PARAMETER ESTIMATION Chapter 7
EVALUATING A POINT ESTIMATOR
Let X = (X1, . . . , Xn) be a sample from a population whose distribution is
specified up to an unknown parameter θ.
Let d = d(X) be an estimator of θ.
How are we to determine its worth as an
estimator of θ ?
EVALUATING A POINT ESTIMATOR
r(d, θ) : the mean square error of the estimator d
An indicator of the worth of d as an estimator of θ
No single estimator d that minimized r(d, θ) for all
possible values of θ.
EVALUATING A POINT ESTIMATOR
Minimum mean square estimators rarely exist
Possible to find an estimator having the smallest mean square error among all
estimators that satisfy a certain property.
One such property is that of unbiasedness.
An estimator is unbiased if its expected value always equals the value of the
parameter it is attempting to estimate.
The bias of d as an estimator of θ is defined as below:
EVALUATING A POINT ESTIMATOR
Example: Let X = (X1, . . . , Xn) be a sample from a population whose
distribution is specified up to an unknown parameter θ.
Let d = d(X) be an estimator of θ.
Find the bias for the following estimators:
EVALUATING A POINT ESTIMATOR
EVALUATING A POINT ESTIMATOR
EVALUATING A POINT ESTIMATOR
Combining Independent Unbiased Estimators:
Let d1 and d2 denote independent unbiased estimators of θ,
having known variances σ1
2 and σ2
2. For i = 1, 2,
New estimator
from the old
ones
EVALUATING A POINT ESTIMATOR
It will be unbiased.
To determine the value of λ that results in d having the smallest possible mean square
error:
EVALUATING A POINT ESTIMATOR
The optimal weight to give an estimator is inversely proportional to its
variance (when all the estimators are unbiased and independent).
EVALUATING A POINT ESTIMATOR
A generalization of the result that the mean square error of an unbiased estimator is
equal to its variance
is that
the mean square error of any estimator is equal to its variance plus the square of its
bias.
EVALUATING A POINT ESTIMATOR
EVALUATING A POINT ESTIMATOR
The mean square error of any estimator is equal to its variance
plus the square of its bias
EVALUATING A POINT ESTIMATOR
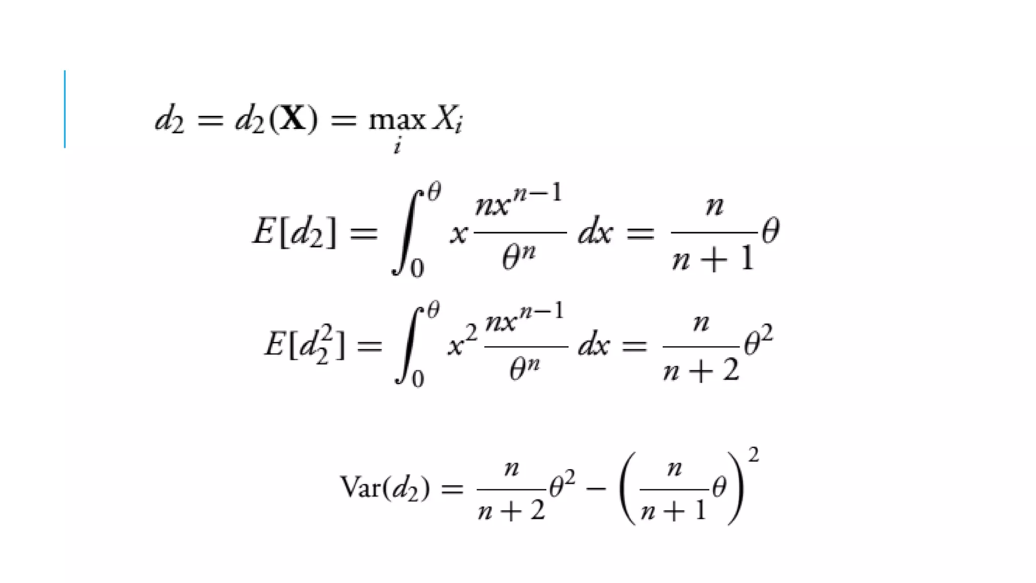
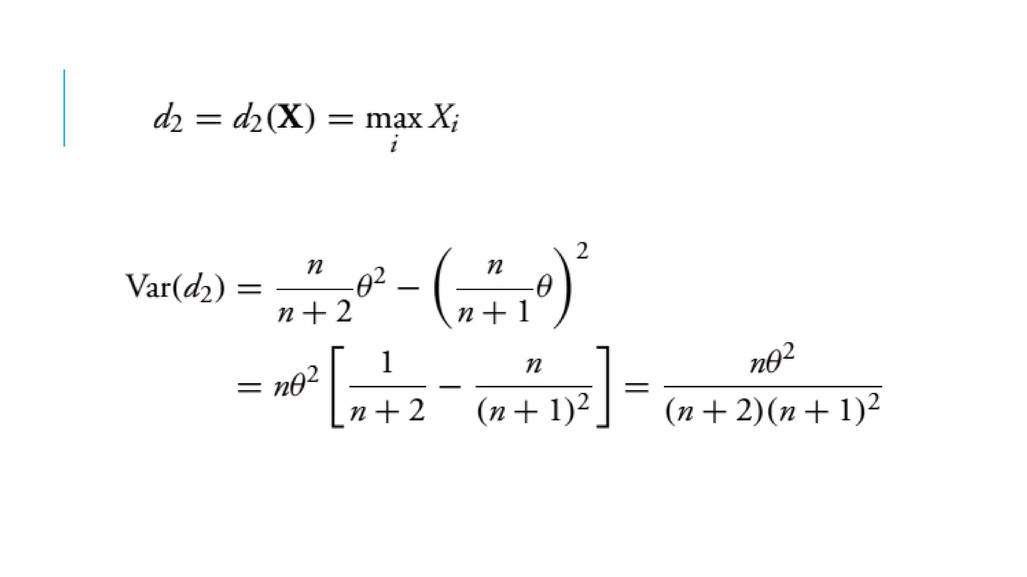
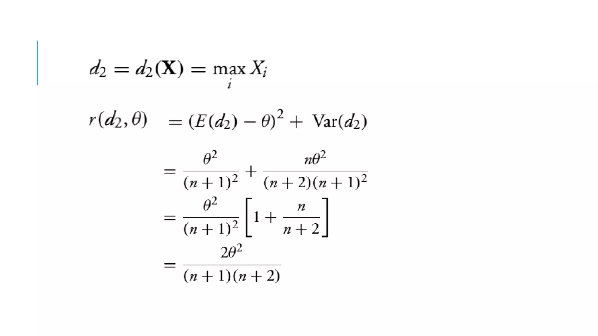
Let X = (X1, . . . , Xn) be a sample from
a uniform distribution (0, θ) with the unknown parameter θ.
Let us evaluate the following estimators:
EVALUATING A POINT ESTIMATOR
Is d1 is unbiased?
EVALUATING A POINT ESTIMATOR
How to find the mean and variance of this estimator?
First we have to find the distribution :-
IS THE FOLLOWING ESTIMATOR BIASED?
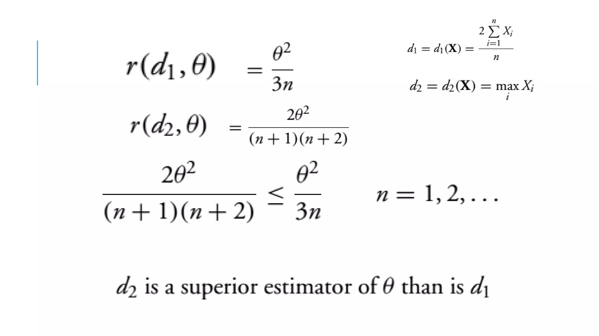
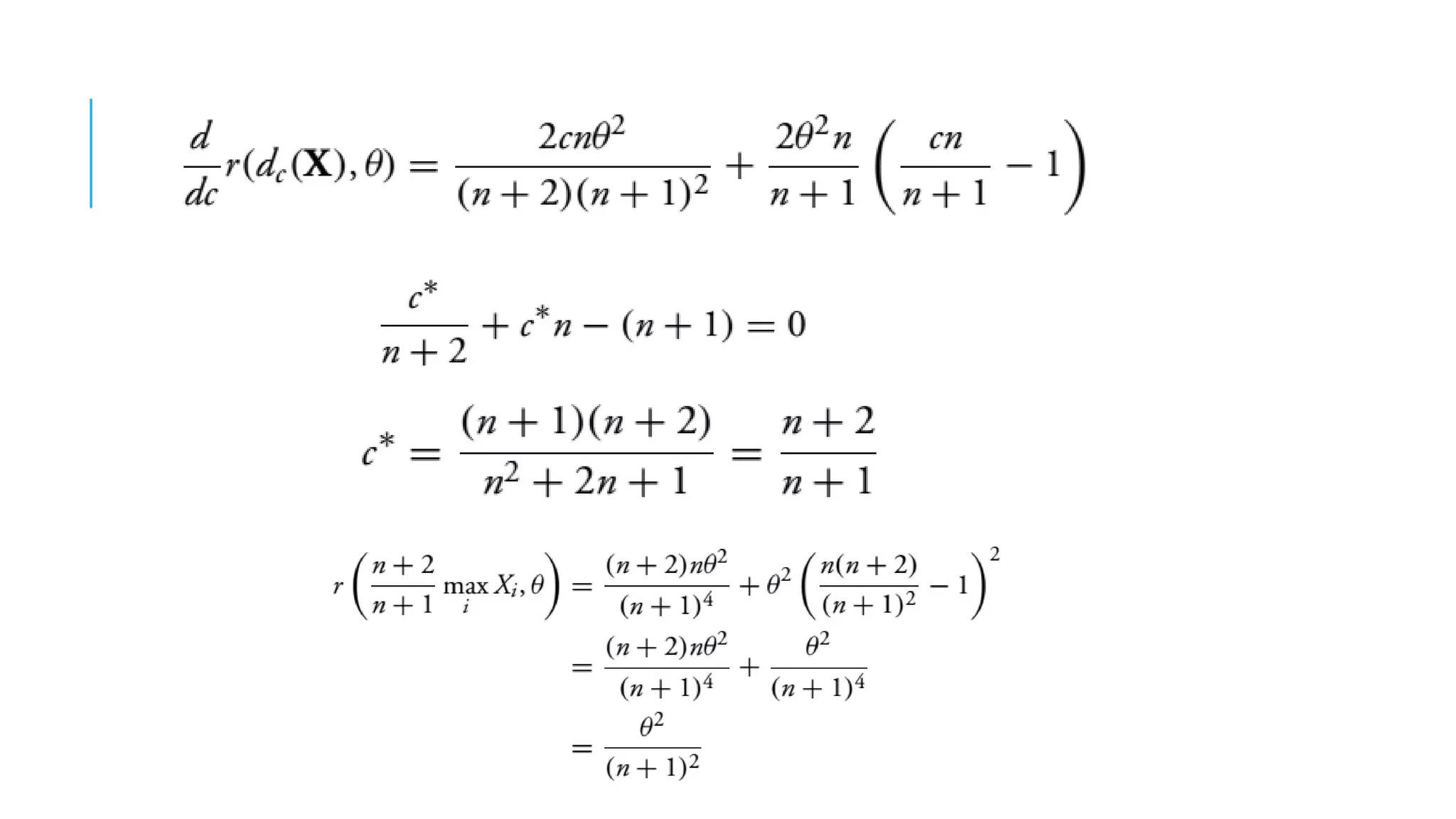
The (biased) estimator (n + 2)/ (n + 1) maxi Xi has about
half the mean square error of the MLE maxi Xi.
Thank you for your attention

Parameter estimation

  • 1.
  • 2.
    EVALUATING A POINTESTIMATOR Let X = (X1, . . . , Xn) be a sample from a population whose distribution is specified up to an unknown parameter θ. Let d = d(X) be an estimator of θ. How are we to determine its worth as an estimator of θ ?
  • 3.
    EVALUATING A POINTESTIMATOR r(d, θ) : the mean square error of the estimator d An indicator of the worth of d as an estimator of θ No single estimator d that minimized r(d, θ) for all possible values of θ.
  • 4.
    EVALUATING A POINTESTIMATOR Minimum mean square estimators rarely exist Possible to find an estimator having the smallest mean square error among all estimators that satisfy a certain property. One such property is that of unbiasedness. An estimator is unbiased if its expected value always equals the value of the parameter it is attempting to estimate. The bias of d as an estimator of θ is defined as below:
  • 5.
    EVALUATING A POINTESTIMATOR Example: Let X = (X1, . . . , Xn) be a sample from a population whose distribution is specified up to an unknown parameter θ. Let d = d(X) be an estimator of θ. Find the bias for the following estimators:
  • 6.
  • 7.
  • 8.
    EVALUATING A POINTESTIMATOR Combining Independent Unbiased Estimators: Let d1 and d2 denote independent unbiased estimators of θ, having known variances σ1 2 and σ2 2. For i = 1, 2, New estimator from the old ones
  • 9.
    EVALUATING A POINTESTIMATOR It will be unbiased. To determine the value of λ that results in d having the smallest possible mean square error:
  • 10.
    EVALUATING A POINTESTIMATOR The optimal weight to give an estimator is inversely proportional to its variance (when all the estimators are unbiased and independent).
  • 11.
    EVALUATING A POINTESTIMATOR A generalization of the result that the mean square error of an unbiased estimator is equal to its variance is that the mean square error of any estimator is equal to its variance plus the square of its bias.
  • 12.
  • 13.
    EVALUATING A POINTESTIMATOR The mean square error of any estimator is equal to its variance plus the square of its bias
  • 14.
    EVALUATING A POINTESTIMATOR Let X = (X1, . . . , Xn) be a sample from a uniform distribution (0, θ) with the unknown parameter θ. Let us evaluate the following estimators:
  • 15.
    EVALUATING A POINTESTIMATOR Is d1 is unbiased?
  • 16.
  • 17.
    How to findthe mean and variance of this estimator? First we have to find the distribution :-
  • 22.
    IS THE FOLLOWINGESTIMATOR BIASED?
  • 25.
    The (biased) estimator(n + 2)/ (n + 1) maxi Xi has about half the mean square error of the MLE maxi Xi.
  • 26.
    Thank you foryour attention