BY
Dr. Gurumeet.C.Wadhawa
DEPARTMENT OF CHEMISTRY
K. B. P. College,Vashi,Navimumbai
Wagner-Meerwein.
Rearrangement
In 1899, G. Wagner and W. Brickner reported the rearrangement of α-
pinene to bornyl chloride in the presence of hydrogen chloride. The
transformation baffled chemists at the time, since it contradicted the
classical structural theory that was based on the postulate of skeletal
invariance.
It was not until 1922, when H. Meerwein and coworkers revealed the
ionic nature of the rearrangement, that an explanation was offered.
The generation of a carbocation followed by the [1,2]-shift of an
adjacent carbon-carbon bond to generate a new carbocation is
known as the Wagner-Meerwein rearrangement. Originally this name
referred only to skeletal rearrangements in bicyclic systems, but
today it is used to describe all [1,2]-shifts of hydrogen, alkyl, and aryl
groups.
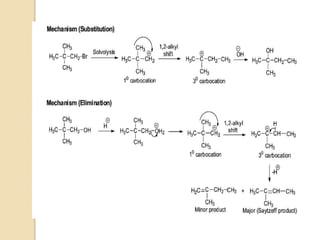
The general features of the Wagner-Meerwein rearrangement are:
1) the generation of the initial carbocation can be achieved in a variety of ways (e.g.,
protonation of alkenes, alcohols, epoxides or cyclopropanes, solvolysis of secondary
and tertiary alkyl halides, or sulfonates in a polar protic solvent (semipinacol
rearrangement), deamination of amines with nitrous acid (Tiffeneau-Demjanov
rearrangement), treatment of an alkyl halide with Lewis acid, etc.;
2)the initial carbocation has a tendency to rearrange to a thermodynamically more stable
structure, a change that mayoccur in several different ways: e.g., [1,2]-alkyl, -aryl- or
hydride shift to afford a more stable carbocation, ringexpansionof strained small
rings such as cyclopropanes and cyclobutanes to give more stable five- or six-
memberedproducts, collapse by fragmentation, etc.;
3) several consecutive [1,2]-shifts are possible if the substrate contains multiple
structural elements that allow the formation of gradually more stable structures;
4) the various competing rearrangement pathways limit the synthetic utility of the
Wagner-Meerwein rearrangement, since one needs to install all the structural
features that will drive the rearrangement in the desired direction;
5) the final most stable carbocation's fate may be the loss of a proton to afford an alkene
or capture by a nucleophile present in the reaction mixture (solvent or conjugate
base of the acid used to promote the rearrangement); and
6) the stereochemistry of the migrating group is retained, which is in accordance of the
Woodward-Hofmann rules
References
1. Wagner, G. J. Russ. Phys. Chem. Soc. 1899, 31, 690. Wagner
first observed this rearrangement in 1899 and German chemist
Hans Meerwein unveiled the mechanism in 1914.
2. Hogeveen, H.; Van Kruchten, E. M. G. A. Top. Curr. Chem. 1979,
80, 89–124. (Review).
3. Kinugawa, M.; Nagamura, S.; Sakaguchi, A.; Masuda, Y.; Saito,
H.; Ogasa, T.; Kasai, M. Org. Proc. Res. Dev. 1998, 2, 344–350.
4. Trost, B. M.; Yasukata, T. J. Am. Chem. Soc. 2001, 123, 7162–
7163.
5. Guizzardi, B.; Mella, M.; Fagnoni, M.; Albini, A. J. Org. Chem.
2003, 68, 1067–1074.
6. Bose, G.; Ullah, E.; Langer, P. Chem. Eur. J. 2004, 10, 6015–
6028.
7. Guo, X.; Paquette, L. A. J. Org. Chem. 2005, 70, 315–320.
8. Li, W.-D. Z.; Yang, Y.-R. Org. Lett. 2005, 7, 3107–3110.
9. Michalak, K.; Michalak, M.; Wicha, J. Molecules 2005, 10, 1084–
1100.
10. Mullins, R. J.; Grote, A. L. Wagner–Meerwein Rearrangement.
In Name Reactions for Homologations-Part II; Li, J. J., Ed.; Wiley:
Hoboken, NJ, 2009, pp 37-394. (Review).
11. Ghorpade, S.; Su, M.-D.; Liu, R.-S. Angew. Chem. Int. Ed. 2013,
52, 4229–4234.

Wagnor meerwin reaction

  • 1.
    BY Dr. Gurumeet.C.Wadhawa DEPARTMENT OFCHEMISTRY K. B. P. College,Vashi,Navimumbai Wagner-Meerwein. Rearrangement
  • 2.
    In 1899, G.Wagner and W. Brickner reported the rearrangement of α- pinene to bornyl chloride in the presence of hydrogen chloride. The transformation baffled chemists at the time, since it contradicted the classical structural theory that was based on the postulate of skeletal invariance. It was not until 1922, when H. Meerwein and coworkers revealed the ionic nature of the rearrangement, that an explanation was offered. The generation of a carbocation followed by the [1,2]-shift of an adjacent carbon-carbon bond to generate a new carbocation is known as the Wagner-Meerwein rearrangement. Originally this name referred only to skeletal rearrangements in bicyclic systems, but today it is used to describe all [1,2]-shifts of hydrogen, alkyl, and aryl groups.
  • 4.
    The general featuresof the Wagner-Meerwein rearrangement are: 1) the generation of the initial carbocation can be achieved in a variety of ways (e.g., protonation of alkenes, alcohols, epoxides or cyclopropanes, solvolysis of secondary and tertiary alkyl halides, or sulfonates in a polar protic solvent (semipinacol rearrangement), deamination of amines with nitrous acid (Tiffeneau-Demjanov rearrangement), treatment of an alkyl halide with Lewis acid, etc.; 2)the initial carbocation has a tendency to rearrange to a thermodynamically more stable structure, a change that mayoccur in several different ways: e.g., [1,2]-alkyl, -aryl- or hydride shift to afford a more stable carbocation, ringexpansionof strained small rings such as cyclopropanes and cyclobutanes to give more stable five- or six- memberedproducts, collapse by fragmentation, etc.; 3) several consecutive [1,2]-shifts are possible if the substrate contains multiple structural elements that allow the formation of gradually more stable structures; 4) the various competing rearrangement pathways limit the synthetic utility of the Wagner-Meerwein rearrangement, since one needs to install all the structural features that will drive the rearrangement in the desired direction; 5) the final most stable carbocation's fate may be the loss of a proton to afford an alkene or capture by a nucleophile present in the reaction mixture (solvent or conjugate base of the acid used to promote the rearrangement); and 6) the stereochemistry of the migrating group is retained, which is in accordance of the Woodward-Hofmann rules
  • 18.
    References 1. Wagner, G.J. Russ. Phys. Chem. Soc. 1899, 31, 690. Wagner first observed this rearrangement in 1899 and German chemist Hans Meerwein unveiled the mechanism in 1914. 2. Hogeveen, H.; Van Kruchten, E. M. G. A. Top. Curr. Chem. 1979, 80, 89–124. (Review). 3. Kinugawa, M.; Nagamura, S.; Sakaguchi, A.; Masuda, Y.; Saito, H.; Ogasa, T.; Kasai, M. Org. Proc. Res. Dev. 1998, 2, 344–350. 4. Trost, B. M.; Yasukata, T. J. Am. Chem. Soc. 2001, 123, 7162– 7163. 5. Guizzardi, B.; Mella, M.; Fagnoni, M.; Albini, A. J. Org. Chem. 2003, 68, 1067–1074. 6. Bose, G.; Ullah, E.; Langer, P. Chem. Eur. J. 2004, 10, 6015– 6028. 7. Guo, X.; Paquette, L. A. J. Org. Chem. 2005, 70, 315–320. 8. Li, W.-D. Z.; Yang, Y.-R. Org. Lett. 2005, 7, 3107–3110. 9. Michalak, K.; Michalak, M.; Wicha, J. Molecules 2005, 10, 1084– 1100. 10. Mullins, R. J.; Grote, A. L. Wagner–Meerwein Rearrangement. In Name Reactions for Homologations-Part II; Li, J. J., Ed.; Wiley: Hoboken, NJ, 2009, pp 37-394. (Review). 11. Ghorpade, S.; Su, M.-D.; Liu, R.-S. Angew. Chem. Int. Ed. 2013, 52, 4229–4234.