TEKNIK INFORMATIKA
UNIVERSITAS MUHAMMADIYAH SUKABUMI
2009
Satuan Acara Perkuliahan
Mata Kuliah Kalkulus 2
Integrasi (Pengertian Integral, rumus – rumus dasar integral, integral tak
tentu, integral tertentu)
Metode Integrasi (Integral dengan substitusi, Integral Parsial, Integral
fungsi trigonometri, integral fungsi rasional, substitusi khusus, rumus –
rumus reduksi)
Fungsi Transenden (Logaritma dan Eksponen, Invers fungsi
trigonometri)
Luas dan integral tertentu (luas, integral tertentu, sifat – sifat integral
tertentu)
Volume benda putar
Luas permukaan benda putar
Integral tak wajar dan integral lipat dua
Differensial parsial orde tinggi
Kalkulus dan geometri
Untuk sumber
materi silakan
gunakan buku2
kalkulus yang
mendukung/ dari
internet
Kesepatakan Perkuliahan
Prosentase Nilai
Absensi = 20%
Tugas = 20 %
Quiz = 20 %
UTS = 20 %
UAS = 20 %
Nilai Mutu
Nilai Mutu Range Nilai
A
B
C
D
E
Silakan disepakati…
80-100 -> A…. oK?!
Integral adalah lawan diferensiasi. Penulisan simbol integral:
Rumus – rumus dasar integrasi
( ) ( )f x dx F x C= +∫
1
, 1
1
n
n ax
ax dx C n
n
+
= + ≠ −
+∫
Nah…. ini contoh2 nya bu…. pa…..
1.
2.
3.
4.
5.
1 1 2
26 6
6 3
1 1 2
x x
xdx x
+
= = =
+∫
3 1 4
3 412 12
12 3
3 1 4
x x
x dx x
+
= = =
+∫
1 3
11 32 2
2 2
6 6
6 6 4
1 3
1
2 2
x x
xdx x dx x
+
= = = =
+
∫ ∫
1 1 0 1
22 3
(2 3) 3
1 1 0 1
x x
x dx x x
+ +
+ = + = +
+ +∫
1 5 1
7 1
2 2 12 2 2 2 2
2 2
( ) ( 2 ) 2 4
7
x x dx x x x dx x x dx x x
x
−
−
− = − = − = −∫ ∫ ∫
Silakan dicoba Tugas 1 nya,,,
saya yakin ibu-ibu dan bapa-bapa pasti bisa…..
Tentukanlah nilai integral
dari:
1. dx
2. dx
3.
4.
5.
2
9x∫
2
(3 4 )x x+∫
1 1
2 2
(3 2 )x x dx
−
−∫
1
22
( 3)x x dx
−
+∫
2
( 3)x
dx
x
+
∫
6.
7.
2
(1 2 )x
dx
x
−
∫
21
( 1)x dx
x
−∫
Dikumpulkan hari Selasa
tanggal 12 Mei 2009 ya……… ^^
Integral Tertentu
Integral tertentu biasa digunakan untuk menghitung luas
daerah yang dibatasi kurva y=f(x) dan sumbu x, dengan
batas tertentu
Sifat – sifat integral tertentu
1.
2.
[ ]( ) ( )
b b
a
a
f x dx Fb FaF x= = −∫
( ) ( )
b b
a a
kf x dx k f x dx=∫ ∫
[ ]( ) ( ) ( ) ( )
b b b
a a a
f x g x dx f x dx g x dx+ = +∫ ∫ ∫
Sifat – sifat integral tertentu (Lanjutan…)
3.
4.
5.
6.
( ) ( ) ( ) ,
b c c
a b a
f x dx f x dx f x dx a b c+ = < <∫ ∫ ∫
( ) ( )
b a
a b
f x dx f x dx= −∫ ∫
( ) 0
a
a
f x dx =∫
( ) ( )
b b
a a
f x dx f t dt=∫ ∫
Kira – kira
perlu
contoh2nya
ga????
Luas daerah yang dibatasi kurva y=f(x) dan
sumbu x
Dengan batas x1=a dan x2=b
( )
b
a
L f x dx= ∫
( )
b
a
L f x dx= −∫
Luas Daerah Antara Dua Kurva
Untuk interval [a,b] dengan f(x)>=g(x), maka:
[ ]( ) ( )
b
a
L f x g x dx= −∫
Metode Integrasi
Integral dengan Substitusi
contoh:
Diusahakan menjadi bentuk
Substitusi u=2x-3
Cari turunan dari u =
Cari nilai dx:
2 3 ?x dx− =∫ n
u du∫
2
du
dx
=
2
du
dx =
Maka:
Hasil akhir, dikembalikan ke nilai awal u = 2x-3, yaitu:
1
2 3 .
2
x dx u du− =∫ ∫
31
2 2
1 1 2
.
2 2 3
u du u C= = +∫
3
2
1
2 3 (2 3)
3
x dx x C− = − +∫
3
2
1
3
u C= +
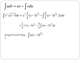
Integral Parsial
Bila bertemu dengan integran yang pengintegralannya tidak
dapat dibawa ke bentuk dasar. Salah satu cara
penyelesaiannya dengan metode integral parsial.
Dengan pemisalan: u = f(x) dan v = g(x). Metode integral
parsial memiliki bentuk:
udv uv vdu= −∫ ∫
Keterangan:
u = f(x) - du = turunan dari u
v = g(x) - dv = turunan v
Contoh:
Jawab:
Jadikan bentuk
Pemisalan:
u = dv =
Cari du dan v
du = 2x dx v =
v =
Masukan ke bentuk
2
3x x dx−∫
udv∫
2
x 3x dx−
3x dx−∫
31
2 2
2
( 3) ( 3)
3
x x− = −∫
udv uv vdu= −∫ ∫
3 3
2 2 2 2
2 2
3 . ( 3) ( 3) .2
3 3
x x dx x x x xdx− = − − −∫ ∫
udv uv vdu= −∫ ∫
3 3
2 2 2
2 4
( 3) ( 3)
3 3
x x x x dx= − − −∫
Integral Parsial Tahap
2:
3
2
( 3)x x −∫
VOLUME BENDA PUTAR
Benda putar yang sederhana dapat kita ambil contoh adalah
tabung dengan besar volume adalah hasilkali luas alas ( luas
lingkaran ) dan tinggi tabung. Volume dari benda putar
secara umum dapat dihitung dari hasilkali antara luas alas dan
tinggi.
Bila luas alas kita nyatakan dengan A(x) dan tinggi benda
putar adalah panjang selang [ a,b ], maka volume benda
putar dapat dihitung menggunakan integral tentu sebagai
berikut :
Lanjutan……
Untuk mendapatkan volume benda putar yang terjadi karena
suatu daerah diputar terhadap suatu sumbu, dilakukan dengan
menggunakan dua buah metode yaitu metode cakram dan
kulit tabung.
Metode Cakram
Misal daerah dibatasi oleh y = f(x), y = 0, x = a dan x = b
diputar dengan sumbu putar sumbu X. Volume benda
pejal/padat yang terjadi dapat dihitung dengan memandang
bahwa volume benda padat tersebut merupakan jumlah tak
berhingga cakram yang berpusat di titik-titik pada selang
[a,b].
Lanjutan………
Misal pusat cakram dan jari-jari r = f(xo). Maka
luas cakram dinyatakan :
Oleh karena itu, volume benda putar :
Dapat juga ditulis
f(x) = y
2
b
a
V y dxπ= ∫
Lanjutan……..
Sedangkan bila grafik fungsi dinyatakan dengan x = w(y),
x=0, y = c dan y = d diputar mengelilingi sumbu Y maka
volume benda putar :
Dapat juga ditulis:
w(y) = x
2
d
c
V x dyπ= ∫
VOLUME BENDA PUTAR ANTARA DUA
KURVA
Jika suatu daerah dibatasi oleh kurva y=f(x), y = g(x),
x=a dan x=b diputar sekeliling sumbu X sejauh 360
derajat, maka isi benda putar yang terjadi adalah:
2 2
[( ( )) ( ( )) ]
b
a
V f x g x dxπ= −∫
Dimana f(x)> g(x)
Contoh Soal:
1. Tentukan isi benda putar yang terjadi jika suatu daerah
tersebut dibatasi oleh kurva , sumbu y,
y=0 dan y=2!
2. Daerah yang dibatasi kurva dan sumbu x, diputar
sekeliling sumbu x sejauh 360 derajat. Tentukan isi benda
putar yang terjadi!
3. Daerah yang dibatasi oleh kurva y=x+3, y=3 dan y=7
diputar mengelilingi sumbu y sejauh 360 derajat.
Tentukan isi benda putar yang terjadi!
4. Buktikan bahwa isi kerucut:
5. Buktikan bahwa isi bola:
2
1y x= −
2
2y x x= −
21
3
V r tπ=
34
3
V rπ=
INTEGRAL TAK WAJAR
Bentuk integral disebut Integral Tak Wajar ,
jika:
a. Paling sedikit satu batas integrasinya tak berhingga, atau
b. Integran f(x) mempunyai titik tak kontinu pada [ a , b ]
• Paling sedikit satu batas integrasinya tak hingga
( )
b
a
f x dx∫
Bila limit pada ruas kanan ada dan bernilai hingga, maka
integralnya disebut Konvergen ke nilai limit tersebut.
Sedang bila limit tidak ada atau nilainya menuju tak hingga
maka disebut Divergen
Integran mempunyai titik
diskontinu pada [ a ,b ]
Kalkulus 2 integral
Kalkulus 2 integral

Kalkulus 2 integral

  • 1.
  • 2.
    Satuan Acara Perkuliahan MataKuliah Kalkulus 2 Integrasi (Pengertian Integral, rumus – rumus dasar integral, integral tak tentu, integral tertentu) Metode Integrasi (Integral dengan substitusi, Integral Parsial, Integral fungsi trigonometri, integral fungsi rasional, substitusi khusus, rumus – rumus reduksi) Fungsi Transenden (Logaritma dan Eksponen, Invers fungsi trigonometri) Luas dan integral tertentu (luas, integral tertentu, sifat – sifat integral tertentu) Volume benda putar Luas permukaan benda putar Integral tak wajar dan integral lipat dua Differensial parsial orde tinggi Kalkulus dan geometri Untuk sumber materi silakan gunakan buku2 kalkulus yang mendukung/ dari internet
  • 3.
    Kesepatakan Perkuliahan Prosentase Nilai Absensi= 20% Tugas = 20 % Quiz = 20 % UTS = 20 % UAS = 20 % Nilai Mutu Nilai Mutu Range Nilai A B C D E Silakan disepakati… 80-100 -> A…. oK?!
  • 4.
    Integral adalah lawandiferensiasi. Penulisan simbol integral: Rumus – rumus dasar integrasi ( ) ( )f x dx F x C= +∫ 1 , 1 1 n n ax ax dx C n n + = + ≠ − +∫
  • 5.
    Nah…. ini contoh2nya bu…. pa….. 1. 2. 3. 4. 5. 1 1 2 26 6 6 3 1 1 2 x x xdx x + = = = +∫ 3 1 4 3 412 12 12 3 3 1 4 x x x dx x + = = = +∫ 1 3 11 32 2 2 2 6 6 6 6 4 1 3 1 2 2 x x xdx x dx x + = = = = + ∫ ∫ 1 1 0 1 22 3 (2 3) 3 1 1 0 1 x x x dx x x + + + = + = + + +∫ 1 5 1 7 1 2 2 12 2 2 2 2 2 2 ( ) ( 2 ) 2 4 7 x x dx x x x dx x x dx x x x − − − = − = − = −∫ ∫ ∫
  • 6.
    Silakan dicoba Tugas1 nya,,, saya yakin ibu-ibu dan bapa-bapa pasti bisa….. Tentukanlah nilai integral dari: 1. dx 2. dx 3. 4. 5. 2 9x∫ 2 (3 4 )x x+∫ 1 1 2 2 (3 2 )x x dx − −∫ 1 22 ( 3)x x dx − +∫ 2 ( 3)x dx x + ∫ 6. 7. 2 (1 2 )x dx x − ∫ 21 ( 1)x dx x −∫ Dikumpulkan hari Selasa tanggal 12 Mei 2009 ya……… ^^
  • 7.
    Integral Tertentu Integral tertentubiasa digunakan untuk menghitung luas daerah yang dibatasi kurva y=f(x) dan sumbu x, dengan batas tertentu Sifat – sifat integral tertentu 1. 2. [ ]( ) ( ) b b a a f x dx Fb FaF x= = −∫ ( ) ( ) b b a a kf x dx k f x dx=∫ ∫ [ ]( ) ( ) ( ) ( ) b b b a a a f x g x dx f x dx g x dx+ = +∫ ∫ ∫
  • 8.
    Sifat – sifatintegral tertentu (Lanjutan…) 3. 4. 5. 6. ( ) ( ) ( ) , b c c a b a f x dx f x dx f x dx a b c+ = < <∫ ∫ ∫ ( ) ( ) b a a b f x dx f x dx= −∫ ∫ ( ) 0 a a f x dx =∫ ( ) ( ) b b a a f x dx f t dt=∫ ∫ Kira – kira perlu contoh2nya ga????
  • 9.
    Luas daerah yangdibatasi kurva y=f(x) dan sumbu x Dengan batas x1=a dan x2=b ( ) b a L f x dx= ∫ ( ) b a L f x dx= −∫
  • 10.
    Luas Daerah AntaraDua Kurva Untuk interval [a,b] dengan f(x)>=g(x), maka: [ ]( ) ( ) b a L f x g x dx= −∫
  • 11.
    Metode Integrasi Integral denganSubstitusi contoh: Diusahakan menjadi bentuk Substitusi u=2x-3 Cari turunan dari u = Cari nilai dx: 2 3 ?x dx− =∫ n u du∫ 2 du dx = 2 du dx =
  • 12.
    Maka: Hasil akhir, dikembalikanke nilai awal u = 2x-3, yaitu: 1 2 3 . 2 x dx u du− =∫ ∫ 31 2 2 1 1 2 . 2 2 3 u du u C= = +∫ 3 2 1 2 3 (2 3) 3 x dx x C− = − +∫ 3 2 1 3 u C= +
  • 13.
    Integral Parsial Bila bertemudengan integran yang pengintegralannya tidak dapat dibawa ke bentuk dasar. Salah satu cara penyelesaiannya dengan metode integral parsial. Dengan pemisalan: u = f(x) dan v = g(x). Metode integral parsial memiliki bentuk: udv uv vdu= −∫ ∫ Keterangan: u = f(x) - du = turunan dari u v = g(x) - dv = turunan v
  • 14.
    Contoh: Jawab: Jadikan bentuk Pemisalan: u =dv = Cari du dan v du = 2x dx v = v = Masukan ke bentuk 2 3x x dx−∫ udv∫ 2 x 3x dx− 3x dx−∫ 31 2 2 2 ( 3) ( 3) 3 x x− = −∫ udv uv vdu= −∫ ∫
  • 15.
    3 3 2 22 2 2 2 3 . ( 3) ( 3) .2 3 3 x x dx x x x xdx− = − − −∫ ∫ udv uv vdu= −∫ ∫ 3 3 2 2 2 2 4 ( 3) ( 3) 3 3 x x x x dx= − − −∫ Integral Parsial Tahap 2: 3 2 ( 3)x x −∫
  • 16.
    VOLUME BENDA PUTAR Bendaputar yang sederhana dapat kita ambil contoh adalah tabung dengan besar volume adalah hasilkali luas alas ( luas lingkaran ) dan tinggi tabung. Volume dari benda putar secara umum dapat dihitung dari hasilkali antara luas alas dan tinggi. Bila luas alas kita nyatakan dengan A(x) dan tinggi benda putar adalah panjang selang [ a,b ], maka volume benda putar dapat dihitung menggunakan integral tentu sebagai berikut :
  • 17.
    Lanjutan…… Untuk mendapatkan volumebenda putar yang terjadi karena suatu daerah diputar terhadap suatu sumbu, dilakukan dengan menggunakan dua buah metode yaitu metode cakram dan kulit tabung. Metode Cakram Misal daerah dibatasi oleh y = f(x), y = 0, x = a dan x = b diputar dengan sumbu putar sumbu X. Volume benda pejal/padat yang terjadi dapat dihitung dengan memandang bahwa volume benda padat tersebut merupakan jumlah tak berhingga cakram yang berpusat di titik-titik pada selang [a,b].
  • 18.
    Lanjutan……… Misal pusat cakramdan jari-jari r = f(xo). Maka luas cakram dinyatakan : Oleh karena itu, volume benda putar : Dapat juga ditulis f(x) = y 2 b a V y dxπ= ∫
  • 19.
    Lanjutan…….. Sedangkan bila grafikfungsi dinyatakan dengan x = w(y), x=0, y = c dan y = d diputar mengelilingi sumbu Y maka volume benda putar : Dapat juga ditulis: w(y) = x 2 d c V x dyπ= ∫
  • 20.
    VOLUME BENDA PUTARANTARA DUA KURVA Jika suatu daerah dibatasi oleh kurva y=f(x), y = g(x), x=a dan x=b diputar sekeliling sumbu X sejauh 360 derajat, maka isi benda putar yang terjadi adalah: 2 2 [( ( )) ( ( )) ] b a V f x g x dxπ= −∫ Dimana f(x)> g(x)
  • 21.
    Contoh Soal: 1. Tentukanisi benda putar yang terjadi jika suatu daerah tersebut dibatasi oleh kurva , sumbu y, y=0 dan y=2! 2. Daerah yang dibatasi kurva dan sumbu x, diputar sekeliling sumbu x sejauh 360 derajat. Tentukan isi benda putar yang terjadi! 3. Daerah yang dibatasi oleh kurva y=x+3, y=3 dan y=7 diputar mengelilingi sumbu y sejauh 360 derajat. Tentukan isi benda putar yang terjadi! 4. Buktikan bahwa isi kerucut: 5. Buktikan bahwa isi bola: 2 1y x= − 2 2y x x= − 21 3 V r tπ= 34 3 V rπ=
  • 22.
    INTEGRAL TAK WAJAR Bentukintegral disebut Integral Tak Wajar , jika: a. Paling sedikit satu batas integrasinya tak berhingga, atau b. Integran f(x) mempunyai titik tak kontinu pada [ a , b ] • Paling sedikit satu batas integrasinya tak hingga ( ) b a f x dx∫
  • 23.
    Bila limit padaruas kanan ada dan bernilai hingga, maka integralnya disebut Konvergen ke nilai limit tersebut. Sedang bila limit tidak ada atau nilainya menuju tak hingga maka disebut Divergen
  • 24.