Dosen Pembimbing: Huri Suhendri, M.Pd


        MODUL
PERSAMAAN DIFERENSIAL 1




             OLEH:
   Maya Umami (200913500674)

  PRODI: PENDIDIKAN MATEMATIKA
    SEMESTER: 6 (ENAM) – S6C
Assalamuallaikum Wr. Wb
       Alhamdulillah modul pada mata kuliah “Persamaan Diferensial 1” ini akhirnya dapat
terselesaikan. Modul ini merupakan tugas akhir atau untuk memenuhi persyaratan (nilai) pada
mata kuliah tersebut. Setelah menjelajahi berbagai literature dan mencoba untuk menemukan
intisari dari materi yang sesuai dengan silabus perkuliahan ini, saya selaku penulis telah
berusaha semaksimal mungkin untuk menemukan intisari yang mudah untuk dipahami
dengan diaadakanya berbagai contoh soal dan latihan-latihan sesuai dengan silabus
perkuliahan.
       Syukur ke hadirat Allah SWT penulis panjatkan atas kemudahan yang diberikan-Nya
selama penulisan modul. Tak lupa juga, penulis mengucapkan terima kasih kepada Dosen
Pembimbing kami Bapak Hri Suhendri, M.Pd yang telah memberikan tugas modul ini yang
insyaallah bermanfaat bagi banyak orang terutama bagi penulis.
Modul ini terdiri dari 10 BAB diantaranya: 1. Pendahuluan Persamaan Diferensial; 2.
Persamaan Diferensial Variabel Terpisah; 3. Reduksi ke Bentuk Persamaan Diferensial
Variabel Terpisah; 4. Persamaan Diferensial Homogen; 5. Persamaan Diferensial Tak
Homogen; 6. Persamaan Diferensial Eksak; 7. Reduksi ke Bentuk Persamaan Diferensial
Eksak; 8. Persamaan Diferensial Linier Orde 1; 9. Persamaan Diferensial Bernoulli; 10.
Masalah Nilai Awal (Solusi Khusus). Masing-masing bab dilengkapi oleh materi yang mana
tiap materi diberikan contoh soal dan pembahasan ditambah latihan soal pada bagian akhir
modul ini.
       Demikian yang dapat penulis sampaikan. Penulis berharap adanya kritik dan saran
yang membangun guna terciptanya modul yang lebih mendekati kesempurnaan. Semoga
modul ini dapat bermanfaat dan dapat dijadikan modul pegangan pada mata kuliah persamaan
diferensial 1. Amiin….
Wassalamuallaikum Wr. Wb


                                                                       Jakarta,   Juni 2012


                                           - A -
KATA PENGANTAR …………………………………………………….                           A


        DAFTAR ISI ………………………………………………………………                            B


BAB 1   PENDAHULUAN PERSAMAAN DIFERENSIAL ……………………                     1
        1.1.   Definisi Persamaan Diferensial …………………………………….          1
        1.2.   Bentuk Umum Persamaan Diferensial ……………………………..         1
        1.3.   Orde (Tingkat) dan Degree (Derajat)……………………………….        1
        1.4.   Mencari Solusi Persamaan Diferensial ……………………………..      2
        1.5.   Contoh Soal dan Pembahasan ……………………………………… 2


BAB 2   PERSAMAAN DIFERENSIAL VARIABEL TERPISAH ……………                  4
        2.1.   Persamaan Diferensial Variable Terpisah ………………………….. 4
        2.2.   Contoh Soal dan Pembahasan ……………………………………… 4


BAB 3   REDUKSI KE BENTUK PERSAMAAN DIFERENSIAL VARIABEL 6
        TERPISAH ………………………………………………………………..
        3.1.   Materi Reduksi ke Bentuk Persamaan Diferensial Variabel 6
               Terpisah …………………………………………………………….
        3.2.   Contoh Soal dan Pembahasan ……………………………………… 6


BAB 4   PERSAMAAN DIFERENSIAL HOMOGEN …………………………..                     8
        4.1.   Langkah-langkah Menentujan Penyelesaian Umum Persamaan 8
               Diferensial Homogen ……………………………………………….
        4.2.   Contoh Soal dan Pembahasan ……………………………………… 8




                                     - B -
BAB 5    PERSAMAAN DIFERENSIAL TAK HOMOGEN ……………………                          10
         5.1.    Persamaan Diferensial dengan M (x,y) dan N (x,y) ………………..   10
         5.2.    Contoh Soal dan Pembahasan ……………………………………… 11


BAB 6    PERSAMAAN DIFERENSIAL EKSAK ……………………………….                           14
         6.1.    Sifat-Sifat Dasar ……………………………………………………. 14
         6.2.    Metode Solusi ………………………………………………………                         14
         6.3.    Contoh Soal dan Pembahasan ……………………………………… 15


BAB 7    REDUKSI KE BENTUK PERSAMAAN DIFERENSIAL EKSAK 18
         (FAKTOR INTEGRASI) …………………………………………………
         7.1.    Macam-macam faktor integrasi …………………………………….                18
         7.2.    Contoh Soal dan Pembahasan ……………………………………… 18


BAB 8    PERSAMAAN DIFERENSIAL LINIER ORDE SATU………………..                      21
         8.1.    Metode Solusi ………………………………………………………                         21
         8.2.    Contoh Soal dan Pembahasan ……………………………………… 21


BAB 9    PERSAMAAN DIFERENSIAL BERNOULLI …………………………                          23
         9.1.    Metode Solusi ………………………………………………………                         23
         9.2.    Contoh Soal dan Pembahasan ……………………………………… 23


BAB 10   MASALAH NILAI AWAL (SOLUSI KHUSUS) ……………………….                       26
         10.1.   Pengertian …………………………………………………………..                         26
         10.2.   Contoh Soal dan Pembahasan ……………………………………… 26


         LATIHAN SOAL …………………………………………………………. 27


         LAMPIRAN ……………………………………………………………….                                  C


         DAFTAR PUSTAKA …………………………………………………….                                D




                                        - B -
BAB
    1




1.1. Definisi Persamaan Diferensial
     Persamaan Diferensial adalah persamaan yang memuat turunan satu (atau beberapa)
     fungsi yang tidak diketahui. Meskipun persamaan seperti itu sehausnya disebut
     “persamaan turunan”, namun istilah “persamaan diferensial” (aequatio differentialis)
     yang diperkenalkan Leibniz dalam tahun 1676 sudah umum digunakan (Finizio
     Ladas:2:1988)
     Sebagai contoh:
                            y’ + xy = 3              ………………………………(1)
                   y” – 5y’ + 6y = cos x             ………………………………(2)
                                      2      2   2
                    y” = (1+y’ ) (x +y )             ………………………………(3)
                        𝜕2 𝑢
                                 -
                                     𝜕2 𝑢
                                            =0       ………………………………(4)
                        𝜕   𝑡2       𝜕𝑥 2



     Pada persamaan (1) sampai (3) menyatakan turunan pertama dan kedua dari fungsi y(x)
     terhadap x yang disebut persamaan diferensial biasa.
     Dalam persamaan (4) memuat turunan-turunan parsial yang disebut persamaan
     diferensial parsial.


1.2. Bentuk Umum Persamaan Diferensial
     Adapun bentuk umum persamaan diferensial yaitu:

     𝑓 𝑥 . 𝑑𝑥 + 𝑔 𝑦 . 𝑑𝑦 = 0


1.3. Orde (Tingkat) dan Degree (Derajat)
     Orde (tingkat) adalah turunan tertinggi dalam persamaan diferensial.
     Degree (derajat) adalah derajat dari orde tertinggi
     Contoh:

                                                                                 Page | 1
2                3
        𝑑3 𝑦            𝑑2 𝑦
                   -                + 2xy = 6
        𝑑𝑥 3            𝑑𝑥 2
    Pada persamaan diatas memiliki orde 3 dan derajat 2.


1.4. Mencari Solusi Persamaan Diferensial
    Langkah-langkah:
         Hitunglah banyaknya konstanta sembarang yang ada di dalam persamaan garus
          lengkung (kurva) yang akan dicari persamaan diferensialnya.
         Hilangkan semua konstanta sembarang ada n maka untuk mengeliminasi semua
          konstanta sembarang itu. Jika banyaknya konstanta sembarang ada n, maka untuk
          mengeliminasi semua konstanta sembarang yang ada dubutuhkan n + 1 persamaan.
          Untuk mendapatkan n + 1 persamaan, persamaan garis lengkung (kurva) semula
          didiferensialkan sampai turunan ke n.
         Banyaknya konstanta sembarang menunjukan orde tertinggi dari turunan dalam
          persamaan diferensial yang dicari.


1.5. Contoh Soal dan Pembahasan
    1) Carilah persamaan diferensial dari himpunan garis lengkung:
          a. y = A sin 2x + B cos 2x ; A dan B adalah konstanta sembarang
          b. y = x3 +A x2 + B x + C ; A, B, dan C adalah konstanta sembarang
          Pembahasan:
          a. Karena ada 2 (dua) konstanta sembarang, maka dibutuhkan 3 persamaan untuk
               mengeliminasi A dan B serta orde tertinggi dari turunannya adalah 2.
               Persamaan 1            : y = A sin 2x + B cos 2x , turunan terhadap x
                                          𝑑𝑦
               Persamaan 2            :          = 2A cos 2x – 2B sin 2x, turunan terhadap x
                                          𝑑𝑥
                                          𝑑2 𝑦
               Persamaan 3            :          = - 4A sin 2x – 4B cos 2x
                                          𝑑𝑥 2

               Masukan persamaan (1) ke (3) didapatkan bahwa :
               𝑑2 𝑦
                       = - 4A sin 2x – 4B cos 2x
               𝑑𝑥 2
               𝑑2 𝑦
                       = - 4(A sin 2x + B cos 2x)  y = A sin 2x + B cos 2x
               𝑑𝑥 2
               𝑑2 𝑦
               𝑑𝑥 2
                       = - 4y
                                                                             𝒅𝟐 𝒚
               Jadi, persamaan diferensial yang dicari adalah                       + 4y = 0
                                                                             𝒅𝒙 𝟐

                                                                                               Page | 2
b. Karena ada 3 (tiga) konstanta sembarang, maka dibutuhkan 4 persamaan untuk
         mengeliminasi A dan B serta orde tertinggi dari turunannya adalah 3.
         Persamaan 1             : y = x3 +A x2 + B x + C , turunan terhadap x
                                     𝑑𝑦
         Persamaan 2             :          = 3x2 + 2Ax + B , turunan terhadap x
                                     𝑑𝑥
                                     𝑑2 𝑦
         Persamaan 3             :          = 6x + 2A , turunan terhadap x
                                     𝑑𝑥 2
                                     𝑑3 𝑦
         Persamaan 4             :          =6
                                     𝑑𝑥 3
                                                                    𝑑3 𝑦
         Jadi, persamaan diferensial yang dicari adalah                    =6
                                                                    𝑑𝑥 3



2) Carilah persamaan diferensial dari berkas kardiola r = a (1-cos 𝜃), a = konstanta
   sembarang.
   Pembahasan :
   Karena ada 1 (satu) konstanta sembarang, maka dibutuhkan 2 persamaan untuk
   mengeliminasi A dan B serta orde tertinggi dari turunannya adalah 1.
   Persamaan 1 : r = a (1-cos 𝜃) , turunan terhadap x
                         𝑑𝑟
   Persamaan 2 :               = a sin 𝜃
                         𝑑𝜃
                                                    𝑟
   Dari persamaan (1) didapat a = 1−cos                 𝜃

   Eliminir a dalam persamaan (2), di dapatkan
    𝑑𝑟        𝑟
         = 1−cos       sin 𝜃
    𝑑𝜃             𝜃

   Jadi, persamaan diferensialnya adalah: 1 − cos 𝜃 dr – r sin 𝜃 𝑑𝜃 = 0




                                                                                   Page | 3
BAB
    2




2.1. Persamaan Diferensial Variable Terpisah
    Suatu persamaan diferensial variable terpisah ditandai oleh fakta bahwa dua peubah dari
    persamaan itu bersama-sama masing-masing didiferensianya, dapat ditempatkan di ruas
    yang berlawanan.
    Dengan manipulasi aljabar, memunkinkan kita menuliskan persamaan diferensial
    terpisah dalam bentuk implisit :
              𝑃(𝑥)
    y’ =               , atau
              𝑄 (𝑥)

    dalam bentuk eksplisit :
     𝑑𝑦        𝑃(𝑥)
          =
     𝑑𝑥        𝑄 (𝑥)

    Untuk memperoleh penyelesaian umum suatu persamaan diferensial terpisah, pertama-
    tama kita pisahkan kedua peubah dan kemudian integralkan kedua ruas.
    Awal                Q (y) dy = P (x) dx
    Integral               P (x) dx = Q (y) dy + C dimana C = Konstanta sembarang


    Note: bisa dilakukan hanya pada variable yang sama. Contoh :


              Hanya mengandung                 𝑦+1                       Hanya mengandung
                                                       dy = -x dx 
                                               𝑦 2 +4
                       variable y                                             variable x




2.2. Contoh Soal dan Pembahasan
    Selesaikan setiap persamaan diferensial di bawah ini:
    1) y2 dy = (x + 3x2) dx , bilamana x = 0 dan y = 6  bentuk eksplisit
    2) xyy’ + x2 + 1 = 0                                        bentuk implisit



                                                                                           Page | 4
Pembahasan:
1) y2 dy = (x + 3x2) dx , syarat harus mengandung variable yang sama pada tiap ruas.
      Integralkan kedua ruas
           y 2 dy = (x + 3x 2 ) dx
       𝑦3                        𝑥2
             +C1         =            + x 3 + C2
       3                         2
                             3𝑥 2
             y3          =            + 3x 3 + (3C2 – 3C1)
                                 2
                              3𝑥 2
                         =                + 3x 3 + C                           ; C = 3C2 – 3C1
                                 2

                             3    3𝑥 2
             y           =                     + 3x 3 + C
                                      2

                                                                    3   3𝑥 2
      Maka, solusi umumnya adalah: =                                          + 3x 3 + C
                                                                         2

      Menghitung konstanta C, kita menggunakan persyaratannya bilamana x = 0 dan
       y = 6, maka akan menghasilkan:
                 3
       6=            𝐶
       C = 216
                                                                    3   3𝑥 2
      Solusi khususnya adalah: y                               =              + 3x 3 + 216
                                                                         2

2) xyy’ + x2 + 1 = 0
      Ubah ke dalam eksplisit
              𝑑𝑦
       xy            + x2 + 1 = 0
              𝑑𝑥

      Bagi tiap-tiap ruas
                             x2 + 1
       y dy = −                               dx
                                 𝑥

      Integralkan masing-masing ruas
                                              x2 + 1
           y dy          =−                                dx
                                                𝑥
       𝑦2                                              1
             +C          =−                   𝑋+           dx
       2                                               𝑥
       𝑦2                             x2
             +C          =−                   + 𝐿𝑛 |𝑥| + C
       2                                  2

        𝑦2               = − x 2 − 2 𝐿𝑛 𝑥 + 𝑐

       y                 = − x 2 − 2 𝐿𝑛 𝑥 + 𝑐
      Maka, solusi umumnya adalah:
       y                 = − x 2 − 2 𝐿𝑛 𝑥 + 𝑐

                                                                                                 Page | 5
BAB
     3




3.1. Materi Reduksi ke Bentuk Persamaan Diferensial Variabel Terpisah
    Tidak semua persamaan diferensial mudah untuk didapatkan solusinya. Pada saat
    persamaan diferensial memiliki bentuk:



                                         f1 (x) g1 (y) dx ± f2 (x) g2 (y) dy


                                                                                   1
    Maka dibutuhkan reduksi dengan menggunakan faktor integrasi                              , yang
                                                                               g1 y F2 (x)

    kemudian akan menjadi:
    f1 (x)           g1 (y)
              dx ±              dy       =0
     f2 (x)          g2 (y)
    f1 (x)             g1 (y)
              dx = ±             dy
     f2 (x)            g2 (y)



    Pengitegralan masing-masing ruas:
        f1 (x)                  g1 (y)
                 dx = ±                   dy
        f2 (x)                  g2 (y)



3.2. Contoh Soal dan Pembahasan
    Tentukan solusi umum dari persamaan diferensial berikut:
    1) (x3y + yx2) dx + (y3x2 + 2x2y) dy = 0
    2) (x2-1) dx – (2x+xy) dy = 0
    Pembahasan
    1) (x3y + yx2) dx + (y3x2 + 2x2y) dy = 0
         y (x3 + x2) dx + x2 (x2 + 2y) dy = 0
                                  1
         faktor integrasi : yx 2




                                                                                             Page | 6
1
                [y (x3 + x2) dx + x2 (x2 + 2y) dy] = 0
   yx 2

   (x3 + x2) dx + (x2 + 2y) dy = 0
   Karena sudah memiliki variable yang sama, langkah selanjutnya adalah integralkan.
            (x3 + x2) dx +                   (x2 + 2y) dy = 0
    𝑥4              𝑥3       𝑦4
                +        +        + 𝑦2 + C = 0
    4               3        4

                                                                x 12
   3x4 + 4x3 + 3y4 + 12 y2 = C
   Maka, Solusi umumnya adalah 3x4 + 4x3 + 3y4 + 12 y2 = C


2) (x2-1) dx – (2x+xy) dy = 0
   (x2-1) dx – x (2+y) dy = 0
                                      1
   faktor integrasi :                    𝑥
   1
        [(x2-1) dx – x (2+y) dy] = 0
    𝑥
   x 2 −1
                    dx – (2+y) dy = 0
            𝑥
                x 2 −1
                         dx –        (2+y) dy = 0
                    𝑥
    𝑥2                               𝑦2
                -Ln |x| - 2y -               =0
    2                                2

                                                                x2
    𝑥 2 - 2 Ln |x| - 4y - 𝑦 2 = 0
    𝑥 2 - 𝑦 2 - 2 Ln |x| - 4y = 0
   Maka, solusi umumnya adalah 𝑥 2 - 𝑦 2 - 2 Ln |x| - 4y = 0




                                                                             Page | 7
BAB
      4




f (x,y) dikatakan homogen berderjat n jika:
f (𝛼x,𝛼y) = 𝛼 n f (x,y)
M (x,y) dx + N (x,y) dy = 0
Syarat persamaan diferensial diatas dikatakan homogeny jika M (x,y) dan N (x,y) adalah
homogeny dan berderajat sama.


4.1. Langkah-langkah Menentujan Penyelesaian Umum Persamaan Diferensial
      Homogen
         Gunakan tranformasi:
          y = u x  dy = x du + u dx, atau
          x = u y  dy = y dy + u du
         Persamaan diferensial homogeny tereduksi ke Persamaan Diferensial terpisah
         Gunakan aturan persamaan diferensial terpisah untuk mendapatkan solusi umum
          persamaan diferensial.
                          𝑦                                                    𝑥
         Gantilah u =        jika menggunakan transformasi y = u x, dan u =       jika menggunakan
                          𝑥                                                    𝑦

          transformasi x = u y untuk mendapatkan kembali variable semula.


4.2. Contoh Soal dan Pembahasan
      Buktikan bahwa persamaan tersebut adalah persamaan homogen!
                𝑥3+ 𝑦3
      1) y’ =    𝑥𝑦 2

      2) (2x2y + y3) dx + (xy2 – 2x3) dy = 0


      Pembahasan:
                𝑥3+ 𝑦3        𝑑𝑦       𝑥3+ 𝑦 3
      1) y’ =                     =
                 𝑥𝑦 2         𝑑𝑥        𝑥𝑦 2

          xy2 dy – (x3+y3) dx = 0



                                                                                            Page | 8
   fungsi M (x,y) dx
       M (x,y) dx = -x3-y3  = - 𝛼 3 𝑥 3 - 𝛼 3 𝑦 3
                                   =   𝛼 3 (−𝑥 3 −𝑦 3 )
       M (𝛼x,𝛼y) = 𝛼 3 [M (x,y)]


      fungsi N (x,y) dy
       N (x,y) dy = xy2           = 𝛼𝑥𝛼 3 𝑦 3
                                   =   𝛼 3 (x𝑦 2 )
       N (𝛼x,𝛼y) = 𝛼 3 [N (x,y)]


      didapatkan 𝛼 3 , maka TERBUKTI persamaan diferensial diatas merupakan
       persamaan diferensial homogeny berderajat 3.


2) (2x2y + y3) dx + (xy2 – 2x3) dy = 0
      fungsi M (x,y) dx
       M (x,y) dx = 2x2y + y3             = 2𝛼 2 x2 𝛼 y + 𝛼 3 y3
                                           =     𝛼 3 (2x2y + y3)
       M (𝛼x,𝛼y) = 𝛼 3 [M (x,y)]


      fungsi N (x,y) dy
       N (x,y) dy = xy2 – 2x3             = 𝛼 x𝛼 2 y2 – 2𝛼 3 x3
                                           =     𝛼 3 (xy2 – 2x3)
       N (𝛼x,𝛼y) = 𝛼 3 [N (x,y)]


      didapatkan 𝛼 3 , maka TERBUKTI persamaan diferensial diatas merupakan
       persamaan diferensial homogeny berderajat 3.




                                                                     Page | 9
BAB
     5




5.1. Persamaan Diferensial dengan M (x,y) dan N (x,y)
     Persamaan ini merupakan persamaan linier tetapi tidak homogen. Pandang bentuk
     persamaan diferensial dibawah ini:
     ( ax + by + c ) dx + ( px + qy + r ) dy = 0
     Dimana a,b,c,p,q,r merupakan suatu konstanta.
     Ada 3 (tiga) kemungkinan yang dapat terjadi:


          𝑎     𝑏        𝑐
     1)       = 𝑞= 𝑟= 𝛼
          𝑝

          Langkah-langkah penyelesaian:
                         𝑎       𝑏       𝑐
          Karena = = = 𝛼 , maka menggunakan transformasi px + qy + r = u, yang berarti
                         𝑝       𝑞       𝑟

          bahwa ax + by + c = 𝛼u
          Bentuk persamaan tereduksi menjadi persamaan dengan variable terpisah dan
          kemudian selesaikanlah.


          𝑎     𝑏    𝑐
     2)       = 𝑞≠
          𝑝          𝑟

          Langkah-langkah penyelesaian:
                                                                                                 𝑑𝑢 −𝑞 𝑑𝑦
          Gunakan transformasi px + qy = u, dan dari sini berarti dy =                                      , atau
                                                                                                     𝑞
                𝑑𝑢 −𝑞 𝑑𝑦
          dx=        𝑝
                             𝑎       𝑏
          Misalkan 𝑝 = 𝑞 = 𝛽, maka ax + by = 𝛽 u

          Persamaan tereduksi menjadi persamaan variable terpisah.
                                             𝑑𝑢 −𝑝 𝑑𝑥                         𝑑𝑢 −𝑝 𝑑𝑥
          (𝛽 x + C) dx + (u + r)                        = 0, atau (𝛽 x + C)              + (u + r) 𝑑𝑦 = 0
                                                𝑞                                𝑞

          Selesaikan persamaan variable terpisah ini dan kemudian gantilah x = px + qy untuk
          mendapatkan solusi umumnya.




                                                                                                         Page | 10
𝑎       𝑏
    3)       ≠
         𝑝       𝑞

         Langkah-langkah penyelesaian:
                Gunakan Transformasi
                 ax + by + c = u  a dx + b dy = du
                 px + qy + r = v  p dx + q dy = dv
                 dari dua persamaan diatas diperoleh bahwa:
                           𝑞 𝑑𝑢 −𝑏 𝑑𝑣                      𝑎 𝑑𝑢 −𝑝 𝑑𝑣
                 dx =                    , dan dy =
                            𝑎𝑞 −𝑏𝑝                             𝑎𝑞 −𝑏𝑝

                 selesaikan persamaan diferensial diatas dan kemudian gantilah kembali u dan v
                 dengan tranformasi semula untuk mendapatkan solusi umum persamaan
                 diferensial semula.


5.2. Contoh Soal dan Pembahasan
    Tentukan solusi umum persamaan diferensial dibawah ini!
    1) (2x – 5y +2) dx + (10y – 4x – 4) dy = 0
         𝑑𝑦          1−2𝑦−4𝑥
    2)        =
         𝑑𝑥           1+𝑦+2𝑥
         𝑑𝑦          6𝑥−2𝑦−7
    3)        = 2𝑥+3𝑦−6
         𝑑𝑥



    Pembahasan:
    1) (2x – 5y +2) dx + (10y – 4x – 4) dy = 0
             a b           c              q           p        r
         𝑎        2         1                     𝑏       −5       1                 𝑐     2     1
             = −4 = - 2                       ;       = 10 = - 2                 ;       = −4 = - 2
         𝑝                                        𝑞                                  𝑟
                       𝑎        𝑏   𝑐             1
         Maka, = = = 𝛼 = -
                       𝑝        𝑞   𝑟             2

         Penyelesaian:
                px + qy + r = u
                 ax + by + c = 𝛼 u
                                          1
                                        =-2u

                (2x – 5y +2) dx + (10y – 4x – 4) dy = 0
                            1
                           -2u          dx +              u             dy = 0

                                                                                     xu
                            1
                           -2            dx +                          dy = 0

                                                                                                      Page | 11
1
                          -2           dx +                  dy       =0
                 1
             -2x +y=C
                                                                  1
             Maka Solusi umumnya adalah - 2 x + y = C


     𝑑𝑦          1−2𝑦−4𝑥
2)        =
     𝑑𝑥          1+𝑦+2𝑥

     (1 − 2𝑦 − 4𝑥) dx = (1 + 𝑦 + 2𝑥) dy = 0
         c b               a                  r      q   p
     𝑎       −4                                𝑏    −2                     𝑐       −7
         = −2 = 2                         ;        = −1 = 2           ;        =
     𝑝                                         𝑞                           𝑟        6

     Maka,
     𝑎       𝑏       𝑐
         ≠               = 𝛽=2
     𝑝       𝑞       𝑟

     Penyelesaian:
            px + qy = u                                                      ax + by = 𝛽 u
             -2x+(-y) = u                                                      -4x – 2y = 2u
             -2x – y = u
            Pengganti dx atau dy
                 -2x –y = u                                                       -2x –y = u
                          𝑢 +𝑦
                 x =                                                               y = - (u + 2x)
                          −2
                          𝑑𝑢 +𝑑𝑦                                                   dy = - du – 2dx
                 dx =      −2



            Solusi umum
             (1 − 2𝑦 − 4𝑥) dx = (1 + 𝑦 + 2𝑥) dy = 0
                                 𝑑𝑢 +𝑑𝑦
             (1 – 2u)                         - (1 – u) dy = 0
                                  −2

                                                                                   x2
             (1 – 2u) (𝑑𝑢 + 𝑑𝑦) - 2 (1 – u) dy = 0
             du + dy + 2udu + 2udy – 2dy + 2udy = 0
             du – dy + 2 udu + 4udy = 0
             (1 + 2u) du + (4u – 1) dy = 0
                                                                                   : (4u – 1)
                 1+2𝑢
                           du + dy = 0
                 4𝑢−1



                                                                                                     Page | 12
1+2𝑢
                                du +       dy = 0
                      4𝑢−1
                       1                        2𝑢
                                du +                      du +      dy = 0
                      4𝑢−1                 4𝑢−1

             Ln |4𝑢 − 1| + 2u Ln |4𝑢 − 1| + y = C
            Maka, solusi umumnya adalah: Ln |4𝑢 − 1| + 2u Ln |4𝑢 − 1| + y = C


     𝑑𝑦          6𝑥−2𝑦−7
3)        = 2𝑥+3𝑦−6
     𝑑𝑥

     (6𝑥 − 2𝑦 − 7) dx – (2𝑥 + 3𝑦 − 6) dy = 0
         a        b         c              p          q         r
     maka didapatkan
     𝑎       6                              𝑏        −2     2              𝑐     1
         = −2 = - 3                    ;        = −3 = 3               ;       = −1 = -1
     𝑝                                      𝑞                              𝑟
     𝑎       𝑏
         ≠
     𝑝       𝑞

     Penyelesaian:
     (qu – pv) du + (qv – bu) dv = 0
     (-3u + 2v) du + (bv + 2u) dv = 0  Persamaan Diferensial Homogen
     Subtitusi:
             𝑢
     z = 𝑣 , atau u = zv  du = v dz + z dv

     Solusi Umum:
     (-3u + 2v) du + (bv + 2u) dv = 0
     (-3 zv + 2v) (v dz + z dv) + (bv + 2 zv) dv = 0
     v2 (-3z + 2) dz + v (-3z2 + 4z + 6) dv = 0
                                                                           : v2 (-3z + 2)
             −3𝑧+2
                                dz + v dv = 0
         −3z2 + 4z + 6
                  −3𝑧+2
                                  dz +          v dv = 0
             −3z2 + 4z + 6
                      −3𝑧                                  2                 1
                                  dz +                               dz + 2 v2 dv = 0
             −3z2 + 4z + 6                       −3z2 + 4z + 6
                                                                                            1
     −3𝑧 𝐿𝑛 | − 3z2 + 4z + 6| + 2 𝐿𝑛 | − 3z2 + 4z + 6| + 2 v2 dv = C

                                                                                                    x2
                                                                                                2
     −6𝑧 𝐿𝑛 | − 3z2 + 4z + 6| + 4 𝐿𝑛 | − 3z2 + 4z + 6| + v dv = C
     Maka, Solusi Umumnya adalah:
     −6𝑧 𝐿𝑛 | − 3z2 + 4z + 6| + 4 𝐿𝑛 | − 3z2 + 4z + 6| + v2 dv = C

                                                                                                     Page | 13
BAB
     6




6.1. Sifat-Sifat Dasar
     Suatu persamaan diferensial dengan bentuk:
     M (x,y) dx + N (x,y) dy = 0
     Dikatakan persamaan diferensial eksak, jika ada suatu fungsi f(x,y) yang diferensial
     totalnya sama dengan M (x,y) dx + N (x,y) dy, yaitu (dengan meniadakan lambang
     x dan y):
     df = M dx + N dy
     uji kepastian         :   Jika M dan N merupakan fungsi kontinu dan memiliki turunan
                               parsial pertama yang kontinu pada sebuah segiempat bidang xy,
                                                                                           𝜕𝑀       𝜕𝑁
                               maka M (x,y) dx + N (x,y) dy = 0 adalah eksak hanya jika:        =
                                                                                           𝜕𝑦       𝜕𝑥



6.2. Metode Solusi
     Untuk menentukan solusi dari M (x,y) dx + N (x,y) dy = 0, maka secara implicit
     diberikan oleh penyelesaian umum f (x,y) = c.
     Langkah-langkah menemukan suatu fungsi f (x,y) adalah:
        Langkah 1
         Perhatikan bahwa:
         𝜕𝑓                     𝜕𝑓
              = M (x,y), dan         = N (x,y)
         𝜕𝑥                     𝜕𝑦

        Langkah 2
         Integrasikan (mencari integral) dari M (x,y) terhadap x dengan y tetap.
         𝜕𝑓
              dx = M (x,y) dx
         𝜕𝑥
                       𝑥
         f (x,y) = [       M (x, y) dx ] + ∅(𝑦)
         dimana ∅𝑦 adalah fungsi sembarang dari y saja.
        Langkah 3
         Fungsi f (x,y) pada langkah ke-2, didiferensialkan parsial terhadap y yang
         selanjutnya akan diperoleh:

                                                                                           Page | 14
𝜕𝑓       𝜕        𝑥                             𝜕∅
             =        [       M (x, y) dx ] +
        𝜕𝑦       𝜕𝑦                                     𝜕𝑦

       Langkah 4
                                𝜕𝑓
        Karena                       = N (x,y) maka,
                                𝜕𝑦
                                𝜕∅                           𝜕         𝑥
                                     = N (x,y) -                  [        M (x, y) dx ]
                                𝜕𝑦                       𝜕𝑦

        Dari sini ∅(𝑦) akan diperoleh.
       Langkah 5
        ∅(𝑦) yang baru saja diperoleh, disubtitusikan ke f (x,y) dalam langkaj ke-2.
        Dengan demikian f (x,y) = C dapat diperoleh.


6.3. Contoh Soal dan Pembahasan
    Tentukan solusi umum dari persamaan diferensial di bawah ini dan buktikan
    keeksakanya!
    1) (2xy + x2) dx + (x2 + y2) dy = 0
    2) 3x2y2 dx + (2x3y + 4y3) dy = 0


    Pembahasan:
    1) (2xy + x2) dx + (x2 + y2) dy = 0
            Pembuktian Persamaan Diferensial Eksak
                                                             𝜕𝑀
             M (x, y) = 2xy + x2                                     = 2𝑥
                                                             𝜕𝑦
                                                         𝜕𝑁
             N (x, y) = x2 + y2                                  = 2𝑥
                                                         𝜕𝑥
                               𝜕𝑀            𝜕𝑁
             Karena                  =            , maka persamaan diferensial diatas merupakan persamaan
                               𝜕𝑦            𝜕𝑥

             diferensial eksak.
            Mencari Solusi Umum
             Langkah 2 (mencari f (x,y))
                                         𝑥
             f (x,y)           =[            M (x, y) dx ] + ∅(𝑦)
                                     𝑥
                               =         (2xy + x2) dx + ∅(𝑦)
                                               1
                               = x2y + 3 x3 + ∅(𝑦)




                                                                                                 Page | 15
Langkah 3
        𝜕𝑓                 𝜕                 𝑥                     𝜕∅
                      =             [            M (x, y) dx ] +
        𝜕𝑦                 𝜕𝑦                                      𝜕𝑦
                           𝜕                 𝑥                          𝜕∅
                      =             [            (2xy + x2) dx ] +
                           𝜕𝑦                                           𝜕𝑦
                                             𝜕
                      = x2 +                      ∅(𝑦)
                                            𝜕𝑦

       Langkah 4 (mencari ∅(𝑦))
       𝜕𝑓
             = N (x,y)
       𝜕𝑦
               𝜕
       x2 +         ∅(𝑦) = x2 + y2
               𝜕𝑦
               𝜕
                    ∅(𝑦) = x2 + y2 - x2
              𝜕𝑦

                    ∅(𝑦) =                   y 2 dy
                                        1
                           =                y3 + k
                                        3

       Langkah 5 (Solusi Umum)
                                            1
       f (x,y)        = x2y + 3 x3 + ∅(𝑦)
                                            1         1
                      = x2y + 3 x3 + 3 y 3 = k

                                                                             x3
                      = 3x y + x + y 3 = 3k
                                2                 3


       Maka solusi umumnya adalah 3x2y + x3 + y 3 = C dengan nilai C=3k


2) 3x2y2 dx + (2x3y + 4y3) dy = 0
      Pembuktian Persamaan Diferensial Eksak
                                                          𝜕𝑀
       M (x, y) = 3x2y2                                        = 6𝑥 2 𝑦
                                                           𝜕𝑦
                                                           𝜕𝑁
       N (x, y) = 2x3y + 4y3                                   = 6𝑥 2 𝑦
                                                           𝜕𝑥
                     𝜕𝑀                 𝜕𝑁
       Karena              =                 , maka persamaan diferensial diatas merupakan persamaan
                      𝜕𝑦                𝜕𝑥

       diferensial eksak.
      Mencari Solusi Umum
       Langkah 2 (mencari f (x,y))
                                𝑥
       f (x,y)        =[            M (x, y) dx ] + ∅(𝑦)
                            𝑥
                      =         3x 2 y 2 dx + ∅(𝑦)
                      = x3y2+ ∅(𝑦)

                                                                                            Page | 16
Langkah 3
 𝜕𝑓               𝜕        𝑥                          𝜕∅
            =          [       M (x, y) dx ] +
 𝜕𝑦               𝜕𝑦                                  𝜕𝑦
                  𝜕        𝑥                     𝜕∅
            =          [       3x 2 y 2 dx ] +
                  𝜕𝑦                             𝜕𝑦
                                𝜕
            = 2x3y +                 ∅(𝑦)
                                𝜕𝑦

Langkah 4 (mencari ∅(𝑦))
𝜕𝑓
      = N (x,y)
𝜕𝑦
             𝜕
2x3y +            ∅(𝑦) = 2x3y + 4y3
            𝜕𝑦
             𝜕
                  ∅(𝑦) = 2x3y + 4y3 - 2x3y
            𝜕𝑦

                 ∅(𝑦) =              4y 3 dy
                           = y4 + k
Langkah 5 (Solusi Umum)
f (x,y)     = x3y2+ ∅(𝑦)
            = x3y2+ y 4 = k
Maka solusi umumnya adalah x3y2+ y 4 = C dengan nilai C = k




                                                              Page | 17
BAB
      7




Secara umum persamaan M (x,y) dx + N (x,y) dy = 0 tidak eksak. Terkadang adalah mungkin
mengubah menjadi persamaan diferensial eksak melalui perkalian yang eksak.
Oleh karena itu, fungsi untuk mengubah Persamaan Diferensial tiadk eksak ke bentuk
persamaan diferensial eksak adalah factor integrasi (Faktor pengkali/ Gabung).


7.1. Macam-macam faktor integrasi
     Ada beberapa macam faktor integrasinya, yaitu:
                 𝜕𝑀       𝜕𝑁
                      −
                 𝜕𝑦       𝜕𝑥
        Jika,                 = f(x) dimana f(x) merupakan fungsi dari x saja
                      𝑁
                                         f x dx
         Faktor Integrasinya: 𝑒
                 𝜕𝑀       𝜕𝑁
                      −
                 𝜕𝑦       𝜕𝑥
        Jika,                 = g(y) dimana g(y) merupakan fungsi dari y saja
                  −𝑀
                                         g y dy
         Faktor Integrasinya: 𝑒
        Jika, M (x,y) dx + N (x,y) dy = 0 merupakan Persamaan Diferensial Homogen dan
         xM + yN ≠ 0
                                         1
         Faktor Integrasinya: xM + yN

        Jika, M (x,y) dx + N (x,y) dy = 0 dapat diubah ke bentuk
         y f(x,y) dx + x g(x,y) dy = 0 dan f(x,y) ≠ g(x,y)
                                         1
         Faktor Integrasinya: xM − yN

        Dan sebagainya


7.2. Contoh Soal dan Pembahasan
     Tentukan Faktor Integrasi kemudian tentukan solusi umumnya!
     1) 3x2y2 dx + (4x3y – 12) dy = 0
     2) (2y – x3) dx + x dy = 0



                                                                                 Page | 18
Pembahasan:
1) 3x2y2 dx + (4x3y – 12) dy = 0
                                                  𝜕𝑀
   M = 3x2y2                                           = 6x2y
                                                   𝜕𝑦
                                                  𝜕𝑀
   N = 4x3y – 12                                       = 12x2y
                                                   𝜕𝑦
                𝜕𝑀            𝜕𝑁
   Karena            ≠                 maka, bukan merupakan persamaan diferensial eksak
                𝜕𝑦            𝜕𝑥
       𝜕𝑀       𝜕𝑁
            −            16𝑥 2 𝑦 −12𝑥 2 𝑦                   −2        4       2
       𝜕𝑦       𝜕𝑥
                    =                                  =        +        =
         −𝑀                   −3𝑥 2 𝑦 2                      𝑦        𝑦       𝑦
                                                                      2
                                                  g y dy                 dy
       Faktor Integrasi: 𝑒                                   = 𝑒       𝑦      = 𝑒 2 ln 𝑦 = y2
      Faktor Integrasi f(x)
       y2 [3x2y2 dx + (4x3y – 12) dy] = 0
       3x2y4 dx + (4x3y3 – 12 y2) dy = 0
                                                                 𝜕𝑀
       M = 3x2y4                                                     = 12x2y3
                                                                 𝜕𝑦
                                                                 𝜕𝑀
       N = 4x3y3 – 12 y2                                             = 12x2y3
                                                                 𝜕𝑦
                     𝜕𝑀                    𝜕𝑁
       Karena                 =                 maka, merupakan persamaan diferensial eksak
                     𝜕𝑦                    𝜕𝑥

      Solusi Umum
       Mencari f(x,y) dengan mengintegralkan M
                                       𝑥
       f (x,y)           =[                M (x, y) dx ] + ∅(𝑦)
                                   𝑥
                         =             3x 2 y 4 dx + ∅(𝑦)
                         = x3y4+ ∅(𝑦)
       Mencari ∅(𝑦) dengan mendiferensialkan f(x,y) = N
       𝜕𝑓
            = N (x,y)
       𝜕𝑦
                          𝜕
       4x3y3 +                ∅(𝑦) = 4x3y3 – 12 y2
                         𝜕𝑦
                          𝜕
                              ∅(𝑦) = 4x3y3 – 12 y2 - 4x3y3
                         𝜕𝑦

                              ∅(𝑦) = −                      12 y 2 dy
                                                = - 4 y3 + k
       Masukan ke persamaan f(x,y)
       f (x,y)           = x3y4+ ∅(𝑦)
                         = x3y4 − 4 y 3 = k
       Maka solusi umumnya adalah x3y4 − 4 y 3 = C dengan nilai C = k
                                                                                                Page | 19
2) (2y – x3) dx + x dy = 0
                                                        𝜕𝑀
   M = 2y – x3                                              =2
                                                        𝜕𝑦
                                                        𝜕𝑀
   N=x                                                      =1
                                                        𝜕𝑦
                𝜕𝑀                𝜕𝑁
   Karena            ≠                     maka, bukan merupakan persamaan diferensial eksak
                𝜕𝑦                𝜕𝑥
       𝜕𝑀       𝜕𝑁
            −            2−1                   1
       𝜕𝑦       𝜕𝑥
                    =                 =
            𝑁                 𝑥                 𝑥
                                                                        1
                                                        f x dy               dx
       Faktor Integrasi: 𝑒                                       = 𝑒     𝑥        = 𝑒 ln 𝑥 = x
      Faktor Integrasi f(x)
       x [(2y – x3) dx + x dy] = 0
       (2xy – x4) dx + x2 dy = 0
                                                                  𝜕𝑀
       M = 2xy – x4                                                     = 2x
                                                                   𝜕𝑦
                                                                  𝜕𝑀
       N = x2                                                           = 2x
                                                                   𝜕𝑦
                     𝜕𝑀                        𝜕𝑁
       Karena                     =                 maka, merupakan persamaan diferensial eksak
                     𝜕𝑦                        𝜕𝑥

      Solusi Umum
       Mencari f(x,y) dengan mengintegralkan M
                                           𝑥
       f (x,y)           =[                    M (x, y) dx ] + ∅(𝑦)
                                       𝑥
                         =                 (2xy – x 4 ) dx + ∅(𝑦)
                                                    1
                         = x2y − 5 x 5 + ∅(𝑦)

       Mencari ∅(𝑦) dengan mendiferensialkan f(x,y) = N
       𝜕𝑓
            = N (x,y)
       𝜕𝑦
                          𝜕
       x2 +                       ∅(𝑦) = x2
                         𝜕𝑦
                          𝜕
                                  ∅(𝑦) = x2 – x2
                         𝜕𝑦

                                  ∅(𝑦) =                  0 dy
                                                    = k
       Masukan ke persamaan f(x,y)
                                                    1
       f (x,y)           = x2y − 5 x 5 + ∅(𝑦)
                                                    1
                         = x2 y − x 5 = k
                                                    5
                                                                              1
   Maka solusi umumnya adalah x2y − 5 x 5 = C dengan nilai C = k
                                                                                                  Page | 20
BAB
    8




8.1. Metode Solusi
    Persamaan linier orde satu memiliki bentuk umum
    𝑑𝑦
         + P(x) y = Q(x) dengan syarat ruas kanan ≠ 0
    𝑑𝑥
                                  P x dx
    Factor integrasi: 𝑒
    Solusi umum
         P x dx                         P x dx
    𝑒             y=     Q(x) 𝑒                      + 𝐶


8.2. Contoh Soal dan Pembahasan
    Tentukan solusi umum dari:
          𝑑𝑦
    1)         + 4y = x -2x2
          𝑑𝑥

    2) 𝑦 ′ + 𝑦 = (1 + 𝑥)2


    Pembahasan:
          𝑑𝑦
    1)         + 4y = x -2x2
          𝑑𝑥

          P(x) = 4            ; Q(x) = x – 2x2
                                        P x dx                   4 dx
          Faktor Integrasi: 𝑒                        = 𝑒                 = 𝑒 4𝑥
          Solusi Umum:
               P x dx                         P x dx
          𝑒             y=        Q(x) 𝑒                   + 𝐶
          𝑒 4𝑥 y =      x – 2x 2 𝑒 4𝑥 + 𝐶
                        𝑥−2𝑥 2         1−4𝑥          1             𝑐
                  y=              −           −             +
                          4             16           16           𝑒 4𝑥
                        4𝑥−8𝑥 2 −1+4𝑥−1                    𝑐
                  y=                                 +
                                  16                      𝑒 4𝑥
                        4𝑥−4𝑥 2 −1             𝑐
                  y=                     +
                              8               𝑒 4𝑥




                                                                                  Page | 21
2) 𝑦 ′ + 𝑦 = (1 + 𝑥)2
   𝑑𝑦
        + 𝑦 = (1 + 𝑥)2
   𝑑𝑥

   P(x) = 1           ; Q(x) = (1 + 𝑥)2
                             P x dx         1 dx
   Faktor Integrasi: 𝑒                = 𝑒          = 𝑒𝑥
   Solusi Umum:
        P x dx                  P x dx
   𝑒             y=    Q(x) 𝑒            + 𝐶
   𝑒 𝑥 y = (1 + 𝑥)2 𝑒 𝑥 + 𝐶
       𝑒 𝑥 y = 𝑒 𝑥 (1 + 𝑥)2 − 2𝑒 𝑥 (1 + 𝑥) + 2𝑒 𝑥 + C
                         2                            𝑐
          y=[ 1+ 𝑥           −2 1+ 𝑥 +2+             𝑒𝑥




                                                          Page | 22
BAB
     9




9.1. Metode Solusi
        Bentuk umum dari persamaan diferensial Bernoulli adalah:
         𝑑𝑦
              + P(x) y = Q(x) yn
         𝑑𝑥

        Persamaan Bernoulli akan tereduksi ke persamaan linier orde satu dengan
         Transformasi:
         z = y-n+1
         𝑑𝑧                          𝑑𝑦
              = (-n + 1) y-n.
         𝑑𝑥                          𝑑𝑥
         𝑑𝑦                     𝑑𝑧
              = (1 – n) yn.
         𝑑𝑥                     𝑑𝑥

        Persamaan linier orde satu
         𝑑𝑧
              = (1 – n) P(x) y-n = (1 – n) Q(x)
         𝑑𝑥
         𝑑𝑧
              = (1 – n) P(x) z = (1 – n) Q(x)
         𝑑𝑥
                                              1 – n P x dx
         Dengan faktor integrasi: 𝑒
        Solusi umum
               1 – n P x dx                            1 – n P x dx
         𝑒                     z = (1 – n) Q(x) 𝑒                     𝑑𝑥 + C


9.2. Contoh Soal dan Pembahasan
    Cari solusi dari:
         𝑑𝑦      𝑦       𝑦2
    1)        + 𝑥=
         𝑑𝑥              𝑥
         𝑑𝑦
    2)        + y = xy3
         𝑑𝑥



    Pembahasan:
         𝑑𝑦      𝑦       𝑦2
    1)        + 𝑥=
         𝑑𝑥              𝑥
                     1                    1
         P(x) =      𝑥
                              ; Q(x) =    𝑥
                                              ;n=2



                                                                               Page | 23
z = y-n+1
     z = y-2+1
     z = y-1
     𝑑𝑧                          𝑑𝑦
          = - y-2.
     𝑑𝑥                          𝑑𝑥
     𝑑𝑦                         𝑑𝑧
          = - y2.
     𝑑𝑥                         𝑑𝑥
     𝑑𝑦           𝑦         𝑦2
          + 𝑥=
     𝑑𝑥                     𝑥
                  𝑑𝑧         𝑦            𝑦2
     - y2.                + =
                  𝑑𝑥         𝑥            𝑥

                                                        : - y2
     𝑑𝑧       1                               1
          -            𝑦 −1 = −
     𝑑𝑥       𝑥                                   𝑥
     𝑑𝑧       1                           1
          - 𝑥− 𝑧=−                                     Persamaan Linier Orde Satu
     𝑑𝑥                                       𝑥
                            1                                1
     P(x) = −                         ; Q(x) = −
                            𝑥                                𝑥

     solusi umum:
          1 – n P x dx                                                  1 – n P x dx
     𝑒                                    z = (1 – n) Q(x) 𝑒                           𝑑𝑥 + C
     1                      1         1
         z= −                                     𝑑𝑥 + C
     𝑥                       𝑥        𝑥
     1
         z = 𝑥 −1 + C
     𝑥

        𝑥 −1 + 𝐶
     𝑧=
            1
             𝑥
                                                                   1
     Maka, Solusi Umumnya adalah 𝑦 = 1 + Cx


     𝑑𝑦
3)        + y = xy3
     𝑑𝑥

     P(x) = 1                         ; Q(x) = xy3               ;n=3
     z = y-n+1
     z = y-3+1
     z = y-2
     𝑑𝑦               1          𝑑𝑧
          =
     𝑑𝑥               𝑛−1        𝑑𝑥
     𝑑𝑦               1     𝑑𝑧
          =
     𝑑𝑥           −2        𝑑𝑥

     Persamaan Diferensial Orde Satu
     𝑑𝑧
          + (1 – n) z p(x) = (1 – n) Q(x)
     𝑑𝑥

                                                                                                Page | 24
𝑑𝑧
     + -2y-2 = -2x
𝑑𝑥

Solusi Umum:
     1 – n P x dx                                1 – n P x dx
𝑒                        z = (1 – n) Q(x) 𝑒                     𝑑𝑥 + C
     −2 dx                          −2 dx
𝑒            y-2 =        −2x 𝑒             𝑑𝑥

−2𝑥 𝑦 −2 =                4x 2 dx
                     4
−2𝑥 𝑦 −2 =               𝑥3 + k
                     3

                                      x3
−6𝑥 𝑦 −2 = 4𝑥 3 + 3k
6𝑥 𝑦 −2 + 4𝑥 3 = C
Maka, Solusi umumnya adalah 6𝑥 𝑦 −2 + 4𝑥 3 = C ; C =3k




                                                                         Page | 25
BAB
     10




10.1. Pengertian
     Soal Nilai Awal merupakan suatu persamaan diferensial bersama dengan kondisi-
     kondisi tambahan terhadap fungsi yang dicari dan turunannya yang semuanya diberikan
     pada nilai variable independen yang sama. Masalah Nilai awal adalah mencari solusi
     khusus dari kondisi awal. Solusi khusus adalah ketika persamaan diferensial hanya
     memiliki satu solusi saja. Misalnya (y’)4 + y2 = 0. Persamaan ini hanya memiliki satu
     solusi yaitu y = 0. Dan tidak mengandung nilai C


10.2. Contoh Soal dan Pembahasan
     Tentukan solusi umum dan solusi khusus persamaan diferensial dibawah ini!
     1) 3x2 + (2y - 1) dy = 0, dimana y=2
     2) xy3 dx + (2y + 1) x2 dy = 0, dimana y=10
     Pembahasan:
     1) 3x2 + (2y - 1) dy = 0, dimana y=2
             3x2 + (2y − 1) dy = 0
        x3 + y2 + y = C                   Solusi Umum
        x3 + (2)2 + 2 = C
        x3 = -6                           Solusi Khusus
     2) xy3 dx + (2y + 1) x2 dy = 0, dimana y=10
        xy3 dx + (2y + 1) x2 dy = 0
                                                  : y3 x2
         𝑥               (2y + 1)
                  dx +              dy = 0
         𝑥2                 𝑦3
              𝑥              (2y + 1)
                   dx +                 dy = 0
              𝑥2                 𝑦3

         𝐿𝑛 𝑥 + 2y + 1 𝐿𝑛 𝑦 3 = 𝐶                       Solusi Umum
         𝐿𝑛 𝑥 + 21 𝐿𝑛 1000 = 𝐶
         𝐿𝑛 𝑥 = −145                                    Solusi Khusus
                                                                                 Page | 26
Tentukan orde dan carilah persamaan diferensial dari:
           𝑑2 𝑥
1)    y              = y2 + 1
           𝑑𝑦 2

               𝑑𝑥 2
2)    y                  = x2 + 1
               𝑑𝑦

           𝑑2 𝑡            𝑑𝑠
3)    s             +st         =s
           𝑑𝑠 2            𝑑𝑡

4)    𝑦" + 3𝑦 − 𝑥𝑦 = 0
5)    𝑥𝑦 ′ + 3𝑦 𝑠𝑖𝑛𝑥 + 2 = 0


Manakah diantara persamaan diferensial berikut yang merupakan persamaan diferensial
variable terpisah?
6)    (x2 – y2) 𝑦 ′ + xy = 0
7)    (x2 y2 – y2) 𝑦 ′ + x = 0
8)    (x sin y – x2) 𝑦 ′ + cos x = 0
9)    (x sin y – xy) 𝑦 ′ + (x2 + 1) y = 0
10) xy 𝑦 ′ + x2 + 1= 0


Tentukan solusi persamaan diferensial variable terpish dengan mereduksinya!
11) (x2 – 1) 𝑦 ′ + y2 + 1 = 0
12) (1 + 2y) 𝑑𝑥 + (x – 4) dy = 0
13) xy dx + (1 + x2) dy = 0
14) (xy + x) dx + (xy – y) dy = 0
      𝑑𝑦            4𝑦
15)        =
      𝑑𝑥       𝑥𝑦 −3𝑥




                                                                                Page | 27
Buktikan bahwa persamaan di bawah ini adalah persamaan diferensial homogeny kemudian,
carilah solusi umumnya!
16) 2xy dy = (x2 – y2) dx
                𝑦                 𝑦
17) x sin 𝑥 (y dx + x dy) + y cos 𝑥 (x dy – y dx) = 0

18) (x2 – 2y2) dy – 2xy dx = 0
      𝑑𝑦       𝑥+𝑦
19)        =
      𝑑𝑥            𝑥
      𝑑𝑦       4𝑦 −3𝑥
20)        =
      𝑑𝑥       2𝑥−𝑦



Tentukan solusi umum dari persamaan diferensial tak homogeny dibawah ini!
      𝑑𝑦       6𝑥−2𝑦−7
21)        = 2𝑥+3𝑦−6
      𝑑𝑥
      𝑑𝑦       1−2𝑦−4𝑥
22)        =
      𝑑𝑥       1+𝑦+2𝑥

23) (2x – 3y +5) dx + (24y – 8x – 40) dy = 0
24) (x – 5y +2) dx + (2x – 10x – 4) dy = 0
25) (2x – 5y +2) dx + (10y – 4x – 4) dy = 0


Tunjukkan bahwa PD berikut eksak dan tentukan selesaian umumnya!
26) (x+2y)dx + (y2+2x)dy = 0
27) 2y(x-y)dx + x(x-4y)dy = 0
28) (xsiny-y2)dy – cosy dx = 0
29) (3+y+2y2sin2x)dx – (ysin2x-2xy-x)dy = 0
30) xcos(xy)dy + (2x+ycos(xy))dx = 0


Tunjukkan bahwa fungsi yang diberikan adalah suatu faktor integrasi dan selesaikan
PD nya:
31) 2ydx+xdy = 0, x
32) sinydx+cosydy=0, 1/x2
33) y2dx+(1+xy)dy=0, exy
34) 2dx-ey-xdy = 0
35)   (y+1)dx-(x+1)dy = 0




                                                                                     Page | 28
Selesaikan PD linier orde satu!
36)   y’+(2x-1)y = xy2+(x-1)
37) y’+(2x4-1/x))y = x3 y2+x5
38) y’-2y/x = -y2/x+x2
39) y’+(2-1/x)y = y2-2/x
40) y’+2y+y2=0.


Tentukan Solusi Umum dari PD Bernoulli!
41) y’ + y = xy3
42) y’ = y (1 + xy)
         𝑥
43) y - 2 y’ =       𝑦

44) 2xyy’ + y2 = x
45) Y’ – y = xy6


Tentukan Solusi khusus dari persamaan diferensial dibawah ini!
46) y'(t) = 3y + 5 , y(0) =1
47) y'(t) = ty +1 , y(0) = 0
48) y'= z, z'= -y , y(0) =1, z(0) = 0
                 1
49) y'(t) = − 1+          , y(0) =1
                     𝑦2

50) y” + 5y’ + 6y = 0, y(0) = 1




                                                                 Page | 29
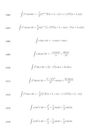
Lampiran
Basic Forms

(1)




(2)




(3)




(4)




      Integrals of Rational Functions

(5)




(6)




(7)




(8)
(9)




(10)




(11)




(12)




(13)




(14)




(15)




(16)




       Integrals with Roots

(17)
(18)




(19)




(20)




(21)




(22)




(23)




(24)




(25)




(26)
(27)




(28
)




(29)




(30)




(31)




(32)




(33)




(34)




(35)
(36)




(37
)




(38)




(39)




(40)




(41)




       Integrals with Logarithms

(42)




(43)
(44)




(45)




(46)




(47)




(48)




(49)




(50)




(51
)




(52)
(53)




(54)




(55)




(56)




(57)




       Integrals with Exponentials

(58)




(59)
                  erf        where erf




(60)




(61)
(62)




(63)




(64)




(65)
                   d




(66)
        where          d




(67)
             erf




(68)
             erf




(69)




(70)
       erf
Integrals with Trigonometric Functions

(71)




(72)




(73)




(74)




(75)




(76)




(77)




(78)
(79)




(80)




(81)




(82)




(83)




(84)




(85)




(86)




(87)
(88)




(89)




(90)




(91)




(92)




(93)




(94)




(95)




(96)
(97)




(98)




(99)




(100)




(101)




        Products of Trigonometric Functions and Monomials

(102)




(103)




(104)




(105)
(106)




(107)




(108)




(109)




(110)




(111)




(112)




(113)




(114)
(115)




(116)




        Products of Trigonometric Functions and Exponentials

(117)




(118)




(119)




(120)




(121)




(122)




                  Integrals of Hyperbolic Functions
(123)




(124)




(125)




(126)




(127)




(128)




(129)




(130)
(131)




(132)




(133)




(134)
SM. Nababan.2005.Persamaan Diferensial Biasa (Edisi Satu). Jakarta:Universitas Terbuka


Finizio and Ladas. 1988.Persamaan Diferensial Biasa dengan Penerapan Modern (Edisi
Kedua).Jakarta:Erlangga


Schaum’s.2007.Persamaan Diferensial (Edisi Ketiga).Jakarta: Erlangga


Varberg, Purcell, Rigdom.2003.Kalkulus Jilid 1. Jakarta: Erlangga


Sitanggang, Curmentyna.2003.Kamus Matematuka (Cetakan ketiga).Jakarta:Balai Pustaka


Soal Ujian Tenga Semester (UTS).2012.Persamaan Diferensial 1.Jakarta.Universitas
Indraprasta PGRI


http://uuniquee.files.wordpress.com/2010/09/persamaan_differensial_-_dr-_st-
_budi_waluya.pdf


http://file.upi.edu/Direktori/FPMIPA/JUR._PEND._MATEMATIKA/195804011985031-
ASEP_SYARIF_HIDAYAT/PERSAMAAN_DIFERENSIAL_I.pdf


http://math.ipb.ac.id/~files/tpb/9PersamaanDiferensialPrint_Mhs.pdf


http://alifis.files.wordpress.com/2009/09/bab-v-masalah-nilai-awal-persamaan-diferensial.pdf


http://dora.student.fkip.uns.ac.id/uncategorized/tutorial-maple-persamaan-differensial-
differential-equations/


http://staff.ui.ac.id/internal/131611668/material/mod-02.pdf


                                            - D -

Modul persamaan diferensial 1

  • 1.
    Dosen Pembimbing: HuriSuhendri, M.Pd MODUL PERSAMAAN DIFERENSIAL 1 OLEH: Maya Umami (200913500674) PRODI: PENDIDIKAN MATEMATIKA SEMESTER: 6 (ENAM) – S6C
  • 2.
    Assalamuallaikum Wr. Wb Alhamdulillah modul pada mata kuliah “Persamaan Diferensial 1” ini akhirnya dapat terselesaikan. Modul ini merupakan tugas akhir atau untuk memenuhi persyaratan (nilai) pada mata kuliah tersebut. Setelah menjelajahi berbagai literature dan mencoba untuk menemukan intisari dari materi yang sesuai dengan silabus perkuliahan ini, saya selaku penulis telah berusaha semaksimal mungkin untuk menemukan intisari yang mudah untuk dipahami dengan diaadakanya berbagai contoh soal dan latihan-latihan sesuai dengan silabus perkuliahan. Syukur ke hadirat Allah SWT penulis panjatkan atas kemudahan yang diberikan-Nya selama penulisan modul. Tak lupa juga, penulis mengucapkan terima kasih kepada Dosen Pembimbing kami Bapak Hri Suhendri, M.Pd yang telah memberikan tugas modul ini yang insyaallah bermanfaat bagi banyak orang terutama bagi penulis. Modul ini terdiri dari 10 BAB diantaranya: 1. Pendahuluan Persamaan Diferensial; 2. Persamaan Diferensial Variabel Terpisah; 3. Reduksi ke Bentuk Persamaan Diferensial Variabel Terpisah; 4. Persamaan Diferensial Homogen; 5. Persamaan Diferensial Tak Homogen; 6. Persamaan Diferensial Eksak; 7. Reduksi ke Bentuk Persamaan Diferensial Eksak; 8. Persamaan Diferensial Linier Orde 1; 9. Persamaan Diferensial Bernoulli; 10. Masalah Nilai Awal (Solusi Khusus). Masing-masing bab dilengkapi oleh materi yang mana tiap materi diberikan contoh soal dan pembahasan ditambah latihan soal pada bagian akhir modul ini. Demikian yang dapat penulis sampaikan. Penulis berharap adanya kritik dan saran yang membangun guna terciptanya modul yang lebih mendekati kesempurnaan. Semoga modul ini dapat bermanfaat dan dapat dijadikan modul pegangan pada mata kuliah persamaan diferensial 1. Amiin…. Wassalamuallaikum Wr. Wb Jakarta, Juni 2012 - A -
  • 3.
    KATA PENGANTAR ……………………………………………………. A DAFTAR ISI ……………………………………………………………… B BAB 1 PENDAHULUAN PERSAMAAN DIFERENSIAL …………………… 1 1.1. Definisi Persamaan Diferensial ……………………………………. 1 1.2. Bentuk Umum Persamaan Diferensial …………………………….. 1 1.3. Orde (Tingkat) dan Degree (Derajat)………………………………. 1 1.4. Mencari Solusi Persamaan Diferensial …………………………….. 2 1.5. Contoh Soal dan Pembahasan ……………………………………… 2 BAB 2 PERSAMAAN DIFERENSIAL VARIABEL TERPISAH …………… 4 2.1. Persamaan Diferensial Variable Terpisah ………………………….. 4 2.2. Contoh Soal dan Pembahasan ……………………………………… 4 BAB 3 REDUKSI KE BENTUK PERSAMAAN DIFERENSIAL VARIABEL 6 TERPISAH ……………………………………………………………….. 3.1. Materi Reduksi ke Bentuk Persamaan Diferensial Variabel 6 Terpisah ……………………………………………………………. 3.2. Contoh Soal dan Pembahasan ……………………………………… 6 BAB 4 PERSAMAAN DIFERENSIAL HOMOGEN ………………………….. 8 4.1. Langkah-langkah Menentujan Penyelesaian Umum Persamaan 8 Diferensial Homogen ………………………………………………. 4.2. Contoh Soal dan Pembahasan ……………………………………… 8 - B -
  • 4.
    BAB 5 PERSAMAAN DIFERENSIAL TAK HOMOGEN …………………… 10 5.1. Persamaan Diferensial dengan M (x,y) dan N (x,y) ……………….. 10 5.2. Contoh Soal dan Pembahasan ……………………………………… 11 BAB 6 PERSAMAAN DIFERENSIAL EKSAK ………………………………. 14 6.1. Sifat-Sifat Dasar ……………………………………………………. 14 6.2. Metode Solusi ……………………………………………………… 14 6.3. Contoh Soal dan Pembahasan ……………………………………… 15 BAB 7 REDUKSI KE BENTUK PERSAMAAN DIFERENSIAL EKSAK 18 (FAKTOR INTEGRASI) ………………………………………………… 7.1. Macam-macam faktor integrasi ……………………………………. 18 7.2. Contoh Soal dan Pembahasan ……………………………………… 18 BAB 8 PERSAMAAN DIFERENSIAL LINIER ORDE SATU……………….. 21 8.1. Metode Solusi ……………………………………………………… 21 8.2. Contoh Soal dan Pembahasan ……………………………………… 21 BAB 9 PERSAMAAN DIFERENSIAL BERNOULLI ………………………… 23 9.1. Metode Solusi ……………………………………………………… 23 9.2. Contoh Soal dan Pembahasan ……………………………………… 23 BAB 10 MASALAH NILAI AWAL (SOLUSI KHUSUS) ………………………. 26 10.1. Pengertian ………………………………………………………….. 26 10.2. Contoh Soal dan Pembahasan ……………………………………… 26 LATIHAN SOAL …………………………………………………………. 27 LAMPIRAN ………………………………………………………………. C DAFTAR PUSTAKA ……………………………………………………. D - B -
  • 5.
    BAB 1 1.1. Definisi Persamaan Diferensial Persamaan Diferensial adalah persamaan yang memuat turunan satu (atau beberapa) fungsi yang tidak diketahui. Meskipun persamaan seperti itu sehausnya disebut “persamaan turunan”, namun istilah “persamaan diferensial” (aequatio differentialis) yang diperkenalkan Leibniz dalam tahun 1676 sudah umum digunakan (Finizio Ladas:2:1988) Sebagai contoh: y’ + xy = 3 ………………………………(1) y” – 5y’ + 6y = cos x ………………………………(2) 2 2 2 y” = (1+y’ ) (x +y ) ………………………………(3) 𝜕2 𝑢 - 𝜕2 𝑢 =0 ………………………………(4) 𝜕 𝑡2 𝜕𝑥 2 Pada persamaan (1) sampai (3) menyatakan turunan pertama dan kedua dari fungsi y(x) terhadap x yang disebut persamaan diferensial biasa. Dalam persamaan (4) memuat turunan-turunan parsial yang disebut persamaan diferensial parsial. 1.2. Bentuk Umum Persamaan Diferensial Adapun bentuk umum persamaan diferensial yaitu: 𝑓 𝑥 . 𝑑𝑥 + 𝑔 𝑦 . 𝑑𝑦 = 0 1.3. Orde (Tingkat) dan Degree (Derajat) Orde (tingkat) adalah turunan tertinggi dalam persamaan diferensial. Degree (derajat) adalah derajat dari orde tertinggi Contoh: Page | 1
  • 6.
    2 3 𝑑3 𝑦 𝑑2 𝑦 - + 2xy = 6 𝑑𝑥 3 𝑑𝑥 2 Pada persamaan diatas memiliki orde 3 dan derajat 2. 1.4. Mencari Solusi Persamaan Diferensial Langkah-langkah:  Hitunglah banyaknya konstanta sembarang yang ada di dalam persamaan garus lengkung (kurva) yang akan dicari persamaan diferensialnya.  Hilangkan semua konstanta sembarang ada n maka untuk mengeliminasi semua konstanta sembarang itu. Jika banyaknya konstanta sembarang ada n, maka untuk mengeliminasi semua konstanta sembarang yang ada dubutuhkan n + 1 persamaan. Untuk mendapatkan n + 1 persamaan, persamaan garis lengkung (kurva) semula didiferensialkan sampai turunan ke n.  Banyaknya konstanta sembarang menunjukan orde tertinggi dari turunan dalam persamaan diferensial yang dicari. 1.5. Contoh Soal dan Pembahasan 1) Carilah persamaan diferensial dari himpunan garis lengkung: a. y = A sin 2x + B cos 2x ; A dan B adalah konstanta sembarang b. y = x3 +A x2 + B x + C ; A, B, dan C adalah konstanta sembarang Pembahasan: a. Karena ada 2 (dua) konstanta sembarang, maka dibutuhkan 3 persamaan untuk mengeliminasi A dan B serta orde tertinggi dari turunannya adalah 2. Persamaan 1 : y = A sin 2x + B cos 2x , turunan terhadap x 𝑑𝑦 Persamaan 2 : = 2A cos 2x – 2B sin 2x, turunan terhadap x 𝑑𝑥 𝑑2 𝑦 Persamaan 3 : = - 4A sin 2x – 4B cos 2x 𝑑𝑥 2 Masukan persamaan (1) ke (3) didapatkan bahwa : 𝑑2 𝑦 = - 4A sin 2x – 4B cos 2x 𝑑𝑥 2 𝑑2 𝑦 = - 4(A sin 2x + B cos 2x)  y = A sin 2x + B cos 2x 𝑑𝑥 2 𝑑2 𝑦 𝑑𝑥 2 = - 4y 𝒅𝟐 𝒚 Jadi, persamaan diferensial yang dicari adalah + 4y = 0 𝒅𝒙 𝟐 Page | 2
  • 7.
    b. Karena ada3 (tiga) konstanta sembarang, maka dibutuhkan 4 persamaan untuk mengeliminasi A dan B serta orde tertinggi dari turunannya adalah 3. Persamaan 1 : y = x3 +A x2 + B x + C , turunan terhadap x 𝑑𝑦 Persamaan 2 : = 3x2 + 2Ax + B , turunan terhadap x 𝑑𝑥 𝑑2 𝑦 Persamaan 3 : = 6x + 2A , turunan terhadap x 𝑑𝑥 2 𝑑3 𝑦 Persamaan 4 : =6 𝑑𝑥 3 𝑑3 𝑦 Jadi, persamaan diferensial yang dicari adalah =6 𝑑𝑥 3 2) Carilah persamaan diferensial dari berkas kardiola r = a (1-cos 𝜃), a = konstanta sembarang. Pembahasan : Karena ada 1 (satu) konstanta sembarang, maka dibutuhkan 2 persamaan untuk mengeliminasi A dan B serta orde tertinggi dari turunannya adalah 1. Persamaan 1 : r = a (1-cos 𝜃) , turunan terhadap x 𝑑𝑟 Persamaan 2 : = a sin 𝜃 𝑑𝜃 𝑟 Dari persamaan (1) didapat a = 1−cos 𝜃 Eliminir a dalam persamaan (2), di dapatkan 𝑑𝑟 𝑟 = 1−cos sin 𝜃 𝑑𝜃 𝜃 Jadi, persamaan diferensialnya adalah: 1 − cos 𝜃 dr – r sin 𝜃 𝑑𝜃 = 0 Page | 3
  • 8.
    BAB 2 2.1. Persamaan Diferensial Variable Terpisah Suatu persamaan diferensial variable terpisah ditandai oleh fakta bahwa dua peubah dari persamaan itu bersama-sama masing-masing didiferensianya, dapat ditempatkan di ruas yang berlawanan. Dengan manipulasi aljabar, memunkinkan kita menuliskan persamaan diferensial terpisah dalam bentuk implisit : 𝑃(𝑥) y’ = , atau 𝑄 (𝑥) dalam bentuk eksplisit : 𝑑𝑦 𝑃(𝑥) = 𝑑𝑥 𝑄 (𝑥) Untuk memperoleh penyelesaian umum suatu persamaan diferensial terpisah, pertama- tama kita pisahkan kedua peubah dan kemudian integralkan kedua ruas. Awal  Q (y) dy = P (x) dx Integral  P (x) dx = Q (y) dy + C dimana C = Konstanta sembarang Note: bisa dilakukan hanya pada variable yang sama. Contoh : Hanya mengandung 𝑦+1 Hanya mengandung  dy = -x dx  𝑦 2 +4 variable y variable x 2.2. Contoh Soal dan Pembahasan Selesaikan setiap persamaan diferensial di bawah ini: 1) y2 dy = (x + 3x2) dx , bilamana x = 0 dan y = 6  bentuk eksplisit 2) xyy’ + x2 + 1 = 0  bentuk implisit Page | 4
  • 9.
    Pembahasan: 1) y2 dy= (x + 3x2) dx , syarat harus mengandung variable yang sama pada tiap ruas.  Integralkan kedua ruas y 2 dy = (x + 3x 2 ) dx 𝑦3 𝑥2 +C1 = + x 3 + C2 3 2 3𝑥 2 y3 = + 3x 3 + (3C2 – 3C1) 2 3𝑥 2 = + 3x 3 + C ; C = 3C2 – 3C1 2 3 3𝑥 2 y = + 3x 3 + C 2 3 3𝑥 2  Maka, solusi umumnya adalah: = + 3x 3 + C 2  Menghitung konstanta C, kita menggunakan persyaratannya bilamana x = 0 dan y = 6, maka akan menghasilkan: 3 6= 𝐶 C = 216 3 3𝑥 2  Solusi khususnya adalah: y = + 3x 3 + 216 2 2) xyy’ + x2 + 1 = 0  Ubah ke dalam eksplisit 𝑑𝑦 xy + x2 + 1 = 0 𝑑𝑥  Bagi tiap-tiap ruas x2 + 1 y dy = − dx 𝑥  Integralkan masing-masing ruas x2 + 1 y dy =− dx 𝑥 𝑦2 1 +C =− 𝑋+ dx 2 𝑥 𝑦2 x2 +C =− + 𝐿𝑛 |𝑥| + C 2 2 𝑦2 = − x 2 − 2 𝐿𝑛 𝑥 + 𝑐 y = − x 2 − 2 𝐿𝑛 𝑥 + 𝑐  Maka, solusi umumnya adalah: y = − x 2 − 2 𝐿𝑛 𝑥 + 𝑐 Page | 5
  • 10.
    BAB 3 3.1. Materi Reduksi ke Bentuk Persamaan Diferensial Variabel Terpisah Tidak semua persamaan diferensial mudah untuk didapatkan solusinya. Pada saat persamaan diferensial memiliki bentuk: f1 (x) g1 (y) dx ± f2 (x) g2 (y) dy 1 Maka dibutuhkan reduksi dengan menggunakan faktor integrasi , yang g1 y F2 (x) kemudian akan menjadi: f1 (x) g1 (y) dx ± dy =0 f2 (x) g2 (y) f1 (x) g1 (y) dx = ± dy f2 (x) g2 (y) Pengitegralan masing-masing ruas: f1 (x) g1 (y) dx = ± dy f2 (x) g2 (y) 3.2. Contoh Soal dan Pembahasan Tentukan solusi umum dari persamaan diferensial berikut: 1) (x3y + yx2) dx + (y3x2 + 2x2y) dy = 0 2) (x2-1) dx – (2x+xy) dy = 0 Pembahasan 1) (x3y + yx2) dx + (y3x2 + 2x2y) dy = 0 y (x3 + x2) dx + x2 (x2 + 2y) dy = 0 1 faktor integrasi : yx 2 Page | 6
  • 11.
    1 [y (x3 + x2) dx + x2 (x2 + 2y) dy] = 0 yx 2 (x3 + x2) dx + (x2 + 2y) dy = 0 Karena sudah memiliki variable yang sama, langkah selanjutnya adalah integralkan. (x3 + x2) dx + (x2 + 2y) dy = 0 𝑥4 𝑥3 𝑦4 + + + 𝑦2 + C = 0 4 3 4 x 12 3x4 + 4x3 + 3y4 + 12 y2 = C Maka, Solusi umumnya adalah 3x4 + 4x3 + 3y4 + 12 y2 = C 2) (x2-1) dx – (2x+xy) dy = 0 (x2-1) dx – x (2+y) dy = 0 1 faktor integrasi : 𝑥 1 [(x2-1) dx – x (2+y) dy] = 0 𝑥 x 2 −1 dx – (2+y) dy = 0 𝑥 x 2 −1 dx – (2+y) dy = 0 𝑥 𝑥2 𝑦2 -Ln |x| - 2y - =0 2 2 x2 𝑥 2 - 2 Ln |x| - 4y - 𝑦 2 = 0 𝑥 2 - 𝑦 2 - 2 Ln |x| - 4y = 0 Maka, solusi umumnya adalah 𝑥 2 - 𝑦 2 - 2 Ln |x| - 4y = 0 Page | 7
  • 12.
    BAB 4 f (x,y) dikatakan homogen berderjat n jika: f (𝛼x,𝛼y) = 𝛼 n f (x,y) M (x,y) dx + N (x,y) dy = 0 Syarat persamaan diferensial diatas dikatakan homogeny jika M (x,y) dan N (x,y) adalah homogeny dan berderajat sama. 4.1. Langkah-langkah Menentujan Penyelesaian Umum Persamaan Diferensial Homogen  Gunakan tranformasi: y = u x  dy = x du + u dx, atau x = u y  dy = y dy + u du  Persamaan diferensial homogeny tereduksi ke Persamaan Diferensial terpisah  Gunakan aturan persamaan diferensial terpisah untuk mendapatkan solusi umum persamaan diferensial. 𝑦 𝑥  Gantilah u = jika menggunakan transformasi y = u x, dan u = jika menggunakan 𝑥 𝑦 transformasi x = u y untuk mendapatkan kembali variable semula. 4.2. Contoh Soal dan Pembahasan Buktikan bahwa persamaan tersebut adalah persamaan homogen! 𝑥3+ 𝑦3 1) y’ = 𝑥𝑦 2 2) (2x2y + y3) dx + (xy2 – 2x3) dy = 0 Pembahasan: 𝑥3+ 𝑦3 𝑑𝑦 𝑥3+ 𝑦 3 1) y’ =  = 𝑥𝑦 2 𝑑𝑥 𝑥𝑦 2 xy2 dy – (x3+y3) dx = 0 Page | 8
  • 13.
    fungsi M (x,y) dx M (x,y) dx = -x3-y3  = - 𝛼 3 𝑥 3 - 𝛼 3 𝑦 3 = 𝛼 3 (−𝑥 3 −𝑦 3 ) M (𝛼x,𝛼y) = 𝛼 3 [M (x,y)]  fungsi N (x,y) dy N (x,y) dy = xy2  = 𝛼𝑥𝛼 3 𝑦 3 = 𝛼 3 (x𝑦 2 ) N (𝛼x,𝛼y) = 𝛼 3 [N (x,y)]  didapatkan 𝛼 3 , maka TERBUKTI persamaan diferensial diatas merupakan persamaan diferensial homogeny berderajat 3. 2) (2x2y + y3) dx + (xy2 – 2x3) dy = 0  fungsi M (x,y) dx M (x,y) dx = 2x2y + y3  = 2𝛼 2 x2 𝛼 y + 𝛼 3 y3 = 𝛼 3 (2x2y + y3) M (𝛼x,𝛼y) = 𝛼 3 [M (x,y)]  fungsi N (x,y) dy N (x,y) dy = xy2 – 2x3  = 𝛼 x𝛼 2 y2 – 2𝛼 3 x3 = 𝛼 3 (xy2 – 2x3) N (𝛼x,𝛼y) = 𝛼 3 [N (x,y)]  didapatkan 𝛼 3 , maka TERBUKTI persamaan diferensial diatas merupakan persamaan diferensial homogeny berderajat 3. Page | 9
  • 14.
    BAB 5 5.1. Persamaan Diferensial dengan M (x,y) dan N (x,y) Persamaan ini merupakan persamaan linier tetapi tidak homogen. Pandang bentuk persamaan diferensial dibawah ini: ( ax + by + c ) dx + ( px + qy + r ) dy = 0 Dimana a,b,c,p,q,r merupakan suatu konstanta. Ada 3 (tiga) kemungkinan yang dapat terjadi: 𝑎 𝑏 𝑐 1) = 𝑞= 𝑟= 𝛼 𝑝 Langkah-langkah penyelesaian: 𝑎 𝑏 𝑐 Karena = = = 𝛼 , maka menggunakan transformasi px + qy + r = u, yang berarti 𝑝 𝑞 𝑟 bahwa ax + by + c = 𝛼u Bentuk persamaan tereduksi menjadi persamaan dengan variable terpisah dan kemudian selesaikanlah. 𝑎 𝑏 𝑐 2) = 𝑞≠ 𝑝 𝑟 Langkah-langkah penyelesaian: 𝑑𝑢 −𝑞 𝑑𝑦 Gunakan transformasi px + qy = u, dan dari sini berarti dy = , atau 𝑞 𝑑𝑢 −𝑞 𝑑𝑦 dx= 𝑝 𝑎 𝑏 Misalkan 𝑝 = 𝑞 = 𝛽, maka ax + by = 𝛽 u Persamaan tereduksi menjadi persamaan variable terpisah. 𝑑𝑢 −𝑝 𝑑𝑥 𝑑𝑢 −𝑝 𝑑𝑥 (𝛽 x + C) dx + (u + r) = 0, atau (𝛽 x + C) + (u + r) 𝑑𝑦 = 0 𝑞 𝑞 Selesaikan persamaan variable terpisah ini dan kemudian gantilah x = px + qy untuk mendapatkan solusi umumnya. Page | 10
  • 15.
    𝑎 𝑏 3) ≠ 𝑝 𝑞 Langkah-langkah penyelesaian:  Gunakan Transformasi ax + by + c = u  a dx + b dy = du px + qy + r = v  p dx + q dy = dv dari dua persamaan diatas diperoleh bahwa: 𝑞 𝑑𝑢 −𝑏 𝑑𝑣 𝑎 𝑑𝑢 −𝑝 𝑑𝑣 dx = , dan dy = 𝑎𝑞 −𝑏𝑝 𝑎𝑞 −𝑏𝑝 selesaikan persamaan diferensial diatas dan kemudian gantilah kembali u dan v dengan tranformasi semula untuk mendapatkan solusi umum persamaan diferensial semula. 5.2. Contoh Soal dan Pembahasan Tentukan solusi umum persamaan diferensial dibawah ini! 1) (2x – 5y +2) dx + (10y – 4x – 4) dy = 0 𝑑𝑦 1−2𝑦−4𝑥 2) = 𝑑𝑥 1+𝑦+2𝑥 𝑑𝑦 6𝑥−2𝑦−7 3) = 2𝑥+3𝑦−6 𝑑𝑥 Pembahasan: 1) (2x – 5y +2) dx + (10y – 4x – 4) dy = 0 a b c q p r 𝑎 2 1 𝑏 −5 1 𝑐 2 1 = −4 = - 2 ; = 10 = - 2 ; = −4 = - 2 𝑝 𝑞 𝑟 𝑎 𝑏 𝑐 1 Maka, = = = 𝛼 = - 𝑝 𝑞 𝑟 2 Penyelesaian:  px + qy + r = u ax + by + c = 𝛼 u 1 =-2u  (2x – 5y +2) dx + (10y – 4x – 4) dy = 0 1 -2u dx + u dy = 0 xu 1 -2 dx + dy = 0 Page | 11
  • 16.
    1 -2 dx + dy =0 1 -2x +y=C 1 Maka Solusi umumnya adalah - 2 x + y = C 𝑑𝑦 1−2𝑦−4𝑥 2) = 𝑑𝑥 1+𝑦+2𝑥 (1 − 2𝑦 − 4𝑥) dx = (1 + 𝑦 + 2𝑥) dy = 0 c b a r q p 𝑎 −4 𝑏 −2 𝑐 −7 = −2 = 2 ; = −1 = 2 ; = 𝑝 𝑞 𝑟 6 Maka, 𝑎 𝑏 𝑐 ≠ = 𝛽=2 𝑝 𝑞 𝑟 Penyelesaian:  px + qy = u  ax + by = 𝛽 u -2x+(-y) = u -4x – 2y = 2u -2x – y = u  Pengganti dx atau dy -2x –y = u  -2x –y = u 𝑢 +𝑦 x = y = - (u + 2x) −2 𝑑𝑢 +𝑑𝑦 dy = - du – 2dx dx = −2  Solusi umum (1 − 2𝑦 − 4𝑥) dx = (1 + 𝑦 + 2𝑥) dy = 0 𝑑𝑢 +𝑑𝑦 (1 – 2u) - (1 – u) dy = 0 −2 x2 (1 – 2u) (𝑑𝑢 + 𝑑𝑦) - 2 (1 – u) dy = 0 du + dy + 2udu + 2udy – 2dy + 2udy = 0 du – dy + 2 udu + 4udy = 0 (1 + 2u) du + (4u – 1) dy = 0 : (4u – 1) 1+2𝑢 du + dy = 0 4𝑢−1 Page | 12
  • 17.
    1+2𝑢 du + dy = 0 4𝑢−1 1 2𝑢 du + du + dy = 0 4𝑢−1 4𝑢−1 Ln |4𝑢 − 1| + 2u Ln |4𝑢 − 1| + y = C  Maka, solusi umumnya adalah: Ln |4𝑢 − 1| + 2u Ln |4𝑢 − 1| + y = C 𝑑𝑦 6𝑥−2𝑦−7 3) = 2𝑥+3𝑦−6 𝑑𝑥 (6𝑥 − 2𝑦 − 7) dx – (2𝑥 + 3𝑦 − 6) dy = 0 a b c p q r maka didapatkan 𝑎 6 𝑏 −2 2 𝑐 1 = −2 = - 3 ; = −3 = 3 ; = −1 = -1 𝑝 𝑞 𝑟 𝑎 𝑏 ≠ 𝑝 𝑞 Penyelesaian: (qu – pv) du + (qv – bu) dv = 0 (-3u + 2v) du + (bv + 2u) dv = 0  Persamaan Diferensial Homogen Subtitusi: 𝑢 z = 𝑣 , atau u = zv  du = v dz + z dv Solusi Umum: (-3u + 2v) du + (bv + 2u) dv = 0 (-3 zv + 2v) (v dz + z dv) + (bv + 2 zv) dv = 0 v2 (-3z + 2) dz + v (-3z2 + 4z + 6) dv = 0 : v2 (-3z + 2) −3𝑧+2 dz + v dv = 0 −3z2 + 4z + 6 −3𝑧+2 dz + v dv = 0 −3z2 + 4z + 6 −3𝑧 2 1 dz + dz + 2 v2 dv = 0 −3z2 + 4z + 6 −3z2 + 4z + 6 1 −3𝑧 𝐿𝑛 | − 3z2 + 4z + 6| + 2 𝐿𝑛 | − 3z2 + 4z + 6| + 2 v2 dv = C x2 2 −6𝑧 𝐿𝑛 | − 3z2 + 4z + 6| + 4 𝐿𝑛 | − 3z2 + 4z + 6| + v dv = C Maka, Solusi Umumnya adalah: −6𝑧 𝐿𝑛 | − 3z2 + 4z + 6| + 4 𝐿𝑛 | − 3z2 + 4z + 6| + v2 dv = C Page | 13
  • 18.
    BAB 6 6.1. Sifat-Sifat Dasar Suatu persamaan diferensial dengan bentuk: M (x,y) dx + N (x,y) dy = 0 Dikatakan persamaan diferensial eksak, jika ada suatu fungsi f(x,y) yang diferensial totalnya sama dengan M (x,y) dx + N (x,y) dy, yaitu (dengan meniadakan lambang x dan y): df = M dx + N dy uji kepastian : Jika M dan N merupakan fungsi kontinu dan memiliki turunan parsial pertama yang kontinu pada sebuah segiempat bidang xy, 𝜕𝑀 𝜕𝑁 maka M (x,y) dx + N (x,y) dy = 0 adalah eksak hanya jika: = 𝜕𝑦 𝜕𝑥 6.2. Metode Solusi Untuk menentukan solusi dari M (x,y) dx + N (x,y) dy = 0, maka secara implicit diberikan oleh penyelesaian umum f (x,y) = c. Langkah-langkah menemukan suatu fungsi f (x,y) adalah:  Langkah 1 Perhatikan bahwa: 𝜕𝑓 𝜕𝑓 = M (x,y), dan = N (x,y) 𝜕𝑥 𝜕𝑦  Langkah 2 Integrasikan (mencari integral) dari M (x,y) terhadap x dengan y tetap. 𝜕𝑓 dx = M (x,y) dx 𝜕𝑥 𝑥 f (x,y) = [ M (x, y) dx ] + ∅(𝑦) dimana ∅𝑦 adalah fungsi sembarang dari y saja.  Langkah 3 Fungsi f (x,y) pada langkah ke-2, didiferensialkan parsial terhadap y yang selanjutnya akan diperoleh: Page | 14
  • 19.
    𝜕𝑓 𝜕 𝑥 𝜕∅ = [ M (x, y) dx ] + 𝜕𝑦 𝜕𝑦 𝜕𝑦  Langkah 4 𝜕𝑓 Karena = N (x,y) maka, 𝜕𝑦 𝜕∅ 𝜕 𝑥 = N (x,y) - [ M (x, y) dx ] 𝜕𝑦 𝜕𝑦 Dari sini ∅(𝑦) akan diperoleh.  Langkah 5 ∅(𝑦) yang baru saja diperoleh, disubtitusikan ke f (x,y) dalam langkaj ke-2. Dengan demikian f (x,y) = C dapat diperoleh. 6.3. Contoh Soal dan Pembahasan Tentukan solusi umum dari persamaan diferensial di bawah ini dan buktikan keeksakanya! 1) (2xy + x2) dx + (x2 + y2) dy = 0 2) 3x2y2 dx + (2x3y + 4y3) dy = 0 Pembahasan: 1) (2xy + x2) dx + (x2 + y2) dy = 0  Pembuktian Persamaan Diferensial Eksak 𝜕𝑀 M (x, y) = 2xy + x2  = 2𝑥 𝜕𝑦 𝜕𝑁 N (x, y) = x2 + y2  = 2𝑥 𝜕𝑥 𝜕𝑀 𝜕𝑁 Karena = , maka persamaan diferensial diatas merupakan persamaan 𝜕𝑦 𝜕𝑥 diferensial eksak.  Mencari Solusi Umum Langkah 2 (mencari f (x,y)) 𝑥 f (x,y) =[ M (x, y) dx ] + ∅(𝑦) 𝑥 = (2xy + x2) dx + ∅(𝑦) 1 = x2y + 3 x3 + ∅(𝑦) Page | 15
  • 20.
    Langkah 3 𝜕𝑓 𝜕 𝑥 𝜕∅ = [ M (x, y) dx ] + 𝜕𝑦 𝜕𝑦 𝜕𝑦 𝜕 𝑥 𝜕∅ = [ (2xy + x2) dx ] + 𝜕𝑦 𝜕𝑦 𝜕 = x2 + ∅(𝑦) 𝜕𝑦 Langkah 4 (mencari ∅(𝑦)) 𝜕𝑓 = N (x,y) 𝜕𝑦 𝜕 x2 + ∅(𝑦) = x2 + y2 𝜕𝑦 𝜕 ∅(𝑦) = x2 + y2 - x2 𝜕𝑦 ∅(𝑦) = y 2 dy 1 = y3 + k 3 Langkah 5 (Solusi Umum) 1 f (x,y) = x2y + 3 x3 + ∅(𝑦) 1 1 = x2y + 3 x3 + 3 y 3 = k x3 = 3x y + x + y 3 = 3k 2 3 Maka solusi umumnya adalah 3x2y + x3 + y 3 = C dengan nilai C=3k 2) 3x2y2 dx + (2x3y + 4y3) dy = 0  Pembuktian Persamaan Diferensial Eksak 𝜕𝑀 M (x, y) = 3x2y2  = 6𝑥 2 𝑦 𝜕𝑦 𝜕𝑁 N (x, y) = 2x3y + 4y3  = 6𝑥 2 𝑦 𝜕𝑥 𝜕𝑀 𝜕𝑁 Karena = , maka persamaan diferensial diatas merupakan persamaan 𝜕𝑦 𝜕𝑥 diferensial eksak.  Mencari Solusi Umum Langkah 2 (mencari f (x,y)) 𝑥 f (x,y) =[ M (x, y) dx ] + ∅(𝑦) 𝑥 = 3x 2 y 2 dx + ∅(𝑦) = x3y2+ ∅(𝑦) Page | 16
  • 21.
    Langkah 3 𝜕𝑓 𝜕 𝑥 𝜕∅ = [ M (x, y) dx ] + 𝜕𝑦 𝜕𝑦 𝜕𝑦 𝜕 𝑥 𝜕∅ = [ 3x 2 y 2 dx ] + 𝜕𝑦 𝜕𝑦 𝜕 = 2x3y + ∅(𝑦) 𝜕𝑦 Langkah 4 (mencari ∅(𝑦)) 𝜕𝑓 = N (x,y) 𝜕𝑦 𝜕 2x3y + ∅(𝑦) = 2x3y + 4y3 𝜕𝑦 𝜕 ∅(𝑦) = 2x3y + 4y3 - 2x3y 𝜕𝑦 ∅(𝑦) = 4y 3 dy = y4 + k Langkah 5 (Solusi Umum) f (x,y) = x3y2+ ∅(𝑦) = x3y2+ y 4 = k Maka solusi umumnya adalah x3y2+ y 4 = C dengan nilai C = k Page | 17
  • 22.
    BAB 7 Secara umum persamaan M (x,y) dx + N (x,y) dy = 0 tidak eksak. Terkadang adalah mungkin mengubah menjadi persamaan diferensial eksak melalui perkalian yang eksak. Oleh karena itu, fungsi untuk mengubah Persamaan Diferensial tiadk eksak ke bentuk persamaan diferensial eksak adalah factor integrasi (Faktor pengkali/ Gabung). 7.1. Macam-macam faktor integrasi Ada beberapa macam faktor integrasinya, yaitu: 𝜕𝑀 𝜕𝑁 − 𝜕𝑦 𝜕𝑥  Jika, = f(x) dimana f(x) merupakan fungsi dari x saja 𝑁 f x dx Faktor Integrasinya: 𝑒 𝜕𝑀 𝜕𝑁 − 𝜕𝑦 𝜕𝑥  Jika, = g(y) dimana g(y) merupakan fungsi dari y saja −𝑀 g y dy Faktor Integrasinya: 𝑒  Jika, M (x,y) dx + N (x,y) dy = 0 merupakan Persamaan Diferensial Homogen dan xM + yN ≠ 0 1 Faktor Integrasinya: xM + yN  Jika, M (x,y) dx + N (x,y) dy = 0 dapat diubah ke bentuk y f(x,y) dx + x g(x,y) dy = 0 dan f(x,y) ≠ g(x,y) 1 Faktor Integrasinya: xM − yN  Dan sebagainya 7.2. Contoh Soal dan Pembahasan Tentukan Faktor Integrasi kemudian tentukan solusi umumnya! 1) 3x2y2 dx + (4x3y – 12) dy = 0 2) (2y – x3) dx + x dy = 0 Page | 18
  • 23.
    Pembahasan: 1) 3x2y2 dx+ (4x3y – 12) dy = 0 𝜕𝑀 M = 3x2y2  = 6x2y 𝜕𝑦 𝜕𝑀 N = 4x3y – 12  = 12x2y 𝜕𝑦 𝜕𝑀 𝜕𝑁 Karena ≠ maka, bukan merupakan persamaan diferensial eksak 𝜕𝑦 𝜕𝑥 𝜕𝑀 𝜕𝑁 − 16𝑥 2 𝑦 −12𝑥 2 𝑦 −2 4 2 𝜕𝑦 𝜕𝑥  = = + = −𝑀 −3𝑥 2 𝑦 2 𝑦 𝑦 𝑦 2 g y dy dy Faktor Integrasi: 𝑒 = 𝑒 𝑦 = 𝑒 2 ln 𝑦 = y2  Faktor Integrasi f(x) y2 [3x2y2 dx + (4x3y – 12) dy] = 0 3x2y4 dx + (4x3y3 – 12 y2) dy = 0 𝜕𝑀 M = 3x2y4  = 12x2y3 𝜕𝑦 𝜕𝑀 N = 4x3y3 – 12 y2  = 12x2y3 𝜕𝑦 𝜕𝑀 𝜕𝑁 Karena = maka, merupakan persamaan diferensial eksak 𝜕𝑦 𝜕𝑥  Solusi Umum Mencari f(x,y) dengan mengintegralkan M 𝑥 f (x,y) =[ M (x, y) dx ] + ∅(𝑦) 𝑥 = 3x 2 y 4 dx + ∅(𝑦) = x3y4+ ∅(𝑦) Mencari ∅(𝑦) dengan mendiferensialkan f(x,y) = N 𝜕𝑓 = N (x,y) 𝜕𝑦 𝜕 4x3y3 + ∅(𝑦) = 4x3y3 – 12 y2 𝜕𝑦 𝜕 ∅(𝑦) = 4x3y3 – 12 y2 - 4x3y3 𝜕𝑦 ∅(𝑦) = − 12 y 2 dy = - 4 y3 + k Masukan ke persamaan f(x,y) f (x,y) = x3y4+ ∅(𝑦) = x3y4 − 4 y 3 = k Maka solusi umumnya adalah x3y4 − 4 y 3 = C dengan nilai C = k Page | 19
  • 24.
    2) (2y –x3) dx + x dy = 0 𝜕𝑀 M = 2y – x3  =2 𝜕𝑦 𝜕𝑀 N=x  =1 𝜕𝑦 𝜕𝑀 𝜕𝑁 Karena ≠ maka, bukan merupakan persamaan diferensial eksak 𝜕𝑦 𝜕𝑥 𝜕𝑀 𝜕𝑁 − 2−1 1 𝜕𝑦 𝜕𝑥  = = 𝑁 𝑥 𝑥 1 f x dy dx Faktor Integrasi: 𝑒 = 𝑒 𝑥 = 𝑒 ln 𝑥 = x  Faktor Integrasi f(x) x [(2y – x3) dx + x dy] = 0 (2xy – x4) dx + x2 dy = 0 𝜕𝑀 M = 2xy – x4  = 2x 𝜕𝑦 𝜕𝑀 N = x2  = 2x 𝜕𝑦 𝜕𝑀 𝜕𝑁 Karena = maka, merupakan persamaan diferensial eksak 𝜕𝑦 𝜕𝑥  Solusi Umum Mencari f(x,y) dengan mengintegralkan M 𝑥 f (x,y) =[ M (x, y) dx ] + ∅(𝑦) 𝑥 = (2xy – x 4 ) dx + ∅(𝑦) 1 = x2y − 5 x 5 + ∅(𝑦) Mencari ∅(𝑦) dengan mendiferensialkan f(x,y) = N 𝜕𝑓 = N (x,y) 𝜕𝑦 𝜕 x2 + ∅(𝑦) = x2 𝜕𝑦 𝜕 ∅(𝑦) = x2 – x2 𝜕𝑦 ∅(𝑦) = 0 dy = k Masukan ke persamaan f(x,y) 1 f (x,y) = x2y − 5 x 5 + ∅(𝑦) 1 = x2 y − x 5 = k 5 1 Maka solusi umumnya adalah x2y − 5 x 5 = C dengan nilai C = k Page | 20
  • 25.
    BAB 8 8.1. Metode Solusi Persamaan linier orde satu memiliki bentuk umum 𝑑𝑦 + P(x) y = Q(x) dengan syarat ruas kanan ≠ 0 𝑑𝑥 P x dx Factor integrasi: 𝑒 Solusi umum P x dx P x dx 𝑒 y= Q(x) 𝑒 + 𝐶 8.2. Contoh Soal dan Pembahasan Tentukan solusi umum dari: 𝑑𝑦 1) + 4y = x -2x2 𝑑𝑥 2) 𝑦 ′ + 𝑦 = (1 + 𝑥)2 Pembahasan: 𝑑𝑦 1) + 4y = x -2x2 𝑑𝑥 P(x) = 4 ; Q(x) = x – 2x2 P x dx 4 dx Faktor Integrasi: 𝑒 = 𝑒 = 𝑒 4𝑥 Solusi Umum: P x dx P x dx 𝑒 y= Q(x) 𝑒 + 𝐶 𝑒 4𝑥 y = x – 2x 2 𝑒 4𝑥 + 𝐶 𝑥−2𝑥 2 1−4𝑥 1 𝑐 y= − − + 4 16 16 𝑒 4𝑥 4𝑥−8𝑥 2 −1+4𝑥−1 𝑐 y= + 16 𝑒 4𝑥 4𝑥−4𝑥 2 −1 𝑐 y= + 8 𝑒 4𝑥 Page | 21
  • 26.
    2) 𝑦 ′+ 𝑦 = (1 + 𝑥)2 𝑑𝑦 + 𝑦 = (1 + 𝑥)2 𝑑𝑥 P(x) = 1 ; Q(x) = (1 + 𝑥)2 P x dx 1 dx Faktor Integrasi: 𝑒 = 𝑒 = 𝑒𝑥 Solusi Umum: P x dx P x dx 𝑒 y= Q(x) 𝑒 + 𝐶 𝑒 𝑥 y = (1 + 𝑥)2 𝑒 𝑥 + 𝐶 𝑒 𝑥 y = 𝑒 𝑥 (1 + 𝑥)2 − 2𝑒 𝑥 (1 + 𝑥) + 2𝑒 𝑥 + C 2 𝑐 y=[ 1+ 𝑥 −2 1+ 𝑥 +2+ 𝑒𝑥 Page | 22
  • 27.
    BAB 9 9.1. Metode Solusi  Bentuk umum dari persamaan diferensial Bernoulli adalah: 𝑑𝑦 + P(x) y = Q(x) yn 𝑑𝑥  Persamaan Bernoulli akan tereduksi ke persamaan linier orde satu dengan Transformasi: z = y-n+1 𝑑𝑧 𝑑𝑦 = (-n + 1) y-n. 𝑑𝑥 𝑑𝑥 𝑑𝑦 𝑑𝑧 = (1 – n) yn. 𝑑𝑥 𝑑𝑥  Persamaan linier orde satu 𝑑𝑧 = (1 – n) P(x) y-n = (1 – n) Q(x) 𝑑𝑥 𝑑𝑧 = (1 – n) P(x) z = (1 – n) Q(x) 𝑑𝑥 1 – n P x dx Dengan faktor integrasi: 𝑒  Solusi umum 1 – n P x dx 1 – n P x dx 𝑒 z = (1 – n) Q(x) 𝑒 𝑑𝑥 + C 9.2. Contoh Soal dan Pembahasan Cari solusi dari: 𝑑𝑦 𝑦 𝑦2 1) + 𝑥= 𝑑𝑥 𝑥 𝑑𝑦 2) + y = xy3 𝑑𝑥 Pembahasan: 𝑑𝑦 𝑦 𝑦2 1) + 𝑥= 𝑑𝑥 𝑥 1 1 P(x) = 𝑥 ; Q(x) = 𝑥 ;n=2 Page | 23
  • 28.
    z = y-n+1 z = y-2+1 z = y-1 𝑑𝑧 𝑑𝑦 = - y-2. 𝑑𝑥 𝑑𝑥 𝑑𝑦 𝑑𝑧 = - y2. 𝑑𝑥 𝑑𝑥 𝑑𝑦 𝑦 𝑦2 + 𝑥= 𝑑𝑥 𝑥 𝑑𝑧 𝑦 𝑦2 - y2. + = 𝑑𝑥 𝑥 𝑥 : - y2 𝑑𝑧 1 1 - 𝑦 −1 = − 𝑑𝑥 𝑥 𝑥 𝑑𝑧 1 1 - 𝑥− 𝑧=−  Persamaan Linier Orde Satu 𝑑𝑥 𝑥 1 1 P(x) = − ; Q(x) = − 𝑥 𝑥 solusi umum: 1 – n P x dx 1 – n P x dx 𝑒 z = (1 – n) Q(x) 𝑒 𝑑𝑥 + C 1 1 1 z= − 𝑑𝑥 + C 𝑥 𝑥 𝑥 1 z = 𝑥 −1 + C 𝑥 𝑥 −1 + 𝐶 𝑧= 1 𝑥 1 Maka, Solusi Umumnya adalah 𝑦 = 1 + Cx 𝑑𝑦 3) + y = xy3 𝑑𝑥 P(x) = 1 ; Q(x) = xy3 ;n=3 z = y-n+1 z = y-3+1 z = y-2 𝑑𝑦 1 𝑑𝑧 = 𝑑𝑥 𝑛−1 𝑑𝑥 𝑑𝑦 1 𝑑𝑧 = 𝑑𝑥 −2 𝑑𝑥 Persamaan Diferensial Orde Satu 𝑑𝑧 + (1 – n) z p(x) = (1 – n) Q(x) 𝑑𝑥 Page | 24
  • 29.
    𝑑𝑧 + -2y-2 = -2x 𝑑𝑥 Solusi Umum: 1 – n P x dx 1 – n P x dx 𝑒 z = (1 – n) Q(x) 𝑒 𝑑𝑥 + C −2 dx −2 dx 𝑒 y-2 = −2x 𝑒 𝑑𝑥 −2𝑥 𝑦 −2 = 4x 2 dx 4 −2𝑥 𝑦 −2 = 𝑥3 + k 3 x3 −6𝑥 𝑦 −2 = 4𝑥 3 + 3k 6𝑥 𝑦 −2 + 4𝑥 3 = C Maka, Solusi umumnya adalah 6𝑥 𝑦 −2 + 4𝑥 3 = C ; C =3k Page | 25
  • 30.
    BAB 10 10.1. Pengertian Soal Nilai Awal merupakan suatu persamaan diferensial bersama dengan kondisi- kondisi tambahan terhadap fungsi yang dicari dan turunannya yang semuanya diberikan pada nilai variable independen yang sama. Masalah Nilai awal adalah mencari solusi khusus dari kondisi awal. Solusi khusus adalah ketika persamaan diferensial hanya memiliki satu solusi saja. Misalnya (y’)4 + y2 = 0. Persamaan ini hanya memiliki satu solusi yaitu y = 0. Dan tidak mengandung nilai C 10.2. Contoh Soal dan Pembahasan Tentukan solusi umum dan solusi khusus persamaan diferensial dibawah ini! 1) 3x2 + (2y - 1) dy = 0, dimana y=2 2) xy3 dx + (2y + 1) x2 dy = 0, dimana y=10 Pembahasan: 1) 3x2 + (2y - 1) dy = 0, dimana y=2 3x2 + (2y − 1) dy = 0 x3 + y2 + y = C  Solusi Umum x3 + (2)2 + 2 = C x3 = -6  Solusi Khusus 2) xy3 dx + (2y + 1) x2 dy = 0, dimana y=10 xy3 dx + (2y + 1) x2 dy = 0 : y3 x2 𝑥 (2y + 1) dx + dy = 0 𝑥2 𝑦3 𝑥 (2y + 1) dx + dy = 0 𝑥2 𝑦3 𝐿𝑛 𝑥 + 2y + 1 𝐿𝑛 𝑦 3 = 𝐶  Solusi Umum 𝐿𝑛 𝑥 + 21 𝐿𝑛 1000 = 𝐶 𝐿𝑛 𝑥 = −145  Solusi Khusus Page | 26
  • 31.
    Tentukan orde dancarilah persamaan diferensial dari: 𝑑2 𝑥 1) y = y2 + 1 𝑑𝑦 2 𝑑𝑥 2 2) y = x2 + 1 𝑑𝑦 𝑑2 𝑡 𝑑𝑠 3) s +st =s 𝑑𝑠 2 𝑑𝑡 4) 𝑦" + 3𝑦 − 𝑥𝑦 = 0 5) 𝑥𝑦 ′ + 3𝑦 𝑠𝑖𝑛𝑥 + 2 = 0 Manakah diantara persamaan diferensial berikut yang merupakan persamaan diferensial variable terpisah? 6) (x2 – y2) 𝑦 ′ + xy = 0 7) (x2 y2 – y2) 𝑦 ′ + x = 0 8) (x sin y – x2) 𝑦 ′ + cos x = 0 9) (x sin y – xy) 𝑦 ′ + (x2 + 1) y = 0 10) xy 𝑦 ′ + x2 + 1= 0 Tentukan solusi persamaan diferensial variable terpish dengan mereduksinya! 11) (x2 – 1) 𝑦 ′ + y2 + 1 = 0 12) (1 + 2y) 𝑑𝑥 + (x – 4) dy = 0 13) xy dx + (1 + x2) dy = 0 14) (xy + x) dx + (xy – y) dy = 0 𝑑𝑦 4𝑦 15) = 𝑑𝑥 𝑥𝑦 −3𝑥 Page | 27
  • 32.
    Buktikan bahwa persamaandi bawah ini adalah persamaan diferensial homogeny kemudian, carilah solusi umumnya! 16) 2xy dy = (x2 – y2) dx 𝑦 𝑦 17) x sin 𝑥 (y dx + x dy) + y cos 𝑥 (x dy – y dx) = 0 18) (x2 – 2y2) dy – 2xy dx = 0 𝑑𝑦 𝑥+𝑦 19) = 𝑑𝑥 𝑥 𝑑𝑦 4𝑦 −3𝑥 20) = 𝑑𝑥 2𝑥−𝑦 Tentukan solusi umum dari persamaan diferensial tak homogeny dibawah ini! 𝑑𝑦 6𝑥−2𝑦−7 21) = 2𝑥+3𝑦−6 𝑑𝑥 𝑑𝑦 1−2𝑦−4𝑥 22) = 𝑑𝑥 1+𝑦+2𝑥 23) (2x – 3y +5) dx + (24y – 8x – 40) dy = 0 24) (x – 5y +2) dx + (2x – 10x – 4) dy = 0 25) (2x – 5y +2) dx + (10y – 4x – 4) dy = 0 Tunjukkan bahwa PD berikut eksak dan tentukan selesaian umumnya! 26) (x+2y)dx + (y2+2x)dy = 0 27) 2y(x-y)dx + x(x-4y)dy = 0 28) (xsiny-y2)dy – cosy dx = 0 29) (3+y+2y2sin2x)dx – (ysin2x-2xy-x)dy = 0 30) xcos(xy)dy + (2x+ycos(xy))dx = 0 Tunjukkan bahwa fungsi yang diberikan adalah suatu faktor integrasi dan selesaikan PD nya: 31) 2ydx+xdy = 0, x 32) sinydx+cosydy=0, 1/x2 33) y2dx+(1+xy)dy=0, exy 34) 2dx-ey-xdy = 0 35) (y+1)dx-(x+1)dy = 0 Page | 28
  • 33.
    Selesaikan PD linierorde satu! 36) y’+(2x-1)y = xy2+(x-1) 37) y’+(2x4-1/x))y = x3 y2+x5 38) y’-2y/x = -y2/x+x2 39) y’+(2-1/x)y = y2-2/x 40) y’+2y+y2=0. Tentukan Solusi Umum dari PD Bernoulli! 41) y’ + y = xy3 42) y’ = y (1 + xy) 𝑥 43) y - 2 y’ = 𝑦 44) 2xyy’ + y2 = x 45) Y’ – y = xy6 Tentukan Solusi khusus dari persamaan diferensial dibawah ini! 46) y'(t) = 3y + 5 , y(0) =1 47) y'(t) = ty +1 , y(0) = 0 48) y'= z, z'= -y , y(0) =1, z(0) = 0 1 49) y'(t) = − 1+ , y(0) =1 𝑦2 50) y” + 5y’ + 6y = 0, y(0) = 1 Page | 29
  • 34.
  • 35.
    Basic Forms (1) (2) (3) (4) Integrals of Rational Functions (5) (6) (7) (8)
  • 36.
    (9) (10) (11) (12) (13) (14) (15) (16) Integrals with Roots (17)
  • 37.
  • 38.
  • 39.
    (36) (37 ) (38) (39) (40) (41) Integrals with Logarithms (42) (43)
  • 40.
  • 41.
    (53) (54) (55) (56) (57) Integrals with Exponentials (58) (59) erf where erf (60) (61)
  • 42.
    (62) (63) (64) (65) d (66) where d (67) erf (68) erf (69) (70) erf
  • 43.
    Integrals with TrigonometricFunctions (71) (72) (73) (74) (75) (76) (77) (78)
  • 44.
  • 45.
  • 46.
    (97) (98) (99) (100) (101) Products of Trigonometric Functions and Monomials (102) (103) (104) (105)
  • 47.
  • 48.
    (115) (116) Products of Trigonometric Functions and Exponentials (117) (118) (119) (120) (121) (122) Integrals of Hyperbolic Functions
  • 49.
  • 50.
  • 51.
    SM. Nababan.2005.Persamaan DiferensialBiasa (Edisi Satu). Jakarta:Universitas Terbuka Finizio and Ladas. 1988.Persamaan Diferensial Biasa dengan Penerapan Modern (Edisi Kedua).Jakarta:Erlangga Schaum’s.2007.Persamaan Diferensial (Edisi Ketiga).Jakarta: Erlangga Varberg, Purcell, Rigdom.2003.Kalkulus Jilid 1. Jakarta: Erlangga Sitanggang, Curmentyna.2003.Kamus Matematuka (Cetakan ketiga).Jakarta:Balai Pustaka Soal Ujian Tenga Semester (UTS).2012.Persamaan Diferensial 1.Jakarta.Universitas Indraprasta PGRI http://uuniquee.files.wordpress.com/2010/09/persamaan_differensial_-_dr-_st- _budi_waluya.pdf http://file.upi.edu/Direktori/FPMIPA/JUR._PEND._MATEMATIKA/195804011985031- ASEP_SYARIF_HIDAYAT/PERSAMAAN_DIFERENSIAL_I.pdf http://math.ipb.ac.id/~files/tpb/9PersamaanDiferensialPrint_Mhs.pdf http://alifis.files.wordpress.com/2009/09/bab-v-masalah-nilai-awal-persamaan-diferensial.pdf http://dora.student.fkip.uns.ac.id/uncategorized/tutorial-maple-persamaan-differensial- differential-equations/ http://staff.ui.ac.id/internal/131611668/material/mod-02.pdf - D -