BY
Dr. Gurumeet.C.Wadhawa
DEPARTMENT OF CHEMISTRY
K. B. P. College,Vashi,Navimumbai
Tiffeneau–Demjanov
rearrangement
Marc Émile Pierre Adolphe Tiffeneau (November 5, 1873 – May 20, 1945)
was a French chemist who co-discovered the Tiffeneau-Demjanov
rearrangement. In 1899 he graduated from the École de pharmacie de Paris, and
afterwards began work as a pharmacy intern in Paris hospitals. In 1904 he was
named chief pharmacist at the Hôpital Boucicaut, and from 1927, worked in a
similar capacity at the Hôtel-Dieu de Paris. From 1926 to 1944 he was a
professor of pharmacology to the faculty of medicine at the Sorbonne
Nikolay Yakovlevich Demyanov (Russian: Никола́й Я́ковлевич
Демья́нов; March 27 [O.S. March 15] 1861, Tver – March 19,
1938, Moscow), also known as Demjanov and Demjanow, was a
Russian organic chemist and a member of the USSR Academy of
Sciences (1929). He is internationally known for the Demjanov
rearrangement organic reaction and other discoveries.
Tiffeneau–Demjanov rearrangement
The Tiffeneau–Demjanov rearrangement (TDR) is the chemical
reaction of a 1-aminomethyl-cycloalkanol with nitrous acid to form
an enlarged cycloketone.
The Tiffeneau–Demjanov ring expansion, Tiffeneau–Demjanov
rearrangement, or TDR, provides an easy way to increase amino-
substituted cycloalkanes and cycloalkanols in size by one carbon.
Ring sizes from cyclopropane through cyclooctane are able to
undergo Tiffeneau–Demjanov ring expansion with some degree of
success.
Yields decrease as initial ring size increases, and the ideal use of
TDR is for synthesis of five, six, and seven membered rings.
A principal synthetic application of Tiffeneau–Demjanov ring
expansion is to bicyclic or polycyclic systems.
Carbocation 1,2-rearrangement of beta-aminoalcohols on treatment
with
nitrous acid via diazotization to afford carbonyl compound through C-
C
bond migration.
A specific variant of this reaction which leads to one
carbon ring expansion is known as the Tiffeneau-Demjannov
rearrangement and it is very useful for homologation of cyclic ketones
by
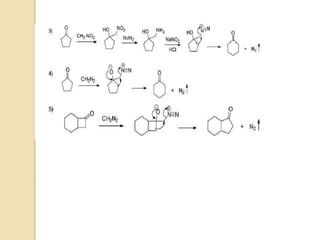
the use of nitromethane or diazomethane. This reaction is applicable
to
those cyclic ketones which contain three to seven carbons in the ring
of
the substrate.
Homologation of cyclic ketone with
diazomethane
Mechanism:
The mechanism of both the Demjanov and Tiffeneau-Demjanov
rearrangements is essentially the same. The first
step is the formation of the nitrosonium ion or its precursor (N2O3) from
nitrous acid. This electrophile is attacked by
the primary amino group and in a series of proton transfers the diazonium ion
is formed. This diazonium ion is very
labile due to the lack of stabilization and it readily undergoes a [1,2]-alkyl shift
accompanied by the loss of nitrogen.
The rearrangement is competitive with the substitution of the diazonium
leaving group by the solvent (e.g., water) or
with the formation of carbocations that may undergo other rearrangements
(e.g., hydride shift). The ring expansion is
favored in the Demjanov rearrangement, since the entropy of activation for
hydride shift is higher.
The ring enlargement of aminomethylcycloalkanes upon treatment with nitrous acid
(HNO2) to the corresponding homologous cycloalkanols is called the Demjanov
rearrangement.
This name is also given to the rearrangement of acyclic primary amines with nitrous
acid. The first rearrangement of this type was observed and reported in the early
1900s.1 Synthetically, the Demjanov rearrangement is best applied for the
preparation of five-, six-, and seven membered rings, but it is not well-suited for the
preparation of smaller or larger rings due to low yields. In 1937.
Tiffeneau observed that the treatment of 1-aminomethyl cycloalkanols (β-
aminoalcohols) with nitrous acid led to the formation of the ring-enlarged homolog
ketones.
This transformation can be regarded as a variant of the pinacol rearrangement
(semipinacol rearrangement) and is known as the Tiffeneau-Demjanov
rearrangement. This
transformation can be carried out on four- to eight-membered rings, and the yields
of the ring-enlarged products are always better than for the Demjanov
rearrangement. However, the yields tend to decrease with increasing ring size.8,9,6
If the aminomethyl carbon atom is substituted, the Demjanov rearrangement is
significantly retarded and mostly unrearranged alcohols are formed, but the
Tiffeneau-Demjanov rearrangement readily occurs. Substrates with substitution on
the ring carbon atom to which the aminomethyl group is attached undergo facile
Demjanov rearrangement.
2) Demjanov Rearrangement
When 1,2-migration is initiated through formation of carbocation by
diazotisation of a primary amine is termed as Demjanov
rearrangement.
Ambiguity in determining the initial site of carbocation formation
presented a problem in the analysis of many pinacol rearrangements.
This uncertainty can be removed by nitrous acid deamination of the
corresponding 1º-aminoalcohols, as shown in the following equation.
Since this reaction is normally carried out under very mild conditions, the
possibility that subsequent transformations may obscure the initial
rearrangement is reduced considerably.
Problems This rearrangement also leads to a substituted, but not expanded,
byproduct. Thus it can be difficult to isolate the two products and acquire the
desired yield. Also, stereoisomers are produced depending on the direction of
addition of the water molecule and other molecules may be produced
depending on rearrangements. Future uses Current research is exploring the
possibilities of various directing groups to influence the selectivity of products in
the Demjanov rearrangement, such as tin or silicon.
This may lead to increased success with the Demjanov, as it would allow more
control in the reaction and increase the desired product yield. The
rearrangement is incredibly useful, but using it can sometimes prove ineffective
by the difficulty of creating the preferred product. Thus if directing groups are
possible, this would greatly improve the applicability of the Demjanov.
Variations Tiffeneau-Demjanov rearrangement
The Tiffeneau-Demjanov rearrangement (after Marc Tiffeneau and Nikolai
Demjanov) is a variation of the Demjanov rearrangement, which involves both a
ring expansion and the production of a ketone by using sodium nitrite and
hydrogen cation. Using the TiffeneauDemjanov reaction is often advantageous
as, while there are rearrangements possible in the products, the reactant
always undergoes ring enlargement. As in the Demjanov rearrangement,
products illustrate regioselectivity in the reaction. Migratory aptitudes of
functional groups dictate rearrangement products.
(1) (a) Butler, A.; Carter-Franklin, J. N. Nat. Prod. Rep. 2004, 21, 180. (b)
Murphy, C. D. J. Appl. Microbiol. 2003, 94, 539.
(2) (2) Gribble, G. W. J. Chem. Educ. 2004, 81, 1441.
(3) (3) (a) De Kimpe, N.; Verhe, R. The Chemistry of Ǵ-Haloketones,
ǴHaloaldehydes and Ǵ-Haloimines; John Wiley & Sons: New York,
1988. (b) Ramachandran, P. V. Asymmetric Fluoroorganic Chemistry:
Synthesis, Applications, and Future Directions; ACS Symposium
Series 746, American Chemical Society: Washington DC, 2000. (c)
Czekelius, C.; Tzschucke, C. C. Synthesis 2010, 543.
(4) (4) Bonge, H. T.; Hansen, T. Pure Appl. Chem. 2011, 83, 565.
(5) (5) (a) Bonge, T. H.; Pintea, B.; Hansen, T. Org. Biomol. Chem. 2008,
6, 3670. (b) Bonge, H. T.; Hansen, T. Synthesis 2009, 91. (c) Bonge,
H. T.; Hansen, T. J. Org. Chem. 2010, 75, 2309. (d) Bolsønes, M.;
Bonge-Hansen, H. T.; Bonge-Hansen, T. Synlett 2014, 25, 221.
(6) (6) (a) Schnaars, C.; Hennum, M.; Bonge-Hansen, T. J. Org. Chem.
2013, 78, 7488. (b) Mortén, M.; Hennum, M.; Bonge-Hansen, T.
Beilstein J. Org. Chem. 2015, 11, 1944.

Demjanov rearrangement

  • 1.
    BY Dr. Gurumeet.C.Wadhawa DEPARTMENT OFCHEMISTRY K. B. P. College,Vashi,Navimumbai Tiffeneau–Demjanov rearrangement
  • 2.
    Marc Émile PierreAdolphe Tiffeneau (November 5, 1873 – May 20, 1945) was a French chemist who co-discovered the Tiffeneau-Demjanov rearrangement. In 1899 he graduated from the École de pharmacie de Paris, and afterwards began work as a pharmacy intern in Paris hospitals. In 1904 he was named chief pharmacist at the Hôpital Boucicaut, and from 1927, worked in a similar capacity at the Hôtel-Dieu de Paris. From 1926 to 1944 he was a professor of pharmacology to the faculty of medicine at the Sorbonne Nikolay Yakovlevich Demyanov (Russian: Никола́й Я́ковлевич Демья́нов; March 27 [O.S. March 15] 1861, Tver – March 19, 1938, Moscow), also known as Demjanov and Demjanow, was a Russian organic chemist and a member of the USSR Academy of Sciences (1929). He is internationally known for the Demjanov rearrangement organic reaction and other discoveries. Tiffeneau–Demjanov rearrangement
  • 3.
    The Tiffeneau–Demjanov rearrangement(TDR) is the chemical reaction of a 1-aminomethyl-cycloalkanol with nitrous acid to form an enlarged cycloketone. The Tiffeneau–Demjanov ring expansion, Tiffeneau–Demjanov rearrangement, or TDR, provides an easy way to increase amino- substituted cycloalkanes and cycloalkanols in size by one carbon. Ring sizes from cyclopropane through cyclooctane are able to undergo Tiffeneau–Demjanov ring expansion with some degree of success. Yields decrease as initial ring size increases, and the ideal use of TDR is for synthesis of five, six, and seven membered rings. A principal synthetic application of Tiffeneau–Demjanov ring expansion is to bicyclic or polycyclic systems.
  • 4.
    Carbocation 1,2-rearrangement ofbeta-aminoalcohols on treatment with nitrous acid via diazotization to afford carbonyl compound through C- C bond migration. A specific variant of this reaction which leads to one carbon ring expansion is known as the Tiffeneau-Demjannov rearrangement and it is very useful for homologation of cyclic ketones by the use of nitromethane or diazomethane. This reaction is applicable to those cyclic ketones which contain three to seven carbons in the ring of the substrate.
  • 5.
    Homologation of cyclicketone with diazomethane
  • 6.
    Mechanism: The mechanism ofboth the Demjanov and Tiffeneau-Demjanov rearrangements is essentially the same. The first step is the formation of the nitrosonium ion or its precursor (N2O3) from nitrous acid. This electrophile is attacked by the primary amino group and in a series of proton transfers the diazonium ion is formed. This diazonium ion is very labile due to the lack of stabilization and it readily undergoes a [1,2]-alkyl shift accompanied by the loss of nitrogen. The rearrangement is competitive with the substitution of the diazonium leaving group by the solvent (e.g., water) or with the formation of carbocations that may undergo other rearrangements (e.g., hydride shift). The ring expansion is favored in the Demjanov rearrangement, since the entropy of activation for hydride shift is higher.
  • 7.
    The ring enlargementof aminomethylcycloalkanes upon treatment with nitrous acid (HNO2) to the corresponding homologous cycloalkanols is called the Demjanov rearrangement. This name is also given to the rearrangement of acyclic primary amines with nitrous acid. The first rearrangement of this type was observed and reported in the early 1900s.1 Synthetically, the Demjanov rearrangement is best applied for the preparation of five-, six-, and seven membered rings, but it is not well-suited for the preparation of smaller or larger rings due to low yields. In 1937. Tiffeneau observed that the treatment of 1-aminomethyl cycloalkanols (β- aminoalcohols) with nitrous acid led to the formation of the ring-enlarged homolog ketones. This transformation can be regarded as a variant of the pinacol rearrangement (semipinacol rearrangement) and is known as the Tiffeneau-Demjanov rearrangement. This transformation can be carried out on four- to eight-membered rings, and the yields of the ring-enlarged products are always better than for the Demjanov rearrangement. However, the yields tend to decrease with increasing ring size.8,9,6 If the aminomethyl carbon atom is substituted, the Demjanov rearrangement is significantly retarded and mostly unrearranged alcohols are formed, but the Tiffeneau-Demjanov rearrangement readily occurs. Substrates with substitution on the ring carbon atom to which the aminomethyl group is attached undergo facile Demjanov rearrangement.
  • 9.
    2) Demjanov Rearrangement When1,2-migration is initiated through formation of carbocation by diazotisation of a primary amine is termed as Demjanov rearrangement.
  • 11.
    Ambiguity in determiningthe initial site of carbocation formation presented a problem in the analysis of many pinacol rearrangements. This uncertainty can be removed by nitrous acid deamination of the corresponding 1º-aminoalcohols, as shown in the following equation. Since this reaction is normally carried out under very mild conditions, the possibility that subsequent transformations may obscure the initial rearrangement is reduced considerably.
  • 15.
    Problems This rearrangementalso leads to a substituted, but not expanded, byproduct. Thus it can be difficult to isolate the two products and acquire the desired yield. Also, stereoisomers are produced depending on the direction of addition of the water molecule and other molecules may be produced depending on rearrangements. Future uses Current research is exploring the possibilities of various directing groups to influence the selectivity of products in the Demjanov rearrangement, such as tin or silicon. This may lead to increased success with the Demjanov, as it would allow more control in the reaction and increase the desired product yield. The rearrangement is incredibly useful, but using it can sometimes prove ineffective by the difficulty of creating the preferred product. Thus if directing groups are possible, this would greatly improve the applicability of the Demjanov. Variations Tiffeneau-Demjanov rearrangement The Tiffeneau-Demjanov rearrangement (after Marc Tiffeneau and Nikolai Demjanov) is a variation of the Demjanov rearrangement, which involves both a ring expansion and the production of a ketone by using sodium nitrite and hydrogen cation. Using the TiffeneauDemjanov reaction is often advantageous as, while there are rearrangements possible in the products, the reactant always undergoes ring enlargement. As in the Demjanov rearrangement, products illustrate regioselectivity in the reaction. Migratory aptitudes of functional groups dictate rearrangement products.
  • 16.
    (1) (a) Butler,A.; Carter-Franklin, J. N. Nat. Prod. Rep. 2004, 21, 180. (b) Murphy, C. D. J. Appl. Microbiol. 2003, 94, 539. (2) (2) Gribble, G. W. J. Chem. Educ. 2004, 81, 1441. (3) (3) (a) De Kimpe, N.; Verhe, R. The Chemistry of Ǵ-Haloketones, ǴHaloaldehydes and Ǵ-Haloimines; John Wiley & Sons: New York, 1988. (b) Ramachandran, P. V. Asymmetric Fluoroorganic Chemistry: Synthesis, Applications, and Future Directions; ACS Symposium Series 746, American Chemical Society: Washington DC, 2000. (c) Czekelius, C.; Tzschucke, C. C. Synthesis 2010, 543. (4) (4) Bonge, H. T.; Hansen, T. Pure Appl. Chem. 2011, 83, 565. (5) (5) (a) Bonge, T. H.; Pintea, B.; Hansen, T. Org. Biomol. Chem. 2008, 6, 3670. (b) Bonge, H. T.; Hansen, T. Synthesis 2009, 91. (c) Bonge, H. T.; Hansen, T. J. Org. Chem. 2010, 75, 2309. (d) Bolsønes, M.; Bonge-Hansen, H. T.; Bonge-Hansen, T. Synlett 2014, 25, 221. (6) (6) (a) Schnaars, C.; Hennum, M.; Bonge-Hansen, T. J. Org. Chem. 2013, 78, 7488. (b) Mortén, M.; Hennum, M.; Bonge-Hansen, T. Beilstein J. Org. Chem. 2015, 11, 1944.