LOSSEN REARRANGEMENT
Mr. DILIP R. DAVHARE
M.Pharm. IInd Sem. (Pharmaceutical Chemistry)
UNIVERSITY DEPARTMENT OF PHARMACEUTICAL SCIENCES,
RASHTRASANT TUKADOJI MAHARAJ
NAGPUR UNIVERSITY, NAGPUR
CONTENT.
 History.
 General Introduction.
 Reaction Mechanism.
 Reference.
HISTORY OF LOSSEN REARRANGEMENT
 History of Lossen rearrangement: In 1872 W. lossen reported
the pyrolysis of benzohydroxmate gave phenylisocyanate &
benzoic acid.
 Later he observed that potassium salt anisol benzohydroxomate
was readily converted to diphenylurea, potassium anisate, & CO2
in boiling water.
 In later transformation phenylisocyanate was product half to
which react with H2O to form aniline & CO2 & other reacted
with aniline to form diphenylurea.
17-03-2016 3
LOSSEN REARRANGEMENT
 The Lossen rearrangement is the conversion of
a betaxamic acid (1) to an isocyanate (3) via the
formation of an O-acyl, sulfonyl, or phosphoryl
intermediate hydroxamic acid O-derivative (2) and
then conversion to its conjugate base. Here, 4-
toluenesulfonyl chloride is used to form a sulfonyl
Ortho-derivative of hydroxamic acid
The isocyanate can be used further to generate ureas in the presence
of amines (4) or generate amines in the presence of H2O (5).
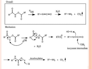
REACTION MECHANISM FOR LOSSEN
REARRANGEMENT
 The mechanism below begins with an O-acylated
hydroxamic acid derivative that is treated with base to
form an isocyanate that generates
an amine and CO2 gas in the presence of H2O. The
hydroxamic acid acid derivative is first converted to its
conjugate base by abstraction of a hydrogen by a
base.
 Spontaneous rearrangement kicks off a carboxylate
anion to produce the isocyanate intermediate. The
isocyanate in the presence H2O hydrolyzes and
then decarboxylation via abstraction of a hydrogen by
a base generates an amine and CO2 gas.
REFERENCES
 S.N. Sanyal, Reactions, Rearrangements & Mechanisms,
volume I Nirali Publishing house PVT LTD, 3rd edition,
Mumbai, India 2000-69 to 70.
 Mukul C Ray, Reaction Mechanisms of Organic
Chemistry, 1st edition, Published by M.T.G. Books New
Delhi, India-259.
 I.L.Finar, Organic chemistry,5th edition, published by
Pearson Education Ltd, India- 232 to 233.
 Arun Bhal, B.S. Bahl, Advanced Organic Chemistry, 7th
edition, published by S.Chand Publishing House,
Kolkata, India-139 to 145.
17-03-2016 9
10

Losson rearrangment

  • 1.
    LOSSEN REARRANGEMENT Mr. DILIPR. DAVHARE M.Pharm. IInd Sem. (Pharmaceutical Chemistry) UNIVERSITY DEPARTMENT OF PHARMACEUTICAL SCIENCES, RASHTRASANT TUKADOJI MAHARAJ NAGPUR UNIVERSITY, NAGPUR
  • 2.
    CONTENT.  History.  GeneralIntroduction.  Reaction Mechanism.  Reference.
  • 3.
    HISTORY OF LOSSENREARRANGEMENT  History of Lossen rearrangement: In 1872 W. lossen reported the pyrolysis of benzohydroxmate gave phenylisocyanate & benzoic acid.  Later he observed that potassium salt anisol benzohydroxomate was readily converted to diphenylurea, potassium anisate, & CO2 in boiling water.  In later transformation phenylisocyanate was product half to which react with H2O to form aniline & CO2 & other reacted with aniline to form diphenylurea. 17-03-2016 3
  • 4.
    LOSSEN REARRANGEMENT  TheLossen rearrangement is the conversion of a betaxamic acid (1) to an isocyanate (3) via the formation of an O-acyl, sulfonyl, or phosphoryl intermediate hydroxamic acid O-derivative (2) and then conversion to its conjugate base. Here, 4- toluenesulfonyl chloride is used to form a sulfonyl Ortho-derivative of hydroxamic acid
  • 5.
    The isocyanate canbe used further to generate ureas in the presence of amines (4) or generate amines in the presence of H2O (5).
  • 6.
    REACTION MECHANISM FORLOSSEN REARRANGEMENT  The mechanism below begins with an O-acylated hydroxamic acid derivative that is treated with base to form an isocyanate that generates an amine and CO2 gas in the presence of H2O. The hydroxamic acid acid derivative is first converted to its conjugate base by abstraction of a hydrogen by a base.
  • 7.
     Spontaneous rearrangementkicks off a carboxylate anion to produce the isocyanate intermediate. The isocyanate in the presence H2O hydrolyzes and then decarboxylation via abstraction of a hydrogen by a base generates an amine and CO2 gas.
  • 9.
    REFERENCES  S.N. Sanyal,Reactions, Rearrangements & Mechanisms, volume I Nirali Publishing house PVT LTD, 3rd edition, Mumbai, India 2000-69 to 70.  Mukul C Ray, Reaction Mechanisms of Organic Chemistry, 1st edition, Published by M.T.G. Books New Delhi, India-259.  I.L.Finar, Organic chemistry,5th edition, published by Pearson Education Ltd, India- 232 to 233.  Arun Bhal, B.S. Bahl, Advanced Organic Chemistry, 7th edition, published by S.Chand Publishing House, Kolkata, India-139 to 145. 17-03-2016 9
  • 10.