BY
Dr. Gurumeet.C.Wadhawa
DEPARTMENT OF CHEMISTRY
K. B. P. College,Vashi,Navimumbai
Lossen Rearrangement
Lossen rearrangement
Wilhelm Clemens Lossen (8 May 1838 in Kreuznach – 29 October 1906 in Aachen)
was a German chemist.
He was the brother of geologist Karl August Lossen.From 1857 he studied chemistry at
the University of Giessen, then continued his education at Göttingen as a pupil
of Friedrich Wöhler. After graduation, he worked as an assistant to Karl Weltzien at
the polytechnic in Karlsruhe and as an assistant under Wilhelm Heinrich Heintz at
the University of Halle.
In 1870 he became an associate professor at Heidelberg, then in 1877 accepted a position
as professor of chemistry at the University of Königsberg.
He is largely known for his work with hydroxylamines; their preparations, properties and
derivatives. The eponymous Lossen rearrangement, refers to the decomposition
of hydroxamic acids or their derivatives to yield isocyanates.
While a student at Göttingen, he conducted research of cocaine with Albert Niemann.
After the untimely death of Niemann in 1861, he continued research of the drug and was
able to determine its proper chemical formula.
The two scientists also performed studies on the effect of cocaine on mucous
membranes.
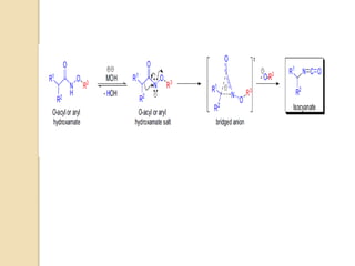
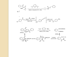
The Lossen rearrangement is the conversion of a hydroxamate ester to
an isocyanate. Typically O-acyl, sulfonyl, or phosphoryl O-derivative are
employed.The isocyanate can be used further to generate ureas in the presence of
amines or generate amines in the presence of H2O.
Reaction mechanism
The mechanism below begins with an O-acylated hydroxamic acid derivative that is treated with
base to form an isocyanate that generates an amine and CO2 gas in the presence of H2O. The
hydroxamic acid derivative is first converted to its conjugate base by abstraction of a hydrogen
by a base. Spontaneous rearrangement releases a carboxylate anion to produce the isocyanate
intermediate. The isocyanate is then hydrolyzed in the presence of H2O. Finally, the respective
amine and CO2 are generated by abstraction of a proton with a base and decarboxylation.
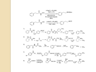
1) hydroxamic acids can be readily prepared in several different ways:
a)from the corresponding carboxylic acids by first conversion to acid chlorides or mixed anhydrides then reaction
with hydroxylamine;
b) from esters with hydroxylamine;
c) from aliphatic and aromatic carboxamides with hydroxylammonium chloride;
2) the free hydroxamic acids do not undergo the Lossen rearrangement under any condition, so the activation of
the oxygen atom is necessary for the rearrangement to take place;
3) the acylation of the hydroxyl group of hydroxamic acids can be carried out with the following types of
reagents: anhydrides,4,5 acyl halides, SOCl2, SO3·Et3N,11 dialkylcarbodiimides,10 activated aromatic
halides14 (e.g., 2,4-dinitrochlorobenzene),
under Mitsunobu reaction conditions (PPh3, DEAD, ROH) and silylation;
4) the rearrangement is usually initiated by heating the O-activated hydroxamic acids with bases (e.g., NaOH,
DBU) in the presence of water or other nucleophiles (e.g., amines, alcohols);
5) the more active O-sulfonyl and O-phosphoryl derivatives, however, tend to rearrange spontaneously;
6) the initial product of the rearrangement is an isocyanate that after reacting with water gives an unstable
carbamic acid, which breaks down to give a primary amine and carbon dioxide;
7) when an amine is present as the nucleophile, the product of the reaction is a substituted urea;
8) when there is a neighboring
nucleophilic functional group (e.g., NH2, OH, COOH) within the molecule, it will react with the isocyanate; and
9) thestereocenter adjacent to the hydroxamic acid functional group remains intact during the rearrangement
(optical activity is unchanged). The Lossen rearrangement is closely related to the Hofmann and Curtius
rearrangements, but its main advantage over the other methods is the mild reaction conditions, since it does not
require the use of concentrated strong bases or intense heat.
The general features of the reaction are:
References
1. Lossen, W. Ann. 1872, 161, 347. Wilhelm C. Lossen (1831-1906) was born in
Kreuznach, Germany. After his Ph.D. studies at Göttingen in 1862, he embarked on
his independent academic career, and his interests centered on hydroxyamines.
2. Bauer, L.; Exner, O. Angew. Chem. Int. Ed. 1974, 13, 376.
3. Lipczynska-Kochany, E. Wiad. Chem. 1982, 36, 734-756.
4. Casteel, D. A.; Gephart, R. S.; Morgan, T. Heterocycles 1993, 36, 486-495.
5. Zalipsky, S. Chem. Commun. 1998, 69-70.
6. Stafford, J. A.; Gonzales, S. S.; Barrett, D. G.; Suh, E. M.; Feldman, P. L. J. Org.
Chem. 1998, 63, 10040–10044.
7. Anilkumar, R.; Chandrasekhar, S.; Sridhar, M. Tetrahedron Lett. 2000, 41,
529-5293.
8. Abbady, M. S.; Kandeel, M. M.; Youssef, M. S. K. Phosphorous, Sulfur and Silicon
2000, 163, 55–64.
9. Ohmoto, K.; Yamamoto, T.; Horiuchi, T.; Kojima, T.; Hachiya, K.; Hashimoto, S.;
Kawamura, M.; Nakai, H.; Toda, M. Synlett 2001, 299-301.
10. Choi, C.; Pfefferkorn, J. A. Lossen rearrangement. In Name Reactions for Homologations-
Part II; Li, J. J., Ed.; Wiley: Hoboken, NJ, 2009, pp 200-209. (Review).
11. Yoganathan, S.; Miller, S. J. Org. Lett. 2013, 15, 602-605.

Lossen

  • 1.
    BY Dr. Gurumeet.C.Wadhawa DEPARTMENT OFCHEMISTRY K. B. P. College,Vashi,Navimumbai Lossen Rearrangement
  • 2.
    Lossen rearrangement Wilhelm ClemensLossen (8 May 1838 in Kreuznach – 29 October 1906 in Aachen) was a German chemist. He was the brother of geologist Karl August Lossen.From 1857 he studied chemistry at the University of Giessen, then continued his education at Göttingen as a pupil of Friedrich Wöhler. After graduation, he worked as an assistant to Karl Weltzien at the polytechnic in Karlsruhe and as an assistant under Wilhelm Heinrich Heintz at the University of Halle. In 1870 he became an associate professor at Heidelberg, then in 1877 accepted a position as professor of chemistry at the University of Königsberg. He is largely known for his work with hydroxylamines; their preparations, properties and derivatives. The eponymous Lossen rearrangement, refers to the decomposition of hydroxamic acids or their derivatives to yield isocyanates. While a student at Göttingen, he conducted research of cocaine with Albert Niemann. After the untimely death of Niemann in 1861, he continued research of the drug and was able to determine its proper chemical formula. The two scientists also performed studies on the effect of cocaine on mucous membranes.
  • 3.
    The Lossen rearrangementis the conversion of a hydroxamate ester to an isocyanate. Typically O-acyl, sulfonyl, or phosphoryl O-derivative are employed.The isocyanate can be used further to generate ureas in the presence of amines or generate amines in the presence of H2O. Reaction mechanism The mechanism below begins with an O-acylated hydroxamic acid derivative that is treated with base to form an isocyanate that generates an amine and CO2 gas in the presence of H2O. The hydroxamic acid derivative is first converted to its conjugate base by abstraction of a hydrogen by a base. Spontaneous rearrangement releases a carboxylate anion to produce the isocyanate intermediate. The isocyanate is then hydrolyzed in the presence of H2O. Finally, the respective amine and CO2 are generated by abstraction of a proton with a base and decarboxylation.
  • 6.
    1) hydroxamic acidscan be readily prepared in several different ways: a)from the corresponding carboxylic acids by first conversion to acid chlorides or mixed anhydrides then reaction with hydroxylamine; b) from esters with hydroxylamine; c) from aliphatic and aromatic carboxamides with hydroxylammonium chloride; 2) the free hydroxamic acids do not undergo the Lossen rearrangement under any condition, so the activation of the oxygen atom is necessary for the rearrangement to take place; 3) the acylation of the hydroxyl group of hydroxamic acids can be carried out with the following types of reagents: anhydrides,4,5 acyl halides, SOCl2, SO3·Et3N,11 dialkylcarbodiimides,10 activated aromatic halides14 (e.g., 2,4-dinitrochlorobenzene), under Mitsunobu reaction conditions (PPh3, DEAD, ROH) and silylation; 4) the rearrangement is usually initiated by heating the O-activated hydroxamic acids with bases (e.g., NaOH, DBU) in the presence of water or other nucleophiles (e.g., amines, alcohols); 5) the more active O-sulfonyl and O-phosphoryl derivatives, however, tend to rearrange spontaneously; 6) the initial product of the rearrangement is an isocyanate that after reacting with water gives an unstable carbamic acid, which breaks down to give a primary amine and carbon dioxide; 7) when an amine is present as the nucleophile, the product of the reaction is a substituted urea; 8) when there is a neighboring nucleophilic functional group (e.g., NH2, OH, COOH) within the molecule, it will react with the isocyanate; and 9) thestereocenter adjacent to the hydroxamic acid functional group remains intact during the rearrangement (optical activity is unchanged). The Lossen rearrangement is closely related to the Hofmann and Curtius rearrangements, but its main advantage over the other methods is the mild reaction conditions, since it does not require the use of concentrated strong bases or intense heat. The general features of the reaction are:
  • 16.
    References 1. Lossen, W.Ann. 1872, 161, 347. Wilhelm C. Lossen (1831-1906) was born in Kreuznach, Germany. After his Ph.D. studies at Göttingen in 1862, he embarked on his independent academic career, and his interests centered on hydroxyamines. 2. Bauer, L.; Exner, O. Angew. Chem. Int. Ed. 1974, 13, 376. 3. Lipczynska-Kochany, E. Wiad. Chem. 1982, 36, 734-756. 4. Casteel, D. A.; Gephart, R. S.; Morgan, T. Heterocycles 1993, 36, 486-495. 5. Zalipsky, S. Chem. Commun. 1998, 69-70. 6. Stafford, J. A.; Gonzales, S. S.; Barrett, D. G.; Suh, E. M.; Feldman, P. L. J. Org. Chem. 1998, 63, 10040–10044. 7. Anilkumar, R.; Chandrasekhar, S.; Sridhar, M. Tetrahedron Lett. 2000, 41, 529-5293. 8. Abbady, M. S.; Kandeel, M. M.; Youssef, M. S. K. Phosphorous, Sulfur and Silicon 2000, 163, 55–64. 9. Ohmoto, K.; Yamamoto, T.; Horiuchi, T.; Kojima, T.; Hachiya, K.; Hashimoto, S.; Kawamura, M.; Nakai, H.; Toda, M. Synlett 2001, 299-301. 10. Choi, C.; Pfefferkorn, J. A. Lossen rearrangement. In Name Reactions for Homologations- Part II; Li, J. J., Ed.; Wiley: Hoboken, NJ, 2009, pp 200-209. (Review). 11. Yoganathan, S.; Miller, S. J. Org. Lett. 2013, 15, 602-605.