BY
Dr. G.C.Wadhawa
DEPARTMENT OF CHEMISTRY
K. B. P. College,Vashi,Navimumbai
Curtius Rearrangement Reaction
In 1857, Theodor Curtius was born in the Prussian Rhineland city of
Duisburg, situated at the confluence of the Rhine and Ruhr rivers.
Duisburg was then a major site of chemical industry in which the Curtius
family held a large stake – Theodor’s grandfather Friedrich Wilhelm had
founded a sulfuric acid factory in 1824, and his father Julius had
established ultramarine pigment and alum works.
After moving to Erlangen, Curtius began to
follow a trail in which he discovered a
remarkable series of new nitrogen-containing
compounds, each following in a logical
progression.
He was the first to prepare hydrazine (H2N–NH2)
from diazoacetic acid, and filed patents for his
production method in both Germany and the US.
The availability of hydrazine salts then facilitated
the earliest preparation of hydrazoic acid (HN3)
which he reported in 1890 using a cyclic
structure to represent the azide group.
Curtius was the first person to make hydrazine, and then
hydrazoic acid – which he represented as a cyclic
structure
Hydrazoic acid is highly explosive and Curtius declared himself lucky to have
been saved from misfortune during its handling – one of his students was less
fortunate, losing an eye while preparing the dried material.5 This led Curtius to
investigate the stability of hydrazoic acid salts as a safer alternative to direct
synthesis of ‘free’ HN3. On the way he uncovered several extremely explosive
examples, such as hydrazine azide (N5H5) and lead azide (Pb(N3)2) which was
later used as a detonator during the first world war. Now the director of the
Institute of Chemistry in Kiel, Curtius combined the strands of his discoveries
to finally solve the problem of dangerous HN3 synthesis.
For a man whose earliest work had been in condensation chemistry and
who had pioneered hydrazine synthesis, the first preparation of an acyl
hydrazine (by condensing a carboxylic ester with H2N–NH2) was a natural
step (figure 1). Reaction with nitrous acid (HNO2) led to the corresponding
acyl azide, and substitution using sodium ethoxide then gave sodium
azide (NaN3). Curtius now had a stable precursor to HN3 (by acidification)
described as explosive ‘only by heating at a comparatively very high
temperature’ (300°C). The reaction also produces a carboxylic ester that
is recycled as the starting material for acyl hydrazine synthesis. Problem
solved.
Curtius Rearrangement
The Curtius Rearrangement is the thermal decomposition of carboxylic azides to
produce an isocyanate. These intermediates may be isolated, or their
corresponding reaction or hydrolysis products may be obtained.
The reaction sequence - including subsequent reaction with water which leads to
amines - is named the Curtius Reaction.
Mechanism of Reaction
Isocyate Reactions
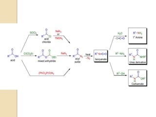
Preparation of acyl azide
The acyl azide is usually made from the reaction of acid chlorides or anydrides
with sodium azide or trimethylsilyl azide. Acyl azides are also obtained from
treating acylhydrazines with nitrous acid. Alternatively, the acyl azide can be
formed by the direct reaction of a carboxylic acid with diphenylphosphoryl
azide (DPPA).
Photochemical decomposition of the acyl azide is also possible. However,
photochemical rearrangement is not concerted and instead occurs by
a nitrene intermediate, formed by the cleavage of the weak N–N bond and the
loss of nitrogen gas. The highly reactive nitrene can undergo a variety of
nitrene reactions, such as nitrene insertion and addition, giving unwanted side
products. In the example below, the nitrene intermediate inserts into one of the
C–H bonds of the cyclohexane solvent to form N-cyclohexylbenzamide as a
side product.
Darapsky degradation
In one variation called the Darapsky degradation,or Darapsky synthesis, a
Curtius rearrangement takes place as one of the steps in the conversion of an α-
cyanoester to an amino acid. Hydrazine is used to convert the ester to
an acylhydrazine, which is reacted with nitrous acid to give the acyl azide.
Heating the azide in ethanol yields the ethyl carbamate via the Curtius
rearrangement. Acid hydrolysis yields the amine from the carbamate and the
carboxylic acid from the nitrile simultaneously, giving the product amino acid.
Harger reaction
The photochemical Curtius-like migration and rearrangement of a
phosphinic azide forms a metaphosphonimidate in what is also known as
the Harger reaction (named after Dr Martin Harger from University of
Leicester).This is followed by hydrolysis, in the example below
with methanol, to give a phosphonamidate.
Unlike the Curtius rearrangement, there is a choice of R-groups on the
phosphinic azide which can migrate. Harger has found that the alkyl groups
migrate preferentially to aryl groups, and this preference increases in the
order methyl < primary < secondary < tertiary. This is probably due to steric
and conformational factors, as the bulkier the R-group, the less favorable
the conformation for phenyl migration.
Triquinacene
R. B. Woodward et al. used the Curtius rearrangement as one of the steps
in the total synthesis of the polyquinane triquinacene in 1964. Following
hydrolysis of the ester in the intermediate (1), a Curtius rearrangement was
effected to convert the carboxylic acid groups in (2) to the methyl
carbamate groups (3) with 84% yield. Further steps then gave triquinacene
(4).
Oseltamivir
In their synthesis of the antiviral drug oseltamivir, also known as Tamiflu,
Ishikawa et al. used the Curtius rearrangement in one of the key steps in
converting the acyl azide to the amide group in the target molecule. In this
case, the isocyanate formed by the rearrangement is attacked by a carboxylic
acid to form the amide. Subsequent reactions could all be carried out in the
same reaction vessel to give the final product with 57% overall yield. An
important benefit of the Curtius reaction highlighted by the authors was that it
could be carried out at room temperature, minimizing the hazard from heating.
The scheme overall was highly efficient, requiring only three “one-pot”
operations to produce this important and valuable drug used for the treatment
of avian influenza.
Dievodiamine
Dievodiamine is a natural product from the plant Evodia rutaecarpa, which is
widely used in traditional Chinese medicine. Unsworth et al.’s protecting group-
free total synthesis of dievodiamine utilizes the Curtius rearrangement in the first
step of the synthesis, catalyzed by boron trifluoride. The activated isocyanate
then quickly reacts with the indole ring in an electrophilic aromatic
substitution reaction to give the amide in 94% yield, and subsequent steps give
dievodamine.
Write the Mechanism of Following
Write the Mechanism of Following
Write the Mechanism of Following
Write the Mechanism of Following
Write the Mechanism of Following
Write the Mechanism of Following
Write the Mechanism of Following
Write the Mechanism of Following
Write the Mechanism of Following
Write the Mechanism of Following

Curtius rearrgment

  • 1.
    BY Dr. G.C.Wadhawa DEPARTMENT OFCHEMISTRY K. B. P. College,Vashi,Navimumbai Curtius Rearrangement Reaction
  • 2.
    In 1857, TheodorCurtius was born in the Prussian Rhineland city of Duisburg, situated at the confluence of the Rhine and Ruhr rivers. Duisburg was then a major site of chemical industry in which the Curtius family held a large stake – Theodor’s grandfather Friedrich Wilhelm had founded a sulfuric acid factory in 1824, and his father Julius had established ultramarine pigment and alum works. After moving to Erlangen, Curtius began to follow a trail in which he discovered a remarkable series of new nitrogen-containing compounds, each following in a logical progression. He was the first to prepare hydrazine (H2N–NH2) from diazoacetic acid, and filed patents for his production method in both Germany and the US. The availability of hydrazine salts then facilitated the earliest preparation of hydrazoic acid (HN3) which he reported in 1890 using a cyclic structure to represent the azide group.
  • 3.
    Curtius was thefirst person to make hydrazine, and then hydrazoic acid – which he represented as a cyclic structure Hydrazoic acid is highly explosive and Curtius declared himself lucky to have been saved from misfortune during its handling – one of his students was less fortunate, losing an eye while preparing the dried material.5 This led Curtius to investigate the stability of hydrazoic acid salts as a safer alternative to direct synthesis of ‘free’ HN3. On the way he uncovered several extremely explosive examples, such as hydrazine azide (N5H5) and lead azide (Pb(N3)2) which was later used as a detonator during the first world war. Now the director of the Institute of Chemistry in Kiel, Curtius combined the strands of his discoveries to finally solve the problem of dangerous HN3 synthesis. For a man whose earliest work had been in condensation chemistry and who had pioneered hydrazine synthesis, the first preparation of an acyl hydrazine (by condensing a carboxylic ester with H2N–NH2) was a natural step (figure 1). Reaction with nitrous acid (HNO2) led to the corresponding acyl azide, and substitution using sodium ethoxide then gave sodium azide (NaN3). Curtius now had a stable precursor to HN3 (by acidification) described as explosive ‘only by heating at a comparatively very high temperature’ (300°C). The reaction also produces a carboxylic ester that is recycled as the starting material for acyl hydrazine synthesis. Problem solved.
  • 4.
    Curtius Rearrangement The CurtiusRearrangement is the thermal decomposition of carboxylic azides to produce an isocyanate. These intermediates may be isolated, or their corresponding reaction or hydrolysis products may be obtained. The reaction sequence - including subsequent reaction with water which leads to amines - is named the Curtius Reaction.
  • 5.
  • 7.
  • 9.
    Preparation of acylazide The acyl azide is usually made from the reaction of acid chlorides or anydrides with sodium azide or trimethylsilyl azide. Acyl azides are also obtained from treating acylhydrazines with nitrous acid. Alternatively, the acyl azide can be formed by the direct reaction of a carboxylic acid with diphenylphosphoryl azide (DPPA).
  • 10.
    Photochemical decomposition ofthe acyl azide is also possible. However, photochemical rearrangement is not concerted and instead occurs by a nitrene intermediate, formed by the cleavage of the weak N–N bond and the loss of nitrogen gas. The highly reactive nitrene can undergo a variety of nitrene reactions, such as nitrene insertion and addition, giving unwanted side products. In the example below, the nitrene intermediate inserts into one of the C–H bonds of the cyclohexane solvent to form N-cyclohexylbenzamide as a side product.
  • 11.
    Darapsky degradation In onevariation called the Darapsky degradation,or Darapsky synthesis, a Curtius rearrangement takes place as one of the steps in the conversion of an α- cyanoester to an amino acid. Hydrazine is used to convert the ester to an acylhydrazine, which is reacted with nitrous acid to give the acyl azide. Heating the azide in ethanol yields the ethyl carbamate via the Curtius rearrangement. Acid hydrolysis yields the amine from the carbamate and the carboxylic acid from the nitrile simultaneously, giving the product amino acid.
  • 12.
    Harger reaction The photochemicalCurtius-like migration and rearrangement of a phosphinic azide forms a metaphosphonimidate in what is also known as the Harger reaction (named after Dr Martin Harger from University of Leicester).This is followed by hydrolysis, in the example below with methanol, to give a phosphonamidate.
  • 13.
    Unlike the Curtiusrearrangement, there is a choice of R-groups on the phosphinic azide which can migrate. Harger has found that the alkyl groups migrate preferentially to aryl groups, and this preference increases in the order methyl < primary < secondary < tertiary. This is probably due to steric and conformational factors, as the bulkier the R-group, the less favorable the conformation for phenyl migration.
  • 14.
    Triquinacene R. B. Woodwardet al. used the Curtius rearrangement as one of the steps in the total synthesis of the polyquinane triquinacene in 1964. Following hydrolysis of the ester in the intermediate (1), a Curtius rearrangement was effected to convert the carboxylic acid groups in (2) to the methyl carbamate groups (3) with 84% yield. Further steps then gave triquinacene (4).
  • 15.
    Oseltamivir In their synthesisof the antiviral drug oseltamivir, also known as Tamiflu, Ishikawa et al. used the Curtius rearrangement in one of the key steps in converting the acyl azide to the amide group in the target molecule. In this case, the isocyanate formed by the rearrangement is attacked by a carboxylic acid to form the amide. Subsequent reactions could all be carried out in the same reaction vessel to give the final product with 57% overall yield. An important benefit of the Curtius reaction highlighted by the authors was that it could be carried out at room temperature, minimizing the hazard from heating. The scheme overall was highly efficient, requiring only three “one-pot” operations to produce this important and valuable drug used for the treatment of avian influenza.
  • 16.
    Dievodiamine Dievodiamine is anatural product from the plant Evodia rutaecarpa, which is widely used in traditional Chinese medicine. Unsworth et al.’s protecting group- free total synthesis of dievodiamine utilizes the Curtius rearrangement in the first step of the synthesis, catalyzed by boron trifluoride. The activated isocyanate then quickly reacts with the indole ring in an electrophilic aromatic substitution reaction to give the amide in 94% yield, and subsequent steps give dievodamine.
  • 17.
    Write the Mechanismof Following
  • 18.
    Write the Mechanismof Following
  • 19.
    Write the Mechanismof Following
  • 20.
    Write the Mechanismof Following
  • 21.
    Write the Mechanismof Following
  • 22.
    Write the Mechanismof Following
  • 23.
    Write the Mechanismof Following
  • 24.
    Write the Mechanismof Following
  • 25.
    Write the Mechanismof Following
  • 26.
    Write the Mechanismof Following