ORDINARY DIFFERENTIAL EQUATIONS
OF FIRST ORDER AND FIRST DEGREE
Dr.G.V.RMANA REDDY
M.Sc, Ph.D
K.L.UNIVERSITY
VADDESWARAM
GUNTUR(DT)
A.P
Def: An equation involving differential coefficients is called a differential
equation.
32
2
Ex 2 5 sec(1):
d y dy
x y x
dx dx
Ex(2):
dy k
x
dydx
dx
3
2 2
2
2
1
Ex(3):
dy
dx
a
d y
dx
Ex(4):
u u
x y nu
x y
Def: A differential equation is said to be ordinary if the derivatives in it are
with respect to single independent variable.
Def: A differential equation is said to be partial if the derivatives in it are with
respect to more than one independent variable.
Ex (1), (2), (3) are ordinary and Ex(4) is partial.
Dr.G.V.Ramana Reddy
Def: The order of a differential equation is the order of the highest derivative
appearing in it.
Ex (1), (3) are of order 2 and Ex(2) is of order 1.
Def: The degree of a differential equation is the degree of the highest
ordered derivative occurs in it, after the equation has been made free from
fractions and radicals as far as the derivatives are concerned.
32
2
Ex 2 5 sec ,(1):
d y dy
x y x
dx dx
degree = 1.
Ex(2):
dy k
x
dydx
dx
2
,
dy dy
x k
dx dx
degree = 2
3
2 2
2
2
1
Ex(3):
dy
dx
a
d y
dx
3
2 22
2
1
dy d y
a
dx dx
3 22 2
2
1 ,
dy d y
a
dx dx
degree = 2
Ex(1): Form the differential equation from cos sinx
y e A x B x
FORMATION OF DIFFERENTIAL EQUATIONS:
by eliminating the arbitrary constants and .A B
co n: s six
S y e A x Bol x
dy
dx
cos sinx
e A x B x
sin cosx
e A x B x y
2
2
cos sinxd y
e A x B x
dx
sin cosx
e A x B x
dy
dx
y
dy
dx
dy
y
dx
2
2
2 2 0 is the differential equation.
d y dy
y
dx dx
2 2
Ex(2): Form the differential equation from 1Ax By
by eliminating the arbitrary constants and .A B
sin cosx
e A x B x
Dr.G.V.Ramana Reddy
Ex(3): Find the differential equation, by eliminating a, b, c from
.x x
xy ae be c
Sol: x x
xy ae be c
x xdy
x y ae be
dx
2
2
d y dy
x
dx dx
x xdy
ae be
dx
2
2
2
d y dy
x xy c
dx dx
3 2
3 2
d y d y
x
dx dx
2
2
2
d y
dx
dy
x y
dx
3 2
3 2
3 0 is the differential equation.
d y d y dy
x x y
dx dx dx
Ex(4): Find the differential equation, by eliminating a, b, c, d from
cos sin .x x
y ae be c x d x
Ex(5): Form the differential equation from tan tan .x y c
taol: n nS tax y c
2
tan sec
dy
x y
dx
2
sec tan 0 is the differential equation.x y
2
Ex(6): Form the differential equation from .
1
a x
y
x
2
Ex(7): Form the differential equation from .y c x c
Ex(8): Form the differential equation from r 1 cos .a
Ex(9): Find the differential equation of all straight lines in a plane.
The family of straight lines in a planSol: e is
, where m and c are parameters.y mx c
dy
m
dx
2
2
0 is the differential equation.
d y
dx
Dr.G.V.Ramana Reddy
Ex(10): Find the differential equation of all circles of radious ' ' in a plane.a
The family of circles of radious ' ' in a plSol: an se ia
2 2 2
(1)x h y k a
where h, k are parameters.
2 2 0 (2)
dy
x h y k
dx
1 0
dy dy
dx dx
2
2
2
1
(3)
dy
dx
y k
d y
dx
From (2),
dy
x h y k
dx
2
2
2
1
(4)
dy
dydx
d y dx
dx
( , )h k
( , )x y
a
2
2
d y
y k
dx
Substituting (3) and (4) in (1) we get
Dr.G.V.Ramana Reddy
Substituting (3) and (4) in (1) we get
22
2
2
1
dy
dydx
d y dx
dx
22
2
2
2
1
.
dy
dx
a
d y
dx
22
2
2
1
dy
dx
d y
dx
32
2
22
2
1
is the differential equation.
dy
dx
a
d y
dx
2
2
1 .
dy
a
dx 2 2 2
(1)x h y k a
2
2
2
1
(3)
dy
dx
y k
d y
dx
2
2
2
1
(4)
dy
dydx
x h
d y dx
dx
Ex(11): Find the differential equation of all circles in a plane.
Ex(12): Find the differential equation of the family of circles
having the centre on x-axis and passing through the origin.
( , )
dy
f x y
dx
Solution methods of
I. Variable Separable
II. Homogeneous
III. Linear
IV. Exact
Ex(1): Solve 1
dy
x y xy
dx
I. Variable Separable
1 2Form I: ( ) ( )
dy
f x f y
dx
1 2 1 2Form II: ( ) ( ) ( ) ( ) 0M x M y dx N x N y dy
GiveSol: n 1
dy
x y xy
dx
1 (1 )x y x
(1 )(1 )x y
(1 )
1
dy
x dx
y
(1 )
1
dy
x dx c
y
log(1 )y
2
2
x
x c
Which is the required solution.
2
Ex(2): Solve 3e tan (1 )sec 0x x
ydx e ydy
2
Given 3 tan (1 )sel cS 0o : x x
e ydx e ydy
Dividing with tan (1 ), we getx
y e
3
1
x
x
e
dx
e
2
3 sec
1 tan
x
x
e y
dx dy c
e y
2
sec
0
tan
y
dy
y
3log(1 )x
e log(tan ) logy C
3
(1 ) tanx
e y C
Put 0 and
4
x y
0 3
(1 ) tan 8
4
e C C
The required solution is
3
(1 ) tan 8x
e y
given when 0.
4
y x
Dr.G.V.Ramana Reddy
3
2
Ex(3): Solve x y x ydy
e x e
dx
2
2
1
Ex(4): Solve 0
1
dy y
dx x
(2log 1)
Ex(5): Solve
sin cos
dy x x
dx y y y
2 2
Ex(6): Solve 1 1 0x y dx xydy
Reducible to Variable Separable
( )
dy
f ax by c
dx
Let ax by c v
2
Ex(7): Solve 3 4
dy
x y
dx
2
GiveSo n 3 4l (: 1)
dy
x y
dx
Let 3 4 (2)x y v
3 (3)
dy dv
dx dx
Eliminate , by substituting (2),(3) in (1)y
2
3
dv
v
dx
2
3
dv
v
dx
2
3
dv
dx
v
2
3
dv
dx c
v
11
tan
3 3
v
x c
The solution of the given d.e. is
11 3 4
tan
3 3
x y
x c
Ex(8): Solve cos x y dy dx
Ex(9): Solve cos sin
dy
x y x y
dx
II. Homogeneous Equations
1
2
( , )
( , )
f x ydy
dx f x y
y
f
x
1 2Where ( , ), ( , ) are homogeneous of same degree.f x y f x y
Let or
y
v y vx
x
2 2 3 2
Ex(1): Solve 2 3 0x y xy dx x x y dy
2 2 3 2
Given 2Sol: 3 0x y xy dx x x y dy
2 2
3 2
2
3
dy x y xy
dx x x y
2
2
(1)
1 3
y y
x x
y
x
Dr.G.V.Ramana Reddy
2 2 3 2
Ex(1): Solve 2 3 0x y xy dx x x y dy
2 2 3 2
Given 2Sol: 3 0x y xy dx x x y dy
2 2
3 2
2
3
dy x y xy
dx x x y
2
2
(1)
1 3
y y
x x
y
x
Let or (2)
y
v y vx
x
sothat
dy
dx
Eliminate y, by substituting (2), (3) in (1)
2
2
1 3
dv v v
v x
dx v
2
2
1 3
dv v v
x v
dx v
(3)
dv
v x
dx
2
2
1 3
dv v v
x v
dx v
2 2
2 3
1 3
v v v v
v
2
1 3
v
v
2
1 3v dx
dv
v x
2
1 3 dx
dv c
v v x
1
3log logv x c
v
The required solution is
3log log
x y
x c
y x
2
v dv
2 1
2 1
v 1
1
1
v
v
Ex(2): Solve tan
dy y
x y x
dx x
GivenSol: tan
dy y
x y x
dx x
tan (1)
dy y y
dx x x
Let or (2)
y
v y vx
x
sothat
dy
dx
Eliminate y, by substituting (2),(3) in (1)
tan
dv
v x v v
dx
tan
dv
x v
dx
cot
dx
vdv
x
cot
dx
vdv c
x
logsin log logv x C
sinv Cx
The required solution is
sin
y
Cx
x
(3)
dv
v x
dx
2 2 2 2
Ex(3): Solve 3 3 0x y dx x y dy
Ex(4): Solve
dy y
dx x xy
Reducible to Homogeneous
1 1 1
2 2 2
a x b y cdy
dx a x b y c
1 1
2 2
If then we get coCa mmse I: on fa oct r.
a b
a b
Let ax by v
1 1
2 2
Case I If the: nI
a b
a b
Let ,x X h y Y k
Dr.G.V.Ramana Reddy
Ex(5): Solve 2 1 4 2 1 0x y dx x y dy
Given 2Sol: 1 4 2 1 0x y dx x y dy
2 1 2 1
. Here
4 2 1 4 2
dy x y
dx x y
2 1
(1)
2 2 1
dy x y
dx x y
Let 2 (2)x y v
sothat 2 (3)
dy dv
dx dx
Eliminate y, by substituting (2),(3) in (1)
1
2
2 1
dv v
dx v
1
2
2 1
dv v
dx v
Dr.G.V.Ramana Reddy
4 2 1
2 1
v v
v
1
2
2 1
dv v
dx v
3 3
2 1
v
v
2 1
3
1
v
dv dx
v
1ax b a
cx d
cx d cx d c
ad
c
a
c
2 2 1 1
3
1 1 1
dv dx c
v
2 log 1 3v v x c
The required solution is
2 2 log 2 1 3x y x y x c
. ., 2 log 2 1i e x y x y c
Ex(6): Solve 2 1 2 4 2 0x y dx x y dy
b
ad bc
c
1
cx d
2 1 1
3
1
v
dv dx
v
1
2 3
1
dv dx
v
Dr.G.V.Ramana Reddy
Ex(7): Solve 2 3 2 1.
dy
x y x y
dx
2 1
Given (1Sol )
2 3
:
dy x y
dx x y
2 1
Here .
1 2
Let and (2)x X h y Y k
sothat and (3)dx dX dy dY
Eliminate x,y; by substituting (2), (3) in (1)
2 1
2 3
X h Y kdY
dX X h Y k
2 2 1
2 2 3
X Y h k
X Y h k
Select h, k such that 2 1 0 and 2 3 0h k h k
(4)
Dr.G.V.Ramana Reddy
Select h, k such that 2 1 0 and 2 3 0h k h k
1 1 2 1
2 3 1 2
3 2
h
1 6
k 1
4 1
1 7
,
5 5
h k
With these values of h and k, (4) becomes
2
2
dY X Y
dX X Y
2
= (I)
1 2
Y
X
Y
X
Let or (II)Y
X V Y VX
sothat
dY
dX
Eliminate Y, by substituting (II), (III) in (I)
(III)
dV
V X
dX
Dr.G.V.Ramana Reddy
2
2
dY X Y
dX X Y
2
= (I)
1 2
Y
X
Y
X
Let or (II)Y
X V Y VX
sothat (III)
dY dV
V X
dX dX
Eliminate Y, by substituting (II), (III) in (I)
dV
V X
dX
2
1 2
V
V
2
1 2
dV V
X V
dX V
2
2 2
1 2
V V V
V
2
1
2
1 2
V V
V
2
1 2
1
V
dV
V V
2
dX
X
2
1 2
2
1
V dX
dV c
V V X
Dr.G.V.Ramana Reddy
2
1 2
2
1
V dX
dV c
V V X
2
log 1 2log logV V X C
2 2
1V V X C
2
2
2
1
Y Y
X C
X X
2 2
Y YX X C
2 27 7 1 1
5 5 5 5y y x x C
2 2 7 49 714 1 2 1
5 5 5 5 25 25 25y x yx y x C
2 2
1Thus 3 is the required solution.x y xy x y C
Ex(8): Solve 2 3 5 3 2 5 0.x y dy x y dx
2
log 1 2log logV V X C
22
log 1 log logV V X C
2 2
log 1 logV V X C 1
5
x X h X
7
5
y Y k Y
Dr.G.V.Ramana Reddy
III. Linear Equations: Leibnitz’s Linear Equation is
, where P,Q are functions of x.
dy
Py Q
dx
The solution is y IF Q IF dx c where
Pdx
IF e
proof : Let
dy
Py Q
dx
Pdx Pdx Pdxdy
e Py e Q e
dx
Pdxd
ye
dx
Pdx Pdx
d ye Q e dx
Pdx Pdx
ye Q e dx c
Pdx
Q e
Dr.G.V.Ramana Reddy
2 2
Ex(1): Solve 1 2 1 .
dy
x xy x x
dx
Given equation can be writtSol: en as
2 2
2
which is linear.
1 1
dy x x
y
dx x x
2 2
2
Here ,
1 1
x x
P Q
x x
2
2
1
x
Pdx dx
x
2
log 1 x
12
log1Pdx x
IF e e
12
2
1
1
1
x
x
The solution is y IF Q IF dx c
2 22
1 1
. .,
1 11
x
i e y dx c
x xx
12
log 1 x
2
1
. .,
1
i e y
x
The solution is y IF Q IF dx c
2 22
1 1
. .,
1 11
x
i e y dx c
x xx
3
12 2
32
1
2
11 1
. .,
1 2
x
i e y c
x
2 2
1 1
. .,
1 1
i e y c
x x
2 2
. ., 1 1i e y x c x
1
2
2
x dx c 2
1F x
3
2 21 x
Dr.G.V.Ramana Reddy
2
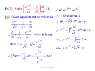
Ex(2): Solve 1.
x
e y dx
dyx x
Given equation can be writteSol: n as
2 x
e y dy
dxx x
2
which is linear.
x
dy y e
dx x x
2
1
Here ,
x
e
P Q
x x
1
Pdx dx
x
1
1
2
1
1
2
x
2 x
2Pdx x
IF e e
The solution is
y IF Q IF dx c
2
2 2
x
x xe
y e e dx c
x
2 1
. ., x
i e y e dx c
x
2
. ., 2x
i e y e x c
sin 2
Ex(3): Solve .
log log
dy y x
dx x x x
cos
Ex(4): Solve cot 5 , when then 4.
2
xdy
y x e x y
dx
3
Ex(5): Solve 2 , if 2 when 1.
dy
x xy y x
dx
Ex(6): Solve 2 cot sin 2 0.dr r d
Reducible to Linear
I. Bernoulli's Equation:
( ) ( ) ndy
P x y Q x y
dx
1
( ) ( )n ndy
y P x y Q x
dx
1
Let n
y v
II. General Form:
!
( ) ( ) ( ) ( )
dy
f y P x f y Q x
dx
Let ( )f y v
2 6
Ex(7): Solve .
dy
x y x y
dx
Given equation can be writteSol: n as
61
, Which is Bernoulli's equation.
dy
y xy
dx x
6 51
(1)
dy
y y x
dx x
5
Let (2)y v
6
sothat 5 (3)
dy dv
y
dx dx
Eliminate y, by substituting (2),(3) in (1)
1 1
5
dv
v x
dx x
5
5 which is linear.
dv
v x
dx x
1 1
5
dv
v x
dx x
5
Here , 5P Q x
x
5
Pdx dx
x
5
logPdx x
IF e e
The solution is
v IF Q IF dx c
5 5 5
5y x x x dx c
4 1
5 5
5
4 1
x
y x c
5 5 3
1 5
. .,
3
i e c
y x x
5
5log logx x
5
x
Dr.G.V.Ramana Reddy
3 2
Ex(8): Solve sin 2 cos .
dy
x y x y
dx
Given equation can be writtSol: en as
3
2 2
1 2sin cos
cos cos
dy y y
x x
y dx y
2 3
sec 2 tan (1)
dy
y x y x
dx
Let tan (2)y v
2
so that sec (3)
dy dv
y
dx dx
Eliminate y, by substituting (2),(3) in (1)
3
2 which is linear.
dv
xv x
dx
3
2 which is linear.
dv
xv x
dx
3
Here 2 ,P x Q x
2
2Pdx xdx x
2Pdx x
IF e e
The solution is
v IF Q IF dx c
2 2
3
tan x x
y e x e dx c
2
Let so that 2x t xdx dt
2
3 x
x e dx 1
2
t
te dt
1
2
t
t e 1 t
e
1
1
2
t
e t
Thus the required solution is
2 2
21
tan 1
2
x x
e y e x c
2
Ex(9): Solve tan sec .
dy
y x y x
dx
3 2 4
Ex(10): Solve cos 0.
dy
x x y y x
dx
tan
Ex(11): Solve = 1+x sec .
1
xdy y
e y
dx x
Ex(12): Solve log .xdy
x y y xye
dx
2 3 1
Ex(13): Solve 1 sin
dy
x xy y x
dx
IV. Exact Equations:
A differential equatin ( , ) ( , ) 0 is said to be exactDef: fiM x y dx N x y dy
there exist a function ( , ) such that .f x y df Mdx Ndy
0 is exactEx(i): ydx xdy , since it can be written as ( ) .d xy ydx xdy
2
2 0 is exact , since itEx(ii): can be written asxydx x dy
2 2
( ) 2 .d x y xydx x dy
The necessary and sufficient condition for a differentialTheo equr aem: tion
( , ) ( , ) 0 is said to be exact isM x y dx N x y dy .
M N
y x
It's solution is (Terms of free from ) .Mdx N x dy c
2 2
Ex(1): Solve sin 2 cos 0.y xdx y x dy
2 2
Here sinSol 2 ,: cosM y x N y x
M
y
N
x
2cos x( sin )x sin2x
M N
y x
It's solution isIt is exact d.e.
(Terms of free from ) .Mdx N x dy c
i.e., sin 2y xdx 2
y dy c
i.e., y
cos2
2
x 3
3
y
c
3
i.e., 2 3 cos2y y x C
sin 2 ,x
2
Ex(2): Solve cos tan cos( ) sin sec cos( ) 0.x y x y dx x y x y dy
2
Here cos tanS cos( ), sin sec cos( )ol: M x y x y N x y x y
M
y
M N
y x
It's solution isIt is exact d.e.
(Terms of free from ) .Mdx N x dy c
i.e., cos tan cos( )x y x y dx
sin( ),x y
N
x
sin( )x y
0dy c
i.e., sin tanx y sin( )x y c
2
cos secx y 2
cos secx y
Ex(3): Solve 2 1 2 1 0.x y dx y x dy
Ex(4): Solve 1+ 1 0.
x x
y y x
ye dx e dy
2 2
Ex(5): Solve 1 1 0.x y dx y x dy
Reducible to Exact:
Ex(6): Solve 0.ydx xdy
: It is not exSol act.
2 2
0
which is exact.
ydx xdy
y y
0
x
d
y
is the solution.
x
c
y
Above equation can be writtNote: en as
2 2
0
y x
dx dy
y y
2 2
1
Here and
y x
M N
y y y
2
1M
y y
N
x
It is exact. Its solution is
(Terms of free from )Mdx N x dy c
1
. ., 0i e dx dy c
y
. .,
x
i e c
y
2
1
Multiplying the given equation with ,
y
Def: The factor which makes the differential equation to exact d.e. is called
Integrating Factor.
IF of d.e. is not unNote: ique.
For 0, IF's areydx xdy 2 2 2 2 2
1 2 1 1
, , , , .etc
y y x x y

1. IF found of inspection:
)i) (( xdy ydx d xy
2
ii)(
xdy ydx
x
y
d
x
2 2
( i)ii
xdy ydx
x y
1
tan
y
x
2 2
(iv)
xdy ydx
x y
1
log
2
x y
d
x y
2 2
v)(
xdx ydy
x y
2 21
log
2
d x y
3
2 2
Ex(7): Solve 3 0.x
ydx xdy x y e dx
Sol: 2
1
Multiplying the given d.e. with , we get
y
3
2
2
3 0xydx xdy
x e dx
y
x
d
y
3
0x
d e
3
is the required solution.xx
e c
y
3
2
3 0xx
d x e dx
y
3
2
3 xx
d x e dx c
y
3
Let x t 2
so that 3x dx dt
3
2
Now 3 x
x e dx t
e dt t
e
3
x
e
3
is the required solution.xx
e c
y
Dr.G.V.Ramana Reddy
Ex(8): Solve log 0.ydx xdy xdx
2 2 2
Ex(9): Solve xdx ydy x y a xdy ydx
2. IF of homogeneous equation M dx + N dy = 0
1
IF
Mx Ny
2 3 3
Ex(10): Solve 0.x ydx x y dy
Given d.e. is homogeneSol: ous.
Here Mx Ny 2
x y x 3 3
x y y 4
y
4
1 1
IF
Mx Ny y
4
1
Multiplying the given equation with , we get
y
2
4
x y
dx
y
3 3
4
x y
dy
y 4
0
y
2
3
x
dx
y
3
4
1
0
x
dy
y y
which is exact.
It's solution is
2
3
x
dx
y
1
dy c
y
3
3
i.e.,
3
x
y
log y c
2 3 2 2
Ex(11): Solve 3 2 0.xy y dx x y xy dy
Dr.G.V.Ramana Reddy
3. of 0IF Mdx Ndy f xy ydx g xy xdy
1
IF
Mx Ny
2 2 4 3
Ex(12): Solve 2 2 0.xy y dx x x y x y dy
Given d.e. can be written of theSol: form
2 1xy ydx 3 3
1 2 0xy x y xdy
Here Mx Ny 2 1xy yx 3 3
1 2xy x y xy 4 4
x y
4 4
1 1
IF
Mx Ny x y
4 4
1
Multiplying the given equation with , we get
x y
2
4 4
2xy y
dx
x y
2 4 3
4 4
2x x y x y
dy
x y 4 4
0
x y
2 2 4 3
4 4 4 4 4 4
2 2 0xy y x x y x y
dx dy
x y x y x y
3 2
. ., 2i e x y
3 4
x y 2 3
2x y 1
0y dy
Which is exact. It's solution is
4 3
x y dx
3 2 4 3
2x y x y dx
3 1
2
. ., 2
3 1
x
i e y
4 1
3
4 1
x
y log y c
2 2
1
. .,i e
x y 3 3
1
3x y
log y C
1
y dy c
Ex(13): Solve 1 1 0.y xy dx x xy dy
4. of x x 0a b c d
IF y my dx nxdy y py dx qxdy
h k
IF x y
4 2 3
Ex(14): Solve 3 2 5 0.xy y dx x y x dy
Given equation is of theSol: form
3
3xy ydx
Multiplying the given d.e. with , we geth k
IF x y
1 4 1
3h k h k
x y x y dx 2 3 1
2 5 0.h k h k
x y x y dy
For this equation to be exact, we should have
M N
y x
1 3
4 h k
k x y 3 1 h k
k x y 1 3
2 2 h k
h x y 5 1 h k
h x y
3
2 5 0xy xdy
3
i.e., 2xy ydx xdy 0 0
3 5 0x y ydx xdy
1 3
4 h k
k x y 3 1 h k
k x y 1 3
2 2 h k
h x y 5 1 h k
h x y
Comparing coefficients of like powers, we get
4 2 2k h and 3 1 5 1k h
2 ,k h 3 2 1h 5 1h 2,h 4k
The d.e. becomes
3 8 2 5
3x y x y dx 4 7 3 4
2 5 0.x y x y dy
Which is exact. It's solution is
3 8 2 5
3x y x y dx 0dy c
4 8
. .,
4
x y
i e 3 5
x y c
2 4 3 3
Ex(15): Solve 3 6 0.x y y dx x xy dy
5. of 0IF Mdx Ndy
( )
If ( ) t( hi e) n
f x dx
M N
y x
f x IF e
N
( )
If ( )(ii) then
g y dy
N M
x y
g y IF e
M
2 3 2
Ex(16): Solve 6 0.x y x dx y xdy
2 3 2
Here 6 ,Sol: M x y x N y x
2
3 ,
M
y
y
2N
y
x
M N
y x
N
2 2
2
3y y
y x
2
x
( )f x
( )f x dx
IF e
2
dx
x
e
2log x
e
2
log x
e 2
x
2
Multiplying the given d.e. with , we getIF x
4 2 3 3
6x x y x dx
2 3
0y x dy
which is exact. It's solution is
4 2 3 3
6x x y x dx 0dy c
5
. .,
5
x
i e
3 3
3
x y 4
3
2
x
c
Ex(17): Solve 1 3 2 0.y x y dx x x y dy
2 2
S Here , 3ol 2: M yx y y N x xy x
2 1,
M
x y
y
2 3 2
N
x y
x
N M
x y
M
1 1
1
x y
y x y y
( )g y
( )g y dy
IF e
1
dy
y
e
log y
e
Multiplying the given d.e. with , we getIF y
2
1 3 2 0.y x y dx yx x y dy
which is exact. It's solution is
2 3 2
xy y y dx 0dy c
2 2
. .,
2
x y
i e
y
3 2
xy xy c
3 2
Ex(18): Solve 2 2 0.x y dx xydy
3 2
21
Ex(19): Solve 0.
3 2 4
y x
y dx x xy dy
3 2 2 4
Ex(20): Solve 2 0.xy y dx x y x y dy
Miscelleneous Problems
Solve the following:
2
2 5
2
(1)
3 2
dy y x
dx x x x
2 1
1(11 an) ty dx y x dy
4
(8) ydy
x e x
dx
2 3
3)
1
(
dy
dx x y xy (10) 2 0x x
y xy e dx e dy
(7) x y dx dy dx dy
sin cos sin cos 0(5) xy xy xy ydx xy xy xy xdy
0(2)
dy ax hy g
dx hx by f
sin 2
1 co(6) cos sxdy
y x e x
dx
2
i(9) f 0 when 0.y xdy
xe y x
dx
(4) sec
dy
x y
dx
APPLICATIONS:
I. Orthogonal Trajectories
II. Law of Growth and Decay
III. Newton’s Law of Cooling
I. Orthogonal Trajectories:
Def: A curve which cuts every member of a given family of curves at a
right angle is an orthogonal trajectory of the given family.
x
y
1. Cartesian form:
Let ( , , ) 0, (1)f x y c
be the given family of curves.
Form the differential equation of(i) (1).
Let it be , , 0. (2)
dy
F x y
dx
Replace(ii) by in (2).
dy dx
dx dy
Then the d.e. of orthogonal trajectories of (1) is
, , 0. (3)
dx
F x y
dy
Solve (3) to get orthogonal trajectories o(ii fi) (1).
2. Polar form:
Let ( , , ) 0, (1)f r c
be the given family of curves.
Form the differential equation of(i) (1).
Let it be , , 0. (2)
dr
F r
d
2
Replace by(ii) in (2).
dr d
r
d dr
Then the d.e. of orthogonal trajectories of (1) is
2
, , 0. (3)
d
F r r
dr
Solve (3) to get orthogonal trajectories o(ii fi) (1).
Ex(1): Find the orthogonal trajectories of the family of parabolas
2
4 , where ' ' is a parameter.y ax a
x
y
Ex(1): Find the orthogonal trajectories of the family of parabolas
2
4 , where ' ' is a parameter.y ax a
2
Given family of parabolas isSol: 4 (1)y ax
Differentiating (1) w.r.t. x we get
2 4 (2)
dy
y a
dx
Eliminating ' ' from (1) and (2), we geta
2
dy
y
dx
2
(3)
y
x
Which is the d.e. of (1).
Replace by in (3),
dy dx
dx dy
we get d.e. of orthogonal trajectories of (1)
2
2
dx y
y
dy x
2xdx ydy o
2
2
2
y
x c
Which is the orthogonal
trajectories of (1)
x
y2
4y ax
2
2
2 2
2 2
2
i.e., 1
2
y
x c
x y
c c
Ex(2): Find the orthogonal trajectories of families of semi-cubical
2 3
parabolas , where ' ' is the parameter.ay x a
Ex(3): Find the orthogonal trajectories of the family of circles
2 2
2 0, where 'g' is a paramater.x y gy c
2 2
Given family of circles is 2Sol: 0 (1)x y gy c
where ' ' is a parameter.g
Differentiating (1) w.r.t. x we get
2 2 2 0 (2)
dy dy
x y g
dx dx
Eliminating 'g' from (1) and (2), we get
2 2
dy
x y
dx
2 2
x y c
y
2 2
2gy x y c
Which is the d.e. of (1).
0
dy
dx
Replace by in (3),
dy dx
dx dy
(3)
2 2
dy
x y
dx
2 2
x y c
y
0
dy
dx
2 2
dx
x y
dy
2 2
0
x y c dx
y dy
Replace by in (3),
dy dx
dx dy
2xydy 2
2y dx 2 2
0x y c dx
2 2
x y c dx 2 0xydy
we get d.e. of orthogonal trajectories of (1)
2 2
Here and 2M x y c N xy
2 ,
M
y
y
2
N
y
x
M N
y x
N
2 2
2
y y
xy
2
x
( )f x
(I)
(3)
Dr.G.V.Ramana Reddy
M N
y x
N
2 2
2
y y
xy
2
x
( )f x
( )f x dx
IF e
2
dx
x
e
2log x
e
2
log x
e
2
x
2
Multiplying (I) with , we getIF x
2 2
x y c dx 2 0xydy
(I)
2 2 2
1 x y cx dx 1
2 0x ydy
which is exact. It's solution is
2 2 2
1 x y cx dx 0dy c
i.e., x
2 1
2 1
x 2
y c a
2
i.e.,
y c
x a
x
2 2
i.e., 0.x y ax c
which is the required orthogonal trajectories.
Ex(4): Find the orthogonal trajectories
2 2
2 0,x y fx c
of the family of circles
where ' ' is a parameter.f
Ex(5): Show that the system of confocal and coaxial parabolas
2
4 ( ) is self orthogonal.y a x a
2
Given family of curves is 4 ( ) (So 1)l: y a x a
where ' ' is a parameter.a
Differentiating (1) w.r.t. we getx
12 4 (2)yy a
Eliminating ' ' from (1) and (2), we geta
2
12y yy 1
2
yy
x
2 2 2
1 1i.e., y 2 0 (3)xyy y y
Which is the d.e. of (1).
1
1
1
Replace y by in (3),
y
Dr.G.V.Ramana Reddy
2 2 2
1 1i.e., y 2 0 (3)xyy y y
Which is the d.e. of (1).
1
1
1
Replace by in (3), we gety
y
2
2 2
1 1
1 1
2 0y xy y
y y
2 2
1i.e., y y 12xyy 2
0y
2 2 2
1 1i.e., 2 0 (4)y xyy y y
which is the d.e. of orthogonal trajectories of (1).
Since equations (3) and (4) are same,
the given family of curves is self-orthogonal.
Ex(6): Show that the system of confocal conics
2 2
2 2
+ =1, where is parameter, is self orthogonal.
x y
a b
Dr.G.V.Ramana Reddy
x
y
(1 cos )r a
Ex(7): Find the orthogonal trajectories of the family of cardioids
(1 cos ), where 'a' is parameter.r a
θ 0
r 2a a 0
2
Ex(7): Find the orthogonal trajectories of the family of cardioids
(1 cos ), where ' ' is a parameter.r a a
Given family of cardioids is (1 cos ) (1S l )o : r a
where ' ' is a parameter.a
Differentiating (1) w.r.t. we get
( sin ) (2)
dr
a
d
Eliminating ' ' from (1) and (2), we geta
Which is the d.e. of (1).
2
Replace by in (3),
dr d
r
d dr
( sin ) (3)
1 cos
dr r
d
Which is the d.e. of (1).
2
Replace by in (3),
dr d
r
d dr
( sin ) (3)
1 cos
dr r
d
we get d.e. of orthogonal trajectories of (1)
2 d
r
dr
sin
1 cos
r 2 2
2
2
2sin cos
2cos
r
2tanr
2cot d
dr
r
log r 22log sin logc 2
2log log sin logr c
2
2log log sinr c2
2sinr c
1 cos
2
c
i.e., (1 cos )r C
which is the required orthogonal trajectories.
Let
2
A
Dr.G.V.Ramana Reddy
x
y
(1 cos )r a(1 cos )r c
θ 0
r 0 c 2c
θ 0
r 2a a 0
22
(1 cos )r a
x
y
(1 cos )r c
Dr.G.V.Ramana Reddy
0.5
1
1.5
2
30
210
60
240
90
270
120
300
150
330
180 0
Dr.G.V.Ramana Reddy
0.5
1
1.5
2
30
210
60
240
90
270
120
300
150
330
180 0
Dr.G.V.Ramana Reddy
0.5
1
1.5
2
30
210
60
240
90
270
120
300
150
330
180 0
Dr.G.V.Ramana Reddy
0.5
1
1.5
2
30
210
60
240
90
270
120
300
150
330
180 0
Dr.G.V.Ramana Reddy
0.5
1
1.5
2
30
210
60
240
90
270
120
300
150
330
180 0
Dr.G.V.Ramana Reddy
0.5
1
1.5
2
30
210
60
240
90
270
120
300
150
330
180 0
0.5
1
1.5
2
30
210
60
240
90
270
120
300
150
330
180 0
Dr.G.V.Ramana Reddy
0.5
1
1.5
2
30
210
60
240
90
270
120
300
150
330
180 0
0.5
1
1.5
2
30
210
60
240
90
270
120
300
150
330
180 0
Dr.G.V.Ramana Reddy
x
y
Dr.G.V.Ramana Reddy
x
y
Ex(8): Find the orthogonal trajectories of the family of curves
r cos , where ' ' is a parameter.n n
n a a
Given family of curves is cosSol: (1)n n
r n a
where ' ' is a parameter.a
Differentiating (1) w.r.t. we get
1
cosn dr
nr n
d
Which is the d.e. of (1).
2
Replace by in (2),
dr d
r
d dr
cos sin 0 (2)
dr
n r n
d
sin 0n
r n n
Which is the d.e. of (1).
2
Replace by in (2),
dr d
r
d dr
cos sin 0 (2)
dr
n r n
d
2
cos sin 0
d
r n r n
dr
we get d.e. of orthogonal trajectories of (1)
i.e., cot n d
1
0dr
r
log sin n
1
log logr c
n
i.e., log sin log logn n r n c log sin log logn n
n r c
log sin logn n
r n ci.e., sinn n
r n c
which is the required orthogonal trajectories.
Ex(9): Find the O.T. of
r cos ,n n
a n
where ' ' is a parameter.a
Ex(10): Find the O.T. of
2
r
1 cos
a
where ' ' is a parameter.a
II. Growth and Decay:
(1) Law of natural growth: The rate of increase of population is
proportional to the number of population present at that time.
Let N(t) be the number of population present at any time t. Then
dN
N
dt
, where 0.
dN
kN k
dt
(2) Law of natural decay: The rate of decrease (on decay) of a substance
is proportional to the amount of substance present at that time.
Let M(t) be the amount of substance present at any time t. Then
dM
M
dt
, where 0.
dM
kM k
dt
Number of MosquDay itos
Thursday 50
Friday 150
Monday 4050
Ex(1): The number N of bacteria in a culture grew at a rate proportional to N.
The value of N was initially 50 and increased to 150 in one hour. What will be
the value of N after 4 hours.
dN
N
dt
, where 0.
dN
kN k
dt
dN
kdt
N
log N kt c
when 0, 50t N
log50 0k c log50c
we have log log50N kt
when 1 , 150t hour N
log150 1 log50k
log150 log50k log3
we have log log3 log50N t
when 4 ,t hours
log 4log3 log50N
4
3 50 4050N
Sol: Let N(t) be the number of bacteria
at any time t. Then by law of growth,
∴ The value of N after 4 hours is 4050.
Ex(2): The number N of bacteria in a
culture grew at a rate proportional to N.
The value of N was initially 100 and
increased to 332 in one hour. What
was the value of N after 1½ hours.
Number of MosquDay itos
Thursday 50
Friday 150
Monday ?
Dr.G.V.Ramana Reddy
Ex(3): The rate at which bacteria multiply is proportional to the instantaneous
number present. If the original number doubles in 2 hours, in how many
hours will it be triple.
dN
N
dt
, where 0.
dN
kN k
dt
dN
kdt
N
log N kt c
0when 0, Let .t N N
0log 0N k c 0logc N
0we have log logN kt N
Sol: Let N(t) be the number of bacteria
at any time t. Then by law of growth,
0when 2 , 2t hour N N
2 log 2k
we have log N
0 0log2 2 logN k N
0log 2 log
2
N
t
0when 3N N
0 0log3 log 2 log
2
t
N N
2log3
log2
t
∴ The value will be triple within
2log3
hours.
log2
0 0log3 log log 2
2
t
N N
0
0
3
log log 2
2
N t
N
log3 log 2
2
t
Dr.G.V.Ramana Reddy
Ex(4): A radio active substance disintegrates at a rate proportional to its mass.
When mass is 10 mgm. the rate of disintegration is 0.051 mgm per day.
How long will it take for the mass to be reduced from 10 mgm to 5mgm?
Sol: Let M(t) be the amount of substance
at any time t. Then by law of decay,
dM
M
dt
, where 0.
dM
kM k
dt
dM
kdt
M
log M kt c
when 0, 10 .t M mgm
log10 0k c log10c
we have log log10M kt
when 1 day, 10 0.051 9.949t M
log 0.9949 0.0051k
log9.949 1 log10k
we have log 0.0051 log10M t
log5 0.0051 log10t
when 5,M
0.6931
135.902
0.0051
t
0.0051 log10 log5t
log 2 0.6931
It will take 136 days for the mass to
be reduced from 10 mgm to 5mgm.
Dr.G.V.Ramana Reddy
Ex(5): Radium decomposes at a rate proportional to the amount present. If ‘p’
percent of the original amount disappears in ‘l ’ years, how much will
remain at the end of ‘2l ’ years.
Sol: Let M(t) be the amount of radium
at any time t. Then by law of decay,
dM
M
dt
, where 0.
dM
kM k
dt
dM
kdt
M
log M kt c
0when 0, Let .t M M
0log 0M k c 0logc M
0we have log logM kt M
Dr.G.V.Ramana Reddy
0we have log logM kt M
0
0when years,
100
pM
t l M M
we have log
t
M
when 2 years,t l
0 1
100
p
M
0 0log 1 log
100
p
M kl M
1
log 1
100
p
k
l
0
2
log log 1 log
100
l p
M M
l
2
01
100
p
M M
0log 1 log
100
p
M
l
2
1 times the original amount remains after 2 years.
100
p
l
Ex(6): If 30% of a radio active substance
disappears in 10 days, how long will it
take for 90% to disappear.
Dr.G.V.Ramana Reddy
Ex(7): Uranium disintegrates at a rate proportional to the amount present at
any instant. If M1 and M2 are grams of uranium that are present at times
T1 and T2 respectively, find the half life of uranium.
Sol: Let M(t) be the amount of uranium
at any time t. Then by law of decay,
dM
M
dt
, where 0.
dM
kM k
dt
dM
kdt
M
log M kt c
0when 0, Let .t M M
0log 0M k c 0logc M
0we have log log (1)M kt M
(2) (3) gives
1 2 1 2log logM M k T T
1 1,T T M M 1 1 0log log (2)M kT M
2 2,T T M M 2 2 0log log (3)M kT M
1 2
1 2
log logM M
k
T T
Substituting value in (1), we getk
1 2
0
1 2
log log
log log
M M
M t M
T T
0we have log log (1)M kt M
1
02when , Lett T M M
1 21
0 02
1 2
log log
log log
M M
M T M
T T
1 2 1
2
1 2
log
log log
T T
T
M M
2 1
1 2
log 2
Half life of uranium is
log
T T
T
M M
Ex(8): In a chemical reaction a given substance
is being converted into another at a rate
proportional to the amount of substance
unconverted. If 1/5th of the original amount
has been transformed in 4 minutes, how much
time will be required to transform one half.
III. Newton’s law of cooling:
The rate of change of temperature of a body is proportional to the
difference between the temperature of the body and that of the
surrounding medium.
Let θ(t) be the temperature of the body at time t and θ0 be the
temperature of the surrounding medium. Then
0
d
dt
0 , where 0.
d
k k
dt
0
Room temperature 25 C
Time Temperature
0
6 A.M. 75 C
0
6 -10 .M. 65A C
6 -20 A.M. 0
57 C
6 -23 A.M. 0
55 C
Ex(1): A water cools from 750C to 650C in 10 minutes. If the temperature of the
atmosphere is 250C, find it’s temperature after 20 minutes. Also find
when the temperature will be 550C.
Sol: Here θ0 = 250C. By Newton’s law of cooling,
25
d
dt
25 , where 0.
d
k k
dt
25
d
kdt
log 25 kt c
0
when 0, 75t C
log 75 25 0k c log50c
we have log 25 log50kt
0
Room temperature 25 C
Time Temperature
0
6 A.M. 75 C
0
6 -10 .M. 65A C
6 -20 A.M. ?
? 0
55 C
we have log 25 log50kt
0
when 10minutes, 65t C
log 65 25 10 log50k
5
10 log50 log 40 log
4
k
1 5
log
10 4
k
we have log 25
t 5
log log50
10 4
when 20minutes,t
20
log 25
5
log log50
10 4
25
2
4
50
5
0
32 57 .C
0
when 55 C
log 55 25
t 5
log log50
10 4
3 5
log log
5 10 4
t
log0.6
10
log1.25
t 22.9 minutes.
The temperature after 20 minutes is 570C.
The temperature will be 550C after 22.9
minutes.
Ex(2): If the air temperature is 200C and the
body cools for 20 minutes from 1400C to 800C ,
find it’s temperature after 40 minutes. Also
find when the temperature will be 350C.
I. Order, Degree
II. Formation of d.e.
III. Solution methods of
UNIT - I
ORDINARY DIFFERENTIAL EQUATIONS OF
FIRST ORDER AND FIRST DEGREE
( , )
dy
f x y
dx
1. Variable Separable
2. Homogeneous
3. Linear
4. Exact
IV. Appplications
1. Orthogonal Trajectories
2. Law of Growth and Decay
3. Newton’s law of Cooling
Dr.G.V.Ramana Reddy

Differential equations

  • 1.
    ORDINARY DIFFERENTIAL EQUATIONS OFFIRST ORDER AND FIRST DEGREE Dr.G.V.RMANA REDDY M.Sc, Ph.D K.L.UNIVERSITY VADDESWARAM GUNTUR(DT) A.P
  • 2.
    Def: An equationinvolving differential coefficients is called a differential equation. 32 2 Ex 2 5 sec(1): d y dy x y x dx dx Ex(2): dy k x dydx dx 3 2 2 2 2 1 Ex(3): dy dx a d y dx Ex(4): u u x y nu x y Def: A differential equation is said to be ordinary if the derivatives in it are with respect to single independent variable. Def: A differential equation is said to be partial if the derivatives in it are with respect to more than one independent variable. Ex (1), (2), (3) are ordinary and Ex(4) is partial.
  • 3.
    Dr.G.V.Ramana Reddy Def: Theorder of a differential equation is the order of the highest derivative appearing in it. Ex (1), (3) are of order 2 and Ex(2) is of order 1. Def: The degree of a differential equation is the degree of the highest ordered derivative occurs in it, after the equation has been made free from fractions and radicals as far as the derivatives are concerned. 32 2 Ex 2 5 sec ,(1): d y dy x y x dx dx degree = 1. Ex(2): dy k x dydx dx 2 , dy dy x k dx dx degree = 2
  • 4.
    3 2 2 2 2 1 Ex(3): dy dx a d y dx 3 222 2 1 dy d y a dx dx 3 22 2 2 1 , dy d y a dx dx degree = 2
  • 5.
    Ex(1): Form thedifferential equation from cos sinx y e A x B x FORMATION OF DIFFERENTIAL EQUATIONS: by eliminating the arbitrary constants and .A B co n: s six S y e A x Bol x dy dx cos sinx e A x B x sin cosx e A x B x y 2 2 cos sinxd y e A x B x dx sin cosx e A x B x dy dx y dy dx dy y dx 2 2 2 2 0 is the differential equation. d y dy y dx dx 2 2 Ex(2): Form the differential equation from 1Ax By by eliminating the arbitrary constants and .A B sin cosx e A x B x
  • 6.
    Dr.G.V.Ramana Reddy Ex(3): Findthe differential equation, by eliminating a, b, c from .x x xy ae be c Sol: x x xy ae be c x xdy x y ae be dx 2 2 d y dy x dx dx x xdy ae be dx 2 2 2 d y dy x xy c dx dx 3 2 3 2 d y d y x dx dx 2 2 2 d y dx dy x y dx 3 2 3 2 3 0 is the differential equation. d y d y dy x x y dx dx dx
  • 7.
    Ex(4): Find thedifferential equation, by eliminating a, b, c, d from cos sin .x x y ae be c x d x Ex(5): Form the differential equation from tan tan .x y c taol: n nS tax y c 2 tan sec dy x y dx 2 sec tan 0 is the differential equation.x y 2 Ex(6): Form the differential equation from . 1 a x y x 2 Ex(7): Form the differential equation from .y c x c Ex(8): Form the differential equation from r 1 cos .a
  • 8.
    Ex(9): Find thedifferential equation of all straight lines in a plane. The family of straight lines in a planSol: e is , where m and c are parameters.y mx c dy m dx 2 2 0 is the differential equation. d y dx
  • 9.
    Dr.G.V.Ramana Reddy Ex(10): Findthe differential equation of all circles of radious ' ' in a plane.a The family of circles of radious ' ' in a plSol: an se ia 2 2 2 (1)x h y k a where h, k are parameters. 2 2 0 (2) dy x h y k dx 1 0 dy dy dx dx 2 2 2 1 (3) dy dx y k d y dx From (2), dy x h y k dx 2 2 2 1 (4) dy dydx d y dx dx ( , )h k ( , )x y a 2 2 d y y k dx Substituting (3) and (4) in (1) we get
  • 10.
    Dr.G.V.Ramana Reddy Substituting (3)and (4) in (1) we get 22 2 2 1 dy dydx d y dx dx 22 2 2 2 1 . dy dx a d y dx 22 2 2 1 dy dx d y dx 32 2 22 2 1 is the differential equation. dy dx a d y dx 2 2 1 . dy a dx 2 2 2 (1)x h y k a 2 2 2 1 (3) dy dx y k d y dx 2 2 2 1 (4) dy dydx x h d y dx dx
  • 11.
    Ex(11): Find thedifferential equation of all circles in a plane. Ex(12): Find the differential equation of the family of circles having the centre on x-axis and passing through the origin.
  • 12.
    ( , ) dy fx y dx Solution methods of I. Variable Separable II. Homogeneous III. Linear IV. Exact
  • 13.
    Ex(1): Solve 1 dy xy xy dx I. Variable Separable 1 2Form I: ( ) ( ) dy f x f y dx 1 2 1 2Form II: ( ) ( ) ( ) ( ) 0M x M y dx N x N y dy GiveSol: n 1 dy x y xy dx 1 (1 )x y x (1 )(1 )x y (1 ) 1 dy x dx y (1 ) 1 dy x dx c y log(1 )y 2 2 x x c Which is the required solution.
  • 14.
    2 Ex(2): Solve 3etan (1 )sec 0x x ydx e ydy 2 Given 3 tan (1 )sel cS 0o : x x e ydx e ydy Dividing with tan (1 ), we getx y e 3 1 x x e dx e 2 3 sec 1 tan x x e y dx dy c e y 2 sec 0 tan y dy y 3log(1 )x e log(tan ) logy C 3 (1 ) tanx e y C Put 0 and 4 x y 0 3 (1 ) tan 8 4 e C C The required solution is 3 (1 ) tan 8x e y given when 0. 4 y x
  • 15.
    Dr.G.V.Ramana Reddy 3 2 Ex(3): Solvex y x ydy e x e dx 2 2 1 Ex(4): Solve 0 1 dy y dx x (2log 1) Ex(5): Solve sin cos dy x x dx y y y 2 2 Ex(6): Solve 1 1 0x y dx xydy
  • 16.
    Reducible to VariableSeparable ( ) dy f ax by c dx Let ax by c v 2 Ex(7): Solve 3 4 dy x y dx 2 GiveSo n 3 4l (: 1) dy x y dx Let 3 4 (2)x y v 3 (3) dy dv dx dx Eliminate , by substituting (2),(3) in (1)y 2 3 dv v dx 2 3 dv v dx 2 3 dv dx v 2 3 dv dx c v 11 tan 3 3 v x c The solution of the given d.e. is 11 3 4 tan 3 3 x y x c
  • 17.
    Ex(8): Solve cosx y dy dx Ex(9): Solve cos sin dy x y x y dx
  • 18.
    II. Homogeneous Equations 1 2 (, ) ( , ) f x ydy dx f x y y f x 1 2Where ( , ), ( , ) are homogeneous of same degree.f x y f x y Let or y v y vx x 2 2 3 2 Ex(1): Solve 2 3 0x y xy dx x x y dy 2 2 3 2 Given 2Sol: 3 0x y xy dx x x y dy 2 2 3 2 2 3 dy x y xy dx x x y 2 2 (1) 1 3 y y x x y x
  • 19.
    Dr.G.V.Ramana Reddy 2 23 2 Ex(1): Solve 2 3 0x y xy dx x x y dy 2 2 3 2 Given 2Sol: 3 0x y xy dx x x y dy 2 2 3 2 2 3 dy x y xy dx x x y 2 2 (1) 1 3 y y x x y x Let or (2) y v y vx x sothat dy dx Eliminate y, by substituting (2), (3) in (1) 2 2 1 3 dv v v v x dx v 2 2 1 3 dv v v x v dx v (3) dv v x dx
  • 20.
    2 2 1 3 dv vv x v dx v 2 2 2 3 1 3 v v v v v 2 1 3 v v 2 1 3v dx dv v x 2 1 3 dx dv c v v x 1 3log logv x c v The required solution is 3log log x y x c y x 2 v dv 2 1 2 1 v 1 1 1 v v
  • 21.
    Ex(2): Solve tan dyy x y x dx x GivenSol: tan dy y x y x dx x tan (1) dy y y dx x x Let or (2) y v y vx x sothat dy dx Eliminate y, by substituting (2),(3) in (1) tan dv v x v v dx tan dv x v dx cot dx vdv x cot dx vdv c x logsin log logv x C sinv Cx The required solution is sin y Cx x (3) dv v x dx
  • 22.
    2 2 22 Ex(3): Solve 3 3 0x y dx x y dy Ex(4): Solve dy y dx x xy
  • 23.
    Reducible to Homogeneous 11 1 2 2 2 a x b y cdy dx a x b y c 1 1 2 2 If then we get coCa mmse I: on fa oct r. a b a b Let ax by v 1 1 2 2 Case I If the: nI a b a b Let ,x X h y Y k
  • 24.
    Dr.G.V.Ramana Reddy Ex(5): Solve2 1 4 2 1 0x y dx x y dy Given 2Sol: 1 4 2 1 0x y dx x y dy 2 1 2 1 . Here 4 2 1 4 2 dy x y dx x y 2 1 (1) 2 2 1 dy x y dx x y Let 2 (2)x y v sothat 2 (3) dy dv dx dx Eliminate y, by substituting (2),(3) in (1) 1 2 2 1 dv v dx v 1 2 2 1 dv v dx v
  • 25.
    Dr.G.V.Ramana Reddy 4 21 2 1 v v v 1 2 2 1 dv v dx v 3 3 2 1 v v 2 1 3 1 v dv dx v 1ax b a cx d cx d cx d c ad c a c 2 2 1 1 3 1 1 1 dv dx c v 2 log 1 3v v x c The required solution is 2 2 log 2 1 3x y x y x c . ., 2 log 2 1i e x y x y c Ex(6): Solve 2 1 2 4 2 0x y dx x y dy b ad bc c 1 cx d 2 1 1 3 1 v dv dx v 1 2 3 1 dv dx v
  • 26.
    Dr.G.V.Ramana Reddy Ex(7): Solve2 3 2 1. dy x y x y dx 2 1 Given (1Sol ) 2 3 : dy x y dx x y 2 1 Here . 1 2 Let and (2)x X h y Y k sothat and (3)dx dX dy dY Eliminate x,y; by substituting (2), (3) in (1) 2 1 2 3 X h Y kdY dX X h Y k 2 2 1 2 2 3 X Y h k X Y h k Select h, k such that 2 1 0 and 2 3 0h k h k (4)
  • 27.
    Dr.G.V.Ramana Reddy Select h,k such that 2 1 0 and 2 3 0h k h k 1 1 2 1 2 3 1 2 3 2 h 1 6 k 1 4 1 1 7 , 5 5 h k With these values of h and k, (4) becomes 2 2 dY X Y dX X Y 2 = (I) 1 2 Y X Y X Let or (II)Y X V Y VX sothat dY dX Eliminate Y, by substituting (II), (III) in (I) (III) dV V X dX
  • 28.
    Dr.G.V.Ramana Reddy 2 2 dY XY dX X Y 2 = (I) 1 2 Y X Y X Let or (II)Y X V Y VX sothat (III) dY dV V X dX dX Eliminate Y, by substituting (II), (III) in (I) dV V X dX 2 1 2 V V 2 1 2 dV V X V dX V 2 2 2 1 2 V V V V 2 1 2 1 2 V V V 2 1 2 1 V dV V V 2 dX X 2 1 2 2 1 V dX dV c V V X
  • 29.
    Dr.G.V.Ramana Reddy 2 1 2 2 1 VdX dV c V V X 2 log 1 2log logV V X C 2 2 1V V X C 2 2 2 1 Y Y X C X X 2 2 Y YX X C 2 27 7 1 1 5 5 5 5y y x x C 2 2 7 49 714 1 2 1 5 5 5 5 25 25 25y x yx y x C 2 2 1Thus 3 is the required solution.x y xy x y C Ex(8): Solve 2 3 5 3 2 5 0.x y dy x y dx 2 log 1 2log logV V X C 22 log 1 log logV V X C 2 2 log 1 logV V X C 1 5 x X h X 7 5 y Y k Y
  • 30.
    Dr.G.V.Ramana Reddy III. LinearEquations: Leibnitz’s Linear Equation is , where P,Q are functions of x. dy Py Q dx The solution is y IF Q IF dx c where Pdx IF e proof : Let dy Py Q dx Pdx Pdx Pdxdy e Py e Q e dx Pdxd ye dx Pdx Pdx d ye Q e dx Pdx Pdx ye Q e dx c Pdx Q e
  • 31.
    Dr.G.V.Ramana Reddy 2 2 Ex(1):Solve 1 2 1 . dy x xy x x dx Given equation can be writtSol: en as 2 2 2 which is linear. 1 1 dy x x y dx x x 2 2 2 Here , 1 1 x x P Q x x 2 2 1 x Pdx dx x 2 log 1 x 12 log1Pdx x IF e e 12 2 1 1 1 x x The solution is y IF Q IF dx c 2 22 1 1 . ., 1 11 x i e y dx c x xx 12 log 1 x
  • 32.
    2 1 . ., 1 i ey x The solution is y IF Q IF dx c 2 22 1 1 . ., 1 11 x i e y dx c x xx 3 12 2 32 1 2 11 1 . ., 1 2 x i e y c x 2 2 1 1 . ., 1 1 i e y c x x 2 2 . ., 1 1i e y x c x 1 2 2 x dx c 2 1F x 3 2 21 x
  • 33.
    Dr.G.V.Ramana Reddy 2 Ex(2): Solve1. x e y dx dyx x Given equation can be writteSol: n as 2 x e y dy dxx x 2 which is linear. x dy y e dx x x 2 1 Here , x e P Q x x 1 Pdx dx x 1 1 2 1 1 2 x 2 x 2Pdx x IF e e The solution is y IF Q IF dx c 2 2 2 x x xe y e e dx c x 2 1 . ., x i e y e dx c x 2 . ., 2x i e y e x c
  • 34.
    sin 2 Ex(3): Solve. log log dy y x dx x x x cos Ex(4): Solve cot 5 , when then 4. 2 xdy y x e x y dx 3 Ex(5): Solve 2 , if 2 when 1. dy x xy y x dx Ex(6): Solve 2 cot sin 2 0.dr r d
  • 35.
    Reducible to Linear I.Bernoulli's Equation: ( ) ( ) ndy P x y Q x y dx 1 ( ) ( )n ndy y P x y Q x dx 1 Let n y v II. General Form: ! ( ) ( ) ( ) ( ) dy f y P x f y Q x dx Let ( )f y v
  • 36.
    2 6 Ex(7): Solve. dy x y x y dx Given equation can be writteSol: n as 61 , Which is Bernoulli's equation. dy y xy dx x 6 51 (1) dy y y x dx x 5 Let (2)y v 6 sothat 5 (3) dy dv y dx dx Eliminate y, by substituting (2),(3) in (1) 1 1 5 dv v x dx x
  • 37.
    5 5 which islinear. dv v x dx x 1 1 5 dv v x dx x 5 Here , 5P Q x x 5 Pdx dx x 5 logPdx x IF e e The solution is v IF Q IF dx c 5 5 5 5y x x x dx c 4 1 5 5 5 4 1 x y x c 5 5 3 1 5 . ., 3 i e c y x x 5 5log logx x 5 x
  • 38.
    Dr.G.V.Ramana Reddy 3 2 Ex(8):Solve sin 2 cos . dy x y x y dx Given equation can be writtSol: en as 3 2 2 1 2sin cos cos cos dy y y x x y dx y 2 3 sec 2 tan (1) dy y x y x dx Let tan (2)y v 2 so that sec (3) dy dv y dx dx Eliminate y, by substituting (2),(3) in (1) 3 2 which is linear. dv xv x dx
  • 39.
    3 2 which islinear. dv xv x dx 3 Here 2 ,P x Q x 2 2Pdx xdx x 2Pdx x IF e e The solution is v IF Q IF dx c 2 2 3 tan x x y e x e dx c 2 Let so that 2x t xdx dt 2 3 x x e dx 1 2 t te dt 1 2 t t e 1 t e 1 1 2 t e t Thus the required solution is 2 2 21 tan 1 2 x x e y e x c
  • 40.
    2 Ex(9): Solve tansec . dy y x y x dx 3 2 4 Ex(10): Solve cos 0. dy x x y y x dx tan Ex(11): Solve = 1+x sec . 1 xdy y e y dx x Ex(12): Solve log .xdy x y y xye dx 2 3 1 Ex(13): Solve 1 sin dy x xy y x dx
  • 41.
    IV. Exact Equations: Adifferential equatin ( , ) ( , ) 0 is said to be exactDef: fiM x y dx N x y dy there exist a function ( , ) such that .f x y df Mdx Ndy 0 is exactEx(i): ydx xdy , since it can be written as ( ) .d xy ydx xdy 2 2 0 is exact , since itEx(ii): can be written asxydx x dy 2 2 ( ) 2 .d x y xydx x dy The necessary and sufficient condition for a differentialTheo equr aem: tion ( , ) ( , ) 0 is said to be exact isM x y dx N x y dy . M N y x It's solution is (Terms of free from ) .Mdx N x dy c
  • 42.
    2 2 Ex(1): Solvesin 2 cos 0.y xdx y x dy 2 2 Here sinSol 2 ,: cosM y x N y x M y N x 2cos x( sin )x sin2x M N y x It's solution isIt is exact d.e. (Terms of free from ) .Mdx N x dy c i.e., sin 2y xdx 2 y dy c i.e., y cos2 2 x 3 3 y c 3 i.e., 2 3 cos2y y x C sin 2 ,x
  • 43.
    2 Ex(2): Solve costan cos( ) sin sec cos( ) 0.x y x y dx x y x y dy 2 Here cos tanS cos( ), sin sec cos( )ol: M x y x y N x y x y M y M N y x It's solution isIt is exact d.e. (Terms of free from ) .Mdx N x dy c i.e., cos tan cos( )x y x y dx sin( ),x y N x sin( )x y 0dy c i.e., sin tanx y sin( )x y c 2 cos secx y 2 cos secx y
  • 44.
    Ex(3): Solve 21 2 1 0.x y dx y x dy Ex(4): Solve 1+ 1 0. x x y y x ye dx e dy 2 2 Ex(5): Solve 1 1 0.x y dx y x dy
  • 45.
    Reducible to Exact: Ex(6):Solve 0.ydx xdy : It is not exSol act. 2 2 0 which is exact. ydx xdy y y 0 x d y is the solution. x c y Above equation can be writtNote: en as 2 2 0 y x dx dy y y 2 2 1 Here and y x M N y y y 2 1M y y N x It is exact. Its solution is (Terms of free from )Mdx N x dy c 1 . ., 0i e dx dy c y . ., x i e c y 2 1 Multiplying the given equation with , y
  • 46.
    Def: The factorwhich makes the differential equation to exact d.e. is called Integrating Factor. IF of d.e. is not unNote: ique. For 0, IF's areydx xdy 2 2 2 2 2 1 2 1 1 , , , , .etc y y x x y  1. IF found of inspection: )i) (( xdy ydx d xy 2 ii)( xdy ydx x y d x 2 2 ( i)ii xdy ydx x y 1 tan y x 2 2 (iv) xdy ydx x y 1 log 2 x y d x y 2 2 v)( xdx ydy x y 2 21 log 2 d x y
  • 47.
    3 2 2 Ex(7): Solve3 0.x ydx xdy x y e dx Sol: 2 1 Multiplying the given d.e. with , we get y 3 2 2 3 0xydx xdy x e dx y x d y 3 0x d e 3 is the required solution.xx e c y 3 2 3 0xx d x e dx y 3 2 3 xx d x e dx c y 3 Let x t 2 so that 3x dx dt 3 2 Now 3 x x e dx t e dt t e 3 x e 3 is the required solution.xx e c y
  • 48.
    Dr.G.V.Ramana Reddy Ex(8): Solvelog 0.ydx xdy xdx 2 2 2 Ex(9): Solve xdx ydy x y a xdy ydx
  • 49.
    2. IF ofhomogeneous equation M dx + N dy = 0 1 IF Mx Ny 2 3 3 Ex(10): Solve 0.x ydx x y dy Given d.e. is homogeneSol: ous. Here Mx Ny 2 x y x 3 3 x y y 4 y 4 1 1 IF Mx Ny y 4 1 Multiplying the given equation with , we get y 2 4 x y dx y 3 3 4 x y dy y 4 0 y 2 3 x dx y 3 4 1 0 x dy y y which is exact. It's solution is 2 3 x dx y 1 dy c y 3 3 i.e., 3 x y log y c 2 3 2 2 Ex(11): Solve 3 2 0.xy y dx x y xy dy
  • 50.
    Dr.G.V.Ramana Reddy 3. of0IF Mdx Ndy f xy ydx g xy xdy 1 IF Mx Ny 2 2 4 3 Ex(12): Solve 2 2 0.xy y dx x x y x y dy Given d.e. can be written of theSol: form 2 1xy ydx 3 3 1 2 0xy x y xdy Here Mx Ny 2 1xy yx 3 3 1 2xy x y xy 4 4 x y 4 4 1 1 IF Mx Ny x y 4 4 1 Multiplying the given equation with , we get x y 2 4 4 2xy y dx x y 2 4 3 4 4 2x x y x y dy x y 4 4 0 x y
  • 51.
    2 2 43 4 4 4 4 4 4 2 2 0xy y x x y x y dx dy x y x y x y 3 2 . ., 2i e x y 3 4 x y 2 3 2x y 1 0y dy Which is exact. It's solution is 4 3 x y dx 3 2 4 3 2x y x y dx 3 1 2 . ., 2 3 1 x i e y 4 1 3 4 1 x y log y c 2 2 1 . .,i e x y 3 3 1 3x y log y C 1 y dy c Ex(13): Solve 1 1 0.y xy dx x xy dy
  • 52.
    4. of xx 0a b c d IF y my dx nxdy y py dx qxdy h k IF x y 4 2 3 Ex(14): Solve 3 2 5 0.xy y dx x y x dy Given equation is of theSol: form 3 3xy ydx Multiplying the given d.e. with , we geth k IF x y 1 4 1 3h k h k x y x y dx 2 3 1 2 5 0.h k h k x y x y dy For this equation to be exact, we should have M N y x 1 3 4 h k k x y 3 1 h k k x y 1 3 2 2 h k h x y 5 1 h k h x y 3 2 5 0xy xdy 3 i.e., 2xy ydx xdy 0 0 3 5 0x y ydx xdy
  • 53.
    1 3 4 hk k x y 3 1 h k k x y 1 3 2 2 h k h x y 5 1 h k h x y Comparing coefficients of like powers, we get 4 2 2k h and 3 1 5 1k h 2 ,k h 3 2 1h 5 1h 2,h 4k The d.e. becomes 3 8 2 5 3x y x y dx 4 7 3 4 2 5 0.x y x y dy Which is exact. It's solution is 3 8 2 5 3x y x y dx 0dy c 4 8 . ., 4 x y i e 3 5 x y c 2 4 3 3 Ex(15): Solve 3 6 0.x y y dx x xy dy
  • 54.
    5. of 0IFMdx Ndy ( ) If ( ) t( hi e) n f x dx M N y x f x IF e N ( ) If ( )(ii) then g y dy N M x y g y IF e M
  • 55.
    2 3 2 Ex(16):Solve 6 0.x y x dx y xdy 2 3 2 Here 6 ,Sol: M x y x N y x 2 3 , M y y 2N y x M N y x N 2 2 2 3y y y x 2 x ( )f x ( )f x dx IF e 2 dx x e 2log x e 2 log x e 2 x 2 Multiplying the given d.e. with , we getIF x 4 2 3 3 6x x y x dx 2 3 0y x dy which is exact. It's solution is 4 2 3 3 6x x y x dx 0dy c 5 . ., 5 x i e 3 3 3 x y 4 3 2 x c
  • 56.
    Ex(17): Solve 13 2 0.y x y dx x x y dy 2 2 S Here , 3ol 2: M yx y y N x xy x 2 1, M x y y 2 3 2 N x y x N M x y M 1 1 1 x y y x y y ( )g y ( )g y dy IF e 1 dy y e log y e Multiplying the given d.e. with , we getIF y 2 1 3 2 0.y x y dx yx x y dy which is exact. It's solution is 2 3 2 xy y y dx 0dy c 2 2 . ., 2 x y i e y 3 2 xy xy c
  • 57.
    3 2 Ex(18): Solve2 2 0.x y dx xydy 3 2 21 Ex(19): Solve 0. 3 2 4 y x y dx x xy dy 3 2 2 4 Ex(20): Solve 2 0.xy y dx x y x y dy
  • 58.
    Miscelleneous Problems Solve thefollowing: 2 2 5 2 (1) 3 2 dy y x dx x x x 2 1 1(11 an) ty dx y x dy 4 (8) ydy x e x dx 2 3 3) 1 ( dy dx x y xy (10) 2 0x x y xy e dx e dy (7) x y dx dy dx dy sin cos sin cos 0(5) xy xy xy ydx xy xy xy xdy 0(2) dy ax hy g dx hx by f sin 2 1 co(6) cos sxdy y x e x dx 2 i(9) f 0 when 0.y xdy xe y x dx (4) sec dy x y dx
  • 59.
    APPLICATIONS: I. Orthogonal Trajectories II.Law of Growth and Decay III. Newton’s Law of Cooling
  • 60.
    I. Orthogonal Trajectories: Def:A curve which cuts every member of a given family of curves at a right angle is an orthogonal trajectory of the given family. x y
  • 61.
    1. Cartesian form: Let( , , ) 0, (1)f x y c be the given family of curves. Form the differential equation of(i) (1). Let it be , , 0. (2) dy F x y dx Replace(ii) by in (2). dy dx dx dy Then the d.e. of orthogonal trajectories of (1) is , , 0. (3) dx F x y dy Solve (3) to get orthogonal trajectories o(ii fi) (1).
  • 62.
    2. Polar form: Let( , , ) 0, (1)f r c be the given family of curves. Form the differential equation of(i) (1). Let it be , , 0. (2) dr F r d 2 Replace by(ii) in (2). dr d r d dr Then the d.e. of orthogonal trajectories of (1) is 2 , , 0. (3) d F r r dr Solve (3) to get orthogonal trajectories o(ii fi) (1).
  • 63.
    Ex(1): Find theorthogonal trajectories of the family of parabolas 2 4 , where ' ' is a parameter.y ax a x y
  • 64.
    Ex(1): Find theorthogonal trajectories of the family of parabolas 2 4 , where ' ' is a parameter.y ax a 2 Given family of parabolas isSol: 4 (1)y ax Differentiating (1) w.r.t. x we get 2 4 (2) dy y a dx Eliminating ' ' from (1) and (2), we geta 2 dy y dx 2 (3) y x Which is the d.e. of (1). Replace by in (3), dy dx dx dy we get d.e. of orthogonal trajectories of (1) 2 2 dx y y dy x 2xdx ydy o 2 2 2 y x c Which is the orthogonal trajectories of (1)
  • 65.
    x y2 4y ax 2 2 2 2 22 2 i.e., 1 2 y x c x y c c Ex(2): Find the orthogonal trajectories of families of semi-cubical 2 3 parabolas , where ' ' is the parameter.ay x a
  • 66.
    Ex(3): Find theorthogonal trajectories of the family of circles 2 2 2 0, where 'g' is a paramater.x y gy c 2 2 Given family of circles is 2Sol: 0 (1)x y gy c where ' ' is a parameter.g Differentiating (1) w.r.t. x we get 2 2 2 0 (2) dy dy x y g dx dx Eliminating 'g' from (1) and (2), we get 2 2 dy x y dx 2 2 x y c y 2 2 2gy x y c Which is the d.e. of (1). 0 dy dx Replace by in (3), dy dx dx dy (3)
  • 67.
    2 2 dy x y dx 22 x y c y 0 dy dx 2 2 dx x y dy 2 2 0 x y c dx y dy Replace by in (3), dy dx dx dy 2xydy 2 2y dx 2 2 0x y c dx 2 2 x y c dx 2 0xydy we get d.e. of orthogonal trajectories of (1) 2 2 Here and 2M x y c N xy 2 , M y y 2 N y x M N y x N 2 2 2 y y xy 2 x ( )f x (I) (3)
  • 68.
    Dr.G.V.Ramana Reddy M N yx N 2 2 2 y y xy 2 x ( )f x ( )f x dx IF e 2 dx x e 2log x e 2 log x e 2 x 2 Multiplying (I) with , we getIF x 2 2 x y c dx 2 0xydy (I) 2 2 2 1 x y cx dx 1 2 0x ydy which is exact. It's solution is 2 2 2 1 x y cx dx 0dy c i.e., x 2 1 2 1 x 2 y c a 2 i.e., y c x a x 2 2 i.e., 0.x y ax c which is the required orthogonal trajectories. Ex(4): Find the orthogonal trajectories 2 2 2 0,x y fx c of the family of circles where ' ' is a parameter.f
  • 69.
    Ex(5): Show thatthe system of confocal and coaxial parabolas 2 4 ( ) is self orthogonal.y a x a 2 Given family of curves is 4 ( ) (So 1)l: y a x a where ' ' is a parameter.a Differentiating (1) w.r.t. we getx 12 4 (2)yy a Eliminating ' ' from (1) and (2), we geta 2 12y yy 1 2 yy x 2 2 2 1 1i.e., y 2 0 (3)xyy y y Which is the d.e. of (1). 1 1 1 Replace y by in (3), y
  • 70.
    Dr.G.V.Ramana Reddy 2 22 1 1i.e., y 2 0 (3)xyy y y Which is the d.e. of (1). 1 1 1 Replace by in (3), we gety y 2 2 2 1 1 1 1 2 0y xy y y y 2 2 1i.e., y y 12xyy 2 0y 2 2 2 1 1i.e., 2 0 (4)y xyy y y which is the d.e. of orthogonal trajectories of (1). Since equations (3) and (4) are same, the given family of curves is self-orthogonal. Ex(6): Show that the system of confocal conics 2 2 2 2 + =1, where is parameter, is self orthogonal. x y a b
  • 71.
    Dr.G.V.Ramana Reddy x y (1 cos)r a Ex(7): Find the orthogonal trajectories of the family of cardioids (1 cos ), where 'a' is parameter.r a θ 0 r 2a a 0 2
  • 72.
    Ex(7): Find theorthogonal trajectories of the family of cardioids (1 cos ), where ' ' is a parameter.r a a Given family of cardioids is (1 cos ) (1S l )o : r a where ' ' is a parameter.a Differentiating (1) w.r.t. we get ( sin ) (2) dr a d Eliminating ' ' from (1) and (2), we geta Which is the d.e. of (1). 2 Replace by in (3), dr d r d dr ( sin ) (3) 1 cos dr r d
  • 73.
    Which is thed.e. of (1). 2 Replace by in (3), dr d r d dr ( sin ) (3) 1 cos dr r d we get d.e. of orthogonal trajectories of (1) 2 d r dr sin 1 cos r 2 2 2 2 2sin cos 2cos r 2tanr 2cot d dr r log r 22log sin logc 2 2log log sin logr c 2 2log log sinr c2 2sinr c 1 cos 2 c i.e., (1 cos )r C which is the required orthogonal trajectories. Let 2 A
  • 74.
    Dr.G.V.Ramana Reddy x y (1 cos)r a(1 cos )r c θ 0 r 0 c 2c θ 0 r 2a a 0 22
  • 75.
    (1 cos )ra x y (1 cos )r c
  • 76.
  • 77.
  • 78.
  • 79.
  • 80.
  • 81.
  • 82.
  • 83.
  • 84.
  • 85.
    Ex(8): Find theorthogonal trajectories of the family of curves r cos , where ' ' is a parameter.n n n a a Given family of curves is cosSol: (1)n n r n a where ' ' is a parameter.a Differentiating (1) w.r.t. we get 1 cosn dr nr n d Which is the d.e. of (1). 2 Replace by in (2), dr d r d dr cos sin 0 (2) dr n r n d sin 0n r n n
  • 86.
    Which is thed.e. of (1). 2 Replace by in (2), dr d r d dr cos sin 0 (2) dr n r n d 2 cos sin 0 d r n r n dr we get d.e. of orthogonal trajectories of (1) i.e., cot n d 1 0dr r log sin n 1 log logr c n i.e., log sin log logn n r n c log sin log logn n n r c log sin logn n r n ci.e., sinn n r n c which is the required orthogonal trajectories. Ex(9): Find the O.T. of r cos ,n n a n where ' ' is a parameter.a Ex(10): Find the O.T. of 2 r 1 cos a where ' ' is a parameter.a
  • 87.
    II. Growth andDecay: (1) Law of natural growth: The rate of increase of population is proportional to the number of population present at that time. Let N(t) be the number of population present at any time t. Then dN N dt , where 0. dN kN k dt (2) Law of natural decay: The rate of decrease (on decay) of a substance is proportional to the amount of substance present at that time. Let M(t) be the amount of substance present at any time t. Then dM M dt , where 0. dM kM k dt Number of MosquDay itos Thursday 50 Friday 150 Monday 4050
  • 88.
    Ex(1): The numberN of bacteria in a culture grew at a rate proportional to N. The value of N was initially 50 and increased to 150 in one hour. What will be the value of N after 4 hours. dN N dt , where 0. dN kN k dt dN kdt N log N kt c when 0, 50t N log50 0k c log50c we have log log50N kt when 1 , 150t hour N log150 1 log50k log150 log50k log3 we have log log3 log50N t when 4 ,t hours log 4log3 log50N 4 3 50 4050N Sol: Let N(t) be the number of bacteria at any time t. Then by law of growth, ∴ The value of N after 4 hours is 4050. Ex(2): The number N of bacteria in a culture grew at a rate proportional to N. The value of N was initially 100 and increased to 332 in one hour. What was the value of N after 1½ hours. Number of MosquDay itos Thursday 50 Friday 150 Monday ?
  • 89.
    Dr.G.V.Ramana Reddy Ex(3): Therate at which bacteria multiply is proportional to the instantaneous number present. If the original number doubles in 2 hours, in how many hours will it be triple. dN N dt , where 0. dN kN k dt dN kdt N log N kt c 0when 0, Let .t N N 0log 0N k c 0logc N 0we have log logN kt N Sol: Let N(t) be the number of bacteria at any time t. Then by law of growth, 0when 2 , 2t hour N N 2 log 2k we have log N 0 0log2 2 logN k N 0log 2 log 2 N t 0when 3N N 0 0log3 log 2 log 2 t N N 2log3 log2 t ∴ The value will be triple within 2log3 hours. log2 0 0log3 log log 2 2 t N N 0 0 3 log log 2 2 N t N log3 log 2 2 t
  • 90.
    Dr.G.V.Ramana Reddy Ex(4): Aradio active substance disintegrates at a rate proportional to its mass. When mass is 10 mgm. the rate of disintegration is 0.051 mgm per day. How long will it take for the mass to be reduced from 10 mgm to 5mgm? Sol: Let M(t) be the amount of substance at any time t. Then by law of decay, dM M dt , where 0. dM kM k dt dM kdt M log M kt c when 0, 10 .t M mgm log10 0k c log10c we have log log10M kt when 1 day, 10 0.051 9.949t M log 0.9949 0.0051k log9.949 1 log10k we have log 0.0051 log10M t log5 0.0051 log10t when 5,M 0.6931 135.902 0.0051 t 0.0051 log10 log5t log 2 0.6931 It will take 136 days for the mass to be reduced from 10 mgm to 5mgm.
  • 91.
    Dr.G.V.Ramana Reddy Ex(5): Radiumdecomposes at a rate proportional to the amount present. If ‘p’ percent of the original amount disappears in ‘l ’ years, how much will remain at the end of ‘2l ’ years. Sol: Let M(t) be the amount of radium at any time t. Then by law of decay, dM M dt , where 0. dM kM k dt dM kdt M log M kt c 0when 0, Let .t M M 0log 0M k c 0logc M 0we have log logM kt M
  • 92.
    Dr.G.V.Ramana Reddy 0we havelog logM kt M 0 0when years, 100 pM t l M M we have log t M when 2 years,t l 0 1 100 p M 0 0log 1 log 100 p M kl M 1 log 1 100 p k l 0 2 log log 1 log 100 l p M M l 2 01 100 p M M 0log 1 log 100 p M l 2 1 times the original amount remains after 2 years. 100 p l Ex(6): If 30% of a radio active substance disappears in 10 days, how long will it take for 90% to disappear.
  • 93.
    Dr.G.V.Ramana Reddy Ex(7): Uraniumdisintegrates at a rate proportional to the amount present at any instant. If M1 and M2 are grams of uranium that are present at times T1 and T2 respectively, find the half life of uranium. Sol: Let M(t) be the amount of uranium at any time t. Then by law of decay, dM M dt , where 0. dM kM k dt dM kdt M log M kt c 0when 0, Let .t M M 0log 0M k c 0logc M 0we have log log (1)M kt M
  • 94.
    (2) (3) gives 12 1 2log logM M k T T 1 1,T T M M 1 1 0log log (2)M kT M 2 2,T T M M 2 2 0log log (3)M kT M 1 2 1 2 log logM M k T T Substituting value in (1), we getk 1 2 0 1 2 log log log log M M M t M T T 0we have log log (1)M kt M 1 02when , Lett T M M 1 21 0 02 1 2 log log log log M M M T M T T 1 2 1 2 1 2 log log log T T T M M 2 1 1 2 log 2 Half life of uranium is log T T T M M Ex(8): In a chemical reaction a given substance is being converted into another at a rate proportional to the amount of substance unconverted. If 1/5th of the original amount has been transformed in 4 minutes, how much time will be required to transform one half.
  • 95.
    III. Newton’s lawof cooling: The rate of change of temperature of a body is proportional to the difference between the temperature of the body and that of the surrounding medium. Let θ(t) be the temperature of the body at time t and θ0 be the temperature of the surrounding medium. Then 0 d dt 0 , where 0. d k k dt 0 Room temperature 25 C Time Temperature 0 6 A.M. 75 C 0 6 -10 .M. 65A C 6 -20 A.M. 0 57 C 6 -23 A.M. 0 55 C
  • 96.
    Ex(1): A watercools from 750C to 650C in 10 minutes. If the temperature of the atmosphere is 250C, find it’s temperature after 20 minutes. Also find when the temperature will be 550C. Sol: Here θ0 = 250C. By Newton’s law of cooling, 25 d dt 25 , where 0. d k k dt 25 d kdt log 25 kt c 0 when 0, 75t C log 75 25 0k c log50c we have log 25 log50kt 0 Room temperature 25 C Time Temperature 0 6 A.M. 75 C 0 6 -10 .M. 65A C 6 -20 A.M. ? ? 0 55 C
  • 97.
    we have log25 log50kt 0 when 10minutes, 65t C log 65 25 10 log50k 5 10 log50 log 40 log 4 k 1 5 log 10 4 k we have log 25 t 5 log log50 10 4 when 20minutes,t 20 log 25 5 log log50 10 4 25 2 4 50 5 0 32 57 .C 0 when 55 C log 55 25 t 5 log log50 10 4 3 5 log log 5 10 4 t log0.6 10 log1.25 t 22.9 minutes. The temperature after 20 minutes is 570C. The temperature will be 550C after 22.9 minutes. Ex(2): If the air temperature is 200C and the body cools for 20 minutes from 1400C to 800C , find it’s temperature after 40 minutes. Also find when the temperature will be 350C.
  • 98.
    I. Order, Degree II.Formation of d.e. III. Solution methods of UNIT - I ORDINARY DIFFERENTIAL EQUATIONS OF FIRST ORDER AND FIRST DEGREE ( , ) dy f x y dx 1. Variable Separable 2. Homogeneous 3. Linear 4. Exact IV. Appplications 1. Orthogonal Trajectories 2. Law of Growth and Decay 3. Newton’s law of Cooling Dr.G.V.Ramana Reddy