CONVOLUTION
Dr. Vandana Malode
Department of ECT
MGMU JNEC
5/9/2021 1
source:open source free internet
Content
• Definition of impulse response (LTI System)
• Basic concept of convolution
• Prove Convolution Integral
y(t) = −∞
∞
𝑥(τ)ℎ(𝑡 − τ)dτ
• Properties of convolution
• Example of convolution integral.
5/9/2021 2
Definition of Impulse Response
• Impulse response is the response of a relaxed LTI
system to unit impulse δ(t)
• LTI system is said to be initially relaxed system if Zero input produced zero
output. In case of certain system; if we apply zero input then output is not
zero. Some value of output is obtained. Such system are called as non
relaxed system
5/9/2021 3
Relaxed LTI
System
Input x(t)=δ(t) output y(t)=h(t)
Convolution
* =
δ(t) * g(t)= g(t)
5/9/2021 4
Convolution is a simple mathematical operation which is fundamental to many
common image processing operators. Convolution provides a way of `multiplying
together two arrays of numbers, generally of different sizes, but of the same
dimensionality, to produce a third array of numbers of the same dimensionality
Find Convolution Integral
• Superposition integral
x(t) = −∞
∞
𝑥(τ)δ(𝑡 − τ)dτ
• Convolution integral
y(t) = −∞
∞
𝑥(τ)ℎ(𝑡 − τ)dτ
5/9/2021 5
LTI(Linear time invariant or LSI) system
• Consider an LTI system which is initially relaxed at
t=0. If the input to the system is an impulse, then the
output of the system is denoted by h(t) and is called
the impulse response of the system
• Remark: A CT LTI system is completely described by
its impulse response h(t)
5/9/2021 6
• Consider the CT SISO system:
• If the input signal is and the
system has no energy at , the output
is called the impulse response of
the system
CT Unit-Impulse Response
( )
h t
( )
t

( ) ( )
x t t


( ) ( )
y t h t

( )
y t
( )
x t System
LTI
System
0
t 

5/9/2021 7
• The impulse response is denoted as:
h(t)=T[δ(t)]
We know that any arbitrary signal x(t) can be represented as:
The system output is given by : y(t)=T[x(t)]
• y(t)= T[ ]
 For linear system
• y(t) = −∞
∞
𝑥(τ)𝑇[δ(𝑡 − τ)]dτ------(1)
5/9/2021 8
• If the response of the system due to impulse δ(t) is h(t), then the
response of the system due to delayed impulse is
h(t,τ)=T[δ(t-τ)]
put this value in equation 1
y(t) = −∞
∞
𝑥(τ)ℎ(𝑡, τ)dτ----------(2)
 For a time invariant system, the output due to delayed by τ sec
is equal to the output delayed by τ sec. i.e.
h(t,τ)=h(t-τ)
Time invariant----shifting
Put this value in equation (2)
y(t) = −∞
∞
𝑥(τ)ℎ(𝑡 − τ)dτ
This is called convolution integral or simply convolution.
The convolution of two signals x(t) and h(t) can be represented as
y(t)= x(t) * h(t)
5/9/2021 9
Response of linear system
• In General , the lower limit and upper limit of integration in the
convolution integral depend on whether the signal x(t) and the impulse
response h(t) are causal or not.
1] If a noncausal signal is applied to a noncausal system
y(t) = −∞
∞
𝑥(τ)ℎ(𝑡 − τ)dτ if both x(t) and h(t) are noncausal
2] If a noncausal signal is applied to a causal system
y(t) = −∞
𝑡
𝑥(τ)ℎ(𝑡 − τ)dτ if x(t) is non causal and h(t)is causal
3]If a causal signal is applied to a noncausal system
y(t) = 0
∞
𝑥(τ)ℎ(𝑡 − τ)dτ if x(t) is causal and h(t)is non causal
4]If a causal signal is applied to a causal system
y(t) = 0
𝑡
𝑥(τ)ℎ(𝑡 − τ)dτ if both x(t) is causal and h(t) are causal
5/9/2021 10
signals and systems by A. Ananad Kumar
Properties of convolution Integral
• Let us consider two signals x1(t) and x2(t). The convolution of two
signals x1(t) and x2(t) is given by
x1(t) * x2(t)= −∞
∞
𝑥1(τ)𝑥2(𝑡 − τ)dτ
= −∞
∞
𝑥2(τ)𝑥1(𝑡 − τ)dτ
The properties of convolution are as follows:
Commutative property:
x1(t) * x2(t)= x2(t) * x1(t)
Distributive property:
x1(t) * [x2(t)+x3(t)]= [x1(t) * x2(t)]+[x2(t) * x3(t)]
Associative property:
x1(t) * [x2(t)*x3(t)]= [x1(t) * x2(t)]*x3(t)
5/9/2021 11
signals and systems by A. Ananad Kumar
Continue: Properties of convolution Integral
• Shift Property:
x1(t) * x2(t)=z(t)
x1(t) * x2(t-T)=z(t-T)
x1(t-T) * x2(t)=z(t-T)
x1(t-T1) * x2(t-T2)=z(t-T1-T2)
5/9/2021 12
signals and systems by A. Ananad Kumar
Find the convolution of the following signals
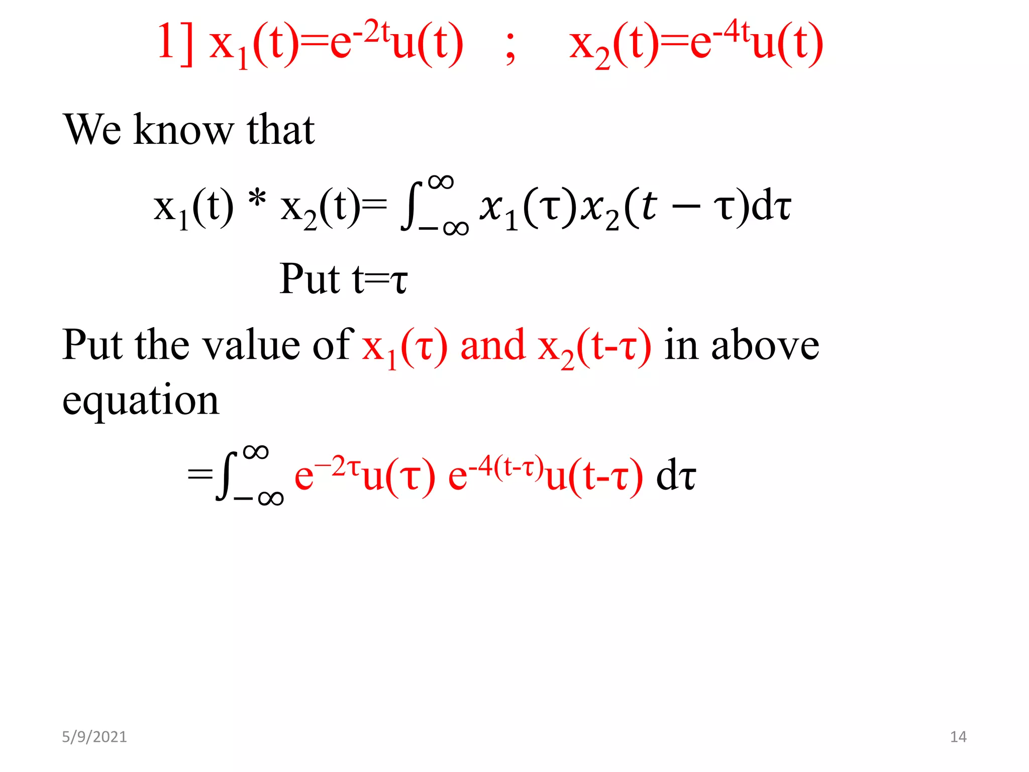
1] x1(t)=e-2tu(t) ; x2(t)=e-4tu(t)
2] x1(t)=tu(t) ; x2(t)=tu(t)
5/9/2021 13
1] x1(t)=e-2tu(t) ; x2(t)=e-4tu(t)
We know that
x1(t) * x2(t)= −∞
∞
𝑥1(τ)𝑥2(𝑡 − τ)dτ
Put t=τ
Put the value of x1(τ) and x2(t-τ) in above
equation
= −∞
∞
e−2τu(τ) e-4(t-τ)u(t-τ) dτ
5/9/2021 14
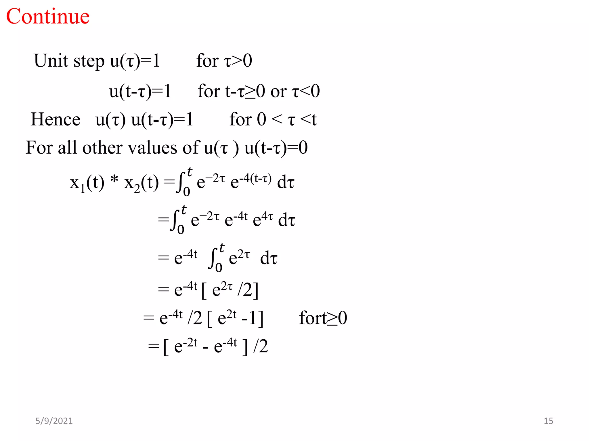
Continue
Unit step u(τ)=1 for τ>0
u(t-τ)=1 for t-τ≥0 or τ<0
Hence u(τ) u(t-τ)=1 for 0 < τ <t
For all other values of u(τ ) u(t-τ)=0
x1(t) * x2(t) = 0
𝑡
e−2τ e-4(t-τ) dτ
= 0
𝑡
e−2τ e-4t e4τ dτ
= e-4t
0
𝑡
e2τ dτ
= e-4t [ e2τ /2]
= e-4t /2 [ e2t -1] fort≥0
= [ e-2t - e-4t ] /2
5/9/2021 15
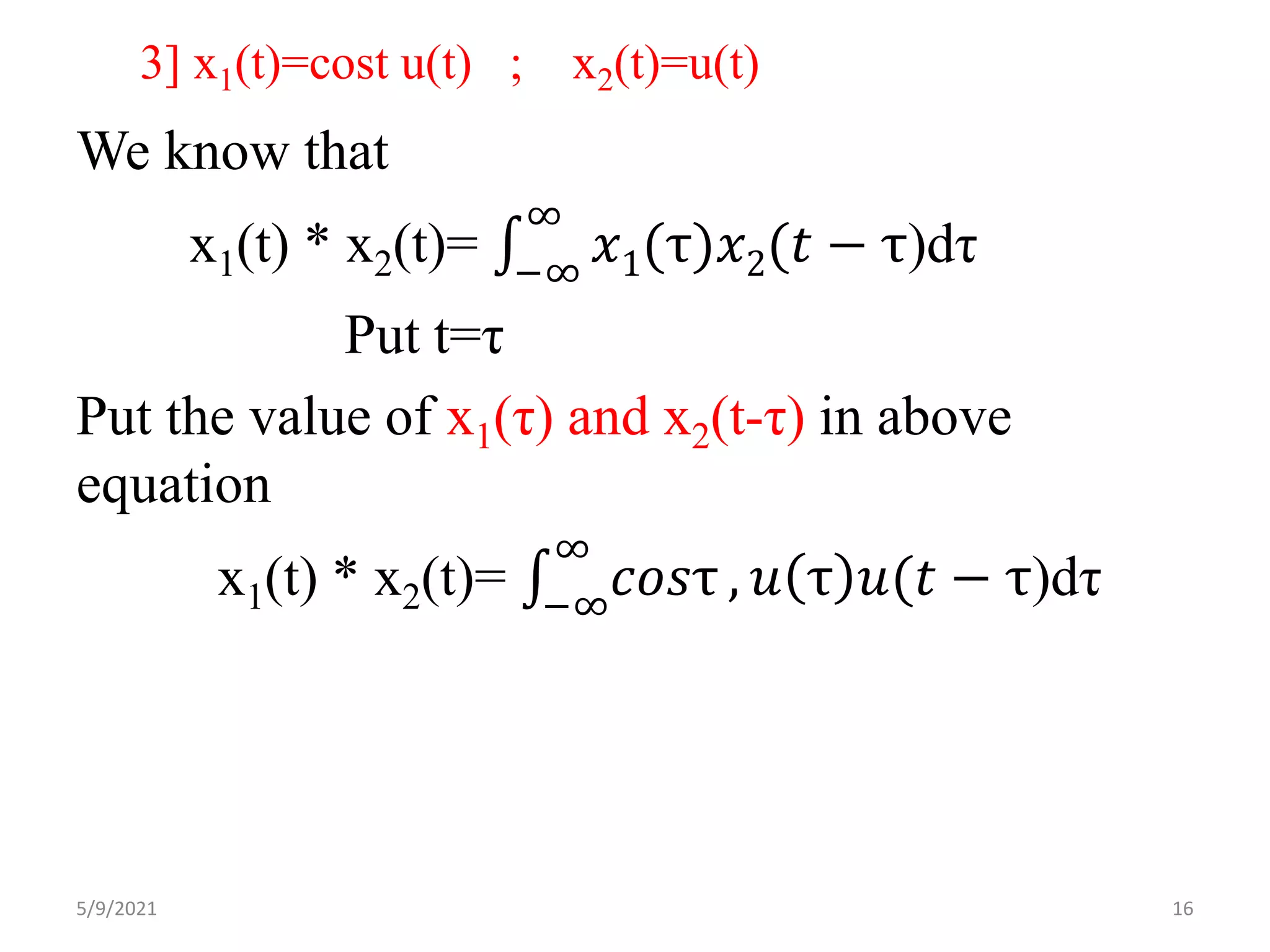
3] x1(t)=cost u(t) ; x2(t)=u(t)
We know that
x1(t) * x2(t)= −∞
∞
𝑥1(τ)𝑥2(𝑡 − τ)dτ
Put t=τ
Put the value of x1(τ) and x2(t-τ) in above
equation
x1(t) * x2(t)= −∞
∞
𝑐𝑜𝑠τ , 𝑢 τ 𝑢(𝑡 − τ)dτ
5/9/2021 16
Continue
• Hence u(τ) u(t-τ)=1 for 0 < τ <t
=0 Otherwise
x1(t) * x2(t)= 0
𝑡
𝑐𝑜𝑠τdτ
= [ sinτ]0
t
= sint-sin0
= sint for t≥0
5/9/2021 17
Find convolution of signal as shown in figure. Plot y(t)
5/9/2021 18
Solution: Put t=τ and x(τ)and h(-τ)
• According to definition of convolution
y(t) = −∞
∞
𝑥(τ)ℎ(𝑡 − τ)dτ
Case1: When t<0
There is no overlapping. Therefore y(t)=0
5/9/2021 19
• Case2: When t>0
• This condition shown in figure
• Y(t)= 0
𝑡
e−τ e-3(-τ+t) dτ = e-3t/2 [ e-2t -1 ]
5/9/2021 20
5/9/2021 21

Convolution

  • 1.
    CONVOLUTION Dr. Vandana Malode Departmentof ECT MGMU JNEC 5/9/2021 1 source:open source free internet
  • 2.
    Content • Definition ofimpulse response (LTI System) • Basic concept of convolution • Prove Convolution Integral y(t) = −∞ ∞ 𝑥(τ)ℎ(𝑡 − τ)dτ • Properties of convolution • Example of convolution integral. 5/9/2021 2
  • 3.
    Definition of ImpulseResponse • Impulse response is the response of a relaxed LTI system to unit impulse δ(t) • LTI system is said to be initially relaxed system if Zero input produced zero output. In case of certain system; if we apply zero input then output is not zero. Some value of output is obtained. Such system are called as non relaxed system 5/9/2021 3 Relaxed LTI System Input x(t)=δ(t) output y(t)=h(t)
  • 4.
    Convolution * = δ(t) *g(t)= g(t) 5/9/2021 4 Convolution is a simple mathematical operation which is fundamental to many common image processing operators. Convolution provides a way of `multiplying together two arrays of numbers, generally of different sizes, but of the same dimensionality, to produce a third array of numbers of the same dimensionality
  • 5.
    Find Convolution Integral •Superposition integral x(t) = −∞ ∞ 𝑥(τ)δ(𝑡 − τ)dτ • Convolution integral y(t) = −∞ ∞ 𝑥(τ)ℎ(𝑡 − τ)dτ 5/9/2021 5
  • 6.
    LTI(Linear time invariantor LSI) system • Consider an LTI system which is initially relaxed at t=0. If the input to the system is an impulse, then the output of the system is denoted by h(t) and is called the impulse response of the system • Remark: A CT LTI system is completely described by its impulse response h(t) 5/9/2021 6
  • 7.
    • Consider theCT SISO system: • If the input signal is and the system has no energy at , the output is called the impulse response of the system CT Unit-Impulse Response ( ) h t ( ) t  ( ) ( ) x t t   ( ) ( ) y t h t  ( ) y t ( ) x t System LTI System 0 t   5/9/2021 7
  • 8.
    • The impulseresponse is denoted as: h(t)=T[δ(t)] We know that any arbitrary signal x(t) can be represented as: The system output is given by : y(t)=T[x(t)] • y(t)= T[ ]  For linear system • y(t) = −∞ ∞ 𝑥(τ)𝑇[δ(𝑡 − τ)]dτ------(1) 5/9/2021 8
  • 9.
    • If theresponse of the system due to impulse δ(t) is h(t), then the response of the system due to delayed impulse is h(t,τ)=T[δ(t-τ)] put this value in equation 1 y(t) = −∞ ∞ 𝑥(τ)ℎ(𝑡, τ)dτ----------(2)  For a time invariant system, the output due to delayed by τ sec is equal to the output delayed by τ sec. i.e. h(t,τ)=h(t-τ) Time invariant----shifting Put this value in equation (2) y(t) = −∞ ∞ 𝑥(τ)ℎ(𝑡 − τ)dτ This is called convolution integral or simply convolution. The convolution of two signals x(t) and h(t) can be represented as y(t)= x(t) * h(t) 5/9/2021 9
  • 10.
    Response of linearsystem • In General , the lower limit and upper limit of integration in the convolution integral depend on whether the signal x(t) and the impulse response h(t) are causal or not. 1] If a noncausal signal is applied to a noncausal system y(t) = −∞ ∞ 𝑥(τ)ℎ(𝑡 − τ)dτ if both x(t) and h(t) are noncausal 2] If a noncausal signal is applied to a causal system y(t) = −∞ 𝑡 𝑥(τ)ℎ(𝑡 − τ)dτ if x(t) is non causal and h(t)is causal 3]If a causal signal is applied to a noncausal system y(t) = 0 ∞ 𝑥(τ)ℎ(𝑡 − τ)dτ if x(t) is causal and h(t)is non causal 4]If a causal signal is applied to a causal system y(t) = 0 𝑡 𝑥(τ)ℎ(𝑡 − τ)dτ if both x(t) is causal and h(t) are causal 5/9/2021 10 signals and systems by A. Ananad Kumar
  • 11.
    Properties of convolutionIntegral • Let us consider two signals x1(t) and x2(t). The convolution of two signals x1(t) and x2(t) is given by x1(t) * x2(t)= −∞ ∞ 𝑥1(τ)𝑥2(𝑡 − τ)dτ = −∞ ∞ 𝑥2(τ)𝑥1(𝑡 − τ)dτ The properties of convolution are as follows: Commutative property: x1(t) * x2(t)= x2(t) * x1(t) Distributive property: x1(t) * [x2(t)+x3(t)]= [x1(t) * x2(t)]+[x2(t) * x3(t)] Associative property: x1(t) * [x2(t)*x3(t)]= [x1(t) * x2(t)]*x3(t) 5/9/2021 11 signals and systems by A. Ananad Kumar
  • 12.
    Continue: Properties ofconvolution Integral • Shift Property: x1(t) * x2(t)=z(t) x1(t) * x2(t-T)=z(t-T) x1(t-T) * x2(t)=z(t-T) x1(t-T1) * x2(t-T2)=z(t-T1-T2) 5/9/2021 12 signals and systems by A. Ananad Kumar
  • 13.
    Find the convolutionof the following signals 1] x1(t)=e-2tu(t) ; x2(t)=e-4tu(t) 2] x1(t)=tu(t) ; x2(t)=tu(t) 5/9/2021 13
  • 14.
    1] x1(t)=e-2tu(t) ;x2(t)=e-4tu(t) We know that x1(t) * x2(t)= −∞ ∞ 𝑥1(τ)𝑥2(𝑡 − τ)dτ Put t=τ Put the value of x1(τ) and x2(t-τ) in above equation = −∞ ∞ e−2τu(τ) e-4(t-τ)u(t-τ) dτ 5/9/2021 14
  • 15.
    Continue Unit step u(τ)=1for τ>0 u(t-τ)=1 for t-τ≥0 or τ<0 Hence u(τ) u(t-τ)=1 for 0 < τ <t For all other values of u(τ ) u(t-τ)=0 x1(t) * x2(t) = 0 𝑡 e−2τ e-4(t-τ) dτ = 0 𝑡 e−2τ e-4t e4τ dτ = e-4t 0 𝑡 e2τ dτ = e-4t [ e2τ /2] = e-4t /2 [ e2t -1] fort≥0 = [ e-2t - e-4t ] /2 5/9/2021 15
  • 16.
    3] x1(t)=cost u(t); x2(t)=u(t) We know that x1(t) * x2(t)= −∞ ∞ 𝑥1(τ)𝑥2(𝑡 − τ)dτ Put t=τ Put the value of x1(τ) and x2(t-τ) in above equation x1(t) * x2(t)= −∞ ∞ 𝑐𝑜𝑠τ , 𝑢 τ 𝑢(𝑡 − τ)dτ 5/9/2021 16
  • 17.
    Continue • Hence u(τ)u(t-τ)=1 for 0 < τ <t =0 Otherwise x1(t) * x2(t)= 0 𝑡 𝑐𝑜𝑠τdτ = [ sinτ]0 t = sint-sin0 = sint for t≥0 5/9/2021 17
  • 18.
    Find convolution ofsignal as shown in figure. Plot y(t) 5/9/2021 18
  • 19.
    Solution: Put t=τand x(τ)and h(-τ) • According to definition of convolution y(t) = −∞ ∞ 𝑥(τ)ℎ(𝑡 − τ)dτ Case1: When t<0 There is no overlapping. Therefore y(t)=0 5/9/2021 19
  • 20.
    • Case2: Whent>0 • This condition shown in figure • Y(t)= 0 𝑡 e−τ e-3(-τ+t) dτ = e-3t/2 [ e-2t -1 ] 5/9/2021 20
  • 21.