Network Analysis and Synthesis
Chapter 4: Application of Laplace Transform
By
Dr. K Hussain
Associate Professor and Head
Dept. of EE, SITCOE
Contents
• Solution of differential equation using Laplace
transform, Unit step, Impulse & ramp
functions
• Laplace transform of singular & shifted
function, Convolution integral
• Concept of complex frequency
• Transform impedance & transform
admittance, Series & parallel combination of
these transform networks.
Laplace Transform
 An integral transform mapping functions from the time
domain to the Laplace domain or s‐domain
f
 Time‐domain functions are functions of time, t
 Laplace‐domain functions are functions of s
 s is a complex variable
Laplace Transforms – Motivation
 We’ll use Laplace transforms to solve differential
equations
 Differential equations in the time domain
 difficult to solve
 Apply the Laplace transform
 Transform to the s‐domain
 Differential equations become algebraic equations
 easy to solve
 Transform the s‐domain solution back to the time domain
 Transforming back and forth requires extra effort, but
the solution is greatly simplified
The Laplace Transform (LT) method is much superior to
the classical method due to the following reasons.
1. Laplace transformation transforms exponential and
trigonometric functions into algebraic functions.
2. Laplace transformation transforms differentiation and
integration into multiplication and division
respectively.
3. It transforms integro-differential equations into
algebraic equations which are much simpler to handle.
4. The arbitrary constants need not be determined
separately. Complete solution will be obtained directly.
Laplace Transform
The Laplace transform provides a useful method of solving certain
types of differential equations when certain initial conditions are
given, especially when the initial values are zero.
It is also very useful in the area of circuit analysis. It is often easier
to analyze the circuit in its Laplace form, than to form differential
equations.
The techniques of Laplace transform are not only used in circuit
analysis, but also in
•Proportional-Integral-Derivative (PID) controllers
•DC motor speed control systems
•DC motor position control systems
•Second order systems of differential equations (underdamped,
overdamped and critically damped)
Definition of Laplace Transform
The Laplace transform ℒ, of a function f(t) for t > 0 is defined by
the following integral over 0 to ∞:
The resulting expression is a function of s, which we write as F(s).
In words we say
"The Laplace Transform of f(t) equals function F of s".
ℒ {f(t)}=F(s)
ℒ {g(t)}=G(s)
Similarly, the Laplace transform of a function g(t) would be written:
and write:
ℒ {f(t)}=∫0
∞
​e−stf(t)dt
 Unilateral or one‐sided transform
 Lower limit of integration is
 Assumed that the time domain function is zero for all negative
time, i.e., g(t)<0
• The two singularity functions of interest are
1. unit step function, u(t)
and its construct: the gate function
2. delta or unit impulse function, (t)
and its construct: the sampling function
Laplace Transforms of Singularity Functions
• Singularity functions are either not finite or
don't have finite derivatives everywhere
Step Function
 A useful and common way of characterizing a linear
system is with its step response
 The system’s response (output) to a unit step input
 The unit step function or Heaviside step function:






01
00
)(
t
t
tu
Extensions of Unit Step Function
• A more general unit step
function is u(t-a)






at
at
atu
1
0
)( 1
t0 a
1
t0  +T
• The gate function can be
constructed from u(t)
– a rectangular pulse that
starts at t= and ends at
t=+T : u(t-) – u(t--T)
– like an on/off switch
Unit Step Function – Laplace Transform
 Using the definition of the Laplace transform
 The Laplace transform of the unit step is
 Note that the unilateral Laplace transform assumes that
the signal being transformed is zero for t<0
 Equivalent to multiplying any signal by a unit step
£{f(t)}=1/s
Impulse Function
 Another common way to describe a dynamic system
is with its impulse response
 System output in response to an impulse function input
Impulse function: If a unit step function u(t) is differentiated
with respect to t, the derivative is zero for time t greater than
zero, and is infinite for time t equal to zero.
An infinitely tall, infinitely narrow pulse
and
where the symbol δ(t) (delta) is used
to represent the unit impulse.
Mathematically, the function is defined as
Delta or Unit Impulse Function, (t)
• The delta or unit impulse function, (t)
– Mathematical definition
– Graphical illustration






0
0
0
1
0
)(
tt
tt
tt
1
t0
(t)
t0
Extensions of the Delta Function
• An important property of the unit impulse
function is its sampling property
– Mathematical definition






00
0
0
)(
0
)()(
tttf
tt
tttf 
f(t)
t0 t0
f(t) (t-t0)
The Laplace transform of the unit impulse function is
Unit Ramp Function – Laplace Transform
 Could easily evaluate the transform integral
 Requires integration by parts
 Alternatively, recognize the relationship between the
unit ramp and the unit step
 Unit ramp is the integral of the unit step
 The unit ramp function is a useful input signal for
evaluating how well a system tracks a constantly‐
increasing input






0
00
)(
tt
t
tu
 The unit ramp function:
 Apply the integration by parts,
Laplace transform of unit Ramp function is
1
!
)()()( 
 n
n
s
n
sFtuttf
In general
66
5
2
1
120!5
)()()(,5
!1
)()()(,1
1!0
)()()(,0
ss
sFtuttfn
s
sFttutfn
ss
sFtutfn



If L{f(t)}=F(s) when s>a then,
In words, the substitution (s−a) for s in the transform corresponds to
the multiplication of the original function by eat.
Proof:
L{eatf(t)}=F(s−a)
Laplace Transform of Shifted Function
First (frequency) Shifting Property:
F(s−a)=L{eatf(t)}
F(s)=∫0
∞e−st f(t)dt F(s-a)=∫0
∞e−(s-a)t f(t)dt
F(s-a)=∫0
∞e−st+at f(t)dt
F(s-a)=∫0
∞e−st eat f(t)dt F(s-a)= eat ∫0
∞e−st f(t)dt
Therefore
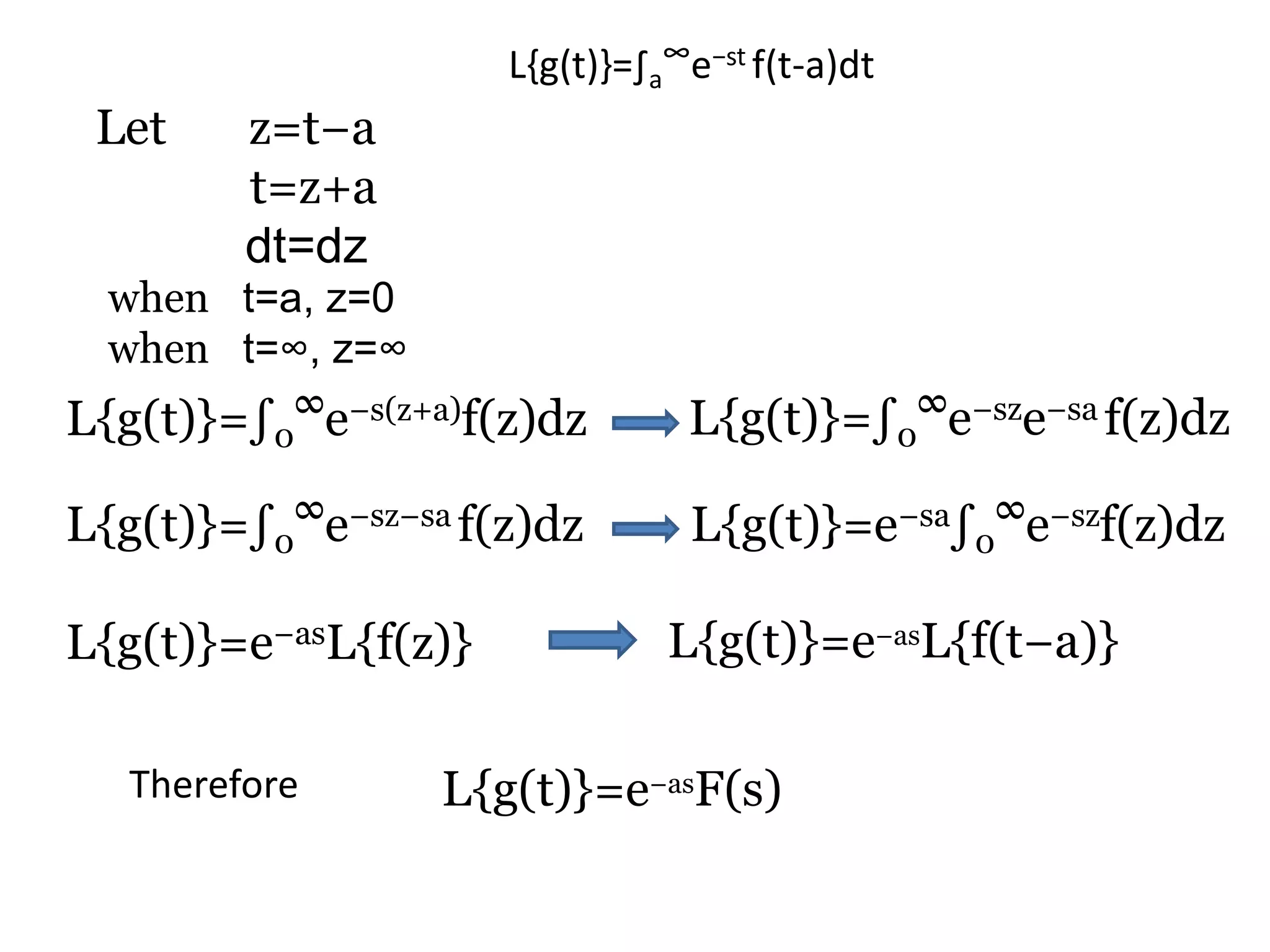
Second (Time) Shifting Property
If L{f(t)}=F(s) and g(t)= f(t−a) t>a
0 t<a
then, L{g(t)}=e−asF(s)
Proof:
g(t)= f(t−a) t>a
0 t<a
L{g(t)}=∫0
∞e−st g(t)dt
L{g(t)}=∫0
ae−st (0)dt+ ∫a
∞e−st f(t-a)dt
L{g(t)}=∫a
∞e−st f(t-a)dt
Let z=t−a
t=z+a
dt=dz
L{g(t)}=e−asF(s)Therefore
L{g(t)}=∫a
∞e−st f(t-a)dt
L{g(t)}=∫0
∞e−sz−sa f(z)dz
L{g(t)}=∫0
∞e−sze−sa f(z)dzL{g(t)}=∫0
∞e−s(z+a)f(z)dz
when t=a, z=0
when t=∞, z=∞
L{g(t)}=e−sa∫0
∞e−szf(z)dz
L{g(t)}=e−asL{f(t−a)}L{g(t)}=e−asL{f(z)}
Convolution Theorem states that if we have two functions,
taking their convolution and then Laplace is the same as taking
the Laplace first (of the two functions separately) and then
multiplying the two Laplace Transforms.
Theorem: For any two functions f(t) and g(t) with Laplace
transforms F(s) and G(s) we have L(f ∗ g) = F(s) · G(s).
Proof:
We start by writing L(f ∗ g) as the convolution integral followed
by the Laplace integral
Convolution Integral
Next, we change the order of integration
Finally, change variables in the inner integral:
substitute v = t−u, dv = dt, (u =a constant)
Q. Find y(t) from the given functions using convolution integral.
Solution:
To evaluate the convolution integral we will use the convolution
property of the Laplace Transform:
We need the Laplace Transforms of f(t) and h(t), but we can look
them up in the tables:
So,
 (t) is step function
We can now write y(t) (which is implicitly zero for t<0)
We can look up both of these terms in the tables.
Solution of Differential Equation using
Laplace Transform
s-Domain Circuit Analysis
Time domain
(t domain)
Complex frequency
domain (s domain)
Linear
Circuit
Differential
equation
Classical
techniques
Response
waveform
Laplace Transform
Inverse Transform
Algebraic
equation
Algebraic
techniques
Response
transform
L
L-1
Laplace Transform
L
Transformed
Circuit
Kirchhoff’s Laws in s-Domain
s domain
i2 (t)
t domain
Kirchhoff’s current law (KCL)
i1(t)  i2 (t) i3 (t)  i4 (t)  0
Kirchhoff’s voltage law (KVL)
 v1(t)  v2 (t)  v3 (t)  0
  
V1(s) V2 (s) V3(s)  0
i1(t) i3(t)
i4 (t)
I1(s)  I2 (s)  I3 (s)  I4 (s)  0
 v2(t)   v4 (t)
  
5v1(t) v3 (t) v (t)
Signal Sources in s Domain
L
L
t domain s domain
+
v(t)
_
vS (t)
+
i(t)
Voltage Source:
v(t)  vS (t)
i(t)  depends
on circuit
_
+
V(s)
+
I(s)
Voltage Source:
VS (s) V (s)  VS (s)
I(s)  depends
on circuit
_
v(t)
+
iS (t)
i(t)
Current Source:
i(t)  iS(t)
v(t)  depends
on circuit
IS (s)V(s)
+
_
I(s)
Current Source:
I(s)  IS (s)
V (s) depends
on circuit
--
Time and s-Domain Element Models
L
L
L
+
vR (t)
_
R
vR (t)  RiR(t)
Resistor:
+
VR (s)
_
R
Impedance and Voltage Source for Initial Conditions
Time Domain s-Domain
VR (s)  RIR (s)
Resistor:
+
v (t)L
_
L
iL(t)
dt
L
L
di (t)
v (t)  L
Inductor:
_
+
+
V (s)L
_
Ls
LLi (0)
IL (s)
LLi (0)
VL (s)  LsIL (s) 
Inductor:
_
+
v (t)C C
iC (t)
0
C
t
CC
C
v (0)
v (t) 
1
i ( )d
Capacitor:
_
+
+
V (s)C
_
1 Cs
C
s
v (0)
IC (s)
Cs
C
s
C C
v ( 0 )
V (s) 
1
I (s) 
Capacitor:
IR (s)iR (t)
Impedance and Voltage Source for Initial
Conditions
R
R
R  R
I (s)
V (s)
Z (s) 
L
L
L
L  Ls with i (0) 0
I (s)
V (s)
Z (s) 
 with v (0) 0
I (s) Cs
V (s) 1
Z (s)  C
C
C
C
• Impedance Z(s)
Z (s) 
voltage transform
current transform
with all initial conditions set to zero
• Impedance of the three passive elements
Time and s-Domain Element Models
L
L
L
+
vR (t)
_
R
R
R Ri (t) 
1
v (t)
Resistor:
+
VR (s)
_
R
Admittance and Current Source for Initial Conditions
Time Domain s-Domain
R
R RI (s) 
1
V (s)
Resistor:
+
v (t)L
_
L
iL(t)
Inductor:
0
t
LL
L
iL (0)
i (t) 
1
v ( )d
_
+
vC (t) C
ic(t)
dt
C
C
dv (t)
i (t) C
Capacitor:
Inductor:
Ls
L L
iL(0)
I (s) 
1
V (s) 
+
V (s)L
_ Ls
s
iL(0)
IL (s)
C
CvC (0)
I (s)  CsVC (s)
s
Capacitor:
_
+
VC (s)
1 Cs
CCv (0)
I (s)C
iR (t) IR (s)
Admittance and Current Source for Initial
Conditions
R
R
R
I (s) 1
V (s) R
Y (s) 
 L
L
L
L with i (0) 0
V (s) Ls
I (s) 1
Y (s)
 Cs with v (0) 0
V (s)
I (s)
Y (s)  C
C
C
C
• Admittance Y(s)
Y (s) 
current transform 
1
voltage transform Z (s)
with all initial conditions set to zero
• Admittance of the three passive elements
L
+
VA(t)
i(t)
L
+
V (s)L
_LLi (0)
 V (s) R
+VA
s
Example: Solve for Current Waveform i(t).
I(s)
Ls
_
+
s
R L
 VA
By KVL: V (s) V (s) 0
Resistor: VR (s) RI(s) Inductor: VL (s)  LsI(s)  LiL (0)
L RI(s)  LsI(s)  Li (0) 0
s
 VA
VA L



VA R

VA R iL (0)
s s  R L s  R L
iL(0)
s(s R L) s  R L
I (s)
V LL
V
 iL (0)e u(t A
e
 R R
Rt Rt
Inverse Transform: i(t)   	A
forced response natural response
--
R R
Consider the RL circuit shown in Fig.(a). Assume that the switch is
closed at time t = 0 and assume that the current i at the time of
switching is zero.
The transform circuit in s domain is shown in Fig.(b).
From this,
Taking inverse LT
Thus, inductor current rises exponentially with time constant L/R.
Analysis of RL Circuit using Laplace Transform Method
Inductor voltage decreases exponentially with time constant L/R.
The current and voltage transients are shown in Fig.
Voltage across the inductor is given by
Taking inverse LT
Example: Initially relaxed series RL circuit with R = 100 Ω and L = 20
H has dc voltage of 200 V applied at time t = 0. Find (a) the equation
for current and voltages across different elements (b) the current at
time t = 0.5 s and 1.0 s and (c) the time at which the voltages across
the resistor and inductor are equal.
Solution: Transform circuit for time t > 0 is
shown.
Therefore, (a) current = i(t) = 2 (1-e-5t) A
Voltage=VR = R i(t) = 200 (1-e-5t) V
Voltage VL
(c) Let t1 be the time at which VR(t) = VL(t). Then
This gives t1 = 0.1386 s
200 (1- e-5t1)= 200 e-5t1 i.e., e-5t1 = 0.5
(b) i(0.5) = 2 (1- e-2.5) = 1.8358 A and
i(1.0) = 2 (1-e-5) = 1.9865 A
Use Partial fraction method and then
Apply inverse Laplace Transform
Example:
Solution: This is series R-L circuit.
Voltage across the capacitor
Taking inverse LT, we get the capacitor voltage as
The circuit current and the voltage across the capacitor vary as shown in Fig.
The transform circuit for time t > 0 is shown in Fig.(b). From this
Taking inverse LT
Consider the RC circuit shown in Fig. (a). Assume that the switch is closed at time t = 0
and assume that the voltage across the capacitor at the time of switching is zero.
Analysis of RC Circuit using Laplace Transform Method
Example: In the RC circuit shown in fig (a)below, the capacitor has
an initial charge q0 = 2500 μC. At time t = 0, the switch is closed.
Find the circuit current for time t > 0.
Solution:
Transform circuit for time t > 0 is shown in Fig. (b)
Taking inverse LT, current i(t) = 15 e-2000t A
Fig (a)
Fig (b)
From Fig (b)
Consider the RLC series circuit shown in Fig. (a). Assume that there is no initial
charge on the capacitor and there is no initial current through the inductor.
The switch is closed at time t = 0.
Transform circuit for time t > 0 is shown in
Fig. (b).
Using the transform circuit, expression for the
current is obtained as
The roots of the denominator polynomial are
Where and
Analysis of RLC Circuit using Laplace Transform Method
Depending on whether , , or ,
the discriminant value will be positive, zero or negative and three
different cases of solutions are possible.
The value of R, for which the discriminant is zero, is called the
critical resistance, RC.
Then
If the circuit resistance R > RC, then
Thus
If the circuit resistance R < RC, then
The plot of this current transient is
shown in Fig.
In this case, the current is said to be critically damped.
As seen in Equation, α will be a negative number.
Thus, for this under damped case, the current is oscillatory and at the same
time it decays.
For this case, the roots are complex conjugate, s1=α+jβ and s2=α-jβ
Taking inverse LT, we get
Case (iii):
Waveform shown is a exponentially decaying sinusoidal wave.
Example: For the RLC circuit shown, find the expression for the transient current when the
switch is closed at time t = 0. Assume initially relaxed circuit conditions.
Solution: The transform circuit is shown in Fig. (b)
The roots of the denominator polynomial are
This is an example for over-damped.
Taking inverse LT, we get current
Example: Taking the initial conditions as zero, find the transient
current in the circuit shown in Fig. (a) when the switch is closed at
time t = 0.
Solution
The transform circuit is shown in Fig (b).
The roots of the denominator polynomial are
Fig (b)
It can be seen that
Fig
(a)
This is an example for under-damped.
Taking inverse LT, we get
Network Functions
Input Signal Transform
Network function 
Zero-State ResponseTransform
I(s) Y(s)
V(s) 1
Z(s) 
V (s)
• Transfer function relates an input and response at
different ports in the circuit
V (s)
VT (s)  Voltage Transfer Function  2
Circuit in
the
zero-state	

V(s)
I(s)
Circuit in
the
zero-state
V1or I1 V2 or I2
Input Output
_
+ 
V2
TV (s)V1
In

Out
I1(s)
1
I (s)
TI (s)  Current Transfer Function  2
2
V (s)
I (s)
YT (s)  Transfer Admittance 
I1(s)
1
V2 (s)
TZ (s)  Transfer Impedance  _
+
1V
2I
TY (s)
In Out
1I

V2
TZ (s)
In

Out
I1
TI (s)
In Out
I2
Driving-point function relates the
voltage and current at a given
pair of terminals called a port
Calculating Network Functions
Z1
Z2


V2(s)V1(s)_
+
Y1 Y2I1(s)
2I (s)
1 1 2
2 Z2 (s)V (s)
V
V (s) Z (s)  Z (s)
T (s) 
• Driving-point impedance
ZEQ (s)  Z1(s)  Z2 (s)
• Voltage transfer function:
2 V (s)
Z2 (s)
 1
2 


 1Z (s)  Z (s)
V (s) 

1 1 2
2 Y2(s)I (s)
I
I (s) Y (s) Y (s)
T (s) 
• Driving-point admittance
YEQ (s)  Y1(s) Y2 (s)
• Current transfer function:
Y (s) 
Y1(s) Y2 (s)
I2 (s)  
	2
 I1(s)
Circuit Analysis in s-Domain
The equivalent impedance Zeq(s) of two impedances Z1(s) and
Z2(s) in series is
V(s) Z2
Z1
+
-
Same current flows
V(s)  Z1(s)I s Z2 (s)I (s)  Zeq (s)I s
The equivalent admittance Yeq(s) of two admittances Y1(s) and
Y2(s) in parallel is
+
s) Y1 Y2
-
V(
Same voltage
I(s)  Y1(s)V(s) Y2(s)V(s)  Yeq(s)V(s)
I(s)
Basic Rules:
I1(s)
Yeq(s)  Y1(s) Y2(s)
Zeq (s)  Z1(s)  Z2 (s)
Limitation of Laplace Transform
• Only be used to solve differential equations
with known constants.
• An equation without the known constants,
then this method is useless.
Laplace Transform is powerful tool using in
differential areas of mathematics, physics, and
engineering. But
THANK YOU

NAS-Ch4-Application of Laplace Transform

  • 1.
    Network Analysis andSynthesis Chapter 4: Application of Laplace Transform By Dr. K Hussain Associate Professor and Head Dept. of EE, SITCOE
  • 2.
    Contents • Solution ofdifferential equation using Laplace transform, Unit step, Impulse & ramp functions • Laplace transform of singular & shifted function, Convolution integral • Concept of complex frequency • Transform impedance & transform admittance, Series & parallel combination of these transform networks.
  • 3.
    Laplace Transform  Anintegral transform mapping functions from the time domain to the Laplace domain or s‐domain f  Time‐domain functions are functions of time, t  Laplace‐domain functions are functions of s  s is a complex variable
  • 4.
    Laplace Transforms –Motivation  We’ll use Laplace transforms to solve differential equations  Differential equations in the time domain  difficult to solve  Apply the Laplace transform  Transform to the s‐domain  Differential equations become algebraic equations  easy to solve  Transform the s‐domain solution back to the time domain  Transforming back and forth requires extra effort, but the solution is greatly simplified
  • 5.
    The Laplace Transform(LT) method is much superior to the classical method due to the following reasons. 1. Laplace transformation transforms exponential and trigonometric functions into algebraic functions. 2. Laplace transformation transforms differentiation and integration into multiplication and division respectively. 3. It transforms integro-differential equations into algebraic equations which are much simpler to handle. 4. The arbitrary constants need not be determined separately. Complete solution will be obtained directly.
  • 6.
    Laplace Transform The Laplacetransform provides a useful method of solving certain types of differential equations when certain initial conditions are given, especially when the initial values are zero. It is also very useful in the area of circuit analysis. It is often easier to analyze the circuit in its Laplace form, than to form differential equations. The techniques of Laplace transform are not only used in circuit analysis, but also in •Proportional-Integral-Derivative (PID) controllers •DC motor speed control systems •DC motor position control systems •Second order systems of differential equations (underdamped, overdamped and critically damped)
  • 7.
    Definition of LaplaceTransform The Laplace transform ℒ, of a function f(t) for t > 0 is defined by the following integral over 0 to ∞: The resulting expression is a function of s, which we write as F(s). In words we say "The Laplace Transform of f(t) equals function F of s". ℒ {f(t)}=F(s) ℒ {g(t)}=G(s) Similarly, the Laplace transform of a function g(t) would be written: and write: ℒ {f(t)}=∫0 ∞ ​e−stf(t)dt  Unilateral or one‐sided transform  Lower limit of integration is  Assumed that the time domain function is zero for all negative time, i.e., g(t)<0
  • 8.
    • The twosingularity functions of interest are 1. unit step function, u(t) and its construct: the gate function 2. delta or unit impulse function, (t) and its construct: the sampling function Laplace Transforms of Singularity Functions • Singularity functions are either not finite or don't have finite derivatives everywhere
  • 9.
    Step Function  Auseful and common way of characterizing a linear system is with its step response  The system’s response (output) to a unit step input  The unit step function or Heaviside step function:       01 00 )( t t tu
  • 10.
    Extensions of UnitStep Function • A more general unit step function is u(t-a)       at at atu 1 0 )( 1 t0 a 1 t0  +T • The gate function can be constructed from u(t) – a rectangular pulse that starts at t= and ends at t=+T : u(t-) – u(t--T) – like an on/off switch
  • 11.
    Unit Step Function– Laplace Transform  Using the definition of the Laplace transform  The Laplace transform of the unit step is  Note that the unilateral Laplace transform assumes that the signal being transformed is zero for t<0  Equivalent to multiplying any signal by a unit step £{f(t)}=1/s
  • 12.
    Impulse Function  Anothercommon way to describe a dynamic system is with its impulse response  System output in response to an impulse function input Impulse function: If a unit step function u(t) is differentiated with respect to t, the derivative is zero for time t greater than zero, and is infinite for time t equal to zero. An infinitely tall, infinitely narrow pulse and where the symbol δ(t) (delta) is used to represent the unit impulse. Mathematically, the function is defined as
  • 13.
    Delta or UnitImpulse Function, (t) • The delta or unit impulse function, (t) – Mathematical definition – Graphical illustration       0 0 0 1 0 )( tt tt tt 1 t0 (t) t0
  • 14.
    Extensions of theDelta Function • An important property of the unit impulse function is its sampling property – Mathematical definition       00 0 0 )( 0 )()( tttf tt tttf  f(t) t0 t0 f(t) (t-t0)
  • 15.
    The Laplace transformof the unit impulse function is
  • 16.
    Unit Ramp Function– Laplace Transform  Could easily evaluate the transform integral  Requires integration by parts  Alternatively, recognize the relationship between the unit ramp and the unit step  Unit ramp is the integral of the unit step  The unit ramp function is a useful input signal for evaluating how well a system tracks a constantly‐ increasing input       0 00 )( tt t tu  The unit ramp function:
  • 17.
     Apply theintegration by parts, Laplace transform of unit Ramp function is 1 ! )()()(   n n s n sFtuttf In general 66 5 2 1 120!5 )()()(,5 !1 )()()(,1 1!0 )()()(,0 ss sFtuttfn s sFttutfn ss sFtutfn   
  • 18.
    If L{f(t)}=F(s) whens>a then, In words, the substitution (s−a) for s in the transform corresponds to the multiplication of the original function by eat. Proof: L{eatf(t)}=F(s−a) Laplace Transform of Shifted Function First (frequency) Shifting Property: F(s−a)=L{eatf(t)} F(s)=∫0 ∞e−st f(t)dt F(s-a)=∫0 ∞e−(s-a)t f(t)dt F(s-a)=∫0 ∞e−st+at f(t)dt F(s-a)=∫0 ∞e−st eat f(t)dt F(s-a)= eat ∫0 ∞e−st f(t)dt Therefore
  • 19.
    Second (Time) ShiftingProperty If L{f(t)}=F(s) and g(t)= f(t−a) t>a 0 t<a then, L{g(t)}=e−asF(s) Proof: g(t)= f(t−a) t>a 0 t<a L{g(t)}=∫0 ∞e−st g(t)dt L{g(t)}=∫0 ae−st (0)dt+ ∫a ∞e−st f(t-a)dt L{g(t)}=∫a ∞e−st f(t-a)dt
  • 20.
    Let z=t−a t=z+a dt=dz L{g(t)}=e−asF(s)Therefore L{g(t)}=∫a ∞e−st f(t-a)dt L{g(t)}=∫0 ∞e−sz−saf(z)dz L{g(t)}=∫0 ∞e−sze−sa f(z)dzL{g(t)}=∫0 ∞e−s(z+a)f(z)dz when t=a, z=0 when t=∞, z=∞ L{g(t)}=e−sa∫0 ∞e−szf(z)dz L{g(t)}=e−asL{f(t−a)}L{g(t)}=e−asL{f(z)}
  • 24.
    Convolution Theorem statesthat if we have two functions, taking their convolution and then Laplace is the same as taking the Laplace first (of the two functions separately) and then multiplying the two Laplace Transforms. Theorem: For any two functions f(t) and g(t) with Laplace transforms F(s) and G(s) we have L(f ∗ g) = F(s) · G(s). Proof: We start by writing L(f ∗ g) as the convolution integral followed by the Laplace integral Convolution Integral
  • 25.
    Next, we changethe order of integration Finally, change variables in the inner integral: substitute v = t−u, dv = dt, (u =a constant)
  • 26.
    Q. Find y(t)from the given functions using convolution integral. Solution: To evaluate the convolution integral we will use the convolution property of the Laplace Transform: We need the Laplace Transforms of f(t) and h(t), but we can look them up in the tables: So,  (t) is step function
  • 27.
    We can nowwrite y(t) (which is implicitly zero for t<0) We can look up both of these terms in the tables.
  • 28.
    Solution of DifferentialEquation using Laplace Transform
  • 29.
    s-Domain Circuit Analysis Timedomain (t domain) Complex frequency domain (s domain) Linear Circuit Differential equation Classical techniques Response waveform Laplace Transform Inverse Transform Algebraic equation Algebraic techniques Response transform L L-1 Laplace Transform L Transformed Circuit
  • 30.
    Kirchhoff’s Laws ins-Domain s domain i2 (t) t domain Kirchhoff’s current law (KCL) i1(t)  i2 (t) i3 (t)  i4 (t)  0 Kirchhoff’s voltage law (KVL)  v1(t)  v2 (t)  v3 (t)  0    V1(s) V2 (s) V3(s)  0 i1(t) i3(t) i4 (t) I1(s)  I2 (s)  I3 (s)  I4 (s)  0  v2(t)   v4 (t)    5v1(t) v3 (t) v (t)
  • 31.
    Signal Sources ins Domain L L t domain s domain + v(t) _ vS (t) + i(t) Voltage Source: v(t)  vS (t) i(t)  depends on circuit _ + V(s) + I(s) Voltage Source: VS (s) V (s)  VS (s) I(s)  depends on circuit _ v(t) + iS (t) i(t) Current Source: i(t)  iS(t) v(t)  depends on circuit IS (s)V(s) + _ I(s) Current Source: I(s)  IS (s) V (s) depends on circuit --
  • 32.
    Time and s-DomainElement Models L L L + vR (t) _ R vR (t)  RiR(t) Resistor: + VR (s) _ R Impedance and Voltage Source for Initial Conditions Time Domain s-Domain VR (s)  RIR (s) Resistor: + v (t)L _ L iL(t) dt L L di (t) v (t)  L Inductor: _ + + V (s)L _ Ls LLi (0) IL (s) LLi (0) VL (s)  LsIL (s)  Inductor: _ + v (t)C C iC (t) 0 C t CC C v (0) v (t)  1 i ( )d Capacitor: _ + + V (s)C _ 1 Cs C s v (0) IC (s) Cs C s C C v ( 0 ) V (s)  1 I (s)  Capacitor: IR (s)iR (t)
  • 33.
    Impedance and VoltageSource for Initial Conditions R R R  R I (s) V (s) Z (s)  L L L L  Ls with i (0) 0 I (s) V (s) Z (s)   with v (0) 0 I (s) Cs V (s) 1 Z (s)  C C C C • Impedance Z(s) Z (s)  voltage transform current transform with all initial conditions set to zero • Impedance of the three passive elements
  • 34.
    Time and s-DomainElement Models L L L + vR (t) _ R R R Ri (t)  1 v (t) Resistor: + VR (s) _ R Admittance and Current Source for Initial Conditions Time Domain s-Domain R R RI (s)  1 V (s) Resistor: + v (t)L _ L iL(t) Inductor: 0 t LL L iL (0) i (t)  1 v ( )d _ + vC (t) C ic(t) dt C C dv (t) i (t) C Capacitor: Inductor: Ls L L iL(0) I (s)  1 V (s)  + V (s)L _ Ls s iL(0) IL (s) C CvC (0) I (s)  CsVC (s) s Capacitor: _ + VC (s) 1 Cs CCv (0) I (s)C iR (t) IR (s)
  • 35.
    Admittance and CurrentSource for Initial Conditions R R R I (s) 1 V (s) R Y (s)   L L L L with i (0) 0 V (s) Ls I (s) 1 Y (s)  Cs with v (0) 0 V (s) I (s) Y (s)  C C C C • Admittance Y(s) Y (s)  current transform  1 voltage transform Z (s) with all initial conditions set to zero • Admittance of the three passive elements
  • 36.
    L + VA(t) i(t) L + V (s)L _LLi (0) V (s) R +VA s Example: Solve for Current Waveform i(t). I(s) Ls _ + s R L  VA By KVL: V (s) V (s) 0 Resistor: VR (s) RI(s) Inductor: VL (s)  LsI(s)  LiL (0) L RI(s)  LsI(s)  Li (0) 0 s  VA VA L    VA R  VA R iL (0) s s  R L s  R L iL(0) s(s R L) s  R L I (s) V LL V  iL (0)e u(t A e  R R Rt Rt Inverse Transform: i(t)   A forced response natural response -- R R
  • 37.
    Consider the RLcircuit shown in Fig.(a). Assume that the switch is closed at time t = 0 and assume that the current i at the time of switching is zero. The transform circuit in s domain is shown in Fig.(b). From this, Taking inverse LT Thus, inductor current rises exponentially with time constant L/R. Analysis of RL Circuit using Laplace Transform Method
  • 38.
    Inductor voltage decreasesexponentially with time constant L/R. The current and voltage transients are shown in Fig. Voltage across the inductor is given by Taking inverse LT
  • 39.
    Example: Initially relaxedseries RL circuit with R = 100 Ω and L = 20 H has dc voltage of 200 V applied at time t = 0. Find (a) the equation for current and voltages across different elements (b) the current at time t = 0.5 s and 1.0 s and (c) the time at which the voltages across the resistor and inductor are equal. Solution: Transform circuit for time t > 0 is shown. Therefore, (a) current = i(t) = 2 (1-e-5t) A Voltage=VR = R i(t) = 200 (1-e-5t) V Voltage VL (c) Let t1 be the time at which VR(t) = VL(t). Then This gives t1 = 0.1386 s 200 (1- e-5t1)= 200 e-5t1 i.e., e-5t1 = 0.5 (b) i(0.5) = 2 (1- e-2.5) = 1.8358 A and i(1.0) = 2 (1-e-5) = 1.9865 A
  • 40.
    Use Partial fractionmethod and then Apply inverse Laplace Transform Example: Solution: This is series R-L circuit.
  • 41.
    Voltage across thecapacitor Taking inverse LT, we get the capacitor voltage as The circuit current and the voltage across the capacitor vary as shown in Fig. The transform circuit for time t > 0 is shown in Fig.(b). From this Taking inverse LT Consider the RC circuit shown in Fig. (a). Assume that the switch is closed at time t = 0 and assume that the voltage across the capacitor at the time of switching is zero. Analysis of RC Circuit using Laplace Transform Method
  • 42.
    Example: In theRC circuit shown in fig (a)below, the capacitor has an initial charge q0 = 2500 μC. At time t = 0, the switch is closed. Find the circuit current for time t > 0. Solution: Transform circuit for time t > 0 is shown in Fig. (b) Taking inverse LT, current i(t) = 15 e-2000t A Fig (a) Fig (b) From Fig (b)
  • 43.
    Consider the RLCseries circuit shown in Fig. (a). Assume that there is no initial charge on the capacitor and there is no initial current through the inductor. The switch is closed at time t = 0. Transform circuit for time t > 0 is shown in Fig. (b). Using the transform circuit, expression for the current is obtained as The roots of the denominator polynomial are Where and Analysis of RLC Circuit using Laplace Transform Method
  • 44.
    Depending on whether, , or , the discriminant value will be positive, zero or negative and three different cases of solutions are possible. The value of R, for which the discriminant is zero, is called the critical resistance, RC. Then If the circuit resistance R > RC, then Thus If the circuit resistance R < RC, then
  • 46.
    The plot ofthis current transient is shown in Fig. In this case, the current is said to be critically damped.
  • 47.
    As seen inEquation, α will be a negative number. Thus, for this under damped case, the current is oscillatory and at the same time it decays. For this case, the roots are complex conjugate, s1=α+jβ and s2=α-jβ Taking inverse LT, we get Case (iii): Waveform shown is a exponentially decaying sinusoidal wave.
  • 48.
    Example: For theRLC circuit shown, find the expression for the transient current when the switch is closed at time t = 0. Assume initially relaxed circuit conditions. Solution: The transform circuit is shown in Fig. (b) The roots of the denominator polynomial are
  • 49.
    This is anexample for over-damped. Taking inverse LT, we get current
  • 50.
    Example: Taking theinitial conditions as zero, find the transient current in the circuit shown in Fig. (a) when the switch is closed at time t = 0. Solution The transform circuit is shown in Fig (b). The roots of the denominator polynomial are Fig (b) It can be seen that Fig (a)
  • 51.
    This is anexample for under-damped. Taking inverse LT, we get
  • 52.
    Network Functions Input SignalTransform Network function  Zero-State ResponseTransform I(s) Y(s) V(s) 1 Z(s)  V (s) • Transfer function relates an input and response at different ports in the circuit V (s) VT (s)  Voltage Transfer Function  2 Circuit in the zero-state  V(s) I(s) Circuit in the zero-state V1or I1 V2 or I2 Input Output _ +  V2 TV (s)V1 In  Out I1(s) 1 I (s) TI (s)  Current Transfer Function  2 2 V (s) I (s) YT (s)  Transfer Admittance  I1(s) 1 V2 (s) TZ (s)  Transfer Impedance  _ + 1V 2I TY (s) In Out 1I  V2 TZ (s) In  Out I1 TI (s) In Out I2 Driving-point function relates the voltage and current at a given pair of terminals called a port
  • 53.
    Calculating Network Functions Z1 Z2   V2(s)V1(s)_ + Y1Y2I1(s) 2I (s) 1 1 2 2 Z2 (s)V (s) V V (s) Z (s)  Z (s) T (s)  • Driving-point impedance ZEQ (s)  Z1(s)  Z2 (s) • Voltage transfer function: 2 V (s) Z2 (s)  1 2     1Z (s)  Z (s) V (s)   1 1 2 2 Y2(s)I (s) I I (s) Y (s) Y (s) T (s)  • Driving-point admittance YEQ (s)  Y1(s) Y2 (s) • Current transfer function: Y (s)  Y1(s) Y2 (s) I2 (s)   2  I1(s)
  • 54.
    Circuit Analysis ins-Domain The equivalent impedance Zeq(s) of two impedances Z1(s) and Z2(s) in series is V(s) Z2 Z1 + - Same current flows V(s)  Z1(s)I s Z2 (s)I (s)  Zeq (s)I s The equivalent admittance Yeq(s) of two admittances Y1(s) and Y2(s) in parallel is + s) Y1 Y2 - V( Same voltage I(s)  Y1(s)V(s) Y2(s)V(s)  Yeq(s)V(s) I(s) Basic Rules: I1(s) Yeq(s)  Y1(s) Y2(s) Zeq (s)  Z1(s)  Z2 (s)
  • 55.
    Limitation of LaplaceTransform • Only be used to solve differential equations with known constants. • An equation without the known constants, then this method is useless. Laplace Transform is powerful tool using in differential areas of mathematics, physics, and engineering. But
  • 56.