yang didefinisikan pada definisi (2.3.1) adalah kontinu pada [a, b]. Faktanya jika |f(x)| ≤ M untuk semua x ∈ [a, b], maka |F(z) − F(w)| ≤ M|z − w| untuk semua z, w ∈ [a, b] Bukti: Dari teorema Additivitas Misalkan f : [a, b] → R dan misalkan c ∈ (a, b). Maka f ∈ R[a, b] jika dan hanya jika f terbatas pada [a, c] dan [c, b] yang meru- pakan integral Riemann. Pada kasus ini: b a f = c a f + b c f menyatakan jika z, w ∈ [a, b] dan misalkan w ≤ z, maka: F(z) = z a f = w a f + z w f = F(w) + z w f Sehingga diperoleh F(z) − F(w) = z w f Sekarang jika −M ≤ f(x) ≤ M untuk semua x ∈ [a.b], maka: Teorema 2.3.2. Misalkan f dan g adalah di dalam R[a, b]. Jika f(x) ≤ g(x) untuk semua x ∈ [a, b], maka: b a f ≤ b a g Dari teorema diatas diperoleh: z w −Mdx ≤ z w f(x)dx ≤ z w Mdx −Mx|z w ≤ z w f(x)dx ≤ Mx|z wdx −M(z − w) ≤ z w f(x)dx ≤ M(z − w) 6
  • 10.
    menyatakan bahwa −M(z −w) ≤ z w f(x)dx ≤ M(z − w) Sehingga diperoleh |F(z) − F(w)| ≤ z w f ≤ M|z − w| Terbukti Selanjutnya kita akan menunjukkan integral tak tentu F adalah terdiferensial pada sembarang titik dimana f kontinu. 2.4 Teorema Dasar Kalkulus (Bentuk ke Dua) Misalkan f ∈ R [a, b] dan f kontinu pada titik c ∈ [a, b]. Maka integral tak tentu yang didefinisikan dari definisi (3) adalah terdiferensialkan di c dan F (c) = f(c). Bukti: Andaikan c ∈ [a, b) dan mengingat turunan dari kanan F pada c. Karena f kontinu pada c, diberikan ε > 0 maka terdapat ηε > 0 sedemikian sehingga jika c ≤ x ≤ c + ηε, maka: f(c) − ε < f(x) < f(c) + ε (2.4.1) Ambil h yang memenuhi 0 < h < ηε. Menurut teorema Additivitas menunjukkan bahwa f adalah terintegralkan pada interval [a, c], [a, c + h], dan [c, c + h] dan: F(c + h) − F(c) = c+h c f F(c + h) = h c f + c+h c f Sekarang pada interval [c, c + h] fungsi f memenuhi pertidaksamaan (2.4.1), se- hingga kita peroleh: (f(c) − ε)h ≤ F(c + h) − F(c) = c+h c f ≤ (f(c) + ε)h 7
  • 11.
    Jika kita membaginyadengan h > 0 dan mengurangkannya dengan f(c), kita peroleh: F(c + h) − F(c) h − f(c) ≤ ε tetapi, ε > 0 berubah-ubah, kita simpulkan limit kanan diberikan oleh: lim h→0+ F(c + h) − F(c) h = f(c) dengan cara yang sama dibuktikan untuk limit kirinya juga sama dengan f(c) dimana c ∈ (a, b], sehingga pernyataan terpenuhi. Teorema 2.4.1. Jika f kontinu pada [a, b] maka integral tak tentu F yang didefin- isikan oleh definisi 2.3.1 adalah terdiferensial di [a, b] dan F (x) = f(x) untuk semua x ∈ [a, b]. Teorema diatas, dapat diringkas: Jika f kontinu pada [a, b]. maka integral tak tentu dari f adalah anti turunannya. Kita akan meninjau bahwa secara umum integral tak tentu tidak harus menjadi antiturunan (baik karena turunan dari in- tegral tak tentu tidak ada atau tidak sama f(x) contoh Jika f(x) = sgn(x) pada [−1, 1], maka f ∈ R[−1, 1] dan integral tak tentu F(x) := |x| − 1 dengan nilai awal -1. Tetapi, F (0) tidak ada, F bukan anti turunan dari f pada [−1, 1] 2.5 Teorema Substitusi Misalkan J := [α, β] dan misalkan ϕ : J → R memiliki turunan di J. Jika f : I → R adalah kontinu pada interval I yang terdapat pada ϕ(J), maka: β α f(ϕ(t)).ϕ (t)dt = ϕ(β) ϕ(α) f(x)dx (2.5.1) Hipotesis bahwa f dan ϕ adalah kontinu yang membatasi, tetapi digunakan untuk memastikan adanya integral Riemann pada sisi kiri persamaan (2.5.1). Bukti: 8
  • 12.
    Misalkan F(x) adalahprimitive (anti turunan) dari f(x) dan x = ϕ(t) ma- ka F(ϕ(t)) merupakan primitive dari f(ϕ(t)).ϕ (t) dengan menggunakan aturan rantai kita peroleh: (F(ϕ(t))) = F (ϕ(t)).ϕ (t) = f(ϕ(t)).ϕ (t) sehingga ϕ(β) ϕ(α) f(x)dx = F(x) + c = F(ϕ(t)) + c = β α f(ϕ(t)).ϕ (t)dt Contoh Gunakan teorema Subtitusi untuk menyelesaikan integral 3 1 dt t √ t+1 = ln(3+2 √ 2)− ln3 subtitusikan ϕ (t) = √ t + 1 untuk t ∈ [1, 3] sehingga ϕ (t) = 1 2 √ t+1 adalah kontinu pada [1, 3]. Dengan memisalkan f(x) = 2 x2−1 dx dan ϕ(1) = √ 2, ϕ(3) = √ 4 sebagai batas bawah dan atas √ 4 √ 2 2 x2−1 dx, diperoleh √ 4 √ 2 2 x − 1 dx = 2 √ 4 √ 2 1 x2 − 1 dx = 2 √ 4 √ 2 1 (x + 1)(x − 1) dx dengan menggunakan Integral Fungsi Rasional 2 √ 4 √ 2 1 (x + 1)(x − 1) dx = 2 √ 4 √ 2 A (x + 1) + √ 4 √ 2 B (x − 1) dx dengan A = −1 2 dan A = 1 2 , sehingga 2 √ 4 √ 2 1 (x + 1)(x − 1) dx = 2 √ 4 √ 2 −1 2(x + 1) + √ 4 √ 2 1 2(x − 1) dx √ 4 √ 2 1 (x − 1) − 1 (x + 1) dx = [ln(x − 1) − ln(x + 1)] | √ 4√ 2 = ln( √ 4 − 1)] − ln( √ 4 + 1)] − ln( √ 2 − 1)] + ln( √ 2 + 1)] = ln(3 + 2 √ 2) − ln 3 9
  • 13.
    3 KESIMPULAN Teorema FundamentalKalkulus merupakan hubungan dua teorema yang berkai- tan yaitu teorema integral dan turunan. Dengan menggunakan Teorema Dasar Kalkuus ini, kita mengintegralkan sebuah turunan, dan menurunkan suatu inte- gral untuk menyelesaikan suatu integral tanpa harus menghitungnya sebagai limit jumlah Riemann. Terdapat dua macam bentuk Teorema Dasar Kalkulus, yaitu teorema dasar bentuk pertama dan teorema dasar bentuk kedua. Bentuk pertama dari Teorema dasar ini memberikan sebuah dasar teoritis un- tuk metode penghitungan suatu integral, dimana pembaca telah mempelajarinya dalam kalkulus. Selain itu, teorema dasar kalkulus bentuk pertama ini juga me- nunjukkan bahwa sebuah integral tak tentu dapat dibalikkan dengan menggu- nakan pendifferensialan. Sedangkan pada bentuk kedua dari Teorema Dasar ini mengizinkan seseorang untuk menghitung integral tentu dari sebuah fungsi dengan menggunakan salah satu dari bergai macam antiturunan. Oleh karena itu, bagian teorema ini memili- ki aplikasi yang sangat penting, karena dapat mempermudah perhitungan integral tentu. 10
  • 14.
    Pustaka [1] Bartle, G.Robert,Donald R. Sherbet.(2011).Introduction to Real Analysis 4th Edition.John Willey Sons, Inc [2] [ONLINE] Tersedia (http://www.docstoc.com/docs/70385726/Pengantar- Analisis-Real-Teorema-Fundamental) 11