STEVEN G. KRANTZ
Washington University in St. Louis, Department of Mathematics




Partial Differential Equations
and Complex Analysis

Based on notes by Estela A. Gavosto and Marco M. Peloso




CRC PRESS
Boca Raton Ann Arbor London           Tokyo
Library of Congress Cataloging-in-Publication Data

Krantz, Steven G., 1951-
      Partial differential equations and complex analysis / Steven G. Krantz.
          p. cm.
      Includes bibliographical references (p.     ) and index.
      ISBN 0-8493-7155-4
      1. Differential equations. Partial. 2. Functions of a complex variable.
3. Mathematical analysis. 4. Functions of several complex variables. I. Title.
   QA374.K9 1992
   515' .35-dc20                                                              92-11422
                                                                                  CIP




This book represents information obtained from authentic and highly regarded sources.
Reprinted material is quoted with permission, and sources are indicated. A wide variety
of references are listed. Every reasonable effort has been made to give reliable data
and information, but the author and the publisher cannot assume responsibility for the
validity of all materials or for the consequences of their use.

All rights reserved. This book, or any parts thereof, may not be reproduced in any form
without written consent from the publisher.

This book was formatted with ItTJ¥( by Archetype Publishing Inc., P.O. Box 6567,
Champaign, IL 61826.

Direct all inquiries to CRC Press, Inc., 2000 Corporate Blvd., N.W., Boca Raton, Horida,
33431.



                              © 1992 by CRC Press, Inc.

                 International Standard Book Number 0-8493-7155-4

                     Library of Congress Card Number 92-11422

             Printed in the United States of America   12 34567 890

                              Printed on acid-free paper
To the memory of my grandmother,
Eda Crisafulli.
Contents




      Preface                                                 xi

1     The Dirichlet Problem in the Complex Plane               1
1.1   A Little Notation                                        1
1.2   The Dirichlet Problem                                    2
1.3   Lipschitz Spaces                                         7
1.4   Boundary Regularity for the Dirichlet Problem for the
      Laplacian on the Unit Disc                              10
1.5   Regularity of the Dirichlet Problem on a Smoothly
      Bounded Domain and Conformal Mapping                    20


2     Review of Fourier Analysis                              26
2.1   The Fourier Transform                                   26
2.2   Schwartz Distributions                                  36
2.3   Convolution and Friedrichs Mollifiers                   43
2.4   The Paley-Wiener Theorem                                48


3     PseudodifferentialOperators                             52
3.1   Introduction to Pseudodifferential Operators            52
3.2   A Formal Treatment of Pseudodifferential Operators      56
3.3   The Calculus of Pseudodifferential Operators            65

4     Elliptic Operators                                      76
4.1   Some Fundamental Properties of Partial Differential
      Operators                                               76
viii


4.2    Regularity for Elliptic Operators                         81
4.3    Change of Coordinates                                     87
4.4    Restriction Theorems for Sobolev Spaces                   89


5      Elliptic Boundary Value Problems                         95
5.1    The Constant Coefficient Case                            95
5.2    Well-Posedness                                           99
5.3    Remarks on the Solution of the Boundary Value Problem
       in the Constant Coefficient Case                         108
5.4    Solution of the Boundary Value Problem in the Variable
       Coefficient Case                                         109
5.5    Solution of the Boundary Value Problem Using
       Pseudodifferential Operators                             115
5.6    Remarks on the Dirichlet Problem on an Arbitrary
       Domain, and a Return to Conformal Mapping                123
5.7    A Coda on the Neumann Problem                            126


6      A Degenerate Elliptic Boundary Value Problem             128
6.1    Introductory Remarks                                     128
6.2    The Bergman Kernel                                       131
6.3    The Szego and Poisson-Szego Kernels                      138
6.4    The Bergman Metric                                       143
6.5    The Dirichlet Problem for the Invariant Laplacian
       on the Ball                                              148
6.6    Spherical Harmonics                                      154
6.7    Advanced Topics in the Theory of Spherical Hannonics:
       the Zonal Harmonics                                      160
6.8    Spherical Harmonics in the Complex Domain and
       Applications                                             172


7      The a-Neumann Problem                                    184
7.1    Introduction to Hermitian Analysis                       185
7.2                          a
       The Formalism of the Problem                             189
7.3    Formulation of the a-Neumann Problem                     196
7.4    The Main Estimate                                        201
7.5    Special Boundary Charts, Finite Differences, and Other
       Technical Matters                                        208
7.6    First Steps in the Proof of the Main Estimate            218
7.7    Estimates in the Sobolev -1/2 Norm                       224
7.8    Conclusion of the Proof of the Main Estimate             234
7.9    The Solution of the a-Neumann Problem                    242
ix


8     Applications of the a-Neumann Problem                  252
8.1   An Application to the Bergman Projection               252
8.2   Smoothness to the Boundary of Biholomorphic Mappings   256
8.3   Other Applications of [) Techniques                    263

9     The Local Solvability Issue and a Look Back            269
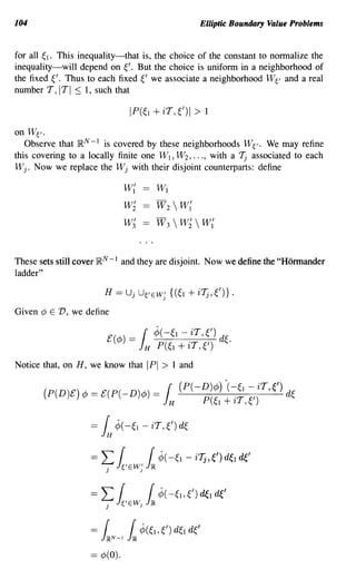
9.1   Some Remarks about Local Solvabilitiy                  269
9.2   The Szego Projection and Local Solvability             270
9.3   The Hodge Theory for the Tangential Cauchy-Riemann
      Complex                                                274
9.4   Commutators, Integrability, and Local Solvability      277

      Table of Notation                                      283


      Bibliography                                           287


      Index                                                  295
Preface




The subject of partial differential equations is perhaps the broadest and deepest
in all of mathematics. It is difficult for the novice to gain a foothold in the
subject at any level beyond the most basic. At the same time partial differential
equations are playing an ever more vital role in other branches of mathematics.
This assertion is particularly true in the subject of complex analysis.
   It is my experience that a new subject is most readily learned when presented
in vitro. Thus this book proposes to present many of the basic elements of linear
partial differential equations in the context of how they are applied to the study of
complex analysis. We shall treat the Dirichlet and Neumann problems for elliptic
equations and the related Schauder regularity theory. Both the classical point of
view and the pseudodifferential operators approach will be covered. Then we
shall see what these results say about the boundary regularity of biholomorphic
mappings. We shall study the a-Neumann problem, then consider applications to
the complex function theory of several variables and to the Bergman projection.
The book culminates with applications of the a-Neumann problem, including
a proof of Fefferman's theorem on the boundary behavior of biholomorphic
mappings. There is also a treatment of the Lewy unsolvable equation from
several different points of view.
   We shall explore some partial differential equations that are of current interest
and that exhibit some surprises. These include the Laplace-Beltrami operator
for the Bergman metric on the ball. Along the way, we shall give a detailed
treatment of the Bergman kernel and associated metric, the Szego kernel, and
the Poisson-Szego kernel. Some of this material, particularly that in Chapter 6,
may be considered ancillary and may be skipped on a first reading of this book.
   Complete and self-contained proofs of all results are provided. Some of these
appear in book form for the first time. Our treatrlent of the a-Neumann problem
parallels some classic treatments, but since we present the problem in a concrete
setting we are able to provide more detail and a more leisurely pace.
   Background required to read this book is a basic grounding in real and com-
plex analysis. The book Function Theory of Several Complex Variables by this
author will also provide useful background for many of the ideas seen here.
Acquaintance with measure theory will prove helpful. For motivation, exposure
xii                                                                        Preface


to the basic ideas of differential equations (such as one would encounter in a
sophomore differential equations course) is useful. All other needed ideas are
developed here.
   A word of warning to the reader unversed in reading tracts on partial differ-
ential equations: the metier of this subject is estimates. To keep track of the
constants in these estimates would be both wasteful and confusing. (Although in
certain aspects of stability and control theory it is essential to name and catalog
all constants, that is not the case here.) Thus we denote most constants by G
or G'; the values of these constants may change from line to line, even though
they are denoted with the same letter. In some contexts we shall use the now
popular symbol ;S to mean "is less than or equal to a constant times ...."
   This book is based on a year-long course given at Washington University in
the academic year 1987-88. Some of the ideas have been presented in earlier
courses at UCLA and Penn State. It is a pleasure to thank Estela Gavosto and
Marco Peloso who wrote up the notes from my lectures. They put in a lot of
extra effort to correct my omissions and clean up my proofs and presentations.
I also thank the other students who listened to my thoughts and provided useful
remarks.

                                                                        -S.G.K.
1
The Dirichlet Problem in the Complex Plane




1.1   A Little Notation
Let IR denote the real number line and C the complex plane. The complex and
real coordinates are related in the usual fashion by

                                    z == x + iy.

We will spend some time studying the unit disc {z E C : Izi < I}, and we
denote it by the symbol D. The Laplace operator (or Laplacian) is the partial
differential operator

                                      a2      a2
                                ~   = ox2 + oy2     .

   When the Euclidean plane is studied as a real analytic object, it is convenient
to study differential equations using the partial differential operators

                              a                     a
                              ax
                                       and         ay .
This is so at least in part because each of these operators has a null space
(namely the functions depending only on y and the functions depending only on
x, respectively) that plays a significant role in our analysis (think of the method
of guessing solutions to a linear differential equation having the form u(x )v(y)).
   In complex analysis it is more convenient to express matters in terms of the
partial differential operators

                                       and         ~
                                                   8z   ==   ~ (~+i~).
                                                             2 ax  ay
Check that a continuously differentiable function f(z) = u(z) + iv(z) that
satisfies 8 f / 8 z == 0 on a planar open set U is in fact holomorphic (use the
2                                      The Dirichlet Problem in the Complex Plane


Cauchy-Riemann equations). In other words, a function satisfying     of/oz == 0
may depend on z but not on z. Likewise, a function that satisfies    af / 0 Z == 0
on a planar open set may depend on z but cannot depend on z.
  Observe that

                            o
                            - z == 1
                                           o
                                           -z==O
                            oz             oz

                             o              o
                            - z ==0
                            oz             ozz ==   1.

Finally, the Laplacian is written in complex notation as




1.2 The Dirichlet Problem
Introductory Remarks
Throughout this book we use the notation C k (X) to denote the space of func-
tions that are k-times continuously differentiable on X-that is, functions that
possess all derivatives up to and including order k and such that all those
derivatives are continuous on X. When X is an open set, this notion is self-
explanatory. When X is an arbitrary set, it is rather complicated, but possible,
to obtain a complete understanding (see [STSI]).
   For the purposes of this book, we need to understand the case when X is
a closed set in Euclidean space. In this circumstance we say that f is C k
on X if there is an open neighborhood U of X and a C k function j on U
                            1
such that the restriction of to X equals f. We write f E Ck(X). In case
k == 0, we write either CO(X) or C(X). This definition is equivalent to all
other reasonable definitions of C k for a non-open set. We shall present a more
detailed discussion of this matter in Section 3.
   Now let us formulate the Dirichlet problem on the disc D. Let ¢ E C(oD).
The Dirichlet problem is to find a function U E C(D) n C 2 (D) such that

                             ~U(z) ==   0 if zED
                           U(z) == ¢ ( z) if z E aD.

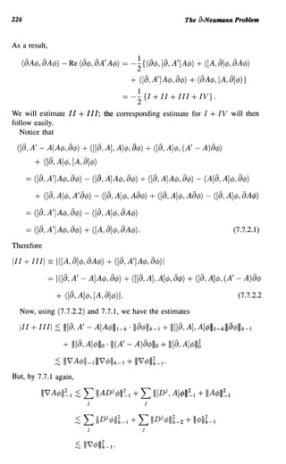
REMARK Contrast the Dirichlet problem with the classical Cauchy problem
for the Lapiacian: Let S ~ lR2 == C be a smooth, non-self-intersecting curve
The Dirichlet Problem                                                           3




                                                             s




                                                 u




FIGURE 1.1




(part of the boundary of a smoothly bounded domain, for instance). Let U be
an open set with nontrivial intersection with S (see Figure 1.1). Finally, let ¢o
and ¢l be given continuous functions on S. The Cauchy problem is then


                             ~u(z) ==   0 if z E U
                          u(z) == ¢l (z) if z E S n U
                            au (z) == ¢l
                            av             if z E S   n U.

Here v denotes the unit normal direction at z E S.
   Notice that the solution to the Dirichlet problem posed above is unique: if
Ul and U2 both solve the problem, then Ul - U2 is a hannonic function having
zero boundary values on D. The maximum principle thea implies that Ul == U2.
In particular, in the Dirichlet problem the specifying of boundary values also
uniquely determines the normal derivative of the solution function u.
   However, in order to obtain uniqueness in the Cauchy problem, we must
specify both the value of U on S and the normal derivative of u on S. How can
this be? The reason is that the Dirichlet problem is posed with a simple closed
boundary curve; the Cauchy problem is instead a local one. Questions of when
function theory reflects (algebraic) topology are treated, for instance, by the de
Rham theorem and the Atiyah-Singer index theorem. We shall not treat them
in this book, but refer the reader to [GIL], [KRl], [DER].       I
4                                                 The Dirichlet Problem in the Complex Plane


The Solution of the Dirichlet Problem in L2
Define functions ¢n on 8 D by

                                                                 n E Z.

Notice that the solution of the Dirichlet problem with data ¢n is u n (re i8 )            ==
r lnl ein8 . That is,
                                          zn              if n    >0
                               un(z) == { Z
                                          -n              1
                                                           ·f
                                                                n - 0.
                                                                  <
The functions {¢n}~=-oo form a basis for L 2 (8D) That is, if f E L 2 (8D) then
we define

                                       ~ ir
                                                  27r
                               an =                     f(t)e- int dt.
                                       27f    o
It follows from elementary Riesz-Fischer theory that the partial sums
                                              N
                                 SN ==        L         a n ein8 ~ f                 (1.2.1)
                                         n=-N

in the L 2 topology.
   If 0 :::; r < 1 then observe that

                                        L
                                         00

                                                  anrlnlein8
                                       n=-oo

is an Abel sum for the Fourier series L:~oo a n ein8 of f. It follows from (1.2.1)
that
                                         00

                           S(r,O) ==    L         anrlnlein8 ~ f(e i8 )              (1.2.2)
                                       n=-oo

in the L 2 topology as r ~ 1- .
   In fact, the sum in (1.2.2) converges uniformly on compact subsets of the
disc. The computation that we are now about to do will prove this statement:
We have
                 00

    S(r,O) ==    L      anrlnlein8
                n=-oo
The Dirichlet Problem                                                                                                    5


If we sum the two geometric series and do the necessary algebra then we find
that
                             27r                1     2
             S 0 - -1
               (r, ) - 21r 0
                                 f it
                                           1      - r           d
                                  ( e ) 1 - 2r cos (0 - t) + r 2 t.

This last formula allows one to do the estimates to check for uniform conver-
gence, and thus to justify the change of order of the sum and the integral.
  We set
                                                =~
                                                                                    2
                                   Pr ( 'lj;)               1- r
                                                  27r 1 - 2r cos ('l/J)                 + r2   '

and we call this function the Poisson kernel. Since the function

                                                u(re iO ) == S(r, 0)
is the limit of the partial sums TN(r, 0) == E:=-N anrlnleinO, and since each
of the partial sums is hannonic, u is hannonic. Moreover, the partial sum
TN is the harmonic function that solves the Dirichlet problem for the data
f N(e iO ) ==       E:=_
                    N an einO . We might hope that u is then the solution of the
Dirichlet problem with data f. This is in fact true:

THEOREM 1.2.3
Let f(e it ) be a continuous function on                              aD. Then the function
                      u(reiO ) == { J~7r.f(ei(O-t))Pr(t) dt                              if 0 :::; r < 1
                                          f(e~O)                                         ifr == 1
solves the Dirichlet problem on the disc with data                                      f.

PROOF       Pick E > O. Choose 8 > 0 such that if Is - tl < 8, then If( eis ) -
f (e it )I < Eo Fix a point eiO E aD. We will first show that limr-t 1- u(re iO ) ==
f(e iO ) == u(e iO ). Now, for 0 < r < 1,

              lu(re ill ) - I(e ill )/   =   11   2
                                                      71:   l(e i(II-t»)Pr(t) dt - l(eill)l.                    (1.2.3.1)

Observe, using the sum from which we obtained the Poisson kernel, that
                                  f27r                                f27r
                                 1       IPr(t)1 dt           =   1              Pr(t) dt    = 1.
                                   0                                      0

Thus we may rewrite (1.2.3.1) as

 r
io
  2
      71:   [I (e i(lI-t») - 1 (e ill )] Pr (t) dt           =
                                                                  i
                                                                      r
                                                                      1   tl<8
                                                                                 [I (e i(lI-t») - f( eill )] Pr (t) dt


                                                               +l<::,t <::'27r-JI( ei(lI-t») - I( eill )] Pr(t) dt
                                                             == I + II.
6                                                                The Dirichlet Problem in the Complex Plane


Now the term I does not exceed
                                                                           21r

                              J
                               r1   tl<8
                                            IPr(t) IE dt ::;          E1
                                                                       0
                                                                                 IPr(t) Idt = E.

For the second, notice that 8                      < t < 27r - 8 implies that
                                              1       1 - r2
              IPr(t)1   ==   Pr(t)        == - - - - -
                                             27r 1 - 2r cos t + r 2
                                               1                                   1 - r2
                                             27r (1 - 2r cos t +                 r 2 cos 2   t)   + r 2 (1 -   cos2 t)
                                               1    1 - r2
                                          <-----2
                                          - 27r (1 - r cos t)
                                               1 1 - r2
                                          < 27r 84 /8 .
Thus
                                                     1r
                                                                           1 1 - r2
                               II < 2
                                      -       l  8
                                                          2 sup III   . - - - dt ~ 0
                                                                           4
                                                                       27r 8 /8
as r -+ 1-. In fact, the proof shows that the convergence is uniform in ().
   Putting together our estimates on I and I I, we find that
                                                                 iO
                                          lim sup lu(re ) - I( e ) I
                                                                                  iO    < E.
                                           r----+l-


Since     E   >0   was arbitrary, we see that

                                          lim sup Iu(re ) -
                                                                 iO        I (e iO ) I == o.
                                           r----+l-


  The proof is nearly complete. For () E                                   aD      and   E    >    0 fixed, choose 8     >   0
such that

    (i)   lu(e iO ) - u(ei1/J) I < E/2 when le iO - ei1/J1 < 8;
(ii)      lu( re i1/J) - u(ei1/J) I < E/2 when r > 1 - 8,0 :S tt/J ~ 27r.
Let zED satisfy              Iz -     eiol < 8. Then

                 lu(z) - u(eio)1 :S lu(z) - u(z/lzl)l                              + lu(z/Izl) - u(eio)1
                                                     E       E
                                             < 2 + 2'
where we have applied (ii) and (i) respectively. This shows that u is continuous
at the boundary (it is obviously continuous elsewhere) and completes the proof.
                                                                                                                             I
Lipschitz Spaces                                                                 7




1.3 Lipschitz Spaces
Our first aim in this book is to study the boundary regularity for the Dirich-
let problem: if the data f is "smooth," then will -the solution of the Dirichlet
problem be smooth up to the boundary? This is a venerable question in the
theory of partial differential equations and will be a recurring theme throughout
this book. In order to formulate the question precisely and give it a careful
answer, we need suitable function spaces.
   The most naive function spaces for studying the question formulated in the
last paragraph are the C k spaces, mentioned earlier. However, these spaces
are not the most convenient for our study. The reason, which is of central
importance, is as follows: We shall learn later, by a method of Hormander
[H03], that the boundary regularity of the Dirichlet problem is equivalent to the
boundedness of certain singular integral operators (see [STSI]) on the boundary.
Singular integral operators, central to the understanding of many problems in
analysis, are not bounded on the C k spaces. (This fact explains the mysteriously
imprecise formulation of regularity results in many books on partial differential
equations. It also means that we shall have to work harder to get exact regularity
results.)
   Because of the remarks in the preceding paragraph, we now introduce the scale
of Lipschitz spaces. They will be somewhat familiar, but there will be some
new twists to which the reader should pay careful attention. A comprehensive
study of these spaces appears in [KR2].
   Now let U ~ ~N be an open set. Let 0 < Q < 1. A function f on U is said
to be Lipschitz of order Q, and we write f E An, if


                     If(x + h) - f(x)1
            sup
             h:;tO
                           Ihl a         + Ilfllux,(u) == IlfIIA,,(U) < 00.
          x,x+hEU




We include the term IIfIILoo(u) in this definition in order to guarantee that the
Lipschitz norm is a true norm (without this term, constant functions would have
"norm" zero and we would only have a semi-norm). In other contexts it is
useful to use IlfIlLP(u) rather than IlfIILOO(U). See [KR3] for a discussion of
these matters.
  When Q == 1 the "first difference" definition of the space An makes sense,
and it describes an important class of functions. However, singular integral
operators are not bounded on this space. We set this space of functions apart
by denoting it differently:


                           sup      If(x + h) - f(x)1
                                           Ihl          +
                                                            IIIII Loo(U) < 00.
                            h=¢.O
                         x,x+hEU
The Dirichlet Problem in the Complex Plane


The space Lipl is important in geometric applications (see [FED]), but less so
in the context of integral operators. Therefore we define



 IIfIIA           ==
                                     If(x    + h) + I(x -               h) - 2/(x)1       IIIII
          1 (U)           sup
                           h:;iO
                                                              Ihl                     +           LCXJ(U)   < 00.
                       x,x+h,x-hEU




   Inductively, if 0 < k E Z and k < a ::; k + 1, then we define a function f
on U to be in Aex if I is bounded, I E C1(U), and any first derivative Djl
lies in Aex - l . Equivalently, I E A ex if and only if f is bounded and, for every
nonnegative integer f < Q and multiindex {3 of total order not exceeding f we
have (8 j 8x)(3 I exists, is continuous, and lies in Aex - f .
   The space Lip k' 1 < k E Z, is defined by induction in a similar fashion.

REMARK            As an illustration of these ideas, observe that a function 9 is in
AS / 2(U) if 9 is bounded and the derivatives 8gj8xj, 82gj8xj8xk exist and lie
in A1/ 2 •
   Prove as an exercise that if Q' > Q then Aexl ~ A ex . Also prove that the
Weierstrass nowhere-differentiable function

                                                         00

                                           F(O) ==      L 2- e      j   i2ie

                                                        j=O


is in Al (0, 27r) but not in LiPl (0, 21r). Construct an analogous example, for
each positive integer k, of a function in A k  Lip k'
   If U is a bounded open set with smooth boundary and if 9 E Aex(U) then
does it follow that 9 extends to be in A ex (U)?     I

  Let us now discuss the definition of C k spaces in some detail. A function
f on an open set U ~ }RN is said to be k-times continuously differentiable,
written lEek (U), if all partial derivatives of I up to and including order k
exist on U and are continuous. On }Rl , the function I (x) == Ixllies in CO  C 1•
Examples to show that the higher order Ok spaces are distinct may be obtained
by anti-differentiation. In fact, if we equip Ok (U) with the norm



                       IlfIICk(U)   ==   IlfIIL(X)(U)   +     L II (~::) II
                                                              lal::;k             Loo(U)
                                                                                              '

then elementary arguments show that C k + 1 (U) is contained in, but is nowhere
dense in, Ck(U).
Lipschitz Spaces                                                                       9


  It is natural to suspect that if all the k th order pure derivatives (a/ax j )f f exist
and are bounded, 0 ::; /!, ::; k, then the function has all derivatives (including
mixed ones) of order not exceeding k and they are bounded. In fact Mityagin
and Semenov [MIS] showed this to be false in the strongest possible sense.
However, the analogous statement for Lipschitz spaces is true-see [KR2].
  Now suppose that U is a bounded open set in ~N with smooth boundary. We
would like to talk about functions that are C k on U == U u au. There are three
ways to define this notion:

   I. We say that a function f is in C k (0) if f and all its derivatives on U of
      order not exceeding k extend continuously to (j.
  II. We say that a function f is in C k (0) if there is an open neighborhood
      W of 0 and a C k function F on W such that Flo == f.
 III. We say that a function f is in Ck(U) if f E Ck(U) and for each Xo E            au
      and each multiindex Q such that IQ I ::; k the limit

                                                ao:
                                        lim
                                     U3x----+xo
                                                -a f(x)
                                                 xO:

      exists.

  We leave as an exercise for the reader to prove the equivalence of these
definitions. Begin by using the implicit function theorem to map U locally to a
boundary neighborhood of an upper half-space. See [HIR] for some help.

REMARK A basic regularity question for partial differential equations is as
follows: consider the Laplace equation


                                       .6u == f.

If f E ;'0: (~N ), then where (Le. in what smoothness class) does the function u
live (at least locally)?
   In many texts on partial differential equations, the question is posed as "If
f E C k(~N) then where does u live?" The answer is generally given as
"u E Cl~:2-f for any E > 0." Whenever a result in analysis is formulated in
this fashion, it is safe to assume that either the most powerful techniques are not
being used or (more typically) the results are being formulated in the language
of the incorrect spaces. In fact, the latter situation obtains here. If one uses
the Lipschitz spaces, then there is no t-order loss of regularity: f E Ao: (~N)
implies that u is locally in AO:+ 2 (IR N ). Sharp results may also be obtained by
using Sobolev spaces. We shall explore this matter in further detail as the book
develops.       I
10                                               The Dirichlet Problem in the Complex Plane




1.4   Boundary Regularity for the Dirichlet Problem for the Laplacian
      on the Unit Disc
We begin this discussion by posing a question:

       Question: If we are given a "smooth" function f on the boundary
       of the unit disc D, then is the solution u to the Dirichlet problem
       for the Laplacian, with boundary data f, smooth up to closure of
       D? That is, if f E C k (8D), then is u E Ck(D)?

It turns out that the answer to this question is "no." But the reason is that we
are using the wrong spaces. We can only get a sharp result if we use Lipschitz
spaces. Thus we have:

       Revised Question: If we are given a "smooth" function f on the
       boundary of the unit disc D, then is the solution u to the Dirichlet
       problem for the Laplacian, with boundary data f, smooth up to the
       closure of D? That is, if f E Ao:(8D), then is u E Ao:(D)?

   We still restrict our detailed considerations to ~2 for the moment. Also, it is
convenient to work on the upper half-space U == {(x, y) E ~2 : y > O}. We
think of the real line as the boundary of U. By conformally mapping the disc to
the upper half-space with the Cayley transformation ¢(z) == i(l - z)/(l + z),
we may calculate that the Poisson kernel for U is the function

                                 P (x)
                                     y
                                               -! x 2 + y2
                                               - 7r
                                                      y


   For simplicity, we shall study Ao: for 0 < Q < 2 only. We shall see later that
there are simple techniques for extending results from this range of Q to all Q.
Now we have the following theorem.

THEOREM 1.4.1
Fix 0 <   Q   < 1. If f   E Ao:(~)   then

                     u(x, y) = Pyf(x, y) ==            l   Py(x - t)f(t) dt

lies in Ao: (11).

PROOF      Since

                      h    IPy(x - t)1 dt =        h   Py(x - t) dt   = 1,
it follows that u is bounded by          "f"   £00 .
Boundary Regularity                                                        11




                                                          B

                               .A


                                                          X+H
                               .
                                X




FIGURE 1.2


 Now fix X == (Xl, X2) E U. Fix also an H == (hI, h2) such that X   +H   E U.
We wish to show that

                        lu(X   + H)    - u(X)1 ~ CIHla.

Set A == (XI,X2 + IHI),B == (Xl + h l ,X2 + h2 + IHI). Clearly A,B lie in U
because X, X + H do. Refer to Figure 1.2. Then

lu(X + H) - u(X)1 ~ lu(X) - u(A)1 + lu(A) - u(B)1 + lu(B) - u(X + H)I
                      -=1+11+111.


  For the estimate of 1 we will use the following two facts:
  Fact 1: The function u satisfies

                            1:;2    U (X,y)1   ~ Cy 2
                                                  a
                                                      -


for (x, y) E U.
   Fact 2: The function u satisfies



for (x, y)   E U.
12                                                The Dirichlet Problem in the Complex Plane



   Fact 2 follows from Fact 1, as we shall see below. Once we have Fact 2,
the estimation of I proceeds as follows: Let 1(t) == (Xl, X2 + t), 0 ::; t ::; IHI.
Then, noting that 11(t) I ~ t, we have


                   lu(X) - u(A)1             =    Jo
                                                      (IHI d
                                                          dt (u(')'(t))) dt
                                                                              I
                                                  I
                                                 (IHllaul I
                                             :S Jo    ay -y(t) dt
                                                   {IHI
                                             :S C Jo h(t)I"-1 dt

                                                       (IHI
                                             :S C J           t,,-l   dt
                                                   o



Thus, to complete the estimate on I, it remains to prove our two facts.
PROOF OF FACT 1       First we exploit the harmonicity of u to observe that

                                                        2
                                            a2u I == I a u I·
                                        I
                                            ay2         ax2


Then

                                      2
                          a2u I == I a u I
                          ay2           ax
                                        2



                                               i:
                      I




                                =   I   ::2             Py(x - t)f(t) dtl


                                = Ii: ::2              Py(x - t)f(t) dtl


                                = Ii: ::2              Py(x - t)f(t) dtl·          (1.4.1.1)


Now, from the Fundamental Theorem of Calculus, we know that
Boundary Regularity                                                              13


As a result, line (1.4.1.1) equals


                Ii:    ::2 Py (X - t) [J(t) - f(x)] dtl


                   < C      i: ::2  I         Py (X -     t)llx - til> dt

                        cjOO        1
                                        2Y (3(x -       tf - ~2) IIX _ tl a dt
                             - 00         [   (x - t) 2 + y2]
                                              2
                        C JOO Iy(3t - y2) Iit ia dt
                             -00         (t 2 + y2)3




                                         OO             1
                        C a-2
                         y          J   -00    (t 2 + 1)2-a/2
                                                                     dt

                        C ya-2 .

This completes the proof of Fact 1.
PROOF OF FACT 2       First notice that, for any x E IR,




                        :; ~1
                            7r   -00
                                    00



                                             [(x - t)2 + y2]
                                                               2
                                          I(x - tf + y - 22y21If(t)1 dtl
                                                                         y=2

                        <~
                        -   7r
                                 1
                                 -00
                                    00
                                                 If(t)1
                                          (x - t)2      + y2
                                                               dtl
                                                                     y=2

                        ::; C . IIfIlLOO(~).
14                                                           The Dirichlet Problem in the Complex Plane


     Now, if Yo   ~    2, then from Fact 1 we may calculate that


                  1~~(xO,Yo)1 ~ 11 ~:~(XO,Y)dY+ ~~(XO,2)1
                                                       YO




                                           ~    l     YO
                                                            y"-2dy+       1~~(XO,2)1
                                           < Ca [ya-l
                                           -      0              + 2a -    l
                                                                               ]   + C2


     A nearly identical argument shows that

                                               au( xo,yO) I ~
                                               ay                   c 'a 1
                                                                       Yo-
                                           I
when 0 ::; Yo < 2.
   We have proved Facts I and 2 and therefore have completed our estimates of
term I.
   The estimate of I I I is just the same as the estimate for I and we shall say
no more about it.
   For the estimate of II, we write A == (aI, a2) and B == (b l , b2). Then

          lu(A) - u(B)1 == lu(al' a2) - u(b l , b2)1

                                ::; lu( aI, a2) - u(b l , a2) I + lu(b l , a2) - 'u(b l , b2) I



Assume for simplicity that al < bl as shown in Figure 1.2. Now set 7](t) =
(al + t, a2),O < t < bl - al. Then

                           bl - al   d
            I I I ==
                       l   o
                                     - (u 0 7]) (t) dt
                                     dt


                  =     Jo
                           rbl-al     d
                                      dt
                                           1     00


                                                -oc    Pa2 (al   + t - 8)f(8) d8 dt
                                                                                          I
                       I
                           bl-all°O -d Pa2(al + t -
                                     d
                  ==
                       l   o          -00        t
                                                                          s) [f(s) - f(t)] ds dt.

  We leave it as an exercise for the reader to see that this last expression, in
absolute value, does not exceed GIHla.
  The tenn 112 is estimated in the same way that we estimated I.       I
Boundary Regularity                                                               15


THEOREM 1.4.2
Fix I < 0: < 2. If f E An(I~) then

                           u(x, y) ==   1.    Py(x - t)f(t) dt

lies in An (71).

DISCUSSION OF THE PROOF       It follows from the first theorem that     u E Af3, all
o < 13 < 1.
          In particular, u is bounded. It remains to see that
                      au                                au
                      ax   E An - I           and       ay     E An-I.

But

              ~~ =   :x JPy(t)f(x - t) dt = JPy(t)j'(x - t) dt.
Now   f' E An - I by definition and we have already considered the case 0          <
0: - 1 < 1. Thus au/ax lies in An - I (71).
   To estimate au/ay, we can instead estimate

                       82u
                       8y2

                                    J
                              == - ax 2
                                   8
                                        2
                                                Py(t)f(x - t) dt

                             = - :x J          Py(t)j'(x - t) dt

                             = -    J  :x      Py(x - t)f'(t) dt

                             =- J           :x Py(x - t)f'(t) dt.

Using the ideas from the estimates on I in the proof of the last theorem, we see
that
                                   82u I C n-2
                                   8 y 2 ::; y .
                                   I
Likewise, because 8 f / 8x E An -I, we may prove as in Facts 1 and 2 in the
estimate of I in the proof of the last theorem that

                                   a2u       I ::; c y n-2 .
                                Iax8y
But then our usual arguments show that au/ay E An-I. We leave details to
the reader.
   The proof is now complete. I
16                                                The Dirichlet Problem in the Complex Plane


THEOREM 1.4.3
If f E AI(~), then


                                u(x, y) ==    l   Py(x - t)f(t) dt




     We break the proof up into a sequence of lemmas.

LEMMA 1.4.4
Fix y > O. Take (xo, YO) E U. Then


u(xo, Yo)   =   l   Y
                        y' ()~~2 u(xo, Yo   + y') dy' - y :y u(xo, Yo + y) + u(xo, y + Yo)·

PROOF Note that when y == 0, then the right-hand side equals O-O+u(xo, Yo).
Also, the partial derivative with respect to y of the right side is identically zero.
That completes the proof.      I

LEMMA 1.4.5
If f E Al (~), then




PROOF       Notice that, because u is harmonic,


         I::2 ul = I::2 ul
                    =I    ::2 f    Py(x - t)f(t) dtl

                    =    If (::2    Py(x - t)) f(t) dtl

                    =    If (::2    Py(x - t)) f(t) dtl

                    =    IJ (::2    Py(t)) f(x - t) dtl

                    =    ~ IJ (:t: Py(t))         [I(x   + t) + I(x - t) - 2f(x)] dtl
Boundary Regularity                                                                         17


(since (82 / 8t 2 ) P y (t) is even and has mean value zero). By hypothesis, the last
line does not exceed

                              C   JI::2Py(t)!ltldt.                                  (1.4.5.1 )

  But recall, as in the proof of 1.4.1, that




  Therefore we may estimate line (1.4.5.1) by




This is what we wanted to prove.         I

COROLLARY 1.4.6
Our calculations have also proved that




REMARK      Similar calculations prove that

          !a~3ay u(x, Y)I ::; C· y- 2,            Ia:;y2 (X,y)1 ::; C·y-2,
                                                            U




             1:;3 U (X,y)!::; C·y- 2,             !a:~y u(x, y) I ::; C . y-l.               I

  If v is a function, H   == (h l ,h2 ),X ==      (XI,X2)   and if X,X    +H     E   U, then
we define

                ~kv(X)     == v(X + H) + v(X - H) - 2v(X).

LEMMA 1.4.7
If all second derivatives of the function v exist, then we have

                 l~kv(X)1 ::; C· IHI 2       .   sup 1~2v(X     + tH)I.
                                                 Itl~l
18                                                    The Dirichlet Problem in the Complex Plane


PROOF    We apply the mean value theorem twice to the function ¢J(t)                     == v(X +
tH). Thus

                l~kv(X)1 == 1¢(I) + ¢( -1) - 2¢(O)1

                                     == I(¢(l) - ¢(O)) - (¢(O) - ¢J(-1))1
                                     == 11 . ¢' (~ l) -   1 . ¢' (~2) I

                                     == I¢" (~3) . (~l -     ~2) I

                                     ~ 21¢"(~3)1

                                     ~ CIHI 2 sup 1V'2 v (X          + tH)I.
                                              ItI::; 1

That proves the lemma.                I

FINAL ARGUMENT IN THE PROOF OF THEOREM 1.4.3                              Fix X = (xo, Yo), H ==
(h l ,h2 ). Then, by Lemma 1.4.4,


      ~ku(xo, Yo) =         l    Y
                                     y' ~k      (a~~2 u(xo, Yo + y'))     dy'

                                 -y~H
                                    2          ({)
                                                    ayU(XO'Yo+y) ) +~HU(XO,yo+Y)
                                                                      2



                        =:1+11+111,

any y > O. Now we must have that h 2 < Yo or else ~1Iu(xo, Yo) makes no
sense. Thus Yo + tH + y' 2 y', all -1 ~ t ~ 1.
  Applying Lemma 1.4.5, we see that


            III:::; (Y y' ·4 sup I !~2 u(xo + th), Yo + th 2 + y') I dy'
                   Jo                Itl::;l uy

               :::; c   l   Y
                                y' . (y')-l dy'

               ~   C·y.

Next, Lemma 1.4.7 and the remark preceding it yield


            1111 ~ C·y·IHI 2 sup
                                          Itl::;l
                                                     2
                                                       !
                                                    IV uy U(Xo+th ,Yo+y+th2
                                                                      1             )1

                ~ CylHI2 . (y)-2

                == CIHI2 . y-l.
Boundary Regularity                                                           19


Finally, the same reasoning gives

               11111::;   IHI 2 . sup        1V'2 u (xo+th l ,yo+th2 +y)1
                                It I:::; I
                      ::; C . IHI 2 . y-I.

Now we take y   == 21HI. The estimates on 1,11,111 then combine to give
                                1~~u(X)1 ::;         CIHI·
This is the desired estimate on u.            I

REMARK We have proved that if f E Al (IR) then u == Pyf E Al (U) us-
ing the method of direct estimation. An often more convenient, and natural,
methodology is to use interpolation of operators, as seen in the next theorem.
                                                                                I

THEOREM 1.4.8
Let V ~ IRm, W ~ IRn be open with smooth boundary. Fix 0 < 0: < (3
and assume that T is a linear operator such that T : Aa(V) ~ Aa(W) and
T : A{J(V) ~ A{J(W). Then, for all 0: < 1 < (3 we have T : A,(V) ~ A,(W).

   Interpolation of operators, presented in the context of Lipschitz spaces, is
discussed in detail in [KR2]. The subject of interpolation is discussed in a
broader context in [STW] and [BOL]. Here is an application of the theorem:
   Let 0: == 1/2, {3 == 3/2, and let T be the Poisson integral operator from
functions on IR to functions on U. We know that



and



We may conclude from the theorem that



Thus we have a neater way of seeing that Poisson integration is well behaved
on AI.

REMARK Twenty years ago it was an open question whether, if T is a bounded
linear operator on CO and on C 2 , it follows that T is a bounded linear operator
on C l . The answer to this question is negative; details may be found in [MIS].
In fact, AI is the appropriate space that is intennediate to CO and C2.
20                                         The Dirichlet Problem in the Complex Plane


     One might ask how Poisson integration is behaved on Lip I (IR). Set f(x)      ==
Ixl· ¢(x)  where ¢ E Cgo(IR), ¢ == 1 near O. One may calculate that

                (x, Y ) == P yf (x ) == ~ In [ (1 - 2x) + y2 . (1 +2x) + y2]
                                                   2                2

            U                           2-              2              2
                                                  X +y            x +y

                                     +x            1-  x        1+      x]
                                          [ arctan -y- - arctan -y-

                                     + (smooth error).
Set x   == O. Then, for   y small,




     Again, we see that the classical space Lipi does not suit our purposes, while
Al does. We shall not encounter LiPI any more in this book. The space Al was
invented by Zygmund (see [ZYG]), who called it the space of smooth functions.
He denoted it by A*.
   Here is what we have proved so far: if ¢ is a piece of Dirichlet data for
the disc that lies in An (aD), 0 < a < 2, then the solution u to the Dirichlet
problem with that data is An up to the boundary. We did this by transferring
the problem to the upper half-space by way of the Cayley transform and then
using explicit calculations with the Poisson kernel for the half-space.




1.5     Regularity of the Dirichlet Problem on a Smoothly Bounded
        Domain and Conformal Mapping
We begin by giving a precise definition of a domain "with smooth boundary":

DEFINITION 1.5.1      Let U ~ C be a bounded domain. We say that U has
smooth boundary if the boundary consists of finitely many curves and each of
these is locally the graph of a COO function.

   In practice it is more convenient to have a different definition of domain with
smooth boundary. A function p is called a defining function for U if p is defined
in a neighborhood W of au, l p i= 0 on au, and wnu == {z E W : p(z) < O}.
Now we say that U has smooth (or C k ) boundary if U has a defining function
p that is smooth (or C k ). Yet a third definition of smooth boundary is that the
boundary consists of finitely many curves rj, each of which is the trace of a
smooth curve r( t) with nonvanishing gradient. We invite the reader to verify
that these three definitions are equivalent.
Regularity of the Dirichlet Problem                                                                                                                                  21




                                              "",----   ...........   ,
                          /        ",                   "
                                               /_-........"                                           U                 ",
                                                                                                                             /--   ........


                                                                                                                                              ""
                      I                   /                            "                                          / /                              
                                     ~                                    '            
                                                                                                               laD'                                    
                          Iw                                                                           /                                               
                      I            /                                                            ~       I
                                                                                                          I                                                I
                                                                                                                                                            I
                                                                                                                                                                aD
                  /            I                                                     I            I
              /            /                                                        I            I                                                    /
          I               (                                                     /            /                                                    I
           "
                                                          au' / / /  ",/
                                                                                                                  "'-..... -. ' - _ / "'B      /

                  "........
                          "    ........   _--_/                            ",
                                                                                /




FIGURE 1.3



  Our motivating question for the present section is as follows:

      Let n ~ C be a bounded domain with smooth boundary. Assume
      that! E An (an). If u E C(n) satisfies (i) u is harmonic on nand
      (ii) ulan == !, then does it follow that u E An(n)?

  Here is a scheme for answering this question:

Step 1:               Suppose at first that U is bounded and simply connected.
Step 2:    By the Riemann mapping theorem, there is a conformal mapping ¢ :
      U ~ D. Here D is the unit disc. We would like to reduce our problem
      to the Dirichlet problem on D for the data ! 0 ¢ - 1•

   In order to carry out this program, we need to know that ¢ extends smoothly
to the boundary. It is a classical result of Caratheodory [CAR] that if a simply
connected domain U has boundary consisting of a Jordan curve, then any con-
formal map of the domain to the disc extends univalently and bicontinuously to
the boundary. It is less well known that Painleve, in his thesis [PAl], proved that
when U has smooth boundary then the conformal mapping extends smoothly to
the boundary. In fact, Painleve's result long precedes that of Caratheodory.
   We shall present here a modem approach to smoothness to the boundary
for conformal mappings. These ideas come from [KERl]. See also [BKR]
for a self-contained approach to these matters. Our purpose here is to tie the
smoothness-to-the-boundary issue for mappings directly to the regularity theory
of the Dirichlet problem for the Laplacian.
   Refer to Figure 1.3. Let W be a collared neighborhood of au. Set au' ==
aw n U and let aD' == ¢(aU'). Define B to be the region bounded by aD
22                                                  The Dirichlet Problem in the Complex Plane


and aD'. We solve the Dirichlet problem on B with boundary data
                                                I        if (E   aD
                              f(()     ={       0        if (E   aD'.
Call the solution u.
  Consider v == u 0 ¢ : U ~ nt Then, of course, v is still hannonic. By
Caratheodory's theorem, v extends to au, au', and
                                          I         if    (E    au
                               v   ==   { 0         if    (E    au'.
Suppose that we knew that solutions of the Dirichlet problem on a smoothly
bounded domain with Coo data are in fact Coo on the closure of the domain.
Then, if we consider a first-order derivative V of v, we obtain

                       IVvl == IV(u 0           ¢)I == l7ull7¢1       ~       C.
It follows that

                                                                                         (1.5.2)

This will prove to be a useful estimate once we take advantage of the following
lemma.

LEMMA 1.5.3       HOPF'S LEMMA
Let n cc }RN have C 2 boundary. Let u E C(n) with u harmonic and noncon-
stant on n. Let PEn and assume that u takes a local minimum at P. Then
the one-sided normal derivative satisfies
                                            au
                                            av (P) < O.
PROOF Suppose without loss of generality that u > 0 on n near P and that
                                                                            n
u(P) == O. Let B R be a ball that is internally tangent to at P. We may assume
that the center of this ball is at the origin and that P has coordinates (R, 0, ... ,0).
Then, by Harnack's inequality (see [KR1]), we have for 0 < r < R that
                                                 R2 - r 2
                           u(r, 0, ... , 0) ~ c· R2 + r 2               '


hence
                    u(r,O, ... ,O)-u(R,O, ... ,O)                           ,        0
                    - - - - - - - - - - - < -c < .
                                 r-R              -
Therefore
                                       ou()                ,
                                       ov   p       ~ -c       < o.
This is the desired result.        I
Regularity of the Dirichlet Problem                                                      23


   Now let us return to the u from the Dirichlet problem that we considered
prior to line (1.5.2). Hopf's lemma tells us that l7ul 2 c' > 0 near aD. Thus,
from (1.5.2), we conclude that

                                           17¢1 ~ C.                                (1.5.4)

Thus we have bounds on the first derivatives of ¢.
  To control the second derivatives, we calculate that

           C 2 17 2 vl == 17(7v) 1== 17(7(u 0 ¢))I
              == 1 (7 u ( ¢) . 7¢)1== 1(7 2U . [7¢] 2 ) + (7 u . 7 2 ¢)
                 7                                                             I·
Here the reader should think of 7 as representing a generic first derivative and
72 a generic second derivative. We conclude that



Hence (again using Hopf's lemma),


                                17 2 "'1 <
                                     f'   -
                                               ~
                                               l7ul
                                                       < C".
                                                       -

In the same fashion, we may prove that l7 k ¢1 ~ Ck , any k E {1,2, ...}. This
means (use the fundamental theorem of calculus) that ¢ E Coo (0).
   We have amved at the following situation: Smoothness to the boundary
of confonnal maps implies regularity of the Dirichlet problem on a smoothly
bounded domain. Conversely, regularity of the Dirichlet problem can be used,
together with Hopf's lemma, to prove the smoothness to the boundary of con-
formal mappings. We must find a way out of this impasse.
   Our solution to the problem posed in the last paragraph will be to study the
Dirichlet problem for a more general class of operators that is invariant under
smooth changes of coordinates. We will study these operators by (i) localizing
the problem and (ii) mapping the smooth domain under a diffeomorphism to
an upper half-space. It will tum out that elliptic operators are invariant under
these operations. We shall then use the calculus of pseudodifferential operators
to prove local boundary regularity for elliptic operators.
   There is an important point implicit in our discussion that deserves to be
brought into the foreground. The Laplacian is invariant under conformal trans-
formations (exercise). This observation was useful in setting up the discussion
in the present section. But it turned out to be a point of view that is too narrow:
we found ourselves in a situation of circular reasoning. We shall thus expand
to a wider universe in which our operators are invariant under diffeomorphisms.
This type of invariance will give us more flexibility and more power.
   Let us conclude this section by exploring how the Laplacian behaves under
a diffeomorphic change of coordinates. For simplicity, we restrict attention to
24                                            The Dirichlet Problem in the Complex Plane


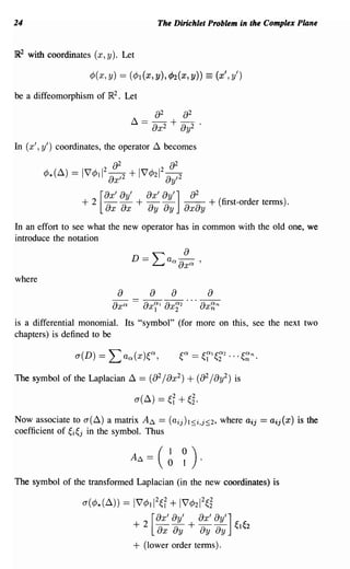
]R2   with coordinates (x, y). Let

                      ¢ ( x, y)   == (¢ 1 (x, y), cP2 (x, y)) == (x', y')
be a diffeomorphism of }R2. Let




In (x', y') coordinates, the operator ~ becomes




In an effort to see what the new operator has in common with the old one, we
introduce the notation



where
                                  a        a a                  a
                             axO:         axr 1   ax~2   ...   ax~n

is a differential monomial. Its "symbol" (for more on this, see the next two
chapters) is defined to be



The symbol of the Laplacian ~           == (a 2 / ax 2 ) + (a 2 / ay2) is

                                      (J(~) == ~f     + ~i·
Now associate to (J(~) a matrix ..4~ ==            (aij)1:S;i,j:S;2,   where aij   = aij(x)   is the
coefficient of ~i~j in the symbol. Thus




The symbol of the transfonned Laplacian (in the new coordinates) is

                    (J(¢*(~)) == 17¢112~f         + 17¢212~i
                                           ax' ay' ax' ay,]
                                      +2 [ - - + - -                      ~le2
                                           ax ay   By By
                                      +   (lower order tenns).
Regularity of the Dirichlet Problem                                             25



Then




   The matrix A(J(¢*(~)) is positive definite provided that the change of coordi-
nates ¢ is a diffeomorphism (i.e., has nondegenerate Jacobian). It is this positive
definiteness property of the symbol that will be crucial to the success of our
attack on elliptic operators.
2
Review of Fourier Analysis




2.1   The Fourier Transform
A thorough treatment of Fourier analysis in Euclidean space may be found in
[STW] or [HOR4]. Here we give a sketch of the theory.
  If t, ~ E }RN then we let

                            t·   ~   ==   tl~1   + ... + tN~N.
We define the Fourier transform of an              f   E £1 (I~N) by

                                 j(~) =      Jf(t)eit.~     dt.

Many references will insert a factor of 271" in the exponential or in the measure.
Others will insert a minus sign in the exponent. There is no agreement on this
matter. We have opted for this definition because of its simplicity. We note that
the significance of the exponentials eit.~ is that the only continuous multiplicative
homomorphisms of}RN into the circle group are the functions ¢~ (t) == eit.~.
(We leave this as an exercise for the reader. A thorough discussion appears
in [KAT] or [BAC].) These functions are called the characters of the additive
group }RN.


Basic Properties of the Fourier Transform
PROPOSITION 2.1.1
If f E £1 (}RN) then



PROOF     Observe that

                                 Ij(~) I ::;     J If(t)1 dt.                       I
The Fourier Transform                                                              27


PROPOSITION 2.1.2
If f   E   L 1 (IR N ), f is differentiable, and af/axj ELI, then




PROOF         Integrate by parts: if         f    E C~ then



              ( ~)
                aXj
                             ==   J af eit.~ dt
                                    atj

                             - f··· 1f atj eit.~ dt· dtl d-t· dtN
                             -         af                       J...     J •••



                             = - f··· Jf(t) C)~/it.t,) dtj dt) ... dij ... dtN
                             = -i~j   J'..J        f(t)eit.t, dt.

The general case follows from a limiting argument.                             I

PROPOSITION 2.1.3
If f   E Ll(I~N)           and iXjf   E   L 1 (IR N ), then

                                                      --         a   A




                                              (iXjf) = 8~j f·


PROOF        Integrate by parts.              I


PROPOSITION 2.1.4                  THE RIEMANN-LEBESGUE LEMMA
If f   E   L 1(IR N   ),   then

                                                 lim Ij(~)1      == o.
                                              ~-+oo



PROOF        First assume that f E C~ (IR N                ).   We know that



and
28                                                                         Review of Fourier Analysis


Then (1   + lel 2 )j is bounded.      Therefore

                                   III :::;       C      le~oo O.
                                              1 + 1~12

This proves the result for f E C~.
  Now let 9 E L 1 be arbitrary. By elementary measure theory, there is a
function ¢ E Cc(I~N) such that IIg - ¢IILI < E/4. It is then straightforward to
construct a 'ljJ E C~ such that 1I¢-'ljJIILI < E/4. It follows that IIg-'ljJIILI < E/2.
  Choose M so large that when I~I > M then 1"z,(~)1 < E/2. Then, for I~I > M,
we have

                           Ig(~)1 == l(g--=-'ljJ)(~) + "z,(~)1
                                       :S I(g --=-'ljJ)(~)1       + 1"z,(~)1
                                                                   E
                                       :S     IIg - 'ljJIILI + 2
                                              E    E
                                       < - + - ==        E.
                                              2    2
This proves the result.        I

PROPOSITION 2.1.5
Let fELl (I~N). Then      j is uniformly continuous.

PROOF     Apply the Lebesgue dominated convergence theorem and Proposi-
tion 2.1.4.   I

   Let Co (}RN) denote the continuous functions on }RN that vanish at 00. Equip
this space with the supremum norm. Then the Fourier transform maps L 1 to Co
continuously, with operator norm 1.

PROPOSITION 2.1.6                                             A            _




If f E L 1 (}RN), we let j(x) == f(-x). Then j(~) == j(~).


PROOF      We calculate that

                     J(~) =    J      j(t)eit·e dt       =   J     f( _t)eit·e dt

                           =   J      f(t)e-it·e dt =         1.                                    I

PROPOSITION 2.1.7
If p is a rotation of}RN then we define pf (x) == f (p( x)). Then                    Pi == p(j).
The Fourier Transform                                                                              29


PROOF         Remembering that p is orthogonal, we calculate that

                 p](E,)               J (pf)(t)eif,.t dt =      J f(p(t))eif,.t dt

                          (s=g,(t))   J  f(s)e i f,.p-'(s) ds   =J    f(s)eip(f,).s ds

                                      (p(j)) (~).                                                    I
PROPOSITION 2.1.8
We have




PROOF         We calculate that




PROPOSITION 2.1.9
If 8 > 0 and f E L 1(IR N ), then we set 08f(x)
8- N f(x/8). Then

                                          (alif) = ali     (I)
                                            0 8f == 08j.

PROOF         We calculate that

                (alif) =      J(ali/) (t)eit.f, dt   =     J f(8t)e it .f, dt

                          =   J f(t) ei(t/li)-f, 8- N dt   = 8- N j(E,/8) = ali(j).

That proves the first assertion. The proof of the second is similar.                       I

  If   I, g   are L 1 functions, then we define their convolution to be the function


                  f   * g(x) =    J    f(x - t)g(t) dt =        J g(x - t)f(t) dt.

It is a standard result of measure theory (see [RUD3]) that                     I *g     so defined is
an L 1 function and III * gllL1 ::; IIfllL1 IIgllLI.
30                                                                  Review of Fourier Analysis


PROPOSITION 2.1.10
If 1,9 E £1, then
                                    r;-9(~) == j(~) . g(~).

PROOF         We calculate that

              f7g(0   =   J * g)(tk~·t = JJ
                            (f                  dt       f(t - s)g(s) ds ei~.t dt

                      =   JJf(t - s)ei~.(t-s) dt g(s)ei~'s ds = j(~) . g(~).
The reader may justify the change in the order of integration.                  I

PROPOSITION 2.1.11
If I, 9 E £1 , then

                            Jj(~)g(~) d~ Jf(Og(~) d~.
                                                 =


PROOF         This is a straightforward change in the order of integration.            I

The Inverse Fourier Transform
Our goal is to be able to recover 1 from j. This program entails several technical
difficulties. First, we need to know that the Fourier transform is univalent in
order to have any hope of success. Second, we would like to say that

                                  f(t)   = c·   Jj(~)e-it.~   dt.

In general, however, the Fourier transform of an £1 function is not integrable.
Thus we need a family of summability kernels G E satisfying the following prop-
erties:
     1. G E * f ~ 1 as E ~ 0;
     2. c:(~) == e-EI~12;
     3. G E   * 1 and G--;; 1 are both integrable.
It will be useful to prove formulas about G E           *f    and then pass to the limit as
E ~ 0+.



LEMMA 2.1.12
We have
The Fourier Transform                                                                                                    31


PROOF     It is enough to do the case N                      == 1. Set I == J~oo e- t2 dt. Then

               I "I    =   I: I:  e-
                                       s2
                                            ds              e-
                                                                 t2
                                                                      dt   =    II
                                                                                    IR2
                                                                                          e-!(s,t)!2   dsdt

                           {21r    roo          _r 2
                       = Jo       Jo        e          rdrd()=7L

Thus I   ==   ~, as desired.                I

REMARK     Although this is the most common method for evaluating                                             J e- 1x !2 dx,
several other approaches are provided in [HEI].  I

  Now let us calculate the Fourier transform of e- 1xI2 • It suffices to treat the
one-dimensional case because

  (e- 1xI2 f =   IN e-lx!2eixof,         dx = l             e-x~eixlf,1 dX"""l e-x~eixNf,N dXN"
Now when N == 1 we have

                       l   e-
                                x2 ix
                                  + f,      dx    =l        e(f,/2+ix)2 e-e/ 4              dx

                                                  =    e-e   /4l           e(f,/2+ix)2       dx

                                                  == e-~2 /4 { e(~/2+ix/2)2 ~ dx
                                                                      J
                                                                      IR                       2

                                                  ==    ~e-~2 /4          1 e(Z/2)2 dz.                         (2.1.12.1)
                                                        2                 Jr
Here, for ~ E R fixed, r == r ~ is the curve t ~ ~ + it. Let r N be the part of
the curve between t == - Nand t == N. Since                                    Ir
                                                  == limN ---l>OO Jr N' it is enough
                           J
for us to understand r N' Refer to Figure 2.1.
   Now



Therefore




But, as N     -+ 00,


                                                1 +1                  -+   O.
                                                JEfl JEr
32                                                           Review of Fourier Analysis




                                   O-iN    -----~­
                                                 Ef


FIGURE 2.1


Thus

                             lim   1    == -   lim    1 .                    (2.1.12.2)
                             N~oo JrN          N~oo   Jf N
     Now we combine (2.1.12.1) and (2.1.12.2) to see that




We conclude that, in jRI ,



and in   }RN   we have
The Fourier Transform                                                             33


It is often convenient to scale this formula and write



   The function G(x) == (27r)-N/2 e- 1 I2 /2 is called the Gauss-Weierstrass ker-
                                      x

nel. It is a summability kernel (see [KAT]) for the Fourier transform. Observe
that G(~) == e-I~12 /2.
   On R N we define



Then



                                          --                    --
                  ~(~) = (e-'1~12 /2) = (avee-I~12 /2)
                         =     ave [(27r)N/2e-I~12/2]
                         ==    E-N/2(27r)N/2e-I~12 /(2E).


   Now assume that      !, j   are in L 1 and are continuous. We apply Proposi-
tion 2.1.11 with 9 ==   GE    ELI. We obtain


                         Jf~(x) Jj(~)C.(~) d~.
                                       dx =

In other words,

                                                                            (2.1.13)

Now e-EI~12 /2 - t 1 uniformly on compact sets. Thus J j(~)e-EI~12 d~            -t

J j(~) d~. That takes care of the right-hand side of (2.1.13).
  Next observe that




Thus the left side of (2.1.13) equals

        (27r)N   Jf(x)G,(x) dx =           (27r)N   J f(O)G,(x) dx

                                           +(27r)N j[f(x) - f(O)JG,(x) dx

                                           -t   (27r)N ·1(0).
34                                                              Review of Fourier Analysis


Thus we have evaluated the limits of the left- and right-hand sides of (2.1.13).
We have proved the following theorem.

THEOREM 2.1.14           THE FOURIER INVERSION FORMULA
If !,   j   E £1 and both are continuous, then

                                f(O) = (27r)-N   Jj(~) d~.                      (2.1.14.1 )


   Of course there is nothing special about the point 0 E R N . We now exploit
the compatibility of the Fourier transform with translations to obtain a more
general formula. First, we define

                                  (Th!)(x) == I(x - h)
for any function     I   on RN and any h E RN      .   Then, by a change of variable in
the integral,
                                    T;] == eih.~ j(~).
Now we apply formula (2.1.14.1) in our theorem to T-h/: The result is



or

THEOREM 2.1.15
If I,   j   E £1 then for any   h E R N we have

                           f(h)   = (2JT)-N   Jj(~)e-ih.f, d~.
COROLLARY 2.1.16
The Fourier transform is univalent. That is,        if I, 9   E £1 and   j == 9 then f = 9
almost everywhere.

PROOF Since I - 9 E £1 and            j - g == 0   E £1, this is immediate from either
the theorem or (2.1.13). I

  Since the Fourier transform is univalent, it is natural to ask whether it is
surjective. We have

PROPOSITION 2.1.17
The operator


is not onto.
The Fourier Transform                                                                          35


PROOF Seeking a contradiction, we suppose that the operator is in fact surjec-
tive. Then the open mapping principle guarantees that there is a constant C > 0
such that

                                     IIIIILI   :S cllj"L~'
On IR , let g(~) be the characteristic function of the interval [-1, 1]. The in-
      I

verse Fourier transform of g is a nonintegrable function. But then {G 1/ j * g}
forms a sequence that is bounded in supremum norm but whose inverse Fourier
transforms are unbounded in £1 norm. That gives the desired contradiction.
                                                                                                I

Plancherel's Formula
PROPOSITION 2.1.18 PLANCHEREL
If I E C~ (IR N ) then

                           JIj(~)12 d~ = J     (21T)N      If(xW dx.


PROOF       Define g( x)   == I   * 1E c~ (IRN ).       Then
                                   ,,~         ,,~       ,,~         .... 2
                            9 == I . I == I . I == I . f       ==   III .             (2.1.18.1)

Now

     g(O)   = f * 1(0) =     J    f( -t)!( -t) dt    =   J  f(t)/(t) dt       =   J    2
                                                                                  If(t)1 dt.

By Fourier inversion and formula (2.1.18.1) we may now conclude that

          J If(t)1 2 dt = g(O) = (21T)-N       Jg(~) d~ =           (27T)-N   JIj(~)12 df
That is the desired formula.             I

COROLLARY 2.1.19
If f E £2 (IR N ) then the Fourier transform of I can be defined in the following
fashion: Let Ij E C~ satisfy fj -+ I in the £2 topology. It follows from
the proposition that {.fj } is Cauchy in £2. Let g be the £2 limit of this latter
sequence. We set j == g.

  It is easy to check that the definition of j given in the corollary is independent
of the choice of sequence Ij E C~ and that

                           J11(01 d~ 2
                                             = (21T)N   J If(xW dx.
36                                                                       Review of Fourier Analysis


   We now know that the Fourier transform F has the following mapping prop-
erties:
                                       F: £1     ~     LX
                                       F: L 2 ~ £2.

The Riesz-Thorin interpolation theorem (see [STW]) now allows us to conclude
that
                            F : £P ~ LP' ,             1 ~ p ~ 2,
where p' == p/ (p - 1). If p > 2 then F does not map LP into any nice function
space. The precise norm of F on LP has been computed by Beckner [BEC].

Exercises: Restrict attention to dimension 1. Consider the Fourier transform F
as a bounded linear operator on the Hilbert space £2 (IR N ). Prove that the four
roots of unity (suitably scaled) are eigenvalues of F.
   Prove that if p(x) is a Hermite polynomial (see [STW], [WHW]), then the
function p(x)e-lxI2/2 is an eigenfunction of F. (Hint: (ix!) == (j)' and       ==                  l'
-i~j.)




2.2   Schwartz Distributions
Thorough treatments of distribution theory may be found in [SCH], [HOR4],
[TRE2]. Here we give a quick review.
  We define the space of Schwartz functions:


       s = {¢ E c oo (IRN ) : Pa,(3(¢) == x~~               Ix
                                                                 a
                                                                     (~)     (3   ¢(x) I <   00,



            0:   = (0:1, .. "   O:N), {3   = ({31,""   (3N) }.

Observe that e- 1x12 E Sand p(x) . e- 1x12 E S for any polynomial p. Any
derivative of a Schwartz function is still a Schwartz function. The Schwartz
space is obviously a linear space.
   It is worth noting that the space of Coo functions with compact support (which
we have been denoting by C~) forms a proper subspace of S. Since as recently
as 1930 there was some doubt as to whether C~ functions are genuine functions
(see [OSG]), it may be worth seeing how to construct elements of this space.
   Let the dimension N equal 1. Define

                                                        if x     ~   0
                                                        if x     < o.
Schwartz Distributions                                                                           37


Then one checks, using l'Hopital's Rule, that A E Coo (IR). Set

                      h(x) == A( -x - 1) . A(X + 1)                  E C~(I~).




                                                  I:
Moreover, if we define

                                    g(x)      =             h(t) dt,

then the function
                              f(x) == g(x + 2) . g( -x - 2)
lies in C~ and is identically equal to a constant on (-1, 1). Thus we have
constructed a standard "cutoff function" on ~l. On IR N , the function



plays a similar role. '

Exercise: [The Coo Urysohn lemma] Let K and L be disjoint closed sets
in IR N . Prove that there is a Coo function ¢ on IR N such that ¢ == 0 on K and
¢ == 1 on L. (Details of this sort of construction may be found in [HIR].)

The Topology of the Space 5
The functions Pn,(3 are seminorms on 5. A neighborhood basis of 0 for the
corresponding topology on 5 is given by the sets


                          NE,f,m   ==   {¢: L     lal:S€
                                                            Pa,(3(¢) <    E} .
                                                  1.6I:Sm



Exercise: The space 5 cannot be normed.

DEFINITION 2.2.1         A Schwartz distribution              Q   is a continuous linear functional
on 5. We write   Q   E   5'.

Examples:
  1. If f EL I , then f induces a Schwartz distribution as follows:

                                        S:3   qH-->   f     </>fdx E C.

     We see that this functional is continuous by noticing that

                     If   </>(x)f(x) dxl ::; sup 1</>1·           Ilfll£l = C . Po,o(</».
38                                                                                                         Review of Fourier Analysis


         A similar argument shows that any finite Borel measure induces a distri-
         bution.
     2. Differentiation is a distribution: On R I , for example, we have

                                                                  5     ::1   ¢ ~ ¢'(O)
         satisfies
                                                  I¢' (0)    1   ::;   sup I¢' (x) I ==            PO.I    (¢).
                                                                       xElR

     3. If   f   E   LP (RN           ),    1 :::; p ::;   00,     then        f     induces a distribution:

                                                   Tf : S 3 </J               f-->   J    </Jf dx      E   c.
         To see that this functional is bounded, we first notice that

                                                                                                                                  (2.2.2)

         where 1/ p + 1/ p' == 1. Now notice that

                                    (1 + Ix IN +I) I¢(x )I ::;                  C (po,o (¢)            + PN + 1,0 ( ¢)) ,
         hence
                                                         C
                                      I</J(x) I ::; 1 + Ixl N +1 (Po,o( </J)                      + PN+I,O(</J)) .
         Finally,


             II</JII Lp   f   ::;   c·      [
                                                J(1 + I~IN+I )                     P
                                                                                     ,

                                                                                         dx
                                                                                              ] lip'

                                                                                                       . [Po,o(</J)   + PN+I,O(</J)] .
         As a result, (2.2.2) tells us that

                                           T f ( ¢) ::;    ell f II Lp        (Po ,0 ( ¢)       + PN + I ,0 ( ¢)) .

Algebraic Properties of Distributions
     (i) If Q, (3 E  5' then Q+ (3 is defined by (Q + (3) (¢)                                               == Q(¢)   + (3( ¢).   Clearly
         Q   + (3 so defined is a Schwartz distribution.
 (ii) If Q E     5' and C E C then CQ is defined by (CQ)(¢) == c[Q(¢)]. We see
         that CQ E 5'.
(iii) If 1/J E   5 and Q E 5' then define (1/JQ) (¢) == Q(1/J¢). It follows that 1/JQ
         is a distribution.
 (iv) It is a theorem of Laurent Schwartz (see [SCH]) that there is no contin-
        uous operation of multiplication on S'. However, it is a matter of great
        interest, especially to mathematical physicists, to have such an operation.
Schwartz Distributions                                                                     39


      Colombeau [CMB] has developed a substitute operation. We shall say no
      more about it here.
  (v) Schwartz distributions may be differentiated as follows: If J-l E S' then
      (8/ 8x)(3 J-l E S' is defined, for ¢ E S, by




      Observe that in case the distribution J-l is induced by integration against a
      C~ function f, then the definition is compatible with what integration by
      parts would yield.

  Let us differentiate the distribution induced by integration against the function
f(x) == Ixl on lIt Now, for ¢    E S,


      f'(¢) == - f(¢')

            = - [ : f¢' dx

            =   -100      f(x)¢'(x) dx -    [°00 f(x)¢'(x) dx
            = _      roo x¢'(x) dx + fO          x¢'(x) dx
                     io                    -00

                                   00
            =-       [x¢(x)]:   +   1     ¢(x) dx +      [x¢(x)]~oo - [°00 ¢(x) dx
            =   roo ¢(x) dx _ fO          ¢(x) dx.
                io                  -00



Thus f' consists of integration against b( x)       ==   -x (-00,0] + X[O,oo).   This function
is often called the Heaviside function.

Exercise: Let    n    ~
                      R N be a smoothly bounded domain. Let v be the unit
outward normal vector field to 8n. Prove that -VXn E S'. (Hint: Use Green's
theorem. It will tum out that (- VXn) (¢) == Jan ¢ da, where da is area measure
on the boundary.)


The Fourier Transform
The principal importance of the Schwartz distributions as opposed to other dis-
tribution theories (more on those below) is that they are well behaved under the
Fourier transform. First we need a lemma:
40                                                                   Review of Fourier Analysis


LEMMA 2.2.3
If f E S then   j   E   S.

PROOF    This is just an exercise with Propositions 2.1.2 and 2.1.3: the Fourier
transform converts multiplication by monomials into differentiation and vice
versa.   I

DEFINITION 2.2.4             If u is a Schwartz distribution, then we define a Schwartz
distribution   u by
                                         u(¢) == u(¢).

  By the lemma, the definition of            u makes       good sense. Moreover, by 2.2.5
below,

                             lu(¢)1 == lu(¢)1 ~            L      Pn,f3(¢)
                                                     lal+If3I~M

for some M > 0 (by the definition of the topology on S). It is a straightforward
exercise with 2.1.2 and 2.1.3 to see that the sum on the right is majorized by
the sum

                                    C·      L          Pn,f3(¢)'
                                         lal+It3I~M

In conclusion, the Fourier transform of a Schwartz distribution is also a Schwartz
distribution.


Other Spaces of Distributions
Let V == C~ and £ == Coo. Clearly V               ~   S    ~   £. On each of the spaces V and
£ we use the semi-norms




where K ~ R N is a compact set and Q == (Ql,' .. , QN) is a multiindex. These
induce a topology on V and £ that turns them into topological vector spaces.
The spaces V' and £' are defined to be the continuous linear functionals on V
and £ respectively. Trivially, £' ~ V'. The functional in R l given by
                                                00
                                                       j
                                         J-l==L2 8j ,
                                              j=l

where 8j is the Dirac mass at j, is readily seen to be in V' but not in £'.
  The support of a distribution J1 is defined to be the complement of the union
of all open sets U such that J1 (¢) == 0 for all elements of C~ that are supported
Schwartz Distributions                                                                    41


in U. As an example, the support of the Dirac mass Do is the origin: when Do
is applied to any testing function ¢ with support disjoint from 0 then the result
is O.

Exercise: Let J.L E V'. Then J.L E £' if and only if J.L has compact support. The
elements of £' are sometimes referred to as the "compactly supported distribu-
tions."

PROPOSITION 2.2.5
A linear functional L on S is a Schwartz distribution (tempered distribution) if
and only if there is a C > 0 and integers m and f such that for all ¢ E S we
have

                            IL(¢)I ~ C·           L L               Pn,f3(¢)'       (2.2.5.1)
                                                  Inl~f   1f3I~m


SKETCH OF PROOF         If an inequality like (2.2.5.1) holds, then clearly L is
continuous.
  For the converse, assume that L is continuous. Recall that a neighborhood
basis of 0 in S is given by sets of the form


                         NE,f,m   ==   {¢   E S:      L
                                                      lal:S€
                                                                Pa,f3(¢) <   E} .
                                                      1.6I:Sm

Since L is continuous, the inverse image of an open set under L is open.
Consider



There exist    E,   f, m such that




Thus

                                         L
                                        lal:Sf
                                                  Pn,f3(¢) <        E

                                        1.6I:Sm

implies that

                                            /L(¢)/ < 1.
That is the required result, with C == 1/ Eo                    I
Exercise: A similar result holds for V' and for £'.
42                                                       Review of Fourier Analysis


THEOREM 2.2.6 STRUCTURE THEOREM FOR V'
flu E V' then
                                           k
                                    U   == LDjJ-lj,
                                          j=1
where J-lj is a finite Borel measure and each Dj is a differential monomial.

IDEA OF PROOF          For simplicity, restrict attention to R I . We know that the
dual of the continuous functions with compact support is the space of finite
Borel measures. In a natural fashion, the space of C I functions with compact
support can be identified with a subspace of the set of ordered pairs of Ce
functions: f +-+ (I, f'). Then every functional on C~ extends, by the Hahn-
Banach theorem, to a functional on C e x C e . But such a functional will be
given by a pair of measures. Combining this information with the definition
of derivative of a distribution gives that an element of the dual of C~ is of the
form J-l1 + (J-l2)'. In a similar fashion, one can prove that an element of the dual
of C~ must have the form J-li + (J-l2)' + ... + (J-lk+I)(k).
   Finally, it is necessary to note that V' is nothing other than the countable
union of the dual spaces (C~)'. I

   The theorem makes explicit the fact that an element of V' can depend on
only finitely many derivatives of the testing function-that is, on finitely many
of the norms Pn,(3.
   We have already noted that the Schwartz distributions are the most convenient
for Fourier transform theory. But the space V' is often more convenient in the
theory of partial differential equations (because of the control on the support
of testing functions). It will sometimes be necessary to pass back and forth
between the two theories. In any given context, no confusion should result.

Exercise: Use the Paley-Wiener theorem (discussed in Section 4) or some other
technique to prove that if cP E V then ¢ (j. V. (This fact is often referred to as
the Heisenberg uncertainty principle. In fact, it has a number of qualitative and
quantitative formulations that are useful in quantum mechanics. See [FEG] for
more on these matters.)

More on the Topology of V and V'
We say that a sequence {cPj} ~ V converges to ¢ E V if
     1. all the functions ¢j have compact support in a single compact set K o;
     2. PK,n(¢j - ¢)   -+   0 for each compact set K and for every multiindex   Q.

                                                                       I
   The enemy here is the example of the "gliding hump": On R , if 'ljJ is a
fixed Coo function and ¢j (x) == 'ljJ (x - j), then we do not want to say that the
sequence {¢j} converges to O.
Convolution and Friedrichs Mollifiers                                                      43


   A functional J-l on V is continuous if J-l(¢j) -+ J-l( ¢) whenever ¢j -+ ¢. This
is equivalent to the already noted characterization that there exist a compact K
and an N > 0 such that

                            IJ-l(¢) I :S C    L         PK,n(¢)
                                             Inl:::;N

for every testing function ¢.




2.3   Convolution and Friedrichs Mollifiers
Recall that two integrable functions    f    and 9 are convolved as follows:

                f   *g =   Jf(x - t)g(t) dt =           J  g(x - t)f(t) dt.

In general, it is not possible to convolve two elements of V'. However, we may
successfully perform any of the following operations:

  1. We may convolve an element J-l E V' with an element 9 E D.
   2. We may convolve two distributions J-l, v E V' provided one of them is
      compactly supported.
  3. We may convolve VI, ..• ,Vk E V' provided that all except possibly one
     is compactly supported.

  We shall now learn how to make sense of convolution. This is one of those
topics in analysis (of which there are many) where understanding is best achieved
by remembering the proof rather than the statements of the results.

DEFINITION 2.3.1      We define the following convolutions:

 1.   If J-l E V' and 9 E V then we define (J-l        * g)(¢) == J-l(g * ¢), all ¢ E V.
 2.   If J-l E S' and 9 E S then we define (J-l        * g)(¢) == J-l(g * ¢), all ¢ E S.
 3.   If J-l E £' and 9 E V then we define        (J-l * g)(¢) == J-l(g * ¢), all ¢ E £.

  Recall here that g( x) == g( - x). Observe in part (1) of the definition that
9*¢   E V, hence the definition makes sense. Similar remarks apply to parts (2)
and (3) of the definition. In part (3), we must assume that 9 E V; otherwise
9 * ¢ does not necessarily make sense.

LEMMA 2.3.2
If Q E V' and 9 E V then Q * 9 is a function.                     What is more, If we let
7h¢(x) == ¢(x - h) then (Q * 9 )(x) == a(Txg).
44                                                                   Review of Fourier Analysis


PROOF          We calculate that

                     (a * g)(cP) = a(§ * cP) = aX          [1 §(x - t)cP(t) dt] .
Here the superscript on         Q   denotes the variable in which       Q   is acting. This last




   Next we introduce the concept of Friedrichs mollifiers. Let ¢ E C~ be
supported in the ball B (0, 1). For convenience we assume that ¢ 2: 0, although
this is not crucial to the theory. Assume that J ¢( x) dx == 1. Set ¢E (x) ==
     N
E-       ¢(x/ E).
   The family {¢E} will be called a family of Friedrichs mollifiers in honor of
K. O. Friedrichs. The use of such families to approximate a given function
by smooth functions has become a pervasive technique in modem analysis. In
functional analysis, such a family is sometimes called a weak approximation to
the identity (for reasons that we are about to see). Observe that J ¢E (x) dx == 1
for every E > O.

LEMMA 2.3.3
If f     E   LP(RN   ),   1~p ~   00,    then




PROOF       The case p == 00 is obvious, so we shall assume that 1 :::; p < 00.
Then we may apply Jensen's inequality, with the unit mass measure ¢E(X) dx,
to see that


                           Ilf*cP,II1p    =     111                     P
                                                        f(x-t)cP,(t)dtI dx

                                          :=;   1
                                                1   If(x - t)IPlcP,(t)1 dt dx

                                          =     11  If(x - t)IP dx cP,(t) dt

                                          =     1IlflltpcP,(t) dt

                                          == 11111~p·                                              I
REMARK       The function IE == f * ¢E is certainly Coo Gust differentiate under
the integral sign) but it is generally not compactly supported unless I is.    I
Convolution and Friedrichs Mollijiers                                                                   45



LEMMA 2.3.4
For 1 :::; p < 00 we have




PROOF           We will use the following claim: For 1 :::; p                   < 00     we have



where 7ft f (x)          == ! (x - h). Assume the claim for the moment.
  Now

                II!< -   !11~p               111 !(x - t)¢«t) dt - 1!(x)¢«t) dtl[
                                             111[!(x - t) -     f(x)]¢«t) dtl[

                                             111[Ttf(x) - f(x)]¢«t) dtl[

                                       <     1IITt! - fll~p¢«t)       dt

                                   (t=J-U)
                                      ==     1II -! liP ()
                                                   TJi,E!     LP¢   J-l dJ-l.

In the inequality here we have used Jensen's inequality. Now the claim and the
Lebesgue dominated convergence theorem yield that lifE - fllLP -+ O.
   To prove the claim, first observe that if 1/J E GYe then I Th1/J - 1/J I sup -+ 0
by uniform continuity. It follows that II Th 1/J - 1/J II Lp -+ O. Now if ! E LP is
arbitrary and E > 0, then choose 1/J E Ce such that II! - 1/J II Lp < E/2. Then

      lim sup    II Thf - !IILP :::; lim sup II Th(! -1/J)IILP + lim sup IITh1/J -1/JII :::;       E.
       h---+O                                h---+O                             h---+O

Since     E   > 0 was arbitrary, the claim follows.                   I

LEMMA 2.3.5
If ! E C e then          fE   -+   !   uniformly.

PROOF           Let 1]   > 0 and choose E > 0 such that if Ix-yl < E then If(x)- f(y)1 <
1].   Then

                         If«x) -       !(x)1 11 f(x - t)¢«t) dt - !(x)1
                                               =


                                               =      I/[f(x - t) - f(x)J¢«t) dtl
46                                                                                                     Review of Fourier Analysis



                                                       :; r J1tl$.E
                                                                            Ij(x-t)-j(x)I¢«t)dt


                                                       ::; / ry¢< (t) dt
                                                       ==   1].

That completes the proof.                              I

Exercise: Is the last lemma true for a broader class of                                                        /?       Prove that if
f E C~(IRN), then lifE - flick - t O.

     Now if      Q    E   V' and cPE is a family of Fredrichs mollifiers, then we define

                           o:«x) ==            0:   * cP«x) = o:(¢«x -                       .))   = 0: ('L:i<)     .

LEMMA 2.3.6
Each    QE      is a Coo function. Moreover,                                Q   E   -t Q     in the topology of V'.

PROOF For simplicity of notation, we restrict attention to dimension one. First
let us see that Q E is differentiable on R We calculate:
                                                                  Q[cPE(X + h - .)] - Q[cPE(X - .)]
                                                                                                   h
                                                            =   0: (    ¢< (x         +h         -1-     cP< (x - .)) .      (2.3.6.1)

Observe that
                                       cP«x + h        -1-          ¢«x - .) _ ¢:(x _ .)

in the topology of V. Thus (2.3.6.1) implies that

                                         0:<   (x   + h~ -        o:«x) _ o:(cP:(x _ .))

as h - t O.
   Now let us verify the convergence of                                         Q E   to   Q.      Fix a testing function     'l/J   E V.
Then

      0:< (   'ljJ) = /        0:< (   x) 'ljJ (x) dx = /          0:
                                                                        8
                                                                            (cP< (x - s)) 'ljJ (x) dx

                  =   0:
                           8
                               [/       (¢«x - s)) 'ljJ(x) dX]                        = 0:   8
                                                                                                 [/    (¢«x)) 'ljJ(x    + s) dX]

                  =   0:
                           8
                               [/      ¢< ( -x )'ljJ( S     -     x) dX] .                                                   (2.3.6.2)
Convolution and Friedrichs Mollifiers                                               47



Here a superscript on a distribution indicates the variable in which it is applied.
  We may assume that ¢ is even. Then, from (2.3.6.2),

                                                                             (2.3.6.3)

By the exercise preceding the lemma, 1/Jf -+ 1/J in every C k norm. Therefore
PK,O: (1/Jf -1/J) -+ 0 for every K and Q. It follows that Qf (1/J) == Q(1/Jf) -+ Q(1/J)
as f -+ O. That completes the proof.      I

PROPOSITION' 2.3.7          SCHWARTZ
Let A : C~ -+ Coo be a linear, continuous operator that commutes with
translations: A(Th(¢)) == Th(A(¢)). Then A is given by convolution with a
distribution. That is, there is a distribution Q such that



for all ¢ E   v.
PROOF     Define   Q   by

                                  a(¢)    = (A(¢)) (0).
Then, for all ¢ E      C~,   we have

                       a   * ¢(x) = a   ('Y,,¢) = ( A ('Y,,¢) (0))
                                 ==   (A (T_ x ¢ )) (0)
                                 == (T-x(A¢») (0)
                                 == A¢(x).
This is the desired result.       I

   As an application of the proposition, we will demonstrate that if u, v E V'
and if v has compact support, then we can define u * v as a distribution. To see
this, let ¢ E V. Then
                                       ¢~u*(v*¢)

is a translation invariant operator from C~ to Coo that commutes with trans-
lations (notice that, because v is compactly supported, v * ¢ E V). Thus this
operator is given by convolution with a distribution Q. We define u * v == Q.
   We now assemble some remarks about when a distribution is a function and,
more particularly, when it is a smooth function. First we note that if Q E V'
and a is compactly supported, then 6: is a Coo function. Indeed,

                                                                               (2.3.8)
48                                                           Review of Fourier Analysis


To see this, let ¢ E V. Then




REMARK         If a E V' is compactly supported and 'l/J E £, then we can define
Q( 'l/J) in the following manner: Let supp Q ~ K a compact set. Let <I> E C~
be identically equal to 1 on K. Then we set Q ( 'l/J) == Q (<I> . 'l/J). I

  Now let us use (2.3.8) to see that & is Coo when Q E V' is compactly
supported. For simplicity, we assume that the dimension is one. Then




Notice that we may pass the limit inside the brackets because the Newton quo-
tients converge in C k for every k on the support of Q. Thus we have shown
that & is differentiable. Iteration of this argument shows that & is Coo. We
shall learn in the next section that, in fact, the Fourier transform of a compactly
supported distribution is real analytic.
   We conclude with a remark on how to identify a smooth distribution. The
spirit of this remark will be a recurring theme throughout this book. We ac-
complish this identification by examining the decay of & at infinity. Namely, let
¢ E C~ be such that ¢ == 1 on a large compact set. We write & == ¢& +(1- ¢ )&.
Applying the inverse Fourier transform (denoted by ---), we see that



Then, since (¢&) is compactly supported, the first term is a Coo function. We
conclude that, in order to see whether Q is Coo, we must examine (( 1 - ¢) &)".
But this says, in effect, that we must examine the behavior of & at infinity.




2.4 The Paley-Wiener Theorem
We begin by examining the so-called Fourier-Laplace transform. If f E C~ (I~N )
and ( == ~ + if] E ]RN + ilRN ~ eN, then we define

                            j(() =   r
                                     J~N
                                           !(x)e ix -( dx.
The Paley-Wiener Theorem                                                            49


More generally, if Q is a compactly supported distribution, then we define its
Fourier-Laplace transform to be

                                      "X( eiX.() .
                                      Q



Assume that the testing function f has support in the ball B(O, A). Then


                       I!(()I =   IlN f(x)eixoc'e-xoTJ dxl
                             :S   r
                                  J~N
                                          If(x)lle-XoTJI dx

                             :S   r If(x)le
                                  J~N
                                                 A1TJ1 dx,


where we have used the support condition on          f.   Thus we see that



The Payley-Wiener theorem provides a converse to this estimate:

THEOREM 2.4.1
An entire function U (() is the Fourier-Laplace transform of a distribution with
compact support in B(O, A) if and only if there are positive constants C and K
such that

                                                                             (2.4.1.1 )

   Moreover, a distribution J-l coincides with a function in C~(B(O,A)) ifand
only if its Fourier-Laplace transform U (() is an entire analytic function and
for every K > 0 there is a constant C K > 0 such that

                                                                             (2.4.1.2)

PROOF First let us assume that Q E V' with support in B(O, A); we shall then
prove that U == & satisfies (2.4.1.1). Let h E C~ (I~N) satisfy h( t) == 1 when
It I :::; 1/2 and h(t) == 0 when Itl2 1. For (E eN fixed and nonzero, we set


One checks that ¢( E V and ¢((x) == eix ·( when Ixl :::; A+ 1/(21(1). Moreover,
¢((x) == 0 when I(/(Ixl - A) 2 1.
  Now for any ¢ E V we know that
leVleW   oJ ~"ourier Analysis


for some C, K. As a result,

                    I&(()I == IQX(eix'()1 ==                      IQx (¢((x))1
                              :S C          L         sup IDJ3¢(1
                                           1J3I~K B(O,A)


                              :S C(I(I + I)K                          sup    le ix .( I
                                                                 xEB(O,A)




  Next let us assume that    Q    is a C~ function supported in B(O, A). We shall
prove (2.4.1.2). Now


                        I&(()I    = If a(x)e ix -<: dxl

                                  ::: r               la(x)leA11m(1 dx
                                       JB(O,A)


                                  :S   IIQIILle A1Im (l.
This is (2.4.1.2) with K    == 0. To obtain (2.4.1.2) with K == 1 we write, for
(j i= 0,


                    I&(()I =      If       a(x)e
                                                      ix
                                                           -<:   dxl


                             ==   Ifa(x)~~eix,(
                                        Z(j aXj
                                                                            dxl


                             =    I   :j    f   (&~j a(x)) eix .( dxl
                             :S   _1        II~QII                    eA11m(l.
                                  I(jl          aXj              Ll

We can iterate this argument to obtain (2.4.1.2) for every K.
   Next we prove that if (2.4.1.2) holds then Q is a C~ function with support
in B(O, A). We write

               la(x)1   = I(27r)-N f             U(~)e-ix,~ d~1

                        =   I(27r)-N        JU(~ + i1])e-ix.(~+i'7) d~l·
The Paley-Wiener Theorem                                                                       51


If ( ==   ~   + iT}   then from (2.4.1.2) we can write

                           la(x)1    ~C     J+  (1         !(I)-K e A11m (l ex '1
                                                                               0


                                                                                    d~

                                     =   Ce A1 '1I+ x '1    J(1 + I(I)-K d~

provided that K 2: N + 1.
  Now for x E }RN fixed we take                  T}   ==   -tx, where t is a positive real number.
Then
                           la(x)1 ~ CeAtlxl-tlxl2 == Cetlxl(A-lxl).
If Ixl   > A then, as t      ---t   +00, the right side of this inequality tends to O. Thus
a(x) == O. But this simply means that suppa                        ~   B(O,A).
  We leave it as an exercise to prove that (2.4.1.1) implies that U is the Fourier-
Laplace transform of a distribution supported in B(O, A).        I
3
Pseudodifferential Operators




3.1   Introduction to Pseudodifferential Operators
Consider the partial differential equation ~ u == f. We wish to study the exis-
tence and regularity properties of solutions to this equation and equations like
it. It turns out that, in practice, existence follows from a suitable a priori reg-
ularity estimate (to be defined below). Therefore we shall concentrate for now
on regularity.
   The a priori regularity problem is as follows: If u E C~ (}RN) and if

                                     ~u ==   f,                             (3.1.1)

then how may we estimate u in terms of f? Taking the Fourier transform of
both sides of (3.1.1) yields

                                    (~u) ==   j
or

                             - L l~jI2u(~) == !((,).
                                j


Arguing formally, we may solve this equation for     u:

                                                                            (3.1.2)


Suppose for specificity that we are working in }R2. Then -1 /1~12 has a nonin-
tegrable singularity and we find that equation (3.1.2) does not provide useful
information.
   The problem of studying existence and regularity for linear partial differential
operators with constant coefficients was studied systematically in the 1950's by
Introduction to Pseudodifferential Operators                                     53


Ehrenpreiss and Malgrange, among others. The approach of Ehrenpreiss was to
write

             u(x)   = c·   Ju(~)e-ix.~ d~ = J-1;1 j(~)e-ix,~ ~.     2


Using Cauchy theory, he was able to relate this last integral to


                      J- +  I~
                                 1.
                                  ~1712
                                          j(~ + i1])e- ix '(U i7]) d~.

In this way he avoided the singularity at ~ == 0 of the right-hand side of (3.1.2).
   Malgrange's method, by contrast, was to first study (3.1.1) for those f such
that j vanishes to some finite order at 0 and then to apply some functional
analysis.
   We have already noticed that, for the study of Coo regularity, the behavior
of the Fourier transform on the finite part of space is of no interest. Thus
the philosophy of pseudodifferential operator theory is to replace the Fourier
multiplier 1/1~12 by the multiplier (1 - ¢(~))/1~12, where ¢ E C~(IRN) is
identically equal to 1 near the origin. Thus we define




for any 9 E C~. Equivalently,




Now we look at u - Pf, where f is the function on the right of (3.1.1):
                                                  .-..
                        (u - P f)     == it - P f
                                              1      A       1-    ¢(~)   A




                                      =-~f+                       1~12    f
                                      == _ ¢(~) fA
                                              1~12       .
Then u - P f is a distribution whose Fourier transform has compact support,
that is, u - P f is Coo. So studying the regularity of u is equivalent to studying
the regularity of P f. This is precisely what we mean when we say that P is a
parametrix for the partial differential operator~. And the point is that P has
symbol - (1 - ¢) / 1~12, which is free of singularities.
   Now let L be a partial differential operator with (smooth) variable coefficients:




The classical approach to studying such operators was to reduce to the constant
54                                                    Pseudodifferential Operators


coefficient case by "freezing coefficients": Fix a point Xo E   }RN   and write




For a reasonable class of operators (elliptic), the second term turns out to be
negligible because it has small coefficients. The principal term, the first, has
constant coefficients.
   The idea of freezing the coefficients is closely related to the idea of passing
to the symbol of the operator L. We set




(This definition of symbol is slightly different from that in Section 1.5 because
we need to make peace with the Fourier transform.) The motivation is that if
dJ E V and if L has constant coefficients then




However, even in the variable coefficient case we might hope that a parametrix
for L is given by




Assume for simplicity that f(x,~) vanishes only at ~ == 0 (in fact, this is exactly
what happens in the elliptic case). Let <I> E C~ satisfy <I>(~) == 1 when I~I ~ 1
and <I>(~) == 0 when I~I ~ 2. Set




We hope that m, acting as a Fourier multiplier by




gives an approximate right inverse for L. More precisely, we hope that equations
of the following form hold:

                      T   0     + (negligible error term)
                              L == id
                      LoT == id + (negligible error term).
Introduction to Pseudodifferential Operators                                      55


In the constant coefficient case, composition of operators corresponds to multi-
plication of symbols so that we would have

                     ((L 0 T)f) = £(~) .       (I ~(;)(~)) j(~)
                                     == (1 - <P(~))j(~).
In the variable coefficient case, we hope for an equation such as this with the
addition of an error.
   A calculus of pseudodifferential operators is a collection of integral opera-
tors that contains all elliptic partial differential operators and their parametrices
and such that the collection is closed under composition and the taking of ad-
joints. Once the calculus is in place, then, when one is given a partial or
pseudodifferential operator, one can instantly write down a parametrix and ob-
tain estimates. Pioneers in the development of pseudodifferential operators were
Mikhlin ([MIK1], [MIK2]) and Calderon and Zygmund [CZ2].
   One of the classical approaches to developing a calculus of operators finds
it roots in the work of Hadamard [HAD] and Riesz [RIE] and Calderon and
Zygmund [CZ1]. To explain this approach, we introduce two types of integral
operators.
   The first are based on the classical Calderon-Zygmund singular integral ker-
nels. Such a kernel is defined to be a function of the form
                                               O(x)
                                    K(x)   =   Ixl N   '


where 0 is a smooth function on }RN  {O} that is homogeneous of degree zero
(i.e., O(AX) == O(x) for all A > 0). Then it can be shown (see [STSI]) that the
Cauchy principal value integral

                     TK f(x)   ==    lim   r
                                    E---+O+ J1tl>E
                                                   f(x - t)K(t) dt

converges for almost every x when f E LP and that T is a bounded operator
from LP to LP, 1 < p < 00.
   The second type of operator is called a Riesz potential. The Riesz potential
of order ex has kernel

                                                           0< ex < N,

where CN,Q is a positive constant that will be of no interest here. The Riesz
potentials are sometimes called fractional integration operators because the
Fourier multiplier corresponding to k Qis c~ Q   I~I-Q. If we think about the fact
that multiplication on the Fourier transform side by ( -I ~ 1) ex > 0, corresponds
                                                            2
                                                                  Q ,


to applying a power of the Laplacian-that is, it corresponds to differentiation-
56                                                      PseudodifferentiDl Operators


then it is reasonable that a Fourier multiplier 1~1J3 with (3 < 0 should correspond
to integration of some order.
   Now the classical idea of creating a calculus is to consider the smallest algebra
generated by the singular integral operators and the Riesz potentials. Unfortu-
nately, it is not the case that the composition of two singular integrals is a
singular integral, nor is it the case that the composition of a singular integral
and a fractional integral is (in any simple fashion) an operator of one of the com-
ponent types. Thus, while this calculus could be used to solve some problems,
it is rather clumsy.
    Here is a second, and rather old, attempt at a calculus of pseudodifferential
operators:

DEFINITION 3.1.1     A function p(x,~) is said to be a symbol of order m if p
is Coo, has compact support in the x variable, and is homogeneous of degree
m in ~ when ~ is large. That is, we assume that there is an M > 0 such that
if I~I > ]v! and A > 1 then



     It is possible to show that symbols so defined, and the corresponding operators




form an algebra in a suitable sense. These may be used to study elliptic operators
effectively.
   But the definition of symbol that we have just given is needlessly restrictive.
For instance, the symbol of even a constant coefficient partial differential oper-
ator is not generally homogeneous and we would have to deal with only the top
order terms. It was realized in the mid-1960s that homogeneity was superfluous
to the intended applications. The correct point of view is to control the decay
of derivatives of the symbol at infinity. In the next section we shall introduce
the Kohn-Nirenberg approach to pseudodifferential operators.




3.2     A Formal Treatment of Pseudodifferential Operators
Now we give a careful treatment of an algebra of pseudodifferential operators.
We begin with the definition of the symbol classes.

DEFINITION 3.2.1   KOHN-NIRENBERG [KONlj Let m E}R. We say that a
smoothfunction a(x,~) on }RN x}RN is a symbol of order m if there is a compact
set K ~ }RN such that supp a ~ K x}RN and, for any pair of multiindices Q, (3,
A Formal Treatment of Pseudodifferential Operators                                      57


there is a constant Cn ,/3 such that

                                                                                  (3.2.1.1)

We write a E   sm.
  As a simple example, if <I> E C~ (IR N     ), <I>   ==   1 near the origin, define




Then a is a symbol of order m. We leave it as an exercise for the reader to
verify condition (3.2.1.1).
   For our purposes, namely the local boundary regularity of the Dirichlet prob-
lem, the Kohn-Nirenberg calculus will be sufficient. We shall study this calculus
in detail. However, we should mention that there are several more general cal-
culi that have become important. Perhaps the most commonly used calculus is
the Hormander calculus [HOR2]. Its symbols are defined as follows:

DEFINITION 3.2.2 Let m E IR and 0 ~ p, 8                     ~   1. We say that a smooth
function a( x,~) lies in the symbol class S;::c5 if




   The Kohn-Nirenberg symbols are special cases of the Hormander symbols
with p == 1 and 8 == 0 and with the added convenience of restricting the x
support to be compact. Hormander's calculus is important for the study of the
a-Neumann problem (treated in our Chapter 8). In that context symbols of class
S:/2,1/2 arise naturally.
   Even more general classes of operators, which are spatially inhomogenous
and nonisotropic in the phase variable ~, have been developed. Basic references
are [BEF2], [BEA 1], and [HOR5]. Pseudodifferential operators with "rough
symbols" have been studied by Meyer [MEY] and others.
   The significance of the index m in the notation           sm
                                                        is that it tells us how the
corresponding pseudodifferential operator acts on certain function spaces. While
one may formulate results for C k spaces, Lipschitz spaces, and other classes of
functions, we find it most convenient at first to work with the Sobolev spaces.

DEFINITION 3.2.3     If ¢ E V then we define the norm


               II¢IIHS   =   11¢lls == (/ 1¢(~)12 (1 + 1~12r         d~) 1/2 .
We let HSC~N) be the closure of V with respect to                II I/s.
58                                                                 Pseudodifferential Operators


     In the case that s is a nonnegative integer,




for 1~llarge. Therefore


                  ¢   E H
                            S
                                if and only if    ¢.   (L I~IQ)
                                                           IQI~S
                                                                             2
                                                                         E L .



This last condition means that ¢~Q E L 2 for all multiindices                Q   with   lad   ~ s.
That is,

                       (:x)" ¢       E L
                                           2
                                               Va such that lal      ~ s.
Thus we have

PROPOSITION 3.2.4
If s is a nonnegative integer then




Here derivatives are interpreted in the sense of distributions.

     Notice in passing that if s    >r   then HS   ~   Hr because



   The Sobolev spaces tum out to be easy to work with because they are modeled
on L 2-indeed, each HS is canonically isomorphic as a Hilbert space to £2
(exercise). But they are important because they can be related to more classical
spaces of smooth functions. That is the content of the Sobolev imbedding
theorem:

THEOREM 3.2.5         SOBOLEV
Let s > N/2. If f E HS(IR N ), then f can be corrected on a set of measure
zero to be continuous.
   More generally, if k E {O, 1,2, ...} and if f E HS, s > N/2 + k, then f can
be corrected on a set of measure zero to be C k .

PROOF For the first part of the theorem, let           f    E   H s. By definition, there exist
¢j E V such that lI¢j - jllHs -+ O. Then

                                                                                        (3.2.5.1)
A Formal Treatment of Pseudodifferential Operators                                                             59


Our plan is to show that {¢j} is an equibounded, equicontinuous family of
functions. Then the Ascoli-Arzehi theorem [RUD1] will imply that there is a
subsequence converging uniformly on compact sets to a (continuous) function
g. But (3.2.5.1) guarantees that a subsequence of this subsequence converges
pointwise to the function f. So f == 9 almost everywhere and the required
assertion follows.
  To see that {¢j} is equibounded, we calculate that


    IcPj(x)1 = c      ·11 e-ix.F,Jj(~) d~1
                 ~ c·  1IJj(~)1(1 + 1~12)s/2(1 + 1~12)-s/2 d~
                 ~ c·   1IJj(~)12(1 + 1~12)s d~ . 1 + 1~12)-s d~)
                          (                                 )
                                                                    1/2   (
                                                                              (1
                                                                                                     1/2
                                                                                                           .
Using polar coordinates, we may see easily that, for s                         > N /2,



Therefore



and {¢ j} is equibounded.
  To see that {¢j} is equicontinuous, we write




Observe that le-ix,~ - e-iy·~ I ::; 2 and, by the mean value theorem,



Then, for any 0       < E < 1,
 le-ix,~    _   e-iY'~1   ==   le-ix,~   _   e-iY'~ll-t:le-ix,~       _   e-iY'~It:   ::; 21-€lx _   ylt:I~It:.


Therefore

           IcPj(x) - cPj(y)1      ~c  1IJj(~)lIx yl'I~I' d~
                                                        -

                                  ~ C1x - 1IJj(~)1 + 1~12)'/2 d~
                                               yl'                   (1

                                  ~ C1x - yl' IlcPj IIHB        (   J(1 +     It;Y)-s+, d~ )
                                                                                               1/2
                                                                                                     .
60                                                           Pseudodifferential Operators


If we select 0 < E < 1 such that -s + E < -N/2, then we find that J(1 +
1~12)-s+E d~ is finite. It follows that the sequence {¢j} is equicontinuous and
we are done.
   The second assertion may be derived from the first by a simple inductive
argument. We leave the details as an exercise.      I

REMARKS
   1. If s == N /2, then the first part of the theorem is false (exercise).
   2. The theorem may be interpreted as saying that HS ~ C k for s > k + N /2.
In other words, the identity provides a continuous imbedding of H S into C k .
A converse is also true. Namely, if HS ~ C k for some nonnegative integer k
then s > k + N /2.
  To see this, notice that the hypotheses Uj ---+ U in HS and Uj ---+ v in C k
imply that U == v. Therefore the inclusion of HS into C k is a closed map. It is
therefore continuous by the closed graph theorem. Thus there is a constant C
such that




For x E }RN fixed and   a a multiindex   with    lal ::;    k, the tempered distribution
e~ defined by



                            e~ (¢) = (:xcxcx )    ¢(   x)
is bounded in (C k )* with bound independent of x and a (but depending on k).
Hence {e~} form a bounded set in (HS)* == H-s (this point is discussed in
detail in Lemma 3.2.9 below). As a result, for lal ::; k we have that




is finite, independent of x and a. But this can only happen if 2(k - s)          < -N,
that is, if s > k + N /2. I

Exercise: Imitate the proof of the Sobolev theorem to prove Rellich's lemma:
If s > r, then the inclusion map i : H S ---+ HT is a compact operator.
A Formal Treatment of Pseudodifferential Operators                             61


THEOREM 3.2.6
Let p E 8 m and define the associated pseudodifferential operator P   == Op(p) ==
Tp by



Then



continuously.

REMARKS      Notice that if m > 0, then we lose smoothness under P. Like-
wise, if m < 0 then P is essentially a fractional integration operator and we
gain smoothness. We say that the pseudodifferential operator Tp has order m
precisely when its symbol is of order m.
   Observe also that in the constant coefficient case (which is misleadingly sim-
ple), we would have p(x,~) == p(~) and the proof of the theorem would be as
follows:

                IIP(¢;)II;-m   = Jl(ffl))(~)12 + 1~12)s-m d~
                                                       (1


                               = JIp(~)¢(~W(1 + 1~12y-m d~

                               ~ J1¢(~)12(1 + 1~12)s d~
                                   c

                               == cll¢II;·                                       I
   To prove the theorem in full generality is more difficult. We shall break it up
into several lemmas.

LEMMA 3.2.7
For any complex numbers a, b we have

                                1 + lal
                                T+lbf ~ 1 + la - bl·
PROOF     We have

                    1 + lal ~ 1 +      la - bl + Ibl
                               ~ 1+    la - bl + Ibl + Iblla - bl
                               == (1 + la - bl)(l + Ibl).                        I
62                                                          Pseudodifferential Operators


LEMMA 3.2.8
If P E   sm then, for any multiindex a      and integer k > 0, we have




Here F x denotes the Fourier transform in the x variable.


PROOF      If a is any multiindex and      r is any multiindex such that I,I == k, then
         1'YIIFx
         17        (D~p(x,~)) 1==   IFx (D1D~p(x,~)) (1])1
                               ::; IID~+'Yp(x,~)IILI(x) ~ Ck,o:'     (1 + 1~I)m.
As a result,




This is what we wished to prove.            I


LEMMA 3.2.9
We have that




PROOF       Observe that




But then HS and H-s are clearly dual to each other by way of the pairing


                              (I, g)   =   Jj(~)g(~)   df                              I

   The upshot of the last lemma is that, in order to estimate the H S norm of a
function (or Schwartz distribution) cP, it is enough to prove an inequality of the
form




for every 1/J E V.
A Formal Treatment of Pseudodifferential Operators                                                 63


PROOF OF THEOREM 3.2.6              Fix ¢ E V. Let p E Smand let P                 = Op(p). Then
                       PcjJ(x) =   1 O¢(~) d~.
                                            e-ix.€p(x,

Define

                            SX(A,~) = 1eiX·)o.p(x,~)dx.
This function is well defined since p is compactly supported in x. Then

                   P¢(1])   =   11 ~)¢(~) d~eiTJ'x
                                         e-ix.€p(x,                         dx


                            =   1 ~)¢(~)eix'(TJ-O d~
                                 1       p(x,                          dx


                            =   1Sx(1]-~,~)¢(~)df
We want to estimate IIP¢Is-m. By the remarks following Lemma 3.2.9, it is
enough to show that, for 'l/J E V,



We have

         11 PcjJ(x)ijj(x) dxl = 11 P¢(~)~(~) d~1
                                =    11 (1 Sx(~          - 1], 1])¢(1]) d1])   ~(~) d~1

                                =   1 Sx(~
                                    1             - 1],1])(1        + 11]I)-s(1 + Iw s- m

                                     x   ~ ( ~) (1 + 1 1) m - s ¢(17) (1 +
                                                     ~                         1171) s d 17 d~ .

Define
                K(~,1]) = ISx(~ -1],1])(1 + 11]I)-s(1 + Iws-ml·
We claim that

                                    JIK(~, d~   1])1       :::; C
and
                                    JIK(~,1])1         d1]:::; C.
64                                                                Pseudodifferential Operators


     Assume the claim for the moment. Then




                             x ( / 1¢(17)1 2 (1   + 1171 2 )S d17 )   1/2



                       == CII7/JIIHm-s . 1I¢IIHs


That is the desired estimate. It remains to prove the claim.
  By Lemma 3.2.8 we know that




But now, by Lemma 3.2.7, we have



         IK(~,17)1 == ISx(~ -17,17)(1 + 117I)-s(1 + Iws-ml

                  ::; Ck(l   + 11JI)m(l + I~ -1JI)-k(l + 11J1)-S(l + 1~l)s-m
                           1 + 11J1) m-s                              -k
                  = Ck   ( 1 + I~I       . (1       + I~ - 171)

                  ::; Ck(l   + I~ _1Jl)m-s(l + I~ - 1J1)-k.

We may specify k as we please, so we choose it so large that m-s-k                 ~   -N-1.
Then the claim is obvious and the theorem is proved. I
The Calculus of Pseudodifferential Operators                                    65




3.3 The Calculus of Pseudodifferential Operators
The three central facts about our pseudodifferential operators are these:

   1. If p E sm then Tp        :   HS   -+   Hs-m.
   2. If p E sm then (Tp )* is "essentially" Tp . In particular, the symbol of
      (Tp )* lies in sm.
   3. If p E sm, q E sn, then T p 0 Tq is "essentially" Tpq • In particular, the
      symbol of T p 0 T q lies in sm+n.

We have already proved (1); in this section we shall give precise formulations
to (2) and (3) and we shall prove them.
   We begin with (2), and for motivation consider a simple example. Let A ==
a(x)(ajaXl). Let us calculate A*. If ¢, 'ljJ E V then

           (A * ¢, 'ljJ) £2 == (¢, A'ljJ) £2


                           = J (a(x):~
                                    ¢(x)                    (X)) dx


                           = - JO~           1   (a( x) ¢( X ) ) if;(x) dx


                           = J(                a    aft)           -
                                        -a(x) OXI - OXI (X) ¢(x)· 'Ij;(x) dx.

Then

                        A*     == -a ( x ) - a - -aft (x )
                                   -
                                             aXl          aXl

                               = Op ( -a(x)( -i6) -               OXI (X) )
                                                                  aft


                             = Op       (i 6 a    (x) -    ::1   (X)) .

Thus we see in this example that the "principal part" of the adjoint operator
(that is, the term with the highest degree monomial in ~ of the symbol of A *)
is i~ 1ft (x), and this is just the conjugate of the symbol of A.
   In general it turns out that the symbol of A * for a general pseudodifferential
operator A is given by the asymptotic expansion

                                          a)ex- 1
                                   L DC; (of, a(A) a!                 .
                                   ex
66                                                                 Pseudodifferential Operators


Here D~ == (ia j ax)Q. We shall learn more about asymptotic expansions later.
The basic idea of an asymptotic expansion is that, in a given application, the
asymptotic expansion may be written in more precise form as




One selects k so large that the error term £k is negligible.
   If we apply this asymptotic expansion to the operator a(X)ajaxl that was
just considered, it yields that

                                 o-(A*) =    i~la(x) - ~a      (x),
                                                         UXI


which is just what we calculated by hand.
   Now let us look at an example to motivate how compositions of pseudodif-
ferential operators will behave. Let the dimension N be 1 and let

                                                                          d
                                               and       B == b(x) dx .

Then a(A)     == a(x)( -i~)      and a(B)    == b(x)( -i~). Moreover, if ¢           E 'D then


                (A   0   B)(¢)   =   (a(x)   d~)     (b(X)   ~~)


Thus we see that

                 0-( A 0 B) = a(x) ~~ (x) (-i~)          + a(x )b(x)( -i~f.
Notice that the principal part of the symbol of A              0   B is

                            a(x)b(x)( -i~)2 == a(A) . a(B).

     In general, the Kohn-Nirenberg formula says (in               }RN)       that


                 o-(A 0 B) =       L Q
                                         od (a)Q (o-(A)) . D~(o-(B)).
                                          1 fJ~                                            (3.3.1)

Recall that the commutator, or bracket, of two operators is

                                     [A,B]    ==   AB - BA.
The Calculus of Pseudodifferential Operators                                    67


Here juxtaposition of operators denotes composition. A corollary of the Kohn-
Nirenberg formula is that

       a([A, B])   =   L       (8/8~Y>a(A)D~a(B) -, (8/80aa(B)D~a(A)
                                                                     Q.
                       Inl>O

(notice here that the Q == 0 term cancels out) so that a([A, B]) has order strictly
less than (order(A) + order(B)). This phenomenon is illustrated concretely in
JRl by the operators A == a(x)d/dx, B == b(x)d/dx. One calculates that

                                     db            da) d
                   AB - BA == ( a(x) dx (x) - b(x) dx (x) dx'

which has order one instead of two.
  Our final key result in the development of pseudodifferential operators is the
asymptotic expansion for a symbol. We shall first have to digress a bit on the
subject of asymptotic expansions.
  Let f be a Coo function defined in a neighborhood of 0 in R Then

                                                   00       1 dn f
                                f(x)   r-..J   "        -(0) x n .
                                                        -                  (3.3.2)
                                               L..-i n! dx n
                                                o
We are certainly not asserting that the Taylor expansion of an arbitrary Coo func-
tion converges back to the function, or even that it converges at all (generically
just the opposite is true).
   This formal expression (3.3.2) means instead the following: Given an N > 0
there exists an M > 0 such that whenever m > M and x is small then the
partial sum Sm satisfies



  Now we present a notion of asymptotic expansion that is related to this one,
but is specially adapted to the theory of pseudodifferential operators:

DEFINITION 3.3.3        Let {aj} be symbols in UmS m . We say that another symbol
a satisfies




if for every L   E jR+ there is an M E Z+ such that

                                                   M
                                   a - Laj                    E   S-L.
                                               j=l
68                                                              Pseudodifferential Operators


DEFINITION 3.3.4    Let K CC }RN be a fixed compact set. Let WK be the
set of symbols with x-support in K. If pEW K, then we will think of the
corresponding pseudodifferential operator P as

                                P : CC:(K)        ~ C~(K).

(This makes sense because P¢(x)            ==   J e-ix,~p(x, ~)¢(~) d~.)
     Now our main result is


THEOREM 3.3.5
Fix a compact set K and pick p E 8 m               n WK. Let P == Op(p). Then P* has
symbol in 8 m n WK given by




   We will prove this theorem in stages. There is a technical difficulty that arises
almost immediately: Recall that if an operator T is given by integration against
a kernel K (x, y), then the roles of x and yare essentially symmetric. If we
attempt to calculate the adjoint of T by formal reasoning, there is no difficulty
in seeing that T* is given by integration against the kernel K (y, x). However,
at the symbol level matters are different. Namely, in our symbols p(x, ~), the
role of x and ~ is not symmetric. If we attempt to calculate the symbol of Op(p)
by a formal calculation, then this lack of symmetry serves as an obstruction.
   It was Hormander who determined a device for dealing with the problem just
described. We shall now describe his method. We introduce a new class of
symbols r(x,~, y). Such a smooth function on }RN x }RN X }RN is said to be in
the symbol class Tm if there is a compact set K such that

                                    supp r(x,~, y) ~ K
                                       x

and

                                    supp r(x,~,y) ~ K
                                       y

and, for any multiindices     0:,   (3, '"'f, there is a constant Cn ,f3,-y such that




The corresponding operator R is defined by

                   R¢(x)    =   JJei(y-xHr(x,~,            y)¢(y) dyd~.                 (3.3.6)
The Calculus of Pseudodifferential Operators                                       69


Notice that the integral is not absolutely convergent and must therefore be in-
terpreted as an iterated integral.

PROPOSITION 3.3.7
Let r E T m have x- and y-supports contained in a compact set K. Then
the operator R defined as in (3.3.6) defines a pseudodifferential operator of
Kohn-Nirenberg type with symbol pEW K having an asymptotic expansion

                        p(x,~) '" L ~!alD~r(x,~,y)ly=x'
                                    n


PROOF    We calculate that

               JeiY'~r(x, ~,y     )¢>(y) dy = (r(x, ~, .)¢>(-))

                                              = (i3 (x, y, .) * J(-)) (~).
Here f3 indicates that we have taken the Fourier transform of r in the third
variable. By the definition of R¢ we have

            R¢>(x) =    JJei(-x+Y)'~r(x,~,y)¢>(y)dyd~
                        J
                   = e-ix.~ [i3(x,~,.) * J(-)] (~) d~

                   = JJi3(x,~, ~         - TJ)J(TJ)   dTJe-ix,~ d~
                   = JJi3(x,~, ~         -   TJ)e-ix,(~-'f}) d~J(TJ)e-ix.'f} dT]

                   ==   J p(x, y)J(TJ)e-ix.'f} dTJ·

Here

                              Ji3(x,~, ~ TJ)e-ix(~-'f}) ~
                    p(x, TJ) ==                   -

                             =Je-ix'~i3(x, ~ + TJ,~) d~.
Now if we expand the function f3 (x, TJ + .,~) in a Taylor expansion in powers
of ~, it is immediate that p has the claimed asymptotic expansion. In particular,
one sees that p E sm.   In detail, we have

                 i3(x, 1] +~,~) =       L       a;i3(x, TJ,~) ~~ + R.
                                        Inl<k
70                                                              Pseudodifferential Operators


Thus (dropping the ubiquitous c from the Fourier integrals),


               p(x,Tj) =        L 1e-iX'€8;f3(x,Tj,~):~ d~ + 1Rd~
                              lal<k

                          =     L ~!8;D~r(X,Tj,y)ly=x + 1  Rd~.
                              lal<k

The rest is formal checking.               I

PROOF OF THEOREM 3.3.5       Let pEW K n                sm
                                                 and choose cP, 1/J E V. Then,
with P the pseudodifferential operator corresponding to the symbol p, we have

              (dJ, P* 1/J) == (PcP, 1/J)

                           =    1[1 e-iX'€p(X,~)¢(~)d~]           "j;(x)dx

                           =    1 1e-i(x-YH4>(y)dyp(x,~)d~"j;(x)dx.
                                 1
Let us suppose for the moment that p is compactly supported in~. With this
extra hypothesis the integral is absolutely convergent and we may write


       (4), P*7/J)   = 14>(Y)     [11      ei(x-y)·€ p(x, ~)7/J(x) d~ dx ] dy.     (3.3.5.1)

Thus we have

                       P*7/J(y) =     1 ei(x-YHp(x,~)7/J(x)d~dx.
                                      1
     Now let p E     C~   be a real-valued function such that p       ==   1 on K. Set

                                    r(x,~,y) ==   p(x)· p(y,~).

Then

                     P*7/J(y)   =11             ~)p(Y)7/J(x) d~
                                           ei(x-YH p(x,                    dx

                                =1ei(x-YHr(y,~,x)7/J(x)d~dx
                                == R1/J(y),
where we define R by means of the multiple symbol r. (Note that the roles of
x and y here have unfortunately been reversed.)
The Calculus of Pseudodifferential Operators                                    71


  By Proposition 3.3.7, P* is then a classical pseudodifferential operator with
symbol p* whose asymptotic expansion is


                  p*(x,~) '" ~ ~! of D; [p(x)p(y, ~)] Iy=x
                            '" L J,af D';p(x, ~).
                                     Q.
                                 a

We have used here the fact that p == 1 on K. The theorem is thus proved with
the extra hypothesis of compact support of the symbol in ~.
   To remove the extra hypothesis, let ¢ E ergo satisfy ¢ == 1 if I~ I ~ 1 and
¢ == 0 if I~I 2: 2. Let


Observe that Pj ~ P in the e k topology on compact sets for any k. Also, by
the special case of the theorem already proved,




The proof is completed now by letting j ~        00.    I
THEOREM 3.3.8 KOHN-NIRENBERG
Let P E l1 K n sm, q E l1 K n sn. Let P, Q denote the pseudodifferential
operators associated with p, q respectively. Then Po Q == Op(a) where
 1.   a E l1 K n sm+n;
 2.   a ~   La ~8rp(x, ~)D~q(x, ~).
PROOF    We may shorten the proof by using the following trick: write Q         =
(Q*) * and recall that Q* is defined by

                  Q*¢J(y)   = / / ei(x-YH¢J(x)q(x,~)dxd(,

                            = (/     eix'~¢J(x)q(x,~) dx ) ----   (y).

Here we have used (3.3.5.1).
  Then

                  Q¢J(x)   =   (J eiY·~¢J(y)q.(y,~) dy) ---- (x),        (3.3.8.1 )
72                                                                   Pseudodifferential Operators


where q* is the symbol of Q*. (Note that q* is not if; however, we do know
that if is the principal part of q*.) Then, using (3.3.8.1), we may calculate that

           (P 0 Q)(¢»(x)         =   J e-ix·ep(x, ~)(Q¢)(O d~

                                 = JJe-ix·ep(x,Oeiy·eq*(y,~)¢>(y)dyd~
                                 = JJe-i(x-y)·e [p(x,~)q*(y,~)] ¢>(y)dyd~.

Set   q == q*.   Define

                                   r(x,~,    y) == p(x,~) . ij(y, ~).
One verifies directly that r E Tn+m. We leave this as an exercise. Thus R,
the associated operator, equals P 0 Q. By Proposition 3.3.7 there is a classical
symbol a such that R == Op( a) and


                              a(x,O   "-J   L ~! of D~r(x,~, y)ly=x'
                                             Q



Developing this last line we obtain


         a(x,O     "-J   L ~!OfD~ (p(x,Oq(y,~))ly=x
                          Q




                   "-J   L ~!Of [p(x,OD~q(y,O] Iy=x
                          Q




                   "-J   L    ~or [p(x,OD~q(x,O]
                              o.
                          Q




                   "-J   L       all! [or1p(x,o] a;!           [otD~2D~lq(X,~)]
                         QI,Q2



                                    QI
                         '""" oI! 8 ~ p ( x, ~ ) D x
                         ~ 1                             ~ 0 1 ! 8Q2 D x q x, ~ ) ]
                                                             2 ~
                                                   QI   ['"""          Q2 _(
                   f"V

                         QI                               Q2



                   "-J   L    ~o{p(X,~)D~lq(X,~).
                              0'.
                         QI
The Calculus of Pseudodifferential Operators                                           73


Here we have used the fact that the expression inside the brackets is just the
asymptotic expansion for the symbol of (Q*) *. That completes the proof. I


   The next proposition is a useful device for building pseudodifferential oper-
ators. Before we can state it we need a piece of terminology: we say that two
pseudodifferential operators P and Q are equal up to a smoothing operator if
P - Q E Sk for all k < O. In this circumstance we write P rv Q.


PROPOSITION 3.3.9
Let Pj, j == 0, 1,2, ..., be symbols of order mj, mj ~         -00.     Then there is a
symbol P E    smo, unique modulo smoothing operators, such that



PROOF Let 'l/J : ~n ~ [0, 1] be a Coo function such that 'l/J == 0 when Ixl ::; 1
and 'l/J == 1 when Ixl 2: 2. Let 1 < t l < t2 < ... be a sequence of positive
numbers that increases to infinity. We will specify these numbers later. Define

                                      00


                         p(x,~) ==   L 'l/J(~/tj )Pj (x, ~).
                                     j=O



Note that for every fixed x, ~ the sum is finite, for 'l/J (~/ tj) == 0 as soon as
tj> I~I. Thus P is a well-defined Coo function.
  Our goal is to choose the tj'S so that P has the correct asymptotic expansion.
We claim that there exist {t j} such that




     Assume the claim for the moment. Then for any multiindices          Q,   {3 we have

                                     00


                ID~Drp(x,~)1 ::;   L       ID~Dr ('l/J(~/tj)Pj(x,~))1
                                   j=O
                                     00

                               ::; L2- (1 + 1~l)mJ-IQI
                                             j

                                   j=O
74                                                                           Pseudodifferential Operators


It follows that p E      sm
                    o• Now we want to show that p has the right asymptotic
                   °
expansion. Let < k E Z be fixed. We will show that

                                                      k-l
                                            p- LPj
                                               j=O
lives in   smk.   We have




                                          k-l
                                        - L (l-7/J(~/tj))Pj(x,~)
                                          j=O
                                   ==   q(x,~)    + s(x, ~).
It follows directly from our construction that q(x,~) E   k
                                                                               sm
                                                            • Since [l-'ljJ(~/tj)]

has compact support in B(O, 2t l ) for every j, it follows that s(x,~) E S-oo.
Then
                                                k-l
                                        P - LPj             E   sm   k


                                            j=O
as we asserted.
   We wish to see that P is unique modulo smoothing terms.                                     Suppose that
qE   smo and q L~OPj. Then
                   f"V




                         P-   q== (p - LPj) - (q - LPj)
                                            J<k                             J<k




for any k. That establishes the uniqueness.
   It remains to prove the claim. First observe that, for                         lad == j,

       IDf7/J(~/tQ)1 =        ik I(Df7/J) (~/tj)1
                              t·
                               J



                              +
                          ~ tjl I1€1::;2t
                                   sup
                                            J
                                                {(DQ'lj;). (1            + I~I)IQI}I   (1   + I~I)-IQI
The Calculus of Pseudodifferential Operators                                          75


with C independent of j. Therefore


 IDr   (1/J(~/tj)Pj(x,O)1   =   L (~)Dl1/J(~/tj)Df-'pj(x,O
                                ,,:Sa




Consequently,

                ID~De (?j;(~/fj)pj(x,~))I ~ Cj ,a,/3(l     + 1~l)mJ-lal
                                               ~ Cj(l   + 1~I)mJ-lal
for every j 2: lad + ItJl (here we have set Cj == maxi Cj ,a,/3 : lal + ItJl ~ j}).
   Now recall that ?j;(~) == 0 if I~I ::; 1. Then ?j;(~/fj) -I 0 implies that I~I 2: fj.
Thus we choose fj so large that fj > fj-l and

                 1~12: fj   implies     Cj(l   + 1~l)mJ-mJ-l   :::; 2- j .
Then it follows that



which establishes the claim and finishes the proof of the proposition.           I
4
Elliptic Operators




4.1   Some Fundamental Properties of Partial Differential Operators
We begin this chapter by discussing some general properties that it is desirable
for a partial differential operator to have. We will consider why these proper-
ties are desirable and illustrate with examples. We follow this discussion by
introducing an important, and easily recognizable, class of partial differential
operators that enjoy these desirable properties: the elliptic operators.
   Our first topic of discussion is locality and pseudolocality. Let T : C~ ~
Coo. We say that T is local if whenever a testing function ¢ vanishes on an
open set U then T¢ also vanishes on U. The most important examples of local
operators are differential operators. In fact, the converse is true as well:

THEOREM 4.1.1       PEETRE
If

                                  T:   Cr:   ~   COO

is a linear operator that is local then T is a R.artial differential operator.

PROOF     See [HEL].      I

   The calculation of a derivative at a point involves only the values of the
function at points nearby. Thus the notion of locality is well suited to differ-
entiation. In particular, it means that if T is local and ¢ == 'l/J on an open set
then T¢ == T'l/J on that open set. For the purposes of studying regularity for
differential operators, literal equality is too restrictive and not actually necessary.
Therefore we make the following definitions:

DEFINITION 4.1.2       Let ex E V' and U ~ IR N an open set. If there is a Coo
Properties of Differential Operators                                                  77


function   f   on U such that for all ¢       E   V that are supported in U we have

                                 n(¢» =      1    j(x)¢>(x) dx,

then we say that     0   is Coo on   u.
   The singular support of a distribution 0 is defined to be the complement of
the union of all the open sets on which 0 is Coo.

DEFINITION 4.1.3        A linear operator T : V' ~ V'is said to be pseudolocal
if whenever U     is an open set and 0 E V'is Coo on U then To is Coo on U.

  Now we have

THEOREM 4.1.4
If T is a pseudodifferential operator, then T is pseudoloeal.

The theorem may be restated as "the singular support of Tu is contained in the
singular support of u for every distribution u."
   A sort of converse to this theorem was proved by R. Beals in [BEA2-4]. That
is, in some sense the only pseudolocal operators are pseudodifferential. We shall
not treat that result in detail here.
   The proof of the theorem will proceed in stages. First, we need to define how
a pseudodifferential operator operates on a distribution. Let P be a pseudodif-
ferential operator and let u E V' have compact support. We want Pu to be a
distribution. For any testing function ¢, we set

                                     (Pu, ¢) == (u, t P¢).

Here t P is the transpose of P which we define by



for ¢,'l/J E V.
   To illustrate the definition, suppose that u is given by integration against an
Ll function f. Suppose also that the pseudodifferential operator P is given by
integration against the kernel K(x, x - y) with K(·, y) E L 1 and K(x, .) ELI.
Then P has symbol K (x, ~). We see that
                         2


                   (Pu)(¢» =  1[1           K(x,x-y)j(Y)dY] ¢>(x)dx

                             =J~           K(x, x - y)¢>(x) dX] j(y) dy

                             =J      t   P¢>(y)f(y) dy.
78                                                                          Elliptic Operators


This calculation is consistent with the last definition.
PROOF OF THEOREM 4.1.4        Let U be an open set on which the distribution u
is Coo. Fix x E U. Let ¢ E C~ (U) satisfy ¢ == 1 in a neighborhood of x.
Finally, let 'ljJ E C~ (U) satisfy 'ljJ == 1 on the support of ¢. Then we have
'ljJu E V, hence ¢P'ljJu E C~. (Note here that we are using implicitly the
fact that if a(P) E sm, then P maps HS to Hs-m, hence, by the Sobolev
imbedding theorem, P maps C~ to Coo.)
   We wish to find the symbol of ¢P'ljJ. This is where the calculus of pseudod-
ifferential operators will come in handy. Let us write our operator as



where the symbol M denotes a multiplication operator. Of course a(M</» ==
¢(x) and a(M1jJ) == 'ljJ(x). Hence

                         a(T) == ¢(x)a(PoM1jJ)


                                  '" ¢J(x)   (~~!8fPD~1/J ) .
In the last equality we have used the Kohn-Nirenberg formula. But, on the
support of ¢, any derivative of 'ljJ of order at least 1 vanishes. As a result,

                              a(T) ~ ¢(x)a(P)(x,~).

Therefore

                       a(T) - ¢(x)a(P) E S-k                  Vk   ~   o.
In other words,

                            T -     Met> 0 P : H   S
                                                       ~ H s +k

for all k 2: 0 and every s. By Sobolev's theorem,



But V' == UsHs so our distribution u lies in some HS.
  We conclude that



Since ¢P'ljJu is Coo, we may conclude that ¢Pu E Coo. But ¢ == 1 in a
neighborhood of x. Therefore Pu is Coo near x. Since x was an arbitrary point
of U, we are done. I

DEFINITION 4.1.5       A linear operator T : V'           ~   V'is called hypoelliptic if
sing supp u   ~   sing supp Tu.
Properties of Differential Operators                                               79


Notice that the containment defining hypoellipticity is just the opposite from that
defining pseudolocality. A good, but simple, example of a hypoelliptic operator
on the real line is djdx. For if

                                        d
                                       - u ==   f
                                       dx
and f is smooth on an open set U, then u is also smooth on U. The reason,
of course, is that we may recover u from f on this open set by integration.
A more interesting example of a hypoelliptic operator is the Laplacian ~ on
~N, N 2: 2. Thus the equation ~u == f entails u being smooth wherever f
is. This is proved, in analogy with the one-variable case, by constructing a
right inverse (or at least a parametrix) for the operator~. If the right inverse
or parametrix is a pseudodifferential operator, then the last theorem will tell us
that ~ is hypoelliptic.
   We now introduce an important class of pseudodifferential operators which
are hypoelliptic and enjoy several other appealing regularity properties. These
are the elliptic operators:

DEFINITION 4.1.6 We say that a symbol p E              sm   is elliptic on an open set
U ~ ~N if there exists a continuous function c(x)         > 0 on U such that


for ~ large. A partial differential operator or, more generally, a pseudodiffer-
ential operator L is elliptic precisely when its symbol a( L) is elliptic.


Example 1
Let ~ be the Laplacian. Then a(~) == Lf=1(-i~j)2
follows that

                              la(~)1 == 1~12 2: 1 '1~12
on all of space. Hence ~ is elliptic.       0

Example 2
Now let
                                        1 if i == j
                                        o if i =I j.
Then
80                                                                                Elliptic Operators


If Eij, i, j   1, ... ,N are Coo functions having small CO nonns, then the
operator




is elliptic.   0

Example 3
Let (aij) be a positive definite N x N matrix of constants. Let b1 , ••• , bN be
scalars. Then the partial differential operator
                                                 2
                            La j -.8x . + Lbj -88x .
                             . .
                             Z,J
                                  8
                                    8
                                    i
                                            Xz       J       J
                                                              .       J


is elliptic.   0

   If P is a partial differential operator that is elliptic of order m (usually m is
positive, but it is not necessary to assume this), and if Q ==                    L
                                                                       an (x) 8 n is a
partial differential operator with continuous coefficients of strictly lower order,
then P + Q is still elliptic, no matter what Q is. To see this, let a(P) == p(x,~)
with Ip(x,~)I2: c(x)I~lm for 1~llarge. Then

                   la(P + Q) I 2: la(P) I-               la( Q) I

                               2: c(x)I~lm -                 L      an(x)(-i~)n
                                                            Inl<m
                               2: c(x)I~lm - b(x)I~lm-l

                               2:   c~) 1~lm
for ~ large and x in a bounded set. As a result of this calulation, we can say
that a partial differential operator is elliptic if and only if its principal symbol
Llnl=m a n (x)8 n is elliptic.
   A natural question to ask is: must an elliptic operator be of even order? If
the dimension is at least two, and the order is at least two, then the answer is
yes. We leave the easy verification as an exercise.
   In the case of dimension two and order one, let us consider the example
                                                 8          .8
                                        P   == 8x + ~ 8y .
Then
Regularity for Elliptic Operators                                                     81


Thus

                                      la(P)1 2: I~I·
   In dimension one, consider an operator
                                        m          dj
                                 P   = Laj(x) dxj       .
                                       j=1

Then
                                         m

                              a(P) == Laj(x)(-i~)m
                                        j=1

so that



for ~ large. Then P is elliptic if and only if am is nowhere vanishing.
   Our next main goal is to prove existence and regularity theorems for elliptic
partial differential operators.




4.2    Regularity for Elliptic Operators
We begin with some terminology.

DEFINITION 4.2.1    A pseudodifferential operator is said to be smoothing          if its
symbol p lies in S-oo == nmS m.

DEFINITION 4.2.2        If P is a pseudodifferential operator, then a left (resp. right)
parametrix for P on an open set U is a pseudodifferential operator Q such that
there is a 'ljJ E C~, 'ljJ == 1 on U, with QP - 1jJI (resp. PQ - 'ljJI) smoothing.

  The next proposition is fundamental to our regularity theory.

PROPOSITION 4.2.3
If P is an elliptic pseudodifferential operator of order m and if L is a rela-
tively compact open set in the (x variable) domain of a(P), then there exists a
pseudodifferential operator of order -m that is a two-sided parametrix for P
on L.

PROOF     By hypothesis we have

                           la(P)1 == Ip(x, ~)I 2: a(x)I~lm
82                                                                 Elliptic Operators


for x E suppp(·,~), ~ large with a(x) > 0 a continuous function. Select a
relatively compact open set L ~ supp p(.,~) so that there is a constant CO > 0
with a(x) > Co on L. We also select Ko > 0 such that, for I~I 2: K o and x E L,
it holds that Ip(x,~)1 2: col~lm. Let'l/J be a C~ function with support in the
(x variable) domain of a(P) such that 'l/J == 1 on L. Also choose a function
¢ E Coo such that ¢(~) == 1 for I~I 2: K o + 2 and ¢(~) == 0 for I~I :::; K o + 1.
Then set




and

                                    Qo == Op( qo).

Observe that ¢ == 0 on a neighborhood of the zeroes of p(x, ~); hence qo is Coo.
Furthermore, qo has compact support in x. Finally, qo E   s-m.  To see this, first
notice that




Moreover,


       la~j qo(X,~)1 = '1/J(X)'·lp(x,~)(ac/>/a~j)~l(:,~~~)(ap(x,o/a~j)                I




                         < C. [(1 + IW ·1(a¢>/a~j)(~)1 + (1 + IW
                                       m                              m       1
                                                                          -       ]
                         -           (1    + 1~1)2m         (1   + 1~1)2m
for   lei   large. But this is




However, B¢/ Bej is compactly supported, so it follows that




Arguing in a similar fashion, one can show that




Since x derivatives are harmless, we conclude that qo E s-m.
Regularity for Elliptic Operators                                                    83


  Now consider Qo       0   P. By the Kohn-Nirenberg fonnula,




That is,

                      a(Qo    0   P) == qo(x, ~)p(x,~)   + 1'-1 (x, ~).        (4.2.3.1)

Notice that qo(x, ~)p(x,~) == 'l/J(x )¢(~) and 1'-1 (x,~) E 5- 1• Now set a(Qo 0
P) == 'ljJ(x) + r-l(x,~), where r-l is defined by this equation and (4.2.3.1).
The equation that defines r -1 shows that we may suppose that r -1 has compact
support in the x variable. Observe also that r -1 E 5- 1 .
  Define




where '¢ is a C~ function that is identically equal to 1 on the x-support of r -1.
  Consider Qo + Ql == Op(qO + ql). We calculate (Qo + Ql) 0 P. By the
Kohn-Nirenberg fonnula,

           a((Qo   + Ql) 0 p) == a(Qo 0 P) + a(Ql 0 P)
                              == 'ljJ(x) + ,¢(x)r -1 - '¢(x)¢(~)r -1 + f -2.

Notice that 1'-2 E 5- 2 • Since '¢(x)(l - ¢(~)) is compactly supported in both
x and~, it follows that ,¢(x)(l- ¢(~))r-l is smoothing. Therefore we may
write



with r -2 E 5- 2 .
   Now suppose inductively that we have constructed qo, ... ,qk-l such that,
setting Qj == Op(qj) for j :::: 0, 1, ... , k - 1, we have




with r -k E 5- k . Define




Let Q be the pseudodifferential operator having symbol q, where
84                                                                  Elliptic Operators


(here we are using 3.3.9). Then

                            a(Q a P) == 1/;(x) + s(x, ~),

with s(x,~) E S-oo, Le., QaP-1/;/ is smoothing. We also will write QaP              ==
1/;/ + 5. Thus Q is a left parametrix for P.
     A similar construction yields a right parametrix   Q for P.   We write P a   Q ==
1/;/ +5.
   We will now show that a( Q - Q) E S-oc on a slightly smaller open set
W cc L. By adjusting notation, one can of course arrange (after the proof)
for the equations Q a P == 1/;/ + 5, P a Q == 1/;/ + 5, and a(Q - Q) E 5- 00
to all be valid on the original open set L. We now interpolate an open set
W cc V cc L. Let p E C~(V) satisfy p == 1 on W. Let J1 E C~(L)
satisfy J1 == 1 on V. In what follows we will use continually the fact that the
composition of any pseudodifferential operator with a smoothing operator is still
smoothing. The identity of our smoothing operators may change from line to
line, but we will denote them all by 5 or 5. Now

                          pQJ1 == pQ(P a Q - 5)J1
                                == pQ a P(Q - 5)J1
                                == p(/ + S) 0 (Q - 5)J1
                                == p(Q -   5 + 5Q -     S5)J1
                                == pQJ1 + SjL.

Thus Q - Q is smoothing on W when applied to functions in C~(V). We
conclude that Q - Q is smoothing and we are done. I

   Now we can present our basic interior regularity result for elliptic partial
differential (in fact, even pseudodifferential) operators.

THEOREM 4.2.4
Let U ~ ~N be an open set. Let P be a pseudodifferential operator that is
elliptic of order m > 0 on U. If I E HI~c and u is a solution of the equation
Pu == I , then u E H lac m .
                      s
                        +


PROOF The hard work has already been done. Since the theorem is local, we
can suppose that u and I have compact support. (It is important to develop
some intuition about this: the point is to see that we can consider ¢u rather
than u and pi rather I, where ¢, p are C~ cutoff functions. This amounts to
commuting ¢ past P and p past the parametrix, noticing that this process gives
rise to error tenns of lower order, and then thinking about how the error terms
Regularity for Elliptic Operators                                                    85


would affect the parametrix.) Let 'l/J E C~ satisfy'l/J     ==   1 on suppu. Let   Q be
a left parametrix for P:

                                    S == QoP - 'l/JI

is smoothing. Then

                      u == 'l/Ju == (Q    0   P - S)u == Qf - Suo

Since f E H S and Q is of order -m, it follows that Qf E H s +m ; also, Su is
smooth. Then Qf - Su E Hs+m, that is, u E Hs+m.        I

   Now that we have our basic regularity result in place we will use it, and some
functional analysis, to prove our basic existence result. We would be remiss
not to begin by mentioning the paramount discovery of Hans Lewy in 1956
[LEW2]: not all partial differential operators are locally solvable. In fact, we
shall discuss Lewy's example in detail in Chapter 9.
   Although we do not attempt to fonnulate the most general local solvability
result, we present a result that will suffice in our applications. The most impor-
tant ideas connected with local solvability of partial differential operators appear
in [NTR], [BEFI], and the references therein.

THEOREM 4.2.5
Let P be an elliptic partial differential operator on a domain o. If f E V'(O)
and Xo E 0, then there exists a u E D' (0) such that Pu == f in a neighborhood
ofxo.

PROOF      We may assume, by the usual arguments, that f has compact support-
that is, f E ['. Then f E H S for some s. Thus we may take the partial
differential operator P to have compact support in a neighborhood K of Xo.
Let 'l/J E C~ (0) satisfy 'l/J == 1 on K. Let Q be a right parametrix for P such
that

                                    Po Q - 'l/JI    == S                     (4.2.5.1)

and S is smoothing. By looking at the left side of this equation we see that
a(S) has x-support also lying in supp'l/J. Thus

                              S: H S      ~ C~(supp'l/J).


Then S : HS   ~   HS is compact by Rellich's lemma. Therefore the equation

                                     (S   + I)u == f                         (4.2.5.2)
00                                                                      Elliptic Operators


can be solved if   fEN 1-, where

                        N == {g    E H
                                          S
                                               :   (S*   + 1)g == O};

here the inner product is with respect to the Hilbert space HS. Notice that, since
S* is also smoothing (why?) and 9 == -S* 9 for 9 E N, we know that N is a
finite-dimensional space of Coo functions.
   Let gl , ... , 9 M be a basis of N. We claim that there exists a neighborhood U
of Xo such that gl , ... , 9 M are linearly independent as functionals on C~ (0  U).
To see this, suppose that U does not exist. Let Un be neighborhoods of Xo such
that Un '. xo. For each n, let C l, ... ,CnM be constants (not all zero) such that
                                     n

                                          M

                               G n == LCnjgj == 0
                                          j=1


as functionals on C~(O  Un). By linearity, we may suppose that each G n has
nonn 1 in N for all n (note in passing that G n -# 0 for every n). Since N is finite
dimensional, there is a convergent subsequence G nm such that G nm ~ G E N
and G has nonn 1. However, viewed as a functional on C~(O), G has support
{xo}. Since G is Coo, we have a contradiction.
   Thus we have proved the existence of U. We may assume that U cc K.
Now we can find a Coo function h with support in 0  U such that f + h is
perpendicular to N in the HS(O) topology. By (4.2.5.2), there is a distribution
u such that

                         (1 + S)u == h + f == f              on   U.

By (4.2.5.1), we see that P (Qu)   == f       on U. Therefore Qu solves the differential
equation.     I

Exercise: The proofs of the last two theorems, suitably adapted, show that
the local solution exhibits a gain in smoothness, in the Sobolev topology, of
order m.

   It is also the case that elliptic partial differential equations exhibit a gain of
order m in the Lipschitz topology. We shall present no details for this assertion.
Given the machinery that we have developed, it is only necessary to check that
if p Esm    then Op(p) : A~c ~ A~~m for any Q > O. This material is discussed
in [TAY].

Exercise: Prove that the elliptic operator P in Theorem 4.2.5 is surjective in a
suitable sense by showing that its adjoint is injective.
Change of Coordinates                                                            87




4.3   Change of Coordinates
It is a straightforward calculation to see, as we have indicated earlier, that an
elliptic partial differential operator remains elliptic under a smooth change of
coordinates. In fact pseudodifferential operators behave rather nicely under
change of coordinates, and that makes them a powerful tool. They are vital, for
instance, in the proof of the Atiyah-Singer index theorem because of this invari-
ance and because they can be smoothly defonned more readily than classical
partial differential operators. We shall treat coordinate changes in the present
section.
   Let U, {; be open sets in ~N and <1' : (; ~ U a Coo diffeomorphism. If
x E U then set x == <1'(x). Suppose that P is a pseudodifferential operator with
x-support contained in U. Define, for ¢ E V(U),

                                  ¢(x) == ¢ 0 <1'(x)

and

                                 p(¢)(x) == P¢(x).
Then P operates on elements of V(U) and we would like to detennine which
properties of P are preserved under the transfonnation P 1-+ P.
  As an example, let us consider the transfonnation

                                  <1'(x) == ax + b,

where a is an invertible N x N matrix and b is an N-vector. Then

      p¢(x)          P¢(x)

                      j e-ixo(,p(x, O¢(O dE"


                      j j   e-i(x-y)o(,p(x,O¢>(y)dyd~

                     je-i(ai+b-aY-bHp(ax + b,O¢>(ay + b) Idet al          dyd~

                     j j e-i(x-y)ota(,p(ax + b, ~)¢(y) Idet al dy d~


              (ta~1J) j j e- i(X- y)o1J p ( ax + b, Ca) -ITJ)¢(y) dydTJ

                     JJe- ixo1Jp(ax + b,    (t a) -I TJ )¢( TJ) dTJ·
88                                                                               Elliptic Operators


Thus we see that     P is a pseudodifferential operator with symbol



Notice that the x-support of a( p) is a subset of the inverse image under <P of
the x-support of p. Thus the support is compact in U.
   It turns out that for general <P we can only expect the principal symbol of a
pseudodifferential operator to transfonn nicely.

DEFINITION 4.3.1          Let a ==    a(x,~)    be a symbol of order m. We call a symbol
a L the leading (or principal) symbol of a               if
 (i)    aL is homogeneous of degree m for 1~llarge;
(ii)    aL(x,~) - a(x,~) E sm-E for some E > o.


   Now let P be a pseudodifferential operator of order m, elliptic on an open
set V' CC V. Let <P : U ~ V be any Coo diffeomorphism. As before, define
p(¢)(x) == P¢(x) for ¢ E Cgo (U), ¢(x) == ¢( <p(x)).

THEOREM 4.3.2
There exists an open set      Vee U such that P is defined by
                                      p¢(x) == (P¢)(x)

for    ¢ E Cc(V).   Then




In particular, if P is elliptic on V         == <p(V), then P is elliptic on V.

PROOF      Fix   x E U.    Consider


                 lI>(x) - 1I>(fj) =   1~1
                                               II> (tx   + (1 -   t)ii) dt


                                 =    1 1
                                            lac II> (x   + (1   - t)ii) . (x - ii) dt

                                 == H(x, y) . (x - y).
Observe that H(x, x) == Jac <p(x), which is invertible. Since the Jacobian is a
continuous function of its argument, it follows that H(x, iJ) is invertible if iJ is
Restriction Theorems for Sobolev Spaces                                                     89


close to x. Now we choose V a neighborhood of x so small that Idet H(x, y)1 ~
      °
c > on V x V. Then, for x E V and supp ¢ ~ V we have

           P¢(i)   = p¢J(x) =    JJe-i(x-y)·ep(x,~)¢J(y)dyd~
                   =    JJe~i(<I>(x)-<I>(Y»)·ep(<p(i),~)¢(Y) I~: IdYd~.
Here we have used the notation        IB<1'/ Byl   to denote Idet lac <1'(y) I. This last

                         JJe-i(H(x,y).(x-y»).ep(<P(i),O¢(y) I~:I dyd~
                         JJe-i(x-y)-('H(x,y)e)p(<p(i), O¢(Y) I~: Idy d~
          ('H(xf!c.)e=1) JJe- i y)'1)p(<P(i), CH(i,y)rITJ)¢(Y)
                                (X-




                        x ~: 1·ldet CH(i,y)rll dYd~.
                          I




Now set




Then r is a Hormander symbol and, if          p is the classical symbol of ?, then

           p(i, TJ) =   I: ~! a~D~r(i, TJ, y)
                        Q~O
                                                    1_
                                                     y=x
                                                         _




                   = p( <P(i), (t H(i, y)) -I TJ) + higher order terms.

This completes the proof.        I




4.4  Restriction Theorems for Sobolev Spaces
Let S == {(Xl, ... ,XN-l,O)} ~ IR N . Then S is a hypersurface, and is the
boundary of {(Xl, ... , XN) E IR N : x N > O}. It is the simplest example of the
type of geometric object that arises as the boundary of a domain. It is natural
to want to be able to restrict a function f defined on a neighborhood of S, or
90                                                                   Elliptic Operators


on one side of S, to S. If f is continuous on a neighborhood of S, then the
restriction of f to S is trivially and unambiguously defined, simply because a
continuous function is well defined at every point.
   If instead f E H N /2+€ then we may apply the Sobolev imbedding theorem to
correct f on a set of measure zero (in a unique manner) to obtain a continuous
function. The corrected f may then be restricted. Restriction prior to the
correction on the set of measure zero is prima facie ambiguous-a Sobolev
space "function" is really an equivalence class of functions any pair of which
agrees up to a set of measure zero. Unfortunately this discussion is flawed: the
set S itself has measure zero. Thus two different corrections of f may have
different restrictions to S.
   In this section we wish to develop a notion of calculating the restriction or
"trace" of a Sobolev space function on a hypersurface. We want the following
characteristics to hold: (i) the restriction operation is successful on HT for
r « N /2; (ii) the restriction operation should work naturally in the context of
Sobolev classes and not rely on the Sobolev imbedding theorem.

THEOREM 4.4.1
Identify S with ~N -1 in a natural way. Let s       > 1/2. Then the mapping



extends to a bounded linear operator from HS(JRN) to Hs-l/2(~N-l). That is,
there exists a constant C == C (s) > 0 such that




REMARK   Since Hs(~N) and Hs-l/2(~N-l) are defined to be the closures of
C~ (~N) and C~ (~N -1) respectively, we may use the theorem to conclude
the following: If T is any (N - 1)-dimensional affine subspace of JRN, then
a function f E HS (~N) has a well-defined trace on T. Conversely, we shall
see that if 9 E Hs- 1/ 2(T), s > 1/2, then there is a function 9 E HS (JRN) such
that 9 has trace 9 on T. We leave it as an exercise for the reader to apply
the implicit function theorem to see that these results are still valid if T is a
sufficiently smooth hypersurface (not necessarily affine).
   It is a bit awkward to state the theorem as we have (that is, as an a priori
estimate on C~ functions). As an exercise, the reader should attempt to refor-
mulate the theorem directly in terms of the HS spaces to see that in fact the
statement of Theorem 4.4.1 is as simple as it can be made.       I
PROOF OF THEOREM 4.4.1          We introduce the notation (x', X N) == (x 1, ... , X N )
                                E ergo (jRN) then we will use the notation u (x')
                                                                                  T
for an element of jRN. If   U
Restriction Theorems for Sobolev Spaces                                                  91


to denote u(x', 0). Now we have

 Ilu r l/;JS-l/2(IRN - = {           11?(e)ll + WI 2)S-I/2 de
                             J~N-l
                   1)




                        ==   r [_ J(')O ~IUi(e,xN)12(1
                             J~N-l o aXN
                                                                   + leI 2)S-I/2 dXN] d~'.
Here UI denotes the partial Fourier transform in the variable x'. The product
rule yields that, if D is a first derivative, then D(lhI 2) ::; 2Ihl·IDhl. Therefore
the last line does not exceed

     2 {
       J~N-l Jo
                to IUi(e,XN)I.la XN Ui(e,XN)I. (1 + 1~'12)s-I/2dxNd~'.
                                 8


Since 20:(3 ::; 0: 2 + (32, the last line is
                                                   2
              : :; J~N-l JtOla8 Ui (e,XN)1
                    ( o XN                             dXN(1+WI 2)S-lde'




              == I + II.
Now apply Plancherel's theorem to term I I in the x N variable. The result is

                 II :::; C    IN-1 llu(e,eN)1 2 deN(l + lel          2
                                                                         )"   de

                     ::; Cllull~s(~N).
Plancherel '8 theorem applied, in the x N variable, to the term I yields
                                                       2
            I::;C    r J~ laXN Ui(e,XN)1
                    J~N-l
                          r 8                              dXN(1+leI 2)S-Id1,'


              : :; err IU(e,~N)12 ·1~NI2d~N(1 + leI 2)S-Id1,'
                   J~N-l JJR

              :::; C {       lu(~)12. (1 + 1~12)sd1,
                    J~N
                                                                                          I
  As an immediate corollary we have:

COROLLARY 4.4.2
Let u E HS(lR N ) and let 0: be a mu!tiindex such that s >          lal + 1/2.     Then nau
has trace in Hs-la l-I/2(lRN - 1 ).
92                                                                                      Elliptic Operators


     Now we present a converse to the theorem. Again set S                         == {(x', 0)       E   IR N   }.


THEOREM 4.4.3
Assume that cPo, ... , cPk are defined on S, each cPj E Hs-j-l/2CIR N - 1 ) with
s > 1/2 + k. Then there exists a function f E HS (IR N ) such that D~ f has
trace cPj on S, j == 0, ... ,k. Moreover,
                                                   k

                   IIfIlHs(~N) ~ Cs,k             L     IlcPjllks-J-I/2(~N-I).
                                                  j=O


PROOF Let h E C~ (IR), h               ==    1 in a neighborhood of the origin, 0 ~ h ~ 1.
We define




and




This is the function f that we seek. For if m is any integer, 0                          ~   m   ~   k, then




                     ==
                          J.  e -'LX
                                       I
                                           .~ I 'm ~ _1
                                             l
                                                   k
                                                 ~.,
                                                 j=O   J.
                                                            (m)
                                                             .
                                                             J
                                                                   "
                                                                            .
                                                                  J. ( _ l')J



                          x    8:-~j [h(xN(l + 1e1 2)1/2)] I                           . ¢;(~') d~'
                              8x N                                              XN=O


                     =    J   e- ix ',( ¢;;,(e)        de
                     == cPm(X').
This verifies our first assertion.
Restriction Theorems for Sobolev Spaces                                                        93


  Now we need to check that             f   has the right Sobolev norm. We have



       IIfllk2 = { Ij(~W(1 + 1~12)s d~
                 J~N

             =   k.N 1 ((,.))~ (~N )11 + 1~12)s d~
                     (ui




Now we use the fact that I I:~=o (j 1 :::; C . (I:~=o I(j 1), where the constant C
                                    2                     2

depends only on k. The result is that the last line is


                                                                               2
                                t
                  ~ Ck.N (j~)218~~ h ((1 + f;1 2)1/2 ) 1
                                1           ---     2           28
                       X   1+   1e1 2   .   l¢j(~)1 (1     + I~I )   d~




                                                                                         (4.4.3.1)


  Now d~   == d~' d~N.     We make the change of variables




Then


           1 + 1~12   == 1 + 1~'12 + I~NI2        r---+   1 + 1~'12 + I~NI2(1 + 1~'12)

                                                  == (1     + 1€'1 2 )(1 + I€N2).
94                                                                  Elliptic Operators


Then (4.4.3.1) is
                 k

        ::; Cf;       (j~)2 kN-l k Ih(j)(~N)12 (1 + 1;'1 2)1+ 1(1 + leI 2)1/2
            xl¢;(~/) 1 [( 1 + 1 ) (1 + 1N 1) ] s d~' d~ N
                     2
                              ~/12     ~ 2
                 k
        =   CL: ~ (
                (J.)
                j=O         JRN-I
                                    l¢j(OI2(1   + leI 2)S-j-I/2de

            X   kIh(j)(~N      )1 (1 + I~NI2)s d~N
                                2




                      k

        ~ Cs,k       L: lI¢jll~s-j-I/2(~N-I).
                     j=o

That completes the proof of our trace theorem.           I

REMARK The extension iii was constructed by a scheme based on ideas that
go back at least to A. P. Calderon-see [STSI] and references therein. I
5
Elliptic Boundary Value Problems




5.1   The Constant Coefficient Case
We begin our study of boundary value problems by considering                  n == }R~ , an ==
{(x' , 0) : x' E }RN -1 }. We will study the problem

                       P(D)u ==    f     on   }RN
                                               +
                    { Bj(D)u == gj       on a}R~,          j == 1, ... , k.

Here P will be an elliptic operator. At first both P and the B j will have constant
coefficients. Our aim is to determine what conditions on the operators P, B j
will make this a well-posed and solvable boundary value problem. We shall
assume that P is homogeneous of degree m > 0 and that




Examples: Let
                                                a           a
                              P(D) == 6. ==    -a + -a
                                                 2
                                                Xl   X
                                                       2          .
                                                              2



Example 1
First consider   n == }R~.   Let us discuss the boundary value problem

                                         ~u    == 0
                                        ulan   == 0
                                   {
                                       g:: Ian ==    1.
This system has no solution because the second boundary condition is incon-
sistent with the first. The issue here turns out to be one of transversality of
boundary conditions involving derivatives. See the next example.     0
96                                                       Elliptic Boundary Value Problems


Example 2
We repair the first example by making the second boundary condition transverse:
the problem

                                            ~u    == 0

                                  {
                                         ulan == 0
                                        g:2lan == 1
has the unique solution    U(Xl' X2)   ==   X2.      0

Example 3
Let   n == IR~.   Consider the boundary value problem

                                            ~u    == 0
                                        ulan == 91
                                  {
                                       g:! Ian == 92·
In fact, take 91 (XI, X2) == Xl, 92(XI, X2)       =1.    Notice that any function of the
form V(XI' X2) == Xl + CX2 satisfies

                                            ~v    == 0

                                  {
                                        vlan == XI
                                        g:! Ian == 1.
Hence the problem is sensible, but it has infinitely many solutions.             0

  Our goal is to be able to recognize problems that have one, and only one,
solution.


Necessary Conditions on the Operators B j
First, the degree of each B j must be smaller than the degree of P. The reason
is that P is elliptic. According to elliptic regularity theory, all derivatives of
U of order m and above are controlled by f (the forcing term in the partial
differential equation). Thus these derivatives are not free to be specified.
   Now we develop the Lopatinski condition. We shall assume for simplic-
ity (and in the end see that this entails no loss of generality) that our partial
differential operator P is homogeneous of degree m. Thus it has the form
The Constant Coefficient Case                                                                         97


For each fixed ~'   ==   (~1,   ... ,~N -1), we consider                  P(~', D N). We will solve




as an ordinary differential equation. Thus our problem has the fonn

                                    m
                                   Lap(t)
                                                       (    d
                                                           dx
                                                                    )£ v = o.
                                   £=0                          N

The solution ,v of such an equation will have the form

                                        r(~/)   VJ-I

                     V(XN)        ==    L L Cj£(~')(XN )£eiXN~j(~/),
                                        j=1 £=0

where Al (~'), A2 (~'), ... , Ar (~') are the roots of P (~', . ) == 0 with multiplicities
VI (~'), V2(~'),' .. ,Vr(~').
   We restrict attention to those Aj with positive real part. Since these roots
alone will be enough to enable us to carry out our program, this choice is
justified in the end. However, an a priori theoretical justification for restricting
attention to these A'S may be found in [HOR1].
   After renumbering, let us say that we have retained the roots

                                Al (~' ), ... , Aro ( ~') ,             TO :::; T.


Then
                                    ro v J - l
                         V   ==   L L Cj£(~')(XN )£eiXN~j(~/).
                                  j=1 £=0

 Fact: A fundamental observation for us will be that the number TO of roots
(counting multiplicities) with positive imaginary part is independent of ~' E
]RN -1  {O}. This is proved by way of the following two observations:

  (i) Each Aj (~'), j    == 1, ... , TO, depends continuously on                     ~'.
 (ii) There are no Aj with zero imaginary part (except possibly A == 0).

We leave it to the reader to supply the details verifying that these two obser-
vations imply that the number of roots is independent of ~' (use the ellipticity
for (ii». Now we summarize the situation: our problem is to solve, for fixed
~', the system

                          P(~/, DN)v             == 0 on 1R~
                  Bj(~', DN)v            == gj(€') on               8IR~ ,j = 1, ... , k.       (5.1.1)

From now on we take k to equal                  Vo   + ... + V ro '
98                                                        Elliptic Boundary Value Problems


  For fixed ~' we will formulate a condition that guarantees that our system has
a unique solution:

       The Lopatinski Condition: For each fixed ~' =1= 0 and for each set
       of functions {gj}, the system (5.1.1) has a unique solution.

Let us clarify what we are about to show: If, for each fixed ~/, the ordinary
differential equation with boundary conditions (5.1.1) has a unique solution (no
matter what the data {gj}) then we will show that the full system described at
the beginning of the section has a unique solution. The condition amounts, after
some calculation, to demanding the invertibility of a certain matrix.
   Let p(~) == Lj,k ajk~j~k with the matrix (ajk) positive definite. Then

                             P(D) == ~ a j k - -a
                                                      a a .
                                     ~     aXj Xk
Observe that



In this example, for fixed ~/, the polynomial P(~/, TJ) is quadratic in TJ. The
positive definiteness implies that it has just one root with positive imaginary part.
So, if Lopatinski's condition is to be satisfied, we can have just one boundary
condition of degree 0 or 1. Let us consider two cases:
  (i) B is of degree zero (that is, B consists of multiplication by a function).
Thus, by Lopatinski, we must be able to solve

                            B(~/,   D N)V ==     b(~/)V   ==   g(~/)

for every g. This is the same as being able to find, for every g(~'), a function
c( ~/) such that
                             b(~/)c(~/)eixN·)q(() == g(~/)

when XN == 0; in other words, we must be able to solve b(~/)C(~/)                  ==   g(~/). We
can find such a c provided only that b(~/) does not vanish.
  (ii) B is of degree one. It is convenient to write B as

                                 B(D)       ==
                                                    a
                                                 Lbo-
                                                  .   J aXj
                                                 J

where D j ==     ia/ax
                    j. Assume for simplicity that the bj               '8   are real. According
to the Lopatinksi condition, we must be able to solve



on   }RN -1   for any g. Recall that we have already ascertained that

                                 v   ==   c(~/)eiXN)l(().
Well-Posedness                                                                            99


Because B has degree one we have

                                                       a
 B(~/, D N ) == bli~l + b2i~2 + ... + bN-li~N-I + bNi aXN
B(~/, D N)V    == ib l ~l c(~/)eixN'~1 (() + ib2~2c(~/)e~XN '~l (~/)
                    + ... + ibN_I~N_Ic(~/)eixN'~I(() + ibNi)q (~')c(~')eiXN·)q(()
               ==   g(~/).


Setting x N   == 0 gives



Since the coefficients bj are real, the hypothesis that bN =1= 0 will guarantee that
we can always solve this equation.




5.2 Well-Posedness
Let the system

                         P(~/, DN)v ==    f   on R~
                 Bj(~/, DN)v     == gj(~/) on aR~,          j   == 1, ... , k,        (5.2.1)

have the property that the operators P, B j have constant coefficients. The op-
erator P is homogeneous of degree m. Assume that each operator B j is ho-
mogeneous of order mj and that m > mj. The system is called well-posed if
Conditions (A), (B), (C) below are met.

 (A) Regularity. The space of solutions of

                             P(D)u == 0,      XN   >0
                             Bj(D)u   == 0,   XN   == 0,   1 ~ j ~ k,

     in Hm (1R~) has finite dimension and there is a C              >0    such that



         IIvIlH'" :::; c (IIP(D)VIIHO + ; I B j(D)vII H"'-"'J- / + IIV11HO)
                                                              '
                                                                            2




                       Iv E Hm(1R~).
.LUV                                                 Elliptic Boundary Value Problems


 (B) Existence. In the space

                                              k
                               C~(IR~) x     IT C~(IRN-I)
                                            p=1


       there is a subspace £ having finite codimension such that if (f, 91,92, ... , 9k)
       E £, then the boundary value problem (5.2.1) has a solution u in Hm(IR~).
 (C) Let, be the operator of restriction to the hyperplane




       Then the set



       is closed in



   Now our theorem is

THEOREM 5.2.2
The system (5.2.1) is well posed (that is, conditions (A), (B), and (C) are satisfied)
if and only if the system satisfies Lopatinski's condition.

The proof of this theorem will occupy the rest of the section. It will be broken
up into several parts.
PART 1 OF THE PROOF       It is plain that the failure of the existence part of the
Lopatinski condition implies that either B or C of well-posedness fails.
   We will thus show in this part that if the uniqueness portion of the Lopatin-
ski condition fails then Condition A of well-posedness fails. The failure of
Lopatinski uniqueness for some ~b =1= 0 means that the system

                                  P(~b, DN)v      == 0
                                 Bj(~b, DN)v      == 0
has a nonzero solution. Call it v. Let cP1 E C~ (IR N-1 ), cP2 E C~ (IR) both be
identically equal to 1 near O. For T > 0 we define



We will substitute UT into condition (A) of well-posedness and let T         -+   +00
to obtain a contradiction.
Well-Posedness                                                                         101


  First observe that lIuT I sup < 00. Now let             Q
multiindex of order m. We calculate that

IIUTIIHm 2:   IIDQuTII~o

          =JID~, [¢JI(X')¢J2(xN)eiT(X"~~)v(TXN)]               1
                                                                 2
                                                                     dx'dxN

          ~ JI¢JI(x')¢J2(xN)(~~)aTla'V(TxN)12
              C                                               dx'dxN
                                                                              2


           - c J L C/3ID~,[¢JI(X')]¢J2(XN)(~~)'Thlv(TxN)                          dx'dxN
                          13+,=0
                           1131>0




                                                                                  2


              -~ J L      13+,=0
                                    C/3ID~,[¢JI(X')]¢J2(XN/T)(~~)'Thlv(XN)            dx'dxN
                           1/31>0

          2: cT T- 2m     1 -   C'T 2m - 2T- 1
         2:   cr2m - 1
for T large. Therefore

                                                                              (5.2.2.1)

for T large. On the other hand,

    P(D)UT = P(D) [¢JI(X')¢J2(xN)eiTX"~~v(TxN)]

                  = ¢JI (X')¢J2 (x N)P(D) [e iTX ' '~~v(T xN)]
                    + (terms in which a derivative falls on a cutoff function)
                 == 0 + (terms in which fewer than m derivatives
                        fall on eiTxl'~~v(TxN))'                              (5.2.2.2)

We have used here the fact that

               P(D) [eiT(X"~~)v(TxN)] = P(T~~, TDN)vI TxN

                                                 == T m P(~b, D N )vl TxN
                                                 == o.
102                                                  Elliptic Boundary Value Problems


As a result, from (5.2.2.2), we obtain

                             IIP(D)uTII~ ::; CT2m -       2
                                                              .                         (5.2.2.3)

Similarly,

                Bj(D) [eiTX"~~v(TxN)] = Bj(T~~, TD N )vl TxN

                                             == TmJ Bj(~b, D N )vI TxN ·
Therefore

          Bj(D)[uyJ = Bj(D) [¢>I(X')¢>2(xN)eiYX"~~v(TxN)]
                    == 0 + terms in which derivatives of total order
                           not exceeding     mj -   1 land on eiTxl·~~v(TxN).

As above,

                                                         2m 3
      I  J         m-m J -1/2 < C [TmJ-1+m-mJ-1/2]2 == CT - •
      I B·(D)u T 112          -                                                         (5.2.2.4)

Therefore, substituting UT into condition (A) of the definition of well-posedness,
we obtain (from (5.2.2.1), (5.2.2.3), and (5.2.2.4» that

                           CT 2m - 1 ::; C'T 2m - 2 + C".

This inequality leads to a contradiction if we let T          ---+   +00.
PART 2 OF THE PROOF        Assume that the Lopatinski condition holds at all
~' =1=O. We will prove that the system is well posed. This argument will
proceed in several stages and will take the remainder of the section.
  Let u E Hm (IR~) be a solution of

                     P(D)u == 0        on IR~
                   { Bj(D)u == 0       on aIR~,      j   == 1, ... , k.
Let



Then
                            P(~',DN)V==O            onn
                         { Bj(~',DN)V == 0          on   an.
The general solution of P(~', D N)V     == 0 looks like
                                 ro v J -1
                   V(~',XN) ==   L L Cj£(~')(XN)£eiXN~j(().
                                 j=1 £=0

But the Lopatinski hypothesis then guarantees that such a v                 == 0   so that u   == O.
WeU-Posedness                                                                                     103


  To prove part (A) of well-posedness, it is therefore enough to show that
whenever f E L2(1R~) and gj E Hm-mJ-I/2(IR.N-I), then the boundary value
problem

                                P(D)u        == f
                            Bj(D)u           ==   gj,    j   == 1, ... , k
has a solution that satisfies the desired inequality. We shall need the following
lemma.

LEMMA 5.2.3
If P is a constant coefficient partial differential operator, then P always has
a fundamental solution. That is, if P is of order m, then there is a bounded
operator



for every s E IR. such that P£      == £P == 80 , If P is elliptic then £ is of order -me

PROOF      First consider the case N == 1. Select a number T E IR. such that
P(~    + iT) never vanishes. Then the fundamental solution operator is

                                                    ¢(-~- iT)
                                £(</»    =   J      P(~ + iT) d~
for   1J E V.   We check that

          P(D)£¢     == £P(-D)1J ==          J      (P(-D)</»      A(~~ -
                                                             P(~ + IT)
                                                                              iT)   d~

                     ==JP(~ + + ~~ dE" J¢( -~ -
                                    P(~
                                        iT)¢(
                                                  IT)
                                                        - iT)        =                   iT) d~


                     = J - iT)d~ J
                        ¢(~       ¢(Od~           =

                     == ¢(O).
This proves the result in dimension 1.
   If N > 1, then we can reduce the problem to the one-dimensional case as
follows: By rotating coordinates, we may assume that the coefficient of ~1 in
P is not zero. Fix ~' == (~2, ... , ~N). We can find a T, ITI ~ 1, such that
                                                                    for all   ~1.

Moreover, if we multiply P by a constant, we can assume that
104                                                     Elliptic Boundary Value Problems


for all ~ 1. This inequality-that is, the choice of the constant to normalize the
inequality-will depend on ~/. But the choice is uniform in a neighborhood of
the fixed ~/. Thus to each fixed ~' we associate a neighborhood We and a real
number T, ITI  s    1, such that



on We.
   Observe that }RN -1 is covered by these neighborhoods We. We may refine
this covering to a locally finite one WI, w2 , ... , with a 7j associated to each
W j . Now we replace the W j with their disjoint counterparts: define

                              W{          WI
                              W~          W2      W{
                              W£          W 3  W~  W{



These sets still cover }RN -1 and they are disjoint. Now we define the "Honnander
ladder"



Given ¢ E V, we define




Notice that, on H, we know that        IPI > 1 and

       (P(D)£)¢>=£(P(-D)¢»= { (P(-D)¢>)'(-:6 ~iT,e) d~
                            lH     P(~I+lT,~)

                   =   i    ¢( -6 - iT, () d~

                   =L        {         { ¢( -6 - i7j, 0 d6 df.1
                        j   ieEw; i IR
                   = L f,              { ¢( -6,0 df.! d~'
                        j   if, EW i IR
                                   J




                   =   {         f¢(6,Od6d(
                       l~N-I l~
                   == ¢(O).
Well-Posedness                                                                                          105


It is elementary to check that in case P is elliptic, then £ is an operator of
order -m.
   That completes the proof of the lemma.    I

   We conclude this section by proving the inequality in part (A) of well-
posedness. Notice that part (C) of well-posedness follows immediately from
this inequality. Along the way, we prove the sufficiency of the Lopatinski con-
dition for the existence of solutions to our system:

PROPOSITION 5.2.4
Let m > mj, j == 1, ... , k. Assume that our system satisfies the Lopatinski
condition. Then whenever f E L2(IR~) and 9j E Hm-m j -l/2(IRN -l), we may
conclude that the boundary value problem

                                  P(D)u ==          f
                                 Bj(D)u == 9j,               j   == 1, ... , k

has a unique solution u E H m (IR~ ). The solution satisfies the inequality in
part (A) of well-posedness.

PROOF First we notice that the Lopatinski condition guarantees that the kernel
of the system is zero. Since the system is linear, we conclude that solutions are
unique once they exist.
   For existence, we begin by extending f to be L 2 on all of IR N • We denote
the extended function by f as well. Let £ be the fundamental solution for the
operator P(D). Set Ul == £ * f. Now define

                                       v == u -         UI




where ry is the operation of restriction to the boundary of IR~. Thus our system
becomes

                                                                       N
                                   P(D)v == 0                     on IR+

                                  Bj(D)v == hj                    on aIR~.

Observe that

   IIhj Ilm-m J -1/2   ::;   119j IIHTn-Tn J -1/2(~N-l)          + IlrBj (D)Ul II HTn -Tnj -1/2(~N-l)
                       :::; 119j IIHTn-Tn   J   -1/2(IRN-l)      + ClluIIIHTn(IRN).
106                                                                  Elliptic Boundary Value Problems


Here, of course, we have used the standard restriction theorem for Sobolev
spaces.
  Now this last line is



because £ is an operator of order -me We apply the partial Fourier transform,
denoted by -, in the x' variable to transform our system to

                           P(~', DN)v     == 0              on   }RN
                                                                     +
                          Bj(~', DN)v == hj                 on a}R~, j == 1, ... , k.           (5.2.4.1)

By Lopatinksi's condition, the space of solutions of the first equation that de-
crease exponentially has finite dimension (indeed k dimensions) and the map



is one-to-one and onto. Thus a solution to (5.2.4.1) exists. By the fact that all
norms on a finite-dimensional vector space are comparable (alternatively, by the
open mapping principle),


  f1
  j=O       0
                00

                     ID{yv((,XNWdxN              +   Y:
                                                     j=O
                                                           ID{yv((,O)1 2 :::; C2(()   t Ih (012.
                                                                                      j=1
                                                                                            j



Here the right-hand side represents a norm on the space of k-tuples, while the
left-hand side is a norm on the solution space of the boundary value problem.
   Now by direct estimation, or using Theorem 10.2.1 of [HOR1], we obtain


        L: Ihj (()1 2 :::; C· (L: 19j((W + L: IB ((,DN)U((,O)1 2)         j
            )                              )                     )




                                               [~19j(012 + 1 11((, XN )1 2dXN] .
                                                                          00

                              :::; C3 (0

The constant C (~') is a continuous function of ~' (since it arises from the
inversion of a matrix with continuous coefficients). Therefore it is bounded
above and below on {~' : I~'I == I}. We conclude that


      f1
      )=0       0
                    00

                         IDi¥v((,XN)2dxN         +   Y:
                                                      j=O
                                                            ID{yv((,OW


                                          [~l§j(()12 + 1 11((, XN )1 2dXN]
                                                                     00

                                :::; Co
Well-Posedness                                                                    107


provided that I~' I == 1. Let r   > 0 be a constant. Then any inequality that holds
for the original system

                             P(D)u ==   f
                            Bj(D)u == gj,         j   == 1, ... , k

must also hold for the system

                          P(rD)u == r m f
                         Bj(rD)u == rmJgj,            j   == 1, ... ,k

when I~' I == 1I r. Putting this information into our inequality, and substituting
I~'I for 1/r, yields that




        J
Adding Iv(~', XN )1 2 dXN to both sides of the inequality and integrating in the
~' variable yields


    IlvllkTn(~N)   + Ilv(x', 0) IlkTn-I/2(~N-I)

              :::; Co   [llfll~O(IRNl + 1; Ilgjll~m-mj-1/2(IRN-ll + IIVIIHO(IRNl] .
This is just the sort of estimate that we seek for the finite dimensional solution
space of the system

                                      P(D)v == 0
                                     Bj(D)v == h j .

Combining this with the obvious estimate




gives the estimate that we need for part (A) of well-posedness. Our proof is
therefore complete.    I
108                                                         Elliptic Boundary Value Problems




5.3   Remarks on the Solution of the Boundary Value Problem in the
      Constant Coefficient Case
We have considered the boundary value problem

                                  P(u) == f
                     B.V.P.     { B j U == 9 j       if j    == l, ... , k.
Here the operator P is assumed to have constant coefficients, to be elliptic, and
to be homogeneous of degree m. We assume that the Bj's satisfy the Lopatinski
nondegeneracy condition.
   For ~' fixed, we examined

                                           if   XN   >0
                                           if   XN   == 0,          j   ==   l, ... ,k.

Lopatinski's condition tells us that this is a well-posed linear system of ordinary
differential equations. Thus the standard classical theory of ordinary differential
equations (see [HORl], [INCE], or [COL]) guarantees that there is a unique
solution Ul (~/, XN).
   The solution that we seek for the B.V.P is




For if     is the partial Fourier transform, then




Properties of this solution u are

  1. u is unique.
  2. The map (f, 91, ... , 9k) ~ u is linear.
  3. Define
                                            k
                         1t == L2(IR~) x   IT H      m- m     j-l/2(lRN -      1 ).

                                           j=1




  There are two basic ingredients to seeing why property (3) holds:

  (i) Solving an ordinary differential equation in the x N variable entails m
      integrations, so u should be m degrees smoother in the x N direction
         than   f.
Solution of the Boundary Value Problem in the Variable Coefficient Case     109


 (ii) The function u is obtained from f by division on the Fourier transform
      side by coefficients of P(~', D N). Therefore the Fourier transform of u
      decays at   00   at a rate m degrees faster than   f.




5.4   Solution of the Boundary Value Problem in the Variable
      Coefficient Case
Now the boundary value problem is

                                   P(U)_= f
                   B.V.P.
                                 { Bju - gj     if j   == 1, ... , k.

We assume that P is of order m, is elliptic, and has variable coefficients. Each
B j is of degree mj and has variable coefficients. We shall not assume that P
is homogeneous; however, we will continue to assume that each B j is homo-
geneous. This last hypothesis is not necessary, but it is convenient. The index
k is the number of roots with positive imaginary part for the polynomial




Also the coefficients of P and of the B j are smooth functions, not constants.


Definitions
In the present context, the Lopatinski condition takes the folloving form: For
each fixed xO E }RN -1 , we have that the constant coefficient system




satisfies the Lopatinski condition for constant coefficient systems.
   A parametrix for the boundary problem is an operator




such that

                        AEF == F   + TF,        FEH

                        EAu == u   + T 1u,
110                                                          Elliptic Boundary Value Problems


where F     == (f, 91, ... ,9k). Here 1t is the usual product Hilbert space and the
operator


is defined by
                             Au == (Pu, ,B1u, ... , ,Bku).
The error operators T, T 1 are compact operators on Hm (1R~) and 1-l, respec-
tively. The operator, denotes restriction.


Main Results
THEOREM 5.4.1
Assume that our boundary value problem satisfies the Lopatinski condition as
defined above. Assume that f E L2(~~), 9j E Hm-mJ -1/2(~N -1). Then there
is a linear operator
                                   E: 1t ~ Hm(~~)
such that   if F == (f, 91, ... , 9k)   and u   ==   E(F), then

                                        Au == F      + TF,
where T is of order -1 and




PROOF We assume for convenience that the coefficients of P and of the Bj's
have compact support. We will make decisive use of the hypothesis that the
coefficients are smooth. [Much modem research concentrates in part on studying
elliptic and other problems with rough coefficients. From the point of view of
applications, such a study is rather natural (see [MOS] for some of the pioneering
work and [FKP] for more recent work along these lines). But the necessary
techniques are extremely complicated and we cannot explore them here.]
   Now let E > O. Then there is a 8 > 0 such that if Ix - yl < 8 and if a is any
coefficient of P or of one of the Bj's then

                                    la(x) - a(y)1 <          Eo


Let <Pj E ergo (~N), cPj 2 0, L cPj == 1 on ~N. Assume that diam supp cPj <
8/2. We can assume that no point x is in more than M (N) of the supports of
the <pj's. (If we take the supports to be balls, then in fact we may take M (N)
to be N + 1.) Now choose functions 1/Jj E ergo (~N) such that 1/J == 1 on the
support of cPj. We may also assume that diam supp 1/Jj < 8/2. (The trick of
choosing cutoff functions 1/J that are identically equal to 1 on the support of
Solution of the Boundary Value Problem in the Varitlble Coefficient Case                   111


some smaller cutoff functions ¢ is a device of wide utility in this subject. We
already saw it enter into our study of interior estimates for elliptic operators. We
will see it put to particularly good use when we study the 8- Neumann problem
in a later chapter.)
   Define Wj to be the support of 1Pj. If, for some £, Wi n aIR~ == 0, then
we choose a point xl E Wl and construct a parametrix Ei for the constant
coefficient problem



where Pm is the principal symbol of P. Next we treat the other £' s.
  If Wl n aIR~ :/: 0 then select xl E Wl n aIR~. By our work on the boundary
value problem for the constant coefficient case, we may find for each £ an
operator



such that the function




satisfies



and



  Now we set




Define an approximate solution of our boundary value problem by u                     = Eo(F),
where F == (f, gl, ... ,gk). Then

            P(x, D)Eo(F) ==   L P(x, D) [¢lEl 1Pl F ]
                               l


                         ==   L    ¢lP(X, D) (El1PlF)
                               l


                              +    L   (
                                             some )
                                           derivative
                                                        (        At most
                                                            (m - 1) derivatives
                                                                                  )
                                   e         of ¢e              of Ef'l/Je F
112                                                     Elliptic Boundary Value Problems




                ==   L ¢£P(x, D) (E£1};£F) + OP          m - I   (E£1};£F)
                      £


                ==   L ¢£Pm(x£, D) (E£1};£F)
                      £


                     +    L ¢£ [Pm(x, D) -         Pm(x l , D)] (EL'l/JlF)
                              £


                     +    L        [P(x, D) - Pm(x, D)] (El'l/JlF)
                              £

                     + OPm - I (E£1};£F)
                == I + II + III +OPm-I(El'l/JlF).

By the definition of E£, we have

                          I   ==   L ¢£1P£f + lower order errors
                                    £




where 5 I f E HI when f E HO. Set II == TF and III == TIF, where T is the
sum of operators from H into HO with arbitrarily small norms (depending on E)
and T I is an operator mapping H to HI. (Observe that the assertion about the
size of the norm of T follows immediately from the presence of the coefficients
[Pm(x, D) - Pm(x£, D)], which are uniformly small.)
   In summary, we have




Similarly, we can calculate B j (x, D)EoF and obtain that

            Bj(x, D)EoF ==              L   [¢£1P£gj] + TjF + TJ F + SJF.
                                        £

Here T j and T) are operators with properties analogous to those of T and T 1•
  Let



Then we can summarize our findings with the equation

                                   AEoF == F   + UF + UIF,                     (5.4.1.1)
Solution of the Boundary Value Problem in the Variable Coefficient Case        113


where U maps H to H with arbitrarily small norm and U I is smoothing. Now
we define E == Eo (1 + U) -I (notice that this inverse exists because we may
take the norm of U to be smaller than, say, 1/2). Then

           AEF == AEo(1    + U)-I F
                  == (1 + U)-IF + U(1 + U)-IF + U 1 (1 + U)-IF.
In the last equality we have applied equation (5.4.1.1) to (1    + U)-I F.    Now
the last line equals



Since the operator U 1 (1 + U) - 1 is a smoothing operator, we now see that E is
a parametrix for our boundary value problem.       I

REMARK Crucial to the existence of E in this proof was the Lopatinski con-
dition at each point. I

COROLLARY 5.4.2
If the B. v.P. satisfies the Lopatinski condition, then the solutions of the homo-
geneous problem

                        Pu == 0 in IR~
                       Bju   == 0 on aIR~ ,    j==I, ... ,k

form a finite-dimensional subspace that consists offunctions that are in Coo (IR~).

PROOF One checks that EA == 1 + T, where T is in fact an operator of
order -1.
   Let u E Hm be in the null space of A. Then u == - Tu. Therefore, since T
is of order -1, we conclude that u E Hm+ I. Iterating, we see that u E Coo.
   Note that, since T is of order -1, T : H m ---+ Hm+1 ~ Hm. By Rellich's
lemma, this operator is compact. Let M ~ Ker A be the closed unit ball. Set
N == T(M). Then, since T is compact, N is compact. From the equation
u == - Tu we then see that M itself is compact. Therefore the kernel of A is
fini te dimensional.   I

Operations on Higher Sobolev Spaces
So far we have constructed a parametrix E for our B.V.P. that satisfies
114                                                            Elliptic Boundary Value Problems


We would like now to show that if



then


The experience that we have so far with pseudodifferential operators suggests
that they will serve us well in this endeavor.
   We begin by defining As to be the pseudodifferential operator with symbol
(1 + 1~/12) oS /2. (In other contexts this operator is known as a tangential Bessel
potential of order s. See [STSI] and [FOK].) We will use these extensively in
Chapter 7. Let F E KS. Then AsF E H and hence EAsF E Hm. But As
commutes with A (up to a lower order error) so that EA s == AsE + (error) and
we find that E == A; 1EA s modulo a smoothing error term. In conclusion, if
u == EF then Asu E Hm.
   With these preliminaries out of the way, we begin by treating the case 0 <
s ~ 1. Write P(x, D) == DlJ + Do, where Do involves terms of the fonn
Dr;;-jDf,lod ~ j, and 0 < j ~ m. To see that Dr;;-jDfu E HS, it suffices
for us to check that



But

        1i5fU1 (1 + 1~12)(m-j+s)/2 :S lilll(l         j
                                                          (1   + 1~12)(m-j+s)/2
                                           ==   1~/lsl~/lj-S(l     + 1~12)(m-j+s)/2Iul
                                           ~ 1~/ISlul(l        + 1~12)m/2.
We have used here the fact that 0 < s ~ 1 ::; j. The latter expression is clearly
in £2 since Asu E Hm. Finally, since Pu == f, we have that DlJu E HS (from
the partial differential equation itselt). Hence u E H m + s .
   Next, if 1 < s ~ 2, then As-1u E Hm+l and with the same argument as
above we may see that u E Hm+s. The result for higher s follows inductively
by similar arguments.
   In summary, we have proved that

       Ilull s+m ~   C (II Au lls   + Ilulls)

                =c      (IIPUIIHS(IR~) + "t.IIBjUlls+m-mJ-1/2 + IIUlls) .
   Now we vindicate the form that our program has taken (that is, concentrating
on regularity estimates in the absence of existence results) by using our regularity
theorems together with some functional analysis to prove an existence theorem.
Solution of the Boundary Value Problem Using Pseudodifferential Operators            115


COROLLARY 5.4.3 AN EXISTENCE THEOREM
If the B.VP. satisfies the Lopatinski condition, then there are functions VI , ... , v p E
COO(JR~) and WjI, ... ,Wjp E COO(8IR~),j == 1, ... ,k, such that the fol-
lowing is true. If (f,gI, ... ,gk) E KS, S > max(m - mj - 1/2), and
f 1- Vj Vj == 1, ... , p and gj 1- Wjn Vj == 1, ... , k and n == 1, ... , p, then
there is a solution of the B. VP.



                                               j   == 1, ... , k.

PROOF     We have constructed a parametrix E such that

                                      AE==I+T_ 1 •

If we take adjoints, we obtain

                                E*A*     == 1+ (T_ I )*.

Thus E* is a parametrix for A *. By Corollary 5.4.2, we know that the dimension
of the kernel of A * is finite. Also Ker A * ~ nK s. Hence the kernel consists
of functions that are Coo on the closure of the half-space. Let G 1, ••• ,Gp be a
basis for the kernel of A *. Then each G n has the form (v n , WIn, ... ,Wkn).
  Because of the inequality

                          lIull s+m   ~C   (1lAull s+ Ilulls) ,
the range of A is closed. Then F is in the range of A if and only if it is
perpendicular to the kernel of A *. This is exactly what we want to prove. I




5.5   Solution of the Boundary Value Problem Using Pseudodifferential
      Operators
In his seminal paper [HOR3], Hormander used the new theory of pseudodif-
ferential operators to study a class of noncoercive boundary value problems.
However, the techniques that he introduced are already interesting when applied
to the classical coercive problems that we have been studying. We will explain
how Hormander's techniques work in this section.
   For simplicity we restrict attention to order-two partial differential equations.
We adhere to the custom of letting D j == i8/ Ox j, j == 1, ... , N. This makes
the formulas involving the Fourier transfonn come out more cleanly. Thus our
116                                                       Elliptic Boundary Value Problems


boundary value problem takes the form
           N                          N
  Pu ==   L       aj£(x)DjD£u +   L bj(x)Dju + c(x)u == f(x)              for x E IR~
          ),£=1                   j=1
           N
  Bu ==   L exj (x )Dju + f3o(x)u == g(x)                                 for x E aIR~ .
          j=1
Here we have assumed that all the coefficients are real-valued and smooth.
Notice that, because P is second order, there is only one boundary condition.
The ellipticity condition on P is
                             N

                            L         aj£(x)~j~£ 2: Col~12.
                            j,£=1
We further assume that
                                 IV
                              L             2
                                       lexj 1 + lf3ol 2 =1= O.
                              j=1
   We will use the power of the theory of distributions. To that end, we introduce
a little notation. If v E Coo (IR~), then

                            v {von IR~
                              O_
                                           o    elsewhere.

We let v denote any smooth extension of v to IR N . The symbol Vo denotes
the trace of v on aIR~, and VI is the trace of (a/ax N)V on aIR~. Now we
require the following preliminary calculations. The reader is invited to sharpen
his prowess at distribution theory by actually carrying out the details.

  1. DN(vO)   == [DNv]O + i8(XN) Q9 vo(x')
  2. Dj(vO) == [Dj(v)]O,    j == 1, ... , N - 1
  3. D'Jv(vO) == (D'Jvv)O - 8(XN) Q9 VI (x') - 8'(XN) Q9 vo(x')
  4. DNDj(vO) == (DNDjv)O + i8(XN) Q9 Djvo(x'), j == 1, ... N - 1
  5. DjD£(vO) == (DjDlV)O, £,j == 1, ... , N - 1.
What is lurking in the background here is the fact that the derivative, in the
sense of distributions, of -X[a,b], where X(a,b] is the characteristic function of
the interval [a, b] ~ R is 8b - 8a . This is the distribution-theoretic formulation
of the fundamental theorem of calculus. The five properties listed above show
us that the function vO is sensitive to normal derivatives but not to tangential
derivatives at the boundary.
   Perhaps a comment is in order here about the use of the tensor Q9 nota-
tion. Technically speaking, it is not possible to take the product of 8 (x N) and
The Use of Pseudodifferential Operators                                                 117


Vo (x') because these two (generalized) functions have different domains. The
Q9 notation serves as a mediator to address this situation: we understand that
8(x N) Q9 Vo (x') is a distribution that acts on a testing function ¢( Xl, ... , XN)
according to the fonnula


                      (8(XN) ® vo(x')) (¢)   =   J   ¢(x',O)vo(x') dx'.

     For completeness, we now sketch the proofs of three of the five assertions:
PROOF OF (I)




                                  == (DNv)o   + v(x') Q9 i8(XN)
                                  == (DNV)O   + ivo(x') Q9 8(x N)'
PROOF OF (3)


         D~(vO)   = D N {(DNv)o + i8(XN) Q9 vo(x')}

                  =    DN {(DNV)XIRr;'    + i8(XN) ® vo(x') }

                  == [DN(DNv)]XIRN        + DNv Q9 i8(XN)     - 8'(XN)    Q9   vo(x')
                                      +




PROOF OF (4)


                DNDj(vO == D N ((Djv)O)
                       )


                              =   DN (DjV. XIRr;' )


                              =   (DNDjv) . XIRr;'   + Djv (DNXIRr;' )

                              == (DNDjv)o     + Djv(x') Q9 i8(XN)
                              == (D N Djv)O   + i8(XN) 0     Djvo(x').
118                                                    Elliptic Boundary Value Problems


  We want to calculate P( va). To do so, we will use a parametrix E for P.
Since E is the parametrix for an elliptic operator, it follows that E has the form




Note that, in this section only, we shall keep track of the unfortunate constants
that are part of the theory of Fourier integrals. This is necessary in order to
make the calculations come out properly.
   We will compute the following:

I. For w a smooth function on aIR.~ == IR. N -1, we need to understand E( w(x') Q9
8(XN )). Now




But

         (w(x') ® b(XN)f =    Jeix·~w(x')           ® 8(XN) dx

                             =J           JeiXN~N8(XN)dxN
                                     eix"(w(x')dx'

                             == w(~').

Therefore

  E(w(x')   Q9   8(XN)) == (21r)-N   11
                                      ~'   ~N
                                                e(x, ~)e-iXN~N   d~Nw(~')e-ix"~' d~'

                        == (21r)-(N-l)1    ~'
                                                k(x, ~')w(~')e-ix'·e   d~'
                        == K(w)(x).

Check that K has order - 1.

II. For w a smooth function on aIR.~            =   IR. N -1 we also need to understand
E(w(x') Q9 8'(XN )). Now




But
The Use of Pseudodifferential Operators                                                                      119


Therefore

E (w(x')    (2)   8' (XN)) == (21r) -N         11 ~)i~Ne-ixNeN d~NW(~')e-ix'·e' d~'
                                                e' eN
                                                            e(x,

                           == (21r)-(N-l)       1kl(X,~')w(~')e-ix'·e d~'
                                                       e'
                           == K 1 (w)(x).

Check that K 1 has order O.

   Let us assume that the operator P has coefficient aNN equal to 1. (It is easy
to arrange for the coefficient to be nonzero just by a rotation of coordinates.
Then the coefficient is easily normalized by division.) Then the principal symbol
of P is
                                                   N-l                   N-l
                  O"prin(P) ==   ~?v + 2~N         L        ajN(x)~j +   L       ajf(x)~j~f
                                                   j=1                   j,f=1




Here Q == ~ since we assume that P is a partial differential operator with real
coefficients. Also notice that Q, f3 are expressions in ~ 1, ... , ~ N -1 and x.
  The principal symbol of E, for ~ large, is then

                                               1
                       O"prin(E) =          . (P)
                                         O"pnn

Now we will compute the principal symbols of K and K 1• We know that




Thus the principal part of k(x, ~') is


                                                                                                   (5.5.1)


for ~' large. We want to think of ~ N as the real part of a complex parameter Z N •
Thus line (5.5.1) equals the limit, as the radius of the curve, tends to 00, of

 - 1
  21r
        1
        1 (ZN -
                       1
                     Q)(ZN -     f3)
                                           .
                                       e-1,X N Z N   dZN -
                                                              - 21r
                                                                   -Res (
                                                                   21ri
                                                                         ex      (ZN -
                                                                                          1
                                                                                         Q)(ZN -   f3)
                                                                                                         )


                                                                   Q-{3.
120                                                                Elliptic Boundary Value Problems




                                                                                   y




                                                                                          ~N
                                                                   .~




FIGURE 5.1


See Figure 5.1. Be sure to let x N ---+ 0+ when evaluating the residue.
  Similarly, the principal symbol of K 1 is

                         ,              (              -ZN                    )
              kl(X,~)
                                                                                          Q
                              = Res"        (ZN   -    Q
                                                           )( ZN   -
                                                                        (3)       = -f3- .
                                                                                      - Q

  Finally, we are in a position to calculate P(va):
                                            N-l                                   N-l
           P(vo) == D~(vo) +2               L     ajNDNDjvO +                     L       DjD£vO
                                            j=1                                   j,£=1
                               N
                         +L          bj(x)DjvO + c(x)vo.
                               j=1
From our preliminary calculations (1)-(5), we may now see that



                  N-l
             +2L             ajN [(D N Djv)o          + iDjvo(x') Q9 8(XN)]
                  j=1
                 N-I
             +   L aj£(x)(DjD£v)o + bN(x) [(DNv)o + i8(XN)                                     Q9   vo(x')]
                 j,£=1
                 N-I
             +   L       bj(x)(Djv)o + c(x)vo(x)
                 j=1
The Use of Pseudodifferential Operators                                                     121




                        N-l
                     + 2i L    ajN(x)8(XN)     Q9   Djvo(x')   + i8(XN) ® vo(x') . bN(x).
                         j=1

  If we apply E to both sides of this equation, we obtain

                vO+ T_ 2vO== E ((Pv)O) - K(Vl) - K l (vo)


                                  + 2iE
                                           (
                                               f;
                                               N-l
                                                     ajN(x)Djvo(x') ®t5(XN)
                                                                               )


                                  + iE (bN (x )8(XN) Q9 vo(x'))       .

We assume, as we may, that the error is of order -2. Now



                                N-l
                         + 2i L       K (ajN(x)Djvo(x'))        + iK (bN(x')vo)    .   (5.5.2)
                                j=1

Now we restrict the x variable to the boundary. Recall that the quantities              Q   and
f3 are defined by


      Q,   f3   ==
                     -2 Lj    ajN(x)~j ±
                     ------~------------
                                           J( -2     Lj   ajN(x)~j)2 - 4 Lj ajf~j~f
                                                      2

Then Q - f3 E SI (here SI is the symbol class), aprin (K l ) E So, and aprin (K) E
S-I.
   The operator K is elliptic of order -1, hence it has an inverse, up to a
smoothing term. Call that inverse M. Applying M to both sides of (5.5.2), we
find that

                      VI == -M(vo) - MT_ 2 vO+ ME(Pv)O - MKIVo
                                 N-l
                          + 2i L       ajN(x)Djvo(x')       + ibN(x')vo.
                                 j=1

In short, we obtain

                                                                                       (5.5.3)
122                                                            Elliptic Boundary Value Problems


where A 1 is of order 1, A -1 is of order -1, and A o is of order O. Moreover,

                    Al == -M - M K 1 + 2i                 L ajN(x)Dj .
                                                           j

As a result,




                  == i   [(3 + 2     t ajN(X)~j]
                                     )=1

                  == i [13 - (Q + 13)]
                  == -iQ.
Now we examine the boundary condition: on 8IR.~ we have
                                 N
                     Bu ==    L Qj(x)Djv + 13o(x)v == g(x)
                              j=l
or
                                           N-1
        -~CXN(X')   >} {)   v(x')    +L           cxj(x')Djv(x')    + f30(x')v = g(x')
           'l       UXN                    j=l
or
                                 N-1
           iQN(X')V1 (x')    +   L Qj(x')Djvo(x') + f3o(x')vo == g(x').
                                 j==l
We substitute equation (5.5.3) for          VI    into this last equation to obtain
                                                   N-1
iQN(X) [A 1Vo + A_ 1vO + Aovo] (x')+                L Qj(x')DjVo(x')+13o(x')vo == g(x').
                                                    j=l
We want to be able to solve this equation for Vo.
 Our problem amounts to this: If

                                      <I> ( va)   == F (f, 9 ),
Arbitrary Domains and Conformal Mapping                                        123


where F(f,g) is given data and q. is some operator, then can we invert q.? We
know that, in our situation,




                                             N-I

                       == QN(X')Q(x, ~')   + L Qj(x)~j.
                                             j=1
   Recall that all the coefficients of P are real. It follows that Q N (x) is real,
Q(x,~') is complex, and L;=~1 Qj(x)~j is real. Thus we can invert the opera-
tion <P provided that al (<p) is not zero. The condition Q N(x') :/: 0 guarantees
this nonvanishing. But QN(X') :/: 0 is just the Lopatinski condition for our
second-order boundary value problem.
   We have succeeded in solving the boundary value problem, using the cal-
culus of pseudodifferential operators, under the hypothesis that the Lopatinski
condition is satisfied.




5.6   Remarks on the Dirichlet Problem on an Arbitrary Domain, and
      a Return to Conformal Mapping
Now we investigate boundary value problems in their most natural setting: on
a smoothly bounded domain in JRN. Because we had the foresight to develop
machinery to study a large and flexible class of operators-namely the elliptic
ones-our task will be surprisingly simple.
  Thus we begin by fixing a smoothly bounded domain n ~ IR. N . Let us fix a
well-posed elliptic boundary value problem

                                              on   n
            (B.V.P.)
                                              on   an,   j == 1, ... , k.

                                    n
Let {Uf} be a finite open cover of with the property that each Uf is topolog-
ically trivial and also such that each Uf n n is diffeomorphic to a ball. We fix
one of the Uf and consider two cases:




  In case (1), we let ¢f : Uf -+ Wf ~ JRN be a diffeomorphism onto an open
subset of JRN such that ¢f(Uf nO) = Wf n JR~ and ¢f(Uf n ao) = Wf n aIR.~.
124                                                 Elliptic Boundary Value Problems


This map, under the standard push forward by <Pl' induces a boundary value
problem

                          plu == 1        on   Wl n ~~
                      {   B]Ul an == 9]   on   a}R~ n Wl,      j   == 1, ... , k.
Notice that this is still an elliptic boundary value problem, for we established
long ago that the property of ellipticity is invariant under diffeomorphisms. We
will say that our boundary value problem satisfies the Lopatinski condition if
(B. V. P.) does. By our previous work, we can obtain (assuming the Lopatinski
condition) a parametrix El for (B.V.P. l ). Then we use ¢i l to pull El back to
the original Ul and we thus obtain an operator E l on U l .
   In case (2), let El be any parametrix for P.
   Now let {/ll} be a partition of unity subordinate to the covering {Ul}' For
each £, let 1Pl be such that SUPP?Pl ~ Ul and 1Pl == 1 on supp Ill. Finally define




Exercise: Verify for yourself that E is a parametrix for the original boundary
value problem (B.V.P.).

   Recall that our motivation for studying elliptic boundary value problems was
a consideration, in Chapter 1, of boundary regularity of the Riemann mapping
function from the disc to a smoothly bounded, simply connected domain in the
complex plane. We reduced that problem to the problem of proving bound-
ary regularity for solutions of the Dirichlet problem for the Laplacian. That
regularity is now established via the parametrix just constructed. We have

THEOREM 5.6.1
Let 0 ~ }RN be a smoothly bounded domain. Then the unique solution to the
Dirichlet problem
                                  Lu           o
                                { ulan         ¢,

with smooth data ¢, is smooth on    O.

Now we have established this regularity, and much more. Of course there are
other, more direct approaches to the boundary regularity problem for confonnal
mappings. For examples, see both [BEK] and [KEL].
   In the function theory of several complex variables, the boundary regularity
of biholomorphic mappings is a much deeper problem-inaccessible by way of
elliptic boundary value problems. In fact, the correct partial differential equation
to study is the a-Neumann problem (see Chapter 7 of the present book). The
work of Bell in particular (for instance [BEl], [BE2]) makes the connection quite
Arbitrary Domains and Conformal Mapping                                             125


explicit. Although it is known for a large class of domains that biholomorphic
mappings extend smoothly to diffeomorphisms of the closures of the respective
domains, the problem in general remains open. The paper [BED] is a nice
survey of what was known until 1984, beginning with the breakthrough paper
of Fefferman [FEF].
   Boundary estimates for solutions of elliptic boundary value problems of the
sort we have been studying in this section and the last are commonly referred
to as the "Schauder estimates" after Julius Schauder. Our setup using pseudo-
differential operators makes it easy to derive estimates in the Sobolev topology
because our· pseudodifferential operators have sharp bounds in the Sobolev
topology.
   However analogous estimates hold in many other classical function spaces,
including Lipschitz spaces (see [KR2] for definitions and a detailed study of
these spaces) and, more generally, Triebel-Lizorkin spaces. Let us briefly dis-
cuss the first of these (which are a special case of the second). In order to obtain
Lipschitz regularity for our boundary value problem, all that is required is to see
that if a lies in the symbol class sm    then the associated operator Op( a) maps
An to An _m' This is a complicated business and we we will say just a few
words about the proof at this time (a good reference for this and related matters
is [KR2]). But we wish to emphasize that the problem is entirely harmonic
analysis: the partial differential equation has been solved.
   In order to study the mapping properties of a translation invariant operator
on a Lipschitz space, it is useful to have a new description of these spaces. Fix
¢ E C~(IRN). For E > 0 we set ¢f(X) == E- N¢(XjE). The function ¢f is called
a function of "thickness" E because it has the property that



with Ck independent of Eo Then a bounded function      I   on IR. N lies in An, a > 0,
if and only if the functions If == I * ¢f satisfy



If TO" is a pseudodifferential operator, then one studies TO" I, for   I   E   An n LP,
by considering



We can say no more about the matter here. Again we refer the reader to [KR2]
and references therein.
   Because restriction theorems for Lipschitz spaces are trivial (namely the re-
striction of a An function to a smooth submanifold is still in An), the regularity
statement for elliptic boundary value problems is rather simple in the Lipschitz
topology. For the record, we record here one small part of the Schauder theory
that is of particular interest for this monograph.
126                                                  Elliptic Boundary Value Problems


THEOREM 5.6.2
Let n ~ }RN be a smoothly bounded domain. Let P be a uniformly elliptic
operator of order two (in the sense that we have been studying) with smooth
coefficients on n.The unique solution to the boundary value problem

                                 Pu == 0 on      n
                                 u== f   on      an
has the following regularity property: If    f   E   Aa(an), then the solution u of
the problem satisfies u E A a (0).

  This result bears a moment's discussion. It is common in partial differential
equations books for the regularity to be formulated thus:



This is essentially the sharpest result that can be proved when using the C k
norms. That is because, from the point of view of integral operators, C k norms
are flawed. On the other hand, Lipschitz spaces (where at integer values of Q we
use Zygmund's definition with higher order differences-see [KR2]) are well
behaved under pseudodifferential operators. Thus one obtains sharp regularity
in the Lipschitz topology.
   Similar comments apply to the interior regularity. The correct regularity
statement, in the Lipschitz topology, for the equation

                                      Pu == 9

with 9 E A~c is that u E A~~m (where m is the degree of P elliptic). This is
true even when Q is an integer, provided that we use the correct definition of
Lipschitz space as in [KR2]. Again this is at variance with the more commonly
cited regularity statement that 9 E C k implies that u E C k +m - f • It is important
to use function spaces that are well suited to the problem in question.




5.7   A Coda on the Neumann Problem
Besides the Dirichlet problem, the other fundamental classical elliptic boundary
value problem is the Neumann problem. It may be formulated as follows:

                                                     o
                                                     ¢

for smooth data ¢. Here     a/av
                               denotes the unit outward normal vector field
to an. Unlike the Dirichlet problem, the data for the Neumann problem is
A Coda on the Neumann Problem                                                 127


not completely arbitrary. For we may apply Green's theorem (see [KRl]) as
follows: if u is a solution to (*), then
                                 u
                          {    aa da == { LudV == O.
                         Jan    v       Jn
Subject to this caveat, the theory that we have developed certainly applies to the
Neumann problem. One must check that the problem is well-posed (we leave
this as an exercise). We may conclude that a solution of the Neumann problem
must satisfy the expected interior and boundary regularity.
   Because of the noted compatibility condition, existence is more delicate. Be-
cause we are working on a bounded domain, there are algebraic-topological
conditions at play (recall the earlier discussion of the maximum principle in
this light). Thus other considerations would apply if we were to treat existence.
Note in passing that the existence theorem that we have established for elliptic
boundary value problems does not apply directly to the Dirichlet problem either,
and for a philosophically similar reason.
6
A Degenerate Elliptic Boundary Value
Problem




6.1   Introductory Remarks
Let us take a new look at the Laplacian on the disc in D    ~   C. Recall that, for
lal < 1, a E C, the function


defines a holomorphic, one-to-one, and surjective mapping from the disc to itself.
These mappings are known as Mobius transformations. In fact if 1(1 == 1 then

                                             (- I
                                               a
                                         I
                             l¢a(()1 = 1 - li(

                                           (- a I
                                     - I ((I-a()


                                     =   I~=~I
                                     == 1.
All of our assertions about ¢a follow easily from this.
   Next observe that ¢-a(O) == a, cPa(a) == 0, and (¢a)-l == ¢-a. The group
G == Aut (D) of one-to-one, surjective, holomorphic transformations of the disc
is generated by {¢a} together with the collection of all rotations. Indeed, any
such transformation 1/J of the disc may be written as



for some real ()o and a E C of modulus less than 1. Observe that the group G
acts transitively on the disc: if Q, (3 E D then (¢-/3 0 ¢oJ (Q) == (3.
Introductory Remarks                                                                 129


  Next we introduce the differential operators

          a 2l(a .a)
          ---
          az - ax ay--'l-              and

It is straightforward to check that the Laplacian   ~   satisfies




Also,
                                a
                                - z == 1 ==
                                              a
                                              -z
                                az            az
and
                                a            a
                                az z == 0 == azz.
If 1 is a C 1 complex-valued function, then we may write            1 == u + iv   with u
and v real-valued. Then

                    a1 == ~ [au _ av]        +~   [au + av] .
                    az 2 ax ay                2    ay ax
            a az
We see that 1/       == 0 if and only if 1 satisfies the Cauchy-Riemann equations,
that is, if and only if 1 is holomorphic.
   Now consider an arbitrary second-order partial differential operator in C:




We want to study those £ 's that satisfy the following properties:

  1. £ at the origin equals the Laplacian.
  2. If 1 E COO(D) and ¢ E Aut (D) then

                        L(I 0 ¢)(z)lz=o == [(£/)    0   ¢(z)] Iz=o·
These two properties uniquely determine £ up to a constant multiple. Suitably
normalized, the operator becomes unique. We leave these assertions as an
exercise. In fact, it turns out that

                                                                                  (6.1.1)

This operator is called the invariant Laplacian (or sometimes the Laplace-
Beltrami operator for the Poincare-Bergman metric). We note that the anal-
ogous second-order operator on jRN that commutes with the group of rigid
motions of the plane (translations, rotations, and reflections) is the Laplacian
130                                  A Degenerate Elliptic Boundary Value Problem


(or constant multiples thereof). For many purposes the pre-factor of (1 -    1(1
                                                                               2
                                                                                 )2
in the invariant Laplacian is of no interest. So we end up with just the familiar
Laplacian, and it seems that we have discovered nothing new.
   On the unit ball in en,  matters are more complicated. The uniquely deter-
mined second-order partial differential operator that commutes with biholomor-
phic transformations of the ball is not the standard Laplacian. It will turn out
to be the Laplace-Beltrami operator for the Bergman metric of the ball, and
will have a different form. (We say more about Bergman geometry in the next
section.) We provide the details in the next few sections.
   For simplicity of notation, we restrict attention to the unit ball B in complex
dimension two. A function on B is called holomorphic if it is holomorphic,
in the usual one-variable sense, in each variable separately. A mapping F ==
(II, 12) : B -+ B is called holomorphic if each of II, 12 is holomorphic. It
is biholomorphic if F is one-to-one, surjective, and has a holomorphic inverse.
(Background in these matters may be found in [KR1].) We begin by determining
the biholomorphic self-maps of B.
                       e
   The unitary maps of 2 are those 2 x 2 complex matrices satisfying U- I == U*.
Here * is the conjugate transpose, or Hermian adjoint. A geometrically more
appealing description of the unitary group is that it is the collection of those
mappings that preserve the Hermitian inner product of vectors Z == (ZI, Z2) and
W == (WI, W2):



Obviously any unitary map is a biholomorphic self-mapping of the ball.
   The other important biholomorphic self-mappings of the ball are the Mobius
transformations. A thorough consideration of these mappings appears in [RU2].
Here we shall be brief. For a E e, lal < 1, we define


                                                                            (6.1.2)


We first check that ¢a : B   -+   B. Now




if and only if



that is,
The Bergman Kernel                                                             131


This is equivalent to



which is the defining inequality for the ball. Notice that cP-a (0,0) == (a, 0) and
cPa (a, 0) == O. If a, b are complex numbers each with modulus less than one,
then cP-b 0 cPa(a, 0) == cP-b(O, 0) == (b,O). Thus we see that the group generated
by the Mobius transformations (6.1.2) together with the unitary transformations
acts transitively on B. In fact, one may prove using the one-variable Schwarz
lemma that this group coincides with the group of all biholomorphic self-maps
of B (exercise, or see [RUD2]).




6.2   The Bergman Kernel
Let 0 be a bounded domain in      en.   Set

               2
             A (O)   =   {f   hoIomorphic on 0 :   k1fl2   dV   < oo.}

Here dV represents the standard Euclidean volume element. As on the ball, a
function of two complex variables is holomorphic precisely when it is holomor-
phic in each variable separately.
  For f, 9 E A2 (O) we define




With this inner product, A 2 (O) becomes an inner product space. The corre-
sponding norm on A 2 is

                                  Ilfll == V(D).
In a moment we shall see that it is in fact complete.

LEMMA 6.2.1
If K is a compact subset of 0 then there exists a constant C = C(K, 0) such
that for all f E A2(O) we have




PROOF     If f is holomorphic, then in particular f is hannonic in each variable
separately and hence hannonic as a function of several real variables. Thus f
132                                      A Degenerate Elliptic Boundary Value Problem


satisfies the mean value property with respect to balls. Since K is compact,
there exists an r > 0 such that B(z, r) ~ 0 for all z E K. Now


               If(z)1   ~ V(B~ z, r ) }(B(z,r) If(()1 dV(()
                                                                        1/2

                        ~ Jv(~(z,r) h(z,r) If(()1
                                           (
                                                          2
                                                              dV(() )
                                 1
                           JV(B(z,r) IlfIIA2(!1),

where in the penultimate line we have used the Schwarz inequality.            I

PROPOSITION 6.2.2
The space A 2 (0) is a Hilbert space when equipped with the inner product




PROOF It is only necessary to show that the space is complete. If {fj} is a
Cauchy sequence in A 2 (0) (i.e., in the topology of L 2 (0), then it converges
uniformly on compact subsets of 0 by the lemma. Then there exists a function
f to which {fj} converges normally. Hence f is holomorphic. Since f is also
the L 2 limit of the sequence, it follows that f E A2(0).   I

  Now fix a point z E O. The functional



is continuous by the lemma. Then, by the Riesz representation theorem, there
exists a k z E A2(0) such that

                            f(z) == ez(f) == (f, k z )

                                  =    J  f(()kz(() dV(().                    (6.2.3)

Thus we have

DEFINITION 6.2.4        The function

                                     K(z, () == k z (()

is called the Bergman kernel for the domain          n.
The Bergman Kernel                                                              133


PROPOSITION 6.2.5
If j E A2(O) then for all z E 0 we have


                          j(z)   = ~ j(()K(z, () dV(().

PROOF     This is just a restatement of line (6.2.3) above.     I

PROPOSITION 6.2.6
The Bergman kernel satisfies

                                 K(z, () == K((, z).


PROOF    Since, by its very definition, K (z, .) is an element of A 2 , we have for
w E 0 that


                        K(z,w) =      J K(z,()K(w,()d(

                                  =   J K(w,()K(z,()d(

                                  == K(w, z)
                                  == K(w, z).                                     I
  Our existence argument for the Bergman kernel is abstract; we now present
a constructive method for understanding the kernel. There are in fact two
constructive approaches: (1) the use of conformal invariance and (2) using a
basis for A 2 (0). We begin by discussing (2).

PROPOSITION 6.2.7
Let H (z, () be a function on 0 x 0 satisfying

 1.   H(·, () E A2(O);
 2.   H(z, () == H((, z);
 3.   j(z) == In j(()H(z, () dV(() for all j    E   A2(O).

Then H is the Bergman kernel: H == K.

PROOF    This is similar to the proof of the last proposition. We leave the details
as an exercise.    I
134                                      A Degenerate Elliptic Boundary Value Problem


   Now A2(O) is a subspace of L 2 so it is separable. Let {<pj} be a complete
orthonormal basis for A 2 (0). We consider the formal sum

                             L cPj(z)cPj(() == K(z, ().
                              j

Fix a compact set L   ~    O. If w E L then


                                                   sup
                                                {aj } E e2
                                              II {a J } II e2 =1


                                                 sup         If(w)1
                                              fEA2(O)
                                                IIfll=




by the lemma. By the Schwarz lemma we conclude that

                                    L cPj(z)cPj(()
                                     j

converges uniformly on Lx L. Now it is easy to see that K satisfies the first two
properties that characterize the Bergman kernel. Finally, by the Riesz-Fisher
theory,

          J  !(()K(z, () dV(()      =L
                                          J
                                               (J       !(()<pj(() dV(()) <Pj(z)

                                    == f(z).
Hence K is the Bergman kernel.
   Now we can explicitly calculate the Bergman kernel on some particular do-
mains. First consider the disc D ~ C. We take cPj(() == (j-l/'Yj,j == 1,2; ...,
where the constants 'Yj will be specified in a moment. These functions are
pairwise orthogonal, as one easily sees by introducing polar coordinates. They
span A2(D), for if f E A 2 has power series expansion f(z) == ~ ajz j and if
(f, cPj) == 0 for all j then all aj are zero. Finally, we select the constants 'Yj to
make each cPj have norm one: We calculate that


                      JJ
                       D
                              j 2
                            Iz l dxdy     =   11  1       27r
                                                                 r
                                                                     2
                                                                         j+l   d()dr

                                                             1
                                          == 27r . 2j + 2
                                                 7r
                                              j+l
The Bergman Kernel                                                                      135


Therefore we take "Ij    = ~ / VJ and set
                                 ~.()_ ~z j - l .
                                 f/J Z
                                     -
                                       VJ

Then
                                          00

                           K(z, () ==     L cPj(z)cPj(()
                                          j=1


                                    = 2-    f(j +
                                          1r j=O
                                                           l)(z()i.

Recall that

              ~( . ».J - d ~ )..,i _ d                       1    _     1
              ~ J + 1 - d)" ~ - d)"                        1 -).. - (1 - )..)2 .

We conclude that
                                                1      1
                              K(z,()      = - (              )2
                                               7r   1 - z(

Exercise: Give an alternate derivation of the Bergman kernel for the disc by
using the Cauchy integral formula together with Stokes's theorem.

  Now we return our attention to the ball in C2 . In analogy with what we did
on the disc, we could set
                                             j k
                                  ~ ( ) _ ZI z2
                                  f/jk Z - - -
                                            "Ijk

and proceed to calculate suitable values for the "Ijk (this procedure is carried
out in [KR 1]. However we shall instead use approach (1) for calculating the
Bergman kernel. In order to carry out this procedure, we shall need the following
proposition:

PROPOSITION 6.2.8
Let <P : 0 1 -+ O2 be biholomorphic. Then the Bergman kernels K n ) and K n2
of these two domains are related by the formula

       Kn) (z, ()   == detJacc<p(z)Kn2(<p(z), <p(())detJacc<p(().                  (6.2.8.1)

   Before we prove this proposition, we make some remarks. First, recall that
in real multivariable calculus when we do a change of variables in an integral
we use the real Jacobian determinant det Jac IR. But now we are doing complex
calculus and we use the complex Jacobian determinant det Jac c. In the context
of en,  the real Jacobian is a real 2n x 2n matrix. On the other hand, the
136                                                            A Degenerate Elliptic Boundary Value Problem


complex Jacobian is a complex n x n matrix. How are these two concepts of
the Jacobian related? It turns out that, when <P is holomorphic, then

                                                det Jac IR <P      == Idet Jac c <p1 2 •

The reader may wish to prove this as an exercise, or consult [KR 1] for details.

LEMMA 6.2.9
If 9 E A 2(02) then




PROOF            We calculate that

                                                               2
                (g 0 <I>(z)) detJacc<I>(z) dV(z)
      in)
      {     I                                              1




                      =    (           Ig(wWIdetJac c <I>(<I>-1 (w)) 121detJac IR <I>-1 (w) 1dV(w)
                          in       2


                      =(               Ig(w)1 2 dV(w) <            00.                                    I
                          in       2



COROLLARY 6.2.10
The right-hand side of equation (6.2.8.1) is square integrable and holomorphic
in the z variable and square integrable and conjugate holomorphic in the (
variable.

PROOF           Obvious.                    I

   Now, in order to prove formula (6.2.8.1), it remains to verify property (3) of
the three properties characterizing the Bergman kernel. Let f E A 2 ( 0 1 ). Let
us write J for det Jac c. Then we have


  in) f(().1<I>(z)KI1 (<I>(z) , <I>(()).1<I>(() dV(()
   (                                    2




                     f (<I>-1 (~) ).1<I>( Z )K11 2 (<I>(z), ~).1( <I> (<I>-1 (~))) • 1.1<I>-1 (~) 1 dV (~)
                                                                                                  2
      ={
            in   2


      == .1<I>(z) {
                          in 9( ~) K 11
                               2
                                                2(   <I> (z), ~) dV (~) ,

where
The Bergman Kernel                                                                          137


by 6.2.9. Thus the term on the right side of our chain of equalities is equal to

                  J<I>(z)g(<I>(z)) == J<I>(z)f (<I>-I(<I>(Z))) J<I>-I(<I>(Z))
                                            == f(z).
That verifies the reproducing property for the right side of (6.2.8.1) and the
proposition is proved. I
   Armed with our preliminary calculations, we now tum to our calculation of
the Bergman. kernel for the ball B ~ C2 • If f E A 2 (B) then, by the mean value
property,

                                      f(O)   = V/B)    L     f(() dV(().

This equality leads us to surmise that K B (0, () == 1/ V (B) hence, in particular,
KB(O,O) == I/V(B). Assuming this, we use the result of our proposition to
calculate KB((a, 0), (a, 0)) when lal < 1. Define

                             <I> (z    z) == (
                                      1,2
                                                   Z+a
                                                   1
                                                  1+-'
                                                       J 1+-a 2 Z2) .
                                                         1-             I   1


                                                       aZI              aZI

Set   Q   == <I> (0, 0) ==   (a, 0). Using formula (6.2.8.1) we see that

                K B(0,0) == det Jac c <I>(O)KB (<I> (0) , <I> (0) ) det Jac c <I> (0) .

In other words,
                             1
                       V(B) = detJac iC <I>(O)KB ( a, a )det Jac iC <1>(0).

  Observe that

                                                1-         lal 2            0       )
                         J ac iC <I> (0, 0) = ( 0                  J 1 _ 1a 12          .


Therefore



Hence
                                                       1            1
                                  KB(a, a) = V(B) (1 -              lal 2 )3    .
Now for every {3 E B there exists a point Q == (a, 0) E B and a unitary
transformation U such that U {3 == Q. Moreover notice that if U is unitary then
Jac c U == U. Therefore the proposition implies that
138                                      A Degenerate Elliptic Boundary Value Problem


Thus

                       KB({3,/3) == K B (U/3,U/3)
                                            1                   1
                                        V(B) . (1 - U /3 . U (3)3
                                            1               1
                                                                                         (6.2.11)
                                        V(B) . (1 -         /3. (3)3 .
   Now we need the following observation: If F(z, w) is a function holomorphic
in z E 0 and conjugate holomorphic in w E 0 and if F(z, w) == 0 when z == w
then F == O. Assume this claim for the moment. Then we may conclude that
                                                 1          1
                         KB(z, w) = V(B) (1 - z . w)3 .                                  (6.2.12)

Let us review the logic: We have demonstrated that this function K B satisfies the
three properties that characterize the Bergman kernel so it must be the Bergman
kernel.
   We conclude by proving the observation. Define G (z, w) == F (z, iiJ). Then
G is holomorphic in both z and w. Moreover, G == 0 on S == {( z, w) : z == iiJ}.
Consider the mapping

                         1t : (z, w)   r-----+   (z + w, i(z - w)).
Then G   0   1t is holomorphic and equals 0 when z              + w == i(z -   w), that is on

                  T == {( z, w) : Re z == - 1m z and Re w == 1m w} .
It now follows from elementary one-variable considerations that G                    0   1t   ==   0,
hence F == O.

REMARK Let 0 be any bounded domain in                 en.
                                                 It is a corollary of the represen-
tation Kn(z, z) == L~l l4>j(z)1 2 that K(z, z) =1= 0 for all z. This observation
will prove useful later. I



6.3 The Szego and Poisson-Szego Kernels
Let 0 c c    en   be a smoothly bounded domain, and define

                              A(O) == C(O)           n H(O),
where H(O) is the space of holomorphic functions on O. Define
The Szego and Poisson-Szego Kernels                                              139


where do- is area measure on the boundary of 0 (see [KRl], Appendix II). and
let H 2 (0) be the closure of A (0) with respect to this norm.

REMARK     It is natural to wonder how this definition of H 2 (0) relates to other,
perhaps more familiar, definitions of the space. On the unit disc H 2 (D) is
usually defined to be the space of those functions 1 holomorphic on D such
that
                                           21T"
                               sup
                              O<r<l   10
                                                  II(re iO ) 2 dO < 00.
                                                            1




There is an analogous definition on more general domains (see [KRl]). Yet a
third approach to Hardy spaces is due to Lumer [LUM]. According to Lumer, a
holomorphic function 1 on a domain 0 is in H 2 if there is a harmonic function
h such that 111 2 S h. On domains in               en
                                         with C 2 boundary, all three definitions
are equivalent (see [KRl]). The equivalence of the first definition with the other
two on an arbitrary pseudoconvex domain is difficult-see [BEA].          I

LEMMA 6.3.1
If K is a compact set contained in 0, then there exists a constant C      == C(O, K)
such that for every 1 E H 2 (0) it holds that

                                 sup   If(z)1 SCIIIIIH2.
                                 zEK


PROOF   Exercise: The shortest proof uses the Bochner-Martinelli formula, for
which see [KRI].    I

   Equipped with this lemma, one can imitate the Bergman theory to prove the
existence of a reproducing kernel S(z, () for the space H 2 • This kernel is known
as the Szego or Cauchy-Szego kernel. Further, if {cPj} is an orthonormal basis
for H 2 then

                               S(z, () ==          L cPj(z)cPj(()·
                                                      j

For the unit ball in    en,
                          we may calculate (as we did for the Bergman kernel in
the last section) that the Szego kernel is given by

                                                  1             1
                          S(z, () = a(8B) . (1 - z . ()n

In the case n   == 1,
                                                       1       1
                                S(z,() == - . - - - .
                                                      27r   1 - z(
140                                                A Degenerate Elliptic Boundary Value Problem


If f E A(D) and z       == re i ()   E D, then the Szego reproducing formula becomes


                                1
                       f(z) == -2       1      1
                                            ---f(() da(()
                                      1r aD 1 - z(

                              =J..-         f2tr         1         j(ei</J)d¢
                                     21r Jo        1 - rei()e-iej>

                              == _1_. f2tr . 1 . j (ei</J)iei</J d¢
                                     21rl   Jo      e'lej> - re'l()

                              ==     _1.    J       _1_ f     (() d(.
                                     21rl   laD (- z
So we see that, on the disc, the Szego reproducing formula is just the standard
Cauchy integral formula.
  Associated with the Szego kernel on a domain 0 is the Poisson-Szego kernel
defined by
                                                                      2
                                      P( z,,, == IS(z, ()1
                                            r)
                                                  S(z,z).

PROPOSITION 6.3.2
The Poisson-Szego kernel has the following properties:

 1.   P(z,() 2:      ofor  z E 0,( E 80.
 2.   For   f   E   A(O), z E 0, we have

                                       j(z) =        f P(z,()j(()d(.
                                                    Jan
PROOF      Recall that S(z, () == E j ¢j(z)¢j(() and that S(z, z) == E j l¢j(z)1 2 •
If there were a Zo E 0 such that S(zo, zo) == 0, then ¢j (zo) == 0 for eV,ery j
hence S(zo, () == 0 for all (. But then it would follow from the reproducing
property that f (zo) == 0 for every f E H 2 • That is plainly false. Thus S(z, z)
is never zero so that P is well defined. Also, P (z, () 2: 0 by its very definition.
   Finally, if f E A(O) and z E 0 is fixed then set

                                       g(() = j(()S(Z;() .
                                                S(z, z)

Because f is bounded, S (z, .) E H 2 , and S (z, z) is a positive constant, it
follows that 9 E H2. By the Szego reproducing property, we then have that

                              g(z) =          f     g( ()S( z, () da( ().
                                            Jan
The Szego and Poisson-Szego Kernels                                                                     141


In other words,

                           f(z)~ =
                            S(z,z)            Jan
                                                  r f(() S(z,z) S(z, () da(()
                                                         S(z, ()

or

                               f( z)     =    r
                                             Jan
                                                     f( ()P( z, () da( ().                                I
   Let us consider our new kernels on the disc and the ball. Let                             W2n-l   denote
the surface area measure of aB in      Then         en.
                               S(z () ==           _1_ . _ _1 _
                                                            _
                                     ,             W2n -1      (1 - z . () n        '

thus
                                                                              2
                               P(z,() == _1_. (1 -lzI )n .
                                         W2n-l 11-z·(1 2n
                                                                    iO
In case   n   == 1, we may calculate for              z   ==   re        E D and ( == eic/> E aD that

                                              1      1-Izl 2
                            P(z,() =         21r 11 - z· (1 2
                                              1           1 - r2
                                             27r   11 -   rei(O-¢) 2      1




                                              1          1 - r2
                                             27r 1 - 2rcos(O - ¢)                 + r2   •


Thus in one complex variable the Poisson-Szego kernel is the classical Poisson
kernel. In dimensions two and above this is not the case. In fact, we should like
to stress a fundamental difference between the two kernels in dimension two.
The singularity (denominator) of the classical Poisson kernel for the Laplacian
in e2 is Iz - (1 4 • However, the singularity (denominator) of the Poisson-Szego
kernel is 11 - z· (1 4 . Whereas in one complex variable the expressions Iz - (I
and 11 - z . (I are equal (for ZED, ( E aD), in several complex variables
they are not. Formally, this is because z . ( == ZI (1 + ... + zn(n; whereas we
can "undo" the multiplication z . ( in e1 by multiplication by (-1, which has
modulus 1, there is no analogous operation in several variables.
   The difference between the two singularities in e2 , for instance, has a pro-
found geometric aspect. The natural geometry in aB associated with the singu-
larity s ==   1( z of the Poisson kernel is suggested by the balls
                   -   I




                                     B(z, r) == {( : lsi < r}.

These balls are isotropic: they measure the same in all directions.
142                             A Degenerate Elliptic Boundary Value Problem


  However, the natural geometry in aB associated with the singularity p =
11 -Z . (I of the Poisson-Szego kernel is suggested by the balls


                             f3(Z, r)     == {( :   Ipi < r}.
To understand the shape of one of these balls, let us take, in dimension 2,
Z == (I, 0) E aB. Then

                          f3( z, r)   == {( :   11 -   ,~   1   < r}.
If ((1,(2) E f3(z,r) then, because this "ball" is a subset of the boundary, we
may calculate that

                           1(21 2 == 1 - 1(11 2
                                    ==    (1 - 1(1)(1   + I(d)
                                    ~ 2(1     -1(11)
                                    ~ 211 -     (11
                                    < 2r.
Thus we see that whereas the ball has size r in the (1 direction, it has size jr
in the Z2 direction. Therefore these balls are nonisotropic.
   The contrast of the isotropic geometry of real analysis and the nonisotropic
geometry of several complex variables will be a prevailing theme throughout
this chapter and for much of the remainder of the book.
   The Szego kernel reproduces all of H 2 while the Poisson-Szego kernel re-
produces (on a formal level) only the subspace A(O). But P is real-indeed,
nonnegative. In particular, if f E A(O) then we may take the real part of both
sides of the formula

                         j(z)   =     (     j(()P(z, () da(()
                                      Jan
to obtain

                      Rej(z)    =     J    Rej(()P(z,()da(().

Thus the Poisson-Szego kernel reproduces pluriharmonic functions (real parts
of holomorphic functions) that are continuous on O. (See [KR 1] for more on
pluriharmonic functions.)
   The interesting fact for us will be that, on the ball in              en,
                                                               the kernel P (z, ()
solves the Dirichlet problem for a certain invariant second-order elliptic partial
differential operator. This operator, which we shall study in detail below, is the
Laplace-Beltrami operator for the Bergman kernel. In order to determine this
operator, we shall require some knowledge of the Bergman metric.
The Bergman Metric                                                                           143



6.4   The Bergman Metric
Let 0 be a domain in }RN. A Riemannian metric on 0 is a matrix g
(gij(x))fj=l of C 2 functions on 0 such that if 0 =1= ~ E}RN then

                                ~ (gij(X))~'_l t~ > O.
                                          2,]-
                                                                                         (6.4.1 )

In this way we assign to each x a positive definite quadratic form. The associated
notion of vector length (for each x) is

                                                                                         (6.4.2)

  Recall that in calculus we define the length of a curve 'Y : [0, 1]            --+   lR to be

                                £(-y)   =   1
                                            1
                                                h'(t)1 dt.

The philosophy of Riemannian geometry is to allow the method of calculating
the length of ,'( t) to vary with t-that is, to let the norm used to calculate the
length of ,'( t) depend on the base point , (t). Thus, in the Riemannian metric
9 explicated in (6.4.1), (6.4.2) the length of a curve, is given by




Example 1
Let 0 == D, theunitdiscin}R2. Fix 0 <,x < 1. Welet,(t) == ('xt,O),O ~ t ~ 1.
Then, with the metric g( x) == {8 ij }, we calculate that

                                    ,'(t) == (,x, 0)

and


            Ih'(t)II-y(t)   =   (A,O)   (~ ~)          (   ~   )   = V>:2 = A.

Therefore




In this example we see that we have calculated the Euclidean length of a segment
in the usual fashion.    0
144                                        A Degenerate Elliptic Boundary Value Problem


Example 2
Let

                            .. ( ) _
                          g~J Z   -
                                       (   (1-
                                           0
                                                   {z    2
                                                        1 )2




and let I be as in Example 1. Then




                         {I    1
                   = .x Jo 1 _ (.xt)2 dt

                   =    ~ log ( 1 + A)         .
                        2             1- A

We see that in the metric in this example, a version of the Poincare metric on the
disc, our segment connecting 0 to A has length which is unbounded as A --t 1- .
                                                                                         o

DEFINITION 6.4.1       Let 0 be a bounded domain in            en and let K   == Kn be the
Bergman kernel for   o.   For i, j == 1, ... , n we define

                                           -a Zj log K(z, z).
                                               2
                             gij(Z) ==
                                            Zi
                                              aa-
The matrix 9 == (gij(Z))~j=l is called the Bergman metric on O. It acts as a
Hermitian quadratic form on the complex tangent space.



REMARK From today's perspective-especially in view of the theory of Kahler
manifolds, in which all metrics arise locally as the complex Hessians of potential
functions-the definition of the Bergman metric is quite natural. The use of
logarithmic potential functions is particularly well established. However, half a
century ago, when Bergman gave this definition, it was quite an original idea.
  We shall do some explicit calculations of the Bergman metric in what follows.
                                                                                         I
   Let us discuss the definition of the Bergman metric. First, it makes good
sense since (as already noted) K (z, z) > 0 for all Z E O. We shall now check
that the Bergman metric is invariant under biholomorphic mappings. To this
end, let
The Bergman Metric                                                                              145


be a biholomorphic mapping. Let'Y :                 [0, 1J   -+   0 1 be a smooth curve. Then



LEMMA 6.4.2
With the above notation,



PROOF       We want to show that

               1II 1
                       (<p* 1')'( t) Il n 2, 1>. 'Y(t) dt   =   11h'
                                                                  1
                                                                       (t) lin! ,'Y(t) dt.

Of course it suffices (and, as it turns out, it is also necessary) to show that the
integrands are equal. By the transformation formula for the Bergman kernel,
we know that

                   J <I> (z) K n2 ( <I> (z), <I> ( z)) J <I> (z) == K n  (z, z).
Taking logarithms, we find that

     10gJ<I>(z)   + log (K n2 (<I>(z),<I>(z)))              +logJ<I>(z) == log (Kn(z,z)).

Let us now apply 8 2 /8z i 8zj on both sides. This second derivative applied to
the right-hand side is gf} (z). The second derivative applied to the left-hand
side equals




Therefore




Finally,




                                   L gr~ (<1>( z)) (<1>*~)R (<I>*~)m
                                   R,m

                                                                                                 I
146                                                         A Degenerate EUiptic Boundary Value Problem




Example: Let us calculate the Bergman metric on the ball. Let
                                                                               1                      1
                     K(z, ()               = KB(Z, () = V(B)                                (1 _ Z . ()n+1
be the Bergman kernel. Then

                 log K(z, z) == -log V(B) - (n                                          + 1) log(1 -           IzI2).

Further,
                     8
                    -8 (-(n + 1) log(1 -
                     Zi
                                                                     IzI 2 )) = (n + 1) 1 -
                                                                                                           Zo
                                                                                                               iZ2
                                                                                                                    1


and
             2
         8                                                                                   [8ij                              Zj
              (
       8z 8zj -(n + 1) log(1 -
         i
                                                     Izl) )
                                                       2
                                                                     =    (n   + 1)              1_   IzI2 + (1 _ Iz1 2 ]
                                                                                                                Zi
                                                                                                                       )2
                                                                               (n   + 1)                2    _    ]
                                                                     = (1 _         Iz12)2 [8ij (1 - Izl ) + ZiZj
                                                                     ==   9ij(Z).

    If n = 1, then
                                                                                    2
                                           9ij ( z) =        9 = (1 _               I Z 12   )2 ;
this is just the Poincare metric on the disc.
   When n = 2 we have

                     9ij(Z)            = (1 _ ~zI2)2                 [8 ij (1       -lzI 2 ) + ZiZj] ·
Thus



Let


represent the inverse of the matrix

                                                     ( 9ij(Z))~ 0-1
                                                              'l,J-                     .

Then an elementary computation shows that
                                       2                         2                                                  2
     ij ( ) ) n _    1-       I   Z1       (   1-     I   Z1 1             -    Z2 Z1        )   _    1-   I   Z1       (8.. _ -. .)
(
    9 Z i,j=1 -           3                    -ZI   Z2                  1 - IZ21 2              -         3             'lJ        ZtzJ i,j·
Let
The Bergman Metric                                                                                            147


Then
                                                               9
                                                                                                                o

DEFINITION 6.4.3                                               en
                      l/n is a domain in and g(z) == (gij(Z))ij is a Hermitian
metric on n, then the Laplace-Beltrami operator associated to 9 is defined to
be the differential operator

             6. B        22:{8 ( . 8z + _{) ( . 8z
                      == -
                         9 ..
                             -
                             8z
                                    8) 8z 8)}   i
                                                        gg'lJ_
                                                                   j                 j
                                                                                             gg'lJ_
                                                                                                      i
                                                                                                          .
                                   'l,J

   Now let us calculate. If (gij )~j=l is the Bergman metric on the ball in                                   en
then we have
                                                ,,8
                                                L...J -_     (gg'lJ
                                                                       .. ) == 0
                                                  .. 8zi
                                                 'l,J
and



We verify these assertions in detail in dimension 2: Now

                               j                    9           1-         IzI 2              _
                       ggi           = (1       -lzI 2)3·                  3       (8 ij -    ZiZj)

                                                    3
                                           (1 _       Iz12)2 (8ij      -       ZiZj).


It follows that
                  8      i .                   6z i                        _)                  3zj
                  8z/g J =                (1   -lzI2)3      (8 ij -        ZiZj      -   (1   -lzI2)2 .
Therefore




The other derivative is calculated similarly.
148                                                      A Degenerate Elliptic Boundary Value Problem


  OUf   calculations show that, on the ball in                          C,

              6. B      2~{8
                     == - ~ __
                         9 .,               8zi
                                                        ( . 8z + _8( . 8z
                                                             8) 8z 8)}
                                                        gg't J _
                                                                   j         j
                                                                                   gg't J -::-
                                                                                            i
                           't,J

                     _42: g8- -
                     -        8        ij
                           •   •            8z· 8z·
                                                  J
                                                  'I,
                          't,J




This formula, which we have derived in detail in dimension two, has an analog
(with 3 replaced by n + 1) that is valid in any dimension.

Exercise: Verify that if <I> : B -+ B is biholomorphic and if D..Bu == 0 then
D..( u 0 <I» == O. More generally, check that if v on B is any smooth function
and <I> biholomorphic, then D..B(V 0 <I» == (D..BV) 0 <P.

  Notice that, on the disc,
                                                              2
                          6.           == 4 (1 -lzI ) (1 _ IZI2)~
                                   D                     2                       8z8z
                                       == 2(1 -           Iz12)2 D..,
where D.. (without the subscript) is just the ordinary Laplacian. Thus the
Laplace-Beltrami operator for the Poincare-Bergman metric on the disc is just
the Laplacian followed by a smooth function. It exhibits no features that are
essentially different from those of the Laplacian. We see, however, that in two
or more variables the Laplace-Beltrami operator is a genuinely new object of
study. We shall learn more about it in later sections.




6.5 The Dirichlet Problem for the Invariant Laplacian on the Ball
We will study the following Dirichlet problem on B ~ C2 :

                                                                                                 (6.5.1)

where ¢ is a given continuous function on 8B.

Exercise: Is this a well-posed boundary value problem (in the sense of Lopatin-
ski)?
The Dirichlet Problem for the Invariant Laplacian on the Ball                 149


   The remarkable fact about this relatively innocent-looking boundary value
problem is that there exist data functions ¢ E Coo (aB) with the property that
the (unique) solution to the boundary value problem is not even C 2 on B. This
result appears in [RGR 1] and was also discovered independently by Garnett and
Krantz. It is in striking contrast to the situation that obtains for the Dirichlet
problem on a uniformly elliptic operator such as we studied in Chapter 5.
   Observe that for n == lour Dirichlet problem becomes

                            (1 -1~2f.0- u = 0         on D ~    C
                        {   ul aD -¢,

which is just the same as

                                  6u == 0       onD~C
                             {    ul aD == ¢.
This is the standard Dirichlet problem for the Laplacian-a uniformly strongly
elliptic operator. Thus there is a complete existence and regularity theory: the
solution u will be as smooth on the closure as is the data ¢ (provided that we
measure this smoothness in the correct norms). Our problem in dimensions n >
1 yields some surprises. We begin by developing some elementary geometric
ideas.
   Let (, ~ E aBo Define




PROPOSITION 6.5.1
The binary operator p is a metric on        aB .
PROOF     Let z, w, ( E     aB.   We shall show that

                             p(Z, () ::; p(z, w)   + p(w, ().
Assume for simplicity that the dimension n == 2. We learned the following
argument from R. R. Coifman.
  After applying a rotation, we may assume that w == (0, i). For Z == (Zl, Z2) E
aB, set j.L(z) == p(z,w) == ViI - iz21. Then, for any z, (E aB, we have

              11 - z·   (I == 1- Zl(l + (1 + iz2)(i(2) + (1 - i(2)1
                            ::; IZI(11 + 11 + iz211(21 + 11 - i(21
                            ::; /(l//Zl/ + 1l 2(Z) + 1l 2(().                 (*)
150                                              A Degenerate Elliptic Boundary Value Problem


However



Of course the same estimate applies to                   Zl.   Therefore



Substituting this into (*) gives



   Now we define balls using p: for P E 8B and r > 0 we define f3(P, r) ==
{( E  8B : p(P, () < r}. [These skew balls (see the discussion in Section 6.3)
playa decisive role in the complex geometry of several variables. We shall get
just a glimpse of their use here.] Let 0 =1= Z E B be fixed and let P be its
                                                         z
orthogonal projection on the boundary: == Z / IZ I. If we fix r > 0 then we may
verify directly that

                P(z, ()   ---+   0   uniformly in        (E 8B  f3(z, r) as z              ---+   z.
PROPOSITION 6.5.2
Let B      ~   en   be the unit ball and 9 E C(8B). Then the function

                       G(z) == {        JaB P(z, ()g(() da(()                if z   E   B
                                        g(z)                                 ifz    E   B
solves the Dirichlet problem (6.5.1) for the Laplace-Beltrami operator 6B.
Here P is the Poisson-Szego kernel.

PROOF          It is straightforward to calculate that

                            6 BG(z)      = ( [6BP(Z, ()]g(() da(()
                                               JaB
                                         ==0

because 6 B P(·,() == O.
  For simplicity, let us now restrict attention once again to dimension n == 2.
We wish to show that G is continuous on B. First recall that
                                                     1         (1 -   Iz1 2)2
                                     P(z,()    = a(8B)ll-z.(1 4                 '

Notice that

       {       IP(z, ()I da(() = ( P(z, () da(() = ( P(z, () . 1 da(() = 1
      JaB                              JaB                             JaB
since the identically 1 function is holomorphic on 0 and is therefore reproduced
by integration against P. We also have used the fact that P 2: O.
The Dirichlet Problem for the Invariant Laplacian on the Ball                151


   Now we enter the proof proper of the proposition. Fix E > O. By the uniform
continuity of 9 we may select a 8 > 0 such that if P E 8B and ( E {3(P, 8)
then g(P) - g(() I < E. Then, for any 0 f- z E Band P its projection to the
boundary, we have


     IG(z) - g(P)1 =      I~B P(z, ()g(() da(() -          g(p)1


                     = I~B P(z, ()g(() da(() - ~B P(z, ()g(P) da(()1

                     :::; {       P(z,()lg(()-g(P)lda
                          laB


                     =        (        P(z, ()Ig(() - g(P)1 da(()
                          1f3(P,8)
                                   (            P(z, ()Ig(() - g(P) da(()
                                  1aBf3(p,8)
                     :::; f   + 211gllu", (              P(z, () da(().
                                           1aBf3(p,8)
By the remarks preceding this argument, we may choose r sufficiently close to 1
that P(z, () < E for Izi > rand ( E 8B  {3(P, 8). Thus, with these choices,
the last line does not exceed C . E-
   We conclude the proof with an application of the triangle inequality: Fix
P E 8B and suppose that 0 f- z E B satisfies both IP - zl < 8 and zl > r. If
z == z/ Iz I is the projection of z to 8 B then we have

               IG(z) - g(P)1 ::; IG(z) - g(z)           + Ig(z) - g(P).

The first term is majorized by E by the argument that we just concluded. The
second is less than E by the uniform continuity of 9 on 8n.
  That concludes the proof.      I

   Now we know how to solve the Dirichlet problem for 6. B ; next we want
to consider regularity for this operator. The striking fact, in contrast with the
uniformly elliptic case, is that for 9 even in Coo (8B) we may not conclude that
the solution G of the Dirichlet problem is Coo on 13. In fact, in dimension n,
the function G is not generally in cn(13). Consider the following example:

Example: Let n == 2. Define
152                                                 A Degenerate Elliptic Boundary Value Problem


Of course 9 E COO (BB). We now calculate Pg(z) rather explicitly. We have
                                _   {(I - Iz1 2)2
                                              1         2
                     Pg(z) - a(8B) JaB 11 _ z . CI 4ICJ! da(C)·
Let us restrict our attention to points z in the ball of the form z                               = (r + iO, 0).
We set
                                              Pg(r + iO) = ¢(r).
We shall show that ¢ fails to be C 2 on the interval [0,1] at the point 1. We
have
                                          2
              1      {(1 -            r       )2    2
 ¢>(r) = a(8B)      JaB 11 _ rCJ!4 ICJ!                 da(C)
                 2
      = (1 -    r ?     ({                                       ICJ!2.              1          ds(Cz) dA(CJ)
             a(BB)     J'(II<l J'(2'=~ 1 -                           r(11
                                                                             4
                                                                                 VI -1(12
                 2
      =    (1 - r )2 (     ICJ!2 21rVl - ICJ!2 dA(Cd
            a(BB) J,(I1<III-r(11 4 vI-I(11 2

             21r           22 {                         (11 2
      = a(8B) (1 -        r) J!(II<J               11 _ rCJ!4 dA(CJ)·
Now we set (I      = Tei'l/;, 0     ::;   T    < 1,0 ::; 'l/J ::; 21r. The integral is then
                21r       2 2 {21r (I      T2
              a(8B) (1 - r) J J 11 _ rTe i ,p14 TdTd'ljJ.
                               o o
We perform the change of variables rT == s and set C == 21r/ a( BB). The
integral becomes




                                      roo
                                         2
                                C (1 - 4r )2
                                             T

                                               s3
                                                  21r
                                                        l 1
                                                          1
                                                      1 - se
                                                             i,p         I           1
                                                                                      4   d'ljJ ds.

  Now let us examine the inner integral. It equals
      {21r                  1                                    {21r               e 2i 'l/;

      Jo     (1 - sei ,p)2(1 - se- i ,p)2 d'ljJ              =   Jo     (1 - sei,p)2(ei,p - s)2 d'ljJ
The Dirichlet Problem for the Invariant Laplacian on the Ball                                           153


Applying the theory of residues to this Cauchy integral, we find that the last
line equals




Thus

   ¢(r)




                                                                     3         1
                                                                 (1 - s)2 + (1 - s) ds




                7rC
                       (1 - r 2{I
                              4
                                  2
                                      )
                                          (         2)2 -     --2
                                                                 3
                                                                           -log(l-r )+2
                                                                                       2}
                          r                   l-r             l-r

                o
                1(C {
                         1-3(I-r2 )-(I-r) 2 10g(l-r2 )+2(I-r) 2}
                                        2                   2



                     C {1- 3(1 - r 2 )         + 2(1        - r 2 )2   _   (1 - r 2)21 0g (1 - r 2 )}
                1(                            r4                                     r4                 .


Thus we see that ¢( r) is the sum of two terms. The first of these is manifestly
smooth at the point 1. However, the second is not C 2 (from the left) at 1.
Therefore the function ¢ is not C 2 at 1 and we conclude that P 9 is not smooth
at the point (1, 0) E 8 B, even though 9 itself is. 0

   The phenomenon described in this example was discovered by Garnett and
Krantz in 1977 (unpublished) and independently by C. R. Graham. Graham
[RGRl] subsequently developed a regularity theory for 6B using weighted
function spaces. He also used Fourier analysis to explain the failure of boundary
regularity in the usual function space topologies.
   It turns out that these matters were anticipated by G. B. Folland in 1975 (see
[POL]). Using spherical harmonics, one can see clearly that the Poisson-Szego
integral of a function 9 E Coo (8B) will be smooth on 13 if and only if 9 is the
boundary function of a pluriharmonic function (these arise naturally as the real
parts of holomorphic functions-see [KR 1]). We shall explicate these matters
by beginning, in the next section, with a discussion of spherical harmonics.
154                                 A Degenerate Elliptic Boundary Value Problem




6.6 Spherical Harmonics
Spherical harmonics are for many purposes the natural generalization of the
Fourier analysis of the circle to higher dimensions. Spherical harmonics are
also intimately connected to the representation theory of the orthogonal group.
As a result, analogs of the spherical harmonics play an important role in general
representation theory.
   Our presentation of spherical harmonics owes a debt to [STW]. We begin
with a consideration of spherical harmonics in real Euclidean N -space. For
k == 0,1,2, ... we let Pk denote the linear space over C of all homogeneous
polynomials of degree k. Then {xa}lal=k is a basis for Pk. Let dk denote the
dimension, over the field C, of Pk. We need to calculate d k . This will require
a counting argument.
   We need to determine the number of N -tuples Q == (QI, ... , QN) such that
QI + ... QN == k. Imagine N + k - 1 boxes as shown in Figure 6.1. We mark
any N - 1 of these boxes. Let QI 2: 0 be the number of boxes preceding the
first one marked, Q2 2: 0 the number of boxes between the first and second that
were marked, and so on. This defines N nonnegative integers QI, ... , QN such
that QI + ... + QN == k. Also, every such N -tuple (QI, ... , QN) arises in this
way. Thus we see that


              d == (N+k-l) == (N+k-l) == (N+k-l)! .
               k       N - 1               k           (N - l)!k!

   Now we want to define a Hermitian inner product on Pk. In this chapter, if
P == La cax a is a polynomial then the differential operator P(D) is defined
to be




Here   Q   is a multiindex. For P, Q E Pk we then define


                               (P,Q) == P(D) (Q).




                   DO 000 DO ...
FIGURE 6.1
Sphericaillannonks                                                               155




               (P,Q) == P(D) (Q) ==          L (L
                                            lal=k
                                                    PaBa
                                                              1/3I=k
                                                                       q/3x(3)


                                               L               a
                                                         PaQ/3B x/3
                                            lal,I/3I=k

                                               L         PaQ/38a/3Q!,
                                            lal,I/3I=k

where 8a /3 == 0 if Q f- {3 and == 1 if Q == {3. Also Q! == QI! ... QN!. Therefore
(P, Q) is scalar-valued. It is linear in each entry and Hermitian symmetric.
Moreover, we see that




so that

                  (P, P) 2:: 0      and             == 0 iff P == o.
Thus ( . , . ) is a Hermitian, nondegenerate inner product on Pk.

PROPOSITION 6.6.1
Let P E Pk. Then we can write



where each polynomial Pj is homogeneous and harmonic with degree k-2j, 0 :S
j :S f, and f == [k/2].

PROOF Any polynomial of degree less than 2 is harmonic, so there is nothing
to prove in this case. We therefore assume that k 2:: 2. Define the map

                                 cPk : Pk    --+    Pk-2
                                       P     f--t   6P,

Where 6 is the (classical) Laplacian. Now consider the adjoint operator



This adjoint is determined by the equalities

                (Q,6P) == Q(D)6P == 6Q(D)P == (R, P),
156                                 A Degenerate Elliptic Boundary Value Problem


where R(x)   == IxI 2 Q(x). Therefore
                             <p~(Q)(x) == IxI 2 Q(x).

Notice that <P~ is one-to-one. Recall also that <Pk is surjective if and only if
<p~ is one-to-one (for Q 1- range <Pk if and only if <p~ (Q) == o-we are in a
finite-dimensional vector space). Moreover, the kernel of <Pk is perpendicular to
the image of <P~-2. In symbols,



That is,



where

                      Ak = ker<Pk == {P E Pk : ~p == O}
and



Hence, for P E Pk,



where Po is harmonic and Q E Pk-2.
  The result now follows immediately by induction.         I


COROLLARY 6.6.2
The restriction to the surface of the unit sphere EN-I of any polynomial     9/ N
variables is a sum of restrictions to EN-I of harmonic polynomials.

PROOF     Use the preceding proposition. The expressions Ixl 2j become 1 when
restricted to the sphere.  I

DEFINITION 6.6.3      The spherical harmonics of degree k, denoted Hk, are the
restrictions to the unit sphere of the elements of Ak, that is, the restrictions to
the unit sphere of the harmonic polynomials of degree k.


  If Y == PI~N-l for some PEAk, then

                             P(x) == Y(x/lxl) . Ixl k
Spherical Harmonks                                                          157


so that the restriction is an isomorphism of A k onto H k. In particular,

                       dim Hk   == dimAk
                                == dim Pk - dim Pk-2
                                == d k - dk-2
                                =    (N+:-l)_(N:~;3)

for k 2: 2. Notice that dim Ho == 1 and dim HI               == N.
   For N == 2, it is easy to see that

                              Hk == span {cos kO, sin kO} .

Then dim Hk == 2 for all k 2: 1. This is, of course, consistent with the formula
for the dimension of Hk that we just derived for all dimensions. For N == 3,
one sees that dim Hk == 2k + 1 for all k 2: O. We denote dim Hk == dim Ak
byak.
  The space A k is called the space of solid spherical harmonics and the space
Hk is the space of surface spherical harmonics.

PROPOSITION 6.6.4
The finite linear combinations of elements of Uk Hk is uniformly dense in
C(E N - I ) and L 2 dense in L 2 (E N "da).

PROOF The first statement clearly implies the second. For the first we invoke
the Stone-Weierstrass theorem.   I

PROPOSITION 6.6.5
If y(k) E Hk and y(l) E         Hl   with k   i-= f   then




PROOF   We will use Green's theorem (see [KRl] for a proof): if u, v E C 2 (0),
where n is a bounded domain with C 2 boundary, then

                          8
                   {    u a v - v aa u da == { u 6. v - v 6 u dV.
                  Jan     v            v              in
Here   8/ av   is the unit outward normal derivative to          an.
158                                          A Degenerate Elliptic Boundary Value Problem


  Now for x E lRN we write x              == rx' with r == Ixl and Ix'i == 1. Then
                            u(x)   ==    Ixlky(k)(x')    == rky(k)(x')
and
                            v(x)    ==   Ixlly(l)(x')    == rly(l)(x')
are harmonic polynomials.
   If one of k or f is zero, then one of u or v is constant and what we are about
to do reduces to the well-known fact that for a harmonic function f on B, C l
on 13, we have
                                               8
                                         JaB 8v fda=O
                                          {

(see [KRl]). Details are left for the reader.
   In case both k and f are nonzero then

                              ~u(x') = ~               (rky(k)(x'))
                              8v               8r
                                            == krk-1y(k)(x')
                                            == ky(k) (x')
(since r == 1) and, similarly,

                                     :v v(x')      = t'Y(£)(x').
By Green's theorem, then,

               o=   l   u(x) L,. v(x) - v(x) L,. u(x) dV(x)

                 = [ u(x')t'Y(£) (x') - v(x')ky(k) (x') da(x')
                    JaB
                 = [       t'y(k)(x')Y(£)(x') - kY(£)(x')y(k)(x') da(x')
                    JaB
                 = (t' -   k) [     y(k)(x')Y(£l(x') da(x').
                              JaB
Since f   #   k, the assertion follows.            I

   We endow L 2 (8B, dO") with the usual inner product. So of course each H k
inherits this inner product as well. For k == 0, 1, 2, ... we let {YI (k) , .•• , Ya(:)},
ak == d k - d k- 2 , be an orthonormal basis for Hk. By Propositions 6.6.4 and
6.6.5 it follows that
Spherical Harmonics                                                                             159


is an orthonormal basis for L2(~N_},da). If f E L2(~N_l) then there is a
unique representation




where the series converges in the L 2 topology and                     y(k) E 'Hk.   Furthermore, by
linear algebra,

                                                Lb
                                                Uk

                                 y(k)      ==             j
                                                              Yj(k),
                                                j=I


where bJ. - ((k) ,Yj(k)). -1, ... ,ak·
          - Y          ,J -
  As an example of these ideas, we see for N                      == 2 that
                                           y;(O) _ _I_
                       k == 0:              I        -        V2i
                                                lI(k)     = fi cos kO
                       k ? 1:
                                           { y(k)         ==    -.L sin kO
                                              2                 V1r          '
that is,




is a complete orthonormal system in L 2 (T).


Claim: For N == 2 we can recover the Poisson kernel for the Laplacian from
the spherical harmonics. If f E L 2 (aD) then consider

                      F(re iO ) ==   L rk(f,             Yj(k))Yj(k)    (e iO ).
                                     j,k


Then we have
160                                            A Degenerate Elliptic Boundary Value Problem




But the expression in brackets equals


                       ~ + Re       {f
                                    k=1
                                              rkeik(IJ-q,)}



                       = ~ + Re          {rei(IJ-q,) .    f
                                                          k==O
                                                                 rkeik(IJ-q,l}


                       _ ~               {i(O-¢) .       1      }
                       - 2     + Re       re       1 _ rei(O-¢)

                           1            1 - r2
                           2    1 - 2r cos(() - ¢)          + r2     .


Thus

                              1         21r           1          2
             F(re iO
                       )
                           :=_
                             211"   1
                                    0
                                                          -r
                                              1 - 2rcos(O - ¢)           + r2
                                                                                f(ei¢)d¢.

   It follows from elementary Hilbert space considerations that F (re iO ) -+
f( eiO ) (first check this claim on finite linear combinations of spherical h~on­
ics, which are dense). Thus, at least formally, we have recovered the classical
Poisson integral formula from spherical harmonic analysis.




6.7    Advanced Topics in the Theory of Spherical Harmonics: the
       Zonal Harmonics
Since the case N :::; 2 has now been treated in some detail, and has been seen
to be familiar, let us assume from now on that N > 2.
   Fix a point x' E EN-I and consider the linear functional on Hk given by

                                         ex' : Y ~ Y(x').
Zonal Hannonics                                                               161


Of course Hk is a Hilbert space so there exists a unique spherical hannonic
Z~~) such that

                     Y(x')      = ex/(Y) =     1  EN-I
                                                         Y(t')Z~~)(t') dt'
for all Y E H k . (The reader will note here some formal parallels between the
zonal harmonic theory and the Bergman kernel theory covered earlier. In fact,
this parallel goes deeper. See, for instance, [ARO] for more on these matters.)

DEFINITION 6.7.1          The function Z~~) is called the zonal harmonic of degree
k with pole at x'.

LEMMA 6.7.2
If {Y1 , ••• , Yak} is an orthonormal basis for 1-lk, then

(a)    ~;;=l Ym(x')Ym(t') == Z~~)(t');
(b)    Z~~) is real-valued and Z~~) (t') == Z;,k) (x');
 (c)   If p is a rotation then Z~~~ (pt') == Z~~) (t').

PROOF    Let Z~~) == ~;;=l (Z~~), Ym)Ym be the standard representation of
Z~~) with respect to the orthonormal basis {Y1 , ••• , Yak}. Then




we have used here the reproducing property of the zonal harmonic (note that
since Ym is harmonic then so is Y m ). This proves (a), for we know that
                                  ak
                Z~~)(t')   ==    L (Z~~), Ym)Ym(t') == Ym(x')Ym(t').
                                 m=l
  To prove (b), let   f    E   Hk. Then

                               [(x')   =1  EN-I
                                                  [(t')Z~~)(t') dt'

                                       =1         f(t')Zk~)(t') dt'.
                                           EN-I


That is,

                               f(x')   =   1
                                           EN-I
                                                  f(t')Z~~)(t') dt'.

Thus we see that Z~~) reproduces 'ltk at the point x'. By the uniqueness of the
162                                                    A Degenerate Elliptic Boundary Value Problem



zonal harmonic at x', we conclude that z~~)                       == z~~).     Hence z~~) is real-valued.
Now, using (a), we have

                                                         ak

                               Z~~)(t') ==              L     Ym(x')Ym(t')
                                                        m=l
                                                         ak

                                                  ==    L     Ym(x')Ym(t')
                                                        m=l
                                                  == Zi,k) (x')
                                                  == Zi,k) (x').

This establishes (b).
  To check that (c) holds, it suffices by uniqueness to see that Z~:~ (pt') repro-
duces Hk at x'. This is a formal exercise which we omit.        I

LEMMA 6.7.3
Let {Y1, ... , Yak} be any orthonormal basis for H,k. The following properties
hold for the zonal harmonics:

(a)    Z~~)(x') =     a(EaN_d'         where ak = dimA k = dim7-ik;

       L~=l IYm (x')1 == (j(L-a~_I)
                          2
(b)

(c)    Izi,k) (x') I :::; a(Ea~_d       .



PROOF     Let x~, x~ E EN -1 and let p be a rotation such that px~                           ==   x~. Then
by parts (a) and (c) of 6.7.2 we know that
           ak                                       ak
          '"' IYm(x~)12 == Z(~)(x~) == Z(~)(x~) == '"' IYm(x~)12 == c.
          ~                  Xl          X2        ~
          m=l                                      m=l
Then

                                             ak    (

                              ak   =        L }y
                                            m=l     L-N-I
                                                              IYm(X') 12 da(x')


                                   =    1 f: L-N-l     m=l
                                                              IYm(x')1 2 dx'

                                   ==       cO" (E N -1 ) .

This proves parts (a) and (b).
Zonal Harmonics                                                                            163


  For part (c), notice that


       IIZ~~)lli2 =    1~N-l
                               IZ~~)(t')12dt'

                  =    IN-l (~Ym(x')Ym(t')) (~Yt(X')Yt(t'))                          dt'

                  ==   L IYm(x')1      2

                       m




Finally, we use the reproducing property of the zonal harmonics to see that


                  Iz1,k)(X')1    =   IlN_l Z1,k)(w')Z~~)(w')                  dw'l

                                           (k)              (k)
                                 ~ II Z t'       IIL2· II Z x'    IIL2
                                                                                             I

   Now we wish to present a version of the expansion of the Poisson kernel
in terms of spherical harmonics in higher dimensions. Recall that the Poisson
kernel for the ball in lR N is




for 0 ~ Ixl < 1 and It'l   == 1 (see [STW]). Now we have

THEOREM 6.7.4
If x E B then we write x == rx' with              Ix'i ==   1. It holds that

                                  00                              00

                  P(x, t') ==    L rkZ~~)(t') == L rkzi,k) (x')
                                 k=O                             k=O

is the Poisson kernel for the ball. That is, if f E C(8B) then


                           r
                           JaB
                                 P(x, t')f(t') da(t') == u(x)

solves the Dirichlet problem on the ball with data                       f.
164                                            A Degenerate Elliptic Boundary Value Problem


PROOF        Observe that

ak -
      _ dk   -
                 dk-2 -
                      _     (N +k 1) (N k-2 3)
                                   k-   +      -
                                                             k-


                       ==    (N+k-3)! {(N+k-l)(N+k-2)_~}
                            (k-l)!(N-2)!  k(N-l)    N-l

                       =    (N : ~ ; 3) {N+ ~k - 2}
                       <
                       -
                            C. (N k-l 3)
                                  +     k -




Here C == C(N) depends on the dimension, but not on k. With this estimate,
and the estimate on the size of the zonal harmonics from the preceding lemma,
we see that the series
                                          00

                                          L r kZi,k) (x')
                                          k=O
converges uniformly on compact subsets of B. Indeed, for                     IxI ~ s < 1, x == rx',
we have that

flrkZi,k)(x')I:-s;'fsk               ak            :-s;'fskC.kN-2 =C'.'fs kk N- 2 <oo.
k=O                         k=O   a(E N -1)          k=O      a(E N -1)          k=O

  Now let u(t') == L~=o Ym(t') be a finite linear combination of spherical
harmonics with all Ym E Hk. Then


                  to   IxlkYm     (1:1) == u(x) hN-I u(t')P(x, t') dt'
                                                         =

is the solution to the classical Dirichlet problem with data Y. Here P( x, t') is
the classical Poisson kernel. On the other hand,

                             k
                                                    to
   hN-I u(t') ~ Ixl Zi,k) (x') dt' = hN-I Ym(t') ~ Ixl Zi,k) (x') dt'             k




                                               =    t 'f Ixl 1
                                                    m=O k=O
                                                                  k

                                                                      EN-l
                                                                             Ym(t')Z~~)(t') dt'
                                                     p

                                               ==   L Ixlmym(x')
                                                    m=O
                                               == u(x).
Zonal Harmonics                                                                                   165


Thus

                 (
                JEN-l
                        [P(X' t') -        L IXlkZ~(k)(t')] U(t') dt' == 0
                                            k

for all finite linear cominations of spherical harmonics. Since the latter are dense
in L 2 ('E N _ 1 ) the desired assertion follows.  I

  Our immediate goal now is to obtain an explicit formula for each zonal
harmonic Z~~). We begin this process with some generalities about polynomials.

LEMMA 6.7.5
Let P be a polynomial in lRN such that

                                       P(px) == P(x)

for all p E O(N) and x E lR N      .   Then there exist constants               co ... , cp such that
                                       p

                        P(x) ==    L       Cm   (xi      + ... + x7v)m.
                                   m=O


PROOF     We write P as a sum of homogeneous terms:
                                                     q

                                   P(x) ==       L P£(x),
                                                 £=0

where P£ is homogeneous of degree f. Now for any                          E   > 0 and p E O(N) we
have
                             q                           q

                            L     E£ P£ (x)     ==   L P£ (     EX )
                            £=0                      £=0
                                                == P(EX)
                                                == P(EpX)
                                                         q

                                                ==   L P£(EpX)
                                                     £=0
                                                         q
                                                ==   L       E£ P£(px).
                                                     £=0

For fixed x, we think of the far left and far right of this last sequence of equalities
as identities of polynomials in E. It follows that P£ (x) == P£ (px) for every f.
The result of these calculations is that we may concentrate our attentions on Pl.
166                                     A Degenerate Elliptic Boundary Value Problem


  Consider the function 1 I- f Pf (X). It is homogeneous of degree 0 and still
                           x
invariant under the action of O(N). Then



for some constant Cf. This forces g to be even (since Pi is a polynomial
function); the result follows. I

DEFINITION 6.7.6     Let e E EN-I. A parallel of E N - I orthogonal to e is
the intersection of EN -1 with a hyperplane (not necessarily through the origin)
orthogonal to the line determined by e and the origin.

Notice that a parallel of EN -1 orthogonal to e is a set of the form

                              {x'   E   E : x' . e == c} ,

-1 ::; C ::; 1. Observe that a function F on EN -1 is constant on parallels
orthogonal to e E EN -1 if and only if for all p E 0 (N) that fix e it holds that
F(px') == F(x').

LEMMA 6.7.7
Let e E EN -1. An element Y E Hk is constant on parallels of E orthogonal to
e if and only if there exists a constant c such that

                                    Y == cZ(k).
                                           e


PROOF Recall that we are assuming that N 2 3. Let P be a rotation that
fixes e. Then, for each x' E E, we have

                       Z~k)(X')   == Z~~)(px') == Z~k)(px').

Hence Z~k) is constant on the parallels of E orthogonal to e.
  To prove the converse direction, assume that Y E H k is constant on the
parallels of E orthogonal to e. Let el == (1,0, ... ,0) E E and let T be a rotation
such that e == Tel. Define

                                  W(x') == Y(TX').

Then W E Hk is constant on the parallels of E orthogonal to el. Suppose we
can show that W == cZ~~) (x') for some constant c. Then

                      Y(x') == W(T-IX') == CZ~~)(T-Ix')
                             == cZ~~: (x')    == cZ~k) (x').

So the lemma will follow. Thus we examine Wand take e == el.
Zonal Harmonics                                                                                  167


   Define
                          P(x) == {Ox1kW(X/X               I)    if x f- 0
                                                                   if x == O.
Let p be a rotation that fixes e I. We write
                                          k
                               P(x) == Lx~-jPj(X2, ... ,XN).
                                         j=O

Since p fixes the powers of XI it follows that p leaves each Pj invariant. Then
each P j is a polynomial in (X2, ... , XN) E lRN -I that is invariant under the
rotations of lRN -I. We conclude that Pj == 0 for odd j and



for j even. Therefore

                      P(x) == COx~      + C2X~-2 R 2 + ... c2l x yl R k- 2l ,
for some f ~ k/2. Of course P is harmonic, so 6P                           == O. A direct calculation
then shows that

                   O == u/P   == '"' [C2 pQ p + C2(p+1) {3] xIk-2(p+1)R2p,
                                  ~                       p
                                  p


where

                                 Qp   == (k - 2p) (k - 2p - 1)
and

                                {3p   == 2(p + l)(N + 2p - 1).
Therefore we find the following recursion relation for the c's:
                                                        Q   pC2p
                                       C2(p+l)   ==   -~           .

In particular, CO determines all the other c's.
   From this it follows that all the elements of Hk that are constant on paral-
lels of E orthogonal to el are constant multiples of each other. Since Z~~) is
one such element of Hk, this proves our result.    I

LEMMA 6.7.8
Fix k. Let FyI (x') be defined for all x', y' E E. Assume that

 (i)   FyI ( . )   is a spherical harmonic of degree k for every y' E E;
(ii)   for every rotation p we have            Fpyl   (px') ==     FyI   (x'), all x', y' E E.
168                                     A Degenerate Elliptic Boundary Value Problem


Then there is a constant c such that

                                 FyI (x') == cZ~~) (x').


Exercise: Show that a function that is invariant under a Lie group action must
be smooth (because the group is). Thus it follows immediately that the function
F in the lemma is a priori smooth.

PROOF OF THE LEMMA           Fix y' E E and let p E O(N) be such that p(y') == y'.
Then

                        FyI (x') == Fpyl (px') == FyI (px').

Therefore, by the preceding lemma,




(Here the constant Cyl may in principle depend on y'.) We need to see that for
y~ ,y~ E E arbitrary, it in fact holds that Cy~ == Cy~. Let a E 0 (N) be such that
a(y~) == y~. By hypothesis (ii),


                         Cyl Z(~) (ax') == FyI (ax')
                             2   Y2                2

                                            ==   Fay~ (ax')

                                            ==   Fy~ (x')

                                            == Cyl1 Z(~) (x')
                                                      YI

                                            == Cyl1 Z aYII( ax ')
                                                      (k)


                                            == Cyl1 Z(~) (ax').
                                                      Y2


Since these equalities hold for all x' E E, we conclude that




That is,

                                 FyI (x') == cZ~~) (x').                               I
DEFINITION 6.7.9     Let 0 ::; Izl < 1,ltl        ::;   1, and fix A > O. Consider the
equation z2 - 2tz   + 1 == O. Then z == t          ± v!t2=1      so that Izl == 1. Hence
Zonal Harmonics                                                                      169


Z2 - 2tz + 1 is zero-free in the disc {z : Izi < I} and the function Z f-t
(1 - 2tz + z2) - A is well defined and holomorphic in the disc. Set, for 0 ~ r < 1,

                                                    CX)


                            (1-2rt+r 2)-A == LP{(t)r k .
                                                    k=O


Then pt (t) is defined to be the Gegenbauer polynomial of degree k associated
to the parameter A.


PROPOSITION 6.7.10
The Gegenbauer polynomials satisfy the following properties:

 1.   POA (t) == 1.
 2.   -it P{ (t) == 2APt~11 (t)  for k 2: 1.
 3.   -itPIA(t) == 2APOA+ I (t) == 2A.
 4.   P{ is actually a polynomial of degree k in t.
 5.   The monomials 1, t, t 2, . .. can be obtained as finite linear combinations
      of POA, PIA, P2 ....
                    A,
 6.   The linear space spanned by the P;'s is uniformly dense in 0[-1,1].
 7.   pt (- t) == (-1) k pt (t) for all k 2:   o.

PROOF We obtain (1) by simply setting r             == 0 in the defining equation for the
Gegenbauer polynomials.
  For (2), note that

                      CX)


                 2rA LP;+l(t)r k     == 2rA (1 - 2rt + rzr(HI)
                      k=O




The result now follows by identifying coefficients of like powers of r.
  For (3), observe that (using (1) and (2»
170                                        A Degenerate Elliptic Boundary Value Problem


  It follows from integration that PIA is a polynomial of degree 1 in t. Applying
(2) and iterating yields (4).
   Now (5) follows from (4) (inductively) and (6) is immediate from (5) and the
Weierstrass approximation theorem.
 Finally,
                   CX)



                  ~Pk
                  '""' A (-t)r k      == ( 1- 2r(-t) + r 2)-A
                  k==O



                                            CX)



                                      ==   L      pt(t)( -r)k
                                           k==O
                                            CX)



                                      == L(-l) kpt(t)r k .
                                           k=O


Now (7) follows from comparing coefficients of like powers of T.              I

THEOREM 6.7.11
Let N > 2, A == (N - 2)/2, k E {a, 1,2, ...}. Then there exists a constant          Ck,N
such that

                           Z y' ( x ') ==
                             (k)             Ck,N PA(' .
                                                   k X     Y') .


Exercise: Compute by hand what the analogous statement is for N == 2. (Recall
that the zonal harmonics in dimension 2 are just cos kO /          v:rr
                                                           and sin kO /   for     v:rr
k 2: 1.)
PROOF    Let y' E E be fixed. For x E lRN define




By part (7) of 6.7.10, if k is even then

                                  m

                                                      with 2m == k;


also if k is odd then
                           m
                P{(t) ==   L     d2j+It2j+l           with 2m + 1 == k.
                           j=O
Zonal Harmonics                                                                                    171


In both cases, FyI (x) is then a homogeneous polynomial of degree k.                               For
instance, if k is even then


                         Fy'(x)            = Ixl k Pk, (x. y')
                                                         V

                                                                      V ')2
                                                                                j

                                           = Ixl      f;d
                                                   2m m
                                                             Zj
                                                                  (   x· Y

                                               m
                                           =   Ld    Zj   (lxI Z) m-j (X ' y,?j.
                                               j=O

  We want to check that the hypotheses of Lemma 6.7.8 are satisfied when
FyI (X') is so defined. Once this is done then the conclusion of our Proposition
follows immediately. Thus we need to check that FyI (x') is rotationally invariant
and that FyI (.) is harmonic.
  If P E O(N) and x' E ~N-l then

                           Fpyl(px') == Ix'lkpt (px'                         .PY')
                                                                        Ixl
                                                == Ix'i k p' (x' . y')
                                                             k         Ixl
                                                == FyI (x').

This establishes the rotational invariance.
  To check harmonicity, recall that the map x ~ Ix - (y' / s) 2 - N is harmonic      1



on jRN  {y' / s} when N 2:: 3, s =1= 0, and y' E ~. Then, with A == (N - 2)/2,
we have
                               2       N
          S
              2-N        y'1
                    I x--;         -
                                           == [ (sx-y)·(sx-y) ] (2-N)/2
                                                     ,      ,



                                           == [lsxl 2 - 2(sx) . y' + 1] (2-N)/2
                                                                                         A
                                           =   [1-2(SIXI)         C:I'Y') + (SIXI)Zr
                                           == [1-2rt+r 2 ]-'

                                           =   f>klxlk P£
                                               k=O
                                                                      C:I 'Y') ,             (6.7.11.1)


Here we have taken r == slxl and t == (x/lxl) . y'. Thus the sum at the end of
this calculation is a harmonic function of x in R s == {x E jRN : 0 < Ix I < 1/ s }
for y' E ~ fixed.
172                                                       A Degenerate Elliptic Boundary Value Problem


  To see that each coefficient




in the series is a harmonic function of x E jRN we proceed as follows. Fix
o =1= Xo E jRN. Then, for every s such that 0 < s < 1/lxol, formula (6.7.11.1)
tells us that the function

                                      X r-->   ~ sklxlkP£                   C:I .yl)
is harmonic. Therefore this function satisfies the mean value property. By
uniform convergence we can switch the order of summation and integration in
the mean value property to obtain

f sk
k=O
                   1
           a(8B(xo, r))
                                  {
                                  J8B(xO,T)
                                                   Ixl k P£ (~ . Y')
                                                                      Ixl
                                                                                da(x)


                              =           1
                                   a(B(xo, r))
                                                              {
                                                          J8B(xO,T) k=O
                                                                            f sklxlk P£ (~ . Y')
                                                                                               Ixl
                                                                                                            da(x)


                                   ~
                              = ~s k Ixol k ,k ( ~.y ')
                                           P    Xo



for 0 < r < Ixol. Since this equality holds for 0                                 <    s   <   1/lxol, the identity
principle for power series tells us that


      a
          (B(   11
                Xo, r
                        ))
                             8B(xo,T)
                                        Ixl
                                               k
                                                   Pk,   (
                                                              x
                                                               x,) da(x)
                                                              -II . Y             == Ixol k Pk
                                                                                             ,      (   Xo
                                                                                                         Xo
                                                                                                            I'
                                                                                                         - I Y')

for every 0 < r < Ixol. It is a standard fact (see [KR1, Ch. 1]) that any function
satisfying a mean value property of this sort-for any Xo and all small r-must
be harmonic. We conclude that

                                       Fy'(x) =               Ixl k P£ (1:1 . yl)
is harmonic. The theorem follows.                                 I



6.8       Spherical Harmonics in the Complex Domain and Applications
Now we give a rendition of "bigraded spherical harmonics" that is suitable for
the study of functions of several complex variables. Our purpose is to return
finally to the study of the regularity for the Laplace-Beltrami operator for the
Bergman metric on the ball. Because of the detailed exposition that has gone
Complex Spherical Harmonics                                                               173


on before, and because much of this new material is routine, we shall perform
many calculations in e2 only and shall leave several others to the reader.
DEFINITION 6.8.1   Let HP,q be the space consisting of all restrictions to the
unit sphere in en of harmonic (in the classical sense) polynomials that are
homogeneous of degree p in z and homogeneous of degree q in z.

Observe that



PROPOSITION 6.8.2
The spaces HP,q enjoy the following properties:
      D(      . )=d' 1{p,q= (p+q+n-l)(p+n-2)!(q+n-2)!
 1.        p,q,n - [me           p!q!(n-l)!(n-2)!'
 2.   The space HP,q is U(n)-irreducible. That is, HP,q has no proper linear
      subspace L such that, for each U E U(n), U maps L into L.
 3.   If 11, ... , I D is an orthonormal basis for HP,q, D == D(p, q; n), then
                                                     D

                                 H~,q ((, TJ) ==    L Ij (()Ij (TJ)
                                                    j=1

      reproduces HP,q. That is, if ¢ E HP,q, ( E E, then

                              ¢(()   =     ~ H~,q((, TJ)¢(TJ) da(TJ)·
 4.   The orthogonal projection 1r p,q : L 2 (E)          -+   HP,q is given by

                        1r   p,q(f)(()     =   ~ f( TJ)H~,q((, TJ) da(TJ)·
PROOF   We leave the proofs of parts (1) and (2) as exercises.
  To prove (3), notice that if ¢ E HP,q then we may write ¢                   ==   Ef=1 ajlj.
Then


  ~ H~,q((,TJ)¢(TJ)da(TJ) ~ (~h(()h(TJ)) (~akfk(TJ)) da(TJ)
                                =

                                      D                    .
                                =    ,L akfj(() ~ h(TJ)fk(TJ) da(TJ)
                                     ),k=1

                                      D

                                ==   L ajlj(()
                                     j=1

                                == ¢(().
174                                                    A Degenerate Elliptic Boundary Value Problem


   To prove (4), select 9 E L 2 (E). Then


                            7rp ,qg(()   =   1  ~
                                                    g(1])
                                                             D
                                                            L h(1])h(() da(1])
                                                            j=1



                                         =~          (~g(1])h(1]) da(1])) !i(()
so that   1rp,q   maps £2 into 1i p ,q. By (3) it follow that                 1r p,q 0 1rp,q   == 1rp,q. Finally,
7rp,q   is plainly self-adjoint. Thus                 7rp,q   is the orthogonal projection onto 1tp ,q           i

  In order to present the solution of the Dirichlet problem for the Laplace-
Beltrami operator 6 B, we need to define another special function. This one is
defined by means of an ordinary differential equation.

DEFINITION 6.8.3                Let a, b E IR and c              > O. The linear differential equation
                  x( 1 - x )y" +         [c -   (a    + b + l)x]       y' - aby == 0                     (6.8.3.1)

is called the hypergeometric equation.

  If we divide the hypergeometric equation through by the leading factor x( 1 -
x) we see that this is an ordinary differential equation with a regular singularity
at O. It follows (see [COL]) that (6.8.3.1) has a solution of the form


                                                                                                           (6.8.4)


where ao =1= 0 and the series converges for Ix I < 1. Let us now sketch what
transpires when the expression (6.8.4) is substituted into the differential equation
(6.8.3.1).
   We find that
 00                                                               00

L ajx + - A   j    1
                       (A   + j)(A + j       - 1 + c) -          L ajx +j (A + j + a)(A + j + b) == 0,
                                                                        A

j=O                                                              j=O

which gives the following system of equations for determining the exponent A
and the coefficients a j:

                                              aO A(A        - 1 + c) == 0

aj(A + j)(A + j - 1 + c) - aj-l(A + j - 1 + a)(A                             +j    - 1 + b)      == 0,     j 2:: 1.
The first of these equations yields that either A == 0 or A == 1 - c.
Complex Spherical Harmonics                                                              175


  First consider the case A == O. We find that

                              (j - 1 + a) (j - 1 + b)
                    aj   ==        j(j _ 1 + c)       aj-I,
                                                                 j   ==   1,2, ....


Setting ao     ==   1 we obtain

                              a(a + 1) ... (a + j - 1)b(b + 1) ... (b + j - 1)
                    aj   ==              j! c(c + 1) ... (c + j - 1)
                              r(a + j)r(b + j)r(c)
                         -     j!r(a)r(b)r(c + j) ,

where r is the classical gamma function (see [CCP]). Thus for A == 0 a particular
solution to (6.8.3.1) is

                                              ~ r(a   + j)r(b + j)r(c)          xj
                y(x)=F(a,b,c;x)==~                  f(a)r(b)f(c+j)             . j!

  Now consider the case A               == 1 - c. Arguing in the same manner, if c =1=
2,3,4, ... we find (setting ao          == 1 again) that a particular solution of the differ-
ential equation is given by

      y ( x)    == F (1 - c + a, 1 - c + b, 2 - c; x )
               == x 1- c ~ r(1 -       c + a + j)f(1 - c + b + j)r(2 - c) . xi
                              ~     r(1-c+a)r(I-c+b)r(2-c+j)                j!

   We leave as an exercise the following statement: by checking the asymptotic
behavior of F (1 - c + a, 1 - c + b, 2 - c; x) at the origin, one may see that this
function is linearly independent from that found when A == O. The functions
F are known as the hypergeometric functions. See [ERD] for more on these
matters.
   In the case that c == 2, 3, 4, ... then a modification of the above calculations
(again see [COL, p. 165]) gives rise to a solution with a logarithmic singularity
at O.
   Define

                               s~,q(r) = r p+q F(p, q,p + q + n; r
                                                                     2
                                                                         ) •
                                               F(p,q,p+q+n;l)

We want to show that Sh,q is Coo on the interval (-1, 1) and continuous on
[-1, 1]. We will make use of the following classical summation tests for series.
For more on these tests, see [STR].
176                                                 A Degenerate Elliptic Boundary Value Problem


LEMMA 6.8.5 DINI-KUMMER
For j == 1,2, ... let aj, bj > 0 and put




If lim infj -..+ oo D j   >0   then the series            L:: j aj    converges.

REMARK           Notice that if bj    ==   1 for all j then this test reduces to the ratio test.
                                                                                                             I

PROOF        By hypothesis, we may find a {3                     > 0 and       an integer jo   >0   such that
if j 2:: jo then D j > {3. Thus

                                                                  a'+l
                                       (3   < b· -
                                               J
                                                            b·+ 1 - ) -
                                                             J            a'
                                                                           )


so that

                                     O<a'<)) - b·+ 1a'+1
                                          a·b·  )    )                                              (6.8.5.1)
                                            )                        (3

for j 2:   JOe
   Now




By our hypothesis, ajb j > aj+l bj +1 > 0 for all j 2:: JOe Therefore we may set
, == limj-..+oo ajb j • The number, is finite and nonnegative. Using (6.8.5.1) we
have
                                                1
                               L: aj < 7J L:(ajbj - aj+l bj+l)
                                00                   00



                               )=)0                 )=)0




                                       <    00.                                                              I
COROLLARY 6.8.6 RAABE
If aj > 0 for j == 1,2, ... , then we set Qj == j(1 - aj+l/aj). If it holds that

                                                liminf Qj        >        1                         (6.8.6.1 )

then   Lj aj     converges.
Complex Spherical Harmonics                                                                            177


PROOF      Let b1     ==   1 and bj     == j    - 1 for j 2:: 2. Then

                                   Qj -        1= j (1 - a~;1 )- 1
                                                - (J- 1) - J -
                                                _ .        . aj+l
                                                                 aj




where we are using the notation of the Lemma. Then lim infj -+ oo Qj                     >   1 if and
only if lim infj -+00 D j > O. I

PROPOSITION 6.8.7
Take
                              b . ) == ~ r(a + j)r(b + j)r(c) . x
                                                                                 j
                       F(
                            a, ,c,x    ~ f(a)r(b)f(c+j)         j!

as usual. If Ixl == 1 and          c > a + b then the series converges absolutely.
PROOF We want to apply Raabe's test. Thus we need to calculate the terms
Qj. Denote the absolute value of the jth summand by aj. Then, since == 1,                    Ixl
we have
                                       aj+l _       (a+j)(b+j)
                                        aj          (j + 1) (c + j)
Set c   == a + b + 8,       where this equality defines 8 > O. Then

                      aj+l            ab + aj + bj + j2
                       aj          (j + 1) (a + b + 8 + j)
                              == 1 _ 8j + a + b + 8 + j - ab
                                          (j   + 1) (a + b + 8 + j)
                              -1-                  (1+8)j             +0(1/. 2 )
                              -         (j     + 1) (a + b + 8 + j)          J       .
As a result,

                      Qj == j      (1 _a~;1 )
                            =J
                                  .(       (1 + 8)j    ( /
                                       U+8)(a+b+8+j) +0 1 J
                                                                           '2))
and lim infj   -+   oo Qj == 1 + 8 > 1. Thus Raabe's test implies our result.                      I

  It follows from the Proposition that S!:"q is continuous on [-1, 1] and Coo on
(-1, 1). We need to know when the function is in fact Coo up to the endpoints.
178                                                     A Degenerate Elliptic Boundary Value Problem


If either p == 0 or q == 0 then the order-zero term of the hypergeometric equation
drops out. One may solve this hypergeometric equation for solutions of the form
                                                 ex>

                                                Laj(x - l)j+,.                                      (6.8.8)
                                                j=O

The solutions are real analytic near 1; in particular they are smooth. On the
other hand, if both p and q are not zero, then the hypergeometric equation never
has real analytic solutions near 1 as we may learn by substituting (6.8.8) into
the differential equation. In fact the solutions are never       where n is the       en,
dimension of the complex space that we are studying.
REMARKS          Gauss found that
                             .             r(c)r(c-a-b)
                         x-+l
                             hm_F(a,b,c;x)=q c - a )f( c- b)'

Also, one may substitute the function

                                   y= {                 (u-x)f.-I¢(u)du,
                                               J[O,l]

where ~ is a constant to be selected, into the hypergeometric equation. Some
calculations, together with standard uniqueness theorems for ordinary differential
equations, lead to the formula

             F(a b C' x) == r(c)
                , , ,      r(b)r(a)
                                                        10
                                                             1
                                                                 t b- I (1 - t)a-b-l (1 - xt)-a dt

for 0 < x < 1. It is easy to see from this formula that F cannot be analytically
continued past 1. I
  As a consequence of our last proposition,

                             SM (r)        = rp+q F(p, q,p + q + n; r 2 )
                              n                           F(p,q,p+q+n;l)
is well defined and Coo when 0                     ~ r       < 1.

THEOREM 6.8.9
Let   f   E 1t p ,q. Then the solution of the Dirichlet problem

                                           6BU          == 0 on B
                                       {   U    == f              on 8B    == E
is given by


for ( E L: and 0     ~   r   ~    1.
Complex Spherical Harmonics                                                                                   179


PROOF    To simplify the calculations, we shall prove the theorem only in di-
mension n == 2.
  Let F o(z) ==             zf z1
                    and fo == F oIaB· Then the ordinary Laplacian

                                            6=4(~+~)
                                              {)ZI{)ZI {)Z2{)Z2

annihilates Fo. Recall that 1i p ,q is irreducible for U(2). This means that
{f 0 a }aEU(2) spans all of 1t p ,q (for if it did not it would generate a non-
trivial invariant subspace, and these do not exist by definition of irreducibility).
Furthermore, 6 B commutes with U(2) so if we prove the assertion for fo, Fo
then the full result follows.
   For z E B we set r == Izl. Then r 2 == ZlZI + Z2Z2. We will seek a solution
of our Dirichlet problem of the form

                                                u(z)   == g( r 2 )zf Z2 q.
Recall that
                                        4                    n                        {)2
                        6    B    == - + 1 (1 -lzI2) " (8·· -
                                     n               ~               1,)
                                                                             z·z·) - - .
                                                                              1,)  {)z.{)z.
                                                           i,j=1                             1,   )



We calculate        6BU.
 Now
                             {)
                            {)z. u    == Zjg ,(r 2) [zlP z2 + 9 (r 2) zlP
                                                         -q]                  (    -q -1) U2j
                                                                                  q Z2
                                                                                          ~
                                 )

and




Therefore

L2     {)2 u
      oz.oz        =
                        {2
                         L           [g"(r 2 )l ziI 2 + g'(r 2 )] zfzi
                                                                           }+ g'(r )pziZi + g'(r )qzfzi
                                                                                         2            2

i=1     1,     Z             i=1

                   ==   zf   z1 [g"(r 2)r2 + (2 + p + q)g'(r 2)] .
By a similar calculation we find that
        2               {)2 u
      L
      i,j=1
               ZiZj~
                         ZiZj
                                     = zfzi   [r 4 gll (r 2 ) + (p + q + 1)r2 g'(r 2 ) + pqg(r 2 )]       •
180                                         A Degenerate Elliptic Boundary Value Problem


Substituting these two calculations into the equation 6              Bu   == 0 (and remember-
ing that n == 2), we find that

o == 6 Bu ==   -4 (1 - r 2)zfzi [g"(r 2)r 2 + (2 + p + q)g'(r 2)]
                2
                 +1
                  4
               - - 2 (l-r2)zfzi[g"(r2)r4+(p+q+l)r2g'(r2)+pqg(r2)]
                   +1
          = 2    ~ 1(1 -               2      2      2
                           r 2)zf zf {r (1 - r )g" (r )

               + [(p + q + 2) - (p + q + l)r 2] g'(r 2) - pq g(r 2)}.

Therefore, if a solution of our Dirichlet problem of the form of u(z) == g(r2)zfzi
exists, then 9 must satisfy the following ordinary differential equation:



We may bring the essential nature of this equation to the surface with the changes
of variables t == r 2 , a == p, b == q, C == P + q + 2. Then the equation becomes

                  t (1 - t) g" +    [c -    (a   + b + 1)t] g'   - ab 9 == O.

This, of course, is a hypergeometric equation. Since u is the solution of an
elliptic problem, it must be Coo on the interior. Thus 9 must be Coo on [0, 1).
Given the solutions that we have found of the hypergeometric equation, we
conclude that

                            g(t) == F(p, q,p + q + n; t).
Consequently,

                                    F(p,q,p+q+n;r2) p_q
                        u () ==
                           z                             z z
                                    F(p, q, p + q + n; 1) 1 2
                               ==   S~,q(r)rp+q       f(().                                 I
THEOREM 6.8.10
    ~ r < 1 and 1], ( E aBo Then the Poisson-Szego kernel for the ball
Let 0
B ~   en is given by the formula
                                            00

                        P(r1],() ==        L       S~,q(r)H~,q(1J,().
                                           p,q=O

PROOF    Recall that if 9 E C(aB), then

                   G(z) == {    JaB P(z, ()g(() du(()               on B
                                g(z)                               on 8B
Complex Spherical Harmonics                                                            181




solves the Dirichlet problem for 6 B with data g. Recall also that Hh,q (1], () is
the zonal harmonic for 1i p,q.
   Let us first prove that the series in the statement of the theorem converges.
An argument similar to the one we gave for real spherical harmonics shows that



Here D(p, q; n) is the dimension of 1ip ,q. Clearly,

    D(      . n) < dim 1ip+q == (2n      + (p + q) -   1) _ (2n     + (p + q) -   3)
         p,q,    -       2n
                                           p+q                      p + q- 2
                ~   C . (p + q + 1)2n.

  Recall that

                       Sp,q(r)   = r p +q F(p, q,p + q + n; r 2 )
                        n                 F(p,q,p+q+n;l)
and observe that F(p, q, p + q + n; r 2 ) is an increasing function of r. Thus



Putting together all of our estimates, we find that



Summing on p and q for 0 ~ r < 1 we see that our series converges absolutely.
  It remains to show that the sum of the series is actually the Poisson-Szego
kernel. What we will in fact show is that for 1] E 8B and 0 < r < 1 we have




for every f E C(8B). But we already know that this identity holds for f E 1ip ,q.
Finite linear combinations of Up,q 1i p ,q are dense in C( 8B). Hence the result
follows.     I

   Now we return to the question that has motivated all of our work. Namely, we
want to understand the lack of boundary regularity for the Dirichlet problem for
the Laplace-Beltrami operator on the ball. As a preliminary, we must introduce
a new piece of terminology.

DEFINITION 6.8.11    Let U ~ en be an open set and suppose that f is a
continuous function defined on U. We say that f is pluriharmonic on U if for
182                                      A Degenerate Elliptic Boundary Value Problem


every a E U and every bEen, it holds that the function

                                       (~f(a+(b)

is harmonic on the open set (in C) of those ( such that a       + (b   E U.


   A function is pluriharmonic if and only if it is harmonic in the classical sense
on every complex line ( ~ a + (b. Pluriharmonic functions arise naturally
because they are (locally) the real parts of holomorphic functions of several
complex variables (see [KRl, Ch. 2] for a detailed treatment of these matters).
   Remark that a C 2 function v is pluriharmonic if and only if we have
   2
(8 /8z j 8z k )v == 0 for all j, k. In the notation of differential forms, this condi-
tion is conveniently written as 8av == o.
   Now we have

THEOREM 6.8.12
Let   f   E   CX(8B). Consider the Dirichlet problem

                                      6BU   == 0 on B
                                  {   ul aB == f on 8B.
Suppose that the solution u of this problem (given in Proposition 6.5.2) lies in
COO(B). Then u must be of the form




That is, u must be pluriharmonic. The converse statement holds as well: if f
is the boundary function of a pluriharmonic function u that is continuous on 13
and if f is Coo on the boundary, then U E Coo (B).

PROOF Now let v E C(B) and suppose that v is piuriharmonic on B. Let
vlaB == f· Then the solution to the Dirichlet problem for 6 B with data f is in
fact the function v (exercise). But then v is also the ordinary Poisson integral
of f. Thus if f E COO(8B) then v E COO(B). This proves the converse (the
least interesting) direction of the theorem.
   For the forward direction, let f E Coo (8B) and suppose that the solution u
of the Dirichlet problem for 6 B with data f is Coo on B. We write

                                       f ==    LYp,q,
                                               p.q

where each       ~,q   E 1i p ,q. We proved above that


                                         p,q
Complex Spherical Harmonics                                                           183


and also that the solution to the Dirichlet problem for 6           B   is given by

        u(r7J)                    J     P(r7J,()f(()da(()

                                  L L JS~'·q' (r)H~',q' (71, ()Yp,q(() da(()
                                  p',q' p,q

                 (ortho~nality)   L s~,q (r) JH~,q (71, ()Yp,q( () da( ()
                                  p,q
                                  L S~,q(r)Yp,q(1J).
                                  p,q
Therefore if P f     ==   u is smooth on        13   then we may define for each p, q the
function

                          Qp,q(r) = {          (P J)(r()Yp,q(() da(()
                                         JaB
                                    ==   S~,q(r)IIYp,qIl2.

Thus if P f is Coo up to the boundary then, by differentiation under the integral
sign, Qp,q (r) is Coo up to r == 1. But recall that

                          Sp,q(r)   = r p+q F(p, q, p + q + n; r 2 )
                           n                    F(p,q,p+q+n; 1)
is smooth at r == 1 if and only if either p == 0 or q == O. So the only nonvanishing
terms in the expansion of f are elements of 1iP 'o or 1t0 ,q. That is what we
wanted to prove.       I

   We leave it to the reader to prove the refined statement that if a solution u to
the Dirichlet problem is       cn
                              up to the closure, then u must be pluriharmonic.
   The analysis of the Poisson-Szego kernel using bigraded spherical harmonics
is due to G. B. Folland [FOL]. We thank Folland for useful conversations and
correspondence regarding this material.
   An analysis of boundary regularity for the Dirichlet problem of the Laplace-
Beltrami operator on strongly pseudoconvex domains was begun in [GRL].
Interestingly, these authors uncovered a difference between the case of dimen-
sion 2 and the case of dimensions 3 and higher.
7
The a-Neumann Problem




Introductory Remarks
The a-Neumann problem is a generalization to several complex variables of the
Cauchy-Riemann equations of one complex variable. While the groundwork
for this problem was laid by D. C. Spencer, Charles Morrey, P. Conner, and
others, it was J. J. Kohn [KOHl] who tamed the problem. It is the key to many
of the important techniques of the function theory of several complex variables.
   The a-Neumann problem was also one of the first non-elliptic problems for
which a regularity theory was established. Whereas in an elliptic problem of or-
der m we have learned that the solution is m degrees smoother than the data, the
a-Neumann problem does not exhibit the maximal degree of smoothing. Indeed
the a-Neumann problem is subelliptic rather than elliptic; roughly speaking,
this means that the solution gains a predictable number of derivatives, but that
number is less than the degree of the partial differential operator in question.
   Subelliptic regularity was quite unexpected in the early 1960s when it was
first discovered (see [KOH 1]). It cannot be treated by a naive application of
the theory of pseudodifferential operators or by other classical techniques. The
monograph [GRS] describes a special calculus of pseudodifferential operators
designed for the study of the a-Neumann problem on an important special class
of domains; indeed, it is the same special class that we shall study here.
   The method that we present here is not Kohn's original, which is rather com-
plicated, but is a simpler method, called elliptic regularization, that he developed
later in collaboration with Nirenberg (see [K02], [FOK] and references therein).
The monograph [FOK] is the canonical reference for matters related to the        a-
Neumann problem. However, the presentation there is perhaps too complicated
for our purposes, since it is in the setting of an arbitarary metric structure on an
almost complex manifold. In an effort to maintain simplicity, we shall formu-
late and solve the a-Neumann problem only on a smoothly bounded strongly
pseudoconvex domain in     en.    We do follow the basic steps in [FOK], but by
specializing we can provide considerably more detail and context.
Introduction to Hermitian Analysis                                                  185


   Those interested in the most general setting for the a-Neumann problem will,
after reading the material here, be well prepared to consult [FOK] and other
more recent sources (see, for instance, [RAN] and [CATl]-[CAT3]) on the              a-
Neumann problem.




7.1    Introduction to Hermitian Analysis
As previously mentioned, we shall be working strictly on domains in Cn . We
may thus bypass a certain amount of formalism by relying on the standard
coordinates in space.
  If P E Cn ~ IR.2n then the tangent space to IR.2n at P is spanned by
                              8          8                            8         8
                             8Xl ' 8Yl ' ... , 8x n ' 8Yn .

It clearly has (real) dimension 2n. We set

                                   8 1[8 .8]
                                  ---
                                  8z j - 2
                                                         --l-
                                                         8xj              8Yj

                                   8 = 2 + .8]
                                  8zj
                                       1[8               8xj              z8Yj .

Then we let Tl,o denote the complex linear space spanned by




and   ro,l   == Tl,O   denote the complex linear space spanned by

                                               8                 8
                                          8z           , ••• ,   8z        .
                                                   l                  n

  The complexified tangent space is then



It obviously has complex dimension 2n. The complexified tangent space is, in a
natural sense, the tensor product of the real tangent space with C. However, we
shall have no use for this formalism (see [WEL] for more on this point of view).
   There is associated to the complexified tangent space a complexified cotangent
space. We set

                                        dZ j== dXj + idYj
                                        dZj == dXj - idYj.
186                                                                               The a-Neumann Problem


A trivial calculation shows that

                     dZj'8~j)=1,                            dz j ,   8~j )      = 0,

                      dzj ,   8~j )        = 0,             dzj ,    8~j )      = 1.
If a == (aI, ... , as) is a multiindex, then we set



and
                         dz a       == dZal     1   dZa2   1 ... 1     dzas .
In this context the magnitude of the multiindex is lal == s. (The use of mul-
tiindices here is rather at odds with some earlier uses in this book, but should
lead to no confusion.) Then 1 p,q denotes the space of forms of the type

                          W    ==           L             aa(3dz a   1   dz(3.
                                     lal=p,I(3I=q
It is an exercise in linear algebra to see that if 1 r denotes the space of all
classical (real variable) r- forms on en ~ ]R2n, then
                                     IT      = (J)          Ip,q.
                                                   p+q=r
  Next we tum to the exterior derivative. Let

                                W      ==   L aa,(3dz a         1   dz(3
                                            a,(3
be a differential form. The exterior derivative d may be written as d == 8                           + 8,
where

                      8w = ' " ~ 8aO!,{3 dz· / dzO! / dz{3
                           L...J L...J 8z. J
                           a,(3 j=1      J

and

                      8w =     Lt             8;; :{3 dZ     j /    dzO! / dz{3.
                                a,(3    j=1           J

Clearly,
                                                                 _ Ip,q               IP,q+l
                                                     and        8:                -+             .


Since
                               0== d2 == (8+ 8)(8+ 8),
Introduction to Hermitian Analysis                                                              187


we see by counting degrees that

                                                           8a == -a8.
  We define a Hermitian inner product on CTp (cn) as follows:




and

                              /   ~~)             ==0      for all j, k.
                               8zj ' 8 Zk    p

In particular, we see that



is an orthogonal decomposition.
   There is a corresponding inner product on covectors. We have



and

                                                         for all j, k.

By functoriality, if cP, 'l/J are both (p, q)-forms then

         cP ==   L
                 jII=p
                         cPIJdz I / dz
                                          J       and     'l/J ==   L 'l/JIJdz I / dz J ,
                                                                    III=p
                 IJj=q                                              IJI=q



then

                           (cP, 'l/J)p == 2p +q   L cPIJ(P) . ifIJ(P).                       (7.1.1)
                                                  I,J
It follows in particular that if cP is a form of type (p, q) and 'l/J is a form of type
(p', q') with (p, q) =1= (p', q'), then cP is orthogonal to 'l/J.
   When cn is identified with }R2n then the volume form, in real coordinates, is



It is more convenient in complex analysis to use complex coordinates: since
dXj / dYj == (i/2)(dzj 1 dzj ), we find that

                         dV   =   (~) n dz I / dEl / ... / dZn      /   dzn .
188                                                                            The a-Neumann Problem


  We now use the volume form to produce an inner product on forms that is
consistent with the inner product that we have defined on covectors. Let 0 ~                            en
be a domain. Then, with ¢, 'l/J as above,


                                (</J, ~)!l    =   L(</J,~)        p   dV.

More explicitly,

                        (</J, ~)!l   = 2p +q      1Ln   I,J
                                                              </JIJ'¢IJ dV.

  We next define certain linear spaces of forms with coefficients that satisfy
regularity properties. Set


Ip,q = Ip,q(n) ==    {¢   ==     L
                                  III=p
                                          ¢IJdz
                                                    I
                                                        Idz J        : ¢IJ   E   0 00 (0) for all   I'J};
                                  IJI=q




      I cp,q == { ¢ == III=p ¢ I J dz I 1 dz : ¢ I J
                        '"'
                        L..J                 -J                       E   0 c (n) for all I, J } ;
                                                                            00



                        IJI=q




        Hf,q ==    {¢ == L ¢
                          III=p
                                           I  J
                                     I J dz dz :        ¢ IJ E        H s (0) for all I,    J} .
                          IJI=q

Here H s == HS is the standard Sobolev space of functions. In what follows,
when we write I~,q (0) or I~,q (U n 0) then we interpret the closure bar on
the domain to mean that the support of the form is allowed to intersect the
boundary. Thus the support is compact in the closure.
   The final piece of elementary mathematics that we need is the Hodge star
operator. First consider the context of real analysis on jRN. Let

                                   , ==      dXl 1 . .. 1 dXN


be the volume form, 1 k the space of k-altemating forms, and I~ the k-
covectors at P E jRN. Define

                                     * : I p
                                               k -+ IN-k
                                                              p

by the equality

                                                                                                     (7.1.2)
The Formalism of the [) Problem                                                            189


for all 'l/J E I~. Now that we have defined the                 * operation   (pointwise) on
covectors, we extend it to forms by setting




Example: Here is an example of the utility of the                   * operator   in a classical
setting. Let
                           o == {x E jRN          :   r(x) < O}
be a smooth domain. We assume that dr =1= 0 on ao. We may replace r by
r jldrl
      so that Idrl == 1 on ao. Then the area form on ao is *dr. (Exercise:
use Green's theorem.)    0
  Now let us tum our attention to     en.       Define
                                   p,q          In-q,n-p
                             *: I p       -+
                                                       p

by the identity



for 1/J E I~q. Likewise
                                     p,q        In-p,n-q
                             *: I         -+


is defined by

                               (1/J, ¢) , == 1/J / (*¢),
where (1/J, ¢) is the function of z given by

                  (¢,1/J) (z) == 2p +q         L            ¢IJ(Z)1/JIJ(Z).
                                         III=p,IJI=q




7.2   The Formalism of the [) Problem
We want to study existence and regularity for the partial differential equation

                                         [)v   == f.                                   (7.2.1)

We shall restrict attention to the case that v is a function and f a (0, 1)-form.
If v exists then we may apply [) to both sides of the equation to obtain

                                  o == [)2 v     == [) f.
190                                                                             The a-Neumann Problem


Thus a necessary condition for the equation (7.2.1) to have a solution is that
aI == O. This point bears a moment's discussion.
  In C l , the Cauchy-Riemann equations for C l functions v == ~ + iT) and
I == u + iv can be written either as
                 ~ (8~
                 2       8x
                              _8T)) ==
                               8y
                                         u           and           ~ (8T) + 8~) == v
                                                                   2    8x       8y
or as
                                                   8v == I
                                                   8z        .
In either notation, the number of unknown functions is in balance with the
number of equations. However, in dimensions two and greater the situation is
different. Write 1== Ildz l + ... + Indzn. Then our system (7.2.1) is

                                 8v
                                 -8- ==      Ij,        j    ==   1, ... , n,
                                   Zj

and the number of equations (n) exceeds the number of unknown functions
( I). Passing to real notation results in no improvement. We call such a system
overdetermined. Algebraic considerations (or dimension) suggest that some
compatibility conditions will be needed on the data in order for the system to
be solvable. And indeed that is what we have discovered. (A formal theory of
overdetermined systems of partial differential equations has been developed by
D. C. Spencer; see for instance [SPE].)
    There is also a problem with uniqueness for solutions of (7.2.1). For if u is
one solution to this equation and h is any holomorphic function, then u + h is
also a solution. In order to obtain a workable theory for this partial differential
equation, we shall need a canonical method for choosing a "good" solution. For
this we shall exploit the metric structure introduced in the last section. First let
us see that the      a
                     operator is elliptic in a natural sense. When we are dealing
with an operator onforms, a certain amount of formalism is ultimately necessary.
However, the         a
                    operator acting on functions may be thought of as an n-tuple
                                        az                  az
comprised of the operators 8/ l , ••. ,8/ n . Each of these is plainly elliptic
on a suitable copy of C, and they span all directions. Hence so is the operator
a  itself elliptic.
    Now we tum to the question of ellipticity on forms. Let 0 ~       be a domain.        cn
Think of E == EP,q as the vector bundle of (p, q) covectors over O. Then a
differential form w of type (p, q) is a section of this vector bundle: we write
W E r(E). Letting F == EP,q+l, we then have


                                        a:r(E) ~ r(F).
Fix     Z   E O. The symbol of     aassigns to each covector T) at                    Z   a linear mapping
The Formalism of the [) Problem                                                        191


This is done as follows: It is elementary to construct a scalar-valued function
p such that p( z) == 0 and dp( z) == 7] Uust use Tayor series-or even the funda-
mental theorem of calculus). If J.L E E z, we let jj be a local section of E such
that jj( z) == J.L Uust work in a neighborhood of z over which E is trivial). We
define

                                a([), 7])J.L      == [)(p. jj) Iz·
The reader should check that for a classical first-order partial differential op-
erator acting on functions, this definition is consistent with the one discussed
in Chapters 3 and 4. Of course, in the case of functions, the vector bundles E
and F are just 0 x C.
   With this definition of symbol, we now explicitly calculate the symbol of 8.
With 7], p, J.L as in the definition we have



Here ITo, 1 is the projection of a I-form into 10,1. We see that

                            a ([), 7] ) (   . )   == ITo, 17] 1 (          . ).    (7.2.2)
  Now, in the present    g~neral     setting, an operator is said to be elliptic if the
complex
                                                    a(8,TJ)         F
                                    O ---+ E Z            ---+          Z



is exact, that is, if a([), 7]) is injective. In the case that p == 0, q == 1, that is,
when [) is acting on functions, it is then clear that [) is elliptic. When [) is acting
on forms of higher order, we must speak of ellipticity of a complex. Namely, a
sequence

                               r(E) ~ r(F) ~ r(G)
is called elliptic if the induced sequence
                                    a(Dt,TJ)      F       a(D2 ,TJ)         G
                              Ez       ---+           Z          ---+           Z



is exact at Fz-that is, if the kernel of the second mapping equals the image of
the first. We invite the reader to check that the [) complex



is elliptic (or see [FOK, pp. 10-11] for further details).
   Let us now discuss the formal adjoint of the 8 operator. We work on a
domain 0 ~ Cn . If we think of [) : Ip,q ---+ Ip,q+l then the formal adjoint
{) : I~,q+ 1 ---+ I~,q is defined by the relation
192                                                                   The a-Neumann Problem


for all 1jJ E I~,q. Here the inner product is the Hermitian one for forms that
we introduced in the last section. It is easy to see that the operator r() is well
defined.
   Let us calculate r() when p == q == O. Thus we are looking at [) acting on
functions and sending them to (0,1 )-forms. If 1jJ is a function then of course




Then, for ¢ a (0, 1)-form, we have

                     ({)¢, 1/J) == (¢, [)1jJ )


                                = (~¢jdZj, ~ 8~j ~dZj)




Now we can perform integration by parts in each of these integrals; because
the function 1/J is compactly supported, the boundary terms in the integration by
parts vanish. The last line therefore equals




Comparing the far left and far right sides of our calculations, and using the fact
that C~ functions are dense in L 2 ( 0), we find that




Exercise: Check that for [) operating on general (p, q)-forms, the adjoint iJ is

                  '19¢   = 2(-I)P+!      L
                                       I,H,J,k
                                                 ttH   8/
                                                        Zk
                                                            IJ
                                                                 dz I Idz H ,


where  ttH         is the sign of the permutation changing (k, hI, ... ,hq ) into J =
(j I , ... ,j q + I ) .
The Formalism of the [) Problem                                                                 193


   One checks that [jr() + r()[) is elliptic as an operator just because the [j complex
is elliptic.
   In setting up the [j-Neumann problem, a principal task for us is to compare
the formal adjoint r() of [j with the the Hilbert space adjoint [j*. Recall that if
HI, H 2 are Hilbert spaces and L : HI ----+ H 2 is a (not necessarily bounded)
linear operator defined on a dense subset of HI, then the Hilbert space adjoint
L * is defined on the set

  dom L *   == {¢ E H2 : 3c > 0   with I (¢, L1/J)1t2   I :::; ell 1/J II1t   1   V 1/J E dom L} .

Then the map




is linear and satisfies I(¢, L1/JI1t2I :::; ell1/JII1t1. By the Hahn-Banach theorem,
the functional extends to a bounded linear functional on all of H I with the same
bound. Therefore the Riesz representation theorem guarantees that there is an
element G.¢ E HI such that




for all 1/J E dom L. We set L * ¢ == G.¢.
   If our Hilbert spaces are L 2 spaces, then the operator [) is densely defined on
I~,q. We wish to determine the domain of [j*, and to relate [j* to r(). As a first
step we prove the following lemma:

LEMMA 7.2.3
Let ¢,1/J E Cgo(IR~+I) (that is, the supports of these functions may intersect
the boundary). Let the partial differential operator L be given by




where r is the downward (negative) normal coordinate to IR N == aIR~+I and
aj, b are functions. Then




where L' is the formal adjoint for L that is determined, as usual, by inner
product with functions that are compactly supported in IR~ + I .
194                                                                                                  The a-Neumann Problem


PROOF        Now


            (L¢, 1/;)   =
                             1 (2: lR + + 1
                                      N
                                                      N
                                                      ,
                                                      )=1
                                                                 fJ¢
                                                              aj ~
                                                                 ut)·
                                                                           fJ¢)
                                                                        + b~    Ur
                                                                                        -
                                                                                        1/; dt dr



                        ==   ~
                             ~1N


                               .
                             )=1
                                         ~N+l
                                              +
                                                            fJ¢-
                                                          aj~1/;dtdr
                                                              utj
                                                                                  +    1  jRN+l
                                                                                           +
                                                                                                   fJ¢-
                                                                                                  b~1/Jdtdr
                                                                                                      ur


                        =-          f., J~N+l ¢J ",0
                                     j=1
                                         r
                                                  mo.+)
                                                                ut·
                                                                        (aj:¢) dt dr +            r
                                                                                                 J~N
                                                                                                  mo."
                                                                                                         ¢Jb1fIO
                                                                                                               r=-oo
                                                                                                                             dt


                             - JjRN+l ¢J ur (b1f) dt dr.
                                r ~
                                         +

Notice that in the first group of integrals we have used the fact that the tj
directions are tangential, together with the compact support of 1/J, to see that no
boundary terms result from the integrations by parts. Now the last line is


   r N
  JlR+ +1
            ¢J [-   f., ",0
                        ,ut)'
                                        (aj¢) -                ~ (b¢)]
                                                               ur
                                                                                  dt dr +        r
                                                                                               JjRN
                                                                                                         [¢Jb1f]
                                                                                                                   r
                                                                                                                       =0   dt
                    )=1



                                                                 -= (¢J, L' ¢) +          r
                                                                                         JlR N
                                                                                                  [¢Jb1flr=o dt.

That completes the proof.                                 I

  A simple computation shows that
                               N                                            N

                  a(L,       2: 7]j dtj + 7]r dr ) == 2: 7]jaj (t, r) + 7]r b(t, r).
                             j=1                                            j=1


In particular, a (L, dr) == b and the integral from our lemma satisfies

                         r
                        JlRN
                                    [¢Jb1f]
                                                  r
                                                      =0      dt =      r
                                                                      JalRN+1
                                                                                     (cy( L, dr )¢J, ¢) dt.
                                                                            +

   The arguments that we have presented are easily adapted from the half-space
to a smoothly bounded domain (just use local boundary coordinate patches).
The result is that

                             (Lf,g)               = (J,L'g) +                r
                                                                            Jan
                                                                                     (cy(L,dr)f,g).

The arguments also are easily applied to partial differential operators on a vector
The Formalism of the [) Problem                                                                      195


bundle (we leave details to the interested reader). Thus, in particular,

                                                              f
                       (&¢J, 1/J) = (¢J, 'I91/J) +
                                                             Jan (u( &, dr )¢J, 1/J)            (7.2.3.1)

and

                       ('19 ¢J, 1/J)   = (¢J, &1/J) + f (u ( '19 , dr)¢J, 1/J) .                (7.2.3.2)
                                                             Jan
  Set


Then we have

PROPOSITION 7.2.4
The linear space vp,q is equal to the space of those ¢ E Ip,q (0) such that
a( rJ, dr)¢ == 0 on 00. Moreover, [)* == rJ on vp,q.

PROOF Let ¢ E vp,q and 1/; E I~,q-l (0). According to formula (7.2.3.2)
above we have

                    ([)* ¢, 1/;) == (¢, [)1/; )

                                           = ('I9¢J,1/J) -    f     (u('I9,dr)¢J,1/J)
                                                             Jan
                                           == (rJ¢, 1/;) .                                      (7.2.4.1)

In the last equality we have used the fact that 1/; vanishes on                         an to   make the
integral vanish.
   But I~,q-l is dense in H6,q-l. Therefore

                                            ([)*¢,1/;) == (rJ¢,1/;)
for all 1/; E H6,q-l; that is,
                                                   [)* ¢   == rJ¢
for all ¢ E vp,q. But then (7.2.3.1) implies that

                                           f     (u('I9, dr)¢J, 1/J) = 0
                                           Jan
for ¢ E v p,q,1/; E IP,q-l. Therefore a(rJ,dr)¢                        == 0 on 00. We have proved
that
                Vp,q    <;;:;   {¢J    E   IP.q (0) : u('I9, dr)¢J = 0 on aD.} .
  Conversely, let ¢ E /P,q(O) satisfy a(rJ, dr)¢                      == 0 on 00. From the equation

                       (¢J, &1/J) = ('19 ¢J, 1/J) -           f (u ( '19, dr)¢J, 1/J)
                                                             Jan
196                                                                         The a-Neumann Problem


for'¢ E I~,q-l (0), we learn that

                                    (¢, 8'¢)    == ({)¢, '¢)

and therefore

                             I (¢, 81/J) I ~ II 19¢ I L2111/J I L2.
Therefore ¢ E dom [)* and we see that            a* ¢ == 19¢.           That proves the proposition.
                                                                                                   I



7.3   Formulation of the a-Neumann Problem
Let L be a uniformly elliptic partial differential operator of order m such as we
studied in Chapters 4 and 5. Classically, the heart of the study of an elliptic
boundary value problem for L is a coercive estimate of the form

                         L       IID ullo ~ c (II Lu llo + lI ullo) .
                                    Q



                         IQI~m

However, the condition that we discovered in the last proposition of Section 7.2,
namely that a(19, dr)¢ == 0 on 00, is not a coercive boundary condition-it does
not satisfy the Lopatinski criterion. We shall need to develop a substitute for
the classical approach, and that will require building up some machinery. We
begin with some elementary functional analysis:

LEMMA 7.3.1         FRIEDRICHS
Let H be a Hilbert space equipped with the inner product ( . , . ) and corre-
sponding norm II II. Let Q( . , . ) be a densely defined hermitian form on H.
Let V be the domain of Q and assume that



for all ¢ E V. Assume also that V itself is a Hilbert space when it is equipped
with the inner product Q.
   Then there exists a canonical self-adjoint map F on H associated with Q
such that
 1.   dom F     ~   V;
 2.   Q( ¢, 1/J) == (F¢, 1/J) for all ¢ E dom F,1/J E              v.
PROOF After rescaling, we may assume that c == 1. Let                          Q   E H and consider
the linear functional on V given by

                                  /-LQ : V :1 'ljJ   t-t   (1/J, Q) .
Formulation of the a.Neumann Problem                                            197


We have

                             l/La(1jJ) I ~   Ilall·II1jJ11
                                        ~    Iiali. Q(1jJ,1jJ)1/2.
Therefore the Riesz representation theorem implies the existence of an element
<Po E V such that

                                  (1jJ, a) == /La (1jJ)
                                             == Q(1jJ, cPa),
that is,

                                  (a,1jJ) == Q(<Pa, 1/J).
Define

                                 T :H    :1 a ~      cPa      E   V.

Then

                                 IITal1 2 ~ Q(Ta, Ta)
                                             == (a, Ta)
                                             ~   lI all·IITall·
It follows that IITall ~ Iiall and T is bounded as an operator from H to H.
   The operator T is injective since T a == 0 implies that (a,1/;) == Q(Ta,1/;) == 0
for every 1/; E V and V is dense in H. Furthermore, T is self-adjoint because

                                 (Ta, j3) == (j3, Ta)
                                             == Q(Tj3, Ta)
                                             == Q(Ta, Tj3)
                                             == (a, Tj3).

  Next, set U   == range T   ~   V and define

                                  F   == T- 1 : U     ----+   H.

By the equality Q(Ta, 1/;) == (a,1/;) we obtain

                                  Q(j3, 1/J) == (F j3, 1/J)

for 1jJ E V, /3 E U. That completes the proof.                    I
198                                                                           The a-Neumann Problem


Exercise: Show that U is dense both in V and in H. (Hint: Use the fact that
T is self-adjoint.)

  We intend to apply the Friedrichs lemma to the 8-Neumann problem. To this
end, we introduce the following notation:

   1. Let H == HC,q == {(p, q)-forms with £2 coefficients on                        o}.
  2. Let Q( ¢, 1/;) == (8¢, 81/;) + (r13¢, 'l31/;) + (¢, 1/;).
   3. Let V   == vp,q == the closure of vp,q in the Q-topology.
   Now we have to do some formal checking: There is a natural continuous
inclusion of vp,q in HC,q. We will see that this induces an inclusion of vp,q
in HC,q.
   Let {¢n} be a Q-Cauchy sequence in vp,q. By definition of Q, we see
that {¢n}, {'l3¢n}, and {8¢n} are Cauchy sequences in HC,q (i.e., in the £2
topology). Let ¢ be the £2 limit of {¢n}. When interpreted in the weak or
distribution sense, 8 and 'l3 are closed operators. Hence we have



and



If ¢   == 0 in £2 then

   Q(¢,¢) == limQ(¢n,¢n) == lim [(¢n,¢n)
                   n                          n---+oo
                                                                      + (8¢n,8¢n) + ('l3¢n,'l3¢n)]
             == (¢, ¢) + (8¢,8¢) + ('l3¢, 'l3¢) == O.
Therefore ¢n ----+ 0 in the Q-topology. It follows that the inclusion vp,q ~ HC,q
extends to the inclusion vp,q ~ HC,q.
  Now we may apply the Friedrichs theorem to obtain a (canonical) self-adjoint
map

                                     F : dom F (        ~     vp,q)   -t   H6,q
                                                      dense

such that

                                            Q( ¢, 1/J) == (F¢,1/;)
for all ¢ E dom F, '¢ E V. Now we need to identify F and determine its
domain.
   Set
                                 p,q          -
            v~,q       ==   I         n dom {)* ==     {p E vp,q : supp p is compact}.
                                 c
Formulation of the a-Neumann Problem                                                                     199


If ¢, 'l/J E   v~,q   then

                          Q(¢, 'l/J) == (8¢, 81/;) + (13¢, 131/J) + (¢,1/J)
                                          == (138¢, 1/;) + (813¢, 1/;) + (¢, 1/J)

                                          == (( ( 13 8 + 813) +       I) ¢, 1/;)
                                          == ((O+I)¢,1/;).
Notice that passing {) and 8 from side to side in the inner products is justified
here because ¢, 1/; are compactly supported in O. The reader may also check
that, because we are working in                  en
                                    with the standard Hermitian inner product,
it turns out that 0 == -6. We use the notation 0 by convention.

PROPOSITION 7.3.2
Let ¢ E vp,q. Then ¢ E dom F if and only if 8¢ E V p,q+l. In this case it holds
that

                                               F¢ == (0       + I)¢.
PROOF          Let ¢ E vp,q lie in dom F. We know that, for 1/; E I~,q,

                                         (F¢, 1/;) == ((0 + I)¢, 1/;) .                            (7.3.2.1)

Since I~,q is dense in Hg,q, it follows that (7.3.2.1) holds for 1/; E vp,q. By
(7.2.3.1), (7.2.3.2), and 7.2.4 we have that

                        ('I9¢y,'I91/J)   = (8'19¢Y,1/J) -  r (cy(8,dr)'I9¢Y,1/J)
                                                               Jan
                                         = (8'19¢Y,1/J) - r ('I9¢y,cy('I9,dr)1/J)
                                                          Jan
                                         ==   (8{)¢, 1/;)                                           (7.3.2.2)

since 'l/J E vp,q (hence 0"({), dr)1/; == 0 on aO). Also,

                       (8¢Y, 81/J)       = ('I98¢Y, 1/J) -      r (cy( '19, dr )8¢y, 1/J).
                                                               Jan
We cannot argue as before since we have no control over the support of ¢.
Instead we proceed as follows:

         Q( ¢, 1/;) == (8¢, 81/;) + (13¢, 131/;) + (¢, 1/;)

                      = ('I98¢y, 1/J) -        r
                                              Jan (cy( '19, dr )8¢y, 1/J) + (8'19¢y, 1/J) + (¢y, 1/J)
                      = ((0 + I)¢y, 1/J) -            r
                                                      Jan
                                                             (CY( '19, dr )8¢y, 1/J).
200                                                                     The a-Neumann Problem


Here we have used (7.3.2.2). Since ¢ E domF, we know that

                       Q( ¢, 1/;) == (F¢,1/J) == ((0            + I)¢, 1/J).
Therefore

                                   f    (cy({), dr )8¢J, 1/J)    =0                  (7.3.2.3)
                                  Jan
for all 1/J E /~,q; by density, (7.3.2.3) persists for 1/; E vp,q. We wish to
conclude that a(rJ, dr)fJ¢ == 0 on 00. If we choose 1/; to be a('l9, dr)fJ¢ then

                        a(rJ,dr)1/; == a(rJ,dr) (a(rJ,dr)8¢)
                                        == a( rJ 2 , dr )8¢
                                        == o.
Hence'¢   == a('l9, dr)fJ¢   E vP,q and putting this choice of'¢ into (7.3.2.3) yields


                             f   (cy({),dr)8¢J,cy({),dr)8¢J)          = o.
                         Jan
Therefore

                                 a(rJ, dr )fJ¢ == 0 on           00.
We conclude that 8¢ E V p,q+l. That F¢   == (0 + I)¢ is then automatic from
what has gone before.
  Conversely, if ¢ E vp,q and fJ¢ E vp,q+ 1 we let 1/; E vp,q. Then

                                 Q(¢, 1/;) == ((0     + I)¢, 1/J)
Uust calculate), hence ¢ E dom F and F¢                ==   (0   + I)¢.        I

  We have made the following important discovery:


The fJ-Neumann Boundary Conditions
Let ¢ E /P,q (0). Then ¢ E dom F if and only if

  1. ¢ E vp,q (that is, a(rJ, dr)¢      == 0 on 00);
  2. fJ¢ E   vp,q+ 1   (that is, a(rJ, dr )8¢ == 0 on 00).

   In studying the fJ-Neumann problem, we will follow the paradigm already
laid out in the study of elliptic boundary value problems in Chapter 5. Namely,
we will prove an a priori estimate that will in tum lead to a sharp existence and
regularity result.
   We remark in passing that the fJ-Neumann problem as formulated and solved
here is in the Hilbert space £2 == H o. It would be of some interest to solve the
The Main Estimate                                                                201


problem in other Hilbert spaces, such as the Sobolev space HS. The groundwork
for studying those Hilbert spaces has been laid in [BO 1]. However, as of this
writing, it is not clear what the Neumann boundary conditions should be in that
context.




7.4 The Main Estimate
If Q E Hg,q, then the construction of the operator F guarantees the existence of
a unique ¢ E vp,q such that F ¢ == Q. We are interested in the regularity up to
the boundary of this solution ¢. If we had a classical Garding type, or coercive,
inequality

                                  Q(¢, ¢) 2: cll¢IIT,

then it would be straightforward to prove the desired estimates. We do not have
such an inequality, but will find a substitute that will do the job.

LEMMA 7.4.1
Let 0 ~   enbe a smoothly bounded domain with defining function r: 0 = {z E
en : r(z) < O} and IVrl == 1 on 00. Then

 1.    If ¢ E 10,1, then ¢ E   VO,I   if and only if Lj(ar/aZj)¢j == 0 on 80.
 2.




       on 00.
 3.    If f,9 E Coo(O) then we have




       where 'Y is the volume element.
 4.


                (---: L ian fg-j
                   1)
                  2z
                       n
                           .
                           J
                              or
                             8z
                                           da ==   L.
                                                   J
                                                        1(8
                                                        0.
                                                              f
                                                             -g + f~
                                                             8z j
                                                                    0- )
                                                                    8zj
                                                                           'Y.


 5.    The analog of (4) with 0/ aZj replaced by 0/ aZj.
202                                                                                                          The a-Neumann Problem


PROOF     (1) This is just definition checking: Let p E 00, and let r be a defining
function with Idrl == 1 on 00,. Of course r(p) == O. Let ¢ == 2:7=1 ¢idzi. Then
¢ E V O,l if and only if

                                            o == O"('19,dr)¢!p
                                              == 19(r¢)l p
                                              == ('19r )p(¢p)

                                              =-               L
                                                                n

                                                               j=l
                                                                      8:
                                                                      a
                                                                              J
                                                                                   (p)¢>j(p)o


   If we apply Idr to both sides of the equation in the statement of (2), then
the result is or/aZ j . 1 == or/aZ j ·1. Resuft (2) follows.
   To prove (3), we calculate that


  d   [jg (-   ;J    n   dZ I   /   dZ I    /   0   0   0   ~      /   0   ••   /     dZ n      /   dZn ]


         = [8~j (fg)            (-    ;i)     n       dZ      j / dZ     I /     dZ I       / • •• /    ~ /        0   ••   /   dZn   /   dZ n ]


              ( 1)
         == ---;-
                    2~
                         n (    of
                                - g + f~ ) 1·
                                aZ j
                                       0-
                                                          aZ j

  To prove (4), we apply Stokes's theorem to (3). Thus



   L lEi fg (1 )n dZ
   n { - 2i                             I /          dZ I     / • .. /
                                                                                   . . -. .
                                                                                   dZ j       / ... /     dZ n   /       dZn
   j=l   an




         ==   L 1(of ,g+f ag 'Yo
               n
                n
              j=l
                  -a      0-)   ZJ                        ZJ



Now we use (2) and the fact that *dr                                  == dO" to see that the left side is equal to


                                     (---;- L 1 f9- dO".
                                         1)
                                             2~
                                                  or
                                                 8z
                                                          n     n
                                                               j=1        an                    j
                                                                                                                                                          I
The Main Estimate                                                              203


PROPOSITION 7.4.2
Let f2   ~   en be a smoothly bounded domain in en with defining function T.   Let
¢   E VO,I. Then




(Here    II . II   denotes the £2- norm.)


PROOF        If ¢ E /0,1 (0) then




Now




Therefore




                                                                       (7.4.2.1)
204                                                               The a-Neumann Problem


Now




                       =   t Jr
                            .k
                           ), =1
                                        O¢Jj
                                   n 8z)0 8z k
                                               O~k   I -   t
                                                           0

                                                           ),k=1
                                                                 r   ocbj ¢Jk
                                                                 Jan 8z)0
                                                                                O~
                                                                                8Z k
                                                                                       da



                                                                                       (1.4.2.2)


where we have used part (4) of the last lemma twice. By part (1) of that lemma,




on 80,. Hence the second term on the right-hand side of (7.4.2.2) vanishes.
  Notice now that the condition

                                   "~¢J. =0
                                   ~8z· )
                                    j          )


on 80, (since ¢ E VO,I) implies that any tangential derivative of this expression
vanishes on 80,. Further observe that




is a tangential derivative. Therefore, on 80"




This means that on 80, we have

                                                                                       (7.4.2.3)


Now equations (7.4.2.2) and (7.4.2.3) yield that


 j,k OZk OZj
                      L OZj OZk j,k r OZjOZk
 L / o¢Jj ' O¢Jk) = _j,k / o¢Jj , O¢Jk) - L Jan ~cb ·¢Jk da.              J
                                                                                       (7.4.2.4)
The Main Estimate                                                           205


Substituting (7.4.2.4) into (7.4.2.1) yields that




As a result,




That completes the proof.      I

DEFINITION 7.4.3 Let f2 == {z E         en :
                                          r(z) < O} be a smoothly bounded
domain. If p E of2 then let a be a complex tangent vector to of2 at p, i.e.,

                                   n   or
                               L oz- (p)aj = O.
                               j=1      J

 The Levi form at p is defined to be the quadratic form




We say that f2 is pseudoconvex at p if L p is positive semidefinite on the space
of complex tangent vectors. We say that f2 is strongly pseudoconvex at p if
L p is positive definite on the space of complex tangent vectors. We say that
f2 is pseudoconvex (resp. strongly pseudoconvex) if every boundary point is
pseudoconvex (resp. strongly pseudoconvex)·.

For emphasis, a pseudoconvex domain is sometimes called weakly pseudocon-
vex.
   The geometric meaning of strong pseudoconvexity does not lie near the sur-
face. It is a biholomorphically invariant version of strong convexity (which
concept is not biholomorphically invariant). A detailed discussion of pseudo-
convexity and strong pseudoconvexity appears in [KR 1]. In particular, it is
proved in that reference that if p is a point of strong pseudoconvexity, then
there is a biholomorphic change of coordinates in a neighborhood of p so that
p becomes strongly convex.
206                                                        The a-Neumann Problem


DEFINITION 7.4.4       We define a norm E( . ) on    1°1 (0)
                                                        ' -     by setting




PROPOSITION 7.4.5
Let 0 be a smoothly bounded domain. Then there exists a constant c           > 0 such
that for all ¢ E V O,1 ,

                                                                             (7.4.5.1)

Moreover, if 0 is strongly pseudoconvex then there is a constant c'          >   0 such
that for ¢ E VO. 1 we have

                                                                             (7.4.5.2)


PROOF    Given our identity




part (1) is obvious. Part (2) follows also from this identity and the definitions
of E (¢ ), the Levi form, and strong pseudoconvexity.     I

REMARK Inequality (7.4.5.2) is our substitute for the coercive estimate (com-
pare them at this time). Notice that it was necessary for us to give up some
regularity. Indeed, E (¢) contains no information about derivatives of the type
()¢j/{)Zk.
  Notice, moreover, that (7.4.5.2) has the form of the hypothesis of the Friedrichs
lemma. However, it is not the same since E(¢) is not comparable with II¢II.
                                                                                      I

DEFINITION 7.4.6 THE BASIC ESTIMATE Let 0 be a smoothly bounded do-
main in  en  and let E(¢) be defined as above. We say that the basic estimate
holds for elements of vp,q (0) provided that there is a constant c > 0 such that

                                Q(¢,¢)   2: cE(¢)2

for all ¢ E vp,q(O).

  Putting our definitions together, we see that the basic estimate holds for ele-
ments of vP,q (0) when 0 is strongly pseudoconvex.
The Main Estimate                                                                           207


Exercise: Show that for 1/J E /~,q (U), U ceO, we have Q(1/J, 1/J) 2: c 1I1/J II              I
(hint: integrate by parts). Then on /~,q (U) we have a classical coercive esti-
mate. The lack of full regularity in some directions for the a-Neumann problem
is due to the complex geometry of the boundary.

Exercise: Show that on any smoothly bounded domain 0 the expression E( . )
satisfies

                                   E(¢) ~ C·     1I¢lIi
for all ¢ E   1 p,q (0), but that in general there is no constant C' > 0 such that
                                   E(¢) 2:    C'II¢lli
for all ¢ E /P,q (0).

   Now we are ready to formulate the main theorem of this chapter. Recall that,
by construction, the equation F¢ == Q admits a unique solution ¢ E dom (F)
for every Q E Hg,q (0).

THEOREM 7.4.7         THE MAIN ESTIMATE
Let n ~     enbe a smoothly bounded domain. Assume that the basic estimate
holds for elements of vp,q (0). For Q E Hg,q, we let ¢ denote the unique
solution to the equation F¢ == Q. Then we have:

 1.   If W is a relatively open subset of         0   and   if   Qlw   E /P,q(W), then
      ¢w E /P,q(W).
 2.   Let P, PI be smooth functions with supp P ~ supp PI          ~   Wand PI          == 1 on
      supp p. Then:
      (a)     If W n ao == 0 then Vs 2: 0 there is a constant          Cs   > 0 (depending
              on P, PI but independent of Q) such that



      (b)     If W   n ao 1= 0 then Vs 2:   0 there exists a constant       Cs   2:: 0 such that



REMARK Observe that (1) states that F is hypoelliptic. Statement (2a) asserts
that, in the interior of 0, the operator F enjoys the regularity of a strongly
elliptic operator. That is, F is of order 2 and the solution of F ¢ == Q exhibits
a gain of two derivatives.
   On the other hand, (2b) states that at the boundary F enjoys only subelliptic
regularity-the solution enjoys a gain of only one derivative. Examples ([FOK],
[GRE], [KR4]) show that this estimate is sharp.      I
208                                                                The a.Neumann Problem


   The proof of the Main Estimate is quite elaborate and will take up most of
the remainder of the chapter. We will begin by building up some technical
machinery. Then we show how to derive (2a) from the results of Chapter 4.
Next, and what is of most interest, we study the boundary estimate. Of course (1)
follows from (2a), (2b). All the hard work goes into proving statement 2(b). The
tradeoff between existence and regularity is rather delicate in this context. To
address this issue we shall use the technique, developed by Kohn and Nirenberg,
of elliptic regularization (see [KON2]).
   Before we end the section, we wish to stress that part (2a) is the least in-
teresting of all the parts of the Main Estimate. For notice that if ¢, 1j; E I~,q
then

                             (F¢,1j;)       == ((0 + I)¢, 1j;) .
Now 0    +I   is elliptic, so the regularity statement follows from Theorem 4.2.4.




7.5 Special Boundary Charts, Finite Differences, and Other Technical
    Matters
The proof of the Main Estimate has at its heart a number of sophisticated
applications of the method of integration by parts. As a preliminary exercise we
record here some elementary but useful facts that will be used along the way.

LEMMA 7.5.1
For every t   > 0 there is a K > 0 such that for any a, b E IR we have
                                      ab:::; ta 2 + Kb 2 •

PROOF     Recall that 2aj3 :::; a 2   + j32   for all a, j3 E lit Hence

                             2ab = 2 ( ~a) (~b)
                                  < 2ta2 + ~b2.
                                  -               2t
Thus K   == 1/4t does the job.          I

LEMMA 7.5.2
If D 1 , D 2 are partial differential operators of degrees k 1 , k 2 , respectively, then



has degree not exceeding k 1 + k2 - 1.
Special Boundary Charts, Finite Differences, and Other Technical Maners          209


PROOF     Exercise: write it out.       I


DEFINITION 7.5.3        If A and B are numerical quantities, then we shall use
Landau's notation

                                       A    = O(B)
to indicate that




for some constant C. We will sometimes write A ;:S B, which has the same
meaning.
   We write A ~ B to mean both A ;:S Band B ;:S A.




Special Boundary Charts
For the moment let us identify en with IR2n. We consider a domain 0 = {x E
                                                      n
IR2n : r(x) < O} with IVrl = 1 on 00. Let U ~ be a relatively open set that
has nontrivial intersection with 00. Coordinates (i I , ... , i2n-I, r) constitute a
special boundary chart if r is the defining function for 0 and (iI, ... , i2n-I) form
coordinates for 00 n U. (This construct is quite standard in differential geometry
and is called "giving U a product structure.") We associate to a special boundary
chart an orthonormal basis WI, •.. , w n for 1 1,0 such that W n == y'2ar. It is
frequently convenient to take the function r to be (signed) Euclidean distance
to the boundary. Obviously or/aZ n 1= 0 on U.
   If U is a special boundary chart then we set

                  _ or Or
               L j------,
                             a                a      j==l, ... ,n-l,
                        aZj aZ n     aZn aZj
                         a
               L n ==   -a .
                         Zn


Then L 1 , ••• ,L n generate T~'o(O) for P E 0 and LI,     ,L n - I are tangential;
this last statement means that L j r == 0 on U, j == 1, , n - 1.

Exercise: Assume that      IVrl ==   1. Set

                                       n  ar a
                                   1/=~8z.8ZJ..
                                      j=1   J
210                                                                           The a-Neumann Problem


Then v is normal to U nao. Complete v to an orthonormal basis £1, ... , £n-l , v
for T~o(O),P E U. The canonical dual basis Wl, ... ,W n E /1'°(0) satisfies
Wn    ==   V2ar.                  __
     Check that     £1, ... £n-l, £1, ... , £n-l, 1m v form a basis for Tq(aO), q E 00.
  On a special boundary chart the a-Neumann boundary conditions can be easily
expressed in terms of coordinates:

LEMMA 7.5.4
If U is a special boundary chart and

                                    ¢ ==   L¢        I Jw
                                                            I
                                                                1   wJ
                                           I,J


on U then         <P E vP,q if and only if ¢     E   /P,q (0)        and   <PI J = 0 on 00   whenever
n E J.

PROOF        Exercise. This is just definition chasing (or see [FOK, p. 33]).                      I


Finite Differences
In learning about the calculus of finite differences we shall use IRN as our setting.
If U is a function on IRN , j E {I, ... , N}, and h E 1R, then we define


              .                      1 [
            .6~U(Xl, ... ,XN) = 2ih U(Xl, ... ,Xj-l,Xj+h,xj+l, ... ,XN)


                                   - u(xJ, ... ,Xj-J,Xj - h,Xj+I, ... ,XN)].


     Also if (3 == ((31, ... , (3 N) is a multiindex and

                                     H = (h jk )       J=I"."N
                                                       k=l"",{3j



is an array of real numbers then we define




Here the symbol         TI is to be interpreted as a composition of the .6 operators.
Special Boundary Charts, Finite Differences, and Other Technical Matters            211


Example: Let N == 1, (3 == (2), and H == (h, h) with h > O. If u is a function
then

                            ~~U(X) ==  6h (6h u (X))
                                    == 6h (u(x + h) -     u(x - h))

                                    == u(x + 2h) + u(x - 2h) - 2u(x).

This is a standard second difference operator such as one encounters in [ZYG]
(see also Chapters 4 and 5). 0

   A comprehensive consideration of finite difference operators may be found
in [KR2]. We shall limit ourselves here to a few special facts.

LEMMA 7.5.5
If u E L 2 (IR N       )   then

                                  (6{ U   r (~) = - Sin~~j) u(~).
Here --denotes the standard Fourier transform.

PROOF              We calculate that

                     (6~Ur (~) = 2:h        JeiX~[u(Xl,    .•. ,Xj   +h, ... ,XN)
                                        - U(Xl, ... ,Xj -h, ... ,XN)]dx

                                   = 2:h [e -ih~j   -   eih~j] u(~)
                                   = _ Sin~~j)u(~).                                   I
Notice that




as h   ---+   o.
LEMMA 7.5.6
Let u E HS'C~N),/3 a multiindex, 1/31             == s. Ifr:S s' - s then for any H we
have



(Here the norms are Sobolev space norms.)
212                                                                  The a-Neumann Problem


PROOF     We calculate that

            116~ ull; = 1(1 + 1~12r [(6~uf (~)12 d~

                       =    1 + 1~12r f1 fi
                                 (1                       I     ::kk~j 12IU(~)12~
                                                              sin

                                                  N

                       :s 1(1 + 1~12r II I~j 1 lu(~)12 d~
                                             213J
                                                 j=1


                       =    1(1       +   1~12r [(D13 u f (~)12 d~
                       ==   IID/3ull;.                                                   I
LEMMA 7.5.7    SCHUR
Let (X, /-L), (Y, v) be measure spaces.                Let K : X x Y ~ C be a jointly
measurable function such that

                                 1    IK(x, y)1 dJ-L(x) ::::;   c,
uniformly in y E Y, and

                                 1      IK(x, y)1 dv(y) ::::;   c,
uniformly in x EX. Then the operator

                             f    f-7   1   K(x, y)f(y) dv(y)

maps LP(Y, v) to LP(X, /-L), 1 :s p          :s 00.
PROOF For p == 00 the assertion is obvious. For 1 :s p < 00, use Jensen's
inequality from measure theory (or the generalized Marcinkiewicz inequality,
for which see [STSI]).   I
  We now introduce an important analytic tool that is useful in studying smooth-
ness of functions. We saw a version of it earlier in Chapter 5.

DEFINITION 7.5.8      The Bessel potential of order r is defined by the Fourier
analytic expression


where ¢ E   C~.   This operation extends to Hr in a natural way.

  Observe that ¢ E Hr if and only if Ar¢ E L 2 (= HO). Notice also that
Ar : H t ----+ H t - r for any t, r E Ilt
Special Boundary Charts, Finite Differences, and Other Technical Matters                                                213


LEMMA 7.5.9
If a E C~ (lR N ) and r :::; s' - s, then for all u E H s' -1 and multiindices                                       f3 with
1f31 == s, we have


that is, [a, 6~] behaves like an operator of order s - 1.

PROOF     First we consider the case         If31 == 1. We want to show that
                                 II [a, 6{]ull r ;S Iluli r
for any r and any u E H s' ,s' ~ r. Using Bessel potentials, this inequality is
seen to be equivalent to



Now, if F denotes the Fourier transform then

                                                                                                              (7.5.9.1 )

where

          K(C ) ==
            ~, 77
                      (1 +
                         +
                          1
                                 2
                              /771 ) r/2 [sin(h 77 j ) _
                              1~12
                                         0




                                              h
                                                                            Sin(h~j)] --(
                                                                               h              a 77
                                                                                                     _ C)
                                                                                                         ~.

In fact, let us do the calculation that justifies this assertion: According to the
definition of the Bessel potential we have



Next,




                      = a* (L.{A-rvf           ("1) +   Sin~17j) (a* (A-rv))                                  ("1)


                      = -     (a * [Sin~     OJ) (1   +I        0
                                                                        2)-r/2
                                                                        1          (
                                                                                   v     0   )])     ("1)


                          + Sin~17j)    (a * (1 +       I   0
                                                                    2) - r /2
                                                                    1              v(0       ))   ("1)

                      =   Ja( "1 - f,) [ Sin~17j) -         Sin~f,j)]               (1       + 1f,1 2 )-r/2V(e,) de,o

The last line, combined with (7.5.9.2), gives (7.5.9.1).
214                                                                           The a-Neumann Problem


  Now we will verify that the kernel               K(~, TJ)     satisfies the hypotheses of Schur's
lemma. Note that



                         ( 1+ 11]12)    r /2   <C.         (1 + 1171)     r
                            1 + 1~12           -               1 + I~I

                                               :S C·       (1 + 11] _ ~1)lrl
                                               :S C(1      + 11] -   ~12)lrl/2.


Here we are using Proposition 3.2.7. Then


                 IK(~,   1])1 :S C ( 1 + 11] - ~I 2) Irl/2 I~        -         --
                                                                         1]1· la(1] - ~)I

so that   K(~,   1]) is uniformly integrable in            ~   and 1]. By Schur's lemma we have


                    IIAr[a, 6{]A-rvll o = 11.1' (Ar[a, 6{]A -r v ) 110


                                               =    IIJ K(~, 7])v(~) d~llo
                                               :S   Cllvllo.

This proves the desired inequality, and we have handled the case IfJl == 1.
  If now IfJl == s > 1, we claim that [a, 6~] is a sum of terms of the form

                                         {3'           .       {3"
                                       6H,[a,6~]6H"


with 1
     (3'1   + 1 == s -
              (3"1           1. To see this assertion in case s                == 2, we calculate that




The claim now follows easily by induction.
Special Boundary Charts, Finite Differences, and Other Technical Matters                      215


  Finally, using induction, (7.5.9.2), and the claim we have

                   II[a,6~luL ~ L 11(6~,[a,6{]6~:)                         uL
                                      ~ L II [a, 6~] 6~: ull r+I,L3'1
                                      ~ L 116~:,ull r+I,L3'1
                                      ~  c· Ilullr+I,L3"I+I,L3'1
                                      == c . Ilullr+s-I.                                        I
LEMMA 7.5.10
Let u,v E HS,O     ~   r   ~   s. Then

                                   (6~u,v) == (u,6~v).

PROOF       This is just an elementary change of variable.                  I

  Next we have

LEMMA 7.5.11       THE GENERALIZED SCHWARZ INEQUALITY
Let f, g be L 2 functions and s E lIt Then

                                   (f, g) ~    Ilflls Ilgll-s.
PROOF       Look at the Fourier transform side and use the standard Schwarz in-
equality.      I

PROPOSITION 7.5.12
Let K ~ IR N be compact and let u, v E L 2 (K). Let D be a first-order differ-
ential operator and let f3 be a multiindex with 1f31 == s. Then

 1.   If u E H S then      I 6~ ullo ~ Iluli s uniformly in H as IHI --+ O.
 2.   If u E HS then       I [D, 6~ ]ullo ;S Iluli s uniformly in H as IHI --+ O.
 3.   We have

                                      (6~u, v) == (u, 6~v).
 4.   Ifu E Hs-I,v E HI then



      uniformly as     IHI --+ O.
 5.   If u E HS and      I L~ ull s      is bounded as    IHI    --+   0, then D(3u E H S •
216                                                                  The a-Neumann Problem


PROOF    (1) By Lemma 7.5.6 we have

                                  I 6~ ullo :S IIDl3 uli o
                                            :S Iluli s
uniformly in H as IHI ---+ o.
  (2) Write D == 2:;=1 aj (x )Dj. Assume that supp aj ~ K. Notice that the fi-
nite difference operators commute with Dj. Then [D, 6~]                   ==   2:f=1 [aj, 6~]Dj.
Thus
                                                N

                          II[D, 6~JuII o : ; L II[aj, 6~]Djull
                                             j=1                      0

                                                N

                                          :S    L    IIDj uII -l S

                                                =1
                                          :S C·      Iluli s .
Note that we have used 7.5.9 in the penultimate inequality.
   (3) This is an elementary change of variable.
   (4) Write D == 2:f=l aj(x)Dj. Then [D,~~] == 2:f=l[aj,6~]Dj. There-
fore




                                           N

                                     ;S   L     Il ul s -111[aj, 6~]Djvlll_S
                                          j=1
                                           N

                                     ;S   L Ilull -lllD vllo
                                                      s
                                                                 j

                                          j=1
                                     ;S   Ilull s -lllvlll.
Here we have used the generalized Schwarz inequality.
   (5) If u E HS and 116~ ull s is bounded as IHI --t 0, then we want to show
that DI3 u E H s . It suffices to prove the result for 1;31 == 1, i.e., 6~ == 6 {.
Saying that I 6{ ull s is bounded as h ---+ 0 means that




is bounded as h   ---+   O. Thus the dominated convergence theorem gives the result.
                                                                                               I
Special Boundary Charts, Finite Differences, and Other Technical Matters           217


Tangential Sobolev Spaces
One of the important features of the analysis of the a-Neumann problem is
that it is nonisotropic. This means that in different directions the analysis is
different. In particular, a normal derivative behaves like two tangential deriva-
tives. It turns out that the reason for this is that, when the boundary is strongly
pseudoconvex, the (complex) normal derivative is a commutator of tangential
derivatives (exercise: calculate [L j , L j ] in the boundary of the ball to see this).
This assertion will be brought to the surface in the course of our calculations.
   Our nonisotropic analysis will be facilitated by the introduction of some spe-
cialized function spaces known as the tangential Sobolev spaces. Consider
lR~ + 1 with coordinates (t 1, .•. , tN, r), r < O. Define the partial Fourier trans-
form (PFT) by

                           U(T,r)      =   r
                                           J~N
                                                 e-itTu(t,r)dt.

[For convenience here we define the Fourier transform with a minus sign.] Then
the tangential Bessel potential is defined to be

                                                                (7, r) E IR~+l.

 We then define tangential Sobolev norms by




For the remainder of the section, we will write ~~ to denote a finite difference
operator acting on the first N variables only. Let K ~ lR~+l. We have
  (1) If U E H S ' , 1;31 == S, and r :S s' - S then

                                  -(3                (3
                                II~Hullr ;S       IIID uilir.
This is proved by imitating the proof of the isotropic result 7.5.6, using the
tangential Fourier transform and integrating out in the r variable.
   (2) If P E C~,u E Hs'-l, 1;31 == s, and r:S s' - S then




We prove this by first reducing to the case of a single difference (as we have
done before). Then we express the left-hand side as an integral with kernel (as
in the isotropic case) and use the Schwarz inequality.
   (3) We have

                              ( l:,~   u, v) = (u, l:,{ v).
218                                                                          The a-Neumann Problem


  From (1), (2), and (3) we can obtain that, for u E HS and 1;31 == s,

                                   11~~ullo ~ Illulll s .
Also, for D a first-order partial differential operator,                   1;31 == s,
                                                     N

                          I[D, L,~]ullo        :s L IIIDiullls-l
                                                    j=1

and



Finally,

                             I(u, v) I ~ I I u I I s -1 I I v lilt - s .
   We invite the reader to fill in the details in the proofs of these assertions about
the tangential Sobolev norms. See also [FOK].




7.6 First Steps in the Proof of the Main Estimate
The method of proof presented here is not the one in Kohn's original work
[KOHl]. In fact, the method presented here was developed in the later work
[KON2]. In the latter paper, a method of elliptic regularizaion is developed
that allows us to exploit the elliptic regularity theory developed in Chapters 4
and 5 to avoid the nasty question of existence for the a-Neumann problem. The
idea is to add to the (degenerate) quadratic form Q an expression consisting
of D times the quadratic form for the classical Laplacian. Certain estimates are
proved, uniformly in 8, and then 8 is allowed to tend to O. We begin with a
definition:

DEFINITION 7.6.1   Let n ~ (Cn be a smoothly bounded domain. (We do not
assume that the basic estimate holds in vp,q.) For 8 > 0 and Dj == i8/8xj,
we define
                                                          2n
                   . QO(¢,~) == Q(¢,~)            + DL(Dj ¢, Dj~).
                                                          j=1


  Observe that

                                                                                            (7.6.2)

The point of creating QO is that it has better properties at the boundary than
First Steps in the Proof of the Main Estimate                                  219


does Q. Indeed, in the interior we have Q( . , . ) == (( 0 + I) . , . ) and this is
perfectly suited to our purposes. But Q does not satisfy a coercive estimate at
the boundary. Since Q8 does satisfy such an estimate, it is much more useful.
   Recall that we defined VP.q to be the closure of vp,q (which we know equals
dom 8* n /P,q) in the Q-topology. We let v~,q be the closure of vP,q in the
Q6 -topology. This setup would be intractible if v~,q varied with different values
of 6. Fortunately, that is not the case:

LEMMA 7.6.3
For all 6, 6' > 0 it holds that v~,q == v~;q. All of the spaces v~,q are contained
in vp,q n Hf,q.

PROOF   A sequence {¢k} is Cauchy in the Q8-topology if and only if {¢k}
and {Dj ¢k} are Cauchy in L 2, j == 1, ... , 2n. And this statement does not
depend on 6. Thus the notion of closure is independent of 6.
  The second statement is now obvious.      I

  Notice that we are not saying that vp,q == v~,q. In fact, this equality is
not true. To see this, suppose that the two spaces were equal. Then the open
mapping principal implies that the Q-norm and the Q8 -norm are equivalent.
This would imply that Q contains information (as does Q8) about the L 2 -norm
of 8¢j /8z k when ¢ E /0,1. But this is clearly not the case. That gives a
contradiction.
  Next we wish to apply the Friedrichs theory to the Q8 's in vp,q. Note that
Q8 2: Q 2: 1 . Ia. Also, by construction, v~,q is complete in the Q8 -topology.
Thus, by the Friedrichs theory, there is a self-adjoint p8 with dom p8 ~ HC,q
and

                              F 8 : dom p8   ---+   HC,q

univalently and surjectively. Evidently p8 will correspond to 0+1+6 Lj Dj' Dj.
   We see that, given a form Q E HC,q, there exists a unique ¢8 E v~,q such
that



Moreover, ¢8 satisfies interior estimates uniformly in 8 since




and we see that the eigenvalues of the principal symbol are bounded from below,
unifonnl y in 6.
220                                                                          The a-Neumann Problem


THEOREM 7.6.4
Let U be a special boundary chart and V ~ V ~ U. Let PI be a smooth,
real-valued function with support in U and PI == 1 on V. If ¢ E dom po and
PIPo¢ E /P,q(O), then for every smooth P that is supported in V we have
p¢ ~ /P,q (0).

REMARK      Recall that po == I + D + 6 Lj Dj' n j . The theorem says that po
is hypoelliptic. From the proof (below) we will see that



However, the constant in the inequality will depend heavily on 6. It will, in fact,
be of size 6- 8 - 2 , so it blows up as 6 ----+ O. This means in particular that the
uniformity that we need will not come cheaply.          I


PROOF OF THE THEOREM        We know that ¢ E dom po implies that ¢ E Hi,q.
We will prove that if p¢ E Hf,q for all cutoff functions P supported in V then
p¢ E Hf1I. The theorem will then follow from the Sobolev lemma.
  We begin by proving the following claim:
      Claim 1: If p¢ E Hf,q for all P, then                          nf p¢   E   Hi,q whenever
      1;31   == s.

Notice that this claim is not the full statement that we are proving: it gives us
information about the derivatives of order s + 1 only when all but one of the
derivatives is in the tangential directions. We deal with tangential derivatives
first since tangential derivatives and tangential differences preserve vp,q and
tangential differences preserve vp,q.
   For the claim, it suffices to show that
                                                   - {3          2
                                                  II~HP¢III
is bounded as IHI ----+ 0 when IJJI == s.
   Now II~IIT ,:S QO (~, ~) (where the constant depends on 6); therefore it suffices
to estimate QO (~~ p¢, ~~ p¢). In order to perform this estimate, we need to
analyze:
        --{3          --{3
   1. ([)~HP¢, [)~HP¢)
             -{3           -{3
  2. ({)~HP¢, {)~HP¢),
        -{3          -{3
  3. (~HP¢, ~HP¢)
  4. (Dj ~~p¢, n j               ~~p¢).
Analysis of (1): Now
       --{3           --{3                -{3 -           --{3           -   -{3      --(3
      (86 H P¢, 86 H P¢) == (6 H 8p¢, 86 H P¢)                       + ([8, 6 H ]p¢, 86 H P¢)·
First Steps in the Proof of the Main Estimate                                          221

             -    - (3
Recall that [0, 6   H]   acts like an operator of order s because of part (2) of 7.5.12.
Therefore

            I([8, ~~lp4>, 8~~p4» I           :s II [8, l,~]p4>llo ·118l,~p4>llo
                                             :s Ilp4>lls 11l,~p4>lll .
Next,




Obviously [8, p] is an operator of order 0, i.e. it consists of multiplication by a
smooth function with support in V: call it p'. In fact, the support of p' lies in
the support of p. Then


                  I(l,~[8, p]4>, 8l,~p4» 1:s 11l,~pl 4>110 118l,~p4>llo
                                                                -(3
                                                  ;S lip'¢lls II~HP¢lll.

It follows that




Here and in what follows, we use p' to denote some smooth function with
support a subset of the support of p-in particular, the support of p' lies in V.
   Now we use part (3) of 7.5.12 and the generalized Schwarz inequality to see
that

        (8~~p¢, 8~~p¢)         ==   (p8¢,   ~~8~~p¢) + O(llp'¢lls . 11~~p¢lll)
                                      -     --(3 -(3                  -   -(3   --(3
                               ==   (pa¢, a~H~HP¢)          + (pa¢, [~H' a]~HP¢)
                                    + O(llp'¢lls '11~~p¢lll)
                                      -     --(3-(3
                               ==   (pa¢, a~H~HP¢)
                                              -           -(3    --(3
                                    + O(llpa¢lls-lll [6 H , a]6 H P¢lll-s)
                                    + O(llp'¢llsIIL~p¢lll)
                               ==   (p8¢,   8li~L~p¢) + O(lIp'¢llsIIL~p¢lll).
222                                                                              The a-Neumann Problem


       -                         - {3     - {3' - j
Write [8, p] == p' and ~H == ~H'~h. Then the last line equals

                  == ({)¢, {)p~~~~p¢) + ({)¢, p' ~~~~p¢)
                       + O(llp'¢lls ·11~~p¢1I1)
                  = (8</>, 8pii~ii~p</» + (p' 8</>, ii~,ii{ii~p</»
                       +O(llp'¢lls 11~~p¢lll)
                        -    -     - {3 - {3             - {3'       ,-   - j   - {3
                  == (8¢, 8p~H~HP¢) + (~HIP 8¢, ~h~HP¢)
                       +O(llp'¢lls 11~~p¢lll)
                  == ({)¢, {)p~~~~p¢) + O(II~~,p'{)¢lloll~{~~p¢"o)
                       +O(llp'¢lls 11~~p¢lll)
                  == ({)¢, {)p~~~~p¢) + O(llp'¢lls 11~~p¢lll).
We have thus proved that



The very same argument may be used to prove that



  As an exercise, the reader may apply similar arguments to
                 -{3
                (~HP¢, ~HP¢)
                            -{3
                                                and       0   "LJDj ii~p</>, Dj ii~p</»
                                                                 j

to obtain

                   Q6(-{3    -(3) 8 ( -{3 -(3 )
                       ~HP¢, ~HP¢ == Q ¢, P~H~HP¢

                                                        + (] (11P'</>llsliii~p</>111).                   (7.6.4.1)

   Let P1 E C~ with P1 == 1 on                     V.   Since ¢ E dom p8, we may rewrite the
right-hand side of (7.6.4.1) as

      (F </>, pii~ii~ p</» + (] (liP'</>lls II ii~p</>111)
           ti


                            = (PPI F
                                         ti
                                              </>, ii~ii~p</» + (] (liP'</>lls II Li~p</>111)

                            == (6 {3' 'PP 1F 8 ¢, 6 jh 6 {3 P¢) + 0
                                -
                                  H
                                                  -    -
                                                         H
                                                                                (I' ¢lls II16
                                                                                 liP        -   {3
                                                                                                H    P¢ II 1) .
First Steps in the Proof of the Main Estimate                                               223


Now we apply the Schwarz inequality to see that the right-hand side in modulus
does not exceed

                :s 11L,~'PPIF'5 4>llollL,~L,~p4>llo + 0 (11/ 4>llsllL,~p4>lll)
                :s IlplF'5 4>lls-111 L,~p4>111 + 0 (II/4>lls I L,~p4>lll)
                     2      °   2         E    -(3    2       2      I
                ;S ~llpIP ¢lls-I + 211~HP¢"I + ~llp ¢lls + 2'I~HP¢III.
                                                                          2   E   -(3   2


Here   €   >0   is to be specified. Thus, using (7.6.2) and (7.6.4.1), we have




If we select     E   to be positive and smaller than 1/4, then we find that



Applying part (5) of7.5.12 now yields that

                                          IIDf p¢III <      00.

We have proved the claim.
 Now we will prove:

       Claim 2: If m ~ 2 and             liJl + m == s + 1 then
                                    DfDr; (p¢)        E   HC,q·

       (Equivalently pDf Dr:¢ E HC,q·)

The case m == 1 of the claim has already been covered in Claim 1. Now let
m == 2. In local coordinates the operator po looks like
                                         2n-I                     2n-I
                     po   == A 2n D; +   L      A j Df Dr   +     L       Aj,kDf D; ,
                                         j=I                      j,k=I
where the AI, ... , A 2n , Aj,k, B j , C are matrices of smooth functions. The el-
lipticity of FO is expressed by the invertibility of the matrix of its symbols
AI, ... , A 2n . In particular, A 2n is invertible. Therefore, recalling that PI == 1
on supp p, we see that
224                                                                 The a-Neumann Problem


Applying pDf with 1;31 == s - 1 to both sides yields that




(Here we use explicitly the fact that PI == 1 on the support of p.) Thus we see -
that we can express pDf D;¢, liJl == s - 1, in terms of two types of expressions:

  1. (s - 1) tangential derivatives of the expression PI po ¢;
  2. (s   + 1) derivatives, at most one of which is in the normal direction, of ¢.
These two types of expressions are both elements of !16,q. Hence pDf D;¢ E
H6,q. This proves the case m == 2.
  Proceeding by induction on m we find that pDf D;¢ is expressed in terms
of (1) (s - 1) tangential derivatives of PI po ¢ and (2) (s + 1) derivatives of p¢
of which at most (m - 1) are in the normal direction.
  This concludes the proof. I




7.7   Estimates in the Sobolev -1/2 Norm
We begin this section by doing some calculations in the tangential Sobolev
norms. Recall that




If D is any first-order linear differential operator then

                                            2n
                         IIID¢III~   ==   I I L ajDj ¢ + ao¢lll~
                                           j=I

                                          2n
                                     ~    L     IllajDj¢lll~ + 11¢116
                                          j=I




Let A¢ == A k ¢ == PIA~(p¢) (which in tum equals A~(PIP¢) + [PI,A~](p¢).
Let A' denote the formal adjoint of A; that is, if ¢, ~ E /~,q (u n n) then
(A' ¢,?iJ) == (¢, A?iJ). Fix a special boundary chart U.
Estimates in the Sobolev -1/2 Norm                                                     225


LEMMA 7.7.1
For all real sand ¢ E /~,q(U        nO),    we have

  1.   IIIA¢llls;S 111¢llls+k'
 I'.   IIIA'¢llls;S 111¢llls+k.
  2.   III(A - A')¢llls ;S 111¢llls+k-l.
 3.    If D is any first-order linear differential operator, then

       (a)   111[A,D]¢llls;S IIID¢llls+k-l.
       (b)   I I [A - A', D]¢llls ;S IIID¢llls+k-2.
       (c)   I I [A, [A, D]]¢llls ;S IIID¢llls+2k-2.

PROOF The proof is straightforward using techniques that we have already
presented. We leave the details to the reader. I

  Observe that A preserves vp,q.

LEMMA 7.7.2
It holds that

                  Q(A¢,A¢) -ReQ(¢,A'A¢) == 0 (1117¢111~-1)'

uniformly in ¢ E vp,q     n /~,q (U nO),.     here    7 denotes the gradient of ¢.

PROOF Recall that Q(¢,~)           ==   (8¢,8~)    + ({)¢,{)~) + (¢,~).     Consider the
expression

       (8A¢,8A¢) - Re (8¢, 8A' A¢)          = ~ {2(8A¢, 8A¢) -         (8¢, 8A' A¢)

                                                - (8A' A¢, 8¢) } .

We write

        (8¢, 8A' A¢) == (8¢, A'8A¢) + (8¢, [8, A']A¢)
                       == (A8¢,8A¢) + (8¢, [8, A']A¢)
                       == (8A¢,8A¢) + ([A, 8]¢, 8A¢) + (8¢, [8, A']A¢).

Also

        (8A' A¢, 8¢) == (8A¢,8A¢) + (8A¢, [A, 8]¢) + ([8, A']A¢, 8¢).
226                                                                        The a-Neumann Problem


As a result,

   (aA</>, aA</» - Re (a</>, aA'A</»           =       -~{ (a</>, [a, A'] A</» + ([A, a]</>, aA</»
                                                       + ([a, A']A¢, a¢) + (aA¢, [A, a]¢)}
                                                         1
                                               == - 2: {I + I I + I I I + IV} .
We will estimate I I        + I I I;   the corresponding estimate for I             + IV    will then
follow easily.
   Notice that

 ([a, A' - A]A¢, a¢) + ([[a, A], A]¢, 8¢) + ([a, A]¢, (A' - A)a¢)
         + ([a, A]¢, [A, 8]¢)
      == ([a, A']A¢, a¢) - ([8, A]A¢, a¢) + ([a, A]A¢, a¢) - (A[a, A]¢, a¢)
         + ([a, A]¢, A'a¢) - ([a, A]¢, Aa¢) + ([a, A]¢, Aa¢) - ([a, A]¢, aA¢)
      == ([a, A']A¢, a¢) - ([a, A]¢, aA¢)
      == ([a, A']A¢, a¢) + ([A, a]¢, aA¢).                                                  (7.7.2.1)

Therefore

III   + 1111 == I([A, a]¢, aA¢) + ([a, A']A¢, a¢)1
               == I([a, A' - A]A¢, a¢) + ([[a, A], A]¢, a¢) + ([a, A]¢, (A' - A)a¢
                 + ([a, A]¢, [A, 8]¢)1.                                                       (7.7.2.2

  Now, using (7.7.2.2) and 7.7.1, we have the estimates

  III   + 1111 ;S I I [a, A' - A]A¢llll-k ·llla¢lllk-l + I I [[a, A], A]¢IIIt-kII1 8¢lllk-l
                      + 111[a,A]¢lllo . I I (A'    -    A)a¢lllo + 111[a,A]¢III~
                 ;S   1117 A¢III-llll7¢lllk-l + 1117 ¢111~-1·
But, by 7.7.1 again,

           1117A¢III~l ;S ~ IIIADj¢lll~l + ~ 111[Dj,A]¢III~l + IIIA¢III~l
                               j                                 j


                          ;S ~ IIIDj¢III~_l + ~ IIIDj¢III~_2               + 111¢111~-1
                               j                             j


                          ~   1117 ¢111~-1·
Estimates in the Sobolev -1/2 Norm                                                       227


Therefore

                                 III   + 1111 ;S 1117¢111~-1·
Since I   + IV == I I + I I I,   we may also conclude that

                                 II    + IVI;S 1117¢111~-1·
Together these yield

                  1(8A¢,8A¢) -Re(8¢,8A'A¢)I;S 1117¢111~-1.

  Similarly, it may be shown that

                    (19A¢,19A¢) - Re (19¢, 19A' A¢) ;S 1117¢111~-1

and

                            (A¢, A¢) - Re (¢, A'A¢) ==            o.
This concludes the proof of the lemma.               I

   It is convenient to think of the preceding lemma as a sophisticated exercise
in integration by parts. In the case k == 0 we shall now derive a slightly
strengthened result:

LEMMA 7.7.3
We have the estimate

                      Q(p¢,p¢) -ReQ(¢,p2¢) ==               O(II¢116).

PROOF We take A in the preceding lemma to be the operator corresponding to
multiplication by p (this is just the case k == 0). Assuming as we may that p is
real-valued, we know that A == A'. By (7.7.2.1) in the proof of 7.7.2 we have

          ([8, A']A¢, 8¢)   + ([A, 8]¢, 8A¢)
                         == ([8,A - A']A¢,8¢) + ([[8, A], A] ¢,8¢)
                             + ([8, A]¢, (A -        A')8¢)      + ([8, A]¢, [A, 8]¢).
Since A == p, the operator [8, A] is simply multiplication by a matrix of func-
tions. Thus [8, A] and A commute and [[8, A], A] == 0 and of course A - A' == o.
The result follows.    I
228                                                                            The a-Neumann Problem


  Recall the quadratic form


                                  L a~j
                                                           2

                       E(¢)2 ==
                                  Ok
                                  ),
                                    aZ
                                        II
                                                  k
                                                      11
                                                           0
                                                               +    r 2
                                                                   Jan 1¢1 + 11¢116.
The basic estimate is

                                       E(¢)2 ;S Q(¢,¢),
and it is a standing hypothesis that this estimate holds on the domain under
study. We know that the basic estimate holds, for instance, on any strongly
pseudoconvex domain. The next result contains the key estimate in our proof
of regularity for the a-Neumann problem up to the boundary.

THEOREM 7.7.4
For each P E   an there exists a special boundary chart V                          about P such that



for all ¢ E I~,q (V   nO).

  The result follows quickly from the following lemma:

LEMMA 7.7.5
Let U be a special boundary chart for n and let M 1 , ••• , M N be first-order,
homogeneous differential operators on U. Write
                                                      2n
                                       Mk    ==       L        ajk
                                                                     Dj .
                                                      j=1


Assume that there exists no 0 # TJ E T* (U) such that a (Mk , TJ) == 0 for all
k E {I, ... , N}. Then for all P E an n U there exists a neighborhood V ~ U
of P such that


                                                                                             (7.7.5.1)




  Assuming the lemma for the moment, let us prove the theorem.
PROOF OF THEOREM 7.7.4            The vector fields
                                        a                            a
                                       aZI ' ... , aZn
Estimates in the Sobolev -1/2 Norm                                                                   229



satisfy the conditions of the lemma so that

                 2n
                L
                j=1
                      III
                            Di ¢III=-I/2 == 11174>111=-1/2



                                          :s   t
                                               j,k=1
                                                       II   ~~k 11
                                                               J
                                                                     2


                                                                     -1/2
                                                                            + [
                                                                             Jao 14>1
                                                                                           2




                                          ~ j~1 II ~~; II: + ~o               14>1
                                                                                     2
                                                                                         + 114>115

                                          ==   E(¢)2.                                                  I
   Note that the Mk's in the lemma cannot be too few, for they have to span
all possible directions. Elementary considerations of dimensionality show that
N ~ n (the base field is the complex numbers). The {n j } are the simplest
example of a collection of vector fields that satisfies the symbol condition in the
lemma.
   Before proving Lemma 7.7.5, we need a preliminary result:

LEMMA 7.7.6
Let s > t. Then for any            E   > 0 there   is a neighborhood V of P E 0 such that




whenever   U   is supported in V           n O.

REMARK Results of this sort are commonly used in elliptic theory. They are
a form of the Rellich lemma. We shall have to do a little extra work when V
intersects the boundary.  I

PROOF OF THE LEMMA              We first prove the statement in the case when there is
no intervention of the boundary, that is, when U E C~ (V) and Vee O. Also
assume at first that s > t 2:: O. If the assertion were false then there would exist
an E > 0 and a sequence {Uk} of functions with supp Uk ~ {P}, Iluk lit == 1,
and Iluklls < liE. By Rellich's lemma there is a subsequence converging in
H t to a function U (it is a function since we have assumed that t ~ 0). But
supp U == {P}, which is impossible since Ilulit == 1.
   If s :::; 0 but P is still in the interior of 0, we let V' be a neighborhood of P
for which lIull- s :::; Ellull-t for all u E C~(V'). Let V ~ V ~ V'. Then we
230                                                                           The a-Neumann Problem


may exploit the duality between H t and H - t to see that if u E                     C~ (V)   then

                                                                 I(u, v) I
                             Ilulit ==                 sup
                                                 vEC~(V)
                                                          v~O
                                                                 Ilvll-t
                                                                  I(u, v) I
                                            ~ E            sup
                                                      vEC~(V)
                                                           vio
                                                                   Ilvll- s


   Notice that the case t < 0 ~ s follows from these first two cases.
   Now let us consider the case that P E an. It is enough to consider the
problem on the half-space in IR2n with boundary JR2n-l. Let V' ~ JR2n - 1 be a
relative neighborhood of P E JR2n-l such that



for all u supported in V' (note here that P is in the interior of JR2n - 1 so our
preceding result applies). Let V == V' xl, where I is any interval in (0, 00 ).
Then

                            Illulll~ =       [°00 Ilu(o, r)ll~ dr
                                       ::; E
                                                 2
                                                     [000 Ilu(·, r) II~ dr
                                       ==    E
                                                 2
                                                     11Iulll;·                                       I

PROOF OF LEMMA 7.7.5        The first step is to reduce to the case in which the
M k 's are operators with constant coefficients. Let Vee U be a neighborhood
of P, p E C~, 0 ~ p ~ 1. Suppose also that p == 1 on V and W == suppp ~ U.
It suffices to prove our result for functions since the Sobolev norm on forms is
defined componentwise.
   Let u E /~,o(V nO). Now we freeze the coefficients of the M k , that is, we
set
                                                     2n
                                  Nk        ==   L aj,k(P)Dj,
                                                 j=1

k   == 1, ... , N. Let bj,k(X) == aj,k(x) - aj,k(P). Then

       111(Mk - N k )ulll-I/2 == I I L (aj,k(x) - aj,k(P)) Djulll-I/2
                                        j


                             ;S   L Illbj
                                   j
                                                     ,k
                                                          Dju lll-l/2
Estimates in the Sobolev -1/2 Norm                                                                         231




                                      =    L II A;I/2 (pbj,k Dju ) 110
                                            j


                                      =    L       Ilpbj ,k A;I/2Dju + [A;I/2,pbj,k]Djullo
                                            j




                                           +    L      II[A;1/2,pbj,k]Djullo'
                                                   j

Note that if W is small enough then sUPw Ipbj,kl < E since Ibj,k(P)1 == O. Now
the commutator in the second sum is of tangential order - 3/2. Thus the last
line is

                             ;S   E   L
                                      j
                                            II, Dju lll-I/2      +L
                                                                     j
                                                                             III
                                                                                   Dju lll-3/2




where (shrinking V if necessary) we have applied Lemma 7.7.6. As a result,

                III   N k u lll-I/2 ~      III M   k u lll-I/2   + III(Mk -            Nk)ulll-I/2

                                      ;S   IIIMk u lll-I/2 + E L                   III Dju lll-I/2.   (7.7.5.2)
                                                                         j

If we can prove the constant coefficient case of our inequality then we would
have
                                                       N
                      "'"2'" N ulil-I/2 + Jan lui·
                      LrIIIDJulll-l/2 ;S ~ 2 r             III   k                               2


Coupling this with (7.7.5.2) would yield




The full result then follows.
232                                                                       The a-Neumann Problem


   So we have reduced matters to the case of the Mk's having constant coeffi-
cients. Assume for the moment that u Ian == O. Then we can extend u to be
zero outside O. The extended function will be continuous on all of space. We
may suppose that V is a special boundary chart. Notice that, on V, the Di u
are continuous and Dr U has only a jump discontinuity. Therefore all of these
first derivative functions are square integrable.
   Write ~ == (T, () with T E ~2n-l ,( E ~. We use the symbol condition on the
Mk's to see that
  N

 L     IIIMkulll~1/2
 k=l
                       ( Plancherel in)
                            IaSl=var.     t;
                                           N
                                                11(1 + IrI 2)-1/4
                                                                    [2n-l
                                                                        f; aj,k(P)rj
                                          + a2n,k(p)(] u(~) 116
                                           N

                                          L l2n (1 + IrI 2)-1/2Ia(Nk, ~)12Iu(~)12 d~
                                          k=l

                              >           l2n (1 + IrI2)-1/21~12Iu(~)12 d~
                              >           l2n   (1   + IrI 2)-1/2   (   ~ IDjUI2) (~) d~


                                          L     IIIDjulll~1/2 .
                                            j
Therefore
                              N                         2n

                            L     IIIMkulll~1/2 ~      L      IIIDjulll~1/2
                            k=l                         j=l
in the constant coefficient case provided that u vanishes on ao.
   Next suppose that u mayor may not vanish at the boundary. Let

                         w(r,r) == exp [(1           + Ir I2)1/2 r ] u(r,O).
This is a regular extension of u(T, 0) to (T, r), r ~ O. By the Fourier inversion
theorem we have
                                          w(t,O) == u(t, 0).
Estimates in the Sobolev -112 Norm                                                             233


Set v == u - w. Then v vanishes on the boundary so that the previous result
applies to v. We then have




Therefore
         2n                          2n
         L     IIIDjulll~I/2 ;S      L IIIDjvlll~I/2 + IIIDjwlll~I/2
         j=1                         j=1

                                       N                       2n
                                ;S   L IIIMkvlll~I/2 + L IIIDjwlll~I/2
                                     k=1                       j=1

                                       N                                    2n

                                ;S   L     [IIIMkUIII~I/2 + IIIMkWIII~I/2] + L IIIDjwlll~I/2
                                     k=1                                    j=1




since the M k 's are linear combinations of the Dj,s. Observe that we are finished
if we can show that



j   ==1, ... ,2n.
    First suppose that j E {I, ... , 2n - I}. Then


     IIIDjwlll~'/2 = 1.2n-l £°00 (1 + Ir I2)-1/2I rjI2exp [2(1 + Ir I2)1/2 r]
                                                   2
                            x 111,(r, 0)       1       dr dr

                       ;S   1.2n-l £°00 (1 + IrI 2)-'/2(1 + Ir1 2)exp [2(1 + Ir I2)1/2 r]
                                                   2
                            x lu(r,0)1 drdr

                       =     r lu(r,0)12(~exP[2(1+ITI2)1/2r]IO) dT
                            JJR.2n-l    2                                    -00




                       == -2
                            1
                                 r
                                JJR.2n-l
                                           lu( r, 0) 2 dr  1




                       =
                            1    r
                            2: Jan lui
                                           2
                                               da.
234                                                                          The a-Neumann Problem


  If instead j == 2n, so that Dj is the usual normal derivative, then




Since the derivative does not affect the variables in which we take the Fourier
transform, the two operations commute. Hence




Therefore


  mDrwlll~'/2 = l,n-l          1    0
                                    00      (1   + Ir I2)-1/2(1 + Ir1 2) exp [2(1 + Ir I2)1/2 r ]
                                        2
                    x lu(r,O)1 drdr

               =    l,n-l 1         0
                                     00     (1   + IrI 2)1/2 exp [2(1 + I r I 2 )1/2 r ]lu(r,O)1 2 drdr
                     1
               ==   -2    {         lu(r,O)1 2 dr
                         JJR.2n-l


               = ~ ~n lul
                                    2
                                        deY.


  This concludes the second case and the proof.                         I



7.8   Conclusion of the Proof of the Main Estimate
Now we pass from the Sobolev -1/2 norm to higher order norms.

LEMMA 7.8.1
Suppose that the basic estimate E (¢)2 ;S Q (¢, ¢), ¢ E 1J p ,q, holds on a special
boundary chart V. Let {Pk} be a sequence of cutoff functions in A~'o (V n 0)
such that

                                    Pk      =1          on   SUPPPk+l.

Then for each k > 0 we have an a priori estimate
Conclusion of the Proof of the Main Estimate                                            235



PROOF    We proceed by induction on k. For k                 == 1 we have



                                (basic est.)
                                        ~        Q(PI¢, PI¢)

                                    (7~3)        ReQ(¢,PI¢) + O(II¢1I6)
                                (Frie~chs)       Re (F¢, pr¢) + O(II¢1I6)
                                        ~        IIF¢llo IIpr¢lIo + O(II¢1I6)
                                        ~        I F¢lIoll¢llo + O(II¢1I6)
                                        ~        IIF¢116 + O(II¢1I6)
                                        ~        IIF¢1I6

                                        ~        IIIPIF¢III~I/2   + II F ¢116'
In the last two lines but one we have used the fact that T == F- 1 is bounded
on £2. This is the first step of the induction.
   Now take k > 1 and assume that we have proved the result for k - 1. Set
A == A~k-I)/2. Note that A commutes with Dj,j == 1, ... ,2n - 1, because A
is a convolution operator in the tangential variables. If j == 2n then it is even
easier to see that Dj commutes with A since A does not act in the r variable.
Thus

                      I I V Pk¢III(k-2)/2 == I I A (V Pk¢) 1II~1/2
                                                == IIIVA(Pk¢)III~I/2
                                                == IIIVA(PIPk¢)III~I/2'            (7.8.1.1)

  Observe that

 [A, [Dj, PI]] PkPk-l¢ + [A, PI][Dj, Pk]Pk-l¢               + [A, PI]Pk Dj Pk-l¢
                                    [A, [Dj, pd] PkPk-l¢ + [A, pdDj PkPk-l¢

                 (Jacobiidentity)   _   [PI, [A,Dj]J PkPk-l¢ - [Dj, [PI,A]J PkPk-l¢

                                    + [A, pdDj PkPk-l¢
                 (A, Dj S9mmute)        0       Dj [A]              A.
                       -            -       -       PI,    PkPk-11.f/
236                                                                  The a-Neumann Problem


As a result,

  Dj APIPk¢ == Dj PIApk¢              + Dj[A, pdPk¢
                  == Dj PIApk¢        + [A, [Dj, pd] PkPk-l¢ + [A, pd [Dj, Pk]Pk-1 ¢
                    + [A, pdPk Dj Pk-l¢.
Therefore, using (7.8.1.1),

      I I V Pk¢lII(k-2)/2 == IIIVApIPk¢III~I/2

                        ;S IIIVPIApk¢III~I/2 +      L I I [A, [Dj,pd] PkPk-I¢II'~1/2
                                                      j


                           +     L I I [A, pd[Dj, Pk]Pk-I¢III~I/2
                                  j


                           +     L I I [A, pdPk Dj Pk-I¢III~I/2
                                  j


                        ;S IIIV PIApk¢III~I/2 + IIIPk-I¢III~I/2+(k-3)/2

                           IIIPk-1 ¢III~ 1/2+(k-3)/2      + IIIVPk-l ¢III~ 1/2+(k-3)/2
                        ;S IIIVPIApk¢III~I/2      + I I V Pk-I¢III(k-3)/2'               (7.8.1.2)

Consider the term IIIVPIApk¢III~I/2 on the right-hand side. Set

                                         -
                               PIApk     == PI A(k-I)/2 Pk == A .
                                                t
                                                           -

Then

                                        IIIVApk-I¢I"~1/2
                            <
                            rv          Q(Apk-I¢, Apk-l¢)

                                        Re Q(Pk-1 ¢, A' APk-1 ¢)

                                        + (1 (IIIV' Pk-l ¢IIIZk-3)/2)

                       (Pk-I~=A')       Re Q( ¢, A' APk-l ¢)     + (1 (IIIV' Pk-l ¢IIIZk-3)/2)

                                        Re (F¢, A' Apk-l¢)       + O(IIIV Pk-I¢III(k-3)/2

                                        Re (AF¢, APk-1 ¢)       + (1 (IIIV' Pk-l ¢IIIZk-3)/2)
Conclusion of the Proof of the Main Estimate                                                        237



                            ~             I I ApIF¢III-I/2I11 A¢IIII/2 + O(IIIV Pk-I¢IIIZk-3)/2
                                          IllpIA~k-I)/2 PkP IF¢III-I/211IPI A~k-I)/2 Pk¢IIII/2

                                          +   °(IIIV    Pk-l ¢IIIZk-3)/2

                            <
                            ""-J          Illpl F¢III(k-I)/2-1/211IPk¢lll(k-I)/2+1/2
                                          +   °(III   V Pk-l ¢IIIZk-3)/2

                            <             1                2                    2
                            ""-J          -lllpl F¢III (k-2)/2 + EIIIV Pk¢lll(k-2)/2
                                          E


                                          + IIIV Pk-l ¢111(k-3)/2'
Substituting this last inequality into (7.8.1.2) we obtain


  IIIV Pk¢IIIZk-2)/2 :s; IIIV PI Apk¢III=-I/2 + IIIV Pk-l ¢IIIZk-3)/2
                        1             2                           2
                     ;S -llIpIF¢III(k-2)/2 + EIIIV Pk¢lIl(k-2)/2 + I I VPk-I¢III(k-3)/2'
                        E


Therefore


                             <            1            2                        2
                            ""-J      -IIIPI F¢III (k-2)/2 + I I VPk-l ¢1I1 (k-3)/2
                                      E


                        (induction)       1                                 2
                            ;S        -IIIP I F¢III(k-2)/2
                                      E
                                                                + Illp I F¢III(k-3)/2 + II F ¢1I6

                            ~         Illp I F¢III(k-2)/2      + IIF¢116·
This completes the proof.             I


THEOREM 7.8.2
Assume that the basic estimate holds in vp,q. Let V be a special boundary
neighborhood on which IIIV¢III~I/2 :s; E(¢)2. Let U Cc V and choose a cutoff
                   00        -
function PI E A ' (V n 0) such that PI == 1 on U.
                c
   Then for each P E A~'o (U n n) and each nonnegative integer s it holds that




for all ¢ E dom (F)     n vp,q.
238                                                                      The a-Neumann Problem


PROOF            We proceed by induction on 8. We apply the previous lemma with
k   ==   2, P2   == p, and 0 == P3 == P4 == .. '. It tells us that



that is,




Therefore


                                  IIp¢lli    ~   IIV p¢ll~ + IIp¢lI~
                                             ;S IlpIF¢II~ + IIF¢II~ ,

which is the statement that we wish to prove for 8 == O.
  Now suppose the statement to be true for 8, some 8 2: O. Then


                   IIp¢II;+1 ~     L         IIDa(p¢)II~
                                 lal::;s+l
                            ==     L         IIDa(p¢)II~ + IIp¢ll;
                                 lal=s+l
                            ;S     L         IIDa(p¢)II~ + IlpIF¢II;-1        + IIF¢II~
                                 lal=s+l
                            ::; L            IIDa(p¢)II~ + IIPIF¢II;     + IIF¢II~·
                                 lal=s+l
It remains to estimate the top order term. Pick a sequence of cutoff functions
PI 2: P2 2: ... 2: P2s+2 == P such that supp Pj CC supp Pj-l, j == 2, ... ,28 + 2
and set Pj == 0 for j > 28 + 2. We apply 7.8.1 with k == 28 + 2 to obtain




If 1131   == 8 + 1 then

                            IIDf P2s+2¢11~ ;S IIIV P2s+2¢1II;
                                                  ;S IIIPIF¢III; + IIF¢III~
                                                  ;S IlpIF¢II; + IIF¢II~·
Conclusion of the Proof of the Main Estimate                                            239


For 1131   == s we have

                          IIDf Dr P¢1I5 :s /11 vp¢II/;
                                         :s Ilp1F¢II; + IIF¢II5·
Thus it remains to estimate IIDf D;:p¢115 for m 2: 2 and 1131 + m == s + 1.
  We proceed by induction on m (this is a second induction within the first
induction on s). We use the differential equation as follows: We know that
0+1 == F. On the special boundary chart the function F¢ can be expressed as




The operator F is strongly elliptic so that A 2n is an invertible matrix. Therefore
we can express the second derivative D;¢ in terms of the remaining expressions
on the right side of the last equation (each of which involves at most one
normal derivative) and in terms of F¢ itself. This means that we may estimate
expressions of the form IIDf D;p¢115 in terms of IIDfDr P¢115 and IIDf P¢1I5'
both of which have already been estimated. Thus we have handled the case
m == 2.
  Inductively, we can handle any term of the form I DfD;:p¢115.
  This concludes the induction on m, which in tum concludes the induction
on s. The proof is therefore complete.       I

   The final step of the last theorem is decisive. While the a-Neumann boundary
conditions are degenerate, the operator F == 0 + I is strongly elliptic-as nice
an operator as you could want. One of the special features of such an operator
L is that (as we learned in Chapter 4 by way of pseudodifferential operators)
any second derivative of a function f can be controlled by Lf, modulo error
terms.
   Now recall the main estimate:

THEOREM 7.8.3 MAIN ESTIMATE
Let n ~     enbe a smoothly bounded domain. Assume that the basic estimate
holds for elements of vp,q. For a E H6,q, we let ¢ denote the unique solution
to the equation F¢ == a. Then we have:

 1.   If W is a relatively open subset of           n and if al w      E   Ip,q(W), then
      ¢Iw E Ip,q(W).
 2.   Let p, PI be smooth functions with supp P~ supp PI           ~   Wand    PI ==   1 on
      supp p. Then:
240                                                             The a-Neumann Problem


       (a)   If W n   an == 0 then Vs 2: 0 there is a constant      Cs   > 0 (depending
             on P, PI but independent of a) such that

                                                                              (7.8.3.2a)

       (b)   If W   n an =I- 0 then Vs 2: 0 there exists a constant Cs 2: 0 such that
                                                                              (7 .8.3.2b)

REMARK       In the theorem that we just proved, we established the a priori esti-
mate



That is, we know that this inequality holds for a testing function ¢. In the Main
Estimate we are now addressing the problem of existence: given a v E H6,q we
want to know that there exists a ¢ which is smooth and satisfies (7.8.3.2a) and
(7.8.3.2b). We do know that the ¢ given by Friedrichs is in L 2 , but nothing
further. It is in these arguments that the elliptic regularization technique comes
to the rescue. In the original papers [KOHl] Kohn had to use delicate functional
analysis techniques to address the existence issue.       I

PROOF OF THE MAIN ESTIMATE         Let a E H6,q. Let ¢ E vp,q be the unique
solution to the equation F ¢ == a. This will of course be the ¢ that we seek,
but we must see that it is smooth. Observe that this assertion, namely part (I)
of the theorem, follows from part (2).
  Let U be a subregion of      en.
                                Assume that
                                                 p,q       -
                               a Iunn E     I         (UnO).

We need to see that

                               4>lunn   E   Ip,q (U n D).
   The easy case is if U n     an == 0. For then ¢ Iu E Ip,q (U) by the interior
elliptic regularity for F == 0 + I. This gives us the estimate (7 .8.3.2a) as well.
Refer to Chapter 4 for details.
   More interesting is the case U n     an
                                         =I- 0. Then the last theorem tells us that


provided that we know in advance that ¢ is smooth on               uno.  Again we
emphasize the importance of this subtlety: we know that ¢ exists; we also know
that if ¢ is known to be smooth on      unothen it satisfies the desired regularity
estimates. We need to pass from this a priori infonnation to a general regularity
result. To this task we now tum.
Conclusion of the Proof of the Main Estimate                                          241


  Let 0 < 8 ~ 1 and let ¢8 be the solution of F8 ¢ == Q. We know that p8 is
hypoelliptic up to the boundary (see 7.6.4). Recall that
                                                    2n
                      Q8(¢,1/J) == Q(¢,1/J)   + 8L(Dj¢,Dj1/J)
                                                   j=1

and that



The proof of the last theorem then applies to F 8 and ¢8; thus we have



The constant in the inequality is independent of 8 since the estimate depends
only on the majorization



(In fact, we shall provide the details of this important assertion in the appendix
to this chapter.) Thus {p¢8}O<8<1 is uniformly bounded in II . 118+1 for every
8. Fix an 8. By Rellich's lem~a~ there is a subsequence {p¢8 n } that converges
in Hf,q as n ---t 00. By diagonalization, we may assume that {p¢8 n } converges
in Hf,q for every 8-to the same function PJL. We wish to show that PJL == p¢,
where ¢ is the function whose existence comes from the Fredholm theory. Then
we will know, by the Sobolev theorem, that p¢ is smooth and we will be done.
   It suffices to show that ¢8 n ---t ¢ in the HC,q topology (for, of course, ¢8 n ---t JL
in that topology). We know that the interior estimates hold uniformly in 8:



for any P with compact support in O. By 7.6.3, ¢8 E Hf,q. If 0: is globally
smooth, we can apply a partitition of unity argument and the boundary estimate
for 8 == 0 (see 7.8.2) to see that

                                                                                (7.8.3.3)

uniformly in 8 as 8 as 8 --+ O. By the density of smooth forms in the space
H6,q, we conclude that (7.8.3.3) holds for all elements 0: E HC,q.
  Next we calculate, for 1/J E vp,q, that

                     Q(¢,1/J) == (0:,1/J) == Q8(¢8, 1/J)

                               == Q( ¢8, 7/J) + O( 8//¢8111//7/Jlll)
                               == Q(¢{j, 1/J) + //a//o//7/Jlll ·0(£5).          (7.8.3.4)
242                                                         The a-Neumann Problem


Give the equation



the name R(8). By subtracting R(8') from R(8) we find that



  By 7.6.3 we can find a sequence {'lfJn; ~ vp,q converging with respect to
both the norms Q and II . III to ¢8 - ¢8 . The result is that

             Q(¢8 _¢8',¢8 _¢8') == 0(8+8')llolloll¢8 -¢8'III

                                     == 0(8 + 8') ·110116
                                     --+0

as 8, 8' ~ o.
   We conclude that ¢8 converges in the topology of vp,q as 8 --+ 0 and (7.8.3.4}
shows that the limit is ¢. Consequently, ¢8 --+ ¢ in HC,q and we are done. I

   In the next section we shall develop the Main Estimate into some useful
results about the original a-Neumann problem.




7.9 The Solution of the a-Neumann Problem
Our ultimate goal is to understand existence and regularity for the a-Neumann
problem. We begin with some remarks about the operator F. We assume
throughout this section that the basic estimate holds on O.

PROPOSITION 7.9.1
Let a, ¢, U, PI, P fJe as in the Main Estimate. Let    al
                                                    u E Hf,q(U        nO).   Then
p¢ E H:~k(U nO), where k is either 1 or 2 according to whether        un ao =I- 0
                                        ll;
or un ao == 0. Also IIp¢II;+k ;S IIPI a + lI a 116.

PROOF    Let Po be a smooth function with support in U such that Po == 1 on
supp Pl. See Figure 7.1. Let {,en}, {Tn} be sequences of smooth forms such
that

                              supp,en   ~   supp Po,


                           SUPPTn ~ supp (1 - po),
The Solution of the a-Neumann Problem                                            243




                                -.........------------~




FIGURE 7.1



and




Then



and



Let ¢n    = F-1a n . Now F- 1 is bounded in the Sobolev topology so that
¢n    ~ F-1a == ¢ in H6,q. Now we apply the Main Estimate to obtain




Therefore

                                 1·        A..        HP,q
                                  1m
                                n---+oc
                                          Plf/n   E    s+k'


that is, p¢ E   H::
                  k.   The desired estimate therefore holds.     I

PROPOSITION 7.9.2
If F¢ == a and a E /P,q (0) then ¢ E /p.q (0) and II¢I/;+l   :s Iiall; for every s.
PROOF This follows at once from the Main Estimate by taking U 2 nand
noticing that /lallo ::; Iiali s . I
244                                                        The a-Neumann Problem


COROLLARY 7.9.3
If F¢ == a and a E Hf,q then    ¢ E H~:1   and   11¢lls+l ;S Iiali s.

PROOF    Immediate.      I

COROLLARY 7.9.4
The operator F- 1 is a compact operator on Hf,q.

PROOF   By the corollary we know that F- 1 is bounded from Hf,q to H~~1 so
we apply Rellich's lemma to obtain the result.  I

COROLLARY 7.9.5
The operator F has discrete spectrum with no finite limit point and each eigen-
value occurs with finite multiplicity.

PROOF     By the theory of compact operators (see, for instance, [WID]), we know
that F- 1 has countable, compact spectrum with 0 as its only possible limit point.
Also each eigenvalue has finite multiplicity. Since A is an eigenvalue for F if
and only if A-1 is an eigenvalue for F- I we have proved the corollary.        I

PROPOSITION 7.9.6
Let U, P, PI, a, and k be as in Proposition 7.9.1. Suppose that PI a E Hf,q for
some integer s > o. If ¢ satisfies (F - A)¢ == a for some constant A then
p¢ E H~:k(n).


PROOF Consider the case k == 1. Set a' == a + A¢. Then ¢ satisfies the
equation F¢ == a'. Now a' E H6,q so that PI¢ E Hi,q by Proposition 7.9.1.
Let {Pk}k=2 be a sequence of smooth functions with Ps == P and Pj = 1 on
supp Pj + 1. Inductively we may reason that



The result follows.
  The case k == 2 is similar.    I

COROLLARY 7.9.7
The operator F - AI is hypoelliptic.

PROOF    Immediate from the proposition and Sobolev's theorem.          I
The Solution of the a-Neumann Problem                                       245



COROLLARY 7.9.8
The eigenforms of F are all smooth.


PROOF    Obvious.          I

PROPOSITION 7.9.9
The space H6,q has a complete orthonormal basis of eigenforms for the operator
 OF that are smooth up to the boundary ofO. The eigenvalues are nonnegative,
with no finite accumulation point, and occur with finite multiplicity. Moreover,
for each s,

                                    11¢1I~+1 ;S IIO¢II~ + II¢II
for all ¢ E dom (F)   n /P,q(O).

PROOF Recall that 0 F == F - I is the restriction of 0 to the domain of F.
We know that H6,q has a complete orthonormal basis of eigenforms for F- 1
(just because it is a compact operator on a Hilbert space). Then the same holds
for F and thus for F - I. We also have that the eigenvalues are nonnegative,
with no finite accumulation point and with finite multiplicity.
   The desired estimates follow by induction on s and by the global regularity
statement for F:

                                        1I¢lli;s IIF¢1I6
                                              ;s 110¢1I6 + 11¢116;

                               II¢II~    ;s IIF¢lli
                                         s 110¢lIi + 1I¢lli
                                         s 1I 0 ¢lli + 1I 0¢1I6 + 1I¢116
                                         ;s 110¢lli + 1I¢116;
and so forth.    I

PROPOSITION 7.9.10
The space HC,q admits the strong orthogonal decomposition

                H6,q == range (OF) EB kernel (OF)

                      ==   [){)dom (F) EB {)[)dom (F) EB kernel (OF).
246                                                                 The a-Neumann Problem


PROOF        First of all we need to show that range (D F) is closed. Set HP,q ==
kernel (0 F ). Then HP,q is the eigenspace corresponding to the eigenvalue O.
The orthogonal complement of HP,q is E9!AI>o VA, where VA is the eigenspace
corresponding to the eigenvalue A. Then 0 F is bounded away from 0 on
                                                                °
(HP,q) 1.. and it is one-to-one on this space. Thus F restricted to the closure
                  °
of the range of F has a continuous inverse which we call L.
   Let DFx n --+ y. Then LDFx n --+ Ly, that is, X n ~ Ly and DF(Ly) == y.
Thus y E range 0 F and range 0 F is closed. Since range 0 F == (HP,q) 1.., the
first equality follows.
                                                 a
   For the second equality, notice that 2 == 0 hence range -l range     a    Also a*.
a*   == {) Idom [j* and the second equality follows as well.   I

COROLLARY 7.9.11
             -         -                    1
The range of 8 on dom (8)       n H6,q-         is closed.


PROOF                  a
         Since range -l kernel     and  (a*)          a* ({)a dom (F) EB 1tp,q) == 0, we may
conclude that range ==a a{)
                          dom (F).     I

                                                                    a
   We are engaged in setting up a Hodge theory for the operator. For analogous
material in the classical setting of the exterior differential operator d we refer
the reader to [CON].
   Now we define the hannonic projector H to be the orthogonal projection
from Hb,q onto HP,q. We use that operator in tum to define the a-Neumann
operator.

DEFINITION 7.9.12          The Neumann operator N : H6,q ~ dom (F) is defined
by

               Na   == 0      if a   E rtp,q

               Na == ¢        if a    E range 0 F and        ¢ is the unique
                                     solution of      °F¢ == a with ¢ -l HP,q.
Then we extend N to all of H6,q by linearity.

     Notice that N a is the unique solution ¢ to the equations

                                       H¢      == 0
                                      DF¢==a-Ha.

Finally, we obtain the solution to the a-Neumann problem:
The Solution of the a-Neumann Problem                                       247


THEOREM 7.9.13
 1. The operator N is compact.
 2.   For any a E HC,q we have a == 8{)Na        + ()8Na + Ha.
 3.   NH == HN == O,NO == ON == 1- H on domF, N8 == 8N on dom8,
      and N () == () N on dom 8* .
 4.   N(AP,q (0)) ~ AP,q (0) and for each s the inequality




      holds for all a E AP,q (0).

PROOF     Statement (2) is part of Proposition 7.9.10. It is also immediate from
the definitions that N H == H N == O. Next, ND == ON == 1 - H follows from
part (2).
   If a E dom 8 then, since 82 == 0 and 8H == 0, we have


                     Naa == N8({)8Na          + 8{)Na + Ha)
                           == N 8(()8N a)
                           == N( a{) + {)8)8Na
                           == N08Na
                           == (1 - H)8Na
                           == 8Na.

The same reasoning applies to see that () N == N ().
  The first statement of part (4) follows because H a is smooth whenever a is
(by part (2» and ¢ == N(a - Ha) satisfies D F ¢ == a - Na. Hence this ¢ is
smooth. Furthermore, 7.9.9 implies that


                    II Na ll;+l ;S lI o Nall; + IINall6
                                ::; lIall; + IIH all; + liNal16
                                ;S lIall; + IIHal16 + II N al16
                               ~    lIall;·
(We use here the fact that all norms on the finite-dimensional space HP,q are
equivalent.) That proves the second statement of part (4).
  Finally, (1) follows from (4) and Rellich's lemma.     I
248                                                       The a-Neumann Problem


  Next we want to solve the inhomogeneous Cauchy-Riemann equation            a¢ ==
a. Notice that there is no hope to solve this equation unless a ..1 kernel (a*) or
equivalently all'== 0 and H a == O.

THEOREM 7.9.14
Suppose that q 2 1, a E HC,q,
                 1
                                   all'
                                   == 0, and H a == O. Then there exists a
                                        -      -                   -
unique ¢ E HC,q- such that ¢..l kernel (B) and B¢ == a. Ita E AP,q(O) then
¢ E AP,q-l (0) and



PROOF      By the conditions on a we have that a == a{) N a. Thus we take
¢ == () N a and ¢ ...L kernel (a) implies uniqueness. By part (4) of the last
theorem, we know that Na E AP,q if a E AP,q. Hence ¢ E AP,q-l and

                                1I¢lIs ==   II{)Nails
                                      ;S IINall s+l
                                       ~    Iiall s .                             I
  It is in fact the case that, on a domain in Euclidean space, the harmonic space
HP,q is zero dimensional. Thus the condition H a == 0 is vacuous. There is
no known elementary way to see this assertion. It follows from the Kodaira
vanishing theorem (see [WEL]), or from solving the a-Neumann problem with
certain weights. A third way to see the assertion appears in [FOK]. We shall
say no more about it here.
  In fact, it is possible to prove a stronger result than 7.9.14: if a has H S
coefficients, then ¢ has H s+ 1/2 coefficients. This gain of order 1/2 is sharp for
o strongly pseudoconvex. We refer the reader to [FOK, p. 53] for details.



Appendix to Section 7.8: Uniform estimates for F 8 and ¢8
Refer to Section 7.8-especially the proof of the Main Estimate-for terminol-
ogy. The purpose of this appendix is to prove that the estimate

                                                                           (7.A.l)

holds with a constant that is independent of 8. We begin as follows:
PROPOSITION 7.A.2     We have



where the constant in 0 is independent of b.
Appendix to Section 7.8                                                                       249


PROOF The proof of 7.7.2 goes through, with [) replaced by any first-order
differential operator D with constant coefficients, without any change. Thus

              (DA¢, DA¢) - Re (D¢, DA' A¢) == O(IIIV¢III~_l)'

Then

Q8(A¢, A¢) - Re Q8(¢, A' A¢) == Q(A¢, A¢)                    + 8 L(Dj A¢, Dj A¢)
                                                                      j


                                          - Re         [Q(I/>, A'AI/» + 8 L(Dj 1/>, Dj A'AI/»]
                                                                           J

                                     == Q(A¢,A¢) -ReQ(¢,A'A¢)

                                          + 8 L [(Dj AI/>, Dj AI/» -           (Dj 1/>, Dj A'AI/»]
                                                   J

                                     ==   (1   + 8)0 (1IIV¢III~-l)
                                     ==   0 (IIIV ¢III~-I) ,

where the constant in 0 is independent of 8.                  I
  We need one more preliminary result:
PROPOSITION 7.A.3     Let hypotheses be as in 7.8.1 with ¢ E v~,q. Then

                                                                                        (7 .A.3.t)

where the constants are independent of 8.
PROOF We follow the proof of 7.8.1 closely, checking that all constants that
arise are independent of 8. We induct on k. First let k == 1. Then

                              (7.7.4)
                                 <
                          (basic estimate)               8        8
                                :S             Q(Pl¢ , PI¢ )
                                <              Q8 (PI ¢8, PI ¢8)
                              (7.~.2)
                                               ReQ8(¢8,pf¢6) + 0 (11¢8116)
                            (Frie~chs)
                                               Re (F 8¢8,pf¢8) + 0 (11¢8116)
                                               IIF 8¢c5 lloll¢ c5 llo + 0 (11¢8116) .
Notice that Tb   = (pc5)-I is bounded on £2 unifonnly in b.                     Indeed, by the
250                                                             The a-Neumann Problem


Friedrichs theorem we have

                              UT6oll~ ~ Qb(Tba,TDa)

                                       == (a, T b a)
                                                    b
                                        ~ IlallollT allo.

It follows that IITbiiop ~ 1. Therefore

             b
          IIF q/Slloll¢61Io   +0   (11¢bI1 6) ~ IIFb¢6116 + 0 (IIF6<p611~)
                                            ~ II Fb ¢6116
                                            :s IIpIF6¢6111~1/2 + IIF6<p611~·
This proves the case k == 1.
  Next, as in the proof of 7.8.1, we have for the tangential Bessel potential
A == A~k-I)/2 that


                                                                                (7.A.3.2)

Setting PI APk == A we now calculate that

 I I V Apk-l¢bl"~1/2 ~ Qb (Apk_l¢b, Apk_I¢D)

                    = Re QO (pk-I¢O, A' APk-1 ¢O) + 0 (IIIV' Pk-I ¢0IllZk-3)/2)

                    = ReQO(¢O,A'Apk-l¢O)             + 0 (111V'Pk-I¢0IllZk-3)/2)
                    = Re (PO ¢o, A' Apk-I¢O)         + 0 (IIIV' Pk-I ¢0IllZk-3)/2)
                    = Re (ApO ¢o, APk-1 ¢O) + 0 (IIIV' Pk-I ¢0IllZk-3)/2)
                    ::; IIIApo¢0111-1/21I Apk-I¢0111/2 + 0 (111V'Pk-I¢0IllZk-3)/2)
                               b
                     ~ I PI F ¢bll(k_I)/2_1/21IPk¢bll (k-I)/2+1/2

                       + 0 (111V'Pk-I¢0IllZk-3)/2)
                    ::; ! Illpl po ¢0IllCk-2)/2 + fill V' Pk¢011IZk-2)/2
                        E


                       + 0 (1I1V'Pk-I¢0IllZk-3)/2) .
Appendix to Section 7.8                                                         251


Substituting into (7.A.3.2) and using induction we get

               /1,7 Pk¢8 /I'Zk-2)/2   :s /I'PI F 8¢8 "'Zk-2)/2 + IIF 8¢8116,
where the constants are independent of b. That completes the proof of (7.A.3.1).
                                                                                  I
  Now proving the inequality (7.A.1) is straightforward, for we imitate the proof
of 7.8.1 with obvious changes.
8
Applications of the 8-Neumann Problem




8.1   An Application to the Bergman Projection
In recent years the Bergman projection P : L 2 (0-) ---+ A 2 (0-) has been an
object of intense study. The reason for this interest is primarily that Bell and
Ligocka [BEL], [BE 1], [BE2] have demonstrated that the boundary behavior of
biholomorphic mappings of domains may be studied by means of the regularity
theory of this projection mapping. Of central importance in these considerations
is the following:

DEFINITION 8.1.1    CONDITION R Let 0- ~           en
                                                  be a smoothly bounded do-
main. We say that 0- satisfies Condition R if P maps Coo ((2) to Coo ((2).

  A representative theorem in the subject is the following:

THEOREM 8.1.2       BELL
Let 0- 1,0- 2 be smooth, pseudoconvex domains in        en.
                                                          Let <I> : 0- 1 ---+ 0- 2 be a
biholomorphic mapping. If at least one of the two domains satisfies Condition
R then <I> extends to a Coo diffeomorphism of 0- 1 to 0- 2 .

   There are roughly two known methods to establish Condition R for a domain.
One is to use symmetries, as in [BAR] and [BEB]. The more powerful method
is to exploit the a-Neumann problem. That is the technique we treat here. Let
us begin with some general discussion.
   Let 0- c c  en   be a fixed domain on which the equation au == Q is always
solvable when Q is a a-closed (0,1 )-form (e.g., a domain of holomorphy-in
other words, a pseudoconvex domain). Let P : L 2(0-) ---+ A2(0-) be the Bergman
projection. If u is any solution to au == Q then W == Wet == U - Pu is the unique
solution that is orthogonal to holomorphic functions. Thus W is well defined,
independent of the choice of u. Define the mapping
An Application to the Bergman Projection                                              253


  Then, for f E L 2 (n) it holds that

                                  Pf == f - T([)f)·                               (8.1.3)

To see this, first notice that [)[f - T( [) f)] == [) f - [) f == 0, where all derivatives
are interpreted in the weak sense. Thus f - T( [) f) is holomorphic. Also f -
[f - T( [) f)] is orthogonal to holomorphic functions by design. This establishes
the identity (8.1.3). But we have a more useful way of expressing T: namely
T == [)* N. Thus we have derived the following important result:

                                   P   == I -   [)* N8.                           (8.1.4)

  Now suppose that our domain is strongly pseudoconvex. Then we know that
N maps HS to Hs+ 1 for every s. Recall that [) and [)* are first-order differential
operators. Then a trivial calculation with (8.1.4) shows that




for every s. By the Sobolev imbedding theorem, a strongly pseudoconvex
domain therefore satisfies Condition R. Thus, thanks to the program of Bell
and Ligocka (see [BEL], [KR1]), we know that biholomorphic mappings of
strongly pseudoconvex domains extend to be diffeomorphisms of their closures.
   It is often convenient, and certainly aesthetically more pleasing, to be able to
prove that P : H S -+ H s. This is known to be true on strongly pseudoconvex
domains. We now describe the proof, due to J. J. Kohn [KOH3], of this assertion.

THEOREM 8.1.5
Let n be a smoothly bounded strongly pseudoconvex domain in               en.   Then for
each s E IR. there is a constant C == C (s) such that

                                                                                (8.1.5.1)


REMARK     In fact, the specific property of a strongly pseudoconvex domain that
will be used is the following: For every E > 0 there is a C (E) > 0 so that the
inequality

                                                                                (8.1.5.2)

                     o1         -          -
for all 1; E 1) == / ' n dom {) n dom {)*. We leave it as an exercise for
the reader to check that property (8.1.5.2) is equivalent to the norm Q being
compact in the following sense: if {1;j} is bounded in the Q nonn then it has
a convergent subsequence in the £2 nonn.
254                                             Applications of the 8-Neumann Problem


   The theorem that we are about to prove is in fact true on any smoothly
bounded domain with the property (8.1.5.2). Property (8.1.5.2) is known to
hold for a large class of domains, including domains of finite type (see [CAT1],
[CAT2], [DAN1], [DAN2], [DAN3], [KR1]) and, in particular, domains with
real analytic boundary ([DF]).     I

PROOF OF THE THEOREM         We have already observed that the Bergman projec-
tion of a strongly pseudoconvex domain maps functions in Coo (n) to functions
in Coo (n). Thus it suffices to prove our estimate (8.1.5.1) for j E Coo (n).
   Let r be a smooth defining function for n. Let ( E an and let U ~                 en
be a neighborhood of (. We may select a smooth function w on U such that
  n       ar
w == w· satisfies Iwnl == 1 on U. We select wl, ... ,w n - l on U such that
wI, ... , w n forms an orthononnal basis of the (1, O)-forms on U. Thus any
                                     n
¢ E V o,I can be expressed, on n U, as a linear combination




Of course, ¢    E VO,1 if and only if     ¢n == 0 on an.
   Let Al be    the tangential Bessel potential of order s, as defined in Section
7.5. If 7] is   any real-valued cutoff function supported in U then, whenever
¢ E VO,1 we     have 7]AI(7]¢) E VO,1 as well. The identity Q(NQ,~) == (Q,~),
with Q == 8 j   and 1/J == 7]3 A2s 7]N 8 j, yields that

                                                                                (8.1.5.3)

Now we apply the compactness inequality (8.1.5.2) with ¢ == 7]AI(7]N8j) to
obtain

 117]A:(7]N8j)II 2 :::; EQ(7]A:(7]N8j), 7]A:(7]NfJj))   + C(E)II7]A:(7]N8j)II~1
                     :::; EQ(N8j, 7]3 A;s7]NfJj) + ECII NfJj II; + C'(E)IIN8jll;_1.

Of course in the last estimate we have done two things: First, we have moved 7]
and Af across the inner product Q at the expense of creating certain acceptable
error terms (which are controlled by the term ECIINfJjll;). Second, we have
used the fact that IIAI 9116 :::; IIgll; by definition. Now, using (8.1.5.3), we see
that

                117]A:(7]NfJj)II 2 :::; E(j, fJ*7]3 A;s7]N8j)   + ECIINfJjll;
                                      +C'(E)IINfJjll;_I·                        (8.1.5.4)

   Now we may cover          n
                           with boundary neighborhoods U as above plus an
interior patch on which our problem is strongly elliptic. We obtain an estimate
like (8.1.5.4) on each of these patches. We may sum the estimates, using
(as we did in the solution of the 8- Neumann problem) the fact that          is   an
An Application to the Bergman Projection                                         255


noncharacteristic for Q, to obtain




Applying this inequality, with s replaced by s - 1, to the last term on the right,
and then repeating, we may finally derive that

                                                                            (8.1.5.5)

  We know that 88* N     af == af.   As a result,

  II 1JA:1]a* N8fll 2 == (N8f, 1]3 A;s1]aa* N8f) + 0 (liNafils II1]A:1]8* N8fll)
                   == (N8f, 1]3A;s1]8 f) + 0 (liN 8fils II1]A:1]8* N8fll)

                   =   o( (11 N8/11s + III lis) IlryA:ry8*N8/11 ).
Summing as before, we obtain the estimate

                        IIa* Naflls ~ c(IINaflls + Ilflls).
Putting (8.1.5.5) into this last estimate gives




If we choose E > 0 small enough, then we may absorb the first term on the
right into the left-hand side and obtain

                       lIa* Naflls ~ C· (IIflls + II N8 fllo) .          (8.1.5.6)

   But the operator a* is closed since the adjoint of a densely defined operator
is always closed. It follows from the open mapping principle that




On the other hand, a*Na is projection onto the orthogonal complement of
A 2 (n). Thus it is bounded in £2 and we see that

                                 IINafll   ~   cllfllo.
Putting this information into (8.1.5.6) gives
256                                                         Applications of the a·Neumann Problem


If we recall that P      == I -    [)* N [) then we may finally conclude that


                                           IIPIlIs :::; CIIIlIs.
That concludes the proof.             I



8.2      Smoothness to the Boundary of Biholomorphic Mappings
In this section we shall use the fact that Condition R holds on any strongly pseu-
doconvex domain (Theorem 8.1.5) to prove the following theorem of Fefferman
(this generalizes the one-variable result from Section 1.5):

THEOREM 8.2.1
Let   n ~ en   be a strongly pseudoconvex domain with smooth boundary and <I> :
n n a biholomorphic mapping.
  ---+                              Then <I> extends uniquely to a diffeomorphism
ojn to n.

   As already indicated, the proof given here is that of Bell [BE2] and Bell and
Ligocka [BEL]. It will be particularly convenient for us to use the following form
of Condition R that we proved in the last section: If P is the Bergman projection
on the strongly pseudoconvex domain nand s E IR. then P : H s ---+ H s.
   Observe that the "uniqueness" portion of Theorem 8.2.1 is virtually a tautol-
ogy and we leave its consideration to the reader. We build now a sequence of
lemmas leading to the more interesting "smoothness" assertion of Fefferman's
theorem. We begin with some notation.
   If nee      en
                is any smoothly bounded domain and if j E N, we let

          11,1 (n) == Hj (n)      n {holomorphic functions            on n},

         H oo (n) ==   n00




                       j=l
                             Hj (n)   ==   Coo (0.)     n {holomorphic functions      on n}.



Here Hj is the standard Sobolev space on a domain. Let Hg (n) be the Hj clo-
sure of Cgo (n). (Exercise: if j is sufficiently large, then the Sobolev imbedding
theorem implies trivially that H6 (n) is a proper subset of Hj (n).)
  Let us say that u, v E Coo (0.) agree up to order k on an if


          (:z)   a     (:z)~ (u -         V)I        == 0    Va,f3   with   lal + 1f31 :::; k.
                                                an
Smoothness to the Boundary of Biholomorphic Mappings                        257


LEMMA 8.2.2
Let nee    en  be smoothly bounded and strongly pseudoconvex. Let wEn be
fixed. Let K denote the Bergman kernel. Then there is a constant C w > 0 such
that

                                II K (w, ·)lIsup ~ CWo

PROOF     Observe that the function K (z, .) is harmonic. Let ¢ :      n
                                                                     ---+ IR

be a radial, C~ function centered at w (that is, ¢( (1) == ¢( (2) whenever
                                                         J
1(1 - wI == 1(2 - wI). Assume that ¢ ~ 0 and ¢(() dV(() == 1. Then the
mean value property (use polar coordinates) implies that

                       K(z, w) =      l   K(z, ()</J(() dV(().

But the last expression equals P¢(z). Therefore

                          IIK(w")lIsup == supIK(w,z)1
                                             zEn

                                           == sup IK(z,w)1
                                             zEn

                                           == sup IP¢(z)l.
                                             zEn

By Sobolev's theorem, this is



By Condition R, this is

                                                                               I
LEMMA 8.2.3
Let U E COO(n) be arbitrary. Let s E {O, 1,2, ...}. Then there is a v E COO(n)
such that Pv == 0 and the functions u and v agree to order s on an.

PROOF After a partition of unity, it suffices to prove the assertion in a small
neighborhood U of Zo E an. After a rotation, we may suppose that apjaZ I i= 0
on un n,  where p is a defining function for n. Define the differential operator

                                 Re
                           V==-~----~
                                      {2:7=1 it 8~J    }
                                                   2
                                       2:7=llitI
Notice that vp == 1. Now we define v by induction on s.
  For the case s == 0, let
                                         pu
                                 Wo == 8p/8(1 .
258                                                           Applications of the a·Neumann Problem


Define

                                                          a
                                           Vo   ==    a(1     Wo

                                                ==    u   + O(p).
Then u and      Vo   agree to order 0 on         an.        Also


                         PVo(z) =          J    K(z, () 8~1 wo(() dV(().

This equals, by integration by parts,


                                  -J8~1         K(z, ()wo(() dV(().

Notice that the integration by parts is valid by Lemma 8.2.2 and because
Wo Ian == O. Also, the integrand in this last line is zero because K (z, .) is
conjugate holomorphic. Thus Pvo == 0 as desired.
  Suppose inductively that W s -l == W s -2 + Os_Ips and V s -l == (a/az 1 )(W s -l)
have been constructed. We show that there is a W s of the fonn




such that V s   == (a/az 1 )(w s ) agrees to order s with                u on   an.    By the inductive
hypothesis,

                                   a
                        Vs   ==   -a W s
                                   ZI



                             - aW - + - [0 s·p s+l]
                             _ - s -l a
                                   aZ I         aZ I



                             = Vs-I + Ps         [(
                                                      s
                                                                  ap
                                                          + 1) OS 8Z 1 + p.   ao s ]
                                                                              8z]


agrees to order s - 1 with u on an so long as Os is smooth. So we need
to examine D(u - vs), where D is an s-order differential operator. But if D
involves a tangential derivative Do, then write D == Do . D 1• It follows that
D(u - vs) == Do(a), where a vanishes on an so that Doa == 0 on an. So we
need only check D == v S •
   We have seen that Os must be chosen so that

                                                                   on   an.
Smoothness to the Boundary of Biholomorphic Mappings                             259



Equivalently,




or




or




It follows that we must choose




which is indeed smooth on U. As in the case s == 0, it holds that Pv s == O.
This completes the induction and the proof. I

REMARK In this proof we have in fact constructed v by subtracting from u a
Taylor type expansion in powers of p. I

LEMMA 8.2.4
For each sEN we have 1f,oo(n) ~ p(Ho(n)).


PROOF  Let u E Coo((2). Choose v according to Lemma 8.2.3. Then u - v E
  o
H and Pu == P(u - v). Therefore

                                                                                   I
                   n n
   Henceforth, let 1 , 2 be fixed Coo strongly pseudoconvex domains in          en,
with K 1 , K 2 their Bergman kernels and PI, P2 the corresponding Bergman pro-
jections. Let <I> : n I -+ n2 be a biholomorphic mapping, and let u == det JaCe <I>.
For j == 1,2, let 8j (z) == 80J (z) == dist(z, enj).

LEMMA 8.2.5
For any 9 E £2(n 2) we have
260                                                           Applications of the a-Neumann Problem


PROOF     Notice that u· (g         0       4» E £2(0}) by change of variables (see Lemma
6.2.9). Therefore, by 6.2.8,

      P1(u· (g      0   4»)(z) ==   1
                                    01
                                            K}(z,()u(()g(4>(()) dV(()


                               ==   1
                                    0   1
                                            u(z)K2 (4>(z), 4>(())u(()u(()g(4>(()) dV(().

Change of variable now yields

                PI (U· (g 0 4»)(Z) == u(z)                 1O2
                                                                 K 2(4)(z), ~)g(~)   dV(~)
                                              == U(Z) . [( P2(g)) 0 4>] (Z).                                I
Exercise: Let nee en be a smoothly bounded domain. Let j E N. There is
an N == N(j) so large that 9 E He' implies that 9 vanishes to order j on an.

LEMMA 8.2.6
Let ~ : n1   ---+   n2 be a CJ diffeomorphism that satisfies
                                                                                                  (8.2.6.1)

for all multiindices a with Ia I :s; j E Nand

                                                                                                   (8.2.6.2)

Suppose also that
                                            82 ( ~ ( z))   :s; C 81 ( Z ) .                        ( 8.2.6.3 )


Then there is a number J                == J(j) such that, whenever             9 E    HZ+   J
                                                                                                 (n 2 ), then
go~ E    HZ(n 1 ).


PROOF      The subscript 0 causes no trouble by the definition of                       HZ.      Therefore
it suffices to prove an estimate of the form



By the chain rule and Leibniz's rule, if a is a multiindex of modulus not ex-
ceeding j, then




where 1,81 :s; lal,2: 11'il :s; lal, and the number of tenns in the sum depends
only on a (a classical formula of Faa de Bruno--see [ROM]-actually gives
Smoothness to the Boundary of Biholomorphic Mappings                                                              261


this sum quite explicitly, but we do not require such detail). Note here that
D'Yt1/; is used to denote a derivative of some component of 1/;. By hypothesis,
it follows that

                     I( :z ) <> (g     0   1/J) I :::: C   L   I(Df3 g) 0 1/J I. (81 (z) )- j .

Therefore


£1                                                         L £1 I(Df3 g)
                                   2
                                                                                           2          j
      1   (:z) <> (g 0 1/J)(z) 1 dV(z) :::: C                                   0   1/J(z)1 (8 1(z))-2 dV(z)

                                                     =       r
                                                         CL ln IDf3
                                                                    2
                                                                            g (w)1 281     (1/J-l(w))-2
                                                                                                           j


                                                         x I det Jc1/;- 1 12 dV(w).

But (8.2.6.2) and (8.2.6.3) imply that the last line is majorized by

                C      r
                    L ln        IDf3 g( w) 1282 ( w) -2j 82 ( w) -2n dV(w).                           (8.2.6.4)
                            2


Now if J is large enough, depending on the Sobolev imbedding theorem, then



(Remember that 9 is supported in                      n2 and vanishing at the boundary.)                       Hence
(8.2.6.4) is majorized by ClIgIIHJ+J.
                                                 o
                                                               I

LEMMA 8.2.7
For each j E N, there is an integer J so large that                                 if 9   E   HZ+ J (n   2 ),   then
go <I> E     HZ (n   1 ).



PROOF         The Cauchy estimates give (since <I> is bounded) that

                                                                        f==-l, ... ,n                 (8.2.7.1)

and
                                                                                                      (8.2.7.2)
where q,      == (q,l, ... ,q,n).      We will prove that

                                                                                                      (8.2.7.3)
Then Lemma 8.2.6 gives the result.
262                                                      Applications of the a.Neumann Problem


   To prove (8.2.6.3), let p be a smooth, strictly plurisubharmonic defining func-
          n
tion for l . Then p 0 <1>-1 is a smooth plurisubharmonic function on nz. Since
p vanishes on an I and since <1> -I is p~oper, we conclude that p 0 <I> -I extends
continuously to (2z. If P E an z and vp is the unit outward normal to an z at P,
then Hopf's lemma (see our treatment in Section 1.5 Of, for a different point of
view, consult [KRAl, Chapter 1]) implies that the (lower) one-sided derivative
(a / avp ) (p 0 <1>-1) satisfies

                                        8
                                            (p 0   <I> -I (P))   ~ c.
                                    avp
So, fOf   W   == P -    EVp, E     >0   small, it holds that



These estimates are uniform in P E                 an z. Using the comparability of Ipl   and 81
yields



Setting z     == q, -1 ( w)   now gives



which is (8.2.6.3).            I

LEMMA 8.2.8
The function u is in COO((2I).

PROOF      It suffices to show that u E Hi (n l ), every j. So fix j. According
to (8.2.7.1), lu(z)1 ::; C8 1 (z)-Zn. Then, by Lemma 8.2.7 and the exercise for
                                                                   J
the reader preceding 8.2.6, there is a J so large that 9 E HZ+ (n z) implies
u . (g 0 <1» E Hi (n l ). Choose, by Lemma 8.2.4, agE Hf:+J (n z) such that
Pzg == 1. Then Lemma 8.2.5 yields

                                        PI (u . (g   0   <1») ==   u.

By Condition R, it follows that u E Hi (n l ).                      I

LEMMA 8.2.9
The function u is bounded from 0 on (21.

PROOF         By symmetry, we may apply Lemma 8.2.8 to <1>-1 and det Jc (<1>-1)
==   l/u. We conclude that l/u E COO(Oz). Thus u is nonvanishing on O.                        I
Other Applications of [) Techniques                                              263


PROOF OF FEFFERMAN'S THEOREM (THEOREM 8.2.1)                 Use the notation of the
proof of Lemma 8.2.8. Choose gl, ... ,gn E     Hg O+J
                                                      (n 2 ) such that P2gi (w) == Wi
(here Wi is the i th coordinate function). Then Lemmas 8.2.5 and 8.2.7 yield that
U· <Pi E Hj(n 1 ), i == 1, ... , n. By Lemma 8.2.9, <Pi E Hj(n 1 ), i == 1, ... , n.
By symmetry, <p- 1 E Hj (n 2 ). Since j is arbitrary, the Sobolev imbedding theo-
rem finishes the proof. I




8.3       Other Applications of   aTechniques
The unifying theme of this book has been the theory of holomorphic mappings.
We have seen that regularity for the classical Dirichlet problem for the Laplacian
provided the key to understanding boundary regularity of conformal mappings in
the complex plane. Likewise, boundary regularity for the a-Neumann problem
has provided the key for determining the boundary behavior of biholomorphic
mappings of several complex variables.
   Since we have gone to so much trouble to derive estimates for the a-Neumann
problem, it seems appropriate at this time to depart from our principal theme
                                                             a
and discuss some other applications of our results on the problem.
   A point that hampered the theory of the Bergman kernel for years was that
of boundary regularity. On the ball, for example, one sees that the Bergman
kernel blows up if z, ( E B approach the same boundary point. But on B x B 
(diagonal) the Bergman kernel is smooth. One might hope that a similar result
is true on, say, strongly pseudoconvex domains (the question is open for general
smoothly bounded domains). Heartening partial results on this problem were
made by Diederich in [DIE]. However, Kerzman [KER2] realized that the result
follows easily from a-Neumann considerations. Here is a part of what Kerzman
proved (this result is implicit in one of the lemmas from the last section):

PROPOSITION 8.3.1
      n
Let ~ en be smoothly bounded and strongly pseudoconvex. Fix            zEn.    Then
K(z, . ) is in C OO ((2).

PROOF Let ¢ E C~ (en) be a nonnegative radial function of total mass one
and with support in the unit ball. Define ¢E(() == E- 2n ¢((/E). Choose E to be
a positive number less than the Euclidean distance of z to the boundary of n.
  Because K is harmonic in the first variable we have, by the mean value
property, that

                     K(w,z)   =   J   K(w,l;)¢{(z-l;)dV(l;).

But this last (a function of w) also equals the Bergman projection of ¢E (z - .).
Since ¢€ (z - .) E CCXJ (n) and n satisfies condition R, we may conclude that
264                                                       Applications of the a·Neumann Problem


K(·, z) E COO(n). But the Bergman kernel is conjugate symmetric in its
variables; that finishes the proof. I

   A fundamental problem in the complex function theory of both one and several
complex variables is to take a local construction of a holomorphic function and
tum it into a global construction. In one complex variable we have the theorems
of Weierstrass and Mittag-Leffler, Cauchy formulas, conformal mapping, and
many other devices for achieving this end. In several complex variables, the
a-Neumann problem is certainly one of the most important tools (along with
sheaf theory and integral fonnulas) for this type of problem.
                                                      n
  To illustrate this circle of ideas, let be a smoothly bounded, strongly pseu-
doconvex and smooth. Then for any defining function p and P E 8n we know
that the Levi form




is positive definite on all   W   ==   (WI, ..• ,     wn      )   satisfying

                                        n     8p
                                       'L oz. (P)Wj = O.
                                       j=I        J
                                                                                               (8.3.2)

This is the definition of strong pseudoconvexity. However it is an elementary
exercise in calculus to see that if A > 0 is large enough then the new defining
function
                                                  exp(Ap(z)) - 1
                              PA ()
                                  Z          ==                   A

satisfies

                                                                                               (8.3.3)

for all wEen and some C > O. Details of this construction may be found in
[KRAl, Chapter 3].
   Now with such a function PA in hand we define the Levi polynomial


  Lp(z) ==
              n

             'L    8PA             1
                   -(P)(z· - p.) + -                      'L
                                                          n           2
                                                                   8 pA
                                                                  --(P)(z· - P')(Zk - Pk).
                   8z.   J    J    2                              8z .8z k J  J
             j=I     J                                j,k=I           J

The key technical result is this:

PROPOSITION 8.3.4
With n, P, Lp as above there is a 8 > 0 such that                         if Iz - PI <   8, z E 0, and
Lp(z) == 0 then z == P. See Figure 8.1.
Other Applications of             aTechniques                                        265




                                                                 {Z : Lp(z)   = O}




FIGURE 8.1




PROOF       We write the Taylor expansion for PA about the point P in complex
notation:


                              n       8PA             n    8PA
  p(z)   ==   p(P) + '"' -(P)(z· - p.) + '"' -_-(P)(z· - p.)
                     ~ 8z.     J    J    ~ 8z.       J    J
                              j=1        J           j=1     J


                  1       n         82
              + - '"' ~(P)(z· - P')(Zk - Pk)
                2 ~ 8z·8z   J    J
                  j,k=1 J k




                      n        82
              +   L           --_ (P)(z· - P')(Zk - Pk ) + 0 ( Iz - PI 3 )
                                  PA
                              8z ·8z   J    J
                  j,k=1           J      k
266                                           Applications of the a-Neumann Problem


Now if z is such that L p (z)     == 0 then we find that
                       n   a2
          p(z) =   L       8z~~ (P)(Zj - Pj)(Zk - Pk) + O(lz - PI 3 ).
                   j,k=l     J   k

Of course the sum is nothing other than that on the left-hand side of (8.3.3) with
w == z - P. So in fact we have



If Iz - P I is sufficiently small then this last quantity is greater than or equal to
(C/2)lz - P1 2 . That is what we wished to prove.          I

   Now the upshot of the technical construction that we have just achieved is
the following:

THEOREM 8.3.5
Let n be smoothly bounded and strongly pseudoconvex. Let P E an. Then
there is a function that is holomorphic on n and that cannot be analytically
continued to any neighborhood of P.

PROOF   With 8 as in the preceding lemma, let ¢ E C~ (en) satisfy ¢ == 1 near
P and ¢ is supported in the ball of center P and radius 8. Let
                                             ¢(z)
                                     g(z) = Lp(z) .
Notice that 9 is holomorphic on the intersection of a small neighborhood of P
with n, but it is certainly not holomorphic on all of n. Observe also that, by
the choice of the support of ¢, the function 9 is well defined because we have
not divided by zero. Finally, 9 blows up at P because L p (P) == o.
                   a
   Consider the problem

                                     au = _ a¢J(z ) .
                                             Lp(z)
The right-hand side has coefficients that are smooth on 0 because a¢ vanishes
in a neighborhood of P. And, by inspection, the right-hand side of this equation
                                      a
is a-closed. By our theory of the problem on strongly pseudoconvex domains,
there is a function u that satisfies this equation and is CCXJ on O.
   Now the function
                                 G(z) == ¢J(z)   + u(z)
                                         Lp(z)
has the property that it is holomorphic (since       aG
                                                  == 0 by design). Moreover,
G blows up (because   ¢/ L p does and u does not) at P. We conclude that the
holomorphic function G blows up at P hence cannot be analytically continued
past P. That completes the proof.     I
Other Applications of [) Techniques                                              267


   The Levi problem consists in showing that all pseudoconvex domains are
domains of holomorphy. This can be reduced, by relatively elementary means,
to proving the result for strongly pseudoconvex domains (see [KRl] for the
whole story). That in tum can be reduced to showing that each boundary point
P of a strongly pseudoconvex domain is essential: that is, there is a globally
                                          n
defined holomorphic function G on that cannot be analytically continued past
P. In fact, that is what we have just proved.
   It is not difficult to see that, on the ball with center P and radius 8, the real
part of L p is of one sign. Thus we may take a fractional root of this holomorphic
function. As a result, it may be arranged that 9 E L 2 (n). We leave it as an
exercise for the reader to provide details of the following assertion:

PROPOSITION 8.3.6
Let n be a smoothly bounded, strongly pseudoconvex domain. Let P E an.
Then there is an £2 holomorphic function on n (an element of A 2 (n)) that
cannot be analytically continued past P.

   It is in fact possible to construct a function that is CCXJ on nand holomorphic
      n
on that cannot be continued past any boundary point. This requires additional
techniques. See [HAS], [CAT3] for details of this result. Both the result of
the last proposition, and the result of this paragraph, are true on any smoothly
bounded (weakly) pseudoconvex domain.
   We conclude this section with another illustration of [) techniques in an ap-
plication to the extension of holomorphic functions:

THEOREM 8.3.7
Let   n ~ enbe smoothly bounded and strongly pseudoconvex. Let M == {z E
en :      Zn            n n M. If f is a holomorphic function on w then there
               == O}. Let w ==
is a holomorphic function F on n such that Flw == f.

PROOF Let 7r :           en
                        ---+ M be given by 7r(ZI, •.. , zn) == (Zl, ... , Zn-l, 0).
Define w ==        n
                n M and B == {z         En:
                                        7r(z) tJ. w}. Then Band ware disjoint
and relatively closed in n. Refer to Figure 8.2.
                                                                       n
  By the CCXJ Urysohn lemma ([HIR]) there is a Coo function ¢ on such that
¢ == 1 in a neighborhood of wand ¢ == 0 in a neighborhood of B. Now define

                                  H(z) == ¢(z) . f(7r(z)).

Since the support of ¢ lies in the complement of B, the function H is well-
defined. And it extends f. But of course it is not holomorphic.
  We endeavor to make H holomorphic by adding on a correction term: set

                                 F(z) == H(z)   + Zn . w(z).               (8.3.7.1)
268                                        Applications of the a-Neumann Problem




                                                              M




FIGURE 8.2


We seek w(z) such that   8F == 0   on O. This leads to the   aequation
                                   -       aH
                                   ow== - - .                            (8.3.7.2)
                                           Zn

The right-hand side is smooth and well defined because H is holomorphic on
a neighborhood of the set {z EO: Zn == O}. Moreover, the right-hand side is
a-closed by inspection. Finally, it is an exercise in calculus to see that there
is an s E IR such that the coefficients of the right-hand side lie in the Sobolev
space HS.
   By our theory of the [) problem on a strongly pseudoconvex domain, there
                                                                  a
exists awE HS that solves the equation (8.3.7.2). Since the problem is in
fact elliptic on the interior, we see that w is in fact a classical smooth function
on O. Thus the equation (8.3.7.1) defines a holomorphic function on 0 that
plainly has the property that F Iw == f. The proof is complete.        I
9
The Local Solvability Issue and a Look Back




9.1   Some Remarks about Local Solvability
In the nineteenth century and the first half of the twentieth, it was generally be-
lieved that any partial differential equation with smooth coefficients and smooth
data would-at least locally-have smooth solutions. This belief was fueled, at
least in part, by the Cauchy-Kowalewski theorem, which says that this assertion,
with "smooth" replaced by "real analytic," is always true.
   The Cauchy-Kowalewski theorem is the only general existence and regularity
theorem in the entire theory of partial differential equations (see [KRP] for a
treatment of this result). While fifty years ago it was thought to be typical, we
now realize that it represents the exception. Jacobowitz and Treves [JAT] have
shown that, in a reasonable sense, nonlocally solvable equations are generic.
   H. Lewy presented the first nonlocally solvable partial differential equation
in [LEW2]. Lewy's equation is astonishingly simple. If the coordinates on }R3
are given by (x, y, t) ~ (x + iy, t) ~ (z, t), then the equation is

                             Lu == -
                                    au + 7Z-
                                         . au     == f.
                                    az       at
Although it is not made explicit in that paper, Lewy's discovery grew naturally
out of analytic continuation considerations for holomorphic functions of two
complex variables. This assertion becomes clearer when the accompanying
paper [LEWl] is consulted.
   The local solvability issue is also intimately connected with integrability for
systems of vector fields-specifically the vector fields arising as the real and
imaginary parts of holomorphic tangent vector fields to a strongly pseudoconvex
hypersurface. In particular, the Lewy equation is, in local coordinates, just the
tangential Cauchy-Riemann equations on a spherical cap; the issue of local
solvability for these equations is essentially equivalent (because the Levi form
is nondegenerate) to the issue of analytically continuing CR functions to the
(pseudo)convex side of the spherical cap.
270                                          The Local Solvability Issue and a Look Back


   The local solvability question has received a great deal of attention since
Lewy's work. Hormander gave necessary conditions for the local solvability of
a linear partial differential operator (see [HOR1, Section 6.1]. Nirenberg and
Treves [NTR] gave necessary conditions for a partial differential operator of
principal type with smooth coefficients to be locally solvable. They also gave
sufficient conditions when the coefficients are real analytic. Beals and Fefferman
[BEF 1] showed that the Nirenberg-Treves condition is sufficient in general.
   Our intention in this brief chapter is to exposit the basic ideas concerning local
solvability, with special emphasis on the connections with complex analysis.
Although much of this material can be presented in an entirely elementary
fashion (see Section 9.4), we position the subject last in the book so that we
may draw on the earlier chapters both for concepts and for motivation. We refer
the reader to [KOH2] and [NIR] for more on these matters; some of the material
presented here is drawn from those references.




9.2   The Szego Projection and Local Solvability
In order to be as explicit as possible, we shall work with the Siegel upper
half-space


with boundary
                         M == {z E ((:2 : Imz2 ==                I Z lI
                                                                          2}.

It is worth noting explicitly that U is biholomorphic to the ball B: the mapping

                                <Pl(Z) == ~
                                          1 + Zl
                                                   , 1 - Zl
                                <P2(Z) ==         l . --
                                                      1+ Zl
provides an explicit mapping of B onto U. In fact, U is an example of a Siegel
domain of type two; all such domains have bounded realizations (see [KAN]).
  We shall identify M with JR.3 as follows: Let the coordinates on JR.3 be given
by (x, y, t) ~ (x + iy, t) ~ (z, t). Let

                              1/J : }R3   --+     M
                             (x, y, t)    .--.+   (z, t   + ilzI 2 ).
The Jacobian of this mapping transforms the Lewy operator L (see Section 1)
to the operator

                              L ' ==   ~
                                          a + 2'- a
                                               lZI~'
                                       UZI        UZ2
The Szego Projection and Local Solvability                                        271


More explicitly,
                 a aZ a aZ2 a aZ a aZ2 a
                 - = azI aZ - + aZ - +I - - + - -
                 az = - az -2 az aZ I az aZ2
                           I


                     == -a + l Za + (0) Za
                        aZ I
                                °
                                  -
                                aZ2
                                     -l   -
                                         aZ2
and
                 a aZ a aZ2 a aZ a aZ2 a
                 - =atI aZ - +aZ - +I - - + - -
                 at   = - at -     at aZ I at aZ2
                          I     2

                      a     a
                    ==-+-.
                     aZ2 aZ2
The formula for L' follows.
   We shall pass back and forth freely between statements on IR3 and state-
ments on M. In particular, we shall need to take statements about holomorphic
functions on the ambient space in which M lives and interpret them in the
coordinates on IR3 •
   We should certainly note at this stage that if p( z) == 1m Z2 -I zl12 is a defining
function for U, then L' annihilates p at points of M. This says that L' is
a tangential holomorphic vector field. By linear algebra, any other tangential
holomorphic vector field is a scalar multiple of L'. The operator l./ is frequently
termed the tangential Cauchy-Riemann operator. We shall develop that usage
as the chapter progresses.
   Recall the space H 2 from Chapter 6. We recast it in our present language.
Equip M with the area measure dx dy dt inherited from IR3 • Define L 2 (M) with
respect to this measure. Let H 2 (M) denote the subspace of L 2 (M) consisting of
boundary values of holomorphic functions on U. Equivalently, H 2 (M) consists
of the L 2 (M) closure of the boundary functions of those functions that are
smooth on U, holomorphic on U, and decay fast enough at 00. The equivalence,
and naturality, of these various definitions is treated in [STBV] and [KRl]. Let
P : L 2 (M) -+ H 2 (M) be orthogonal projection. It is convenient also to
have a separate notation for the mapping that assigns t~ each f E L 2 (M) the
holomorphic extension of P f to U. Call this mapping P.
   Then, as indicated in Chapter 6, P is just the Szego integral:

                                                                               (9.2.1)

where
                                       1                 1
                   S(ZI,Z2,x,y,t)=z("(_
                                      7r   l W2 -   Z2
                                                         )
                                                             -
                                                                 2-
                                                                 WI Zl
                                                                         )2'
In fact, one may derive this formula by pulling back the Szego formula on
the ball that we derived in Chapter 6. It is worth noting that the identification
272                                          The Local Solvability Issue and a Look Back


(z, t) ~ (z, t      +i      2
                        ) is in fact the canonical one coming from the simple
                         1Z 1

transitive action of IR3 acting as the Heisenberg group on M. This action is
explained in detail in [KRl, Ch. 2] and [CHK]. In particular, the Haar measure
on the Heisenberg group is just the standard Lebesgue measue on this realization
of IR3 • While this point of view is not essential to an understanding of the present
chapter, it helps to explain formula (9.2.1). For more on the Heisenberg group,
see [CHK]. See also [KOV].

PROPOSITION 9.2.2
Let ( E M and f E L 2 (M). Then Pf is analytically continuable past ( (into
the complement of U) If and only if P f is real analytic on M near (.

PROOF         This is essentially a tautology.        I

  Now the main result of this section is the following:

THEOREM 9.2.3
Let   f   E   L 2 (M) and let ( E M. Then the equation

                                            Lu == f

has a C 1 solution in a neighborhood of ( E M             if and only If P f   is real analytic
in a neighborhood of (.


COROLLARY 9.2.4
Fix ( E M. There exist functions        f   E   L 2 (M)   n C(M)   such that the equation

                                            Lu == f

has no C 1 solution in a neighborhood of (. Indeed, such              f   are generic.


PROOF OF THE COROLLARY             Suppose without loss of generality that ( is the
image under the biholomorphism <1> of the point (1, 0) E aB. Let F (z) ==
J-l 0 <1>-1 (z), where J-l( w) == ~. Then F is plainly continuous near ( and
not real analytic in any neighborhood of (. Set f == F 1M. Then of course
P f == f and Pf == F. This f does the job.
    The fact that such functions f are generic follows from elementary considera-
tions: Once we have peaking functions (actually 1 - J-l is a peaking function) as
in the preceding paragraph then the density of f for which the partial differential
equation is not solvable near P follows from Stone-Weierstrass considerations.
For further details on the genericity of f for which the differential equation is
not solvable, we refer the reader to [JAT]. I
The Szego Projection and Local Solvability                                   273



   The remainder of this section, and also the next section, will be devoted to
a proof of the theorem. For some parts of the proof we shall have to refer the
reader to the literature, but we can certainly describe the key ideas.
   We will make use of the following property of the Szego kernel. Because
we have an explicit formula for S on U, this property follows immediately by
inspection. However, we wish to isolate it because our arguments will apply on
any domain on which the property holds.

Condition A: Let W ~ M be a relatively open set. Then the Szego kernel
    extends to be a continuous function on W x         ell 
                                                    W). Furthermore,
    if K ~ W is compact then there is an open set V ~              en
                                                             such that
    K ~ V n M ~ Wand, for each fixed w E U  W, the function S( . ,w)
    continuous analytically to V.

This condition is slightly at variance with an analogous condition enunciated
in [KOH2, p. 216]. However, it is best suited to our purposes. Condition A
is known to hold, for instance, on smoothly bounded strongly pseudoconvex
domains. See [FEF], [BDS], [TAR], and [TREI] for details.
   Now consider the partial differential operator

                             L ' == - a - 2' Z I - ·
                                           l   a
                                   aZI          aZ2

If p( z) is the defining function for U as above, then L' p == 0 on au. Of course
L' is nothing other than the tangential Cauchy-Riemann operator. It makes
sense to restrict its action to functions on M. In particular, L' annihilates any
H 2 (M) function.
   We may consider its formal adjoint L'*, which is given by

                              (L'*u, v) == (u, L'v)

for all u, v E C~ (M). Notice that L'* is a first order homogeneous partial
differential operator because L' is.

PROPOSITION 9.2.5
Let ( E M. Let f E L 2 (M). If there is an £2 function u on a neighborhood
U n M of ( satisfying

                                    L'*u == f

on U then Pf has a holomorphic extension past (; that is, there is an open set
V ~ e2 with ( E V such that Pf continues analytically to V.

PROOF      If 9 is an L 2 function on M that is 0 in a neighborhood 1V of ( E M
then it is immediate from Condition A that Pg extends analytically past (.
274                                      The Local Solvability Issue and a Look Back


  Now let TJ E C~(M) satisfy "7     ==    1 in a neighborhood of (. Then, in that
same neighborhood,                                    '

                   I - L'*("7u) == I - [L'*(TJ)]u - TJ[L'*u]
                                == I - 0 . U - 1 . I == O.

By the preceding paragraph, P(I - L'* (TJu)) continues analytically past (. But
L'*(TJu) ..1 H 2 (M) hence P(I - L'*(TJu)) == PI. That completes the proof.
                                                                                   I

  Now notice that L'* == L'. Thus we have

COROLLARY 9.2.6
Fix ( E M and let I E L 2 (M). If    PI     is not real analytic in a neighborhood
of (, then the equation

                                    L'u ==    I
is not solvable in a neighborhood of (.

PROOF Since PI is not real analytic in a neighborhood of ( then (as has been
noted above), PI does not continue analytically past (. The proposition then
gives the result. I

   Of course the proposition is just the forward direction of Theorem 9.2.3. In
order to prove the converse direction, we shall need the basic Hodge theory for
the tangential Cauchy-Riemann operator. That will be developed in the next
section.




9.3   The Hodge Theory for the Tangential Cauchy-Riemann Complex
What we are about to do here closely parallels the Hodge theory that we de-
veloped for the a-Neumann complex in Chapter 7. Therefore we shall be brief.
A thorough treatment of CR manifolds and the tangential Cauchy-Riemann
operator may be found in [BOG].
                                                                         a
   Intuitively what we want to do is to look at the restriction of the complex
to M. This means that we want to restrict attention to only certain types of
forms. The convenient language for formulating these ideas precisely is to pass
to a quotient. Let p, q E {O, 1,2, ... }. Following the notation of Kohn ([FOK],
[KOH2]), we shift gears in this section and let AP,q denote the (p, q)-fonns with
COCJ coefficients on U. Now set
                    cP ·q == {f E AP,q : EJp / I == 0 on M}.
The Hodge Theory for the Tangential Cauchy-Riemann Complex                           275



Here p( z)   == 1m Z2   -   Izll2   is the usual defining function for U. Clearly,
                                         a: C        P . q ---t   CP .q + I .

Set
                                         BP.q == AP,q /C P.q.

By (*) we see that      a induces a well-defined operator on BP,q which we denote
      a
by b • We call



                                     a
the boundary complex and b the tangential Cauchy-Riemann operator. (Exer-
cise: What does this tangential Cauchy-Riemann operator have to do with the
operator from Section 9.2?)
   Let TI.O(M) == T(M) n T1.o. Here T is the complexified tangent space
described earlier in this book. Thus a E T~,o(M) if and only if

                                                and

Likewise TO. I (M) == T(M) n TO,I. Of course BI,o and BO,I are, respectively,
dual to T I .o and TO. I • The standard hermitian inner product on T(M) induces
inner products on T~'o and T~·I. It follows that an inner product is induced on
each B~·q; using the L 2 structure on M, we then obtain an inner product

                               (0,8) =          1M (o( ,/3()( dx dy dt
on the forms in BP.q. We invite the reader to verify that BP,q is nothing other
than the space of forms restricted to M that are pointwise orthogonal to the
ideal generated by p.   a
   We define the formal adjoint {) b of ab by the relation



for forms a, f3 with C~ coefficients on M. Thus {)b : BP.q ---t BP,q-1 when
q ~ 1. In analogy with the development in Chapter 7, we define the b Laplacian  a
by

                                         Db     ==    ab{)b       + {)bab.
If we let Li,q denote the competion (in the L 2 topology) of BP,q then we may
define
                                                   q
                Dom(Df·q)           == {a   E   Li· : a in the domain of Db}.
In analogy with our work in Chapter 7, it can be shown that

 Dom(D b )   == Dom(ab ) n Dom('19 b) n {a : aba E Dom('19 b ) , 'l9 ba E Dom(ab )}.
276                                          The Local Solvability Issue and a Look Back


  Set
                       1t~,q ==   {a   E Dom(D~,q) : D~,qa ==            O}.
This is the harmonic space. Now let {)b denote the closure of the operator {)b
that we defined above. It follows (again see Chapter 7) that

                                         (8b ) *   == () b,

where   (8b )* is the L 2 adjoint of 8b . Notice that
                          (D~,qa, a) == 118b ¢lll2         + II{)b<l>lli2.
Then it follows that

PROPOSITION 9.3.1
We have that



   Of course the operator () b on functions is just the zero operator. It follows
that 1t~,o is nothing other than H 2 (M). By the same token, on functions,

                                        Dba == ()b8ba.

Now we have a local solvability statement for Db:

THEOREM 9.3.2
Let f E L 2 (M), Let ( E M and let U be a boundary neighborhood of (. If
there is a function U E L 2 (U n M) such that

                                          Dbu == j,

then   Pj   has an analytic continuation past (.

PROOF       This is the same as the forward direction of the proof of Theorem 9.2.3.
                                                                                       I

   But, using the additional machinery we have developed, there is the following
strictly stronger result:

THEOREM 9.3.3
Assume that the range of the L 2 closure of Db on functions is closed. Fix
( EM. Then the equation
                                          Db U ==      f
is solvable in a neighborhood of (        if and only if Pf is analytically continuable
past (.
Commutators, Integrability, and Local Solvability                             277


PROOF If B is a subspace of the Hilbert space A, then we let A e B denote
the orthogonal complement of B in A.
   The hypothesis that the closed operator (still denoted by Db) has closed range
means that there is a bounded self-adjoint operator



such that


Thus N b is a right inverse for Db. (This is the Neumann operator for Db; again
refer to our work in Chapter 7 for details.)
   Of course we may extend N b to all of L 2 by setting N b == 0 on H 2 and
extending by linearity. Then we have the orthogonal decomposition



If P f is analytic in a neighborhood of ( then the Cauchy-Kowalewski theorem
guarantees (because Db has analytic coefficients) that there is a function v on a
neighborhood of ( such that Dbv == P f. But then



proving the local solvability of our partial differential equation.
  Of course the converse direction is contained in the preceding theorem.       I

  Now one may check from the definitions that, on functions,



(think about the canonical dual object in the cotangent space at each point to
the vector field L and check that it is pointwise orthogonal on M to the ideal
generate by [)p). Thus if f on M has the property that P f is analytic near (
and if v is a solution to Dbv == f as provided by the last theorem, then Lv is a
solution to Lw == f. That proves the converse direction of Theorem 9.2.3 and
completes our discussion of local solvability for the operator L.




9.4   Commutators, Integrability, and Local Solvability
In this section we shall examine the local solvability question from a more
elementary point of view. In the end, however, we shall tie it into the preceding
discussions.
   Consider a partial differential operator

                                  P   ==   PI   + iP2 ,
278                                      The Local Solvability Issue and a Look Back


where PI, P 2 are linear, real partial differential operators. Let us assume that
PI ,P2 are linearly independent at each point. An example of such an operator
is
                                 1 a i a
                               P==--+--.
                                 2   2   ax        ay
This is nothing other than the operator       a/az.   If   f   is a given C~ function then
the formula

                          u(z) =   -~
                                    7r
                                         if     f(()
                                                (-  z
                                                           d~ d7]
gives a solution to the equation Pu == f. See [KR 1] for details.
   It turns out that for arbitrary P satisfying the above hypotheses, it is possible
to find a local change of coordinates so that, in these coordinates, the opera-
tor P becomes (a nonvanishing multiple ot) the Cauchy-Riemann operator as
above. Indeed, if z == x + iy satisfies pz == 0 and if Re 7 z, 1m 7 z are linearly
independent, then we may write
                                         a         a
                                P == p az + W az           .
Applying both sides of this equation to the function z yields

                                         o==p

so that
                                               a
                                    P ==   W   8z .
Here w is a nonnvanishing function. The existence of such a function z, given
an operator P, is not elementary. The necessary variational techniques may be
found in [COH, Ch. 4, Section 8].
   In any event, the study of operators P of the given form in dimension 2 is
straightforward and reduces to consideration of the well-understood Cauchy-
Riemann operator of classical complex analysis.
   Now suppose that the dimension is at least three. One might hope, in analogy
with the classical method of integral curves (see [ZAU]), to find integral surfaces
of the vector fields PI and P2 . The operator P would then act on each of
these surfaces much as P acted on IR2 in the two-dimensional case. Then we
could analyze the three-dimensional case by studying the problem on each two-
dimensional integral surface and amalgamating the results.
   However, the Frobenius integrability theorem [KOM] provides conditions
that are both necessary and sufficient for the preceding program to be feasible.
Indeed, it is required that the commutator [PI, P2 ] == PI P 2 - P2 P I lie, at each
point, in the span over IR of PI, P 2 . And in fact this integrability condition goes
to the heart of the matter. Hormander (see [HORl]) showed that the integrability
condition is necessary for local solvability of the partial differential operator P.
Commutators, Integrability, and Local Solvability                                   279



Given Hormander's theorem, we see that the operator
                          a ,a
                    L == -
                          az + zz-at
                       == 2 ( ax -- zay )
                          1    a ,a                 + z( x-
                                                       '       zy ( at )
                                                               ') a

                          [ ~ ~ + y~] + i . [- ~ ~ + x~]
                            2 ax   at          2 ay   at
satisfies




Thus
                                             1 {J      1   a        a
                           [L 1 , L 2 ] ==   "2 at + 2at       ==   at '
and we see that [L 1 , L 2 ] is not in the span of L 1 , L 2 • By Hormander's theorem,
L is not locally solvable.
   A slightly more elementary operator that is amenable to Hormander's anal-
ysis is the Grushin operator [GRU], which is closely related to an example of
Garabedian [GAB2]. The operator, on IR2 , is given by
                                                  a ,a
                                   M ==          ax + zx ay .
The reader may check that the integrability condition is not satisfied at the origin.
   Let us conclude this chaper with an elementary proof that the equation M u ==
f is not always locally solvable in a neighborhood of the origin. The argument
presented here is taken from [NIR]. It is of particular interest in that it proceeds
by attempting to carry out the program of changing the operator M into the
Cauchy-Riemann operator and then dealing with the resulting singularity. We
shall choose a particular non-real analytic f to facilitate the argument.
   To wit, let (x, y) be the coordinates on IR2 . Let D n ~ IR2 be the closed
disc D( 1/ n, 4 -n), n == 1, 2, ... Let f be a COCJ function on }R2 that is compactly
supported, even in the x-variable, and vanishes outside of the discs D n . Assume
that f is positive on the interior of each D n • It is plain that f is not real analytic
in any neighborhood of the origin.

PROPOSITION 9.4.1
With the operator M and function             f   as above, the equation
                                             Mu==f
has no C 1 solution in any neighborhood of the origin.
280                                     The Local Solvability Issue and a Look Back


PROOF    Seeking a contradiction, suppose that u is a C 1 solution of the equation
in a neighborhood U of the origin. Write u == e + 0, where e is even in the
x-variable and 0 is odd in the x-variable. Then the even (in the x-variable) part
of the equation

                                     Mu==f
is

                            :x 0 + ix :y 0 = f (x, y).                    (9.4.1.1)

In particular, M annihilates e and we may take u == o.
   Let us restrict attention to the region {(x, y) : x 2: o}. Notice that 0 vanishes
on the boundary of this region. Introduce the new variable s == x 2 /2. Hence

                                   a      1    a
                                   as     xax .
Dividing the equation (9.4.1.1) by x and making suitable substitutions yields

                         au au
                         -a + i-a ==      1     ~
                                          ~. f(v2s, y).                    (9.4.1.2)
                          s     y        v2s
Moreover, u == 0 when s == o.
   Observe that the left-hand side of (9.4.1.2) is just two times the Cauchy-
Riemann operator applied to u in the coordinates (s, y). Thus we see that u is a
holomorphic function of the complex variable s+iy on W == }R2  [Un (DnUD n )],
where D n is the reflection of D n in the y-axis. But we also know that u
vanishes on the y-axis. By analytic continuation, it follows that u == 0 on W.
In particular, u == 0 on the boundary of each D n .
   Return now to the (x, y) coordinates. Then Stokes's theorem yields a contra-
diction:




This contradicton completes the proof.         I

   Let us conclude by noting the connection between the point of view of the
present section with that of the last section. We already know that the operator L
from Section 2 is essentially the tangential Cauchy-Riemann operator. Saying
that its real and imaginary parts satisfy the Frobenius integrability condition
(in the sense that the real tangent space is in the span of Re L, 1m L and their
commutators) is, in the language of several complex variables, saying precisely
that the boundary of U is of finite commutator type in the sense of Kohn (see
[KR1] for details and background of these ideas). And this is implied, for
instance, by the hypothesis that the boundary is strongly pseudoconvex. Indeed,
Commutators, Integrability, and Local Solvability                                281


the fact that the commutator has a component in the complex normal direction
is just the same as saying that the Levi form is definite, as is exhibited explicitly
by the formula
                            £(Z, W) == ([Z, W], 8p).
Here £ denotes the Levi form and p is the defining function for U.
   Thus we see that as soon as a hypersurface in C 2 exhibits strong complex
"convexity" then the complex analysis gives rise in a natural fashion to an
unsolvable partial differential operator. Such a phenomenon could not arise in
the context of one complex variable, since the boundary of a domain in C 1 has
no complex structure.
Table of Notation




Notation           Meaning                                         Page Number
IR                 Real line                                                  1
C                  Complex plane                                              1
    a        a     Complex partial derivatives                                1
8z J    '   aZ J
6                  Laplacian                                                  2
Ck(X)              k-times continuously differentiable functions           2, 8
v                  Unit normal direction                                 3, 209
D                  Unit disc                                                  2
Pr (lIJ)           Poisson kernel                                             5
An                 Lipschitz space                                            7
LiP!               Lipschitz space                                            7
Py(x)              Poisson kernel                                            10
~~                 Finite difference operator                           17, 210
p                  Defining function                                         20
a(D)               Symbol of an operator                                    24
j                  Fourier transform                                    26, 211
1                  Reflection of f                                          28
7h                 Translation operator                                     34
F                  Fourier transform                                        36
Pn,{3              Schwartz space semi-norm                                 36
5                  Schwartz space                                           36
Nf.,£,m            Basis element for the Schwartz topology                  37
5'                 Space of Schwartz distributions                          37
COO
  c                Smooth functions of compact support                      40
V                  Smooth functions of compact support                      40
Coo                Smooth functions                                         40
£                  Smooth functions                                         40
V'                 Space of distributions                                   40




                                                                              283
284


      Notation            Meaning                                    Page Number
      ['                  Space of distributions                               40
      PK,Q                Distribution semi-norm                               40
      8                   Dirac mass                                           41
      !*g                 Convolution of f and 9                               43
      {¢t}                Friedrichs mollifiers                                44
      j                   Inverse Fourier transform of f                       54
      sm                  Symbol class                                         57
      s;;>                Symbol class                                         57
      II IIRs             Sobolev norm                                         57
      HS                  Sobolev space                                        57
      Op(p)               Pseudodifferential operator                          61
      Tp                  Pseudodifferential operator                          61
      T*                  Adjoint of an operator                               65
      a(T)                Symbol of the operator T                             66
      [A,B]               Commutator                                           67
      11K                Symbols with support in K                            68
      r(x,~,y)            Hormander symbol                                     68
      Tm                  Hormander symbol class                               69
                          Asymptotic expansion                                 69
      rj                  Fourier transform in jth variable                    69
      tp                  Transpose of P                                       77
      M¢                  Multiplication operator                               78
      sing supp u         Singular support of a distribution                    78
      8ij                 Kronecker delta                                       79
      aL, aprin, ap       Leading or principal symbol                 88, 119,219
      P(D)                Partial differential operator                         95
      IR~                 Upper half-space                                      95
      Bj                  Boundary operator                                     95
      Dj                  Normalized derivative                                115
      vO                  Restriction of v to the half space                   116
      o                   Tensor product                                       116
      ¢a                  Mobius transformation                                128
      A 2 (O)             Bergman space                                        131
      K(z, (), Kn(z, ()   Bergman kernel                                  132, 135
      JacIR               Real Jacobian matrix                                 136
      Jace                Complex Jacobian matrix                              136
      J                   Complex Jacobian matrix                              136
      A(O)                holomorphic functions, continuous on   n             138
285



Notation        Meaning                                    Page Number
II IIH2         Hardy space norm                                    138
H2              Hardy space                                         139
S(z, ()         Szego kernel                                        139
P(z, ()         Poisson-Szego kernel                                140
B(z, r)         Isotropic ball                                      141
(3(z,r)         Non-isotropic ball                             142, 150
£g ('1)         Length of the curve '1                              143
6B              Bergman Laplacian                                   147
Pk              Homogeneous polynomials of degree k                 154
dk              Dimension of Pk                                     154
(P,Q)           Inner product on Pk                                 154
~N-I            Unit sphere in }RN                                  156
1tk             Surface spherical harmonics of degree k             157
Ak              Solid spherical harmonics                           157
y(k)            Spherical harmonic                                  157
Z(k)
 x'             Zonal harmonic                                      161
pt(t)           Gegenbauer polynomial                               169
1t p ,q         Bigraded spherical harmonics                        173
D(p, q; n)      Dimension of HP,q                                   173
7f'p,q          Projection onto HP,q                                173
F(a, b, c; x)   Hypergeometric function                             175
Sh,q (r)        Radial solution of the Bergman Laplacian       175, 178
CTp(cn)         Complexified tangent space                          185
Ip,q           Bigraded differential forms                    186, 188
IT             Differential forms of degree r                      186
a               Holomorphic exterior derivative                     186
a               Antiholomorphic exterior derivative                 186
dV              Volume element                                      187
I~,q           Forms with coefficients in C~                       188
HP,q            Forms with coefficients in H S                      188
     s
'1              Volume form                                         188
*               Hodge star operator                                 188
                    · . .        ,,0 I
ITo, I          ProJectloo 10tO I  '                               191
{)              Formal adjoint of   a                               191
vp,q            Ip,q (0) n doma*                                   195
Q(¢,4»          Quadratic form                                 196, 197
v~,q            I~,q ndoma*                                        198
vp,q            Closure of vp,q in the Q-topology                   198
D               a-Neumann Laplacian                                 199
286


      Notation        Meaning                                  Page Number
      F               Friedrichs operator                          196, 199
      Lp              Levi form                                         205
      E(¢)            Special Sobolev norm                         206, 228
      Lj              Vector fields                                     209
      fj              Vector fields                                     210
      Lj              Vector fields                                     210
      Ar              Bessel potential                                  212
      Af              Tangential Bessel potential                       217
      I I Ills        Tangential Sobolev norm                           217
      -(3
      Dr. H           Tangential difference operator                    217
      Q8              Regularized quadratic form                        218
      F8              Regularized Friedrichs operator                   219
      7              Gradient                                          225
      Pk              Cutoff functions                                  234
      HP,q            Harmonic space                                    246
      H               Harmonic projection                               246
      N               Neumann operator                                  246
      P               Bergman projection                                252
      Condition R     Bergman regularity                                252
      Hj(O), Hoo(O)   Sobolev holomorphic functions                     256
      8j              Distance to boundary of OJ                        259
      Lp              Levi polynomial                                   264
      U               Siegel upper half-space                           270
      M               au                                                270
      <I>             Cayley map                                        270
      AP,q            (p, q) forms with Coo (U) coefficients            274
      BP,q            Domain of ba                                      275
      8b              Tangential Cauchy-Riemann operator                275
      T               Complexified tangent space                        275
      H~,q            Tangential harmonic space                         276
      Db              Tangential Neumann Laplacian                      276
      Nb              Tangential Neumann operator                       277
      £               Levi form                                         281
Bibliography




[ARO]    N. Aronszajn, Theory of reproducing kernels, Trans. Am. Math. Soc.
         68(1950), 337-404.
[BAC]    G. Bachman, Elements of Abstract Harmonic Analysis, Academic
         Press, 1964.
[BAR]    D. Barrett, Regularity of the Bergman projection on domains with trans-
         verse symmetries, Math. Annalen 258(1982), 441-446.
[BEA 1] R. Beals, A general calculus of pseudo-differential operators, Duke
        Math. J. 42(1975), 1-42.
[BEA2] R. Beals, Characterization of pseudodifferential operators and applica-
       tions, Duke J. 44(1977), 45-57; correction, ibid. 46(1979), 215.
[BEA3] R. Beals, Weighted distribution spaces and pseudodifferential operators,
       J. d' Analyse Mathematique 39( 1981), 131-187.
[BEFl] R. Beals and C. Fefferman, On local solvability of linear partial differ-
       ential equations, Ann. Math. 97( 1973), 482-498.
[BEF2] R. Beals and C. Fefferman, Spatially inhomogeneous pseudo-
       differential operators I, Comm. Pure Appl. Math. 27(1974), 1-24.
[BEA]   F. Beatrous, LP estimates for extensions of holomorphic functions,
        Mich. J. Math. 32(1985), 361-380.
[BEC]   W. Beckner, Inequalities in Fourier analysis, Ann. Math. 102( 1975),
        159-182.
[BD]    E. Bedford, Proper holomorphic maps, Bull. A.M.S. 10(1984), 157-175.
[BEl]   S. Bell, Analytic hypoellipticity of the a-Neumann problem and ex-
        tendability of holomorphic mappings, Acta Math. 147(1981), 109-116.
[BE2]   S. Bell, Biholomorphic mappings and the        a problem,   Ann. Math.
        114(1981),103-113.
[BEB]   S. Bell and H. Boas, Regularity of the Bergman projection in weakly
        pseudo-convex domains, Math. Annalen 257(1981), 23-30.
[BKR]   S. Bell and S. G. Krantz, Smoothness to the boundary of conformal
        maps, Rocky Mt. J. Math. 17(1987),23-40.
288                                                          BIBLIOGRAPHY


[BEL]   S. Bell and E. Ligocka, A simplification and extension of Fefferman's
        theorem on biholomorphic mappings, Invent. Math. 57(1980), 283-289.
[BGL]   J. Bergh and J. Lofstrom, Interpolation Spaces:      An Introduction,
        Springer-Verlag, Berlin, 1976.
[BOl]   H. Boas, Sobolev space projections in weakly pseudoconvex domains,
        Trans. A.M.S. 288( 1985), 227-240.
[B02]   H. Boas, Regularity of the Szego projection in weakly pseudoconvex
        domains, Indiana Univ. Math. J. 34(1985),217-223.
[BOK]   J. Bokobza and A. Unterberger, Sur une generalization des operateurs
        de Caldero-Zygmund et des espaces H S , C. R. Acad. Sci. Paris
        260(1965),3265-3267.
[BOG]   A. Boggess, Tangential Cauchy-Riemann Equations and CR Manifolds
        on CR Manifolds, CRC Press, Boca Raton, 1991.
[BDS]   L. Boutet de Monvel and J. Sjostrand, Sur la singularite des noyaux
        de Bergman et Szego, Soc. Mat. de France Asterisque 34-35(1976),
        123-164.
[CAL]   A. P. Calderon, unpublished lecture notes.
[CZl]   A. P. Calderon and A. Zygmund, On the existence of certain singular
        integrals, Acta Math. 88( 1952), 85-139.
[CZ2]   A. P. Calderon and A. Zygmund, Singular integral operators and dif-
        ferential equations, Am. J. Math. 79( 1957), 901-921.
[CAR]   C. Caratheodory, Gesammelte Mathematische Schriften, 1955, Beck,
        Munich.
[CCP]   G. Carrier, M. Crook, and C. Pearson, Functions ofa Complex Variable,
        McGraw-Hill, New York, 1966.
[CATl] D. Catlin, Necessary conditions for subellipticity of the a-Neumann
       problem, Ann. Math. 117(1983), 147-172.
[CAT2] D. Catlin, Subelliptic estimates for the [) Neumann problem, Ann. Math.
       126(1987), 131-192.
[CAT3] D. Catlin, Boundary behavior of holomorphic functions on pseudocon-
       vex domains, J. Diff Geom. 15(1980), 605-625.
[CHK]   D. C. Chang and S. G. Krantz, Analysis on the Heisenberg Group and
        Applications, preprint.
[COL]   E. Coddington and N. Levinson, Theory of Ordinary Differential Equa-
        tions, McGraw-Hill, New York, 1955.
[CMB] J. F. Colombeau, New Generalized Functions and Multiplication of
      Distributions, North Holland, Amsterdam and New York, 1984.
[CON]   P. E. Conner, The Neumann's Problem for Differential Forms on Rie-
        mannian Manifolds, Mem. Am. Math. Soc. #20, 1956.
BIBLIOGRAPHY                                                                289


[COR]    H. Cordes, On pseudodifferential operators and smoothness of special
         Lie-group representations, Manuscripta Math. 28( 1979) 51-69.
[COW] H. Cordes and D. Williams, An algebra of pseudodifferential operators
      with nonsmooth symbol, Pac. J. Math. 78(1978), 279-290.
[COH]   R. Courant and D. Hilbert, Methods of Mathematical Physics, Inter-
        science, New York, 1962.
[DAN 1] J. P. D'Angelo, Real hypersurfaces, orders of contact, and applications,
        Ann. Math. 115(1982),615-637.
[DAN2] J. P. D' Angelo, Intersection theory and the a-Neumann problem, Proc.
       Symp. Pure Math. 41(1984), 51-58.
[DAN3] 1. P. D'Angelo, Finite type conditions for real hypersurfaces in     en.
       In Complex Analysis Seminar, Springer Lecture Notes Vol. 1268,
       Springer-Verlag, 1987, 83-102.
[DER]   G. de Rham, Varieties Differentiables, 3rd ed., Hermann, Paris, 1973.
[DIE]   K. Diederich, Uber die 1. and 2. Ableitungen der Bergmanschen Kern-
        funktion und ihr Randverhalten, Math. Annalen 203(1973), 129-170.
[DF]    K. Diederich and J. E. Fornress, Pseudoconvex domains with real-
        analytic boundary, Ann. Math. 107(1978),371-384.
[ERD]   A. Erdelyi, et aI., Higher Transcendental Functions, McGraw-Hill,
        New York, 1953.
[FED]   H. Federer, Geometric Measure Theory, Springer-Verlag, Berlin, 1969.
[FEF1] C. Fefferman, The Bergman kernel and biholomorphic mappings of
       pseudoconvex domains, Invent. Math. 26(1974), 1-65.
[FEG]   C. Fefferman, The uncertainty principle, Bull. A.M.S. 9(1983), 129-
        206.
[FKP]   R. Fefferman, C. Kenig, and J. Pipher, preprint.
[FOL]   G. B. Folland, Spherical harmonic expansion of the Poisson-Szego
        kernel for the ball, Proc. Am. Math. Soc. 47(1975),401-408.
[FOK]   G. B. Folland and J. J. Kohn, The Neumann Problem for the Cauchy-
        Riemann Complex, Princeton University Press, Princeton, NJ, 1972.
[GAB 1] P. Garabedian, Partial Differential Equations, Wiley, New York, 1964.
[GAB2] P. Garabedian, An unsolvable equation, Proc. A.M.S. 25( 1970), 207-
       208.
[GIL]   P. Gilkey, The Index Theorem and the Heat Equation, Publish or Perish
        Press, Boston, 1974.
[RGR 1] C. Robin Graham, The Dirichlet problem for the Bergman Laplacian I,
        Communications in Partial Differential Equations 8(1983), 433-476;
        part II, ibid. 8(1983),563-641.
290                                                          BIBLIOGRAPHY


[GRL]   C. Robin Graham and J. M. Lee, Smooth solutions of degenerate Lapla-
        cians on strictly pseudoconvex domains, Duke J. Math. 57( 1988), 697-
        720.
[GRE]   P. Greiner, Subelliptic estimates for the a-Neumann problem in C2 , J.
        Diff. Geom. 9(1974),239-250.
[GRS]   P. Greiner and E. M. Stein, Estimates for the a-Neumann Problem,
        Princeton University Press, Princeton, 1977.
[GRU]   V. Grushin, A certain example of a differential equation without so-
        lutions, Mat. Zametki 1O( 1971), 125-8; transl. Math. Notes 1O( 1971),
        499-501.
[GUP]   M. de Guzman and I. Peral, Fourier Analysis, Proceedings of the EI
        Escorial Conference, Asociacion Matematica Espanola, 1979.
[HAD] J. Hadamard, Le probleme de Cauchy et les equations aux derivees
      partielles lineaires hyperboliques, Paris, 1932.
[HAS]   M. Hakim and N. Sibony, Spectre de A(O) pour des domaines bomes
        faiblement pseudoconvexes reguliers, J. Funct. Anal. 37(1980), 127-
        135.
[HEI]   M. Heins, Complex Function Theory, Academic Press, New York,
        1968.
[HEL]   S. Helgason, Differential Geometry and Symmetric Spaces, Academic
        Press, New York, 1962.
[HIR]   M. Hirsch, Differential Topology, Springer-Verlag, Berlin, 1976.
[HOR1] L. Hormander, Linear Partial Differential Equations, Springer-Verlag,
       Berlin, 1969.
[HOR2] L. Hormander, Pseudo-differential operators, Comm. Pure Appl. Math.
       18(1965),501-517.
[HOR3] L. Hormander, Pseudo-differential operators and non-elliptic boundary
       problems, Ann. Math. 83«1966), 129-209.
[HOR4] L. Hormander, The Analysis of Linear Partial Differential Operators,
       in four volumes, Springer-Verlag, Berlin, 1983-1985.
[HOR5] L. Hormander, The Weyl calculus of pseudo-differential operators,
       Comm. Pure Appl. Math. 32(1979), 359-443.
[INCE] E. L. Ince, Ordinary Differential Equations, Longmans, Green, and
       Co., London and New York, 1927.
[JAT]   H. Jacobowitz and F. Treves, Nowhere solvable homogeneous partial
        differential equations, Bull. A.M.S. 8( 1983), 467-469.
[KAN] S. Kaneyuki, Homogeneous Domains and Siegel Domains, Springer
      Lecture Notes no. 241 , Springer-Verlag, Berlin, 1971.
BIBLIOGRAPHY                                                                  291


[KAT]   Y. Katznelson, An Introduction to Harmonic Analysis, Wiley, New
        York, 1968.
[KEL1] O. D. Kellogg, Foundations of Potential Theory, Springer-Verlag,
       Berlin, 1929.
[KEL2] O. D. Kellogg, Harmonic functions and Green's integral, Trans. Am.
       Math. Soc. 13(1912), 109-132.
[KER1] N. Kerzman, A Monge-Ampere equation in complex analysis, Proc.
       Symp. Pure Math. , Vol. 30, Part 1, American Mathematical Society,
       Providence, RI, 1977, 161-168.
[KER2] N. Kerzman, The Bergman kernel function. Differentiability at the
       boundary, Math. Annalen 195(1972), 149-158.
[KOM] S. Kobayashi and K. Nomizu, Foundations of Differential Geometry,
      Vols. I and II, Interscience, New York, 1963, 1969.
[KOHl] J. J. Kohn, Harmonic integrals on strongly pseudoconvex manifolds I,
       Ann. Math. 78(1963), 112-148; II, ibid. 79(1964),450-472.
[KOH2] J. J. Kohn, Methods of partial differential equations in complex analy-
       sis, Proc. Symp. Pure Math., Vol. 30, American Mathematical Society,
       Providence, RI, 1977,215-237.
[KOH3] J. J. Kohn, A survey of the a-Neumann problem, Proceedings of Sym-
       posia in Pure Math. 41(1984), 137-145.
[KON1] J. J. Kohn and L. Nirenberg, On the algebra of pseudo-differential
       operators, Comm. Pure Appl. Math. 18(1965),269-305.
[KON2] J. J. Kohn and L. Nirenberg, Non-coercive boundary value problems,
       Comm. Pure and Appl. Math. 18(1965),443-492.
[KOV] A. Koranyi and S. Vagi, Singular integrals in homogeneous spaces
      and some problems of classical analysis, Ann. Scuola Norm. Sup. Pisa
      25(1971), 575-648.
[KR1]   S. G. Krantz, Function Theory of Several Complex Variables, 2nd Ed.,
        Wadsworth Publishing, Belmont, 1992.
[KR2]   S. G. Krantz, Lipschitz spaces, smoothness of functions, and approxi-
        mation theory, Expositiones Math. 3(1983), 193-260.
[KR3]   S. G. Krantz, Geometric Lipschitz spaces and applications to complex
        function theory and nilpotent groups, J. Funct. Anal. 34( 1979), 456-
        471.
[KR4]   S. G. Krantz, Characterization of various domains of holomorphy via    a
        estimates and applications to a problem of Kohn, Ill. J. Math. 23( 1979),
        267-286.
[KRP]   S. G. Krantz and H. R. Parks, A Primer of Real Analytic Functions,
        Birkhauser, Basel, 1992, to appear.
292                                                             BIBLIOGRAPHY


[LEWl] H. Lewy, On the local character of the solutions of an atypical linear
       differential equation in three variables and a related theorem for regular
       functions of two complex variables, Ann. Math. 64(1956),514-522.
[LEW2] H. Lewy, An example of a smooth linear partial differential equation
       without solution, Ann. Math. 66(1957), 155-158.
[LUM] Lumer, Expaces de Hardy en plusieurs variables complexes, C. R. Acad.
      Sci. Paris Sere A-B 273(1971), A151-A154.
[MEY] Y. Meyer, Estimations £2 pour les operateurs pseudo-differentiels,
      Seminaire d' Analyse Harmonique (1977/1978), 47-53, Publ. Math. Or-
      say 78, 12, Univ. Paris XI, Orsay, 1978.
[MIK1] S. G. Mikhlin, On the multipliers of Fourier integrals, Dokl. Akad.
       Nauk SSSR 109(1956), 701-703.
[MIK2] S. G. Mikhlin, Multidimensional Singular Integral Equations, Pergam-
       mon Press, New York, 1965.
[MIS]    B. Mityagin and E. M. Semenov, The space C k is not an interpolation
         space between C and Cn,O < k < n, Sov. Math. Dokl. 17(1976),
         778-782.
[MOR] C. B. Morrey, Multiple Integrals in the Calculus of Variations,
      Springer-Verlag, Berlin, 1966.
[MOS] J. Moser, On Harnack's theorem for elliptic differential equations,
      Comm. Pure Appl. Math. 14(1961),577-591.
[NIR]    L. Nirenberg, Lectures on Linear Partial Differential Equations, Amer-
         ican Mathematical Society, Providence, RI, 1973.
[NTR]    L. Nirenberg and F. Treves, On local solvability of linear partial dif-
         ferential equations I. Necessary conditions; II. Sufficient Conditions,
         Comm. Pure and Appl. Math. 23(1970), 1-38; 459-510; Correction,
         ibid. 24(1971), 279-288.
[OSG]    W. F. Osgood, Lehrbuch der Funktionentheorie, vols. 1 and 2,
         B. G. Teubner, Leipzig, 1912.
[PAl]    P. Painleve, Sur les lignes singulieres des functions analytiques, These,
         Gauthier-Villars, Paris, 1887.
[PEE]    J. Peetre, Rectifications a I' article "Une caracterisation abstraite des
         operateurs differentiels', Math. Scand. 8(1960),116-120.
[RAN]    R. M. Range, Holomorphic Functions and Integral Representations in
         Several Complex Variables, Springer-Verlag, Berlin, 1986.
[RIEl    M. Riesz, L'integrale de Riemann-Liouville et Ie probleme de Cauchy,
         Acta Math. 81(1949), 1-223.
[ROM] S. Roman, The formula of Faa di Bruno, Am. Math. Monthly 87(1980),
      805-809.
BIBLIOGRAPHY                                                                         293



[RUD1] W. Rudin, Principles of Mathematical Analysis, 3rd Ed., McGraw-Hill, New
       York, 1976.
[RUD2] W. Rudin, Function Theory in the Unit Ball of       en,   Springer-Verlag, Berlin,
       1980.
[RUD3] W. Rudin, Real and Complex Analysis, McGraw-Hill, New York, 1966.
[SCH]    L. Schwartz, Theorie des Distributions, I, II, Hennann, Paris, 1950-51.
[SPE]    D. C. Spencer, Overdetennined systems of iinear partial differential equations,
         Bull. Am. Math. Soc. 75(1969), 179-239.
[STSI]   E. M. Stein, Singular Integrals and Differentiability Properties of Functions,
         Princeton University Press, 1970.
[STBV] E. M. Stein, The Boundary Behavior of Holomorphic Functions of Several
       Complex Variables, Princeton University Press, Princeton, 1972.
[STW]    E. M. Stein and G. Weiss, Introduction to Fourier Analysis on Euclidean Spaces,
         Princeton University Press, Princeton, 1971.
[STR]    K. Stromberg, An Introduction to Classical Real Analysis, Wadsworth, Belmont,
         1981.
[TAR]    D. Tartakoff, The local real analyticity of solutions to Db and the a-Neumann
         problem, Acta Math. 145(1980), 177-204.
[TAY]    M. Taylor, Pseudodifferential Operators, Princeton University Press, Princeton,
         1981.
[TRE1] F. Treves, Analytic hypo-ellipticity of a class of pseudodifferential operators
       with double characteristics and applications to thea-
                                                           Neumann problem, Comm.
       Partial Diff. Eqs. 3:6-7(1978),475-642.
[TRE2] F. Treves, Introduction to Pseudodifferential and Fourier Integral Operators, 2
       vols., Plenum, New York, 1980.
[TRI]    H. Triebel, Theory of Function Spaces, Birkhauser, Basel and Boston, 1983.
[UNT]    A. Unterberger, Resolution d'equations aux derivees partielles dans les espaces
         de distributions d'ordre de regularite variable, Ann. Inst Fourier 21(1971) 85-
         128.
[WEL] R. O. Wells, Differential Analysis on Complex Manifolds, 2nd ed., Springer-
      Verlag, 1979.
[WHW] Whittaker and Watson, A Course of Modern Analysis, 4th ed., Cambridge Univ.
      Press, London, 1935.
[WID]    H. Widonl, Lectures on Integral Equations, Van Nostrand Reinhold, New York,
         1969.
[ZAU]    E. Zauderer, Partial Differential Equations of Applied Mathematics, John Wiley
         and Sons, New York, 1
[ZYG]    A. Zygmund, Trigonometric Series, Cambridge University Press, Cambridge,
         UK, 1968.
Index




a-Neumann problem, 184                       Calder6n-Zygmund operator, 55
a-Neumann boundary conditions, 210           Cauchy principal value integral, 55
k times continuously differentiable, 8       Cauchy problem, 2
k times continuously differentiable          Cauchy-Riemann equations, 129
       function, 2,9                         Cayley transfonn, 10
                                             character of a group, 26
                                                                  a
                                             closed range of the operator, 246
a priori estimate, 52                        closed range property for a boundary
action of a pseudodifferential operator on          value problem, 100
       a Sobolev space, 61                   coercive estimate, 196, 206
algebraic properties of distributions, 38    commutator of operators, 66, 208
asymptotic expansion, 66-68                  compactly supported distributions, 41
                                             complex Jacobian, 135
                                             complexified tangent space, 185
basic estimate, 206                          Condition R, 252
Bell's lemma, 257                            constant coefficient boundary value
Bergman kernel, 133                                 problems, 95
Bergman kernel for the ball, 137             constant coefficient partial differential
Bergman metric, 144                                 operators, 52
Bergman metric on the ball, 146              convolution, 43
Bergman projection, 252                      convolution of distributions, 43
Bergman projection and the Neumann           convolution of functions, 29
        operator, 253
Bessel potential, 114, 212
bigraded spherical hannonics, 172            difference operators, 7
biholomorphic self-maps of the ball, 130     Dini-Kummer test, 176
boundary regularity for the Dirichlet        Dirichlet problem, 2, 23
        problem for the invariant            Dirichlet problem for the
        Laplacian                                    Laplace-Beltrami operator, 148,
  Laplacian, 151 ff, 182                             150
boundary value problems reduced to           Dirichlet problem on the disc, 4, 5
        pseudodifferential equations, 116    disc, 1



                                                                                         295
296                                                                                 Index


distributions, 40                            hypergeometric equation, 174
domain with smooth boundary, 20              hypoelliptic operator, 78
                                             hypoellipticity, 207

elliptic boundary value problem, 109
elliptic operator, 23, 79, 191               inhomogeneous Cauchy-Riemann
elliptic regularity on an a smooth domain,           equations, 248
         124                                 interior regularity for an elliptic operator,
elliptic regularization, 184                         84
ellipticity, 25                              interpolation of operators, 19
Euclidean volume element, 131                invariant Laplacian, 129
existence for a boundary value problem,      inverse Fourier transform, 30
         100
existence for a general elliptic boundary
         value problem, 114                  Kahler manifold, 144
existence for an elliptic operator, 85       Kerzman's theorem, 263
extension theorem for Sobolev spaces, 92     key properties of a calculus, 65
                                             Kodaira vanishing theorem, 248
                                             Kohn, J. J., 252
Faa de Bruno, 260                            Kohn-Nirenberg calculus, 56
Fefferman's mapping theorem, 256             Kohn-Nirenberg formula, 71
Fefferman's theorem, proof, 263
finite differences, 210
formal adjoint of a partial differential     Laplace-Beltrami operator, 147
        operator, 193                        Laplace-Beltrami operator for the
Fourier inversion formula, 34                        Poincare-Bergman metric, 129
Fourier transform, 26                        Laplacian, 1, 2
Fourier transform of a distribution, 40      Levi form, 205
Fourier-Laplace transform, 48                Levi polynomial, 264
fractional integration operator, 55          Levi problem, 267
Friedrichs extension lemma, 196              Lewy unsolvable operator, 269, 270
Friedrichs mollifiers, 44                    Lewy's example of an unsolvable
Frobenius integrability condition, 278               operator, 85
Frobenius integrability theorem, 278         Lipschitz spaces, 7, 125
                                             local operator, 76
                                             local solvability and analytic continuation,
Gauss-Weierstrass kernel, 33                         276
Gegenbauer polynomial, 169                   Lopatinski condition, 96, 98, 100, 109
generalized Schwarz inequality, 215          Lumer's Hardy spaces, 139
Grushin operator, 279

                                             Mobius transformation, 128, 130
Hormander calculus, 57                       main estimate, 207, 239
Hardy spaces, 139                            method of freezing coefficients, 54
hannonic projector, 246                      Mityagin/Semenov theorem, 9
hannonic space, 276
Hilbert space adjoint of a partial
        differential operator, 193           Neumann boundary conditions, 200
Hodge star operator, 188                     Neumann operator, 246, 247
Hodge theory for the [) operator, 246        nonisotropic balls, 150
holomorphic extension phenomenon, 267        nonisotropic geometry, 142          _
holomorphic function, 131                    norm estimate for solutions of the {)
Hopf's lemma, 22                                    problem, 237
Index                                                                             297


overdetennined systeill of partial          Siegel upper half space, 270
       differential equations, 190          singular function, 266
                                            singular support of a distribution, 77
                                            smooth boundary continuation of
Paley-Wiener theorem, 42, 49                        confonnal mappings, 21
parallels orthogonal to a vector, 166       smoothing operator, 81
parametrix, 53, 81                          Sobolev -1/2 nonn, 234
parametrix for a boundary value problem,    Sobolev imbedding theorem, 58
         109                                Sobolev spaces, 57
parametrix for an elliptic boundary value   solid spherical harmonics, 157
         problem, 110                       special boundary charts, 209
Peetre 's theorem, 76                       spherical hannonics, 153, 156
Plancherel's fonnula, 35                    strongly pseudoconvex, 205
plurihannonic function, 181                 structure theorem for distributions, 41
plurihannonic functions, 142                subelliptic estimate, 184
Poincare metric on the disc, 144, 146       summability kernel, 30
Poisson kernel on the disc, 5               support of a distribution, 40
Poisson-Szego kernel, 140, 180              symbol of an adjoint pseudodifferential
Poisson-Szego kernel on the ball, 141               operator, 68
Poisson-Szego kernel on the disc, 141       symbol of an operator, 54, 56, 190
principal symbol, 80, 88                    Szego kernel, 139
pseudoconvex, 205                           Szego kernel on the ball, 141
pseudodifferential operator, 23, 55         Szego kernel on the disc, 141
pseudodifferential operators under change   Szego projection and analytic
         of variable, 88                            continuation, 272
pseudolocal, 77
pseudolocal operator, 76
                                            tangent space, 185
                                            tangential Bessel potential, 217
Raabe's test, 176                           tangential holomorphic vector field, 271
regularity for the Dirichlet problem, 10    tangential Sobolev nonn, 217
regularity in the Lipschitz topology, 125   tangential Sobolev spaces, 217
regularity of a boundary value problem,     trace theorem for Sobolev spaces, 90
        99                                  transfonnation of the Bergman kernel
Rellich's lemma, 60                                 under biholomorphic mappings,
Riemann-Lebesgue lemma, 27                          135
Riemannian metric, 143
Riesz potential, 55
Riesz-Thorin theorem, 36                    volume fonn, 187
rotations and the Fourier transfonn, 28

                                            Weierstrass nowhere-differentiable
Schauder estimates, 125                            function, 8
Schur's lemma, 212                          well-posed boundary value problem, 99,
Schwartz distribution, 37                          100
Schwartz function, 36
Schwartz space, 36
Schwartz's theorem, 47                      zonal harmonic, 161, 170

Partial differential equations and complex analysis

  • 2.
    STEVEN G. KRANTZ WashingtonUniversity in St. Louis, Department of Mathematics Partial Differential Equations and Complex Analysis Based on notes by Estela A. Gavosto and Marco M. Peloso CRC PRESS Boca Raton Ann Arbor London Tokyo
  • 3.
    Library of CongressCataloging-in-Publication Data Krantz, Steven G., 1951- Partial differential equations and complex analysis / Steven G. Krantz. p. cm. Includes bibliographical references (p. ) and index. ISBN 0-8493-7155-4 1. Differential equations. Partial. 2. Functions of a complex variable. 3. Mathematical analysis. 4. Functions of several complex variables. I. Title. QA374.K9 1992 515' .35-dc20 92-11422 CIP This book represents information obtained from authentic and highly regarded sources. Reprinted material is quoted with permission, and sources are indicated. A wide variety of references are listed. Every reasonable effort has been made to give reliable data and information, but the author and the publisher cannot assume responsibility for the validity of all materials or for the consequences of their use. All rights reserved. This book, or any parts thereof, may not be reproduced in any form without written consent from the publisher. This book was formatted with ItTJ¥( by Archetype Publishing Inc., P.O. Box 6567, Champaign, IL 61826. Direct all inquiries to CRC Press, Inc., 2000 Corporate Blvd., N.W., Boca Raton, Horida, 33431. © 1992 by CRC Press, Inc. International Standard Book Number 0-8493-7155-4 Library of Congress Card Number 92-11422 Printed in the United States of America 12 34567 890 Printed on acid-free paper
  • 4.
    To the memoryof my grandmother, Eda Crisafulli.
  • 6.
    Contents Preface xi 1 The Dirichlet Problem in the Complex Plane 1 1.1 A Little Notation 1 1.2 The Dirichlet Problem 2 1.3 Lipschitz Spaces 7 1.4 Boundary Regularity for the Dirichlet Problem for the Laplacian on the Unit Disc 10 1.5 Regularity of the Dirichlet Problem on a Smoothly Bounded Domain and Conformal Mapping 20 2 Review of Fourier Analysis 26 2.1 The Fourier Transform 26 2.2 Schwartz Distributions 36 2.3 Convolution and Friedrichs Mollifiers 43 2.4 The Paley-Wiener Theorem 48 3 PseudodifferentialOperators 52 3.1 Introduction to Pseudodifferential Operators 52 3.2 A Formal Treatment of Pseudodifferential Operators 56 3.3 The Calculus of Pseudodifferential Operators 65 4 Elliptic Operators 76 4.1 Some Fundamental Properties of Partial Differential Operators 76
  • 7.
    viii 4.2 Regularity for Elliptic Operators 81 4.3 Change of Coordinates 87 4.4 Restriction Theorems for Sobolev Spaces 89 5 Elliptic Boundary Value Problems 95 5.1 The Constant Coefficient Case 95 5.2 Well-Posedness 99 5.3 Remarks on the Solution of the Boundary Value Problem in the Constant Coefficient Case 108 5.4 Solution of the Boundary Value Problem in the Variable Coefficient Case 109 5.5 Solution of the Boundary Value Problem Using Pseudodifferential Operators 115 5.6 Remarks on the Dirichlet Problem on an Arbitrary Domain, and a Return to Conformal Mapping 123 5.7 A Coda on the Neumann Problem 126 6 A Degenerate Elliptic Boundary Value Problem 128 6.1 Introductory Remarks 128 6.2 The Bergman Kernel 131 6.3 The Szego and Poisson-Szego Kernels 138 6.4 The Bergman Metric 143 6.5 The Dirichlet Problem for the Invariant Laplacian on the Ball 148 6.6 Spherical Harmonics 154 6.7 Advanced Topics in the Theory of Spherical Hannonics: the Zonal Harmonics 160 6.8 Spherical Harmonics in the Complex Domain and Applications 172 7 The a-Neumann Problem 184 7.1 Introduction to Hermitian Analysis 185 7.2 a The Formalism of the Problem 189 7.3 Formulation of the a-Neumann Problem 196 7.4 The Main Estimate 201 7.5 Special Boundary Charts, Finite Differences, and Other Technical Matters 208 7.6 First Steps in the Proof of the Main Estimate 218 7.7 Estimates in the Sobolev -1/2 Norm 224 7.8 Conclusion of the Proof of the Main Estimate 234 7.9 The Solution of the a-Neumann Problem 242
  • 8.
    ix 8 Applications of the a-Neumann Problem 252 8.1 An Application to the Bergman Projection 252 8.2 Smoothness to the Boundary of Biholomorphic Mappings 256 8.3 Other Applications of [) Techniques 263 9 The Local Solvability Issue and a Look Back 269 9.1 Some Remarks about Local Solvabilitiy 269 9.2 The Szego Projection and Local Solvability 270 9.3 The Hodge Theory for the Tangential Cauchy-Riemann Complex 274 9.4 Commutators, Integrability, and Local Solvability 277 Table of Notation 283 Bibliography 287 Index 295
  • 10.
    Preface The subject ofpartial differential equations is perhaps the broadest and deepest in all of mathematics. It is difficult for the novice to gain a foothold in the subject at any level beyond the most basic. At the same time partial differential equations are playing an ever more vital role in other branches of mathematics. This assertion is particularly true in the subject of complex analysis. It is my experience that a new subject is most readily learned when presented in vitro. Thus this book proposes to present many of the basic elements of linear partial differential equations in the context of how they are applied to the study of complex analysis. We shall treat the Dirichlet and Neumann problems for elliptic equations and the related Schauder regularity theory. Both the classical point of view and the pseudodifferential operators approach will be covered. Then we shall see what these results say about the boundary regularity of biholomorphic mappings. We shall study the a-Neumann problem, then consider applications to the complex function theory of several variables and to the Bergman projection. The book culminates with applications of the a-Neumann problem, including a proof of Fefferman's theorem on the boundary behavior of biholomorphic mappings. There is also a treatment of the Lewy unsolvable equation from several different points of view. We shall explore some partial differential equations that are of current interest and that exhibit some surprises. These include the Laplace-Beltrami operator for the Bergman metric on the ball. Along the way, we shall give a detailed treatment of the Bergman kernel and associated metric, the Szego kernel, and the Poisson-Szego kernel. Some of this material, particularly that in Chapter 6, may be considered ancillary and may be skipped on a first reading of this book. Complete and self-contained proofs of all results are provided. Some of these appear in book form for the first time. Our treatrlent of the a-Neumann problem parallels some classic treatments, but since we present the problem in a concrete setting we are able to provide more detail and a more leisurely pace. Background required to read this book is a basic grounding in real and com- plex analysis. The book Function Theory of Several Complex Variables by this author will also provide useful background for many of the ideas seen here. Acquaintance with measure theory will prove helpful. For motivation, exposure
  • 11.
    xii Preface to the basic ideas of differential equations (such as one would encounter in a sophomore differential equations course) is useful. All other needed ideas are developed here. A word of warning to the reader unversed in reading tracts on partial differ- ential equations: the metier of this subject is estimates. To keep track of the constants in these estimates would be both wasteful and confusing. (Although in certain aspects of stability and control theory it is essential to name and catalog all constants, that is not the case here.) Thus we denote most constants by G or G'; the values of these constants may change from line to line, even though they are denoted with the same letter. In some contexts we shall use the now popular symbol ;S to mean "is less than or equal to a constant times ...." This book is based on a year-long course given at Washington University in the academic year 1987-88. Some of the ideas have been presented in earlier courses at UCLA and Penn State. It is a pleasure to thank Estela Gavosto and Marco Peloso who wrote up the notes from my lectures. They put in a lot of extra effort to correct my omissions and clean up my proofs and presentations. I also thank the other students who listened to my thoughts and provided useful remarks. -S.G.K.
  • 12.
    1 The Dirichlet Problemin the Complex Plane 1.1 A Little Notation Let IR denote the real number line and C the complex plane. The complex and real coordinates are related in the usual fashion by z == x + iy. We will spend some time studying the unit disc {z E C : Izi < I}, and we denote it by the symbol D. The Laplace operator (or Laplacian) is the partial differential operator a2 a2 ~ = ox2 + oy2 . When the Euclidean plane is studied as a real analytic object, it is convenient to study differential equations using the partial differential operators a a ax and ay . This is so at least in part because each of these operators has a null space (namely the functions depending only on y and the functions depending only on x, respectively) that plays a significant role in our analysis (think of the method of guessing solutions to a linear differential equation having the form u(x )v(y)). In complex analysis it is more convenient to express matters in terms of the partial differential operators and ~ 8z == ~ (~+i~). 2 ax ay Check that a continuously differentiable function f(z) = u(z) + iv(z) that satisfies 8 f / 8 z == 0 on a planar open set U is in fact holomorphic (use the
  • 13.
    2 The Dirichlet Problem in the Complex Plane Cauchy-Riemann equations). In other words, a function satisfying of/oz == 0 may depend on z but not on z. Likewise, a function that satisfies af / 0 Z == 0 on a planar open set may depend on z but cannot depend on z. Observe that o - z == 1 o -z==O oz oz o o - z ==0 oz ozz == 1. Finally, the Laplacian is written in complex notation as 1.2 The Dirichlet Problem Introductory Remarks Throughout this book we use the notation C k (X) to denote the space of func- tions that are k-times continuously differentiable on X-that is, functions that possess all derivatives up to and including order k and such that all those derivatives are continuous on X. When X is an open set, this notion is self- explanatory. When X is an arbitrary set, it is rather complicated, but possible, to obtain a complete understanding (see [STSI]). For the purposes of this book, we need to understand the case when X is a closed set in Euclidean space. In this circumstance we say that f is C k on X if there is an open neighborhood U of X and a C k function j on U 1 such that the restriction of to X equals f. We write f E Ck(X). In case k == 0, we write either CO(X) or C(X). This definition is equivalent to all other reasonable definitions of C k for a non-open set. We shall present a more detailed discussion of this matter in Section 3. Now let us formulate the Dirichlet problem on the disc D. Let ¢ E C(oD). The Dirichlet problem is to find a function U E C(D) n C 2 (D) such that ~U(z) == 0 if zED U(z) == ¢ ( z) if z E aD. REMARK Contrast the Dirichlet problem with the classical Cauchy problem for the Lapiacian: Let S ~ lR2 == C be a smooth, non-self-intersecting curve
  • 14.
    The Dirichlet Problem 3 s u FIGURE 1.1 (part of the boundary of a smoothly bounded domain, for instance). Let U be an open set with nontrivial intersection with S (see Figure 1.1). Finally, let ¢o and ¢l be given continuous functions on S. The Cauchy problem is then ~u(z) == 0 if z E U u(z) == ¢l (z) if z E S n U au (z) == ¢l av if z E S n U. Here v denotes the unit normal direction at z E S. Notice that the solution to the Dirichlet problem posed above is unique: if Ul and U2 both solve the problem, then Ul - U2 is a hannonic function having zero boundary values on D. The maximum principle thea implies that Ul == U2. In particular, in the Dirichlet problem the specifying of boundary values also uniquely determines the normal derivative of the solution function u. However, in order to obtain uniqueness in the Cauchy problem, we must specify both the value of U on S and the normal derivative of u on S. How can this be? The reason is that the Dirichlet problem is posed with a simple closed boundary curve; the Cauchy problem is instead a local one. Questions of when function theory reflects (algebraic) topology are treated, for instance, by the de Rham theorem and the Atiyah-Singer index theorem. We shall not treat them in this book, but refer the reader to [GIL], [KRl], [DER]. I
  • 15.
    4 The Dirichlet Problem in the Complex Plane The Solution of the Dirichlet Problem in L2 Define functions ¢n on 8 D by n E Z. Notice that the solution of the Dirichlet problem with data ¢n is u n (re i8 ) == r lnl ein8 . That is, zn if n >0 un(z) == { Z -n 1 ·f n - 0. < The functions {¢n}~=-oo form a basis for L 2 (8D) That is, if f E L 2 (8D) then we define ~ ir 27r an = f(t)e- int dt. 27f o It follows from elementary Riesz-Fischer theory that the partial sums N SN == L a n ein8 ~ f (1.2.1) n=-N in the L 2 topology. If 0 :::; r < 1 then observe that L 00 anrlnlein8 n=-oo is an Abel sum for the Fourier series L:~oo a n ein8 of f. It follows from (1.2.1) that 00 S(r,O) == L anrlnlein8 ~ f(e i8 ) (1.2.2) n=-oo in the L 2 topology as r ~ 1- . In fact, the sum in (1.2.2) converges uniformly on compact subsets of the disc. The computation that we are now about to do will prove this statement: We have 00 S(r,O) == L anrlnlein8 n=-oo
  • 16.
    The Dirichlet Problem 5 If we sum the two geometric series and do the necessary algebra then we find that 27r 1 2 S 0 - -1 (r, ) - 21r 0 f it 1 - r d ( e ) 1 - 2r cos (0 - t) + r 2 t. This last formula allows one to do the estimates to check for uniform conver- gence, and thus to justify the change of order of the sum and the integral. We set =~ 2 Pr ( 'lj;) 1- r 27r 1 - 2r cos ('l/J) + r2 ' and we call this function the Poisson kernel. Since the function u(re iO ) == S(r, 0) is the limit of the partial sums TN(r, 0) == E:=-N anrlnleinO, and since each of the partial sums is hannonic, u is hannonic. Moreover, the partial sum TN is the harmonic function that solves the Dirichlet problem for the data f N(e iO ) == E:=_ N an einO . We might hope that u is then the solution of the Dirichlet problem with data f. This is in fact true: THEOREM 1.2.3 Let f(e it ) be a continuous function on aD. Then the function u(reiO ) == { J~7r.f(ei(O-t))Pr(t) dt if 0 :::; r < 1 f(e~O) ifr == 1 solves the Dirichlet problem on the disc with data f. PROOF Pick E > O. Choose 8 > 0 such that if Is - tl < 8, then If( eis ) - f (e it )I < Eo Fix a point eiO E aD. We will first show that limr-t 1- u(re iO ) == f(e iO ) == u(e iO ). Now, for 0 < r < 1, lu(re ill ) - I(e ill )/ = 11 2 71: l(e i(II-t»)Pr(t) dt - l(eill)l. (1.2.3.1) Observe, using the sum from which we obtained the Poisson kernel, that f27r f27r 1 IPr(t)1 dt = 1 Pr(t) dt = 1. 0 0 Thus we may rewrite (1.2.3.1) as r io 2 71: [I (e i(lI-t») - 1 (e ill )] Pr (t) dt = i r 1 tl<8 [I (e i(lI-t») - f( eill )] Pr (t) dt +l<::,t <::'27r-JI( ei(lI-t») - I( eill )] Pr(t) dt == I + II.
  • 17.
    6 The Dirichlet Problem in the Complex Plane Now the term I does not exceed 21r J r1 tl<8 IPr(t) IE dt ::; E1 0 IPr(t) Idt = E. For the second, notice that 8 < t < 27r - 8 implies that 1 1 - r2 IPr(t)1 == Pr(t) == - - - - - 27r 1 - 2r cos t + r 2 1 1 - r2 27r (1 - 2r cos t + r 2 cos 2 t) + r 2 (1 - cos2 t) 1 1 - r2 <-----2 - 27r (1 - r cos t) 1 1 - r2 < 27r 84 /8 . Thus 1r 1 1 - r2 II < 2 - l 8 2 sup III . - - - dt ~ 0 4 27r 8 /8 as r -+ 1-. In fact, the proof shows that the convergence is uniform in (). Putting together our estimates on I and I I, we find that iO lim sup lu(re ) - I( e ) I iO < E. r----+l- Since E >0 was arbitrary, we see that lim sup Iu(re ) - iO I (e iO ) I == o. r----+l- The proof is nearly complete. For () E aD and E > 0 fixed, choose 8 > 0 such that (i) lu(e iO ) - u(ei1/J) I < E/2 when le iO - ei1/J1 < 8; (ii) lu( re i1/J) - u(ei1/J) I < E/2 when r > 1 - 8,0 :S tt/J ~ 27r. Let zED satisfy Iz - eiol < 8. Then lu(z) - u(eio)1 :S lu(z) - u(z/lzl)l + lu(z/Izl) - u(eio)1 E E < 2 + 2' where we have applied (ii) and (i) respectively. This shows that u is continuous at the boundary (it is obviously continuous elsewhere) and completes the proof. I
  • 18.
    Lipschitz Spaces 7 1.3 Lipschitz Spaces Our first aim in this book is to study the boundary regularity for the Dirich- let problem: if the data f is "smooth," then will -the solution of the Dirichlet problem be smooth up to the boundary? This is a venerable question in the theory of partial differential equations and will be a recurring theme throughout this book. In order to formulate the question precisely and give it a careful answer, we need suitable function spaces. The most naive function spaces for studying the question formulated in the last paragraph are the C k spaces, mentioned earlier. However, these spaces are not the most convenient for our study. The reason, which is of central importance, is as follows: We shall learn later, by a method of Hormander [H03], that the boundary regularity of the Dirichlet problem is equivalent to the boundedness of certain singular integral operators (see [STSI]) on the boundary. Singular integral operators, central to the understanding of many problems in analysis, are not bounded on the C k spaces. (This fact explains the mysteriously imprecise formulation of regularity results in many books on partial differential equations. It also means that we shall have to work harder to get exact regularity results.) Because of the remarks in the preceding paragraph, we now introduce the scale of Lipschitz spaces. They will be somewhat familiar, but there will be some new twists to which the reader should pay careful attention. A comprehensive study of these spaces appears in [KR2]. Now let U ~ ~N be an open set. Let 0 < Q < 1. A function f on U is said to be Lipschitz of order Q, and we write f E An, if If(x + h) - f(x)1 sup h:;tO Ihl a + Ilfllux,(u) == IlfIIA,,(U) < 00. x,x+hEU We include the term IIfIILoo(u) in this definition in order to guarantee that the Lipschitz norm is a true norm (without this term, constant functions would have "norm" zero and we would only have a semi-norm). In other contexts it is useful to use IlfIlLP(u) rather than IlfIILOO(U). See [KR3] for a discussion of these matters. When Q == 1 the "first difference" definition of the space An makes sense, and it describes an important class of functions. However, singular integral operators are not bounded on this space. We set this space of functions apart by denoting it differently: sup If(x + h) - f(x)1 Ihl + IIIII Loo(U) < 00. h=¢.O x,x+hEU
  • 19.
    The Dirichlet Problemin the Complex Plane The space Lipl is important in geometric applications (see [FED]), but less so in the context of integral operators. Therefore we define IIfIIA == If(x + h) + I(x - h) - 2/(x)1 IIIII 1 (U) sup h:;iO Ihl + LCXJ(U) < 00. x,x+h,x-hEU Inductively, if 0 < k E Z and k < a ::; k + 1, then we define a function f on U to be in Aex if I is bounded, I E C1(U), and any first derivative Djl lies in Aex - l . Equivalently, I E A ex if and only if f is bounded and, for every nonnegative integer f < Q and multiindex {3 of total order not exceeding f we have (8 j 8x)(3 I exists, is continuous, and lies in Aex - f . The space Lip k' 1 < k E Z, is defined by induction in a similar fashion. REMARK As an illustration of these ideas, observe that a function 9 is in AS / 2(U) if 9 is bounded and the derivatives 8gj8xj, 82gj8xj8xk exist and lie in A1/ 2 • Prove as an exercise that if Q' > Q then Aexl ~ A ex . Also prove that the Weierstrass nowhere-differentiable function 00 F(O) == L 2- e j i2ie j=O is in Al (0, 27r) but not in LiPl (0, 21r). Construct an analogous example, for each positive integer k, of a function in A k Lip k' If U is a bounded open set with smooth boundary and if 9 E Aex(U) then does it follow that 9 extends to be in A ex (U)? I Let us now discuss the definition of C k spaces in some detail. A function f on an open set U ~ }RN is said to be k-times continuously differentiable, written lEek (U), if all partial derivatives of I up to and including order k exist on U and are continuous. On }Rl , the function I (x) == Ixllies in CO C 1• Examples to show that the higher order Ok spaces are distinct may be obtained by anti-differentiation. In fact, if we equip Ok (U) with the norm IlfIICk(U) == IlfIIL(X)(U) + L II (~::) II lal::;k Loo(U) ' then elementary arguments show that C k + 1 (U) is contained in, but is nowhere dense in, Ck(U).
  • 20.
    Lipschitz Spaces 9 It is natural to suspect that if all the k th order pure derivatives (a/ax j )f f exist and are bounded, 0 ::; /!, ::; k, then the function has all derivatives (including mixed ones) of order not exceeding k and they are bounded. In fact Mityagin and Semenov [MIS] showed this to be false in the strongest possible sense. However, the analogous statement for Lipschitz spaces is true-see [KR2]. Now suppose that U is a bounded open set in ~N with smooth boundary. We would like to talk about functions that are C k on U == U u au. There are three ways to define this notion: I. We say that a function f is in C k (0) if f and all its derivatives on U of order not exceeding k extend continuously to (j. II. We say that a function f is in C k (0) if there is an open neighborhood W of 0 and a C k function F on W such that Flo == f. III. We say that a function f is in Ck(U) if f E Ck(U) and for each Xo E au and each multiindex Q such that IQ I ::; k the limit ao: lim U3x----+xo -a f(x) xO: exists. We leave as an exercise for the reader to prove the equivalence of these definitions. Begin by using the implicit function theorem to map U locally to a boundary neighborhood of an upper half-space. See [HIR] for some help. REMARK A basic regularity question for partial differential equations is as follows: consider the Laplace equation .6u == f. If f E ;'0: (~N ), then where (Le. in what smoothness class) does the function u live (at least locally)? In many texts on partial differential equations, the question is posed as "If f E C k(~N) then where does u live?" The answer is generally given as "u E Cl~:2-f for any E > 0." Whenever a result in analysis is formulated in this fashion, it is safe to assume that either the most powerful techniques are not being used or (more typically) the results are being formulated in the language of the incorrect spaces. In fact, the latter situation obtains here. If one uses the Lipschitz spaces, then there is no t-order loss of regularity: f E Ao: (~N) implies that u is locally in AO:+ 2 (IR N ). Sharp results may also be obtained by using Sobolev spaces. We shall explore this matter in further detail as the book develops. I
  • 21.
    10 The Dirichlet Problem in the Complex Plane 1.4 Boundary Regularity for the Dirichlet Problem for the Laplacian on the Unit Disc We begin this discussion by posing a question: Question: If we are given a "smooth" function f on the boundary of the unit disc D, then is the solution u to the Dirichlet problem for the Laplacian, with boundary data f, smooth up to closure of D? That is, if f E C k (8D), then is u E Ck(D)? It turns out that the answer to this question is "no." But the reason is that we are using the wrong spaces. We can only get a sharp result if we use Lipschitz spaces. Thus we have: Revised Question: If we are given a "smooth" function f on the boundary of the unit disc D, then is the solution u to the Dirichlet problem for the Laplacian, with boundary data f, smooth up to the closure of D? That is, if f E Ao:(8D), then is u E Ao:(D)? We still restrict our detailed considerations to ~2 for the moment. Also, it is convenient to work on the upper half-space U == {(x, y) E ~2 : y > O}. We think of the real line as the boundary of U. By conformally mapping the disc to the upper half-space with the Cayley transformation ¢(z) == i(l - z)/(l + z), we may calculate that the Poisson kernel for U is the function P (x) y -! x 2 + y2 - 7r y For simplicity, we shall study Ao: for 0 < Q < 2 only. We shall see later that there are simple techniques for extending results from this range of Q to all Q. Now we have the following theorem. THEOREM 1.4.1 Fix 0 < Q < 1. If f E Ao:(~) then u(x, y) = Pyf(x, y) == l Py(x - t)f(t) dt lies in Ao: (11). PROOF Since h IPy(x - t)1 dt = h Py(x - t) dt = 1, it follows that u is bounded by "f" £00 .
  • 22.
    Boundary Regularity 11 B .A X+H . X FIGURE 1.2 Now fix X == (Xl, X2) E U. Fix also an H == (hI, h2) such that X +H E U. We wish to show that lu(X + H) - u(X)1 ~ CIHla. Set A == (XI,X2 + IHI),B == (Xl + h l ,X2 + h2 + IHI). Clearly A,B lie in U because X, X + H do. Refer to Figure 1.2. Then lu(X + H) - u(X)1 ~ lu(X) - u(A)1 + lu(A) - u(B)1 + lu(B) - u(X + H)I -=1+11+111. For the estimate of 1 we will use the following two facts: Fact 1: The function u satisfies 1:;2 U (X,y)1 ~ Cy 2 a - for (x, y) E U. Fact 2: The function u satisfies for (x, y) E U.
  • 23.
    12 The Dirichlet Problem in the Complex Plane Fact 2 follows from Fact 1, as we shall see below. Once we have Fact 2, the estimation of I proceeds as follows: Let 1(t) == (Xl, X2 + t), 0 ::; t ::; IHI. Then, noting that 11(t) I ~ t, we have lu(X) - u(A)1 = Jo (IHI d dt (u(')'(t))) dt I I (IHllaul I :S Jo ay -y(t) dt {IHI :S C Jo h(t)I"-1 dt (IHI :S C J t,,-l dt o Thus, to complete the estimate on I, it remains to prove our two facts. PROOF OF FACT 1 First we exploit the harmonicity of u to observe that 2 a2u I == I a u I· I ay2 ax2 Then 2 a2u I == I a u I ay2 ax 2 i: I = I ::2 Py(x - t)f(t) dtl = Ii: ::2 Py(x - t)f(t) dtl = Ii: ::2 Py(x - t)f(t) dtl· (1.4.1.1) Now, from the Fundamental Theorem of Calculus, we know that
  • 24.
    Boundary Regularity 13 As a result, line (1.4.1.1) equals Ii: ::2 Py (X - t) [J(t) - f(x)] dtl < C i: ::2 I Py (X - t)llx - til> dt cjOO 1 2Y (3(x - tf - ~2) IIX _ tl a dt - 00 [ (x - t) 2 + y2] 2 C JOO Iy(3t - y2) Iit ia dt -00 (t 2 + y2)3 OO 1 C a-2 y J -00 (t 2 + 1)2-a/2 dt C ya-2 . This completes the proof of Fact 1. PROOF OF FACT 2 First notice that, for any x E IR, :; ~1 7r -00 00 [(x - t)2 + y2] 2 I(x - tf + y - 22y21If(t)1 dtl y=2 <~ - 7r 1 -00 00 If(t)1 (x - t)2 + y2 dtl y=2 ::; C . IIfIlLOO(~).
  • 25.
    14 The Dirichlet Problem in the Complex Plane Now, if Yo ~ 2, then from Fact 1 we may calculate that 1~~(xO,Yo)1 ~ 11 ~:~(XO,Y)dY+ ~~(XO,2)1 YO ~ l YO y"-2dy+ 1~~(XO,2)1 < Ca [ya-l - 0 + 2a - l ] + C2 A nearly identical argument shows that au( xo,yO) I ~ ay c 'a 1 Yo- I when 0 ::; Yo < 2. We have proved Facts I and 2 and therefore have completed our estimates of term I. The estimate of I I I is just the same as the estimate for I and we shall say no more about it. For the estimate of II, we write A == (aI, a2) and B == (b l , b2). Then lu(A) - u(B)1 == lu(al' a2) - u(b l , b2)1 ::; lu( aI, a2) - u(b l , a2) I + lu(b l , a2) - 'u(b l , b2) I Assume for simplicity that al < bl as shown in Figure 1.2. Now set 7](t) = (al + t, a2),O < t < bl - al. Then bl - al d I I I == l o - (u 0 7]) (t) dt dt = Jo rbl-al d dt 1 00 -oc Pa2 (al + t - 8)f(8) d8 dt I I bl-all°O -d Pa2(al + t - d == l o -00 t s) [f(s) - f(t)] ds dt. We leave it as an exercise for the reader to see that this last expression, in absolute value, does not exceed GIHla. The tenn 112 is estimated in the same way that we estimated I. I
  • 26.
    Boundary Regularity 15 THEOREM 1.4.2 Fix I < 0: < 2. If f E An(I~) then u(x, y) == 1. Py(x - t)f(t) dt lies in An (71). DISCUSSION OF THE PROOF It follows from the first theorem that u E Af3, all o < 13 < 1. In particular, u is bounded. It remains to see that au au ax E An - I and ay E An-I. But ~~ = :x JPy(t)f(x - t) dt = JPy(t)j'(x - t) dt. Now f' E An - I by definition and we have already considered the case 0 < 0: - 1 < 1. Thus au/ax lies in An - I (71). To estimate au/ay, we can instead estimate 82u 8y2 J == - ax 2 8 2 Py(t)f(x - t) dt = - :x J Py(t)j'(x - t) dt = - J :x Py(x - t)f'(t) dt =- J :x Py(x - t)f'(t) dt. Using the ideas from the estimates on I in the proof of the last theorem, we see that 82u I C n-2 8 y 2 ::; y . I Likewise, because 8 f / 8x E An -I, we may prove as in Facts 1 and 2 in the estimate of I in the proof of the last theorem that a2u I ::; c y n-2 . Iax8y But then our usual arguments show that au/ay E An-I. We leave details to the reader. The proof is now complete. I
  • 27.
    16 The Dirichlet Problem in the Complex Plane THEOREM 1.4.3 If f E AI(~), then u(x, y) == l Py(x - t)f(t) dt We break the proof up into a sequence of lemmas. LEMMA 1.4.4 Fix y > O. Take (xo, YO) E U. Then u(xo, Yo) = l Y y' ()~~2 u(xo, Yo + y') dy' - y :y u(xo, Yo + y) + u(xo, y + Yo)· PROOF Note that when y == 0, then the right-hand side equals O-O+u(xo, Yo). Also, the partial derivative with respect to y of the right side is identically zero. That completes the proof. I LEMMA 1.4.5 If f E Al (~), then PROOF Notice that, because u is harmonic, I::2 ul = I::2 ul =I ::2 f Py(x - t)f(t) dtl = If (::2 Py(x - t)) f(t) dtl = If (::2 Py(x - t)) f(t) dtl = IJ (::2 Py(t)) f(x - t) dtl = ~ IJ (:t: Py(t)) [I(x + t) + I(x - t) - 2f(x)] dtl
  • 28.
    Boundary Regularity 17 (since (82 / 8t 2 ) P y (t) is even and has mean value zero). By hypothesis, the last line does not exceed C JI::2Py(t)!ltldt. (1.4.5.1 ) But recall, as in the proof of 1.4.1, that Therefore we may estimate line (1.4.5.1) by This is what we wanted to prove. I COROLLARY 1.4.6 Our calculations have also proved that REMARK Similar calculations prove that !a~3ay u(x, Y)I ::; C· y- 2, Ia:;y2 (X,y)1 ::; C·y-2, U 1:;3 U (X,y)!::; C·y- 2, !a:~y u(x, y) I ::; C . y-l. I If v is a function, H == (h l ,h2 ),X == (XI,X2) and if X,X +H E U, then we define ~kv(X) == v(X + H) + v(X - H) - 2v(X). LEMMA 1.4.7 If all second derivatives of the function v exist, then we have l~kv(X)1 ::; C· IHI 2 . sup 1~2v(X + tH)I. Itl~l
  • 29.
    18 The Dirichlet Problem in the Complex Plane PROOF We apply the mean value theorem twice to the function ¢J(t) == v(X + tH). Thus l~kv(X)1 == 1¢(I) + ¢( -1) - 2¢(O)1 == I(¢(l) - ¢(O)) - (¢(O) - ¢J(-1))1 == 11 . ¢' (~ l) - 1 . ¢' (~2) I == I¢" (~3) . (~l - ~2) I ~ 21¢"(~3)1 ~ CIHI 2 sup 1V'2 v (X + tH)I. ItI::; 1 That proves the lemma. I FINAL ARGUMENT IN THE PROOF OF THEOREM 1.4.3 Fix X = (xo, Yo), H == (h l ,h2 ). Then, by Lemma 1.4.4, ~ku(xo, Yo) = l Y y' ~k (a~~2 u(xo, Yo + y')) dy' -y~H 2 ({) ayU(XO'Yo+y) ) +~HU(XO,yo+Y) 2 =:1+11+111, any y > O. Now we must have that h 2 < Yo or else ~1Iu(xo, Yo) makes no sense. Thus Yo + tH + y' 2 y', all -1 ~ t ~ 1. Applying Lemma 1.4.5, we see that III:::; (Y y' ·4 sup I !~2 u(xo + th), Yo + th 2 + y') I dy' Jo Itl::;l uy :::; c l Y y' . (y')-l dy' ~ C·y. Next, Lemma 1.4.7 and the remark preceding it yield 1111 ~ C·y·IHI 2 sup Itl::;l 2 ! IV uy U(Xo+th ,Yo+y+th2 1 )1 ~ CylHI2 . (y)-2 == CIHI2 . y-l.
  • 30.
    Boundary Regularity 19 Finally, the same reasoning gives 11111::; IHI 2 . sup 1V'2 u (xo+th l ,yo+th2 +y)1 It I:::; I ::; C . IHI 2 . y-I. Now we take y == 21HI. The estimates on 1,11,111 then combine to give 1~~u(X)1 ::; CIHI· This is the desired estimate on u. I REMARK We have proved that if f E Al (IR) then u == Pyf E Al (U) us- ing the method of direct estimation. An often more convenient, and natural, methodology is to use interpolation of operators, as seen in the next theorem. I THEOREM 1.4.8 Let V ~ IRm, W ~ IRn be open with smooth boundary. Fix 0 < 0: < (3 and assume that T is a linear operator such that T : Aa(V) ~ Aa(W) and T : A{J(V) ~ A{J(W). Then, for all 0: < 1 < (3 we have T : A,(V) ~ A,(W). Interpolation of operators, presented in the context of Lipschitz spaces, is discussed in detail in [KR2]. The subject of interpolation is discussed in a broader context in [STW] and [BOL]. Here is an application of the theorem: Let 0: == 1/2, {3 == 3/2, and let T be the Poisson integral operator from functions on IR to functions on U. We know that and We may conclude from the theorem that Thus we have a neater way of seeing that Poisson integration is well behaved on AI. REMARK Twenty years ago it was an open question whether, if T is a bounded linear operator on CO and on C 2 , it follows that T is a bounded linear operator on C l . The answer to this question is negative; details may be found in [MIS]. In fact, AI is the appropriate space that is intennediate to CO and C2.
  • 31.
    20 The Dirichlet Problem in the Complex Plane One might ask how Poisson integration is behaved on Lip I (IR). Set f(x) == Ixl· ¢(x) where ¢ E Cgo(IR), ¢ == 1 near O. One may calculate that (x, Y ) == P yf (x ) == ~ In [ (1 - 2x) + y2 . (1 +2x) + y2] 2 2 U 2- 2 2 X +y x +y +x 1- x 1+ x] [ arctan -y- - arctan -y- + (smooth error). Set x == O. Then, for y small, Again, we see that the classical space Lipi does not suit our purposes, while Al does. We shall not encounter LiPI any more in this book. The space Al was invented by Zygmund (see [ZYG]), who called it the space of smooth functions. He denoted it by A*. Here is what we have proved so far: if ¢ is a piece of Dirichlet data for the disc that lies in An (aD), 0 < a < 2, then the solution u to the Dirichlet problem with that data is An up to the boundary. We did this by transferring the problem to the upper half-space by way of the Cayley transform and then using explicit calculations with the Poisson kernel for the half-space. 1.5 Regularity of the Dirichlet Problem on a Smoothly Bounded Domain and Conformal Mapping We begin by giving a precise definition of a domain "with smooth boundary": DEFINITION 1.5.1 Let U ~ C be a bounded domain. We say that U has smooth boundary if the boundary consists of finitely many curves and each of these is locally the graph of a COO function. In practice it is more convenient to have a different definition of domain with smooth boundary. A function p is called a defining function for U if p is defined in a neighborhood W of au, l p i= 0 on au, and wnu == {z E W : p(z) < O}. Now we say that U has smooth (or C k ) boundary if U has a defining function p that is smooth (or C k ). Yet a third definition of smooth boundary is that the boundary consists of finitely many curves rj, each of which is the trace of a smooth curve r( t) with nonvanishing gradient. We invite the reader to verify that these three definitions are equivalent.
  • 32.
    Regularity of theDirichlet Problem 21 "",---- ........... , / ", " /_-........" U ", /-- ........ "" I / " / / ~ ' laD' Iw / I / ~ I I I I aD / I I I / / I I / I ( / / I " au' / / / ",/ "'-..... -. ' - _ / "'B / "........ " ........ _--_/ ", / FIGURE 1.3 Our motivating question for the present section is as follows: Let n ~ C be a bounded domain with smooth boundary. Assume that! E An (an). If u E C(n) satisfies (i) u is harmonic on nand (ii) ulan == !, then does it follow that u E An(n)? Here is a scheme for answering this question: Step 1: Suppose at first that U is bounded and simply connected. Step 2: By the Riemann mapping theorem, there is a conformal mapping ¢ : U ~ D. Here D is the unit disc. We would like to reduce our problem to the Dirichlet problem on D for the data ! 0 ¢ - 1• In order to carry out this program, we need to know that ¢ extends smoothly to the boundary. It is a classical result of Caratheodory [CAR] that if a simply connected domain U has boundary consisting of a Jordan curve, then any con- formal map of the domain to the disc extends univalently and bicontinuously to the boundary. It is less well known that Painleve, in his thesis [PAl], proved that when U has smooth boundary then the conformal mapping extends smoothly to the boundary. In fact, Painleve's result long precedes that of Caratheodory. We shall present here a modem approach to smoothness to the boundary for conformal mappings. These ideas come from [KERl]. See also [BKR] for a self-contained approach to these matters. Our purpose here is to tie the smoothness-to-the-boundary issue for mappings directly to the regularity theory of the Dirichlet problem for the Laplacian. Refer to Figure 1.3. Let W be a collared neighborhood of au. Set au' == aw n U and let aD' == ¢(aU'). Define B to be the region bounded by aD
  • 33.
    22 The Dirichlet Problem in the Complex Plane and aD'. We solve the Dirichlet problem on B with boundary data I if (E aD f(() ={ 0 if (E aD'. Call the solution u. Consider v == u 0 ¢ : U ~ nt Then, of course, v is still hannonic. By Caratheodory's theorem, v extends to au, au', and I if (E au v == { 0 if (E au'. Suppose that we knew that solutions of the Dirichlet problem on a smoothly bounded domain with Coo data are in fact Coo on the closure of the domain. Then, if we consider a first-order derivative V of v, we obtain IVvl == IV(u 0 ¢)I == l7ull7¢1 ~ C. It follows that (1.5.2) This will prove to be a useful estimate once we take advantage of the following lemma. LEMMA 1.5.3 HOPF'S LEMMA Let n cc }RN have C 2 boundary. Let u E C(n) with u harmonic and noncon- stant on n. Let PEn and assume that u takes a local minimum at P. Then the one-sided normal derivative satisfies au av (P) < O. PROOF Suppose without loss of generality that u > 0 on n near P and that n u(P) == O. Let B R be a ball that is internally tangent to at P. We may assume that the center of this ball is at the origin and that P has coordinates (R, 0, ... ,0). Then, by Harnack's inequality (see [KR1]), we have for 0 < r < R that R2 - r 2 u(r, 0, ... , 0) ~ c· R2 + r 2 ' hence u(r,O, ... ,O)-u(R,O, ... ,O) , 0 - - - - - - - - - - - < -c < . r-R - Therefore ou() , ov p ~ -c < o. This is the desired result. I
  • 34.
    Regularity of theDirichlet Problem 23 Now let us return to the u from the Dirichlet problem that we considered prior to line (1.5.2). Hopf's lemma tells us that l7ul 2 c' > 0 near aD. Thus, from (1.5.2), we conclude that 17¢1 ~ C. (1.5.4) Thus we have bounds on the first derivatives of ¢. To control the second derivatives, we calculate that C 2 17 2 vl == 17(7v) 1== 17(7(u 0 ¢))I == 1 (7 u ( ¢) . 7¢)1== 1(7 2U . [7¢] 2 ) + (7 u . 7 2 ¢) 7 I· Here the reader should think of 7 as representing a generic first derivative and 72 a generic second derivative. We conclude that Hence (again using Hopf's lemma), 17 2 "'1 < f' - ~ l7ul < C". - In the same fashion, we may prove that l7 k ¢1 ~ Ck , any k E {1,2, ...}. This means (use the fundamental theorem of calculus) that ¢ E Coo (0). We have amved at the following situation: Smoothness to the boundary of confonnal maps implies regularity of the Dirichlet problem on a smoothly bounded domain. Conversely, regularity of the Dirichlet problem can be used, together with Hopf's lemma, to prove the smoothness to the boundary of con- formal mappings. We must find a way out of this impasse. Our solution to the problem posed in the last paragraph will be to study the Dirichlet problem for a more general class of operators that is invariant under smooth changes of coordinates. We will study these operators by (i) localizing the problem and (ii) mapping the smooth domain under a diffeomorphism to an upper half-space. It will tum out that elliptic operators are invariant under these operations. We shall then use the calculus of pseudodifferential operators to prove local boundary regularity for elliptic operators. There is an important point implicit in our discussion that deserves to be brought into the foreground. The Laplacian is invariant under conformal trans- formations (exercise). This observation was useful in setting up the discussion in the present section. But it turned out to be a point of view that is too narrow: we found ourselves in a situation of circular reasoning. We shall thus expand to a wider universe in which our operators are invariant under diffeomorphisms. This type of invariance will give us more flexibility and more power. Let us conclude this section by exploring how the Laplacian behaves under a diffeomorphic change of coordinates. For simplicity, we restrict attention to
  • 35.
    24 The Dirichlet Problem in the Complex Plane ]R2 with coordinates (x, y). Let ¢ ( x, y) == (¢ 1 (x, y), cP2 (x, y)) == (x', y') be a diffeomorphism of }R2. Let In (x', y') coordinates, the operator ~ becomes In an effort to see what the new operator has in common with the old one, we introduce the notation where a a a a axO: axr 1 ax~2 ... ax~n is a differential monomial. Its "symbol" (for more on this, see the next two chapters) is defined to be The symbol of the Laplacian ~ == (a 2 / ax 2 ) + (a 2 / ay2) is (J(~) == ~f + ~i· Now associate to (J(~) a matrix ..4~ == (aij)1:S;i,j:S;2, where aij = aij(x) is the coefficient of ~i~j in the symbol. Thus The symbol of the transfonned Laplacian (in the new coordinates) is (J(¢*(~)) == 17¢112~f + 17¢212~i ax' ay' ax' ay,] +2 [ - - + - - ~le2 ax ay By By + (lower order tenns).
  • 36.
    Regularity of theDirichlet Problem 25 Then The matrix A(J(¢*(~)) is positive definite provided that the change of coordi- nates ¢ is a diffeomorphism (i.e., has nondegenerate Jacobian). It is this positive definiteness property of the symbol that will be crucial to the success of our attack on elliptic operators.
  • 37.
    2 Review of FourierAnalysis 2.1 The Fourier Transform A thorough treatment of Fourier analysis in Euclidean space may be found in [STW] or [HOR4]. Here we give a sketch of the theory. If t, ~ E }RN then we let t· ~ == tl~1 + ... + tN~N. We define the Fourier transform of an f E £1 (I~N) by j(~) = Jf(t)eit.~ dt. Many references will insert a factor of 271" in the exponential or in the measure. Others will insert a minus sign in the exponent. There is no agreement on this matter. We have opted for this definition because of its simplicity. We note that the significance of the exponentials eit.~ is that the only continuous multiplicative homomorphisms of}RN into the circle group are the functions ¢~ (t) == eit.~. (We leave this as an exercise for the reader. A thorough discussion appears in [KAT] or [BAC].) These functions are called the characters of the additive group }RN. Basic Properties of the Fourier Transform PROPOSITION 2.1.1 If f E £1 (}RN) then PROOF Observe that Ij(~) I ::; J If(t)1 dt. I
  • 38.
    The Fourier Transform 27 PROPOSITION 2.1.2 If f E L 1 (IR N ), f is differentiable, and af/axj ELI, then PROOF Integrate by parts: if f E C~ then ( ~) aXj == J af eit.~ dt atj - f··· 1f atj eit.~ dt· dtl d-t· dtN - af J... J ••• = - f··· Jf(t) C)~/it.t,) dtj dt) ... dij ... dtN = -i~j J'..J f(t)eit.t, dt. The general case follows from a limiting argument. I PROPOSITION 2.1.3 If f E Ll(I~N) and iXjf E L 1 (IR N ), then -- a A (iXjf) = 8~j f· PROOF Integrate by parts. I PROPOSITION 2.1.4 THE RIEMANN-LEBESGUE LEMMA If f E L 1(IR N ), then lim Ij(~)1 == o. ~-+oo PROOF First assume that f E C~ (IR N ). We know that and
  • 39.
    28 Review of Fourier Analysis Then (1 + lel 2 )j is bounded. Therefore III :::; C le~oo O. 1 + 1~12 This proves the result for f E C~. Now let 9 E L 1 be arbitrary. By elementary measure theory, there is a function ¢ E Cc(I~N) such that IIg - ¢IILI < E/4. It is then straightforward to construct a 'ljJ E C~ such that 1I¢-'ljJIILI < E/4. It follows that IIg-'ljJIILI < E/2. Choose M so large that when I~I > M then 1"z,(~)1 < E/2. Then, for I~I > M, we have Ig(~)1 == l(g--=-'ljJ)(~) + "z,(~)1 :S I(g --=-'ljJ)(~)1 + 1"z,(~)1 E :S IIg - 'ljJIILI + 2 E E < - + - == E. 2 2 This proves the result. I PROPOSITION 2.1.5 Let fELl (I~N). Then j is uniformly continuous. PROOF Apply the Lebesgue dominated convergence theorem and Proposi- tion 2.1.4. I Let Co (}RN) denote the continuous functions on }RN that vanish at 00. Equip this space with the supremum norm. Then the Fourier transform maps L 1 to Co continuously, with operator norm 1. PROPOSITION 2.1.6 A _ If f E L 1 (}RN), we let j(x) == f(-x). Then j(~) == j(~). PROOF We calculate that J(~) = J j(t)eit·e dt = J f( _t)eit·e dt = J f(t)e-it·e dt = 1. I PROPOSITION 2.1.7 If p is a rotation of}RN then we define pf (x) == f (p( x)). Then Pi == p(j).
  • 40.
    The Fourier Transform 29 PROOF Remembering that p is orthogonal, we calculate that p](E,) J (pf)(t)eif,.t dt = J f(p(t))eif,.t dt (s=g,(t)) J f(s)e i f,.p-'(s) ds =J f(s)eip(f,).s ds (p(j)) (~). I PROPOSITION 2.1.8 We have PROOF We calculate that PROPOSITION 2.1.9 If 8 > 0 and f E L 1(IR N ), then we set 08f(x) 8- N f(x/8). Then (alif) = ali (I) 0 8f == 08j. PROOF We calculate that (alif) = J(ali/) (t)eit.f, dt = J f(8t)e it .f, dt = J f(t) ei(t/li)-f, 8- N dt = 8- N j(E,/8) = ali(j). That proves the first assertion. The proof of the second is similar. I If I, g are L 1 functions, then we define their convolution to be the function f * g(x) = J f(x - t)g(t) dt = J g(x - t)f(t) dt. It is a standard result of measure theory (see [RUD3]) that I *g so defined is an L 1 function and III * gllL1 ::; IIfllL1 IIgllLI.
  • 41.
    30 Review of Fourier Analysis PROPOSITION 2.1.10 If 1,9 E £1, then r;-9(~) == j(~) . g(~). PROOF We calculate that f7g(0 = J * g)(tk~·t = JJ (f dt f(t - s)g(s) ds ei~.t dt = JJf(t - s)ei~.(t-s) dt g(s)ei~'s ds = j(~) . g(~). The reader may justify the change in the order of integration. I PROPOSITION 2.1.11 If I, 9 E £1 , then Jj(~)g(~) d~ Jf(Og(~) d~. = PROOF This is a straightforward change in the order of integration. I The Inverse Fourier Transform Our goal is to be able to recover 1 from j. This program entails several technical difficulties. First, we need to know that the Fourier transform is univalent in order to have any hope of success. Second, we would like to say that f(t) = c· Jj(~)e-it.~ dt. In general, however, the Fourier transform of an £1 function is not integrable. Thus we need a family of summability kernels G E satisfying the following prop- erties: 1. G E * f ~ 1 as E ~ 0; 2. c:(~) == e-EI~12; 3. G E * 1 and G--;; 1 are both integrable. It will be useful to prove formulas about G E *f and then pass to the limit as E ~ 0+. LEMMA 2.1.12 We have
  • 42.
    The Fourier Transform 31 PROOF It is enough to do the case N == 1. Set I == J~oo e- t2 dt. Then I "I = I: I: e- s2 ds e- t2 dt = II IR2 e-!(s,t)!2 dsdt {21r roo _r 2 = Jo Jo e rdrd()=7L Thus I == ~, as desired. I REMARK Although this is the most common method for evaluating J e- 1x !2 dx, several other approaches are provided in [HEI]. I Now let us calculate the Fourier transform of e- 1xI2 • It suffices to treat the one-dimensional case because (e- 1xI2 f = IN e-lx!2eixof, dx = l e-x~eixlf,1 dX"""l e-x~eixNf,N dXN" Now when N == 1 we have l e- x2 ix + f, dx =l e(f,/2+ix)2 e-e/ 4 dx = e-e /4l e(f,/2+ix)2 dx == e-~2 /4 { e(~/2+ix/2)2 ~ dx J IR 2 == ~e-~2 /4 1 e(Z/2)2 dz. (2.1.12.1) 2 Jr Here, for ~ E R fixed, r == r ~ is the curve t ~ ~ + it. Let r N be the part of the curve between t == - Nand t == N. Since Ir == limN ---l>OO Jr N' it is enough J for us to understand r N' Refer to Figure 2.1. Now Therefore But, as N -+ 00, 1 +1 -+ O. JEfl JEr
  • 43.
    32 Review of Fourier Analysis O-iN -----~­ Ef FIGURE 2.1 Thus lim 1 == - lim 1 . (2.1.12.2) N~oo JrN N~oo Jf N Now we combine (2.1.12.1) and (2.1.12.2) to see that We conclude that, in jRI , and in }RN we have
  • 44.
    The Fourier Transform 33 It is often convenient to scale this formula and write The function G(x) == (27r)-N/2 e- 1 I2 /2 is called the Gauss-Weierstrass ker- x nel. It is a summability kernel (see [KAT]) for the Fourier transform. Observe that G(~) == e-I~12 /2. On R N we define Then -- -- ~(~) = (e-'1~12 /2) = (avee-I~12 /2) = ave [(27r)N/2e-I~12/2] == E-N/2(27r)N/2e-I~12 /(2E). Now assume that !, j are in L 1 and are continuous. We apply Proposi- tion 2.1.11 with 9 == GE ELI. We obtain Jf~(x) Jj(~)C.(~) d~. dx = In other words, (2.1.13) Now e-EI~12 /2 - t 1 uniformly on compact sets. Thus J j(~)e-EI~12 d~ -t J j(~) d~. That takes care of the right-hand side of (2.1.13). Next observe that Thus the left side of (2.1.13) equals (27r)N Jf(x)G,(x) dx = (27r)N J f(O)G,(x) dx +(27r)N j[f(x) - f(O)JG,(x) dx -t (27r)N ·1(0).
  • 45.
    34 Review of Fourier Analysis Thus we have evaluated the limits of the left- and right-hand sides of (2.1.13). We have proved the following theorem. THEOREM 2.1.14 THE FOURIER INVERSION FORMULA If !, j E £1 and both are continuous, then f(O) = (27r)-N Jj(~) d~. (2.1.14.1 ) Of course there is nothing special about the point 0 E R N . We now exploit the compatibility of the Fourier transform with translations to obtain a more general formula. First, we define (Th!)(x) == I(x - h) for any function I on RN and any h E RN . Then, by a change of variable in the integral, T;] == eih.~ j(~). Now we apply formula (2.1.14.1) in our theorem to T-h/: The result is or THEOREM 2.1.15 If I, j E £1 then for any h E R N we have f(h) = (2JT)-N Jj(~)e-ih.f, d~. COROLLARY 2.1.16 The Fourier transform is univalent. That is, if I, 9 E £1 and j == 9 then f = 9 almost everywhere. PROOF Since I - 9 E £1 and j - g == 0 E £1, this is immediate from either the theorem or (2.1.13). I Since the Fourier transform is univalent, it is natural to ask whether it is surjective. We have PROPOSITION 2.1.17 The operator is not onto.
  • 46.
    The Fourier Transform 35 PROOF Seeking a contradiction, we suppose that the operator is in fact surjec- tive. Then the open mapping principle guarantees that there is a constant C > 0 such that IIIIILI :S cllj"L~' On IR , let g(~) be the characteristic function of the interval [-1, 1]. The in- I verse Fourier transform of g is a nonintegrable function. But then {G 1/ j * g} forms a sequence that is bounded in supremum norm but whose inverse Fourier transforms are unbounded in £1 norm. That gives the desired contradiction. I Plancherel's Formula PROPOSITION 2.1.18 PLANCHEREL If I E C~ (IR N ) then JIj(~)12 d~ = J (21T)N If(xW dx. PROOF Define g( x) == I * 1E c~ (IRN ). Then ,,~ ,,~ ,,~ .... 2 9 == I . I == I . I == I . f == III . (2.1.18.1) Now g(O) = f * 1(0) = J f( -t)!( -t) dt = J f(t)/(t) dt = J 2 If(t)1 dt. By Fourier inversion and formula (2.1.18.1) we may now conclude that J If(t)1 2 dt = g(O) = (21T)-N Jg(~) d~ = (27T)-N JIj(~)12 df That is the desired formula. I COROLLARY 2.1.19 If f E £2 (IR N ) then the Fourier transform of I can be defined in the following fashion: Let Ij E C~ satisfy fj -+ I in the £2 topology. It follows from the proposition that {.fj } is Cauchy in £2. Let g be the £2 limit of this latter sequence. We set j == g. It is easy to check that the definition of j given in the corollary is independent of the choice of sequence Ij E C~ and that J11(01 d~ 2 = (21T)N J If(xW dx.
  • 47.
    36 Review of Fourier Analysis We now know that the Fourier transform F has the following mapping prop- erties: F: £1 ~ LX F: L 2 ~ £2. The Riesz-Thorin interpolation theorem (see [STW]) now allows us to conclude that F : £P ~ LP' , 1 ~ p ~ 2, where p' == p/ (p - 1). If p > 2 then F does not map LP into any nice function space. The precise norm of F on LP has been computed by Beckner [BEC]. Exercises: Restrict attention to dimension 1. Consider the Fourier transform F as a bounded linear operator on the Hilbert space £2 (IR N ). Prove that the four roots of unity (suitably scaled) are eigenvalues of F. Prove that if p(x) is a Hermite polynomial (see [STW], [WHW]), then the function p(x)e-lxI2/2 is an eigenfunction of F. (Hint: (ix!) == (j)' and == l' -i~j.) 2.2 Schwartz Distributions Thorough treatments of distribution theory may be found in [SCH], [HOR4], [TRE2]. Here we give a quick review. We define the space of Schwartz functions: s = {¢ E c oo (IRN ) : Pa,(3(¢) == x~~ Ix a (~) (3 ¢(x) I < 00, 0: = (0:1, .. " O:N), {3 = ({31,"" (3N) }. Observe that e- 1x12 E Sand p(x) . e- 1x12 E S for any polynomial p. Any derivative of a Schwartz function is still a Schwartz function. The Schwartz space is obviously a linear space. It is worth noting that the space of Coo functions with compact support (which we have been denoting by C~) forms a proper subspace of S. Since as recently as 1930 there was some doubt as to whether C~ functions are genuine functions (see [OSG]), it may be worth seeing how to construct elements of this space. Let the dimension N equal 1. Define if x ~ 0 if x < o.
  • 48.
    Schwartz Distributions 37 Then one checks, using l'Hopital's Rule, that A E Coo (IR). Set h(x) == A( -x - 1) . A(X + 1) E C~(I~). I: Moreover, if we define g(x) = h(t) dt, then the function f(x) == g(x + 2) . g( -x - 2) lies in C~ and is identically equal to a constant on (-1, 1). Thus we have constructed a standard "cutoff function" on ~l. On IR N , the function plays a similar role. ' Exercise: [The Coo Urysohn lemma] Let K and L be disjoint closed sets in IR N . Prove that there is a Coo function ¢ on IR N such that ¢ == 0 on K and ¢ == 1 on L. (Details of this sort of construction may be found in [HIR].) The Topology of the Space 5 The functions Pn,(3 are seminorms on 5. A neighborhood basis of 0 for the corresponding topology on 5 is given by the sets NE,f,m == {¢: L lal:S€ Pa,(3(¢) < E} . 1.6I:Sm Exercise: The space 5 cannot be normed. DEFINITION 2.2.1 A Schwartz distribution Q is a continuous linear functional on 5. We write Q E 5'. Examples: 1. If f EL I , then f induces a Schwartz distribution as follows: S:3 qH--> f </>fdx E C. We see that this functional is continuous by noticing that If </>(x)f(x) dxl ::; sup 1</>1· Ilfll£l = C . Po,o(</».
  • 49.
    38 Review of Fourier Analysis A similar argument shows that any finite Borel measure induces a distri- bution. 2. Differentiation is a distribution: On R I , for example, we have 5 ::1 ¢ ~ ¢'(O) satisfies I¢' (0) 1 ::; sup I¢' (x) I == PO.I (¢). xElR 3. If f E LP (RN ), 1 :::; p ::; 00, then f induces a distribution: Tf : S 3 </J f--> J </Jf dx E c. To see that this functional is bounded, we first notice that (2.2.2) where 1/ p + 1/ p' == 1. Now notice that (1 + Ix IN +I) I¢(x )I ::; C (po,o (¢) + PN + 1,0 ( ¢)) , hence C I</J(x) I ::; 1 + Ixl N +1 (Po,o( </J) + PN+I,O(</J)) . Finally, II</JII Lp f ::; c· [ J(1 + I~IN+I ) P , dx ] lip' . [Po,o(</J) + PN+I,O(</J)] . As a result, (2.2.2) tells us that T f ( ¢) ::; ell f II Lp (Po ,0 ( ¢) + PN + I ,0 ( ¢)) . Algebraic Properties of Distributions (i) If Q, (3 E 5' then Q+ (3 is defined by (Q + (3) (¢) == Q(¢) + (3( ¢). Clearly Q + (3 so defined is a Schwartz distribution. (ii) If Q E 5' and C E C then CQ is defined by (CQ)(¢) == c[Q(¢)]. We see that CQ E 5'. (iii) If 1/J E 5 and Q E 5' then define (1/JQ) (¢) == Q(1/J¢). It follows that 1/JQ is a distribution. (iv) It is a theorem of Laurent Schwartz (see [SCH]) that there is no contin- uous operation of multiplication on S'. However, it is a matter of great interest, especially to mathematical physicists, to have such an operation.
  • 50.
    Schwartz Distributions 39 Colombeau [CMB] has developed a substitute operation. We shall say no more about it here. (v) Schwartz distributions may be differentiated as follows: If J-l E S' then (8/ 8x)(3 J-l E S' is defined, for ¢ E S, by Observe that in case the distribution J-l is induced by integration against a C~ function f, then the definition is compatible with what integration by parts would yield. Let us differentiate the distribution induced by integration against the function f(x) == Ixl on lIt Now, for ¢ E S, f'(¢) == - f(¢') = - [ : f¢' dx = -100 f(x)¢'(x) dx - [°00 f(x)¢'(x) dx = _ roo x¢'(x) dx + fO x¢'(x) dx io -00 00 =- [x¢(x)]: + 1 ¢(x) dx + [x¢(x)]~oo - [°00 ¢(x) dx = roo ¢(x) dx _ fO ¢(x) dx. io -00 Thus f' consists of integration against b( x) == -x (-00,0] + X[O,oo). This function is often called the Heaviside function. Exercise: Let n ~ R N be a smoothly bounded domain. Let v be the unit outward normal vector field to 8n. Prove that -VXn E S'. (Hint: Use Green's theorem. It will tum out that (- VXn) (¢) == Jan ¢ da, where da is area measure on the boundary.) The Fourier Transform The principal importance of the Schwartz distributions as opposed to other dis- tribution theories (more on those below) is that they are well behaved under the Fourier transform. First we need a lemma:
  • 51.
    40 Review of Fourier Analysis LEMMA 2.2.3 If f E S then j E S. PROOF This is just an exercise with Propositions 2.1.2 and 2.1.3: the Fourier transform converts multiplication by monomials into differentiation and vice versa. I DEFINITION 2.2.4 If u is a Schwartz distribution, then we define a Schwartz distribution u by u(¢) == u(¢). By the lemma, the definition of u makes good sense. Moreover, by 2.2.5 below, lu(¢)1 == lu(¢)1 ~ L Pn,f3(¢) lal+If3I~M for some M > 0 (by the definition of the topology on S). It is a straightforward exercise with 2.1.2 and 2.1.3 to see that the sum on the right is majorized by the sum C· L Pn,f3(¢)' lal+It3I~M In conclusion, the Fourier transform of a Schwartz distribution is also a Schwartz distribution. Other Spaces of Distributions Let V == C~ and £ == Coo. Clearly V ~ S ~ £. On each of the spaces V and £ we use the semi-norms where K ~ R N is a compact set and Q == (Ql,' .. , QN) is a multiindex. These induce a topology on V and £ that turns them into topological vector spaces. The spaces V' and £' are defined to be the continuous linear functionals on V and £ respectively. Trivially, £' ~ V'. The functional in R l given by 00 j J-l==L2 8j , j=l where 8j is the Dirac mass at j, is readily seen to be in V' but not in £'. The support of a distribution J1 is defined to be the complement of the union of all open sets U such that J1 (¢) == 0 for all elements of C~ that are supported
  • 52.
    Schwartz Distributions 41 in U. As an example, the support of the Dirac mass Do is the origin: when Do is applied to any testing function ¢ with support disjoint from 0 then the result is O. Exercise: Let J.L E V'. Then J.L E £' if and only if J.L has compact support. The elements of £' are sometimes referred to as the "compactly supported distribu- tions." PROPOSITION 2.2.5 A linear functional L on S is a Schwartz distribution (tempered distribution) if and only if there is a C > 0 and integers m and f such that for all ¢ E S we have IL(¢)I ~ C· L L Pn,f3(¢)' (2.2.5.1) Inl~f 1f3I~m SKETCH OF PROOF If an inequality like (2.2.5.1) holds, then clearly L is continuous. For the converse, assume that L is continuous. Recall that a neighborhood basis of 0 in S is given by sets of the form NE,f,m == {¢ E S: L lal:S€ Pa,f3(¢) < E} . 1.6I:Sm Since L is continuous, the inverse image of an open set under L is open. Consider There exist E, f, m such that Thus L lal:Sf Pn,f3(¢) < E 1.6I:Sm implies that /L(¢)/ < 1. That is the required result, with C == 1/ Eo I Exercise: A similar result holds for V' and for £'.
  • 53.
    42 Review of Fourier Analysis THEOREM 2.2.6 STRUCTURE THEOREM FOR V' flu E V' then k U == LDjJ-lj, j=1 where J-lj is a finite Borel measure and each Dj is a differential monomial. IDEA OF PROOF For simplicity, restrict attention to R I . We know that the dual of the continuous functions with compact support is the space of finite Borel measures. In a natural fashion, the space of C I functions with compact support can be identified with a subspace of the set of ordered pairs of Ce functions: f +-+ (I, f'). Then every functional on C~ extends, by the Hahn- Banach theorem, to a functional on C e x C e . But such a functional will be given by a pair of measures. Combining this information with the definition of derivative of a distribution gives that an element of the dual of C~ is of the form J-l1 + (J-l2)'. In a similar fashion, one can prove that an element of the dual of C~ must have the form J-li + (J-l2)' + ... + (J-lk+I)(k). Finally, it is necessary to note that V' is nothing other than the countable union of the dual spaces (C~)'. I The theorem makes explicit the fact that an element of V' can depend on only finitely many derivatives of the testing function-that is, on finitely many of the norms Pn,(3. We have already noted that the Schwartz distributions are the most convenient for Fourier transform theory. But the space V' is often more convenient in the theory of partial differential equations (because of the control on the support of testing functions). It will sometimes be necessary to pass back and forth between the two theories. In any given context, no confusion should result. Exercise: Use the Paley-Wiener theorem (discussed in Section 4) or some other technique to prove that if cP E V then ¢ (j. V. (This fact is often referred to as the Heisenberg uncertainty principle. In fact, it has a number of qualitative and quantitative formulations that are useful in quantum mechanics. See [FEG] for more on these matters.) More on the Topology of V and V' We say that a sequence {cPj} ~ V converges to ¢ E V if 1. all the functions ¢j have compact support in a single compact set K o; 2. PK,n(¢j - ¢) -+ 0 for each compact set K and for every multiindex Q. I The enemy here is the example of the "gliding hump": On R , if 'ljJ is a fixed Coo function and ¢j (x) == 'ljJ (x - j), then we do not want to say that the sequence {¢j} converges to O.
  • 54.
    Convolution and FriedrichsMollifiers 43 A functional J-l on V is continuous if J-l(¢j) -+ J-l( ¢) whenever ¢j -+ ¢. This is equivalent to the already noted characterization that there exist a compact K and an N > 0 such that IJ-l(¢) I :S C L PK,n(¢) Inl:::;N for every testing function ¢. 2.3 Convolution and Friedrichs Mollifiers Recall that two integrable functions f and 9 are convolved as follows: f *g = Jf(x - t)g(t) dt = J g(x - t)f(t) dt. In general, it is not possible to convolve two elements of V'. However, we may successfully perform any of the following operations: 1. We may convolve an element J-l E V' with an element 9 E D. 2. We may convolve two distributions J-l, v E V' provided one of them is compactly supported. 3. We may convolve VI, ..• ,Vk E V' provided that all except possibly one is compactly supported. We shall now learn how to make sense of convolution. This is one of those topics in analysis (of which there are many) where understanding is best achieved by remembering the proof rather than the statements of the results. DEFINITION 2.3.1 We define the following convolutions: 1. If J-l E V' and 9 E V then we define (J-l * g)(¢) == J-l(g * ¢), all ¢ E V. 2. If J-l E S' and 9 E S then we define (J-l * g)(¢) == J-l(g * ¢), all ¢ E S. 3. If J-l E £' and 9 E V then we define (J-l * g)(¢) == J-l(g * ¢), all ¢ E £. Recall here that g( x) == g( - x). Observe in part (1) of the definition that 9*¢ E V, hence the definition makes sense. Similar remarks apply to parts (2) and (3) of the definition. In part (3), we must assume that 9 E V; otherwise 9 * ¢ does not necessarily make sense. LEMMA 2.3.2 If Q E V' and 9 E V then Q * 9 is a function. What is more, If we let 7h¢(x) == ¢(x - h) then (Q * 9 )(x) == a(Txg).
  • 55.
    44 Review of Fourier Analysis PROOF We calculate that (a * g)(cP) = a(§ * cP) = aX [1 §(x - t)cP(t) dt] . Here the superscript on Q denotes the variable in which Q is acting. This last Next we introduce the concept of Friedrichs mollifiers. Let ¢ E C~ be supported in the ball B (0, 1). For convenience we assume that ¢ 2: 0, although this is not crucial to the theory. Assume that J ¢( x) dx == 1. Set ¢E (x) == N E- ¢(x/ E). The family {¢E} will be called a family of Friedrichs mollifiers in honor of K. O. Friedrichs. The use of such families to approximate a given function by smooth functions has become a pervasive technique in modem analysis. In functional analysis, such a family is sometimes called a weak approximation to the identity (for reasons that we are about to see). Observe that J ¢E (x) dx == 1 for every E > O. LEMMA 2.3.3 If f E LP(RN ), 1~p ~ 00, then PROOF The case p == 00 is obvious, so we shall assume that 1 :::; p < 00. Then we may apply Jensen's inequality, with the unit mass measure ¢E(X) dx, to see that Ilf*cP,II1p = 111 P f(x-t)cP,(t)dtI dx :=; 1 1 If(x - t)IPlcP,(t)1 dt dx = 11 If(x - t)IP dx cP,(t) dt = 1IlflltpcP,(t) dt == 11111~p· I REMARK The function IE == f * ¢E is certainly Coo Gust differentiate under the integral sign) but it is generally not compactly supported unless I is. I
  • 56.
    Convolution and FriedrichsMollijiers 45 LEMMA 2.3.4 For 1 :::; p < 00 we have PROOF We will use the following claim: For 1 :::; p < 00 we have where 7ft f (x) == ! (x - h). Assume the claim for the moment. Now II!< - !11~p 111 !(x - t)¢«t) dt - 1!(x)¢«t) dtl[ 111[!(x - t) - f(x)]¢«t) dtl[ 111[Ttf(x) - f(x)]¢«t) dtl[ < 1IITt! - fll~p¢«t) dt (t=J-U) == 1II -! liP () TJi,E! LP¢ J-l dJ-l. In the inequality here we have used Jensen's inequality. Now the claim and the Lebesgue dominated convergence theorem yield that lifE - fllLP -+ O. To prove the claim, first observe that if 1/J E GYe then I Th1/J - 1/J I sup -+ 0 by uniform continuity. It follows that II Th 1/J - 1/J II Lp -+ O. Now if ! E LP is arbitrary and E > 0, then choose 1/J E Ce such that II! - 1/J II Lp < E/2. Then lim sup II Thf - !IILP :::; lim sup II Th(! -1/J)IILP + lim sup IITh1/J -1/JII :::; E. h---+O h---+O h---+O Since E > 0 was arbitrary, the claim follows. I LEMMA 2.3.5 If ! E C e then fE -+ ! uniformly. PROOF Let 1] > 0 and choose E > 0 such that if Ix-yl < E then If(x)- f(y)1 < 1]. Then If«x) - !(x)1 11 f(x - t)¢«t) dt - !(x)1 = = I/[f(x - t) - f(x)J¢«t) dtl
  • 57.
    46 Review of Fourier Analysis :; r J1tl$.E Ij(x-t)-j(x)I¢«t)dt ::; / ry¢< (t) dt == 1]. That completes the proof. I Exercise: Is the last lemma true for a broader class of /? Prove that if f E C~(IRN), then lifE - flick - t O. Now if Q E V' and cPE is a family of Fredrichs mollifiers, then we define o:«x) == 0: * cP«x) = o:(¢«x - .)) = 0: ('L:i<) . LEMMA 2.3.6 Each QE is a Coo function. Moreover, Q E -t Q in the topology of V'. PROOF For simplicity of notation, we restrict attention to dimension one. First let us see that Q E is differentiable on R We calculate: Q[cPE(X + h - .)] - Q[cPE(X - .)] h = 0: ( ¢< (x +h -1- cP< (x - .)) . (2.3.6.1) Observe that cP«x + h -1- ¢«x - .) _ ¢:(x _ .) in the topology of V. Thus (2.3.6.1) implies that 0:< (x + h~ - o:«x) _ o:(cP:(x _ .)) as h - t O. Now let us verify the convergence of Q E to Q. Fix a testing function 'l/J E V. Then 0:< ( 'ljJ) = / 0:< ( x) 'ljJ (x) dx = / 0: 8 (cP< (x - s)) 'ljJ (x) dx = 0: 8 [/ (¢«x - s)) 'ljJ(x) dX] = 0: 8 [/ (¢«x)) 'ljJ(x + s) dX] = 0: 8 [/ ¢< ( -x )'ljJ( S - x) dX] . (2.3.6.2)
  • 58.
    Convolution and FriedrichsMollifiers 47 Here a superscript on a distribution indicates the variable in which it is applied. We may assume that ¢ is even. Then, from (2.3.6.2), (2.3.6.3) By the exercise preceding the lemma, 1/Jf -+ 1/J in every C k norm. Therefore PK,O: (1/Jf -1/J) -+ 0 for every K and Q. It follows that Qf (1/J) == Q(1/Jf) -+ Q(1/J) as f -+ O. That completes the proof. I PROPOSITION' 2.3.7 SCHWARTZ Let A : C~ -+ Coo be a linear, continuous operator that commutes with translations: A(Th(¢)) == Th(A(¢)). Then A is given by convolution with a distribution. That is, there is a distribution Q such that for all ¢ E v. PROOF Define Q by a(¢) = (A(¢)) (0). Then, for all ¢ E C~, we have a * ¢(x) = a ('Y,,¢) = ( A ('Y,,¢) (0)) == (A (T_ x ¢ )) (0) == (T-x(A¢») (0) == A¢(x). This is the desired result. I As an application of the proposition, we will demonstrate that if u, v E V' and if v has compact support, then we can define u * v as a distribution. To see this, let ¢ E V. Then ¢~u*(v*¢) is a translation invariant operator from C~ to Coo that commutes with trans- lations (notice that, because v is compactly supported, v * ¢ E V). Thus this operator is given by convolution with a distribution Q. We define u * v == Q. We now assemble some remarks about when a distribution is a function and, more particularly, when it is a smooth function. First we note that if Q E V' and a is compactly supported, then 6: is a Coo function. Indeed, (2.3.8)
  • 59.
    48 Review of Fourier Analysis To see this, let ¢ E V. Then REMARK If a E V' is compactly supported and 'l/J E £, then we can define Q( 'l/J) in the following manner: Let supp Q ~ K a compact set. Let <I> E C~ be identically equal to 1 on K. Then we set Q ( 'l/J) == Q (<I> . 'l/J). I Now let us use (2.3.8) to see that & is Coo when Q E V' is compactly supported. For simplicity, we assume that the dimension is one. Then Notice that we may pass the limit inside the brackets because the Newton quo- tients converge in C k for every k on the support of Q. Thus we have shown that & is differentiable. Iteration of this argument shows that & is Coo. We shall learn in the next section that, in fact, the Fourier transform of a compactly supported distribution is real analytic. We conclude with a remark on how to identify a smooth distribution. The spirit of this remark will be a recurring theme throughout this book. We ac- complish this identification by examining the decay of & at infinity. Namely, let ¢ E C~ be such that ¢ == 1 on a large compact set. We write & == ¢& +(1- ¢ )&. Applying the inverse Fourier transform (denoted by ---), we see that Then, since (¢&) is compactly supported, the first term is a Coo function. We conclude that, in order to see whether Q is Coo, we must examine (( 1 - ¢) &)". But this says, in effect, that we must examine the behavior of & at infinity. 2.4 The Paley-Wiener Theorem We begin by examining the so-called Fourier-Laplace transform. If f E C~ (I~N ) and ( == ~ + if] E ]RN + ilRN ~ eN, then we define j(() = r J~N !(x)e ix -( dx.
  • 60.
    The Paley-Wiener Theorem 49 More generally, if Q is a compactly supported distribution, then we define its Fourier-Laplace transform to be "X( eiX.() . Q Assume that the testing function f has support in the ball B(O, A). Then I!(()I = IlN f(x)eixoc'e-xoTJ dxl :S r J~N If(x)lle-XoTJI dx :S r If(x)le J~N A1TJ1 dx, where we have used the support condition on f. Thus we see that The Payley-Wiener theorem provides a converse to this estimate: THEOREM 2.4.1 An entire function U (() is the Fourier-Laplace transform of a distribution with compact support in B(O, A) if and only if there are positive constants C and K such that (2.4.1.1 ) Moreover, a distribution J-l coincides with a function in C~(B(O,A)) ifand only if its Fourier-Laplace transform U (() is an entire analytic function and for every K > 0 there is a constant C K > 0 such that (2.4.1.2) PROOF First let us assume that Q E V' with support in B(O, A); we shall then prove that U == & satisfies (2.4.1.1). Let h E C~ (I~N) satisfy h( t) == 1 when It I :::; 1/2 and h(t) == 0 when Itl2 1. For (E eN fixed and nonzero, we set One checks that ¢( E V and ¢((x) == eix ·( when Ixl :::; A+ 1/(21(1). Moreover, ¢((x) == 0 when I(/(Ixl - A) 2 1. Now for any ¢ E V we know that
  • 61.
    leVleW oJ ~"ourier Analysis for some C, K. As a result, I&(()I == IQX(eix'()1 == IQx (¢((x))1 :S C L sup IDJ3¢(1 1J3I~K B(O,A) :S C(I(I + I)K sup le ix .( I xEB(O,A) Next let us assume that Q is a C~ function supported in B(O, A). We shall prove (2.4.1.2). Now I&(()I = If a(x)e ix -<: dxl ::: r la(x)leA11m(1 dx JB(O,A) :S IIQIILle A1Im (l. This is (2.4.1.2) with K == 0. To obtain (2.4.1.2) with K == 1 we write, for (j i= 0, I&(()I = If a(x)e ix -<: dxl == Ifa(x)~~eix,( Z(j aXj dxl = I :j f (&~j a(x)) eix .( dxl :S _1 II~QII eA11m(l. I(jl aXj Ll We can iterate this argument to obtain (2.4.1.2) for every K. Next we prove that if (2.4.1.2) holds then Q is a C~ function with support in B(O, A). We write la(x)1 = I(27r)-N f U(~)e-ix,~ d~1 = I(27r)-N JU(~ + i1])e-ix.(~+i'7) d~l·
  • 62.
    The Paley-Wiener Theorem 51 If ( == ~ + iT} then from (2.4.1.2) we can write la(x)1 ~C J+ (1 !(I)-K e A11m (l ex '1 0 d~ = Ce A1 '1I+ x '1 J(1 + I(I)-K d~ provided that K 2: N + 1. Now for x E }RN fixed we take T} == -tx, where t is a positive real number. Then la(x)1 ~ CeAtlxl-tlxl2 == Cetlxl(A-lxl). If Ixl > A then, as t ---t +00, the right side of this inequality tends to O. Thus a(x) == O. But this simply means that suppa ~ B(O,A). We leave it as an exercise to prove that (2.4.1.1) implies that U is the Fourier- Laplace transform of a distribution supported in B(O, A). I
  • 63.
    3 Pseudodifferential Operators 3.1 Introduction to Pseudodifferential Operators Consider the partial differential equation ~ u == f. We wish to study the exis- tence and regularity properties of solutions to this equation and equations like it. It turns out that, in practice, existence follows from a suitable a priori reg- ularity estimate (to be defined below). Therefore we shall concentrate for now on regularity. The a priori regularity problem is as follows: If u E C~ (}RN) and if ~u == f, (3.1.1) then how may we estimate u in terms of f? Taking the Fourier transform of both sides of (3.1.1) yields (~u) == j or - L l~jI2u(~) == !((,). j Arguing formally, we may solve this equation for u: (3.1.2) Suppose for specificity that we are working in }R2. Then -1 /1~12 has a nonin- tegrable singularity and we find that equation (3.1.2) does not provide useful information. The problem of studying existence and regularity for linear partial differential operators with constant coefficients was studied systematically in the 1950's by
  • 64.
    Introduction to PseudodifferentialOperators 53 Ehrenpreiss and Malgrange, among others. The approach of Ehrenpreiss was to write u(x) = c· Ju(~)e-ix.~ d~ = J-1;1 j(~)e-ix,~ ~. 2 Using Cauchy theory, he was able to relate this last integral to J- + I~ 1. ~1712 j(~ + i1])e- ix '(U i7]) d~. In this way he avoided the singularity at ~ == 0 of the right-hand side of (3.1.2). Malgrange's method, by contrast, was to first study (3.1.1) for those f such that j vanishes to some finite order at 0 and then to apply some functional analysis. We have already noticed that, for the study of Coo regularity, the behavior of the Fourier transform on the finite part of space is of no interest. Thus the philosophy of pseudodifferential operator theory is to replace the Fourier multiplier 1/1~12 by the multiplier (1 - ¢(~))/1~12, where ¢ E C~(IRN) is identically equal to 1 near the origin. Thus we define for any 9 E C~. Equivalently, Now we look at u - Pf, where f is the function on the right of (3.1.1): .-.. (u - P f) == it - P f 1 A 1- ¢(~) A =-~f+ 1~12 f == _ ¢(~) fA 1~12 . Then u - P f is a distribution whose Fourier transform has compact support, that is, u - P f is Coo. So studying the regularity of u is equivalent to studying the regularity of P f. This is precisely what we mean when we say that P is a parametrix for the partial differential operator~. And the point is that P has symbol - (1 - ¢) / 1~12, which is free of singularities. Now let L be a partial differential operator with (smooth) variable coefficients: The classical approach to studying such operators was to reduce to the constant
  • 65.
    54 Pseudodifferential Operators coefficient case by "freezing coefficients": Fix a point Xo E }RN and write For a reasonable class of operators (elliptic), the second term turns out to be negligible because it has small coefficients. The principal term, the first, has constant coefficients. The idea of freezing the coefficients is closely related to the idea of passing to the symbol of the operator L. We set (This definition of symbol is slightly different from that in Section 1.5 because we need to make peace with the Fourier transform.) The motivation is that if dJ E V and if L has constant coefficients then However, even in the variable coefficient case we might hope that a parametrix for L is given by Assume for simplicity that f(x,~) vanishes only at ~ == 0 (in fact, this is exactly what happens in the elliptic case). Let <I> E C~ satisfy <I>(~) == 1 when I~I ~ 1 and <I>(~) == 0 when I~I ~ 2. Set We hope that m, acting as a Fourier multiplier by gives an approximate right inverse for L. More precisely, we hope that equations of the following form hold: T 0 + (negligible error term) L == id LoT == id + (negligible error term).
  • 66.
    Introduction to PseudodifferentialOperators 55 In the constant coefficient case, composition of operators corresponds to multi- plication of symbols so that we would have ((L 0 T)f) = £(~) . (I ~(;)(~)) j(~) == (1 - <P(~))j(~). In the variable coefficient case, we hope for an equation such as this with the addition of an error. A calculus of pseudodifferential operators is a collection of integral opera- tors that contains all elliptic partial differential operators and their parametrices and such that the collection is closed under composition and the taking of ad- joints. Once the calculus is in place, then, when one is given a partial or pseudodifferential operator, one can instantly write down a parametrix and ob- tain estimates. Pioneers in the development of pseudodifferential operators were Mikhlin ([MIK1], [MIK2]) and Calderon and Zygmund [CZ2]. One of the classical approaches to developing a calculus of operators finds it roots in the work of Hadamard [HAD] and Riesz [RIE] and Calderon and Zygmund [CZ1]. To explain this approach, we introduce two types of integral operators. The first are based on the classical Calderon-Zygmund singular integral ker- nels. Such a kernel is defined to be a function of the form O(x) K(x) = Ixl N ' where 0 is a smooth function on }RN {O} that is homogeneous of degree zero (i.e., O(AX) == O(x) for all A > 0). Then it can be shown (see [STSI]) that the Cauchy principal value integral TK f(x) == lim r E---+O+ J1tl>E f(x - t)K(t) dt converges for almost every x when f E LP and that T is a bounded operator from LP to LP, 1 < p < 00. The second type of operator is called a Riesz potential. The Riesz potential of order ex has kernel 0< ex < N, where CN,Q is a positive constant that will be of no interest here. The Riesz potentials are sometimes called fractional integration operators because the Fourier multiplier corresponding to k Qis c~ Q I~I-Q. If we think about the fact that multiplication on the Fourier transform side by ( -I ~ 1) ex > 0, corresponds 2 Q , to applying a power of the Laplacian-that is, it corresponds to differentiation-
  • 67.
    56 PseudodifferentiDl Operators then it is reasonable that a Fourier multiplier 1~1J3 with (3 < 0 should correspond to integration of some order. Now the classical idea of creating a calculus is to consider the smallest algebra generated by the singular integral operators and the Riesz potentials. Unfortu- nately, it is not the case that the composition of two singular integrals is a singular integral, nor is it the case that the composition of a singular integral and a fractional integral is (in any simple fashion) an operator of one of the com- ponent types. Thus, while this calculus could be used to solve some problems, it is rather clumsy. Here is a second, and rather old, attempt at a calculus of pseudodifferential operators: DEFINITION 3.1.1 A function p(x,~) is said to be a symbol of order m if p is Coo, has compact support in the x variable, and is homogeneous of degree m in ~ when ~ is large. That is, we assume that there is an M > 0 such that if I~I > ]v! and A > 1 then It is possible to show that symbols so defined, and the corresponding operators form an algebra in a suitable sense. These may be used to study elliptic operators effectively. But the definition of symbol that we have just given is needlessly restrictive. For instance, the symbol of even a constant coefficient partial differential oper- ator is not generally homogeneous and we would have to deal with only the top order terms. It was realized in the mid-1960s that homogeneity was superfluous to the intended applications. The correct point of view is to control the decay of derivatives of the symbol at infinity. In the next section we shall introduce the Kohn-Nirenberg approach to pseudodifferential operators. 3.2 A Formal Treatment of Pseudodifferential Operators Now we give a careful treatment of an algebra of pseudodifferential operators. We begin with the definition of the symbol classes. DEFINITION 3.2.1 KOHN-NIRENBERG [KONlj Let m E}R. We say that a smoothfunction a(x,~) on }RN x}RN is a symbol of order m if there is a compact set K ~ }RN such that supp a ~ K x}RN and, for any pair of multiindices Q, (3,
  • 68.
    A Formal Treatmentof Pseudodifferential Operators 57 there is a constant Cn ,/3 such that (3.2.1.1) We write a E sm. As a simple example, if <I> E C~ (IR N ), <I> == 1 near the origin, define Then a is a symbol of order m. We leave it as an exercise for the reader to verify condition (3.2.1.1). For our purposes, namely the local boundary regularity of the Dirichlet prob- lem, the Kohn-Nirenberg calculus will be sufficient. We shall study this calculus in detail. However, we should mention that there are several more general cal- culi that have become important. Perhaps the most commonly used calculus is the Hormander calculus [HOR2]. Its symbols are defined as follows: DEFINITION 3.2.2 Let m E IR and 0 ~ p, 8 ~ 1. We say that a smooth function a( x,~) lies in the symbol class S;::c5 if The Kohn-Nirenberg symbols are special cases of the Hormander symbols with p == 1 and 8 == 0 and with the added convenience of restricting the x support to be compact. Hormander's calculus is important for the study of the a-Neumann problem (treated in our Chapter 8). In that context symbols of class S:/2,1/2 arise naturally. Even more general classes of operators, which are spatially inhomogenous and nonisotropic in the phase variable ~, have been developed. Basic references are [BEF2], [BEA 1], and [HOR5]. Pseudodifferential operators with "rough symbols" have been studied by Meyer [MEY] and others. The significance of the index m in the notation sm is that it tells us how the corresponding pseudodifferential operator acts on certain function spaces. While one may formulate results for C k spaces, Lipschitz spaces, and other classes of functions, we find it most convenient at first to work with the Sobolev spaces. DEFINITION 3.2.3 If ¢ E V then we define the norm II¢IIHS = 11¢lls == (/ 1¢(~)12 (1 + 1~12r d~) 1/2 . We let HSC~N) be the closure of V with respect to II I/s.
  • 69.
    58 Pseudodifferential Operators In the case that s is a nonnegative integer, for 1~llarge. Therefore ¢ E H S if and only if ¢. (L I~IQ) IQI~S 2 E L . This last condition means that ¢~Q E L 2 for all multiindices Q with lad ~ s. That is, (:x)" ¢ E L 2 Va such that lal ~ s. Thus we have PROPOSITION 3.2.4 If s is a nonnegative integer then Here derivatives are interpreted in the sense of distributions. Notice in passing that if s >r then HS ~ Hr because The Sobolev spaces tum out to be easy to work with because they are modeled on L 2-indeed, each HS is canonically isomorphic as a Hilbert space to £2 (exercise). But they are important because they can be related to more classical spaces of smooth functions. That is the content of the Sobolev imbedding theorem: THEOREM 3.2.5 SOBOLEV Let s > N/2. If f E HS(IR N ), then f can be corrected on a set of measure zero to be continuous. More generally, if k E {O, 1,2, ...} and if f E HS, s > N/2 + k, then f can be corrected on a set of measure zero to be C k . PROOF For the first part of the theorem, let f E H s. By definition, there exist ¢j E V such that lI¢j - jllHs -+ O. Then (3.2.5.1)
  • 70.
    A Formal Treatmentof Pseudodifferential Operators 59 Our plan is to show that {¢j} is an equibounded, equicontinuous family of functions. Then the Ascoli-Arzehi theorem [RUD1] will imply that there is a subsequence converging uniformly on compact sets to a (continuous) function g. But (3.2.5.1) guarantees that a subsequence of this subsequence converges pointwise to the function f. So f == 9 almost everywhere and the required assertion follows. To see that {¢j} is equibounded, we calculate that IcPj(x)1 = c ·11 e-ix.F,Jj(~) d~1 ~ c· 1IJj(~)1(1 + 1~12)s/2(1 + 1~12)-s/2 d~ ~ c· 1IJj(~)12(1 + 1~12)s d~ . 1 + 1~12)-s d~) ( ) 1/2 ( (1 1/2 . Using polar coordinates, we may see easily that, for s > N /2, Therefore and {¢ j} is equibounded. To see that {¢j} is equicontinuous, we write Observe that le-ix,~ - e-iy·~ I ::; 2 and, by the mean value theorem, Then, for any 0 < E < 1, le-ix,~ _ e-iY'~1 == le-ix,~ _ e-iY'~ll-t:le-ix,~ _ e-iY'~It: ::; 21-€lx _ ylt:I~It:. Therefore IcPj(x) - cPj(y)1 ~c 1IJj(~)lIx yl'I~I' d~ - ~ C1x - 1IJj(~)1 + 1~12)'/2 d~ yl' (1 ~ C1x - yl' IlcPj IIHB ( J(1 + It;Y)-s+, d~ ) 1/2 .
  • 71.
    60 Pseudodifferential Operators If we select 0 < E < 1 such that -s + E < -N/2, then we find that J(1 + 1~12)-s+E d~ is finite. It follows that the sequence {¢j} is equicontinuous and we are done. The second assertion may be derived from the first by a simple inductive argument. We leave the details as an exercise. I REMARKS 1. If s == N /2, then the first part of the theorem is false (exercise). 2. The theorem may be interpreted as saying that HS ~ C k for s > k + N /2. In other words, the identity provides a continuous imbedding of H S into C k . A converse is also true. Namely, if HS ~ C k for some nonnegative integer k then s > k + N /2. To see this, notice that the hypotheses Uj ---+ U in HS and Uj ---+ v in C k imply that U == v. Therefore the inclusion of HS into C k is a closed map. It is therefore continuous by the closed graph theorem. Thus there is a constant C such that For x E }RN fixed and a a multiindex with lal ::; k, the tempered distribution e~ defined by e~ (¢) = (:xcxcx ) ¢( x) is bounded in (C k )* with bound independent of x and a (but depending on k). Hence {e~} form a bounded set in (HS)* == H-s (this point is discussed in detail in Lemma 3.2.9 below). As a result, for lal ::; k we have that is finite, independent of x and a. But this can only happen if 2(k - s) < -N, that is, if s > k + N /2. I Exercise: Imitate the proof of the Sobolev theorem to prove Rellich's lemma: If s > r, then the inclusion map i : H S ---+ HT is a compact operator.
  • 72.
    A Formal Treatmentof Pseudodifferential Operators 61 THEOREM 3.2.6 Let p E 8 m and define the associated pseudodifferential operator P == Op(p) == Tp by Then continuously. REMARKS Notice that if m > 0, then we lose smoothness under P. Like- wise, if m < 0 then P is essentially a fractional integration operator and we gain smoothness. We say that the pseudodifferential operator Tp has order m precisely when its symbol is of order m. Observe also that in the constant coefficient case (which is misleadingly sim- ple), we would have p(x,~) == p(~) and the proof of the theorem would be as follows: IIP(¢;)II;-m = Jl(ffl))(~)12 + 1~12)s-m d~ (1 = JIp(~)¢(~W(1 + 1~12y-m d~ ~ J1¢(~)12(1 + 1~12)s d~ c == cll¢II;· I To prove the theorem in full generality is more difficult. We shall break it up into several lemmas. LEMMA 3.2.7 For any complex numbers a, b we have 1 + lal T+lbf ~ 1 + la - bl· PROOF We have 1 + lal ~ 1 + la - bl + Ibl ~ 1+ la - bl + Ibl + Iblla - bl == (1 + la - bl)(l + Ibl). I
  • 73.
    62 Pseudodifferential Operators LEMMA 3.2.8 If P E sm then, for any multiindex a and integer k > 0, we have Here F x denotes the Fourier transform in the x variable. PROOF If a is any multiindex and r is any multiindex such that I,I == k, then 1'YIIFx 17 (D~p(x,~)) 1== IFx (D1D~p(x,~)) (1])1 ::; IID~+'Yp(x,~)IILI(x) ~ Ck,o:' (1 + 1~I)m. As a result, This is what we wished to prove. I LEMMA 3.2.9 We have that PROOF Observe that But then HS and H-s are clearly dual to each other by way of the pairing (I, g) = Jj(~)g(~) df I The upshot of the last lemma is that, in order to estimate the H S norm of a function (or Schwartz distribution) cP, it is enough to prove an inequality of the form for every 1/J E V.
  • 74.
    A Formal Treatmentof Pseudodifferential Operators 63 PROOF OF THEOREM 3.2.6 Fix ¢ E V. Let p E Smand let P = Op(p). Then PcjJ(x) = 1 O¢(~) d~. e-ix.€p(x, Define SX(A,~) = 1eiX·)o.p(x,~)dx. This function is well defined since p is compactly supported in x. Then P¢(1]) = 11 ~)¢(~) d~eiTJ'x e-ix.€p(x, dx = 1 ~)¢(~)eix'(TJ-O d~ 1 p(x, dx = 1Sx(1]-~,~)¢(~)df We want to estimate IIP¢Is-m. By the remarks following Lemma 3.2.9, it is enough to show that, for 'l/J E V, We have 11 PcjJ(x)ijj(x) dxl = 11 P¢(~)~(~) d~1 = 11 (1 Sx(~ - 1], 1])¢(1]) d1]) ~(~) d~1 = 1 Sx(~ 1 - 1],1])(1 + 11]I)-s(1 + Iw s- m x ~ ( ~) (1 + 1 1) m - s ¢(17) (1 + ~ 1171) s d 17 d~ . Define K(~,1]) = ISx(~ -1],1])(1 + 11]I)-s(1 + Iws-ml· We claim that JIK(~, d~ 1])1 :::; C and JIK(~,1])1 d1]:::; C.
  • 75.
    64 Pseudodifferential Operators Assume the claim for the moment. Then x ( / 1¢(17)1 2 (1 + 1171 2 )S d17 ) 1/2 == CII7/JIIHm-s . 1I¢IIHs That is the desired estimate. It remains to prove the claim. By Lemma 3.2.8 we know that But now, by Lemma 3.2.7, we have IK(~,17)1 == ISx(~ -17,17)(1 + 117I)-s(1 + Iws-ml ::; Ck(l + 11JI)m(l + I~ -1JI)-k(l + 11J1)-S(l + 1~l)s-m 1 + 11J1) m-s -k = Ck ( 1 + I~I . (1 + I~ - 171) ::; Ck(l + I~ _1Jl)m-s(l + I~ - 1J1)-k. We may specify k as we please, so we choose it so large that m-s-k ~ -N-1. Then the claim is obvious and the theorem is proved. I
  • 76.
    The Calculus ofPseudodifferential Operators 65 3.3 The Calculus of Pseudodifferential Operators The three central facts about our pseudodifferential operators are these: 1. If p E sm then Tp : HS -+ Hs-m. 2. If p E sm then (Tp )* is "essentially" Tp . In particular, the symbol of (Tp )* lies in sm. 3. If p E sm, q E sn, then T p 0 Tq is "essentially" Tpq • In particular, the symbol of T p 0 T q lies in sm+n. We have already proved (1); in this section we shall give precise formulations to (2) and (3) and we shall prove them. We begin with (2), and for motivation consider a simple example. Let A == a(x)(ajaXl). Let us calculate A*. If ¢, 'ljJ E V then (A * ¢, 'ljJ) £2 == (¢, A'ljJ) £2 = J (a(x):~ ¢(x) (X)) dx = - JO~ 1 (a( x) ¢( X ) ) if;(x) dx = J( a aft) - -a(x) OXI - OXI (X) ¢(x)· 'Ij;(x) dx. Then A* == -a ( x ) - a - -aft (x ) - aXl aXl = Op ( -a(x)( -i6) - OXI (X) ) aft = Op (i 6 a (x) - ::1 (X)) . Thus we see in this example that the "principal part" of the adjoint operator (that is, the term with the highest degree monomial in ~ of the symbol of A *) is i~ 1ft (x), and this is just the conjugate of the symbol of A. In general it turns out that the symbol of A * for a general pseudodifferential operator A is given by the asymptotic expansion a)ex- 1 L DC; (of, a(A) a! . ex
  • 77.
    66 Pseudodifferential Operators Here D~ == (ia j ax)Q. We shall learn more about asymptotic expansions later. The basic idea of an asymptotic expansion is that, in a given application, the asymptotic expansion may be written in more precise form as One selects k so large that the error term £k is negligible. If we apply this asymptotic expansion to the operator a(X)ajaxl that was just considered, it yields that o-(A*) = i~la(x) - ~a (x), UXI which is just what we calculated by hand. Now let us look at an example to motivate how compositions of pseudodif- ferential operators will behave. Let the dimension N be 1 and let d and B == b(x) dx . Then a(A) == a(x)( -i~) and a(B) == b(x)( -i~). Moreover, if ¢ E 'D then (A 0 B)(¢) = (a(x) d~) (b(X) ~~) Thus we see that 0-( A 0 B) = a(x) ~~ (x) (-i~) + a(x )b(x)( -i~f. Notice that the principal part of the symbol of A 0 B is a(x)b(x)( -i~)2 == a(A) . a(B). In general, the Kohn-Nirenberg formula says (in }RN) that o-(A 0 B) = L Q od (a)Q (o-(A)) . D~(o-(B)). 1 fJ~ (3.3.1) Recall that the commutator, or bracket, of two operators is [A,B] == AB - BA.
  • 78.
    The Calculus ofPseudodifferential Operators 67 Here juxtaposition of operators denotes composition. A corollary of the Kohn- Nirenberg formula is that a([A, B]) = L (8/8~Y>a(A)D~a(B) -, (8/80aa(B)D~a(A) Q. Inl>O (notice here that the Q == 0 term cancels out) so that a([A, B]) has order strictly less than (order(A) + order(B)). This phenomenon is illustrated concretely in JRl by the operators A == a(x)d/dx, B == b(x)d/dx. One calculates that db da) d AB - BA == ( a(x) dx (x) - b(x) dx (x) dx' which has order one instead of two. Our final key result in the development of pseudodifferential operators is the asymptotic expansion for a symbol. We shall first have to digress a bit on the subject of asymptotic expansions. Let f be a Coo function defined in a neighborhood of 0 in R Then 00 1 dn f f(x) r-..J " -(0) x n . - (3.3.2) L..-i n! dx n o We are certainly not asserting that the Taylor expansion of an arbitrary Coo func- tion converges back to the function, or even that it converges at all (generically just the opposite is true). This formal expression (3.3.2) means instead the following: Given an N > 0 there exists an M > 0 such that whenever m > M and x is small then the partial sum Sm satisfies Now we present a notion of asymptotic expansion that is related to this one, but is specially adapted to the theory of pseudodifferential operators: DEFINITION 3.3.3 Let {aj} be symbols in UmS m . We say that another symbol a satisfies if for every L E jR+ there is an M E Z+ such that M a - Laj E S-L. j=l
  • 79.
    68 Pseudodifferential Operators DEFINITION 3.3.4 Let K CC }RN be a fixed compact set. Let WK be the set of symbols with x-support in K. If pEW K, then we will think of the corresponding pseudodifferential operator P as P : CC:(K) ~ C~(K). (This makes sense because P¢(x) == J e-ix,~p(x, ~)¢(~) d~.) Now our main result is THEOREM 3.3.5 Fix a compact set K and pick p E 8 m n WK. Let P == Op(p). Then P* has symbol in 8 m n WK given by We will prove this theorem in stages. There is a technical difficulty that arises almost immediately: Recall that if an operator T is given by integration against a kernel K (x, y), then the roles of x and yare essentially symmetric. If we attempt to calculate the adjoint of T by formal reasoning, there is no difficulty in seeing that T* is given by integration against the kernel K (y, x). However, at the symbol level matters are different. Namely, in our symbols p(x, ~), the role of x and ~ is not symmetric. If we attempt to calculate the symbol of Op(p) by a formal calculation, then this lack of symmetry serves as an obstruction. It was Hormander who determined a device for dealing with the problem just described. We shall now describe his method. We introduce a new class of symbols r(x,~, y). Such a smooth function on }RN x }RN X }RN is said to be in the symbol class Tm if there is a compact set K such that supp r(x,~, y) ~ K x and supp r(x,~,y) ~ K y and, for any multiindices 0:, (3, '"'f, there is a constant Cn ,f3,-y such that The corresponding operator R is defined by R¢(x) = JJei(y-xHr(x,~, y)¢(y) dyd~. (3.3.6)
  • 80.
    The Calculus ofPseudodifferential Operators 69 Notice that the integral is not absolutely convergent and must therefore be in- terpreted as an iterated integral. PROPOSITION 3.3.7 Let r E T m have x- and y-supports contained in a compact set K. Then the operator R defined as in (3.3.6) defines a pseudodifferential operator of Kohn-Nirenberg type with symbol pEW K having an asymptotic expansion p(x,~) '" L ~!alD~r(x,~,y)ly=x' n PROOF We calculate that JeiY'~r(x, ~,y )¢>(y) dy = (r(x, ~, .)¢>(-)) = (i3 (x, y, .) * J(-)) (~). Here f3 indicates that we have taken the Fourier transform of r in the third variable. By the definition of R¢ we have R¢>(x) = JJei(-x+Y)'~r(x,~,y)¢>(y)dyd~ J = e-ix.~ [i3(x,~,.) * J(-)] (~) d~ = JJi3(x,~, ~ - TJ)J(TJ) dTJe-ix,~ d~ = JJi3(x,~, ~ - TJ)e-ix,(~-'f}) d~J(TJ)e-ix.'f} dT] == J p(x, y)J(TJ)e-ix.'f} dTJ· Here Ji3(x,~, ~ TJ)e-ix(~-'f}) ~ p(x, TJ) == - =Je-ix'~i3(x, ~ + TJ,~) d~. Now if we expand the function f3 (x, TJ + .,~) in a Taylor expansion in powers of ~, it is immediate that p has the claimed asymptotic expansion. In particular, one sees that p E sm. In detail, we have i3(x, 1] +~,~) = L a;i3(x, TJ,~) ~~ + R. Inl<k
  • 81.
    70 Pseudodifferential Operators Thus (dropping the ubiquitous c from the Fourier integrals), p(x,Tj) = L 1e-iX'€8;f3(x,Tj,~):~ d~ + 1Rd~ lal<k = L ~!8;D~r(X,Tj,y)ly=x + 1 Rd~. lal<k The rest is formal checking. I PROOF OF THEOREM 3.3.5 Let pEW K n sm and choose cP, 1/J E V. Then, with P the pseudodifferential operator corresponding to the symbol p, we have (dJ, P* 1/J) == (PcP, 1/J) = 1[1 e-iX'€p(X,~)¢(~)d~] "j;(x)dx = 1 1e-i(x-YH4>(y)dyp(x,~)d~"j;(x)dx. 1 Let us suppose for the moment that p is compactly supported in~. With this extra hypothesis the integral is absolutely convergent and we may write (4), P*7/J) = 14>(Y) [11 ei(x-y)·€ p(x, ~)7/J(x) d~ dx ] dy. (3.3.5.1) Thus we have P*7/J(y) = 1 ei(x-YHp(x,~)7/J(x)d~dx. 1 Now let p E C~ be a real-valued function such that p == 1 on K. Set r(x,~,y) == p(x)· p(y,~). Then P*7/J(y) =11 ~)p(Y)7/J(x) d~ ei(x-YH p(x, dx =1ei(x-YHr(y,~,x)7/J(x)d~dx == R1/J(y), where we define R by means of the multiple symbol r. (Note that the roles of x and y here have unfortunately been reversed.)
  • 82.
    The Calculus ofPseudodifferential Operators 71 By Proposition 3.3.7, P* is then a classical pseudodifferential operator with symbol p* whose asymptotic expansion is p*(x,~) '" ~ ~! of D; [p(x)p(y, ~)] Iy=x '" L J,af D';p(x, ~). Q. a We have used here the fact that p == 1 on K. The theorem is thus proved with the extra hypothesis of compact support of the symbol in ~. To remove the extra hypothesis, let ¢ E ergo satisfy ¢ == 1 if I~ I ~ 1 and ¢ == 0 if I~I 2: 2. Let Observe that Pj ~ P in the e k topology on compact sets for any k. Also, by the special case of the theorem already proved, The proof is completed now by letting j ~ 00. I THEOREM 3.3.8 KOHN-NIRENBERG Let P E l1 K n sm, q E l1 K n sn. Let P, Q denote the pseudodifferential operators associated with p, q respectively. Then Po Q == Op(a) where 1. a E l1 K n sm+n; 2. a ~ La ~8rp(x, ~)D~q(x, ~). PROOF We may shorten the proof by using the following trick: write Q = (Q*) * and recall that Q* is defined by Q*¢J(y) = / / ei(x-YH¢J(x)q(x,~)dxd(, = (/ eix'~¢J(x)q(x,~) dx ) ---- (y). Here we have used (3.3.5.1). Then Q¢J(x) = (J eiY·~¢J(y)q.(y,~) dy) ---- (x), (3.3.8.1 )
  • 83.
    72 Pseudodifferential Operators where q* is the symbol of Q*. (Note that q* is not if; however, we do know that if is the principal part of q*.) Then, using (3.3.8.1), we may calculate that (P 0 Q)(¢»(x) = J e-ix·ep(x, ~)(Q¢)(O d~ = JJe-ix·ep(x,Oeiy·eq*(y,~)¢>(y)dyd~ = JJe-i(x-y)·e [p(x,~)q*(y,~)] ¢>(y)dyd~. Set q == q*. Define r(x,~, y) == p(x,~) . ij(y, ~). One verifies directly that r E Tn+m. We leave this as an exercise. Thus R, the associated operator, equals P 0 Q. By Proposition 3.3.7 there is a classical symbol a such that R == Op( a) and a(x,O "-J L ~! of D~r(x,~, y)ly=x' Q Developing this last line we obtain a(x,O "-J L ~!OfD~ (p(x,Oq(y,~))ly=x Q "-J L ~!Of [p(x,OD~q(y,O] Iy=x Q "-J L ~or [p(x,OD~q(x,O] o. Q "-J L all! [or1p(x,o] a;! [otD~2D~lq(X,~)] QI,Q2 QI '""" oI! 8 ~ p ( x, ~ ) D x ~ 1 ~ 0 1 ! 8Q2 D x q x, ~ ) ] 2 ~ QI ['""" Q2 _( f"V QI Q2 "-J L ~o{p(X,~)D~lq(X,~). 0'. QI
  • 84.
    The Calculus ofPseudodifferential Operators 73 Here we have used the fact that the expression inside the brackets is just the asymptotic expansion for the symbol of (Q*) *. That completes the proof. I The next proposition is a useful device for building pseudodifferential oper- ators. Before we can state it we need a piece of terminology: we say that two pseudodifferential operators P and Q are equal up to a smoothing operator if P - Q E Sk for all k < O. In this circumstance we write P rv Q. PROPOSITION 3.3.9 Let Pj, j == 0, 1,2, ..., be symbols of order mj, mj ~ -00. Then there is a symbol P E smo, unique modulo smoothing operators, such that PROOF Let 'l/J : ~n ~ [0, 1] be a Coo function such that 'l/J == 0 when Ixl ::; 1 and 'l/J == 1 when Ixl 2: 2. Let 1 < t l < t2 < ... be a sequence of positive numbers that increases to infinity. We will specify these numbers later. Define 00 p(x,~) == L 'l/J(~/tj )Pj (x, ~). j=O Note that for every fixed x, ~ the sum is finite, for 'l/J (~/ tj) == 0 as soon as tj> I~I. Thus P is a well-defined Coo function. Our goal is to choose the tj'S so that P has the correct asymptotic expansion. We claim that there exist {t j} such that Assume the claim for the moment. Then for any multiindices Q, {3 we have 00 ID~Drp(x,~)1 ::; L ID~Dr ('l/J(~/tj)Pj(x,~))1 j=O 00 ::; L2- (1 + 1~l)mJ-IQI j j=O
  • 85.
    74 Pseudodifferential Operators It follows that p E sm o• Now we want to show that p has the right asymptotic ° expansion. Let < k E Z be fixed. We will show that k-l p- LPj j=O lives in smk. We have k-l - L (l-7/J(~/tj))Pj(x,~) j=O == q(x,~) + s(x, ~). It follows directly from our construction that q(x,~) E k sm • Since [l-'ljJ(~/tj)] has compact support in B(O, 2t l ) for every j, it follows that s(x,~) E S-oo. Then k-l P - LPj E sm k j=O as we asserted. We wish to see that P is unique modulo smoothing terms. Suppose that qE smo and q L~OPj. Then f"V P- q== (p - LPj) - (q - LPj) J<k J<k for any k. That establishes the uniqueness. It remains to prove the claim. First observe that, for lad == j, IDf7/J(~/tQ)1 = ik I(Df7/J) (~/tj)1 t· J + ~ tjl I1€1::;2t sup J {(DQ'lj;). (1 + I~I)IQI}I (1 + I~I)-IQI
  • 86.
    The Calculus ofPseudodifferential Operators 75 with C independent of j. Therefore IDr (1/J(~/tj)Pj(x,O)1 = L (~)Dl1/J(~/tj)Df-'pj(x,O ,,:Sa Consequently, ID~De (?j;(~/fj)pj(x,~))I ~ Cj ,a,/3(l + 1~l)mJ-lal ~ Cj(l + 1~I)mJ-lal for every j 2: lad + ItJl (here we have set Cj == maxi Cj ,a,/3 : lal + ItJl ~ j}). Now recall that ?j;(~) == 0 if I~I ::; 1. Then ?j;(~/fj) -I 0 implies that I~I 2: fj. Thus we choose fj so large that fj > fj-l and 1~12: fj implies Cj(l + 1~l)mJ-mJ-l :::; 2- j . Then it follows that which establishes the claim and finishes the proof of the proposition. I
  • 87.
    4 Elliptic Operators 4.1 Some Fundamental Properties of Partial Differential Operators We begin this chapter by discussing some general properties that it is desirable for a partial differential operator to have. We will consider why these proper- ties are desirable and illustrate with examples. We follow this discussion by introducing an important, and easily recognizable, class of partial differential operators that enjoy these desirable properties: the elliptic operators. Our first topic of discussion is locality and pseudolocality. Let T : C~ ~ Coo. We say that T is local if whenever a testing function ¢ vanishes on an open set U then T¢ also vanishes on U. The most important examples of local operators are differential operators. In fact, the converse is true as well: THEOREM 4.1.1 PEETRE If T: Cr: ~ COO is a linear operator that is local then T is a R.artial differential operator. PROOF See [HEL]. I The calculation of a derivative at a point involves only the values of the function at points nearby. Thus the notion of locality is well suited to differ- entiation. In particular, it means that if T is local and ¢ == 'l/J on an open set then T¢ == T'l/J on that open set. For the purposes of studying regularity for differential operators, literal equality is too restrictive and not actually necessary. Therefore we make the following definitions: DEFINITION 4.1.2 Let ex E V' and U ~ IR N an open set. If there is a Coo
  • 88.
    Properties of DifferentialOperators 77 function f on U such that for all ¢ E V that are supported in U we have n(¢» = 1 j(x)¢>(x) dx, then we say that 0 is Coo on u. The singular support of a distribution 0 is defined to be the complement of the union of all the open sets on which 0 is Coo. DEFINITION 4.1.3 A linear operator T : V' ~ V'is said to be pseudolocal if whenever U is an open set and 0 E V'is Coo on U then To is Coo on U. Now we have THEOREM 4.1.4 If T is a pseudodifferential operator, then T is pseudoloeal. The theorem may be restated as "the singular support of Tu is contained in the singular support of u for every distribution u." A sort of converse to this theorem was proved by R. Beals in [BEA2-4]. That is, in some sense the only pseudolocal operators are pseudodifferential. We shall not treat that result in detail here. The proof of the theorem will proceed in stages. First, we need to define how a pseudodifferential operator operates on a distribution. Let P be a pseudodif- ferential operator and let u E V' have compact support. We want Pu to be a distribution. For any testing function ¢, we set (Pu, ¢) == (u, t P¢). Here t P is the transpose of P which we define by for ¢,'l/J E V. To illustrate the definition, suppose that u is given by integration against an Ll function f. Suppose also that the pseudodifferential operator P is given by integration against the kernel K(x, x - y) with K(·, y) E L 1 and K(x, .) ELI. Then P has symbol K (x, ~). We see that 2 (Pu)(¢» = 1[1 K(x,x-y)j(Y)dY] ¢>(x)dx =J~ K(x, x - y)¢>(x) dX] j(y) dy =J t P¢>(y)f(y) dy.
  • 89.
    78 Elliptic Operators This calculation is consistent with the last definition. PROOF OF THEOREM 4.1.4 Let U be an open set on which the distribution u is Coo. Fix x E U. Let ¢ E C~ (U) satisfy ¢ == 1 in a neighborhood of x. Finally, let 'ljJ E C~ (U) satisfy 'ljJ == 1 on the support of ¢. Then we have 'ljJu E V, hence ¢P'ljJu E C~. (Note here that we are using implicitly the fact that if a(P) E sm, then P maps HS to Hs-m, hence, by the Sobolev imbedding theorem, P maps C~ to Coo.) We wish to find the symbol of ¢P'ljJ. This is where the calculus of pseudod- ifferential operators will come in handy. Let us write our operator as where the symbol M denotes a multiplication operator. Of course a(M</» == ¢(x) and a(M1jJ) == 'ljJ(x). Hence a(T) == ¢(x)a(PoM1jJ) '" ¢J(x) (~~!8fPD~1/J ) . In the last equality we have used the Kohn-Nirenberg formula. But, on the support of ¢, any derivative of 'ljJ of order at least 1 vanishes. As a result, a(T) ~ ¢(x)a(P)(x,~). Therefore a(T) - ¢(x)a(P) E S-k Vk ~ o. In other words, T - Met> 0 P : H S ~ H s +k for all k 2: 0 and every s. By Sobolev's theorem, But V' == UsHs so our distribution u lies in some HS. We conclude that Since ¢P'ljJu is Coo, we may conclude that ¢Pu E Coo. But ¢ == 1 in a neighborhood of x. Therefore Pu is Coo near x. Since x was an arbitrary point of U, we are done. I DEFINITION 4.1.5 A linear operator T : V' ~ V'is called hypoelliptic if sing supp u ~ sing supp Tu.
  • 90.
    Properties of DifferentialOperators 79 Notice that the containment defining hypoellipticity is just the opposite from that defining pseudolocality. A good, but simple, example of a hypoelliptic operator on the real line is djdx. For if d - u == f dx and f is smooth on an open set U, then u is also smooth on U. The reason, of course, is that we may recover u from f on this open set by integration. A more interesting example of a hypoelliptic operator is the Laplacian ~ on ~N, N 2: 2. Thus the equation ~u == f entails u being smooth wherever f is. This is proved, in analogy with the one-variable case, by constructing a right inverse (or at least a parametrix) for the operator~. If the right inverse or parametrix is a pseudodifferential operator, then the last theorem will tell us that ~ is hypoelliptic. We now introduce an important class of pseudodifferential operators which are hypoelliptic and enjoy several other appealing regularity properties. These are the elliptic operators: DEFINITION 4.1.6 We say that a symbol p E sm is elliptic on an open set U ~ ~N if there exists a continuous function c(x) > 0 on U such that for ~ large. A partial differential operator or, more generally, a pseudodiffer- ential operator L is elliptic precisely when its symbol a( L) is elliptic. Example 1 Let ~ be the Laplacian. Then a(~) == Lf=1(-i~j)2 follows that la(~)1 == 1~12 2: 1 '1~12 on all of space. Hence ~ is elliptic. 0 Example 2 Now let 1 if i == j o if i =I j. Then
  • 91.
    80 Elliptic Operators If Eij, i, j 1, ... ,N are Coo functions having small CO nonns, then the operator is elliptic. 0 Example 3 Let (aij) be a positive definite N x N matrix of constants. Let b1 , ••• , bN be scalars. Then the partial differential operator 2 La j -.8x . + Lbj -88x . . . Z,J 8 8 i Xz J J . J is elliptic. 0 If P is a partial differential operator that is elliptic of order m (usually m is positive, but it is not necessary to assume this), and if Q == L an (x) 8 n is a partial differential operator with continuous coefficients of strictly lower order, then P + Q is still elliptic, no matter what Q is. To see this, let a(P) == p(x,~) with Ip(x,~)I2: c(x)I~lm for 1~llarge. Then la(P + Q) I 2: la(P) I- la( Q) I 2: c(x)I~lm - L an(x)(-i~)n Inl<m 2: c(x)I~lm - b(x)I~lm-l 2: c~) 1~lm for ~ large and x in a bounded set. As a result of this calulation, we can say that a partial differential operator is elliptic if and only if its principal symbol Llnl=m a n (x)8 n is elliptic. A natural question to ask is: must an elliptic operator be of even order? If the dimension is at least two, and the order is at least two, then the answer is yes. We leave the easy verification as an exercise. In the case of dimension two and order one, let us consider the example 8 .8 P == 8x + ~ 8y . Then
  • 92.
    Regularity for EllipticOperators 81 Thus la(P)1 2: I~I· In dimension one, consider an operator m dj P = Laj(x) dxj . j=1 Then m a(P) == Laj(x)(-i~)m j=1 so that for ~ large. Then P is elliptic if and only if am is nowhere vanishing. Our next main goal is to prove existence and regularity theorems for elliptic partial differential operators. 4.2 Regularity for Elliptic Operators We begin with some terminology. DEFINITION 4.2.1 A pseudodifferential operator is said to be smoothing if its symbol p lies in S-oo == nmS m. DEFINITION 4.2.2 If P is a pseudodifferential operator, then a left (resp. right) parametrix for P on an open set U is a pseudodifferential operator Q such that there is a 'ljJ E C~, 'ljJ == 1 on U, with QP - 1jJI (resp. PQ - 'ljJI) smoothing. The next proposition is fundamental to our regularity theory. PROPOSITION 4.2.3 If P is an elliptic pseudodifferential operator of order m and if L is a rela- tively compact open set in the (x variable) domain of a(P), then there exists a pseudodifferential operator of order -m that is a two-sided parametrix for P on L. PROOF By hypothesis we have la(P)1 == Ip(x, ~)I 2: a(x)I~lm
  • 93.
    82 Elliptic Operators for x E suppp(·,~), ~ large with a(x) > 0 a continuous function. Select a relatively compact open set L ~ supp p(.,~) so that there is a constant CO > 0 with a(x) > Co on L. We also select Ko > 0 such that, for I~I 2: K o and x E L, it holds that Ip(x,~)1 2: col~lm. Let'l/J be a C~ function with support in the (x variable) domain of a(P) such that 'l/J == 1 on L. Also choose a function ¢ E Coo such that ¢(~) == 1 for I~I 2: K o + 2 and ¢(~) == 0 for I~I :::; K o + 1. Then set and Qo == Op( qo). Observe that ¢ == 0 on a neighborhood of the zeroes of p(x, ~); hence qo is Coo. Furthermore, qo has compact support in x. Finally, qo E s-m. To see this, first notice that Moreover, la~j qo(X,~)1 = '1/J(X)'·lp(x,~)(ac/>/a~j)~l(:,~~~)(ap(x,o/a~j) I < C. [(1 + IW ·1(a¢>/a~j)(~)1 + (1 + IW m m 1 - ] - (1 + 1~1)2m (1 + 1~1)2m for lei large. But this is However, B¢/ Bej is compactly supported, so it follows that Arguing in a similar fashion, one can show that Since x derivatives are harmless, we conclude that qo E s-m.
  • 94.
    Regularity for EllipticOperators 83 Now consider Qo 0 P. By the Kohn-Nirenberg fonnula, That is, a(Qo 0 P) == qo(x, ~)p(x,~) + 1'-1 (x, ~). (4.2.3.1) Notice that qo(x, ~)p(x,~) == 'l/J(x )¢(~) and 1'-1 (x,~) E 5- 1• Now set a(Qo 0 P) == 'ljJ(x) + r-l(x,~), where r-l is defined by this equation and (4.2.3.1). The equation that defines r -1 shows that we may suppose that r -1 has compact support in the x variable. Observe also that r -1 E 5- 1 . Define where '¢ is a C~ function that is identically equal to 1 on the x-support of r -1. Consider Qo + Ql == Op(qO + ql). We calculate (Qo + Ql) 0 P. By the Kohn-Nirenberg fonnula, a((Qo + Ql) 0 p) == a(Qo 0 P) + a(Ql 0 P) == 'ljJ(x) + ,¢(x)r -1 - '¢(x)¢(~)r -1 + f -2. Notice that 1'-2 E 5- 2 • Since '¢(x)(l - ¢(~)) is compactly supported in both x and~, it follows that ,¢(x)(l- ¢(~))r-l is smoothing. Therefore we may write with r -2 E 5- 2 . Now suppose inductively that we have constructed qo, ... ,qk-l such that, setting Qj == Op(qj) for j :::: 0, 1, ... , k - 1, we have with r -k E 5- k . Define Let Q be the pseudodifferential operator having symbol q, where
  • 95.
    84 Elliptic Operators (here we are using 3.3.9). Then a(Q a P) == 1/;(x) + s(x, ~), with s(x,~) E S-oo, Le., QaP-1/;/ is smoothing. We also will write QaP == 1/;/ + 5. Thus Q is a left parametrix for P. A similar construction yields a right parametrix Q for P. We write P a Q == 1/;/ +5. We will now show that a( Q - Q) E S-oc on a slightly smaller open set W cc L. By adjusting notation, one can of course arrange (after the proof) for the equations Q a P == 1/;/ + 5, P a Q == 1/;/ + 5, and a(Q - Q) E 5- 00 to all be valid on the original open set L. We now interpolate an open set W cc V cc L. Let p E C~(V) satisfy p == 1 on W. Let J1 E C~(L) satisfy J1 == 1 on V. In what follows we will use continually the fact that the composition of any pseudodifferential operator with a smoothing operator is still smoothing. The identity of our smoothing operators may change from line to line, but we will denote them all by 5 or 5. Now pQJ1 == pQ(P a Q - 5)J1 == pQ a P(Q - 5)J1 == p(/ + S) 0 (Q - 5)J1 == p(Q - 5 + 5Q - S5)J1 == pQJ1 + SjL. Thus Q - Q is smoothing on W when applied to functions in C~(V). We conclude that Q - Q is smoothing and we are done. I Now we can present our basic interior regularity result for elliptic partial differential (in fact, even pseudodifferential) operators. THEOREM 4.2.4 Let U ~ ~N be an open set. Let P be a pseudodifferential operator that is elliptic of order m > 0 on U. If I E HI~c and u is a solution of the equation Pu == I , then u E H lac m . s + PROOF The hard work has already been done. Since the theorem is local, we can suppose that u and I have compact support. (It is important to develop some intuition about this: the point is to see that we can consider ¢u rather than u and pi rather I, where ¢, p are C~ cutoff functions. This amounts to commuting ¢ past P and p past the parametrix, noticing that this process gives rise to error tenns of lower order, and then thinking about how the error terms
  • 96.
    Regularity for EllipticOperators 85 would affect the parametrix.) Let 'l/J E C~ satisfy'l/J == 1 on suppu. Let Q be a left parametrix for P: S == QoP - 'l/JI is smoothing. Then u == 'l/Ju == (Q 0 P - S)u == Qf - Suo Since f E H S and Q is of order -m, it follows that Qf E H s +m ; also, Su is smooth. Then Qf - Su E Hs+m, that is, u E Hs+m. I Now that we have our basic regularity result in place we will use it, and some functional analysis, to prove our basic existence result. We would be remiss not to begin by mentioning the paramount discovery of Hans Lewy in 1956 [LEW2]: not all partial differential operators are locally solvable. In fact, we shall discuss Lewy's example in detail in Chapter 9. Although we do not attempt to fonnulate the most general local solvability result, we present a result that will suffice in our applications. The most impor- tant ideas connected with local solvability of partial differential operators appear in [NTR], [BEFI], and the references therein. THEOREM 4.2.5 Let P be an elliptic partial differential operator on a domain o. If f E V'(O) and Xo E 0, then there exists a u E D' (0) such that Pu == f in a neighborhood ofxo. PROOF We may assume, by the usual arguments, that f has compact support- that is, f E ['. Then f E H S for some s. Thus we may take the partial differential operator P to have compact support in a neighborhood K of Xo. Let 'l/J E C~ (0) satisfy 'l/J == 1 on K. Let Q be a right parametrix for P such that Po Q - 'l/JI == S (4.2.5.1) and S is smoothing. By looking at the left side of this equation we see that a(S) has x-support also lying in supp'l/J. Thus S: H S ~ C~(supp'l/J). Then S : HS ~ HS is compact by Rellich's lemma. Therefore the equation (S + I)u == f (4.2.5.2)
  • 97.
    00 Elliptic Operators can be solved if fEN 1-, where N == {g E H S : (S* + 1)g == O}; here the inner product is with respect to the Hilbert space HS. Notice that, since S* is also smoothing (why?) and 9 == -S* 9 for 9 E N, we know that N is a finite-dimensional space of Coo functions. Let gl , ... , 9 M be a basis of N. We claim that there exists a neighborhood U of Xo such that gl , ... , 9 M are linearly independent as functionals on C~ (0 U). To see this, suppose that U does not exist. Let Un be neighborhoods of Xo such that Un '. xo. For each n, let C l, ... ,CnM be constants (not all zero) such that n M G n == LCnjgj == 0 j=1 as functionals on C~(O Un). By linearity, we may suppose that each G n has nonn 1 in N for all n (note in passing that G n -# 0 for every n). Since N is finite dimensional, there is a convergent subsequence G nm such that G nm ~ G E N and G has nonn 1. However, viewed as a functional on C~(O), G has support {xo}. Since G is Coo, we have a contradiction. Thus we have proved the existence of U. We may assume that U cc K. Now we can find a Coo function h with support in 0 U such that f + h is perpendicular to N in the HS(O) topology. By (4.2.5.2), there is a distribution u such that (1 + S)u == h + f == f on U. By (4.2.5.1), we see that P (Qu) == f on U. Therefore Qu solves the differential equation. I Exercise: The proofs of the last two theorems, suitably adapted, show that the local solution exhibits a gain in smoothness, in the Sobolev topology, of order m. It is also the case that elliptic partial differential equations exhibit a gain of order m in the Lipschitz topology. We shall present no details for this assertion. Given the machinery that we have developed, it is only necessary to check that if p Esm then Op(p) : A~c ~ A~~m for any Q > O. This material is discussed in [TAY]. Exercise: Prove that the elliptic operator P in Theorem 4.2.5 is surjective in a suitable sense by showing that its adjoint is injective.
  • 98.
    Change of Coordinates 87 4.3 Change of Coordinates It is a straightforward calculation to see, as we have indicated earlier, that an elliptic partial differential operator remains elliptic under a smooth change of coordinates. In fact pseudodifferential operators behave rather nicely under change of coordinates, and that makes them a powerful tool. They are vital, for instance, in the proof of the Atiyah-Singer index theorem because of this invari- ance and because they can be smoothly defonned more readily than classical partial differential operators. We shall treat coordinate changes in the present section. Let U, {; be open sets in ~N and <1' : (; ~ U a Coo diffeomorphism. If x E U then set x == <1'(x). Suppose that P is a pseudodifferential operator with x-support contained in U. Define, for ¢ E V(U), ¢(x) == ¢ 0 <1'(x) and p(¢)(x) == P¢(x). Then P operates on elements of V(U) and we would like to detennine which properties of P are preserved under the transfonnation P 1-+ P. As an example, let us consider the transfonnation <1'(x) == ax + b, where a is an invertible N x N matrix and b is an N-vector. Then p¢(x) P¢(x) j e-ixo(,p(x, O¢(O dE" j j e-i(x-y)o(,p(x,O¢>(y)dyd~ je-i(ai+b-aY-bHp(ax + b,O¢>(ay + b) Idet al dyd~ j j e-i(x-y)ota(,p(ax + b, ~)¢(y) Idet al dy d~ (ta~1J) j j e- i(X- y)o1J p ( ax + b, Ca) -ITJ)¢(y) dydTJ JJe- ixo1Jp(ax + b, (t a) -I TJ )¢( TJ) dTJ·
  • 99.
    88 Elliptic Operators Thus we see that P is a pseudodifferential operator with symbol Notice that the x-support of a( p) is a subset of the inverse image under <P of the x-support of p. Thus the support is compact in U. It turns out that for general <P we can only expect the principal symbol of a pseudodifferential operator to transfonn nicely. DEFINITION 4.3.1 Let a == a(x,~) be a symbol of order m. We call a symbol a L the leading (or principal) symbol of a if (i) aL is homogeneous of degree m for 1~llarge; (ii) aL(x,~) - a(x,~) E sm-E for some E > o. Now let P be a pseudodifferential operator of order m, elliptic on an open set V' CC V. Let <P : U ~ V be any Coo diffeomorphism. As before, define p(¢)(x) == P¢(x) for ¢ E Cgo (U), ¢(x) == ¢( <p(x)). THEOREM 4.3.2 There exists an open set Vee U such that P is defined by p¢(x) == (P¢)(x) for ¢ E Cc(V). Then In particular, if P is elliptic on V == <p(V), then P is elliptic on V. PROOF Fix x E U. Consider lI>(x) - 1I>(fj) = 1~1 II> (tx + (1 - t)ii) dt = 1 1 lac II> (x + (1 - t)ii) . (x - ii) dt == H(x, y) . (x - y). Observe that H(x, x) == Jac <p(x), which is invertible. Since the Jacobian is a continuous function of its argument, it follows that H(x, iJ) is invertible if iJ is
  • 100.
    Restriction Theorems forSobolev Spaces 89 close to x. Now we choose V a neighborhood of x so small that Idet H(x, y)1 ~ ° c > on V x V. Then, for x E V and supp ¢ ~ V we have P¢(i) = p¢J(x) = JJe-i(x-y)·ep(x,~)¢J(y)dyd~ = JJe~i(<I>(x)-<I>(Y»)·ep(<p(i),~)¢(Y) I~: IdYd~. Here we have used the notation IB<1'/ Byl to denote Idet lac <1'(y) I. This last JJe-i(H(x,y).(x-y»).ep(<P(i),O¢(y) I~:I dyd~ JJe-i(x-y)-('H(x,y)e)p(<p(i), O¢(Y) I~: Idy d~ ('H(xf!c.)e=1) JJe- i y)'1)p(<P(i), CH(i,y)rITJ)¢(Y) (X- x ~: 1·ldet CH(i,y)rll dYd~. I Now set Then r is a Hormander symbol and, if p is the classical symbol of ?, then p(i, TJ) = I: ~! a~D~r(i, TJ, y) Q~O 1_ y=x _ = p( <P(i), (t H(i, y)) -I TJ) + higher order terms. This completes the proof. I 4.4 Restriction Theorems for Sobolev Spaces Let S == {(Xl, ... ,XN-l,O)} ~ IR N . Then S is a hypersurface, and is the boundary of {(Xl, ... , XN) E IR N : x N > O}. It is the simplest example of the type of geometric object that arises as the boundary of a domain. It is natural to want to be able to restrict a function f defined on a neighborhood of S, or
  • 101.
    90 Elliptic Operators on one side of S, to S. If f is continuous on a neighborhood of S, then the restriction of f to S is trivially and unambiguously defined, simply because a continuous function is well defined at every point. If instead f E H N /2+€ then we may apply the Sobolev imbedding theorem to correct f on a set of measure zero (in a unique manner) to obtain a continuous function. The corrected f may then be restricted. Restriction prior to the correction on the set of measure zero is prima facie ambiguous-a Sobolev space "function" is really an equivalence class of functions any pair of which agrees up to a set of measure zero. Unfortunately this discussion is flawed: the set S itself has measure zero. Thus two different corrections of f may have different restrictions to S. In this section we wish to develop a notion of calculating the restriction or "trace" of a Sobolev space function on a hypersurface. We want the following characteristics to hold: (i) the restriction operation is successful on HT for r « N /2; (ii) the restriction operation should work naturally in the context of Sobolev classes and not rely on the Sobolev imbedding theorem. THEOREM 4.4.1 Identify S with ~N -1 in a natural way. Let s > 1/2. Then the mapping extends to a bounded linear operator from HS(JRN) to Hs-l/2(~N-l). That is, there exists a constant C == C (s) > 0 such that REMARK Since Hs(~N) and Hs-l/2(~N-l) are defined to be the closures of C~ (~N) and C~ (~N -1) respectively, we may use the theorem to conclude the following: If T is any (N - 1)-dimensional affine subspace of JRN, then a function f E HS (~N) has a well-defined trace on T. Conversely, we shall see that if 9 E Hs- 1/ 2(T), s > 1/2, then there is a function 9 E HS (JRN) such that 9 has trace 9 on T. We leave it as an exercise for the reader to apply the implicit function theorem to see that these results are still valid if T is a sufficiently smooth hypersurface (not necessarily affine). It is a bit awkward to state the theorem as we have (that is, as an a priori estimate on C~ functions). As an exercise, the reader should attempt to refor- mulate the theorem directly in terms of the HS spaces to see that in fact the statement of Theorem 4.4.1 is as simple as it can be made. I PROOF OF THEOREM 4.4.1 We introduce the notation (x', X N) == (x 1, ... , X N ) E ergo (jRN) then we will use the notation u (x') T for an element of jRN. If U
  • 102.
    Restriction Theorems forSobolev Spaces 91 to denote u(x', 0). Now we have Ilu r l/;JS-l/2(IRN - = { 11?(e)ll + WI 2)S-I/2 de J~N-l 1) == r [_ J(')O ~IUi(e,xN)12(1 J~N-l o aXN + leI 2)S-I/2 dXN] d~'. Here UI denotes the partial Fourier transform in the variable x'. The product rule yields that, if D is a first derivative, then D(lhI 2) ::; 2Ihl·IDhl. Therefore the last line does not exceed 2 { J~N-l Jo to IUi(e,XN)I.la XN Ui(e,XN)I. (1 + 1~'12)s-I/2dxNd~'. 8 Since 20:(3 ::; 0: 2 + (32, the last line is 2 : :; J~N-l JtOla8 Ui (e,XN)1 ( o XN dXN(1+WI 2)S-lde' == I + II. Now apply Plancherel's theorem to term I I in the x N variable. The result is II :::; C IN-1 llu(e,eN)1 2 deN(l + lel 2 )" de ::; Cllull~s(~N). Plancherel '8 theorem applied, in the x N variable, to the term I yields 2 I::;C r J~ laXN Ui(e,XN)1 J~N-l r 8 dXN(1+leI 2)S-Id1,' : :; err IU(e,~N)12 ·1~NI2d~N(1 + leI 2)S-Id1,' J~N-l JJR :::; C { lu(~)12. (1 + 1~12)sd1, J~N I As an immediate corollary we have: COROLLARY 4.4.2 Let u E HS(lR N ) and let 0: be a mu!tiindex such that s > lal + 1/2. Then nau has trace in Hs-la l-I/2(lRN - 1 ).
  • 103.
    92 Elliptic Operators Now we present a converse to the theorem. Again set S == {(x', 0) E IR N }. THEOREM 4.4.3 Assume that cPo, ... , cPk are defined on S, each cPj E Hs-j-l/2CIR N - 1 ) with s > 1/2 + k. Then there exists a function f E HS (IR N ) such that D~ f has trace cPj on S, j == 0, ... ,k. Moreover, k IIfIlHs(~N) ~ Cs,k L IlcPjllks-J-I/2(~N-I). j=O PROOF Let h E C~ (IR), h == 1 in a neighborhood of the origin, 0 ~ h ~ 1. We define and This is the function f that we seek. For if m is any integer, 0 ~ m ~ k, then == J. e -'LX I .~ I 'm ~ _1 l k ~., j=O J. (m) . J " . J. ( _ l')J x 8:-~j [h(xN(l + 1e1 2)1/2)] I . ¢;(~') d~' 8x N XN=O = J e- ix ',( ¢;;,(e) de == cPm(X'). This verifies our first assertion.
  • 104.
    Restriction Theorems forSobolev Spaces 93 Now we need to check that f has the right Sobolev norm. We have IIfllk2 = { Ij(~W(1 + 1~12)s d~ J~N = k.N 1 ((,.))~ (~N )11 + 1~12)s d~ (ui Now we use the fact that I I:~=o (j 1 :::; C . (I:~=o I(j 1), where the constant C 2 2 depends only on k. The result is that the last line is 2 t ~ Ck.N (j~)218~~ h ((1 + f;1 2)1/2 ) 1 1 --- 2 28 X 1+ 1e1 2 . l¢j(~)1 (1 + I~I ) d~ (4.4.3.1) Now d~ == d~' d~N. We make the change of variables Then 1 + 1~12 == 1 + 1~'12 + I~NI2 r---+ 1 + 1~'12 + I~NI2(1 + 1~'12) == (1 + 1€'1 2 )(1 + I€N2).
  • 105.
    94 Elliptic Operators Then (4.4.3.1) is k ::; Cf; (j~)2 kN-l k Ih(j)(~N)12 (1 + 1;'1 2)1+ 1(1 + leI 2)1/2 xl¢;(~/) 1 [( 1 + 1 ) (1 + 1N 1) ] s d~' d~ N 2 ~/12 ~ 2 k = CL: ~ ( (J.) j=O JRN-I l¢j(OI2(1 + leI 2)S-j-I/2de X kIh(j)(~N )1 (1 + I~NI2)s d~N 2 k ~ Cs,k L: lI¢jll~s-j-I/2(~N-I). j=o That completes the proof of our trace theorem. I REMARK The extension iii was constructed by a scheme based on ideas that go back at least to A. P. Calderon-see [STSI] and references therein. I
  • 106.
    5 Elliptic Boundary ValueProblems 5.1 The Constant Coefficient Case We begin our study of boundary value problems by considering n == }R~ , an == {(x' , 0) : x' E }RN -1 }. We will study the problem P(D)u == f on }RN + { Bj(D)u == gj on a}R~, j == 1, ... , k. Here P will be an elliptic operator. At first both P and the B j will have constant coefficients. Our aim is to determine what conditions on the operators P, B j will make this a well-posed and solvable boundary value problem. We shall assume that P is homogeneous of degree m > 0 and that Examples: Let a a P(D) == 6. == -a + -a 2 Xl X 2 . 2 Example 1 First consider n == }R~. Let us discuss the boundary value problem ~u == 0 ulan == 0 { g:: Ian == 1. This system has no solution because the second boundary condition is incon- sistent with the first. The issue here turns out to be one of transversality of boundary conditions involving derivatives. See the next example. 0
  • 107.
    96 Elliptic Boundary Value Problems Example 2 We repair the first example by making the second boundary condition transverse: the problem ~u == 0 { ulan == 0 g:2lan == 1 has the unique solution U(Xl' X2) == X2. 0 Example 3 Let n == IR~. Consider the boundary value problem ~u == 0 ulan == 91 { g:! Ian == 92· In fact, take 91 (XI, X2) == Xl, 92(XI, X2) =1. Notice that any function of the form V(XI' X2) == Xl + CX2 satisfies ~v == 0 { vlan == XI g:! Ian == 1. Hence the problem is sensible, but it has infinitely many solutions. 0 Our goal is to be able to recognize problems that have one, and only one, solution. Necessary Conditions on the Operators B j First, the degree of each B j must be smaller than the degree of P. The reason is that P is elliptic. According to elliptic regularity theory, all derivatives of U of order m and above are controlled by f (the forcing term in the partial differential equation). Thus these derivatives are not free to be specified. Now we develop the Lopatinski condition. We shall assume for simplic- ity (and in the end see that this entails no loss of generality) that our partial differential operator P is homogeneous of degree m. Thus it has the form
  • 108.
    The Constant CoefficientCase 97 For each fixed ~' == (~1, ... ,~N -1), we consider P(~', D N). We will solve as an ordinary differential equation. Thus our problem has the fonn m Lap(t) ( d dx )£ v = o. £=0 N The solution ,v of such an equation will have the form r(~/) VJ-I V(XN) == L L Cj£(~')(XN )£eiXN~j(~/), j=1 £=0 where Al (~'), A2 (~'), ... , Ar (~') are the roots of P (~', . ) == 0 with multiplicities VI (~'), V2(~'),' .. ,Vr(~'). We restrict attention to those Aj with positive real part. Since these roots alone will be enough to enable us to carry out our program, this choice is justified in the end. However, an a priori theoretical justification for restricting attention to these A'S may be found in [HOR1]. After renumbering, let us say that we have retained the roots Al (~' ), ... , Aro ( ~') , TO :::; T. Then ro v J - l V == L L Cj£(~')(XN )£eiXN~j(~/). j=1 £=0 Fact: A fundamental observation for us will be that the number TO of roots (counting multiplicities) with positive imaginary part is independent of ~' E ]RN -1 {O}. This is proved by way of the following two observations: (i) Each Aj (~'), j == 1, ... , TO, depends continuously on ~'. (ii) There are no Aj with zero imaginary part (except possibly A == 0). We leave it to the reader to supply the details verifying that these two obser- vations imply that the number of roots is independent of ~' (use the ellipticity for (ii». Now we summarize the situation: our problem is to solve, for fixed ~', the system P(~/, DN)v == 0 on 1R~ Bj(~', DN)v == gj(€') on 8IR~ ,j = 1, ... , k. (5.1.1) From now on we take k to equal Vo + ... + V ro '
  • 109.
    98 Elliptic Boundary Value Problems For fixed ~' we will formulate a condition that guarantees that our system has a unique solution: The Lopatinski Condition: For each fixed ~' =1= 0 and for each set of functions {gj}, the system (5.1.1) has a unique solution. Let us clarify what we are about to show: If, for each fixed ~/, the ordinary differential equation with boundary conditions (5.1.1) has a unique solution (no matter what the data {gj}) then we will show that the full system described at the beginning of the section has a unique solution. The condition amounts, after some calculation, to demanding the invertibility of a certain matrix. Let p(~) == Lj,k ajk~j~k with the matrix (ajk) positive definite. Then P(D) == ~ a j k - -a a a . ~ aXj Xk Observe that In this example, for fixed ~/, the polynomial P(~/, TJ) is quadratic in TJ. The positive definiteness implies that it has just one root with positive imaginary part. So, if Lopatinski's condition is to be satisfied, we can have just one boundary condition of degree 0 or 1. Let us consider two cases: (i) B is of degree zero (that is, B consists of multiplication by a function). Thus, by Lopatinski, we must be able to solve B(~/, D N)V == b(~/)V == g(~/) for every g. This is the same as being able to find, for every g(~'), a function c( ~/) such that b(~/)c(~/)eixN·)q(() == g(~/) when XN == 0; in other words, we must be able to solve b(~/)C(~/) == g(~/). We can find such a c provided only that b(~/) does not vanish. (ii) B is of degree one. It is convenient to write B as B(D) == a Lbo- . J aXj J where D j == ia/ax j. Assume for simplicity that the bj '8 are real. According to the Lopatinksi condition, we must be able to solve on }RN -1 for any g. Recall that we have already ascertained that v == c(~/)eiXN)l(().
  • 110.
    Well-Posedness 99 Because B has degree one we have a B(~/, D N ) == bli~l + b2i~2 + ... + bN-li~N-I + bNi aXN B(~/, D N)V == ib l ~l c(~/)eixN'~1 (() + ib2~2c(~/)e~XN '~l (~/) + ... + ibN_I~N_Ic(~/)eixN'~I(() + ibNi)q (~')c(~')eiXN·)q(() == g(~/). Setting x N == 0 gives Since the coefficients bj are real, the hypothesis that bN =1= 0 will guarantee that we can always solve this equation. 5.2 Well-Posedness Let the system P(~/, DN)v == f on R~ Bj(~/, DN)v == gj(~/) on aR~, j == 1, ... , k, (5.2.1) have the property that the operators P, B j have constant coefficients. The op- erator P is homogeneous of degree m. Assume that each operator B j is ho- mogeneous of order mj and that m > mj. The system is called well-posed if Conditions (A), (B), (C) below are met. (A) Regularity. The space of solutions of P(D)u == 0, XN >0 Bj(D)u == 0, XN == 0, 1 ~ j ~ k, in Hm (1R~) has finite dimension and there is a C >0 such that IIvIlH'" :::; c (IIP(D)VIIHO + ; I B j(D)vII H"'-"'J- / + IIV11HO) ' 2 Iv E Hm(1R~).
  • 111.
    .LUV Elliptic Boundary Value Problems (B) Existence. In the space k C~(IR~) x IT C~(IRN-I) p=1 there is a subspace £ having finite codimension such that if (f, 91,92, ... , 9k) E £, then the boundary value problem (5.2.1) has a solution u in Hm(IR~). (C) Let, be the operator of restriction to the hyperplane Then the set is closed in Now our theorem is THEOREM 5.2.2 The system (5.2.1) is well posed (that is, conditions (A), (B), and (C) are satisfied) if and only if the system satisfies Lopatinski's condition. The proof of this theorem will occupy the rest of the section. It will be broken up into several parts. PART 1 OF THE PROOF It is plain that the failure of the existence part of the Lopatinski condition implies that either B or C of well-posedness fails. We will thus show in this part that if the uniqueness portion of the Lopatin- ski condition fails then Condition A of well-posedness fails. The failure of Lopatinski uniqueness for some ~b =1= 0 means that the system P(~b, DN)v == 0 Bj(~b, DN)v == 0 has a nonzero solution. Call it v. Let cP1 E C~ (IR N-1 ), cP2 E C~ (IR) both be identically equal to 1 near O. For T > 0 we define We will substitute UT into condition (A) of well-posedness and let T -+ +00 to obtain a contradiction.
  • 112.
    Well-Posedness 101 First observe that lIuT I sup < 00. Now let Q multiindex of order m. We calculate that IIUTIIHm 2: IIDQuTII~o =JID~, [¢JI(X')¢J2(xN)eiT(X"~~)v(TXN)] 1 2 dx'dxN ~ JI¢JI(x')¢J2(xN)(~~)aTla'V(TxN)12 C dx'dxN 2 - c J L C/3ID~,[¢JI(X')]¢J2(XN)(~~)'Thlv(TxN) dx'dxN 13+,=0 1131>0 2 -~ J L 13+,=0 C/3ID~,[¢JI(X')]¢J2(XN/T)(~~)'Thlv(XN) dx'dxN 1/31>0 2: cT T- 2m 1 - C'T 2m - 2T- 1 2: cr2m - 1 for T large. Therefore (5.2.2.1) for T large. On the other hand, P(D)UT = P(D) [¢JI(X')¢J2(xN)eiTX"~~v(TxN)] = ¢JI (X')¢J2 (x N)P(D) [e iTX ' '~~v(T xN)] + (terms in which a derivative falls on a cutoff function) == 0 + (terms in which fewer than m derivatives fall on eiTxl'~~v(TxN))' (5.2.2.2) We have used here the fact that P(D) [eiT(X"~~)v(TxN)] = P(T~~, TDN)vI TxN == T m P(~b, D N )vl TxN == o.
  • 113.
    102 Elliptic Boundary Value Problems As a result, from (5.2.2.2), we obtain IIP(D)uTII~ ::; CT2m - 2 . (5.2.2.3) Similarly, Bj(D) [eiTX"~~v(TxN)] = Bj(T~~, TD N )vl TxN == TmJ Bj(~b, D N )vI TxN · Therefore Bj(D)[uyJ = Bj(D) [¢>I(X')¢>2(xN)eiYX"~~v(TxN)] == 0 + terms in which derivatives of total order not exceeding mj - 1 land on eiTxl·~~v(TxN). As above, 2m 3 I J m-m J -1/2 < C [TmJ-1+m-mJ-1/2]2 == CT - • I B·(D)u T 112 - (5.2.2.4) Therefore, substituting UT into condition (A) of the definition of well-posedness, we obtain (from (5.2.2.1), (5.2.2.3), and (5.2.2.4» that CT 2m - 1 ::; C'T 2m - 2 + C". This inequality leads to a contradiction if we let T ---+ +00. PART 2 OF THE PROOF Assume that the Lopatinski condition holds at all ~' =1=O. We will prove that the system is well posed. This argument will proceed in several stages and will take the remainder of the section. Let u E Hm (IR~) be a solution of P(D)u == 0 on IR~ { Bj(D)u == 0 on aIR~, j == 1, ... , k. Let Then P(~',DN)V==O onn { Bj(~',DN)V == 0 on an. The general solution of P(~', D N)V == 0 looks like ro v J -1 V(~',XN) == L L Cj£(~')(XN)£eiXN~j((). j=1 £=0 But the Lopatinski hypothesis then guarantees that such a v == 0 so that u == O.
  • 114.
    WeU-Posedness 103 To prove part (A) of well-posedness, it is therefore enough to show that whenever f E L2(1R~) and gj E Hm-mJ-I/2(IR.N-I), then the boundary value problem P(D)u == f Bj(D)u == gj, j == 1, ... , k has a solution that satisfies the desired inequality. We shall need the following lemma. LEMMA 5.2.3 If P is a constant coefficient partial differential operator, then P always has a fundamental solution. That is, if P is of order m, then there is a bounded operator for every s E IR. such that P£ == £P == 80 , If P is elliptic then £ is of order -me PROOF First consider the case N == 1. Select a number T E IR. such that P(~ + iT) never vanishes. Then the fundamental solution operator is ¢(-~- iT) £(</» = J P(~ + iT) d~ for 1J E V. We check that P(D)£¢ == £P(-D)1J == J (P(-D)</» A(~~ - P(~ + IT) iT) d~ ==JP(~ + + ~~ dE" J¢( -~ - P(~ iT)¢( IT) - iT) = iT) d~ = J - iT)d~ J ¢(~ ¢(Od~ = == ¢(O). This proves the result in dimension 1. If N > 1, then we can reduce the problem to the one-dimensional case as follows: By rotating coordinates, we may assume that the coefficient of ~1 in P is not zero. Fix ~' == (~2, ... , ~N). We can find a T, ITI ~ 1, such that for all ~1. Moreover, if we multiply P by a constant, we can assume that
  • 115.
    104 Elliptic Boundary Value Problems for all ~ 1. This inequality-that is, the choice of the constant to normalize the inequality-will depend on ~/. But the choice is uniform in a neighborhood of the fixed ~/. Thus to each fixed ~' we associate a neighborhood We and a real number T, ITI s 1, such that on We. Observe that }RN -1 is covered by these neighborhoods We. We may refine this covering to a locally finite one WI, w2 , ... , with a 7j associated to each W j . Now we replace the W j with their disjoint counterparts: define W{ WI W~ W2 W{ W£ W 3 W~ W{ These sets still cover }RN -1 and they are disjoint. Now we define the "Honnander ladder" Given ¢ E V, we define Notice that, on H, we know that IPI > 1 and (P(D)£)¢>=£(P(-D)¢»= { (P(-D)¢>)'(-:6 ~iT,e) d~ lH P(~I+lT,~) = i ¢( -6 - iT, () d~ =L { { ¢( -6 - i7j, 0 d6 df.1 j ieEw; i IR = L f, { ¢( -6,0 df.! d~' j if, EW i IR J = { f¢(6,Od6d( l~N-I l~ == ¢(O).
  • 116.
    Well-Posedness 105 It is elementary to check that in case P is elliptic, then £ is an operator of order -m. That completes the proof of the lemma. I We conclude this section by proving the inequality in part (A) of well- posedness. Notice that part (C) of well-posedness follows immediately from this inequality. Along the way, we prove the sufficiency of the Lopatinski con- dition for the existence of solutions to our system: PROPOSITION 5.2.4 Let m > mj, j == 1, ... , k. Assume that our system satisfies the Lopatinski condition. Then whenever f E L2(IR~) and 9j E Hm-m j -l/2(IRN -l), we may conclude that the boundary value problem P(D)u == f Bj(D)u == 9j, j == 1, ... , k has a unique solution u E H m (IR~ ). The solution satisfies the inequality in part (A) of well-posedness. PROOF First we notice that the Lopatinski condition guarantees that the kernel of the system is zero. Since the system is linear, we conclude that solutions are unique once they exist. For existence, we begin by extending f to be L 2 on all of IR N • We denote the extended function by f as well. Let £ be the fundamental solution for the operator P(D). Set Ul == £ * f. Now define v == u - UI where ry is the operation of restriction to the boundary of IR~. Thus our system becomes N P(D)v == 0 on IR+ Bj(D)v == hj on aIR~. Observe that IIhj Ilm-m J -1/2 ::; 119j IIHTn-Tn J -1/2(~N-l) + IlrBj (D)Ul II HTn -Tnj -1/2(~N-l) :::; 119j IIHTn-Tn J -1/2(IRN-l) + ClluIIIHTn(IRN).
  • 117.
    106 Elliptic Boundary Value Problems Here, of course, we have used the standard restriction theorem for Sobolev spaces. Now this last line is because £ is an operator of order -me We apply the partial Fourier transform, denoted by -, in the x' variable to transform our system to P(~', DN)v == 0 on }RN + Bj(~', DN)v == hj on a}R~, j == 1, ... , k. (5.2.4.1) By Lopatinksi's condition, the space of solutions of the first equation that de- crease exponentially has finite dimension (indeed k dimensions) and the map is one-to-one and onto. Thus a solution to (5.2.4.1) exists. By the fact that all norms on a finite-dimensional vector space are comparable (alternatively, by the open mapping principle), f1 j=O 0 00 ID{yv((,XNWdxN + Y: j=O ID{yv((,O)1 2 :::; C2(() t Ih (012. j=1 j Here the right-hand side represents a norm on the space of k-tuples, while the left-hand side is a norm on the solution space of the boundary value problem. Now by direct estimation, or using Theorem 10.2.1 of [HOR1], we obtain L: Ihj (()1 2 :::; C· (L: 19j((W + L: IB ((,DN)U((,O)1 2) j ) ) ) [~19j(012 + 1 11((, XN )1 2dXN] . 00 :::; C3 (0 The constant C (~') is a continuous function of ~' (since it arises from the inversion of a matrix with continuous coefficients). Therefore it is bounded above and below on {~' : I~'I == I}. We conclude that f1 )=0 0 00 IDi¥v((,XN)2dxN + Y: j=O ID{yv((,OW [~l§j(()12 + 1 11((, XN )1 2dXN] 00 :::; Co
  • 118.
    Well-Posedness 107 provided that I~' I == 1. Let r > 0 be a constant. Then any inequality that holds for the original system P(D)u == f Bj(D)u == gj, j == 1, ... , k must also hold for the system P(rD)u == r m f Bj(rD)u == rmJgj, j == 1, ... ,k when I~' I == 1I r. Putting this information into our inequality, and substituting I~'I for 1/r, yields that J Adding Iv(~', XN )1 2 dXN to both sides of the inequality and integrating in the ~' variable yields IlvllkTn(~N) + Ilv(x', 0) IlkTn-I/2(~N-I) :::; Co [llfll~O(IRNl + 1; Ilgjll~m-mj-1/2(IRN-ll + IIVIIHO(IRNl] . This is just the sort of estimate that we seek for the finite dimensional solution space of the system P(D)v == 0 Bj(D)v == h j . Combining this with the obvious estimate gives the estimate that we need for part (A) of well-posedness. Our proof is therefore complete. I
  • 119.
    108 Elliptic Boundary Value Problems 5.3 Remarks on the Solution of the Boundary Value Problem in the Constant Coefficient Case We have considered the boundary value problem P(u) == f B.V.P. { B j U == 9 j if j == l, ... , k. Here the operator P is assumed to have constant coefficients, to be elliptic, and to be homogeneous of degree m. We assume that the Bj's satisfy the Lopatinski nondegeneracy condition. For ~' fixed, we examined if XN >0 if XN == 0, j == l, ... ,k. Lopatinski's condition tells us that this is a well-posed linear system of ordinary differential equations. Thus the standard classical theory of ordinary differential equations (see [HORl], [INCE], or [COL]) guarantees that there is a unique solution Ul (~/, XN). The solution that we seek for the B.V.P is For if is the partial Fourier transform, then Properties of this solution u are 1. u is unique. 2. The map (f, 91, ... , 9k) ~ u is linear. 3. Define k 1t == L2(IR~) x IT H m- m j-l/2(lRN - 1 ). j=1 There are two basic ingredients to seeing why property (3) holds: (i) Solving an ordinary differential equation in the x N variable entails m integrations, so u should be m degrees smoother in the x N direction than f.
  • 120.
    Solution of theBoundary Value Problem in the Variable Coefficient Case 109 (ii) The function u is obtained from f by division on the Fourier transform side by coefficients of P(~', D N). Therefore the Fourier transform of u decays at 00 at a rate m degrees faster than f. 5.4 Solution of the Boundary Value Problem in the Variable Coefficient Case Now the boundary value problem is P(U)_= f B.V.P. { Bju - gj if j == 1, ... , k. We assume that P is of order m, is elliptic, and has variable coefficients. Each B j is of degree mj and has variable coefficients. We shall not assume that P is homogeneous; however, we will continue to assume that each B j is homo- geneous. This last hypothesis is not necessary, but it is convenient. The index k is the number of roots with positive imaginary part for the polynomial Also the coefficients of P and of the B j are smooth functions, not constants. Definitions In the present context, the Lopatinski condition takes the folloving form: For each fixed xO E }RN -1 , we have that the constant coefficient system satisfies the Lopatinski condition for constant coefficient systems. A parametrix for the boundary problem is an operator such that AEF == F + TF, FEH EAu == u + T 1u,
  • 121.
    110 Elliptic Boundary Value Problems where F == (f, 91, ... ,9k). Here 1t is the usual product Hilbert space and the operator is defined by Au == (Pu, ,B1u, ... , ,Bku). The error operators T, T 1 are compact operators on Hm (1R~) and 1-l, respec- tively. The operator, denotes restriction. Main Results THEOREM 5.4.1 Assume that our boundary value problem satisfies the Lopatinski condition as defined above. Assume that f E L2(~~), 9j E Hm-mJ -1/2(~N -1). Then there is a linear operator E: 1t ~ Hm(~~) such that if F == (f, 91, ... , 9k) and u == E(F), then Au == F + TF, where T is of order -1 and PROOF We assume for convenience that the coefficients of P and of the Bj's have compact support. We will make decisive use of the hypothesis that the coefficients are smooth. [Much modem research concentrates in part on studying elliptic and other problems with rough coefficients. From the point of view of applications, such a study is rather natural (see [MOS] for some of the pioneering work and [FKP] for more recent work along these lines). But the necessary techniques are extremely complicated and we cannot explore them here.] Now let E > O. Then there is a 8 > 0 such that if Ix - yl < 8 and if a is any coefficient of P or of one of the Bj's then la(x) - a(y)1 < Eo Let <Pj E ergo (~N), cPj 2 0, L cPj == 1 on ~N. Assume that diam supp cPj < 8/2. We can assume that no point x is in more than M (N) of the supports of the <pj's. (If we take the supports to be balls, then in fact we may take M (N) to be N + 1.) Now choose functions 1/Jj E ergo (~N) such that 1/J == 1 on the support of cPj. We may also assume that diam supp 1/Jj < 8/2. (The trick of choosing cutoff functions 1/J that are identically equal to 1 on the support of
  • 122.
    Solution of theBoundary Value Problem in the Varitlble Coefficient Case 111 some smaller cutoff functions ¢ is a device of wide utility in this subject. We already saw it enter into our study of interior estimates for elliptic operators. We will see it put to particularly good use when we study the 8- Neumann problem in a later chapter.) Define Wj to be the support of 1Pj. If, for some £, Wi n aIR~ == 0, then we choose a point xl E Wl and construct a parametrix Ei for the constant coefficient problem where Pm is the principal symbol of P. Next we treat the other £' s. If Wl n aIR~ :/: 0 then select xl E Wl n aIR~. By our work on the boundary value problem for the constant coefficient case, we may find for each £ an operator such that the function satisfies and Now we set Define an approximate solution of our boundary value problem by u = Eo(F), where F == (f, gl, ... ,gk). Then P(x, D)Eo(F) == L P(x, D) [¢lEl 1Pl F ] l == L ¢lP(X, D) (El1PlF) l + L ( some ) derivative ( At most (m - 1) derivatives ) e of ¢e of Ef'l/Je F
  • 123.
    112 Elliptic Boundary Value Problems == L ¢£P(x, D) (E£1};£F) + OP m - I (E£1};£F) £ == L ¢£Pm(x£, D) (E£1};£F) £ + L ¢£ [Pm(x, D) - Pm(x l , D)] (EL'l/JlF) £ + L [P(x, D) - Pm(x, D)] (El'l/JlF) £ + OPm - I (E£1};£F) == I + II + III +OPm-I(El'l/JlF). By the definition of E£, we have I == L ¢£1P£f + lower order errors £ where 5 I f E HI when f E HO. Set II == TF and III == TIF, where T is the sum of operators from H into HO with arbitrarily small norms (depending on E) and T I is an operator mapping H to HI. (Observe that the assertion about the size of the norm of T follows immediately from the presence of the coefficients [Pm(x, D) - Pm(x£, D)], which are uniformly small.) In summary, we have Similarly, we can calculate B j (x, D)EoF and obtain that Bj(x, D)EoF == L [¢£1P£gj] + TjF + TJ F + SJF. £ Here T j and T) are operators with properties analogous to those of T and T 1• Let Then we can summarize our findings with the equation AEoF == F + UF + UIF, (5.4.1.1)
  • 124.
    Solution of theBoundary Value Problem in the Variable Coefficient Case 113 where U maps H to H with arbitrarily small norm and U I is smoothing. Now we define E == Eo (1 + U) -I (notice that this inverse exists because we may take the norm of U to be smaller than, say, 1/2). Then AEF == AEo(1 + U)-I F == (1 + U)-IF + U(1 + U)-IF + U 1 (1 + U)-IF. In the last equality we have applied equation (5.4.1.1) to (1 + U)-I F. Now the last line equals Since the operator U 1 (1 + U) - 1 is a smoothing operator, we now see that E is a parametrix for our boundary value problem. I REMARK Crucial to the existence of E in this proof was the Lopatinski con- dition at each point. I COROLLARY 5.4.2 If the B. v.P. satisfies the Lopatinski condition, then the solutions of the homo- geneous problem Pu == 0 in IR~ Bju == 0 on aIR~ , j==I, ... ,k form a finite-dimensional subspace that consists offunctions that are in Coo (IR~). PROOF One checks that EA == 1 + T, where T is in fact an operator of order -1. Let u E Hm be in the null space of A. Then u == - Tu. Therefore, since T is of order -1, we conclude that u E Hm+ I. Iterating, we see that u E Coo. Note that, since T is of order -1, T : H m ---+ Hm+1 ~ Hm. By Rellich's lemma, this operator is compact. Let M ~ Ker A be the closed unit ball. Set N == T(M). Then, since T is compact, N is compact. From the equation u == - Tu we then see that M itself is compact. Therefore the kernel of A is fini te dimensional. I Operations on Higher Sobolev Spaces So far we have constructed a parametrix E for our B.V.P. that satisfies
  • 125.
    114 Elliptic Boundary Value Problems We would like now to show that if then The experience that we have so far with pseudodifferential operators suggests that they will serve us well in this endeavor. We begin by defining As to be the pseudodifferential operator with symbol (1 + 1~/12) oS /2. (In other contexts this operator is known as a tangential Bessel potential of order s. See [STSI] and [FOK].) We will use these extensively in Chapter 7. Let F E KS. Then AsF E H and hence EAsF E Hm. But As commutes with A (up to a lower order error) so that EA s == AsE + (error) and we find that E == A; 1EA s modulo a smoothing error term. In conclusion, if u == EF then Asu E Hm. With these preliminaries out of the way, we begin by treating the case 0 < s ~ 1. Write P(x, D) == DlJ + Do, where Do involves terms of the fonn Dr;;-jDf,lod ~ j, and 0 < j ~ m. To see that Dr;;-jDfu E HS, it suffices for us to check that But 1i5fU1 (1 + 1~12)(m-j+s)/2 :S lilll(l j (1 + 1~12)(m-j+s)/2 == 1~/lsl~/lj-S(l + 1~12)(m-j+s)/2Iul ~ 1~/ISlul(l + 1~12)m/2. We have used here the fact that 0 < s ~ 1 ::; j. The latter expression is clearly in £2 since Asu E Hm. Finally, since Pu == f, we have that DlJu E HS (from the partial differential equation itselt). Hence u E H m + s . Next, if 1 < s ~ 2, then As-1u E Hm+l and with the same argument as above we may see that u E Hm+s. The result for higher s follows inductively by similar arguments. In summary, we have proved that Ilull s+m ~ C (II Au lls + Ilulls) =c (IIPUIIHS(IR~) + "t.IIBjUlls+m-mJ-1/2 + IIUlls) . Now we vindicate the form that our program has taken (that is, concentrating on regularity estimates in the absence of existence results) by using our regularity theorems together with some functional analysis to prove an existence theorem.
  • 126.
    Solution of theBoundary Value Problem Using Pseudodifferential Operators 115 COROLLARY 5.4.3 AN EXISTENCE THEOREM If the B.VP. satisfies the Lopatinski condition, then there are functions VI , ... , v p E COO(JR~) and WjI, ... ,Wjp E COO(8IR~),j == 1, ... ,k, such that the fol- lowing is true. If (f,gI, ... ,gk) E KS, S > max(m - mj - 1/2), and f 1- Vj Vj == 1, ... , p and gj 1- Wjn Vj == 1, ... , k and n == 1, ... , p, then there is a solution of the B. VP. j == 1, ... , k. PROOF We have constructed a parametrix E such that AE==I+T_ 1 • If we take adjoints, we obtain E*A* == 1+ (T_ I )*. Thus E* is a parametrix for A *. By Corollary 5.4.2, we know that the dimension of the kernel of A * is finite. Also Ker A * ~ nK s. Hence the kernel consists of functions that are Coo on the closure of the half-space. Let G 1, ••• ,Gp be a basis for the kernel of A *. Then each G n has the form (v n , WIn, ... ,Wkn). Because of the inequality lIull s+m ~C (1lAull s+ Ilulls) , the range of A is closed. Then F is in the range of A if and only if it is perpendicular to the kernel of A *. This is exactly what we want to prove. I 5.5 Solution of the Boundary Value Problem Using Pseudodifferential Operators In his seminal paper [HOR3], Hormander used the new theory of pseudodif- ferential operators to study a class of noncoercive boundary value problems. However, the techniques that he introduced are already interesting when applied to the classical coercive problems that we have been studying. We will explain how Hormander's techniques work in this section. For simplicity we restrict attention to order-two partial differential equations. We adhere to the custom of letting D j == i8/ Ox j, j == 1, ... , N. This makes the formulas involving the Fourier transfonn come out more cleanly. Thus our
  • 127.
    116 Elliptic Boundary Value Problems boundary value problem takes the form N N Pu == L aj£(x)DjD£u + L bj(x)Dju + c(x)u == f(x) for x E IR~ ),£=1 j=1 N Bu == L exj (x )Dju + f3o(x)u == g(x) for x E aIR~ . j=1 Here we have assumed that all the coefficients are real-valued and smooth. Notice that, because P is second order, there is only one boundary condition. The ellipticity condition on P is N L aj£(x)~j~£ 2: Col~12. j,£=1 We further assume that IV L 2 lexj 1 + lf3ol 2 =1= O. j=1 We will use the power of the theory of distributions. To that end, we introduce a little notation. If v E Coo (IR~), then v {von IR~ O_ o elsewhere. We let v denote any smooth extension of v to IR N . The symbol Vo denotes the trace of v on aIR~, and VI is the trace of (a/ax N)V on aIR~. Now we require the following preliminary calculations. The reader is invited to sharpen his prowess at distribution theory by actually carrying out the details. 1. DN(vO) == [DNv]O + i8(XN) Q9 vo(x') 2. Dj(vO) == [Dj(v)]O, j == 1, ... , N - 1 3. D'Jv(vO) == (D'Jvv)O - 8(XN) Q9 VI (x') - 8'(XN) Q9 vo(x') 4. DNDj(vO) == (DNDjv)O + i8(XN) Q9 Djvo(x'), j == 1, ... N - 1 5. DjD£(vO) == (DjDlV)O, £,j == 1, ... , N - 1. What is lurking in the background here is the fact that the derivative, in the sense of distributions, of -X[a,b], where X(a,b] is the characteristic function of the interval [a, b] ~ R is 8b - 8a . This is the distribution-theoretic formulation of the fundamental theorem of calculus. The five properties listed above show us that the function vO is sensitive to normal derivatives but not to tangential derivatives at the boundary. Perhaps a comment is in order here about the use of the tensor Q9 nota- tion. Technically speaking, it is not possible to take the product of 8 (x N) and
  • 128.
    The Use ofPseudodifferential Operators 117 Vo (x') because these two (generalized) functions have different domains. The Q9 notation serves as a mediator to address this situation: we understand that 8(x N) Q9 Vo (x') is a distribution that acts on a testing function ¢( Xl, ... , XN) according to the fonnula (8(XN) ® vo(x')) (¢) = J ¢(x',O)vo(x') dx'. For completeness, we now sketch the proofs of three of the five assertions: PROOF OF (I) == (DNv)o + v(x') Q9 i8(XN) == (DNV)O + ivo(x') Q9 8(x N)' PROOF OF (3) D~(vO) = D N {(DNv)o + i8(XN) Q9 vo(x')} = DN {(DNV)XIRr;' + i8(XN) ® vo(x') } == [DN(DNv)]XIRN + DNv Q9 i8(XN) - 8'(XN) Q9 vo(x') + PROOF OF (4) DNDj(vO == D N ((Djv)O) ) = DN (DjV. XIRr;' ) = (DNDjv) . XIRr;' + Djv (DNXIRr;' ) == (DNDjv)o + Djv(x') Q9 i8(XN) == (D N Djv)O + i8(XN) 0 Djvo(x').
  • 129.
    118 Elliptic Boundary Value Problems We want to calculate P( va). To do so, we will use a parametrix E for P. Since E is the parametrix for an elliptic operator, it follows that E has the form Note that, in this section only, we shall keep track of the unfortunate constants that are part of the theory of Fourier integrals. This is necessary in order to make the calculations come out properly. We will compute the following: I. For w a smooth function on aIR.~ == IR. N -1, we need to understand E( w(x') Q9 8(XN )). Now But (w(x') ® b(XN)f = Jeix·~w(x') ® 8(XN) dx =J JeiXN~N8(XN)dxN eix"(w(x')dx' == w(~'). Therefore E(w(x') Q9 8(XN)) == (21r)-N 11 ~' ~N e(x, ~)e-iXN~N d~Nw(~')e-ix"~' d~' == (21r)-(N-l)1 ~' k(x, ~')w(~')e-ix'·e d~' == K(w)(x). Check that K has order - 1. II. For w a smooth function on aIR.~ = IR. N -1 we also need to understand E(w(x') Q9 8'(XN )). Now But
  • 130.
    The Use ofPseudodifferential Operators 119 Therefore E (w(x') (2) 8' (XN)) == (21r) -N 11 ~)i~Ne-ixNeN d~NW(~')e-ix'·e' d~' e' eN e(x, == (21r)-(N-l) 1kl(X,~')w(~')e-ix'·e d~' e' == K 1 (w)(x). Check that K 1 has order O. Let us assume that the operator P has coefficient aNN equal to 1. (It is easy to arrange for the coefficient to be nonzero just by a rotation of coordinates. Then the coefficient is easily normalized by division.) Then the principal symbol of P is N-l N-l O"prin(P) == ~?v + 2~N L ajN(x)~j + L ajf(x)~j~f j=1 j,f=1 Here Q == ~ since we assume that P is a partial differential operator with real coefficients. Also notice that Q, f3 are expressions in ~ 1, ... , ~ N -1 and x. The principal symbol of E, for ~ large, is then 1 O"prin(E) = . (P) O"pnn Now we will compute the principal symbols of K and K 1• We know that Thus the principal part of k(x, ~') is (5.5.1) for ~' large. We want to think of ~ N as the real part of a complex parameter Z N • Thus line (5.5.1) equals the limit, as the radius of the curve, tends to 00, of - 1 21r 1 1 (ZN - 1 Q)(ZN - f3) . e-1,X N Z N dZN - - 21r -Res ( 21ri ex (ZN - 1 Q)(ZN - f3) ) Q-{3.
  • 131.
    120 Elliptic Boundary Value Problems y ~N .~ FIGURE 5.1 See Figure 5.1. Be sure to let x N ---+ 0+ when evaluating the residue. Similarly, the principal symbol of K 1 is , ( -ZN ) kl(X,~) Q = Res" (ZN - Q )( ZN - (3) = -f3- . - Q Finally, we are in a position to calculate P(va): N-l N-l P(vo) == D~(vo) +2 L ajNDNDjvO + L DjD£vO j=1 j,£=1 N +L bj(x)DjvO + c(x)vo. j=1 From our preliminary calculations (1)-(5), we may now see that N-l +2L ajN [(D N Djv)o + iDjvo(x') Q9 8(XN)] j=1 N-I + L aj£(x)(DjD£v)o + bN(x) [(DNv)o + i8(XN) Q9 vo(x')] j,£=1 N-I + L bj(x)(Djv)o + c(x)vo(x) j=1
  • 132.
    The Use ofPseudodifferential Operators 121 N-l + 2i L ajN(x)8(XN) Q9 Djvo(x') + i8(XN) ® vo(x') . bN(x). j=1 If we apply E to both sides of this equation, we obtain vO+ T_ 2vO== E ((Pv)O) - K(Vl) - K l (vo) + 2iE ( f; N-l ajN(x)Djvo(x') ®t5(XN) ) + iE (bN (x )8(XN) Q9 vo(x')) . We assume, as we may, that the error is of order -2. Now N-l + 2i L K (ajN(x)Djvo(x')) + iK (bN(x')vo) . (5.5.2) j=1 Now we restrict the x variable to the boundary. Recall that the quantities Q and f3 are defined by Q, f3 == -2 Lj ajN(x)~j ± ------~------------ J( -2 Lj ajN(x)~j)2 - 4 Lj ajf~j~f 2 Then Q - f3 E SI (here SI is the symbol class), aprin (K l ) E So, and aprin (K) E S-I. The operator K is elliptic of order -1, hence it has an inverse, up to a smoothing term. Call that inverse M. Applying M to both sides of (5.5.2), we find that VI == -M(vo) - MT_ 2 vO+ ME(Pv)O - MKIVo N-l + 2i L ajN(x)Djvo(x') + ibN(x')vo. j=1 In short, we obtain (5.5.3)
  • 133.
    122 Elliptic Boundary Value Problems where A 1 is of order 1, A -1 is of order -1, and A o is of order O. Moreover, Al == -M - M K 1 + 2i L ajN(x)Dj . j As a result, == i [(3 + 2 t ajN(X)~j] )=1 == i [13 - (Q + 13)] == -iQ. Now we examine the boundary condition: on 8IR.~ we have N Bu == L Qj(x)Djv + 13o(x)v == g(x) j=l or N-1 -~CXN(X') >} {) v(x') +L cxj(x')Djv(x') + f30(x')v = g(x') 'l UXN j=l or N-1 iQN(X')V1 (x') + L Qj(x')Djvo(x') + f3o(x')vo == g(x'). j==l We substitute equation (5.5.3) for VI into this last equation to obtain N-1 iQN(X) [A 1Vo + A_ 1vO + Aovo] (x')+ L Qj(x')DjVo(x')+13o(x')vo == g(x'). j=l We want to be able to solve this equation for Vo. Our problem amounts to this: If <I> ( va) == F (f, 9 ),
  • 134.
    Arbitrary Domains andConformal Mapping 123 where F(f,g) is given data and q. is some operator, then can we invert q.? We know that, in our situation, N-I == QN(X')Q(x, ~') + L Qj(x)~j. j=1 Recall that all the coefficients of P are real. It follows that Q N (x) is real, Q(x,~') is complex, and L;=~1 Qj(x)~j is real. Thus we can invert the opera- tion <P provided that al (<p) is not zero. The condition Q N(x') :/: 0 guarantees this nonvanishing. But QN(X') :/: 0 is just the Lopatinski condition for our second-order boundary value problem. We have succeeded in solving the boundary value problem, using the cal- culus of pseudodifferential operators, under the hypothesis that the Lopatinski condition is satisfied. 5.6 Remarks on the Dirichlet Problem on an Arbitrary Domain, and a Return to Conformal Mapping Now we investigate boundary value problems in their most natural setting: on a smoothly bounded domain in JRN. Because we had the foresight to develop machinery to study a large and flexible class of operators-namely the elliptic ones-our task will be surprisingly simple. Thus we begin by fixing a smoothly bounded domain n ~ IR. N . Let us fix a well-posed elliptic boundary value problem on n (B.V.P.) on an, j == 1, ... , k. n Let {Uf} be a finite open cover of with the property that each Uf is topolog- ically trivial and also such that each Uf n n is diffeomorphic to a ball. We fix one of the Uf and consider two cases: In case (1), we let ¢f : Uf -+ Wf ~ JRN be a diffeomorphism onto an open subset of JRN such that ¢f(Uf nO) = Wf n JR~ and ¢f(Uf n ao) = Wf n aIR.~.
  • 135.
    124 Elliptic Boundary Value Problems This map, under the standard push forward by <Pl' induces a boundary value problem plu == 1 on Wl n ~~ { B]Ul an == 9] on a}R~ n Wl, j == 1, ... , k. Notice that this is still an elliptic boundary value problem, for we established long ago that the property of ellipticity is invariant under diffeomorphisms. We will say that our boundary value problem satisfies the Lopatinski condition if (B. V. P.) does. By our previous work, we can obtain (assuming the Lopatinski condition) a parametrix El for (B.V.P. l ). Then we use ¢i l to pull El back to the original Ul and we thus obtain an operator E l on U l . In case (2), let El be any parametrix for P. Now let {/ll} be a partition of unity subordinate to the covering {Ul}' For each £, let 1Pl be such that SUPP?Pl ~ Ul and 1Pl == 1 on supp Ill. Finally define Exercise: Verify for yourself that E is a parametrix for the original boundary value problem (B.V.P.). Recall that our motivation for studying elliptic boundary value problems was a consideration, in Chapter 1, of boundary regularity of the Riemann mapping function from the disc to a smoothly bounded, simply connected domain in the complex plane. We reduced that problem to the problem of proving bound- ary regularity for solutions of the Dirichlet problem for the Laplacian. That regularity is now established via the parametrix just constructed. We have THEOREM 5.6.1 Let 0 ~ }RN be a smoothly bounded domain. Then the unique solution to the Dirichlet problem Lu o { ulan ¢, with smooth data ¢, is smooth on O. Now we have established this regularity, and much more. Of course there are other, more direct approaches to the boundary regularity problem for confonnal mappings. For examples, see both [BEK] and [KEL]. In the function theory of several complex variables, the boundary regularity of biholomorphic mappings is a much deeper problem-inaccessible by way of elliptic boundary value problems. In fact, the correct partial differential equation to study is the a-Neumann problem (see Chapter 7 of the present book). The work of Bell in particular (for instance [BEl], [BE2]) makes the connection quite
  • 136.
    Arbitrary Domains andConformal Mapping 125 explicit. Although it is known for a large class of domains that biholomorphic mappings extend smoothly to diffeomorphisms of the closures of the respective domains, the problem in general remains open. The paper [BED] is a nice survey of what was known until 1984, beginning with the breakthrough paper of Fefferman [FEF]. Boundary estimates for solutions of elliptic boundary value problems of the sort we have been studying in this section and the last are commonly referred to as the "Schauder estimates" after Julius Schauder. Our setup using pseudo- differential operators makes it easy to derive estimates in the Sobolev topology because our· pseudodifferential operators have sharp bounds in the Sobolev topology. However analogous estimates hold in many other classical function spaces, including Lipschitz spaces (see [KR2] for definitions and a detailed study of these spaces) and, more generally, Triebel-Lizorkin spaces. Let us briefly dis- cuss the first of these (which are a special case of the second). In order to obtain Lipschitz regularity for our boundary value problem, all that is required is to see that if a lies in the symbol class sm then the associated operator Op( a) maps An to An _m' This is a complicated business and we we will say just a few words about the proof at this time (a good reference for this and related matters is [KR2]). But we wish to emphasize that the problem is entirely harmonic analysis: the partial differential equation has been solved. In order to study the mapping properties of a translation invariant operator on a Lipschitz space, it is useful to have a new description of these spaces. Fix ¢ E C~(IRN). For E > 0 we set ¢f(X) == E- N¢(XjE). The function ¢f is called a function of "thickness" E because it has the property that with Ck independent of Eo Then a bounded function I on IR. N lies in An, a > 0, if and only if the functions If == I * ¢f satisfy If TO" is a pseudodifferential operator, then one studies TO" I, for I E An n LP, by considering We can say no more about the matter here. Again we refer the reader to [KR2] and references therein. Because restriction theorems for Lipschitz spaces are trivial (namely the re- striction of a An function to a smooth submanifold is still in An), the regularity statement for elliptic boundary value problems is rather simple in the Lipschitz topology. For the record, we record here one small part of the Schauder theory that is of particular interest for this monograph.
  • 137.
    126 Elliptic Boundary Value Problems THEOREM 5.6.2 Let n ~ }RN be a smoothly bounded domain. Let P be a uniformly elliptic operator of order two (in the sense that we have been studying) with smooth coefficients on n.The unique solution to the boundary value problem Pu == 0 on n u== f on an has the following regularity property: If f E Aa(an), then the solution u of the problem satisfies u E A a (0). This result bears a moment's discussion. It is common in partial differential equations books for the regularity to be formulated thus: This is essentially the sharpest result that can be proved when using the C k norms. That is because, from the point of view of integral operators, C k norms are flawed. On the other hand, Lipschitz spaces (where at integer values of Q we use Zygmund's definition with higher order differences-see [KR2]) are well behaved under pseudodifferential operators. Thus one obtains sharp regularity in the Lipschitz topology. Similar comments apply to the interior regularity. The correct regularity statement, in the Lipschitz topology, for the equation Pu == 9 with 9 E A~c is that u E A~~m (where m is the degree of P elliptic). This is true even when Q is an integer, provided that we use the correct definition of Lipschitz space as in [KR2]. Again this is at variance with the more commonly cited regularity statement that 9 E C k implies that u E C k +m - f • It is important to use function spaces that are well suited to the problem in question. 5.7 A Coda on the Neumann Problem Besides the Dirichlet problem, the other fundamental classical elliptic boundary value problem is the Neumann problem. It may be formulated as follows: o ¢ for smooth data ¢. Here a/av denotes the unit outward normal vector field to an. Unlike the Dirichlet problem, the data for the Neumann problem is
  • 138.
    A Coda onthe Neumann Problem 127 not completely arbitrary. For we may apply Green's theorem (see [KRl]) as follows: if u is a solution to (*), then u { aa da == { LudV == O. Jan v Jn Subject to this caveat, the theory that we have developed certainly applies to the Neumann problem. One must check that the problem is well-posed (we leave this as an exercise). We may conclude that a solution of the Neumann problem must satisfy the expected interior and boundary regularity. Because of the noted compatibility condition, existence is more delicate. Be- cause we are working on a bounded domain, there are algebraic-topological conditions at play (recall the earlier discussion of the maximum principle in this light). Thus other considerations would apply if we were to treat existence. Note in passing that the existence theorem that we have established for elliptic boundary value problems does not apply directly to the Dirichlet problem either, and for a philosophically similar reason.
  • 139.
    6 A Degenerate EllipticBoundary Value Problem 6.1 Introductory Remarks Let us take a new look at the Laplacian on the disc in D ~ C. Recall that, for lal < 1, a E C, the function defines a holomorphic, one-to-one, and surjective mapping from the disc to itself. These mappings are known as Mobius transformations. In fact if 1(1 == 1 then (- I a I l¢a(()1 = 1 - li( (- a I - I ((I-a() = I~=~I == 1. All of our assertions about ¢a follow easily from this. Next observe that ¢-a(O) == a, cPa(a) == 0, and (¢a)-l == ¢-a. The group G == Aut (D) of one-to-one, surjective, holomorphic transformations of the disc is generated by {¢a} together with the collection of all rotations. Indeed, any such transformation 1/J of the disc may be written as for some real ()o and a E C of modulus less than 1. Observe that the group G acts transitively on the disc: if Q, (3 E D then (¢-/3 0 ¢oJ (Q) == (3.
  • 140.
    Introductory Remarks 129 Next we introduce the differential operators a 2l(a .a) --- az - ax ay--'l- and It is straightforward to check that the Laplacian ~ satisfies Also, a - z == 1 == a -z az az and a a az z == 0 == azz. If 1 is a C 1 complex-valued function, then we may write 1 == u + iv with u and v real-valued. Then a1 == ~ [au _ av] +~ [au + av] . az 2 ax ay 2 ay ax a az We see that 1/ == 0 if and only if 1 satisfies the Cauchy-Riemann equations, that is, if and only if 1 is holomorphic. Now consider an arbitrary second-order partial differential operator in C: We want to study those £ 's that satisfy the following properties: 1. £ at the origin equals the Laplacian. 2. If 1 E COO(D) and ¢ E Aut (D) then L(I 0 ¢)(z)lz=o == [(£/) 0 ¢(z)] Iz=o· These two properties uniquely determine £ up to a constant multiple. Suitably normalized, the operator becomes unique. We leave these assertions as an exercise. In fact, it turns out that (6.1.1) This operator is called the invariant Laplacian (or sometimes the Laplace- Beltrami operator for the Poincare-Bergman metric). We note that the anal- ogous second-order operator on jRN that commutes with the group of rigid motions of the plane (translations, rotations, and reflections) is the Laplacian
  • 141.
    130 A Degenerate Elliptic Boundary Value Problem (or constant multiples thereof). For many purposes the pre-factor of (1 - 1(1 2 )2 in the invariant Laplacian is of no interest. So we end up with just the familiar Laplacian, and it seems that we have discovered nothing new. On the unit ball in en, matters are more complicated. The uniquely deter- mined second-order partial differential operator that commutes with biholomor- phic transformations of the ball is not the standard Laplacian. It will turn out to be the Laplace-Beltrami operator for the Bergman metric of the ball, and will have a different form. (We say more about Bergman geometry in the next section.) We provide the details in the next few sections. For simplicity of notation, we restrict attention to the unit ball B in complex dimension two. A function on B is called holomorphic if it is holomorphic, in the usual one-variable sense, in each variable separately. A mapping F == (II, 12) : B -+ B is called holomorphic if each of II, 12 is holomorphic. It is biholomorphic if F is one-to-one, surjective, and has a holomorphic inverse. (Background in these matters may be found in [KR1].) We begin by determining the biholomorphic self-maps of B. e The unitary maps of 2 are those 2 x 2 complex matrices satisfying U- I == U*. Here * is the conjugate transpose, or Hermian adjoint. A geometrically more appealing description of the unitary group is that it is the collection of those mappings that preserve the Hermitian inner product of vectors Z == (ZI, Z2) and W == (WI, W2): Obviously any unitary map is a biholomorphic self-mapping of the ball. The other important biholomorphic self-mappings of the ball are the Mobius transformations. A thorough consideration of these mappings appears in [RU2]. Here we shall be brief. For a E e, lal < 1, we define (6.1.2) We first check that ¢a : B -+ B. Now if and only if that is,
  • 142.
    The Bergman Kernel 131 This is equivalent to which is the defining inequality for the ball. Notice that cP-a (0,0) == (a, 0) and cPa (a, 0) == O. If a, b are complex numbers each with modulus less than one, then cP-b 0 cPa(a, 0) == cP-b(O, 0) == (b,O). Thus we see that the group generated by the Mobius transformations (6.1.2) together with the unitary transformations acts transitively on B. In fact, one may prove using the one-variable Schwarz lemma that this group coincides with the group of all biholomorphic self-maps of B (exercise, or see [RUD2]). 6.2 The Bergman Kernel Let 0 be a bounded domain in en. Set 2 A (O) = {f hoIomorphic on 0 : k1fl2 dV < oo.} Here dV represents the standard Euclidean volume element. As on the ball, a function of two complex variables is holomorphic precisely when it is holomor- phic in each variable separately. For f, 9 E A2 (O) we define With this inner product, A 2 (O) becomes an inner product space. The corre- sponding norm on A 2 is Ilfll == V(D). In a moment we shall see that it is in fact complete. LEMMA 6.2.1 If K is a compact subset of 0 then there exists a constant C = C(K, 0) such that for all f E A2(O) we have PROOF If f is holomorphic, then in particular f is hannonic in each variable separately and hence hannonic as a function of several real variables. Thus f
  • 143.
    132 A Degenerate Elliptic Boundary Value Problem satisfies the mean value property with respect to balls. Since K is compact, there exists an r > 0 such that B(z, r) ~ 0 for all z E K. Now If(z)1 ~ V(B~ z, r ) }(B(z,r) If(()1 dV(() 1/2 ~ Jv(~(z,r) h(z,r) If(()1 ( 2 dV(() ) 1 JV(B(z,r) IlfIIA2(!1), where in the penultimate line we have used the Schwarz inequality. I PROPOSITION 6.2.2 The space A 2 (0) is a Hilbert space when equipped with the inner product PROOF It is only necessary to show that the space is complete. If {fj} is a Cauchy sequence in A 2 (0) (i.e., in the topology of L 2 (0), then it converges uniformly on compact subsets of 0 by the lemma. Then there exists a function f to which {fj} converges normally. Hence f is holomorphic. Since f is also the L 2 limit of the sequence, it follows that f E A2(0). I Now fix a point z E O. The functional is continuous by the lemma. Then, by the Riesz representation theorem, there exists a k z E A2(0) such that f(z) == ez(f) == (f, k z ) = J f(()kz(() dV((). (6.2.3) Thus we have DEFINITION 6.2.4 The function K(z, () == k z (() is called the Bergman kernel for the domain n.
  • 144.
    The Bergman Kernel 133 PROPOSITION 6.2.5 If j E A2(O) then for all z E 0 we have j(z) = ~ j(()K(z, () dV((). PROOF This is just a restatement of line (6.2.3) above. I PROPOSITION 6.2.6 The Bergman kernel satisfies K(z, () == K((, z). PROOF Since, by its very definition, K (z, .) is an element of A 2 , we have for w E 0 that K(z,w) = J K(z,()K(w,()d( = J K(w,()K(z,()d( == K(w, z) == K(w, z). I Our existence argument for the Bergman kernel is abstract; we now present a constructive method for understanding the kernel. There are in fact two constructive approaches: (1) the use of conformal invariance and (2) using a basis for A 2 (0). We begin by discussing (2). PROPOSITION 6.2.7 Let H (z, () be a function on 0 x 0 satisfying 1. H(·, () E A2(O); 2. H(z, () == H((, z); 3. j(z) == In j(()H(z, () dV(() for all j E A2(O). Then H is the Bergman kernel: H == K. PROOF This is similar to the proof of the last proposition. We leave the details as an exercise. I
  • 145.
    134 A Degenerate Elliptic Boundary Value Problem Now A2(O) is a subspace of L 2 so it is separable. Let {<pj} be a complete orthonormal basis for A 2 (0). We consider the formal sum L cPj(z)cPj(() == K(z, (). j Fix a compact set L ~ O. If w E L then sup {aj } E e2 II {a J } II e2 =1 sup If(w)1 fEA2(O) IIfll= by the lemma. By the Schwarz lemma we conclude that L cPj(z)cPj(() j converges uniformly on Lx L. Now it is easy to see that K satisfies the first two properties that characterize the Bergman kernel. Finally, by the Riesz-Fisher theory, J !(()K(z, () dV(() =L J (J !(()<pj(() dV(()) <Pj(z) == f(z). Hence K is the Bergman kernel. Now we can explicitly calculate the Bergman kernel on some particular do- mains. First consider the disc D ~ C. We take cPj(() == (j-l/'Yj,j == 1,2; ..., where the constants 'Yj will be specified in a moment. These functions are pairwise orthogonal, as one easily sees by introducing polar coordinates. They span A2(D), for if f E A 2 has power series expansion f(z) == ~ ajz j and if (f, cPj) == 0 for all j then all aj are zero. Finally, we select the constants 'Yj to make each cPj have norm one: We calculate that JJ D j 2 Iz l dxdy = 11 1 27r r 2 j+l d()dr 1 == 27r . 2j + 2 7r j+l
  • 146.
    The Bergman Kernel 135 Therefore we take "Ij = ~ / VJ and set ~.()_ ~z j - l . f/J Z - VJ Then 00 K(z, () == L cPj(z)cPj(() j=1 = 2- f(j + 1r j=O l)(z()i. Recall that ~( . ».J - d ~ )..,i _ d 1 _ 1 ~ J + 1 - d)" ~ - d)" 1 -).. - (1 - )..)2 . We conclude that 1 1 K(z,() = - ( )2 7r 1 - z( Exercise: Give an alternate derivation of the Bergman kernel for the disc by using the Cauchy integral formula together with Stokes's theorem. Now we return our attention to the ball in C2 . In analogy with what we did on the disc, we could set j k ~ ( ) _ ZI z2 f/jk Z - - - "Ijk and proceed to calculate suitable values for the "Ijk (this procedure is carried out in [KR 1]. However we shall instead use approach (1) for calculating the Bergman kernel. In order to carry out this procedure, we shall need the following proposition: PROPOSITION 6.2.8 Let <P : 0 1 -+ O2 be biholomorphic. Then the Bergman kernels K n ) and K n2 of these two domains are related by the formula Kn) (z, () == detJacc<p(z)Kn2(<p(z), <p(())detJacc<p((). (6.2.8.1) Before we prove this proposition, we make some remarks. First, recall that in real multivariable calculus when we do a change of variables in an integral we use the real Jacobian determinant det Jac IR. But now we are doing complex calculus and we use the complex Jacobian determinant det Jac c. In the context of en, the real Jacobian is a real 2n x 2n matrix. On the other hand, the
  • 147.
    136 A Degenerate Elliptic Boundary Value Problem complex Jacobian is a complex n x n matrix. How are these two concepts of the Jacobian related? It turns out that, when <P is holomorphic, then det Jac IR <P == Idet Jac c <p1 2 • The reader may wish to prove this as an exercise, or consult [KR 1] for details. LEMMA 6.2.9 If 9 E A 2(02) then PROOF We calculate that 2 (g 0 <I>(z)) detJacc<I>(z) dV(z) in) { I 1 = ( Ig(wWIdetJac c <I>(<I>-1 (w)) 121detJac IR <I>-1 (w) 1dV(w) in 2 =( Ig(w)1 2 dV(w) < 00. I in 2 COROLLARY 6.2.10 The right-hand side of equation (6.2.8.1) is square integrable and holomorphic in the z variable and square integrable and conjugate holomorphic in the ( variable. PROOF Obvious. I Now, in order to prove formula (6.2.8.1), it remains to verify property (3) of the three properties characterizing the Bergman kernel. Let f E A 2 ( 0 1 ). Let us write J for det Jac c. Then we have in) f(().1<I>(z)KI1 (<I>(z) , <I>(()).1<I>(() dV(() ( 2 f (<I>-1 (~) ).1<I>( Z )K11 2 (<I>(z), ~).1( <I> (<I>-1 (~))) • 1.1<I>-1 (~) 1 dV (~) 2 ={ in 2 == .1<I>(z) { in 9( ~) K 11 2 2( <I> (z), ~) dV (~) , where
  • 148.
    The Bergman Kernel 137 by 6.2.9. Thus the term on the right side of our chain of equalities is equal to J<I>(z)g(<I>(z)) == J<I>(z)f (<I>-I(<I>(Z))) J<I>-I(<I>(Z)) == f(z). That verifies the reproducing property for the right side of (6.2.8.1) and the proposition is proved. I Armed with our preliminary calculations, we now tum to our calculation of the Bergman. kernel for the ball B ~ C2 • If f E A 2 (B) then, by the mean value property, f(O) = V/B) L f(() dV((). This equality leads us to surmise that K B (0, () == 1/ V (B) hence, in particular, KB(O,O) == I/V(B). Assuming this, we use the result of our proposition to calculate KB((a, 0), (a, 0)) when lal < 1. Define <I> (z z) == ( 1,2 Z+a 1 1+-' J 1+-a 2 Z2) . 1- I 1 aZI aZI Set Q == <I> (0, 0) == (a, 0). Using formula (6.2.8.1) we see that K B(0,0) == det Jac c <I>(O)KB (<I> (0) , <I> (0) ) det Jac c <I> (0) . In other words, 1 V(B) = detJac iC <I>(O)KB ( a, a )det Jac iC <1>(0). Observe that 1- lal 2 0 ) J ac iC <I> (0, 0) = ( 0 J 1 _ 1a 12 . Therefore Hence 1 1 KB(a, a) = V(B) (1 - lal 2 )3 . Now for every {3 E B there exists a point Q == (a, 0) E B and a unitary transformation U such that U {3 == Q. Moreover notice that if U is unitary then Jac c U == U. Therefore the proposition implies that
  • 149.
    138 A Degenerate Elliptic Boundary Value Problem Thus KB({3,/3) == K B (U/3,U/3) 1 1 V(B) . (1 - U /3 . U (3)3 1 1 (6.2.11) V(B) . (1 - /3. (3)3 . Now we need the following observation: If F(z, w) is a function holomorphic in z E 0 and conjugate holomorphic in w E 0 and if F(z, w) == 0 when z == w then F == O. Assume this claim for the moment. Then we may conclude that 1 1 KB(z, w) = V(B) (1 - z . w)3 . (6.2.12) Let us review the logic: We have demonstrated that this function K B satisfies the three properties that characterize the Bergman kernel so it must be the Bergman kernel. We conclude by proving the observation. Define G (z, w) == F (z, iiJ). Then G is holomorphic in both z and w. Moreover, G == 0 on S == {( z, w) : z == iiJ}. Consider the mapping 1t : (z, w) r-----+ (z + w, i(z - w)). Then G 0 1t is holomorphic and equals 0 when z + w == i(z - w), that is on T == {( z, w) : Re z == - 1m z and Re w == 1m w} . It now follows from elementary one-variable considerations that G 0 1t == 0, hence F == O. REMARK Let 0 be any bounded domain in en. It is a corollary of the represen- tation Kn(z, z) == L~l l4>j(z)1 2 that K(z, z) =1= 0 for all z. This observation will prove useful later. I 6.3 The Szego and Poisson-Szego Kernels Let 0 c c en be a smoothly bounded domain, and define A(O) == C(O) n H(O), where H(O) is the space of holomorphic functions on O. Define
  • 150.
    The Szego andPoisson-Szego Kernels 139 where do- is area measure on the boundary of 0 (see [KRl], Appendix II). and let H 2 (0) be the closure of A (0) with respect to this norm. REMARK It is natural to wonder how this definition of H 2 (0) relates to other, perhaps more familiar, definitions of the space. On the unit disc H 2 (D) is usually defined to be the space of those functions 1 holomorphic on D such that 21T" sup O<r<l 10 II(re iO ) 2 dO < 00. 1 There is an analogous definition on more general domains (see [KRl]). Yet a third approach to Hardy spaces is due to Lumer [LUM]. According to Lumer, a holomorphic function 1 on a domain 0 is in H 2 if there is a harmonic function h such that 111 2 S h. On domains in en with C 2 boundary, all three definitions are equivalent (see [KRl]). The equivalence of the first definition with the other two on an arbitrary pseudoconvex domain is difficult-see [BEA]. I LEMMA 6.3.1 If K is a compact set contained in 0, then there exists a constant C == C(O, K) such that for every 1 E H 2 (0) it holds that sup If(z)1 SCIIIIIH2. zEK PROOF Exercise: The shortest proof uses the Bochner-Martinelli formula, for which see [KRI]. I Equipped with this lemma, one can imitate the Bergman theory to prove the existence of a reproducing kernel S(z, () for the space H 2 • This kernel is known as the Szego or Cauchy-Szego kernel. Further, if {cPj} is an orthonormal basis for H 2 then S(z, () == L cPj(z)cPj(()· j For the unit ball in en, we may calculate (as we did for the Bergman kernel in the last section) that the Szego kernel is given by 1 1 S(z, () = a(8B) . (1 - z . ()n In the case n == 1, 1 1 S(z,() == - . - - - . 27r 1 - z(
  • 151.
    140 A Degenerate Elliptic Boundary Value Problem If f E A(D) and z == re i () E D, then the Szego reproducing formula becomes 1 f(z) == -2 1 1 ---f(() da(() 1r aD 1 - z( =J..- f2tr 1 j(ei</J)d¢ 21r Jo 1 - rei()e-iej> == _1_. f2tr . 1 . j (ei</J)iei</J d¢ 21rl Jo e'lej> - re'l() == _1. J _1_ f (() d(. 21rl laD (- z So we see that, on the disc, the Szego reproducing formula is just the standard Cauchy integral formula. Associated with the Szego kernel on a domain 0 is the Poisson-Szego kernel defined by 2 P( z,,, == IS(z, ()1 r) S(z,z). PROPOSITION 6.3.2 The Poisson-Szego kernel has the following properties: 1. P(z,() 2: ofor z E 0,( E 80. 2. For f E A(O), z E 0, we have j(z) = f P(z,()j(()d(. Jan PROOF Recall that S(z, () == E j ¢j(z)¢j(() and that S(z, z) == E j l¢j(z)1 2 • If there were a Zo E 0 such that S(zo, zo) == 0, then ¢j (zo) == 0 for eV,ery j hence S(zo, () == 0 for all (. But then it would follow from the reproducing property that f (zo) == 0 for every f E H 2 • That is plainly false. Thus S(z, z) is never zero so that P is well defined. Also, P (z, () 2: 0 by its very definition. Finally, if f E A(O) and z E 0 is fixed then set g(() = j(()S(Z;() . S(z, z) Because f is bounded, S (z, .) E H 2 , and S (z, z) is a positive constant, it follows that 9 E H2. By the Szego reproducing property, we then have that g(z) = f g( ()S( z, () da( (). Jan
  • 152.
    The Szego andPoisson-Szego Kernels 141 In other words, f(z)~ = S(z,z) Jan r f(() S(z,z) S(z, () da(() S(z, () or f( z) = r Jan f( ()P( z, () da( (). I Let us consider our new kernels on the disc and the ball. Let W2n-l denote the surface area measure of aB in Then en. S(z () == _1_ . _ _1 _ _ , W2n -1 (1 - z . () n ' thus 2 P(z,() == _1_. (1 -lzI )n . W2n-l 11-z·(1 2n iO In case n == 1, we may calculate for z == re E D and ( == eic/> E aD that 1 1-Izl 2 P(z,() = 21r 11 - z· (1 2 1 1 - r2 27r 11 - rei(O-¢) 2 1 1 1 - r2 27r 1 - 2rcos(O - ¢) + r2 • Thus in one complex variable the Poisson-Szego kernel is the classical Poisson kernel. In dimensions two and above this is not the case. In fact, we should like to stress a fundamental difference between the two kernels in dimension two. The singularity (denominator) of the classical Poisson kernel for the Laplacian in e2 is Iz - (1 4 • However, the singularity (denominator) of the Poisson-Szego kernel is 11 - z· (1 4 . Whereas in one complex variable the expressions Iz - (I and 11 - z . (I are equal (for ZED, ( E aD), in several complex variables they are not. Formally, this is because z . ( == ZI (1 + ... + zn(n; whereas we can "undo" the multiplication z . ( in e1 by multiplication by (-1, which has modulus 1, there is no analogous operation in several variables. The difference between the two singularities in e2 , for instance, has a pro- found geometric aspect. The natural geometry in aB associated with the singu- larity s == 1( z of the Poisson kernel is suggested by the balls - I B(z, r) == {( : lsi < r}. These balls are isotropic: they measure the same in all directions.
  • 153.
    142 A Degenerate Elliptic Boundary Value Problem However, the natural geometry in aB associated with the singularity p = 11 -Z . (I of the Poisson-Szego kernel is suggested by the balls f3(Z, r) == {( : Ipi < r}. To understand the shape of one of these balls, let us take, in dimension 2, Z == (I, 0) E aB. Then f3( z, r) == {( : 11 - ,~ 1 < r}. If ((1,(2) E f3(z,r) then, because this "ball" is a subset of the boundary, we may calculate that 1(21 2 == 1 - 1(11 2 == (1 - 1(1)(1 + I(d) ~ 2(1 -1(11) ~ 211 - (11 < 2r. Thus we see that whereas the ball has size r in the (1 direction, it has size jr in the Z2 direction. Therefore these balls are nonisotropic. The contrast of the isotropic geometry of real analysis and the nonisotropic geometry of several complex variables will be a prevailing theme throughout this chapter and for much of the remainder of the book. The Szego kernel reproduces all of H 2 while the Poisson-Szego kernel re- produces (on a formal level) only the subspace A(O). But P is real-indeed, nonnegative. In particular, if f E A(O) then we may take the real part of both sides of the formula j(z) = ( j(()P(z, () da(() Jan to obtain Rej(z) = J Rej(()P(z,()da((). Thus the Poisson-Szego kernel reproduces pluriharmonic functions (real parts of holomorphic functions) that are continuous on O. (See [KR 1] for more on pluriharmonic functions.) The interesting fact for us will be that, on the ball in en, the kernel P (z, () solves the Dirichlet problem for a certain invariant second-order elliptic partial differential operator. This operator, which we shall study in detail below, is the Laplace-Beltrami operator for the Bergman kernel. In order to determine this operator, we shall require some knowledge of the Bergman metric.
  • 154.
    The Bergman Metric 143 6.4 The Bergman Metric Let 0 be a domain in }RN. A Riemannian metric on 0 is a matrix g (gij(x))fj=l of C 2 functions on 0 such that if 0 =1= ~ E}RN then ~ (gij(X))~'_l t~ > O. 2,]- (6.4.1 ) In this way we assign to each x a positive definite quadratic form. The associated notion of vector length (for each x) is (6.4.2) Recall that in calculus we define the length of a curve 'Y : [0, 1] --+ lR to be £(-y) = 1 1 h'(t)1 dt. The philosophy of Riemannian geometry is to allow the method of calculating the length of ,'( t) to vary with t-that is, to let the norm used to calculate the length of ,'( t) depend on the base point , (t). Thus, in the Riemannian metric 9 explicated in (6.4.1), (6.4.2) the length of a curve, is given by Example 1 Let 0 == D, theunitdiscin}R2. Fix 0 <,x < 1. Welet,(t) == ('xt,O),O ~ t ~ 1. Then, with the metric g( x) == {8 ij }, we calculate that ,'(t) == (,x, 0) and Ih'(t)II-y(t) = (A,O) (~ ~) ( ~ ) = V>:2 = A. Therefore In this example we see that we have calculated the Euclidean length of a segment in the usual fashion. 0
  • 155.
    144 A Degenerate Elliptic Boundary Value Problem Example 2 Let .. ( ) _ g~J Z - ( (1- 0 {z 2 1 )2 and let I be as in Example 1. Then {I 1 = .x Jo 1 _ (.xt)2 dt = ~ log ( 1 + A) . 2 1- A We see that in the metric in this example, a version of the Poincare metric on the disc, our segment connecting 0 to A has length which is unbounded as A --t 1- . o DEFINITION 6.4.1 Let 0 be a bounded domain in en and let K == Kn be the Bergman kernel for o. For i, j == 1, ... , n we define -a Zj log K(z, z). 2 gij(Z) == Zi aa- The matrix 9 == (gij(Z))~j=l is called the Bergman metric on O. It acts as a Hermitian quadratic form on the complex tangent space. REMARK From today's perspective-especially in view of the theory of Kahler manifolds, in which all metrics arise locally as the complex Hessians of potential functions-the definition of the Bergman metric is quite natural. The use of logarithmic potential functions is particularly well established. However, half a century ago, when Bergman gave this definition, it was quite an original idea. We shall do some explicit calculations of the Bergman metric in what follows. I Let us discuss the definition of the Bergman metric. First, it makes good sense since (as already noted) K (z, z) > 0 for all Z E O. We shall now check that the Bergman metric is invariant under biholomorphic mappings. To this end, let
  • 156.
    The Bergman Metric 145 be a biholomorphic mapping. Let'Y : [0, 1J -+ 0 1 be a smooth curve. Then LEMMA 6.4.2 With the above notation, PROOF We want to show that 1II 1 (<p* 1')'( t) Il n 2, 1>. 'Y(t) dt = 11h' 1 (t) lin! ,'Y(t) dt. Of course it suffices (and, as it turns out, it is also necessary) to show that the integrands are equal. By the transformation formula for the Bergman kernel, we know that J <I> (z) K n2 ( <I> (z), <I> ( z)) J <I> (z) == K n (z, z). Taking logarithms, we find that 10gJ<I>(z) + log (K n2 (<I>(z),<I>(z))) +logJ<I>(z) == log (Kn(z,z)). Let us now apply 8 2 /8z i 8zj on both sides. This second derivative applied to the right-hand side is gf} (z). The second derivative applied to the left-hand side equals Therefore Finally, L gr~ (<1>( z)) (<1>*~)R (<I>*~)m R,m I
  • 157.
    146 A Degenerate EUiptic Boundary Value Problem Example: Let us calculate the Bergman metric on the ball. Let 1 1 K(z, () = KB(Z, () = V(B) (1 _ Z . ()n+1 be the Bergman kernel. Then log K(z, z) == -log V(B) - (n + 1) log(1 - IzI2). Further, 8 -8 (-(n + 1) log(1 - Zi IzI 2 )) = (n + 1) 1 - Zo iZ2 1 and 2 8 [8ij Zj ( 8z 8zj -(n + 1) log(1 - i Izl) ) 2 = (n + 1) 1_ IzI2 + (1 _ Iz1 2 ] Zi )2 (n + 1) 2 _ ] = (1 _ Iz12)2 [8ij (1 - Izl ) + ZiZj == 9ij(Z). If n = 1, then 2 9ij ( z) = 9 = (1 _ I Z 12 )2 ; this is just the Poincare metric on the disc. When n = 2 we have 9ij(Z) = (1 _ ~zI2)2 [8 ij (1 -lzI 2 ) + ZiZj] · Thus Let represent the inverse of the matrix ( 9ij(Z))~ 0-1 'l,J- . Then an elementary computation shows that 2 2 2 ij ( ) ) n _ 1- I Z1 ( 1- I Z1 1 - Z2 Z1 ) _ 1- I Z1 (8.. _ -. .) ( 9 Z i,j=1 - 3 -ZI Z2 1 - IZ21 2 - 3 'lJ ZtzJ i,j· Let
  • 158.
    The Bergman Metric 147 Then 9 o DEFINITION 6.4.3 en l/n is a domain in and g(z) == (gij(Z))ij is a Hermitian metric on n, then the Laplace-Beltrami operator associated to 9 is defined to be the differential operator 6. B 22:{8 ( . 8z + _{) ( . 8z == - 9 .. - 8z 8) 8z 8)} i gg'lJ_ j j gg'lJ_ i . 'l,J Now let us calculate. If (gij )~j=l is the Bergman metric on the ball in en then we have ,,8 L...J -_ (gg'lJ .. ) == 0 .. 8zi 'l,J and We verify these assertions in detail in dimension 2: Now j 9 1- IzI 2 _ ggi = (1 -lzI 2)3· 3 (8 ij - ZiZj) 3 (1 _ Iz12)2 (8ij - ZiZj). It follows that 8 i . 6z i _) 3zj 8z/g J = (1 -lzI2)3 (8 ij - ZiZj - (1 -lzI2)2 . Therefore The other derivative is calculated similarly.
  • 159.
    148 A Degenerate Elliptic Boundary Value Problem OUf calculations show that, on the ball in C, 6. B 2~{8 == - ~ __ 9 ., 8zi ( . 8z + _8( . 8z 8) 8z 8)} gg't J _ j j gg't J -::- i 't,J _42: g8- - - 8 ij • • 8z· 8z· J 'I, 't,J This formula, which we have derived in detail in dimension two, has an analog (with 3 replaced by n + 1) that is valid in any dimension. Exercise: Verify that if <I> : B -+ B is biholomorphic and if D..Bu == 0 then D..( u 0 <I» == O. More generally, check that if v on B is any smooth function and <I> biholomorphic, then D..B(V 0 <I» == (D..BV) 0 <P. Notice that, on the disc, 2 6. == 4 (1 -lzI ) (1 _ IZI2)~ D 2 8z8z == 2(1 - Iz12)2 D.., where D.. (without the subscript) is just the ordinary Laplacian. Thus the Laplace-Beltrami operator for the Poincare-Bergman metric on the disc is just the Laplacian followed by a smooth function. It exhibits no features that are essentially different from those of the Laplacian. We see, however, that in two or more variables the Laplace-Beltrami operator is a genuinely new object of study. We shall learn more about it in later sections. 6.5 The Dirichlet Problem for the Invariant Laplacian on the Ball We will study the following Dirichlet problem on B ~ C2 : (6.5.1) where ¢ is a given continuous function on 8B. Exercise: Is this a well-posed boundary value problem (in the sense of Lopatin- ski)?
  • 160.
    The Dirichlet Problemfor the Invariant Laplacian on the Ball 149 The remarkable fact about this relatively innocent-looking boundary value problem is that there exist data functions ¢ E Coo (aB) with the property that the (unique) solution to the boundary value problem is not even C 2 on B. This result appears in [RGR 1] and was also discovered independently by Garnett and Krantz. It is in striking contrast to the situation that obtains for the Dirichlet problem on a uniformly elliptic operator such as we studied in Chapter 5. Observe that for n == lour Dirichlet problem becomes (1 -1~2f.0- u = 0 on D ~ C { ul aD -¢, which is just the same as 6u == 0 onD~C { ul aD == ¢. This is the standard Dirichlet problem for the Laplacian-a uniformly strongly elliptic operator. Thus there is a complete existence and regularity theory: the solution u will be as smooth on the closure as is the data ¢ (provided that we measure this smoothness in the correct norms). Our problem in dimensions n > 1 yields some surprises. We begin by developing some elementary geometric ideas. Let (, ~ E aBo Define PROPOSITION 6.5.1 The binary operator p is a metric on aB . PROOF Let z, w, ( E aB. We shall show that p(Z, () ::; p(z, w) + p(w, (). Assume for simplicity that the dimension n == 2. We learned the following argument from R. R. Coifman. After applying a rotation, we may assume that w == (0, i). For Z == (Zl, Z2) E aB, set j.L(z) == p(z,w) == ViI - iz21. Then, for any z, (E aB, we have 11 - z· (I == 1- Zl(l + (1 + iz2)(i(2) + (1 - i(2)1 ::; IZI(11 + 11 + iz211(21 + 11 - i(21 ::; /(l//Zl/ + 1l 2(Z) + 1l 2((). (*)
  • 161.
    150 A Degenerate Elliptic Boundary Value Problem However Of course the same estimate applies to Zl. Therefore Substituting this into (*) gives Now we define balls using p: for P E 8B and r > 0 we define f3(P, r) == {( E 8B : p(P, () < r}. [These skew balls (see the discussion in Section 6.3) playa decisive role in the complex geometry of several variables. We shall get just a glimpse of their use here.] Let 0 =1= Z E B be fixed and let P be its z orthogonal projection on the boundary: == Z / IZ I. If we fix r > 0 then we may verify directly that P(z, () ---+ 0 uniformly in (E 8B f3(z, r) as z ---+ z. PROPOSITION 6.5.2 Let B ~ en be the unit ball and 9 E C(8B). Then the function G(z) == { JaB P(z, ()g(() da(() if z E B g(z) ifz E B solves the Dirichlet problem (6.5.1) for the Laplace-Beltrami operator 6B. Here P is the Poisson-Szego kernel. PROOF It is straightforward to calculate that 6 BG(z) = ( [6BP(Z, ()]g(() da(() JaB ==0 because 6 B P(·,() == O. For simplicity, let us now restrict attention once again to dimension n == 2. We wish to show that G is continuous on B. First recall that 1 (1 - Iz1 2)2 P(z,() = a(8B)ll-z.(1 4 ' Notice that { IP(z, ()I da(() = ( P(z, () da(() = ( P(z, () . 1 da(() = 1 JaB JaB JaB since the identically 1 function is holomorphic on 0 and is therefore reproduced by integration against P. We also have used the fact that P 2: O.
  • 162.
    The Dirichlet Problemfor the Invariant Laplacian on the Ball 151 Now we enter the proof proper of the proposition. Fix E > O. By the uniform continuity of 9 we may select a 8 > 0 such that if P E 8B and ( E {3(P, 8) then g(P) - g(() I < E. Then, for any 0 f- z E Band P its projection to the boundary, we have IG(z) - g(P)1 = I~B P(z, ()g(() da(() - g(p)1 = I~B P(z, ()g(() da(() - ~B P(z, ()g(P) da(()1 :::; { P(z,()lg(()-g(P)lda laB = ( P(z, ()Ig(() - g(P)1 da(() 1f3(P,8) ( P(z, ()Ig(() - g(P) da(() 1aBf3(p,8) :::; f + 211gllu", ( P(z, () da((). 1aBf3(p,8) By the remarks preceding this argument, we may choose r sufficiently close to 1 that P(z, () < E for Izi > rand ( E 8B {3(P, 8). Thus, with these choices, the last line does not exceed C . E- We conclude the proof with an application of the triangle inequality: Fix P E 8B and suppose that 0 f- z E B satisfies both IP - zl < 8 and zl > r. If z == z/ Iz I is the projection of z to 8 B then we have IG(z) - g(P)1 ::; IG(z) - g(z) + Ig(z) - g(P). The first term is majorized by E by the argument that we just concluded. The second is less than E by the uniform continuity of 9 on 8n. That concludes the proof. I Now we know how to solve the Dirichlet problem for 6. B ; next we want to consider regularity for this operator. The striking fact, in contrast with the uniformly elliptic case, is that for 9 even in Coo (8B) we may not conclude that the solution G of the Dirichlet problem is Coo on 13. In fact, in dimension n, the function G is not generally in cn(13). Consider the following example: Example: Let n == 2. Define
  • 163.
    152 A Degenerate Elliptic Boundary Value Problem Of course 9 E COO (BB). We now calculate Pg(z) rather explicitly. We have _ {(I - Iz1 2)2 1 2 Pg(z) - a(8B) JaB 11 _ z . CI 4ICJ! da(C)· Let us restrict our attention to points z in the ball of the form z = (r + iO, 0). We set Pg(r + iO) = ¢(r). We shall show that ¢ fails to be C 2 on the interval [0,1] at the point 1. We have 2 1 {(1 - r )2 2 ¢>(r) = a(8B) JaB 11 _ rCJ!4 ICJ! da(C) 2 = (1 - r ? ({ ICJ!2. 1 ds(Cz) dA(CJ) a(BB) J'(II<l J'(2'=~ 1 - r(11 4 VI -1(12 2 = (1 - r )2 ( ICJ!2 21rVl - ICJ!2 dA(Cd a(BB) J,(I1<III-r(11 4 vI-I(11 2 21r 22 { (11 2 = a(8B) (1 - r) J!(II<J 11 _ rCJ!4 dA(CJ)· Now we set (I = Tei'l/;, 0 ::; T < 1,0 ::; 'l/J ::; 21r. The integral is then 21r 2 2 {21r (I T2 a(8B) (1 - r) J J 11 _ rTe i ,p14 TdTd'ljJ. o o We perform the change of variables rT == s and set C == 21r/ a( BB). The integral becomes roo 2 C (1 - 4r )2 T s3 21r l 1 1 1 - se i,p I 1 4 d'ljJ ds. Now let us examine the inner integral. It equals {21r 1 {21r e 2i 'l/; Jo (1 - sei ,p)2(1 - se- i ,p)2 d'ljJ = Jo (1 - sei,p)2(ei,p - s)2 d'ljJ
  • 164.
    The Dirichlet Problemfor the Invariant Laplacian on the Ball 153 Applying the theory of residues to this Cauchy integral, we find that the last line equals Thus ¢(r) 3 1 (1 - s)2 + (1 - s) ds 7rC (1 - r 2{I 4 2 ) ( 2)2 - --2 3 -log(l-r )+2 2} r l-r l-r o 1(C { 1-3(I-r2 )-(I-r) 2 10g(l-r2 )+2(I-r) 2} 2 2 C {1- 3(1 - r 2 ) + 2(1 - r 2 )2 _ (1 - r 2)21 0g (1 - r 2 )} 1( r4 r4 . Thus we see that ¢( r) is the sum of two terms. The first of these is manifestly smooth at the point 1. However, the second is not C 2 (from the left) at 1. Therefore the function ¢ is not C 2 at 1 and we conclude that P 9 is not smooth at the point (1, 0) E 8 B, even though 9 itself is. 0 The phenomenon described in this example was discovered by Garnett and Krantz in 1977 (unpublished) and independently by C. R. Graham. Graham [RGRl] subsequently developed a regularity theory for 6B using weighted function spaces. He also used Fourier analysis to explain the failure of boundary regularity in the usual function space topologies. It turns out that these matters were anticipated by G. B. Folland in 1975 (see [POL]). Using spherical harmonics, one can see clearly that the Poisson-Szego integral of a function 9 E Coo (8B) will be smooth on 13 if and only if 9 is the boundary function of a pluriharmonic function (these arise naturally as the real parts of holomorphic functions-see [KR 1]). We shall explicate these matters by beginning, in the next section, with a discussion of spherical harmonics.
  • 165.
    154 A Degenerate Elliptic Boundary Value Problem 6.6 Spherical Harmonics Spherical harmonics are for many purposes the natural generalization of the Fourier analysis of the circle to higher dimensions. Spherical harmonics are also intimately connected to the representation theory of the orthogonal group. As a result, analogs of the spherical harmonics play an important role in general representation theory. Our presentation of spherical harmonics owes a debt to [STW]. We begin with a consideration of spherical harmonics in real Euclidean N -space. For k == 0,1,2, ... we let Pk denote the linear space over C of all homogeneous polynomials of degree k. Then {xa}lal=k is a basis for Pk. Let dk denote the dimension, over the field C, of Pk. We need to calculate d k . This will require a counting argument. We need to determine the number of N -tuples Q == (QI, ... , QN) such that QI + ... QN == k. Imagine N + k - 1 boxes as shown in Figure 6.1. We mark any N - 1 of these boxes. Let QI 2: 0 be the number of boxes preceding the first one marked, Q2 2: 0 the number of boxes between the first and second that were marked, and so on. This defines N nonnegative integers QI, ... , QN such that QI + ... + QN == k. Also, every such N -tuple (QI, ... , QN) arises in this way. Thus we see that d == (N+k-l) == (N+k-l) == (N+k-l)! . k N - 1 k (N - l)!k! Now we want to define a Hermitian inner product on Pk. In this chapter, if P == La cax a is a polynomial then the differential operator P(D) is defined to be Here Q is a multiindex. For P, Q E Pk we then define (P,Q) == P(D) (Q). DO 000 DO ... FIGURE 6.1
  • 166.
    Sphericaillannonks 155 (P,Q) == P(D) (Q) == L (L lal=k PaBa 1/3I=k q/3x(3) L a PaQ/3B x/3 lal,I/3I=k L PaQ/38a/3Q!, lal,I/3I=k where 8a /3 == 0 if Q f- {3 and == 1 if Q == {3. Also Q! == QI! ... QN!. Therefore (P, Q) is scalar-valued. It is linear in each entry and Hermitian symmetric. Moreover, we see that so that (P, P) 2:: 0 and == 0 iff P == o. Thus ( . , . ) is a Hermitian, nondegenerate inner product on Pk. PROPOSITION 6.6.1 Let P E Pk. Then we can write where each polynomial Pj is homogeneous and harmonic with degree k-2j, 0 :S j :S f, and f == [k/2]. PROOF Any polynomial of degree less than 2 is harmonic, so there is nothing to prove in this case. We therefore assume that k 2:: 2. Define the map cPk : Pk --+ Pk-2 P f--t 6P, Where 6 is the (classical) Laplacian. Now consider the adjoint operator This adjoint is determined by the equalities (Q,6P) == Q(D)6P == 6Q(D)P == (R, P),
  • 167.
    156 A Degenerate Elliptic Boundary Value Problem where R(x) == IxI 2 Q(x). Therefore <p~(Q)(x) == IxI 2 Q(x). Notice that <P~ is one-to-one. Recall also that <Pk is surjective if and only if <p~ is one-to-one (for Q 1- range <Pk if and only if <p~ (Q) == o-we are in a finite-dimensional vector space). Moreover, the kernel of <Pk is perpendicular to the image of <P~-2. In symbols, That is, where Ak = ker<Pk == {P E Pk : ~p == O} and Hence, for P E Pk, where Po is harmonic and Q E Pk-2. The result now follows immediately by induction. I COROLLARY 6.6.2 The restriction to the surface of the unit sphere EN-I of any polynomial 9/ N variables is a sum of restrictions to EN-I of harmonic polynomials. PROOF Use the preceding proposition. The expressions Ixl 2j become 1 when restricted to the sphere. I DEFINITION 6.6.3 The spherical harmonics of degree k, denoted Hk, are the restrictions to the unit sphere of the elements of Ak, that is, the restrictions to the unit sphere of the harmonic polynomials of degree k. If Y == PI~N-l for some PEAk, then P(x) == Y(x/lxl) . Ixl k
  • 168.
    Spherical Harmonks 157 so that the restriction is an isomorphism of A k onto H k. In particular, dim Hk == dimAk == dim Pk - dim Pk-2 == d k - dk-2 = (N+:-l)_(N:~;3) for k 2: 2. Notice that dim Ho == 1 and dim HI == N. For N == 2, it is easy to see that Hk == span {cos kO, sin kO} . Then dim Hk == 2 for all k 2: 1. This is, of course, consistent with the formula for the dimension of Hk that we just derived for all dimensions. For N == 3, one sees that dim Hk == 2k + 1 for all k 2: O. We denote dim Hk == dim Ak byak. The space A k is called the space of solid spherical harmonics and the space Hk is the space of surface spherical harmonics. PROPOSITION 6.6.4 The finite linear combinations of elements of Uk Hk is uniformly dense in C(E N - I ) and L 2 dense in L 2 (E N "da). PROOF The first statement clearly implies the second. For the first we invoke the Stone-Weierstrass theorem. I PROPOSITION 6.6.5 If y(k) E Hk and y(l) E Hl with k i-= f then PROOF We will use Green's theorem (see [KRl] for a proof): if u, v E C 2 (0), where n is a bounded domain with C 2 boundary, then 8 { u a v - v aa u da == { u 6. v - v 6 u dV. Jan v v in Here 8/ av is the unit outward normal derivative to an.
  • 169.
    158 A Degenerate Elliptic Boundary Value Problem Now for x E lRN we write x == rx' with r == Ixl and Ix'i == 1. Then u(x) == Ixlky(k)(x') == rky(k)(x') and v(x) == Ixlly(l)(x') == rly(l)(x') are harmonic polynomials. If one of k or f is zero, then one of u or v is constant and what we are about to do reduces to the well-known fact that for a harmonic function f on B, C l on 13, we have 8 JaB 8v fda=O { (see [KRl]). Details are left for the reader. In case both k and f are nonzero then ~u(x') = ~ (rky(k)(x')) 8v 8r == krk-1y(k)(x') == ky(k) (x') (since r == 1) and, similarly, :v v(x') = t'Y(£)(x'). By Green's theorem, then, o= l u(x) L,. v(x) - v(x) L,. u(x) dV(x) = [ u(x')t'Y(£) (x') - v(x')ky(k) (x') da(x') JaB = [ t'y(k)(x')Y(£)(x') - kY(£)(x')y(k)(x') da(x') JaB = (t' - k) [ y(k)(x')Y(£l(x') da(x'). JaB Since f # k, the assertion follows. I We endow L 2 (8B, dO") with the usual inner product. So of course each H k inherits this inner product as well. For k == 0, 1, 2, ... we let {YI (k) , .•• , Ya(:)}, ak == d k - d k- 2 , be an orthonormal basis for Hk. By Propositions 6.6.4 and 6.6.5 it follows that
  • 170.
    Spherical Harmonics 159 is an orthonormal basis for L2(~N_},da). If f E L2(~N_l) then there is a unique representation where the series converges in the L 2 topology and y(k) E 'Hk. Furthermore, by linear algebra, Lb Uk y(k) == j Yj(k), j=I where bJ. - ((k) ,Yj(k)). -1, ... ,ak· - Y ,J - As an example of these ideas, we see for N == 2 that y;(O) _ _I_ k == 0: I - V2i lI(k) = fi cos kO k ? 1: { y(k) == -.L sin kO 2 V1r ' that is, is a complete orthonormal system in L 2 (T). Claim: For N == 2 we can recover the Poisson kernel for the Laplacian from the spherical harmonics. If f E L 2 (aD) then consider F(re iO ) == L rk(f, Yj(k))Yj(k) (e iO ). j,k Then we have
  • 171.
    160 A Degenerate Elliptic Boundary Value Problem But the expression in brackets equals ~ + Re {f k=1 rkeik(IJ-q,)} = ~ + Re {rei(IJ-q,) . f k==O rkeik(IJ-q,l} _ ~ {i(O-¢) . 1 } - 2 + Re re 1 _ rei(O-¢) 1 1 - r2 2 1 - 2r cos(() - ¢) + r2 . Thus 1 21r 1 2 F(re iO ) :=_ 211" 1 0 -r 1 - 2rcos(O - ¢) + r2 f(ei¢)d¢. It follows from elementary Hilbert space considerations that F (re iO ) -+ f( eiO ) (first check this claim on finite linear combinations of spherical h~on­ ics, which are dense). Thus, at least formally, we have recovered the classical Poisson integral formula from spherical harmonic analysis. 6.7 Advanced Topics in the Theory of Spherical Harmonics: the Zonal Harmonics Since the case N :::; 2 has now been treated in some detail, and has been seen to be familiar, let us assume from now on that N > 2. Fix a point x' E EN-I and consider the linear functional on Hk given by ex' : Y ~ Y(x').
  • 172.
    Zonal Hannonics 161 Of course Hk is a Hilbert space so there exists a unique spherical hannonic Z~~) such that Y(x') = ex/(Y) = 1 EN-I Y(t')Z~~)(t') dt' for all Y E H k . (The reader will note here some formal parallels between the zonal harmonic theory and the Bergman kernel theory covered earlier. In fact, this parallel goes deeper. See, for instance, [ARO] for more on these matters.) DEFINITION 6.7.1 The function Z~~) is called the zonal harmonic of degree k with pole at x'. LEMMA 6.7.2 If {Y1 , ••• , Yak} is an orthonormal basis for 1-lk, then (a) ~;;=l Ym(x')Ym(t') == Z~~)(t'); (b) Z~~) is real-valued and Z~~) (t') == Z;,k) (x'); (c) If p is a rotation then Z~~~ (pt') == Z~~) (t'). PROOF Let Z~~) == ~;;=l (Z~~), Ym)Ym be the standard representation of Z~~) with respect to the orthonormal basis {Y1 , ••• , Yak}. Then we have used here the reproducing property of the zonal harmonic (note that since Ym is harmonic then so is Y m ). This proves (a), for we know that ak Z~~)(t') == L (Z~~), Ym)Ym(t') == Ym(x')Ym(t'). m=l To prove (b), let f E Hk. Then [(x') =1 EN-I [(t')Z~~)(t') dt' =1 f(t')Zk~)(t') dt'. EN-I That is, f(x') = 1 EN-I f(t')Z~~)(t') dt'. Thus we see that Z~~) reproduces 'ltk at the point x'. By the uniqueness of the
  • 173.
    162 A Degenerate Elliptic Boundary Value Problem zonal harmonic at x', we conclude that z~~) == z~~). Hence z~~) is real-valued. Now, using (a), we have ak Z~~)(t') == L Ym(x')Ym(t') m=l ak == L Ym(x')Ym(t') m=l == Zi,k) (x') == Zi,k) (x'). This establishes (b). To check that (c) holds, it suffices by uniqueness to see that Z~:~ (pt') repro- duces Hk at x'. This is a formal exercise which we omit. I LEMMA 6.7.3 Let {Y1, ... , Yak} be any orthonormal basis for H,k. The following properties hold for the zonal harmonics: (a) Z~~)(x') = a(EaN_d' where ak = dimA k = dim7-ik; L~=l IYm (x')1 == (j(L-a~_I) 2 (b) (c) Izi,k) (x') I :::; a(Ea~_d . PROOF Let x~, x~ E EN -1 and let p be a rotation such that px~ == x~. Then by parts (a) and (c) of 6.7.2 we know that ak ak '"' IYm(x~)12 == Z(~)(x~) == Z(~)(x~) == '"' IYm(x~)12 == c. ~ Xl X2 ~ m=l m=l Then ak ( ak = L }y m=l L-N-I IYm(X') 12 da(x') = 1 f: L-N-l m=l IYm(x')1 2 dx' == cO" (E N -1 ) . This proves parts (a) and (b).
  • 174.
    Zonal Harmonics 163 For part (c), notice that IIZ~~)lli2 = 1~N-l IZ~~)(t')12dt' = IN-l (~Ym(x')Ym(t')) (~Yt(X')Yt(t')) dt' == L IYm(x')1 2 m Finally, we use the reproducing property of the zonal harmonics to see that Iz1,k)(X')1 = IlN_l Z1,k)(w')Z~~)(w') dw'l (k) (k) ~ II Z t' IIL2· II Z x' IIL2 I Now we wish to present a version of the expansion of the Poisson kernel in terms of spherical harmonics in higher dimensions. Recall that the Poisson kernel for the ball in lR N is for 0 ~ Ixl < 1 and It'l == 1 (see [STW]). Now we have THEOREM 6.7.4 If x E B then we write x == rx' with Ix'i == 1. It holds that 00 00 P(x, t') == L rkZ~~)(t') == L rkzi,k) (x') k=O k=O is the Poisson kernel for the ball. That is, if f E C(8B) then r JaB P(x, t')f(t') da(t') == u(x) solves the Dirichlet problem on the ball with data f.
  • 175.
    164 A Degenerate Elliptic Boundary Value Problem PROOF Observe that ak - _ dk - dk-2 - _ (N +k 1) (N k-2 3) k- + - k- == (N+k-3)! {(N+k-l)(N+k-2)_~} (k-l)!(N-2)! k(N-l) N-l = (N : ~ ; 3) {N+ ~k - 2} < - C. (N k-l 3) + k - Here C == C(N) depends on the dimension, but not on k. With this estimate, and the estimate on the size of the zonal harmonics from the preceding lemma, we see that the series 00 L r kZi,k) (x') k=O converges uniformly on compact subsets of B. Indeed, for IxI ~ s < 1, x == rx', we have that flrkZi,k)(x')I:-s;'fsk ak :-s;'fskC.kN-2 =C'.'fs kk N- 2 <oo. k=O k=O a(E N -1) k=O a(E N -1) k=O Now let u(t') == L~=o Ym(t') be a finite linear combination of spherical harmonics with all Ym E Hk. Then to IxlkYm (1:1) == u(x) hN-I u(t')P(x, t') dt' = is the solution to the classical Dirichlet problem with data Y. Here P( x, t') is the classical Poisson kernel. On the other hand, k to hN-I u(t') ~ Ixl Zi,k) (x') dt' = hN-I Ym(t') ~ Ixl Zi,k) (x') dt' k = t 'f Ixl 1 m=O k=O k EN-l Ym(t')Z~~)(t') dt' p == L Ixlmym(x') m=O == u(x).
  • 176.
    Zonal Harmonics 165 Thus ( JEN-l [P(X' t') - L IXlkZ~(k)(t')] U(t') dt' == 0 k for all finite linear cominations of spherical harmonics. Since the latter are dense in L 2 ('E N _ 1 ) the desired assertion follows. I Our immediate goal now is to obtain an explicit formula for each zonal harmonic Z~~). We begin this process with some generalities about polynomials. LEMMA 6.7.5 Let P be a polynomial in lRN such that P(px) == P(x) for all p E O(N) and x E lR N . Then there exist constants co ... , cp such that p P(x) == L Cm (xi + ... + x7v)m. m=O PROOF We write P as a sum of homogeneous terms: q P(x) == L P£(x), £=0 where P£ is homogeneous of degree f. Now for any E > 0 and p E O(N) we have q q L E£ P£ (x) == L P£ ( EX ) £=0 £=0 == P(EX) == P(EpX) q == L P£(EpX) £=0 q == L E£ P£(px). £=0 For fixed x, we think of the far left and far right of this last sequence of equalities as identities of polynomials in E. It follows that P£ (x) == P£ (px) for every f. The result of these calculations is that we may concentrate our attentions on Pl.
  • 177.
    166 A Degenerate Elliptic Boundary Value Problem Consider the function 1 I- f Pf (X). It is homogeneous of degree 0 and still x invariant under the action of O(N). Then for some constant Cf. This forces g to be even (since Pi is a polynomial function); the result follows. I DEFINITION 6.7.6 Let e E EN-I. A parallel of E N - I orthogonal to e is the intersection of EN -1 with a hyperplane (not necessarily through the origin) orthogonal to the line determined by e and the origin. Notice that a parallel of EN -1 orthogonal to e is a set of the form {x' E E : x' . e == c} , -1 ::; C ::; 1. Observe that a function F on EN -1 is constant on parallels orthogonal to e E EN -1 if and only if for all p E 0 (N) that fix e it holds that F(px') == F(x'). LEMMA 6.7.7 Let e E EN -1. An element Y E Hk is constant on parallels of E orthogonal to e if and only if there exists a constant c such that Y == cZ(k). e PROOF Recall that we are assuming that N 2 3. Let P be a rotation that fixes e. Then, for each x' E E, we have Z~k)(X') == Z~~)(px') == Z~k)(px'). Hence Z~k) is constant on the parallels of E orthogonal to e. To prove the converse direction, assume that Y E H k is constant on the parallels of E orthogonal to e. Let el == (1,0, ... ,0) E E and let T be a rotation such that e == Tel. Define W(x') == Y(TX'). Then W E Hk is constant on the parallels of E orthogonal to el. Suppose we can show that W == cZ~~) (x') for some constant c. Then Y(x') == W(T-IX') == CZ~~)(T-Ix') == cZ~~: (x') == cZ~k) (x'). So the lemma will follow. Thus we examine Wand take e == el.
  • 178.
    Zonal Harmonics 167 Define P(x) == {Ox1kW(X/X I) if x f- 0 if x == O. Let p be a rotation that fixes e I. We write k P(x) == Lx~-jPj(X2, ... ,XN). j=O Since p fixes the powers of XI it follows that p leaves each Pj invariant. Then each P j is a polynomial in (X2, ... , XN) E lRN -I that is invariant under the rotations of lRN -I. We conclude that Pj == 0 for odd j and for j even. Therefore P(x) == COx~ + C2X~-2 R 2 + ... c2l x yl R k- 2l , for some f ~ k/2. Of course P is harmonic, so 6P == O. A direct calculation then shows that O == u/P == '"' [C2 pQ p + C2(p+1) {3] xIk-2(p+1)R2p, ~ p p where Qp == (k - 2p) (k - 2p - 1) and {3p == 2(p + l)(N + 2p - 1). Therefore we find the following recursion relation for the c's: Q pC2p C2(p+l) == -~ . In particular, CO determines all the other c's. From this it follows that all the elements of Hk that are constant on paral- lels of E orthogonal to el are constant multiples of each other. Since Z~~) is one such element of Hk, this proves our result. I LEMMA 6.7.8 Fix k. Let FyI (x') be defined for all x', y' E E. Assume that (i) FyI ( . ) is a spherical harmonic of degree k for every y' E E; (ii) for every rotation p we have Fpyl (px') == FyI (x'), all x', y' E E.
  • 179.
    168 A Degenerate Elliptic Boundary Value Problem Then there is a constant c such that FyI (x') == cZ~~) (x'). Exercise: Show that a function that is invariant under a Lie group action must be smooth (because the group is). Thus it follows immediately that the function F in the lemma is a priori smooth. PROOF OF THE LEMMA Fix y' E E and let p E O(N) be such that p(y') == y'. Then FyI (x') == Fpyl (px') == FyI (px'). Therefore, by the preceding lemma, (Here the constant Cyl may in principle depend on y'.) We need to see that for y~ ,y~ E E arbitrary, it in fact holds that Cy~ == Cy~. Let a E 0 (N) be such that a(y~) == y~. By hypothesis (ii), Cyl Z(~) (ax') == FyI (ax') 2 Y2 2 == Fay~ (ax') == Fy~ (x') == Cyl1 Z(~) (x') YI == Cyl1 Z aYII( ax ') (k) == Cyl1 Z(~) (ax'). Y2 Since these equalities hold for all x' E E, we conclude that That is, FyI (x') == cZ~~) (x'). I DEFINITION 6.7.9 Let 0 ::; Izl < 1,ltl ::; 1, and fix A > O. Consider the equation z2 - 2tz + 1 == O. Then z == t ± v!t2=1 so that Izl == 1. Hence
  • 180.
    Zonal Harmonics 169 Z2 - 2tz + 1 is zero-free in the disc {z : Izi < I} and the function Z f-t (1 - 2tz + z2) - A is well defined and holomorphic in the disc. Set, for 0 ~ r < 1, CX) (1-2rt+r 2)-A == LP{(t)r k . k=O Then pt (t) is defined to be the Gegenbauer polynomial of degree k associated to the parameter A. PROPOSITION 6.7.10 The Gegenbauer polynomials satisfy the following properties: 1. POA (t) == 1. 2. -it P{ (t) == 2APt~11 (t) for k 2: 1. 3. -itPIA(t) == 2APOA+ I (t) == 2A. 4. P{ is actually a polynomial of degree k in t. 5. The monomials 1, t, t 2, . .. can be obtained as finite linear combinations of POA, PIA, P2 .... A, 6. The linear space spanned by the P;'s is uniformly dense in 0[-1,1]. 7. pt (- t) == (-1) k pt (t) for all k 2: o. PROOF We obtain (1) by simply setting r == 0 in the defining equation for the Gegenbauer polynomials. For (2), note that CX) 2rA LP;+l(t)r k == 2rA (1 - 2rt + rzr(HI) k=O The result now follows by identifying coefficients of like powers of r. For (3), observe that (using (1) and (2»
  • 181.
    170 A Degenerate Elliptic Boundary Value Problem It follows from integration that PIA is a polynomial of degree 1 in t. Applying (2) and iterating yields (4). Now (5) follows from (4) (inductively) and (6) is immediate from (5) and the Weierstrass approximation theorem. Finally, CX) ~Pk '""' A (-t)r k == ( 1- 2r(-t) + r 2)-A k==O CX) == L pt(t)( -r)k k==O CX) == L(-l) kpt(t)r k . k=O Now (7) follows from comparing coefficients of like powers of T. I THEOREM 6.7.11 Let N > 2, A == (N - 2)/2, k E {a, 1,2, ...}. Then there exists a constant Ck,N such that Z y' ( x ') == (k) Ck,N PA(' . k X Y') . Exercise: Compute by hand what the analogous statement is for N == 2. (Recall that the zonal harmonics in dimension 2 are just cos kO / v:rr and sin kO / for v:rr k 2: 1.) PROOF Let y' E E be fixed. For x E lRN define By part (7) of 6.7.10, if k is even then m with 2m == k; also if k is odd then m P{(t) == L d2j+It2j+l with 2m + 1 == k. j=O
  • 182.
    Zonal Harmonics 171 In both cases, FyI (x) is then a homogeneous polynomial of degree k. For instance, if k is even then Fy'(x) = Ixl k Pk, (x. y') V V ')2 j = Ixl f;d 2m m Zj ( x· Y m = Ld Zj (lxI Z) m-j (X ' y,?j. j=O We want to check that the hypotheses of Lemma 6.7.8 are satisfied when FyI (X') is so defined. Once this is done then the conclusion of our Proposition follows immediately. Thus we need to check that FyI (x') is rotationally invariant and that FyI (.) is harmonic. If P E O(N) and x' E ~N-l then Fpyl(px') == Ix'lkpt (px' .PY') Ixl == Ix'i k p' (x' . y') k Ixl == FyI (x'). This establishes the rotational invariance. To check harmonicity, recall that the map x ~ Ix - (y' / s) 2 - N is harmonic 1 on jRN {y' / s} when N 2:: 3, s =1= 0, and y' E ~. Then, with A == (N - 2)/2, we have 2 N S 2-N y'1 I x--; - == [ (sx-y)·(sx-y) ] (2-N)/2 , , == [lsxl 2 - 2(sx) . y' + 1] (2-N)/2 A = [1-2(SIXI) C:I'Y') + (SIXI)Zr == [1-2rt+r 2 ]-' = f>klxlk P£ k=O C:I 'Y') , (6.7.11.1) Here we have taken r == slxl and t == (x/lxl) . y'. Thus the sum at the end of this calculation is a harmonic function of x in R s == {x E jRN : 0 < Ix I < 1/ s } for y' E ~ fixed.
  • 183.
    172 A Degenerate Elliptic Boundary Value Problem To see that each coefficient in the series is a harmonic function of x E jRN we proceed as follows. Fix o =1= Xo E jRN. Then, for every s such that 0 < s < 1/lxol, formula (6.7.11.1) tells us that the function X r--> ~ sklxlkP£ C:I .yl) is harmonic. Therefore this function satisfies the mean value property. By uniform convergence we can switch the order of summation and integration in the mean value property to obtain f sk k=O 1 a(8B(xo, r)) { J8B(xO,T) Ixl k P£ (~ . Y') Ixl da(x) = 1 a(B(xo, r)) { J8B(xO,T) k=O f sklxlk P£ (~ . Y') Ixl da(x) ~ = ~s k Ixol k ,k ( ~.y ') P Xo for 0 < r < Ixol. Since this equality holds for 0 < s < 1/lxol, the identity principle for power series tells us that a (B( 11 Xo, r )) 8B(xo,T) Ixl k Pk, ( x x,) da(x) -II . Y == Ixol k Pk , ( Xo Xo I' - I Y') for every 0 < r < Ixol. It is a standard fact (see [KR1, Ch. 1]) that any function satisfying a mean value property of this sort-for any Xo and all small r-must be harmonic. We conclude that Fy'(x) = Ixl k P£ (1:1 . yl) is harmonic. The theorem follows. I 6.8 Spherical Harmonics in the Complex Domain and Applications Now we give a rendition of "bigraded spherical harmonics" that is suitable for the study of functions of several complex variables. Our purpose is to return finally to the study of the regularity for the Laplace-Beltrami operator for the Bergman metric on the ball. Because of the detailed exposition that has gone
  • 184.
    Complex Spherical Harmonics 173 on before, and because much of this new material is routine, we shall perform many calculations in e2 only and shall leave several others to the reader. DEFINITION 6.8.1 Let HP,q be the space consisting of all restrictions to the unit sphere in en of harmonic (in the classical sense) polynomials that are homogeneous of degree p in z and homogeneous of degree q in z. Observe that PROPOSITION 6.8.2 The spaces HP,q enjoy the following properties: D( . )=d' 1{p,q= (p+q+n-l)(p+n-2)!(q+n-2)! 1. p,q,n - [me p!q!(n-l)!(n-2)!' 2. The space HP,q is U(n)-irreducible. That is, HP,q has no proper linear subspace L such that, for each U E U(n), U maps L into L. 3. If 11, ... , I D is an orthonormal basis for HP,q, D == D(p, q; n), then D H~,q ((, TJ) == L Ij (()Ij (TJ) j=1 reproduces HP,q. That is, if ¢ E HP,q, ( E E, then ¢(() = ~ H~,q((, TJ)¢(TJ) da(TJ)· 4. The orthogonal projection 1r p,q : L 2 (E) -+ HP,q is given by 1r p,q(f)(() = ~ f( TJ)H~,q((, TJ) da(TJ)· PROOF We leave the proofs of parts (1) and (2) as exercises. To prove (3), notice that if ¢ E HP,q then we may write ¢ == Ef=1 ajlj. Then ~ H~,q((,TJ)¢(TJ)da(TJ) ~ (~h(()h(TJ)) (~akfk(TJ)) da(TJ) = D . = ,L akfj(() ~ h(TJ)fk(TJ) da(TJ) ),k=1 D == L ajlj(() j=1 == ¢(().
  • 185.
    174 A Degenerate Elliptic Boundary Value Problem To prove (4), select 9 E L 2 (E). Then 7rp ,qg(() = 1 ~ g(1]) D L h(1])h(() da(1]) j=1 =~ (~g(1])h(1]) da(1])) !i(() so that 1rp,q maps £2 into 1i p ,q. By (3) it follow that 1r p,q 0 1rp,q == 1rp,q. Finally, 7rp,q is plainly self-adjoint. Thus 7rp,q is the orthogonal projection onto 1tp ,q i In order to present the solution of the Dirichlet problem for the Laplace- Beltrami operator 6 B, we need to define another special function. This one is defined by means of an ordinary differential equation. DEFINITION 6.8.3 Let a, b E IR and c > O. The linear differential equation x( 1 - x )y" + [c - (a + b + l)x] y' - aby == 0 (6.8.3.1) is called the hypergeometric equation. If we divide the hypergeometric equation through by the leading factor x( 1 - x) we see that this is an ordinary differential equation with a regular singularity at O. It follows (see [COL]) that (6.8.3.1) has a solution of the form (6.8.4) where ao =1= 0 and the series converges for Ix I < 1. Let us now sketch what transpires when the expression (6.8.4) is substituted into the differential equation (6.8.3.1). We find that 00 00 L ajx + - A j 1 (A + j)(A + j - 1 + c) - L ajx +j (A + j + a)(A + j + b) == 0, A j=O j=O which gives the following system of equations for determining the exponent A and the coefficients a j: aO A(A - 1 + c) == 0 aj(A + j)(A + j - 1 + c) - aj-l(A + j - 1 + a)(A +j - 1 + b) == 0, j 2:: 1. The first of these equations yields that either A == 0 or A == 1 - c.
  • 186.
    Complex Spherical Harmonics 175 First consider the case A == O. We find that (j - 1 + a) (j - 1 + b) aj == j(j _ 1 + c) aj-I, j == 1,2, .... Setting ao == 1 we obtain a(a + 1) ... (a + j - 1)b(b + 1) ... (b + j - 1) aj == j! c(c + 1) ... (c + j - 1) r(a + j)r(b + j)r(c) - j!r(a)r(b)r(c + j) , where r is the classical gamma function (see [CCP]). Thus for A == 0 a particular solution to (6.8.3.1) is ~ r(a + j)r(b + j)r(c) xj y(x)=F(a,b,c;x)==~ f(a)r(b)f(c+j) . j! Now consider the case A == 1 - c. Arguing in the same manner, if c =1= 2,3,4, ... we find (setting ao == 1 again) that a particular solution of the differ- ential equation is given by y ( x) == F (1 - c + a, 1 - c + b, 2 - c; x ) == x 1- c ~ r(1 - c + a + j)f(1 - c + b + j)r(2 - c) . xi ~ r(1-c+a)r(I-c+b)r(2-c+j) j! We leave as an exercise the following statement: by checking the asymptotic behavior of F (1 - c + a, 1 - c + b, 2 - c; x) at the origin, one may see that this function is linearly independent from that found when A == O. The functions F are known as the hypergeometric functions. See [ERD] for more on these matters. In the case that c == 2, 3, 4, ... then a modification of the above calculations (again see [COL, p. 165]) gives rise to a solution with a logarithmic singularity at O. Define s~,q(r) = r p+q F(p, q,p + q + n; r 2 ) • F(p,q,p+q+n;l) We want to show that Sh,q is Coo on the interval (-1, 1) and continuous on [-1, 1]. We will make use of the following classical summation tests for series. For more on these tests, see [STR].
  • 187.
    176 A Degenerate Elliptic Boundary Value Problem LEMMA 6.8.5 DINI-KUMMER For j == 1,2, ... let aj, bj > 0 and put If lim infj -..+ oo D j >0 then the series L:: j aj converges. REMARK Notice that if bj == 1 for all j then this test reduces to the ratio test. I PROOF By hypothesis, we may find a {3 > 0 and an integer jo >0 such that if j 2:: jo then D j > {3. Thus a'+l (3 < b· - J b·+ 1 - ) - J a' ) so that O<a'<)) - b·+ 1a'+1 a·b· ) ) (6.8.5.1) ) (3 for j 2: JOe Now By our hypothesis, ajb j > aj+l bj +1 > 0 for all j 2:: JOe Therefore we may set , == limj-..+oo ajb j • The number, is finite and nonnegative. Using (6.8.5.1) we have 1 L: aj < 7J L:(ajbj - aj+l bj+l) 00 00 )=)0 )=)0 < 00. I COROLLARY 6.8.6 RAABE If aj > 0 for j == 1,2, ... , then we set Qj == j(1 - aj+l/aj). If it holds that liminf Qj > 1 (6.8.6.1 ) then Lj aj converges.
  • 188.
    Complex Spherical Harmonics 177 PROOF Let b1 == 1 and bj == j - 1 for j 2:: 2. Then Qj - 1= j (1 - a~;1 )- 1 - (J- 1) - J - _ . . aj+l aj where we are using the notation of the Lemma. Then lim infj -+ oo Qj > 1 if and only if lim infj -+00 D j > O. I PROPOSITION 6.8.7 Take b . ) == ~ r(a + j)r(b + j)r(c) . x j F( a, ,c,x ~ f(a)r(b)f(c+j) j! as usual. If Ixl == 1 and c > a + b then the series converges absolutely. PROOF We want to apply Raabe's test. Thus we need to calculate the terms Qj. Denote the absolute value of the jth summand by aj. Then, since == 1, Ixl we have aj+l _ (a+j)(b+j) aj (j + 1) (c + j) Set c == a + b + 8, where this equality defines 8 > O. Then aj+l ab + aj + bj + j2 aj (j + 1) (a + b + 8 + j) == 1 _ 8j + a + b + 8 + j - ab (j + 1) (a + b + 8 + j) -1- (1+8)j +0(1/. 2 ) - (j + 1) (a + b + 8 + j) J . As a result, Qj == j (1 _a~;1 ) =J .( (1 + 8)j ( / U+8)(a+b+8+j) +0 1 J '2)) and lim infj -+ oo Qj == 1 + 8 > 1. Thus Raabe's test implies our result. I It follows from the Proposition that S!:"q is continuous on [-1, 1] and Coo on (-1, 1). We need to know when the function is in fact Coo up to the endpoints.
  • 189.
    178 A Degenerate Elliptic Boundary Value Problem If either p == 0 or q == 0 then the order-zero term of the hypergeometric equation drops out. One may solve this hypergeometric equation for solutions of the form ex> Laj(x - l)j+,. (6.8.8) j=O The solutions are real analytic near 1; in particular they are smooth. On the other hand, if both p and q are not zero, then the hypergeometric equation never has real analytic solutions near 1 as we may learn by substituting (6.8.8) into the differential equation. In fact the solutions are never where n is the en, dimension of the complex space that we are studying. REMARKS Gauss found that . r(c)r(c-a-b) x-+l hm_F(a,b,c;x)=q c - a )f( c- b)' Also, one may substitute the function y= { (u-x)f.-I¢(u)du, J[O,l] where ~ is a constant to be selected, into the hypergeometric equation. Some calculations, together with standard uniqueness theorems for ordinary differential equations, lead to the formula F(a b C' x) == r(c) , , , r(b)r(a) 10 1 t b- I (1 - t)a-b-l (1 - xt)-a dt for 0 < x < 1. It is easy to see from this formula that F cannot be analytically continued past 1. I As a consequence of our last proposition, SM (r) = rp+q F(p, q,p + q + n; r 2 ) n F(p,q,p+q+n;l) is well defined and Coo when 0 ~ r < 1. THEOREM 6.8.9 Let f E 1t p ,q. Then the solution of the Dirichlet problem 6BU == 0 on B { U == f on 8B == E is given by for ( E L: and 0 ~ r ~ 1.
  • 190.
    Complex Spherical Harmonics 179 PROOF To simplify the calculations, we shall prove the theorem only in di- mension n == 2. Let F o(z) == zf z1 and fo == F oIaB· Then the ordinary Laplacian 6=4(~+~) {)ZI{)ZI {)Z2{)Z2 annihilates Fo. Recall that 1i p ,q is irreducible for U(2). This means that {f 0 a }aEU(2) spans all of 1t p ,q (for if it did not it would generate a non- trivial invariant subspace, and these do not exist by definition of irreducibility). Furthermore, 6 B commutes with U(2) so if we prove the assertion for fo, Fo then the full result follows. For z E B we set r == Izl. Then r 2 == ZlZI + Z2Z2. We will seek a solution of our Dirichlet problem of the form u(z) == g( r 2 )zf Z2 q. Recall that 4 n {)2 6 B == - + 1 (1 -lzI2) " (8·· - n ~ 1,) z·z·) - - . 1,) {)z.{)z. i,j=1 1, ) We calculate 6BU. Now {) {)z. u == Zjg ,(r 2) [zlP z2 + 9 (r 2) zlP -q] ( -q -1) U2j q Z2 ~ ) and Therefore L2 {)2 u oz.oz = {2 L [g"(r 2 )l ziI 2 + g'(r 2 )] zfzi }+ g'(r )pziZi + g'(r )qzfzi 2 2 i=1 1, Z i=1 == zf z1 [g"(r 2)r2 + (2 + p + q)g'(r 2)] . By a similar calculation we find that 2 {)2 u L i,j=1 ZiZj~ ZiZj = zfzi [r 4 gll (r 2 ) + (p + q + 1)r2 g'(r 2 ) + pqg(r 2 )] •
  • 191.
    180 A Degenerate Elliptic Boundary Value Problem Substituting these two calculations into the equation 6 Bu == 0 (and remember- ing that n == 2), we find that o == 6 Bu == -4 (1 - r 2)zfzi [g"(r 2)r 2 + (2 + p + q)g'(r 2)] 2 +1 4 - - 2 (l-r2)zfzi[g"(r2)r4+(p+q+l)r2g'(r2)+pqg(r2)] +1 = 2 ~ 1(1 - 2 2 2 r 2)zf zf {r (1 - r )g" (r ) + [(p + q + 2) - (p + q + l)r 2] g'(r 2) - pq g(r 2)}. Therefore, if a solution of our Dirichlet problem of the form of u(z) == g(r2)zfzi exists, then 9 must satisfy the following ordinary differential equation: We may bring the essential nature of this equation to the surface with the changes of variables t == r 2 , a == p, b == q, C == P + q + 2. Then the equation becomes t (1 - t) g" + [c - (a + b + 1)t] g' - ab 9 == O. This, of course, is a hypergeometric equation. Since u is the solution of an elliptic problem, it must be Coo on the interior. Thus 9 must be Coo on [0, 1). Given the solutions that we have found of the hypergeometric equation, we conclude that g(t) == F(p, q,p + q + n; t). Consequently, F(p,q,p+q+n;r2) p_q u () == z z z F(p, q, p + q + n; 1) 1 2 == S~,q(r)rp+q f((). I THEOREM 6.8.10 ~ r < 1 and 1], ( E aBo Then the Poisson-Szego kernel for the ball Let 0 B ~ en is given by the formula 00 P(r1],() == L S~,q(r)H~,q(1J,(). p,q=O PROOF Recall that if 9 E C(aB), then G(z) == { JaB P(z, ()g(() du(() on B g(z) on 8B
  • 192.
    Complex Spherical Harmonics 181 solves the Dirichlet problem for 6 B with data g. Recall also that Hh,q (1], () is the zonal harmonic for 1i p,q. Let us first prove that the series in the statement of the theorem converges. An argument similar to the one we gave for real spherical harmonics shows that Here D(p, q; n) is the dimension of 1ip ,q. Clearly, D( . n) < dim 1ip+q == (2n + (p + q) - 1) _ (2n + (p + q) - 3) p,q, - 2n p+q p + q- 2 ~ C . (p + q + 1)2n. Recall that Sp,q(r) = r p +q F(p, q,p + q + n; r 2 ) n F(p,q,p+q+n;l) and observe that F(p, q, p + q + n; r 2 ) is an increasing function of r. Thus Putting together all of our estimates, we find that Summing on p and q for 0 ~ r < 1 we see that our series converges absolutely. It remains to show that the sum of the series is actually the Poisson-Szego kernel. What we will in fact show is that for 1] E 8B and 0 < r < 1 we have for every f E C(8B). But we already know that this identity holds for f E 1ip ,q. Finite linear combinations of Up,q 1i p ,q are dense in C( 8B). Hence the result follows. I Now we return to the question that has motivated all of our work. Namely, we want to understand the lack of boundary regularity for the Dirichlet problem for the Laplace-Beltrami operator on the ball. As a preliminary, we must introduce a new piece of terminology. DEFINITION 6.8.11 Let U ~ en be an open set and suppose that f is a continuous function defined on U. We say that f is pluriharmonic on U if for
  • 193.
    182 A Degenerate Elliptic Boundary Value Problem every a E U and every bEen, it holds that the function (~f(a+(b) is harmonic on the open set (in C) of those ( such that a + (b E U. A function is pluriharmonic if and only if it is harmonic in the classical sense on every complex line ( ~ a + (b. Pluriharmonic functions arise naturally because they are (locally) the real parts of holomorphic functions of several complex variables (see [KRl, Ch. 2] for a detailed treatment of these matters). Remark that a C 2 function v is pluriharmonic if and only if we have 2 (8 /8z j 8z k )v == 0 for all j, k. In the notation of differential forms, this condi- tion is conveniently written as 8av == o. Now we have THEOREM 6.8.12 Let f E CX(8B). Consider the Dirichlet problem 6BU == 0 on B { ul aB == f on 8B. Suppose that the solution u of this problem (given in Proposition 6.5.2) lies in COO(B). Then u must be of the form That is, u must be pluriharmonic. The converse statement holds as well: if f is the boundary function of a pluriharmonic function u that is continuous on 13 and if f is Coo on the boundary, then U E Coo (B). PROOF Now let v E C(B) and suppose that v is piuriharmonic on B. Let vlaB == f· Then the solution to the Dirichlet problem for 6 B with data f is in fact the function v (exercise). But then v is also the ordinary Poisson integral of f. Thus if f E COO(8B) then v E COO(B). This proves the converse (the least interesting) direction of the theorem. For the forward direction, let f E Coo (8B) and suppose that the solution u of the Dirichlet problem for 6 B with data f is Coo on B. We write f == LYp,q, p.q where each ~,q E 1i p ,q. We proved above that p,q
  • 194.
    Complex Spherical Harmonics 183 and also that the solution to the Dirichlet problem for 6 B is given by u(r7J) J P(r7J,()f(()da(() L L JS~'·q' (r)H~',q' (71, ()Yp,q(() da(() p',q' p,q (ortho~nality) L s~,q (r) JH~,q (71, ()Yp,q( () da( () p,q L S~,q(r)Yp,q(1J). p,q Therefore if P f == u is smooth on 13 then we may define for each p, q the function Qp,q(r) = { (P J)(r()Yp,q(() da(() JaB == S~,q(r)IIYp,qIl2. Thus if P f is Coo up to the boundary then, by differentiation under the integral sign, Qp,q (r) is Coo up to r == 1. But recall that Sp,q(r) = r p+q F(p, q, p + q + n; r 2 ) n F(p,q,p+q+n; 1) is smooth at r == 1 if and only if either p == 0 or q == O. So the only nonvanishing terms in the expansion of f are elements of 1iP 'o or 1t0 ,q. That is what we wanted to prove. I We leave it to the reader to prove the refined statement that if a solution u to the Dirichlet problem is cn up to the closure, then u must be pluriharmonic. The analysis of the Poisson-Szego kernel using bigraded spherical harmonics is due to G. B. Folland [FOL]. We thank Folland for useful conversations and correspondence regarding this material. An analysis of boundary regularity for the Dirichlet problem of the Laplace- Beltrami operator on strongly pseudoconvex domains was begun in [GRL]. Interestingly, these authors uncovered a difference between the case of dimen- sion 2 and the case of dimensions 3 and higher.
  • 195.
    7 The a-Neumann Problem IntroductoryRemarks The a-Neumann problem is a generalization to several complex variables of the Cauchy-Riemann equations of one complex variable. While the groundwork for this problem was laid by D. C. Spencer, Charles Morrey, P. Conner, and others, it was J. J. Kohn [KOHl] who tamed the problem. It is the key to many of the important techniques of the function theory of several complex variables. The a-Neumann problem was also one of the first non-elliptic problems for which a regularity theory was established. Whereas in an elliptic problem of or- der m we have learned that the solution is m degrees smoother than the data, the a-Neumann problem does not exhibit the maximal degree of smoothing. Indeed the a-Neumann problem is subelliptic rather than elliptic; roughly speaking, this means that the solution gains a predictable number of derivatives, but that number is less than the degree of the partial differential operator in question. Subelliptic regularity was quite unexpected in the early 1960s when it was first discovered (see [KOH 1]). It cannot be treated by a naive application of the theory of pseudodifferential operators or by other classical techniques. The monograph [GRS] describes a special calculus of pseudodifferential operators designed for the study of the a-Neumann problem on an important special class of domains; indeed, it is the same special class that we shall study here. The method that we present here is not Kohn's original, which is rather com- plicated, but is a simpler method, called elliptic regularization, that he developed later in collaboration with Nirenberg (see [K02], [FOK] and references therein). The monograph [FOK] is the canonical reference for matters related to the a- Neumann problem. However, the presentation there is perhaps too complicated for our purposes, since it is in the setting of an arbitarary metric structure on an almost complex manifold. In an effort to maintain simplicity, we shall formu- late and solve the a-Neumann problem only on a smoothly bounded strongly pseudoconvex domain in en. We do follow the basic steps in [FOK], but by specializing we can provide considerably more detail and context.
  • 196.
    Introduction to HermitianAnalysis 185 Those interested in the most general setting for the a-Neumann problem will, after reading the material here, be well prepared to consult [FOK] and other more recent sources (see, for instance, [RAN] and [CATl]-[CAT3]) on the a- Neumann problem. 7.1 Introduction to Hermitian Analysis As previously mentioned, we shall be working strictly on domains in Cn . We may thus bypass a certain amount of formalism by relying on the standard coordinates in space. If P E Cn ~ IR.2n then the tangent space to IR.2n at P is spanned by 8 8 8 8 8Xl ' 8Yl ' ... , 8x n ' 8Yn . It clearly has (real) dimension 2n. We set 8 1[8 .8] --- 8z j - 2 --l- 8xj 8Yj 8 = 2 + .8] 8zj 1[8 8xj z8Yj . Then we let Tl,o denote the complex linear space spanned by and ro,l == Tl,O denote the complex linear space spanned by 8 8 8z , ••• , 8z . l n The complexified tangent space is then It obviously has complex dimension 2n. The complexified tangent space is, in a natural sense, the tensor product of the real tangent space with C. However, we shall have no use for this formalism (see [WEL] for more on this point of view). There is associated to the complexified tangent space a complexified cotangent space. We set dZ j== dXj + idYj dZj == dXj - idYj.
  • 197.
    186 The a-Neumann Problem A trivial calculation shows that dZj'8~j)=1, dz j , 8~j ) = 0, dzj , 8~j ) = 0, dzj , 8~j ) = 1. If a == (aI, ... , as) is a multiindex, then we set and dz a == dZal 1 dZa2 1 ... 1 dzas . In this context the magnitude of the multiindex is lal == s. (The use of mul- tiindices here is rather at odds with some earlier uses in this book, but should lead to no confusion.) Then 1 p,q denotes the space of forms of the type W == L aa(3dz a 1 dz(3. lal=p,I(3I=q It is an exercise in linear algebra to see that if 1 r denotes the space of all classical (real variable) r- forms on en ~ ]R2n, then IT = (J) Ip,q. p+q=r Next we tum to the exterior derivative. Let W == L aa,(3dz a 1 dz(3 a,(3 be a differential form. The exterior derivative d may be written as d == 8 + 8, where 8w = ' " ~ 8aO!,{3 dz· / dzO! / dz{3 L...J L...J 8z. J a,(3 j=1 J and 8w = Lt 8;; :{3 dZ j / dzO! / dz{3. a,(3 j=1 J Clearly, _ Ip,q IP,q+l and 8: -+ . Since 0== d2 == (8+ 8)(8+ 8),
  • 198.
    Introduction to HermitianAnalysis 187 we see by counting degrees that 8a == -a8. We define a Hermitian inner product on CTp (cn) as follows: and / ~~) ==0 for all j, k. 8zj ' 8 Zk p In particular, we see that is an orthogonal decomposition. There is a corresponding inner product on covectors. We have and for all j, k. By functoriality, if cP, 'l/J are both (p, q)-forms then cP == L jII=p cPIJdz I / dz J and 'l/J == L 'l/JIJdz I / dz J , III=p IJj=q IJI=q then (cP, 'l/J)p == 2p +q L cPIJ(P) . ifIJ(P). (7.1.1) I,J It follows in particular that if cP is a form of type (p, q) and 'l/J is a form of type (p', q') with (p, q) =1= (p', q'), then cP is orthogonal to 'l/J. When cn is identified with }R2n then the volume form, in real coordinates, is It is more convenient in complex analysis to use complex coordinates: since dXj / dYj == (i/2)(dzj 1 dzj ), we find that dV = (~) n dz I / dEl / ... / dZn / dzn .
  • 199.
    188 The a-Neumann Problem We now use the volume form to produce an inner product on forms that is consistent with the inner product that we have defined on covectors. Let 0 ~ en be a domain. Then, with ¢, 'l/J as above, (</J, ~)!l = L(</J,~) p dV. More explicitly, (</J, ~)!l = 2p +q 1Ln I,J </JIJ'¢IJ dV. We next define certain linear spaces of forms with coefficients that satisfy regularity properties. Set Ip,q = Ip,q(n) == {¢ == L III=p ¢IJdz I Idz J : ¢IJ E 0 00 (0) for all I'J}; IJI=q I cp,q == { ¢ == III=p ¢ I J dz I 1 dz : ¢ I J '"' L..J -J E 0 c (n) for all I, J } ; 00 IJI=q Hf,q == {¢ == L ¢ III=p I J I J dz dz : ¢ IJ E H s (0) for all I, J} . IJI=q Here H s == HS is the standard Sobolev space of functions. In what follows, when we write I~,q (0) or I~,q (U n 0) then we interpret the closure bar on the domain to mean that the support of the form is allowed to intersect the boundary. Thus the support is compact in the closure. The final piece of elementary mathematics that we need is the Hodge star operator. First consider the context of real analysis on jRN. Let , == dXl 1 . .. 1 dXN be the volume form, 1 k the space of k-altemating forms, and I~ the k- covectors at P E jRN. Define * : I p k -+ IN-k p by the equality (7.1.2)
  • 200.
    The Formalism ofthe [) Problem 189 for all 'l/J E I~. Now that we have defined the * operation (pointwise) on covectors, we extend it to forms by setting Example: Here is an example of the utility of the * operator in a classical setting. Let o == {x E jRN : r(x) < O} be a smooth domain. We assume that dr =1= 0 on ao. We may replace r by r jldrl so that Idrl == 1 on ao. Then the area form on ao is *dr. (Exercise: use Green's theorem.) 0 Now let us tum our attention to en. Define p,q In-q,n-p *: I p -+ p by the identity for 1/J E I~q. Likewise p,q In-p,n-q *: I -+ is defined by (1/J, ¢) , == 1/J / (*¢), where (1/J, ¢) is the function of z given by (¢,1/J) (z) == 2p +q L ¢IJ(Z)1/JIJ(Z). III=p,IJI=q 7.2 The Formalism of the [) Problem We want to study existence and regularity for the partial differential equation [)v == f. (7.2.1) We shall restrict attention to the case that v is a function and f a (0, 1)-form. If v exists then we may apply [) to both sides of the equation to obtain o == [)2 v == [) f.
  • 201.
    190 The a-Neumann Problem Thus a necessary condition for the equation (7.2.1) to have a solution is that aI == O. This point bears a moment's discussion. In C l , the Cauchy-Riemann equations for C l functions v == ~ + iT) and I == u + iv can be written either as ~ (8~ 2 8x _8T)) == 8y u and ~ (8T) + 8~) == v 2 8x 8y or as 8v == I 8z . In either notation, the number of unknown functions is in balance with the number of equations. However, in dimensions two and greater the situation is different. Write 1== Ildz l + ... + Indzn. Then our system (7.2.1) is 8v -8- == Ij, j == 1, ... , n, Zj and the number of equations (n) exceeds the number of unknown functions ( I). Passing to real notation results in no improvement. We call such a system overdetermined. Algebraic considerations (or dimension) suggest that some compatibility conditions will be needed on the data in order for the system to be solvable. And indeed that is what we have discovered. (A formal theory of overdetermined systems of partial differential equations has been developed by D. C. Spencer; see for instance [SPE].) There is also a problem with uniqueness for solutions of (7.2.1). For if u is one solution to this equation and h is any holomorphic function, then u + h is also a solution. In order to obtain a workable theory for this partial differential equation, we shall need a canonical method for choosing a "good" solution. For this we shall exploit the metric structure introduced in the last section. First let us see that the a operator is elliptic in a natural sense. When we are dealing with an operator onforms, a certain amount of formalism is ultimately necessary. However, the a operator acting on functions may be thought of as an n-tuple az az comprised of the operators 8/ l , ••. ,8/ n . Each of these is plainly elliptic on a suitable copy of C, and they span all directions. Hence so is the operator a itself elliptic. Now we tum to the question of ellipticity on forms. Let 0 ~ be a domain. cn Think of E == EP,q as the vector bundle of (p, q) covectors over O. Then a differential form w of type (p, q) is a section of this vector bundle: we write W E r(E). Letting F == EP,q+l, we then have a:r(E) ~ r(F). Fix Z E O. The symbol of aassigns to each covector T) at Z a linear mapping
  • 202.
    The Formalism ofthe [) Problem 191 This is done as follows: It is elementary to construct a scalar-valued function p such that p( z) == 0 and dp( z) == 7] Uust use Tayor series-or even the funda- mental theorem of calculus). If J.L E E z, we let jj be a local section of E such that jj( z) == J.L Uust work in a neighborhood of z over which E is trivial). We define a([), 7])J.L == [)(p. jj) Iz· The reader should check that for a classical first-order partial differential op- erator acting on functions, this definition is consistent with the one discussed in Chapters 3 and 4. Of course, in the case of functions, the vector bundles E and F are just 0 x C. With this definition of symbol, we now explicitly calculate the symbol of 8. With 7], p, J.L as in the definition we have Here ITo, 1 is the projection of a I-form into 10,1. We see that a ([), 7] ) ( . ) == ITo, 17] 1 ( . ). (7.2.2) Now, in the present g~neral setting, an operator is said to be elliptic if the complex a(8,TJ) F O ---+ E Z ---+ Z is exact, that is, if a([), 7]) is injective. In the case that p == 0, q == 1, that is, when [) is acting on functions, it is then clear that [) is elliptic. When [) is acting on forms of higher order, we must speak of ellipticity of a complex. Namely, a sequence r(E) ~ r(F) ~ r(G) is called elliptic if the induced sequence a(Dt,TJ) F a(D2 ,TJ) G Ez ---+ Z ---+ Z is exact at Fz-that is, if the kernel of the second mapping equals the image of the first. We invite the reader to check that the [) complex is elliptic (or see [FOK, pp. 10-11] for further details). Let us now discuss the formal adjoint of the 8 operator. We work on a domain 0 ~ Cn . If we think of [) : Ip,q ---+ Ip,q+l then the formal adjoint {) : I~,q+ 1 ---+ I~,q is defined by the relation
  • 203.
    192 The a-Neumann Problem for all 1jJ E I~,q. Here the inner product is the Hermitian one for forms that we introduced in the last section. It is easy to see that the operator r() is well defined. Let us calculate r() when p == q == O. Thus we are looking at [) acting on functions and sending them to (0,1 )-forms. If 1jJ is a function then of course Then, for ¢ a (0, 1)-form, we have ({)¢, 1/J) == (¢, [)1jJ ) = (~¢jdZj, ~ 8~j ~dZj) Now we can perform integration by parts in each of these integrals; because the function 1/J is compactly supported, the boundary terms in the integration by parts vanish. The last line therefore equals Comparing the far left and far right sides of our calculations, and using the fact that C~ functions are dense in L 2 ( 0), we find that Exercise: Check that for [) operating on general (p, q)-forms, the adjoint iJ is '19¢ = 2(-I)P+! L I,H,J,k ttH 8/ Zk IJ dz I Idz H , where ttH is the sign of the permutation changing (k, hI, ... ,hq ) into J = (j I , ... ,j q + I ) .
  • 204.
    The Formalism ofthe [) Problem 193 One checks that [jr() + r()[) is elliptic as an operator just because the [j complex is elliptic. In setting up the [j-Neumann problem, a principal task for us is to compare the formal adjoint r() of [j with the the Hilbert space adjoint [j*. Recall that if HI, H 2 are Hilbert spaces and L : HI ----+ H 2 is a (not necessarily bounded) linear operator defined on a dense subset of HI, then the Hilbert space adjoint L * is defined on the set dom L * == {¢ E H2 : 3c > 0 with I (¢, L1/J)1t2 I :::; ell 1/J II1t 1 V 1/J E dom L} . Then the map is linear and satisfies I(¢, L1/JI1t2I :::; ell1/JII1t1. By the Hahn-Banach theorem, the functional extends to a bounded linear functional on all of H I with the same bound. Therefore the Riesz representation theorem guarantees that there is an element G.¢ E HI such that for all 1/J E dom L. We set L * ¢ == G.¢. If our Hilbert spaces are L 2 spaces, then the operator [) is densely defined on I~,q. We wish to determine the domain of [j*, and to relate [j* to r(). As a first step we prove the following lemma: LEMMA 7.2.3 Let ¢,1/J E Cgo(IR~+I) (that is, the supports of these functions may intersect the boundary). Let the partial differential operator L be given by where r is the downward (negative) normal coordinate to IR N == aIR~+I and aj, b are functions. Then where L' is the formal adjoint for L that is determined, as usual, by inner product with functions that are compactly supported in IR~ + I .
  • 205.
    194 The a-Neumann Problem PROOF Now (L¢, 1/;) = 1 (2: lR + + 1 N N , )=1 fJ¢ aj ~ ut)· fJ¢) + b~ Ur - 1/; dt dr == ~ ~1N . )=1 ~N+l + fJ¢- aj~1/;dtdr utj + 1 jRN+l + fJ¢- b~1/Jdtdr ur =- f., J~N+l ¢J ",0 j=1 r mo.+) ut· (aj:¢) dt dr + r J~N mo." ¢Jb1fIO r=-oo dt - JjRN+l ¢J ur (b1f) dt dr. r ~ + Notice that in the first group of integrals we have used the fact that the tj directions are tangential, together with the compact support of 1/J, to see that no boundary terms result from the integrations by parts. Now the last line is r N JlR+ +1 ¢J [- f., ",0 ,ut)' (aj¢) - ~ (b¢)] ur dt dr + r JjRN [¢Jb1f] r =0 dt )=1 -= (¢J, L' ¢) + r JlR N [¢Jb1flr=o dt. That completes the proof. I A simple computation shows that N N a(L, 2: 7]j dtj + 7]r dr ) == 2: 7]jaj (t, r) + 7]r b(t, r). j=1 j=1 In particular, a (L, dr) == b and the integral from our lemma satisfies r JlRN [¢Jb1f] r =0 dt = r JalRN+1 (cy( L, dr )¢J, ¢) dt. + The arguments that we have presented are easily adapted from the half-space to a smoothly bounded domain (just use local boundary coordinate patches). The result is that (Lf,g) = (J,L'g) + r Jan (cy(L,dr)f,g). The arguments also are easily applied to partial differential operators on a vector
  • 206.
    The Formalism ofthe [) Problem 195 bundle (we leave details to the interested reader). Thus, in particular, f (&¢J, 1/J) = (¢J, 'I91/J) + Jan (u( &, dr )¢J, 1/J) (7.2.3.1) and ('19 ¢J, 1/J) = (¢J, &1/J) + f (u ( '19 , dr)¢J, 1/J) . (7.2.3.2) Jan Set Then we have PROPOSITION 7.2.4 The linear space vp,q is equal to the space of those ¢ E Ip,q (0) such that a( rJ, dr)¢ == 0 on 00. Moreover, [)* == rJ on vp,q. PROOF Let ¢ E vp,q and 1/; E I~,q-l (0). According to formula (7.2.3.2) above we have ([)* ¢, 1/;) == (¢, [)1/; ) = ('I9¢J,1/J) - f (u('I9,dr)¢J,1/J) Jan == (rJ¢, 1/;) . (7.2.4.1) In the last equality we have used the fact that 1/; vanishes on an to make the integral vanish. But I~,q-l is dense in H6,q-l. Therefore ([)*¢,1/;) == (rJ¢,1/;) for all 1/; E H6,q-l; that is, [)* ¢ == rJ¢ for all ¢ E vp,q. But then (7.2.3.1) implies that f (u('I9, dr)¢J, 1/J) = 0 Jan for ¢ E v p,q,1/; E IP,q-l. Therefore a(rJ,dr)¢ == 0 on 00. We have proved that Vp,q <;;:; {¢J E IP.q (0) : u('I9, dr)¢J = 0 on aD.} . Conversely, let ¢ E /P,q(O) satisfy a(rJ, dr)¢ == 0 on 00. From the equation (¢J, &1/J) = ('19 ¢J, 1/J) - f (u ( '19, dr)¢J, 1/J) Jan
  • 207.
    196 The a-Neumann Problem for'¢ E I~,q-l (0), we learn that (¢, 8'¢) == ({)¢, '¢) and therefore I (¢, 81/J) I ~ II 19¢ I L2111/J I L2. Therefore ¢ E dom [)* and we see that a* ¢ == 19¢. That proves the proposition. I 7.3 Formulation of the a-Neumann Problem Let L be a uniformly elliptic partial differential operator of order m such as we studied in Chapters 4 and 5. Classically, the heart of the study of an elliptic boundary value problem for L is a coercive estimate of the form L IID ullo ~ c (II Lu llo + lI ullo) . Q IQI~m However, the condition that we discovered in the last proposition of Section 7.2, namely that a(19, dr)¢ == 0 on 00, is not a coercive boundary condition-it does not satisfy the Lopatinski criterion. We shall need to develop a substitute for the classical approach, and that will require building up some machinery. We begin with some elementary functional analysis: LEMMA 7.3.1 FRIEDRICHS Let H be a Hilbert space equipped with the inner product ( . , . ) and corre- sponding norm II II. Let Q( . , . ) be a densely defined hermitian form on H. Let V be the domain of Q and assume that for all ¢ E V. Assume also that V itself is a Hilbert space when it is equipped with the inner product Q. Then there exists a canonical self-adjoint map F on H associated with Q such that 1. dom F ~ V; 2. Q( ¢, 1/J) == (F¢, 1/J) for all ¢ E dom F,1/J E v. PROOF After rescaling, we may assume that c == 1. Let Q E H and consider the linear functional on V given by /-LQ : V :1 'ljJ t-t (1/J, Q) .
  • 208.
    Formulation of thea.Neumann Problem 197 We have l/La(1jJ) I ~ Ilall·II1jJ11 ~ Iiali. Q(1jJ,1jJ)1/2. Therefore the Riesz representation theorem implies the existence of an element <Po E V such that (1jJ, a) == /La (1jJ) == Q(1jJ, cPa), that is, (a,1jJ) == Q(<Pa, 1/J). Define T :H :1 a ~ cPa E V. Then IITal1 2 ~ Q(Ta, Ta) == (a, Ta) ~ lI all·IITall· It follows that IITall ~ Iiall and T is bounded as an operator from H to H. The operator T is injective since T a == 0 implies that (a,1/;) == Q(Ta,1/;) == 0 for every 1/; E V and V is dense in H. Furthermore, T is self-adjoint because (Ta, j3) == (j3, Ta) == Q(Tj3, Ta) == Q(Ta, Tj3) == (a, Tj3). Next, set U == range T ~ V and define F == T- 1 : U ----+ H. By the equality Q(Ta, 1/;) == (a,1/;) we obtain Q(j3, 1/J) == (F j3, 1/J) for 1jJ E V, /3 E U. That completes the proof. I
  • 209.
    198 The a-Neumann Problem Exercise: Show that U is dense both in V and in H. (Hint: Use the fact that T is self-adjoint.) We intend to apply the Friedrichs lemma to the 8-Neumann problem. To this end, we introduce the following notation: 1. Let H == HC,q == {(p, q)-forms with £2 coefficients on o}. 2. Let Q( ¢, 1/;) == (8¢, 81/;) + (r13¢, 'l31/;) + (¢, 1/;). 3. Let V == vp,q == the closure of vp,q in the Q-topology. Now we have to do some formal checking: There is a natural continuous inclusion of vp,q in HC,q. We will see that this induces an inclusion of vp,q in HC,q. Let {¢n} be a Q-Cauchy sequence in vp,q. By definition of Q, we see that {¢n}, {'l3¢n}, and {8¢n} are Cauchy sequences in HC,q (i.e., in the £2 topology). Let ¢ be the £2 limit of {¢n}. When interpreted in the weak or distribution sense, 8 and 'l3 are closed operators. Hence we have and If ¢ == 0 in £2 then Q(¢,¢) == limQ(¢n,¢n) == lim [(¢n,¢n) n n---+oo + (8¢n,8¢n) + ('l3¢n,'l3¢n)] == (¢, ¢) + (8¢,8¢) + ('l3¢, 'l3¢) == O. Therefore ¢n ----+ 0 in the Q-topology. It follows that the inclusion vp,q ~ HC,q extends to the inclusion vp,q ~ HC,q. Now we may apply the Friedrichs theorem to obtain a (canonical) self-adjoint map F : dom F ( ~ vp,q) -t H6,q dense such that Q( ¢, 1/J) == (F¢,1/;) for all ¢ E dom F, '¢ E V. Now we need to identify F and determine its domain. Set p,q - v~,q == I n dom {)* == {p E vp,q : supp p is compact}. c
  • 210.
    Formulation of thea-Neumann Problem 199 If ¢, 'l/J E v~,q then Q(¢, 'l/J) == (8¢, 81/;) + (13¢, 131/J) + (¢,1/J) == (138¢, 1/;) + (813¢, 1/;) + (¢, 1/J) == (( ( 13 8 + 813) + I) ¢, 1/;) == ((O+I)¢,1/;). Notice that passing {) and 8 from side to side in the inner products is justified here because ¢, 1/; are compactly supported in O. The reader may also check that, because we are working in en with the standard Hermitian inner product, it turns out that 0 == -6. We use the notation 0 by convention. PROPOSITION 7.3.2 Let ¢ E vp,q. Then ¢ E dom F if and only if 8¢ E V p,q+l. In this case it holds that F¢ == (0 + I)¢. PROOF Let ¢ E vp,q lie in dom F. We know that, for 1/; E I~,q, (F¢, 1/;) == ((0 + I)¢, 1/;) . (7.3.2.1) Since I~,q is dense in Hg,q, it follows that (7.3.2.1) holds for 1/; E vp,q. By (7.2.3.1), (7.2.3.2), and 7.2.4 we have that ('I9¢y,'I91/J) = (8'19¢Y,1/J) - r (cy(8,dr)'I9¢Y,1/J) Jan = (8'19¢Y,1/J) - r ('I9¢y,cy('I9,dr)1/J) Jan == (8{)¢, 1/;) (7.3.2.2) since 'l/J E vp,q (hence 0"({), dr)1/; == 0 on aO). Also, (8¢Y, 81/J) = ('I98¢Y, 1/J) - r (cy( '19, dr )8¢y, 1/J). Jan We cannot argue as before since we have no control over the support of ¢. Instead we proceed as follows: Q( ¢, 1/;) == (8¢, 81/;) + (13¢, 131/;) + (¢, 1/;) = ('I98¢y, 1/J) - r Jan (cy( '19, dr )8¢y, 1/J) + (8'19¢y, 1/J) + (¢y, 1/J) = ((0 + I)¢y, 1/J) - r Jan (CY( '19, dr )8¢y, 1/J).
  • 211.
    200 The a-Neumann Problem Here we have used (7.3.2.2). Since ¢ E domF, we know that Q( ¢, 1/;) == (F¢,1/J) == ((0 + I)¢, 1/J). Therefore f (cy({), dr )8¢J, 1/J) =0 (7.3.2.3) Jan for all 1/J E /~,q; by density, (7.3.2.3) persists for 1/; E vp,q. We wish to conclude that a(rJ, dr)fJ¢ == 0 on 00. If we choose 1/; to be a('l9, dr)fJ¢ then a(rJ,dr)1/; == a(rJ,dr) (a(rJ,dr)8¢) == a( rJ 2 , dr )8¢ == o. Hence'¢ == a('l9, dr)fJ¢ E vP,q and putting this choice of'¢ into (7.3.2.3) yields f (cy({),dr)8¢J,cy({),dr)8¢J) = o. Jan Therefore a(rJ, dr )fJ¢ == 0 on 00. We conclude that 8¢ E V p,q+l. That F¢ == (0 + I)¢ is then automatic from what has gone before. Conversely, if ¢ E vp,q and fJ¢ E vp,q+ 1 we let 1/; E vp,q. Then Q(¢, 1/;) == ((0 + I)¢, 1/J) Uust calculate), hence ¢ E dom F and F¢ == (0 + I)¢. I We have made the following important discovery: The fJ-Neumann Boundary Conditions Let ¢ E /P,q (0). Then ¢ E dom F if and only if 1. ¢ E vp,q (that is, a(rJ, dr)¢ == 0 on 00); 2. fJ¢ E vp,q+ 1 (that is, a(rJ, dr )8¢ == 0 on 00). In studying the fJ-Neumann problem, we will follow the paradigm already laid out in the study of elliptic boundary value problems in Chapter 5. Namely, we will prove an a priori estimate that will in tum lead to a sharp existence and regularity result. We remark in passing that the fJ-Neumann problem as formulated and solved here is in the Hilbert space £2 == H o. It would be of some interest to solve the
  • 212.
    The Main Estimate 201 problem in other Hilbert spaces, such as the Sobolev space HS. The groundwork for studying those Hilbert spaces has been laid in [BO 1]. However, as of this writing, it is not clear what the Neumann boundary conditions should be in that context. 7.4 The Main Estimate If Q E Hg,q, then the construction of the operator F guarantees the existence of a unique ¢ E vp,q such that F ¢ == Q. We are interested in the regularity up to the boundary of this solution ¢. If we had a classical Garding type, or coercive, inequality Q(¢, ¢) 2: cll¢IIT, then it would be straightforward to prove the desired estimates. We do not have such an inequality, but will find a substitute that will do the job. LEMMA 7.4.1 Let 0 ~ enbe a smoothly bounded domain with defining function r: 0 = {z E en : r(z) < O} and IVrl == 1 on 00. Then 1. If ¢ E 10,1, then ¢ E VO,I if and only if Lj(ar/aZj)¢j == 0 on 80. 2. on 00. 3. If f,9 E Coo(O) then we have where 'Y is the volume element. 4. (---: L ian fg-j 1) 2z n . J or 8z da == L. J 1(8 0. f -g + f~ 8z j 0- ) 8zj 'Y. 5. The analog of (4) with 0/ aZj replaced by 0/ aZj.
  • 213.
    202 The a-Neumann Problem PROOF (1) This is just definition checking: Let p E 00, and let r be a defining function with Idrl == 1 on 00,. Of course r(p) == O. Let ¢ == 2:7=1 ¢idzi. Then ¢ E V O,l if and only if o == O"('19,dr)¢!p == 19(r¢)l p == ('19r )p(¢p) =- L n j=l 8: a J (p)¢>j(p)o If we apply Idr to both sides of the equation in the statement of (2), then the result is or/aZ j . 1 == or/aZ j ·1. Resuft (2) follows. To prove (3), we calculate that d [jg (- ;J n dZ I / dZ I / 0 0 0 ~ / 0 •• / dZ n / dZn ] = [8~j (fg) (- ;i) n dZ j / dZ I / dZ I / • •• / ~ / 0 •• / dZn / dZ n ] ( 1) == ---;- 2~ n ( of - g + f~ ) 1· aZ j 0- aZ j To prove (4), we apply Stokes's theorem to (3). Thus L lEi fg (1 )n dZ n { - 2i I / dZ I / • .. / . . -. . dZ j / ... / dZ n / dZn j=l an == L 1(of ,g+f ag 'Yo n n j=l -a 0-) ZJ ZJ Now we use (2) and the fact that *dr == dO" to see that the left side is equal to (---;- L 1 f9- dO". 1) 2~ or 8z n n j=1 an j I
  • 214.
    The Main Estimate 203 PROPOSITION 7.4.2 Let f2 ~ en be a smoothly bounded domain in en with defining function T. Let ¢ E VO,I. Then (Here II . II denotes the £2- norm.) PROOF If ¢ E /0,1 (0) then Now Therefore (7.4.2.1)
  • 215.
    204 The a-Neumann Problem Now = t Jr .k ), =1 O¢Jj n 8z)0 8z k O~k I - t 0 ),k=1 r ocbj ¢Jk Jan 8z)0 O~ 8Z k da (1.4.2.2) where we have used part (4) of the last lemma twice. By part (1) of that lemma, on 80,. Hence the second term on the right-hand side of (7.4.2.2) vanishes. Notice now that the condition "~¢J. =0 ~8z· ) j ) on 80, (since ¢ E VO,I) implies that any tangential derivative of this expression vanishes on 80,. Further observe that is a tangential derivative. Therefore, on 80" This means that on 80, we have (7.4.2.3) Now equations (7.4.2.2) and (7.4.2.3) yield that j,k OZk OZj L OZj OZk j,k r OZjOZk L / o¢Jj ' O¢Jk) = _j,k / o¢Jj , O¢Jk) - L Jan ~cb ·¢Jk da. J (7.4.2.4)
  • 216.
    The Main Estimate 205 Substituting (7.4.2.4) into (7.4.2.1) yields that As a result, That completes the proof. I DEFINITION 7.4.3 Let f2 == {z E en : r(z) < O} be a smoothly bounded domain. If p E of2 then let a be a complex tangent vector to of2 at p, i.e., n or L oz- (p)aj = O. j=1 J The Levi form at p is defined to be the quadratic form We say that f2 is pseudoconvex at p if L p is positive semidefinite on the space of complex tangent vectors. We say that f2 is strongly pseudoconvex at p if L p is positive definite on the space of complex tangent vectors. We say that f2 is pseudoconvex (resp. strongly pseudoconvex) if every boundary point is pseudoconvex (resp. strongly pseudoconvex)·. For emphasis, a pseudoconvex domain is sometimes called weakly pseudocon- vex. The geometric meaning of strong pseudoconvexity does not lie near the sur- face. It is a biholomorphically invariant version of strong convexity (which concept is not biholomorphically invariant). A detailed discussion of pseudo- convexity and strong pseudoconvexity appears in [KR 1]. In particular, it is proved in that reference that if p is a point of strong pseudoconvexity, then there is a biholomorphic change of coordinates in a neighborhood of p so that p becomes strongly convex.
  • 217.
    206 The a-Neumann Problem DEFINITION 7.4.4 We define a norm E( . ) on 1°1 (0) ' - by setting PROPOSITION 7.4.5 Let 0 be a smoothly bounded domain. Then there exists a constant c > 0 such that for all ¢ E V O,1 , (7.4.5.1) Moreover, if 0 is strongly pseudoconvex then there is a constant c' > 0 such that for ¢ E VO. 1 we have (7.4.5.2) PROOF Given our identity part (1) is obvious. Part (2) follows also from this identity and the definitions of E (¢ ), the Levi form, and strong pseudoconvexity. I REMARK Inequality (7.4.5.2) is our substitute for the coercive estimate (com- pare them at this time). Notice that it was necessary for us to give up some regularity. Indeed, E (¢) contains no information about derivatives of the type ()¢j/{)Zk. Notice, moreover, that (7.4.5.2) has the form of the hypothesis of the Friedrichs lemma. However, it is not the same since E(¢) is not comparable with II¢II. I DEFINITION 7.4.6 THE BASIC ESTIMATE Let 0 be a smoothly bounded do- main in en and let E(¢) be defined as above. We say that the basic estimate holds for elements of vp,q (0) provided that there is a constant c > 0 such that Q(¢,¢) 2: cE(¢)2 for all ¢ E vp,q(O). Putting our definitions together, we see that the basic estimate holds for ele- ments of vP,q (0) when 0 is strongly pseudoconvex.
  • 218.
    The Main Estimate 207 Exercise: Show that for 1/J E /~,q (U), U ceO, we have Q(1/J, 1/J) 2: c 1I1/J II I (hint: integrate by parts). Then on /~,q (U) we have a classical coercive esti- mate. The lack of full regularity in some directions for the a-Neumann problem is due to the complex geometry of the boundary. Exercise: Show that on any smoothly bounded domain 0 the expression E( . ) satisfies E(¢) ~ C· 1I¢lIi for all ¢ E 1 p,q (0), but that in general there is no constant C' > 0 such that E(¢) 2: C'II¢lli for all ¢ E /P,q (0). Now we are ready to formulate the main theorem of this chapter. Recall that, by construction, the equation F¢ == Q admits a unique solution ¢ E dom (F) for every Q E Hg,q (0). THEOREM 7.4.7 THE MAIN ESTIMATE Let n ~ enbe a smoothly bounded domain. Assume that the basic estimate holds for elements of vp,q (0). For Q E Hg,q, we let ¢ denote the unique solution to the equation F¢ == Q. Then we have: 1. If W is a relatively open subset of 0 and if Qlw E /P,q(W), then ¢w E /P,q(W). 2. Let P, PI be smooth functions with supp P ~ supp PI ~ Wand PI == 1 on supp p. Then: (a) If W n ao == 0 then Vs 2: 0 there is a constant Cs > 0 (depending on P, PI but independent of Q) such that (b) If W n ao 1= 0 then Vs 2: 0 there exists a constant Cs 2:: 0 such that REMARK Observe that (1) states that F is hypoelliptic. Statement (2a) asserts that, in the interior of 0, the operator F enjoys the regularity of a strongly elliptic operator. That is, F is of order 2 and the solution of F ¢ == Q exhibits a gain of two derivatives. On the other hand, (2b) states that at the boundary F enjoys only subelliptic regularity-the solution enjoys a gain of only one derivative. Examples ([FOK], [GRE], [KR4]) show that this estimate is sharp. I
  • 219.
    208 The a.Neumann Problem The proof of the Main Estimate is quite elaborate and will take up most of the remainder of the chapter. We will begin by building up some technical machinery. Then we show how to derive (2a) from the results of Chapter 4. Next, and what is of most interest, we study the boundary estimate. Of course (1) follows from (2a), (2b). All the hard work goes into proving statement 2(b). The tradeoff between existence and regularity is rather delicate in this context. To address this issue we shall use the technique, developed by Kohn and Nirenberg, of elliptic regularization (see [KON2]). Before we end the section, we wish to stress that part (2a) is the least in- teresting of all the parts of the Main Estimate. For notice that if ¢, 1j; E I~,q then (F¢,1j;) == ((0 + I)¢, 1j;) . Now 0 +I is elliptic, so the regularity statement follows from Theorem 4.2.4. 7.5 Special Boundary Charts, Finite Differences, and Other Technical Matters The proof of the Main Estimate has at its heart a number of sophisticated applications of the method of integration by parts. As a preliminary exercise we record here some elementary but useful facts that will be used along the way. LEMMA 7.5.1 For every t > 0 there is a K > 0 such that for any a, b E IR we have ab:::; ta 2 + Kb 2 • PROOF Recall that 2aj3 :::; a 2 + j32 for all a, j3 E lit Hence 2ab = 2 ( ~a) (~b) < 2ta2 + ~b2. - 2t Thus K == 1/4t does the job. I LEMMA 7.5.2 If D 1 , D 2 are partial differential operators of degrees k 1 , k 2 , respectively, then has degree not exceeding k 1 + k2 - 1.
  • 220.
    Special Boundary Charts,Finite Differences, and Other Technical Maners 209 PROOF Exercise: write it out. I DEFINITION 7.5.3 If A and B are numerical quantities, then we shall use Landau's notation A = O(B) to indicate that for some constant C. We will sometimes write A ;:S B, which has the same meaning. We write A ~ B to mean both A ;:S Band B ;:S A. Special Boundary Charts For the moment let us identify en with IR2n. We consider a domain 0 = {x E n IR2n : r(x) < O} with IVrl = 1 on 00. Let U ~ be a relatively open set that has nontrivial intersection with 00. Coordinates (i I , ... , i2n-I, r) constitute a special boundary chart if r is the defining function for 0 and (iI, ... , i2n-I) form coordinates for 00 n U. (This construct is quite standard in differential geometry and is called "giving U a product structure.") We associate to a special boundary chart an orthonormal basis WI, •.. , w n for 1 1,0 such that W n == y'2ar. It is frequently convenient to take the function r to be (signed) Euclidean distance to the boundary. Obviously or/aZ n 1= 0 on U. If U is a special boundary chart then we set _ or Or L j------, a a j==l, ... ,n-l, aZj aZ n aZn aZj a L n == -a . Zn Then L 1 , ••• ,L n generate T~'o(O) for P E 0 and LI, ,L n - I are tangential; this last statement means that L j r == 0 on U, j == 1, , n - 1. Exercise: Assume that IVrl == 1. Set n ar a 1/=~8z.8ZJ.. j=1 J
  • 221.
    210 The a-Neumann Problem Then v is normal to U nao. Complete v to an orthonormal basis £1, ... , £n-l , v for T~o(O),P E U. The canonical dual basis Wl, ... ,W n E /1'°(0) satisfies Wn == V2ar. __ Check that £1, ... £n-l, £1, ... , £n-l, 1m v form a basis for Tq(aO), q E 00. On a special boundary chart the a-Neumann boundary conditions can be easily expressed in terms of coordinates: LEMMA 7.5.4 If U is a special boundary chart and ¢ == L¢ I Jw I 1 wJ I,J on U then <P E vP,q if and only if ¢ E /P,q (0) and <PI J = 0 on 00 whenever n E J. PROOF Exercise. This is just definition chasing (or see [FOK, p. 33]). I Finite Differences In learning about the calculus of finite differences we shall use IRN as our setting. If U is a function on IRN , j E {I, ... , N}, and h E 1R, then we define . 1 [ .6~U(Xl, ... ,XN) = 2ih U(Xl, ... ,Xj-l,Xj+h,xj+l, ... ,XN) - u(xJ, ... ,Xj-J,Xj - h,Xj+I, ... ,XN)]. Also if (3 == ((31, ... , (3 N) is a multiindex and H = (h jk ) J=I"."N k=l"",{3j is an array of real numbers then we define Here the symbol TI is to be interpreted as a composition of the .6 operators.
  • 222.
    Special Boundary Charts,Finite Differences, and Other Technical Matters 211 Example: Let N == 1, (3 == (2), and H == (h, h) with h > O. If u is a function then ~~U(X) == 6h (6h u (X)) == 6h (u(x + h) - u(x - h)) == u(x + 2h) + u(x - 2h) - 2u(x). This is a standard second difference operator such as one encounters in [ZYG] (see also Chapters 4 and 5). 0 A comprehensive consideration of finite difference operators may be found in [KR2]. We shall limit ourselves here to a few special facts. LEMMA 7.5.5 If u E L 2 (IR N ) then (6{ U r (~) = - Sin~~j) u(~). Here --denotes the standard Fourier transform. PROOF We calculate that (6~Ur (~) = 2:h JeiX~[u(Xl, .•. ,Xj +h, ... ,XN) - U(Xl, ... ,Xj -h, ... ,XN)]dx = 2:h [e -ih~j - eih~j] u(~) = _ Sin~~j)u(~). I Notice that as h ---+ o. LEMMA 7.5.6 Let u E HS'C~N),/3 a multiindex, 1/31 == s. Ifr:S s' - s then for any H we have (Here the norms are Sobolev space norms.)
  • 223.
    212 The a-Neumann Problem PROOF We calculate that 116~ ull; = 1(1 + 1~12r [(6~uf (~)12 d~ = 1 + 1~12r f1 fi (1 I ::kk~j 12IU(~)12~ sin N :s 1(1 + 1~12r II I~j 1 lu(~)12 d~ 213J j=1 = 1(1 + 1~12r [(D13 u f (~)12 d~ == IID/3ull;. I LEMMA 7.5.7 SCHUR Let (X, /-L), (Y, v) be measure spaces. Let K : X x Y ~ C be a jointly measurable function such that 1 IK(x, y)1 dJ-L(x) ::::; c, uniformly in y E Y, and 1 IK(x, y)1 dv(y) ::::; c, uniformly in x EX. Then the operator f f-7 1 K(x, y)f(y) dv(y) maps LP(Y, v) to LP(X, /-L), 1 :s p :s 00. PROOF For p == 00 the assertion is obvious. For 1 :s p < 00, use Jensen's inequality from measure theory (or the generalized Marcinkiewicz inequality, for which see [STSI]). I We now introduce an important analytic tool that is useful in studying smooth- ness of functions. We saw a version of it earlier in Chapter 5. DEFINITION 7.5.8 The Bessel potential of order r is defined by the Fourier analytic expression where ¢ E C~. This operation extends to Hr in a natural way. Observe that ¢ E Hr if and only if Ar¢ E L 2 (= HO). Notice also that Ar : H t ----+ H t - r for any t, r E Ilt
  • 224.
    Special Boundary Charts,Finite Differences, and Other Technical Matters 213 LEMMA 7.5.9 If a E C~ (lR N ) and r :::; s' - s, then for all u E H s' -1 and multiindices f3 with 1f31 == s, we have that is, [a, 6~] behaves like an operator of order s - 1. PROOF First we consider the case If31 == 1. We want to show that II [a, 6{]ull r ;S Iluli r for any r and any u E H s' ,s' ~ r. Using Bessel potentials, this inequality is seen to be equivalent to Now, if F denotes the Fourier transform then (7.5.9.1 ) where K(C ) == ~, 77 (1 + + 1 2 /771 ) r/2 [sin(h 77 j ) _ 1~12 0 h Sin(h~j)] --( h a 77 _ C) ~. In fact, let us do the calculation that justifies this assertion: According to the definition of the Bessel potential we have Next, = a* (L.{A-rvf ("1) + Sin~17j) (a* (A-rv)) ("1) = - (a * [Sin~ OJ) (1 +I 0 2)-r/2 1 ( v 0 )]) ("1) + Sin~17j) (a * (1 + I 0 2) - r /2 1 v(0 )) ("1) = Ja( "1 - f,) [ Sin~17j) - Sin~f,j)] (1 + 1f,1 2 )-r/2V(e,) de,o The last line, combined with (7.5.9.2), gives (7.5.9.1).
  • 225.
    214 The a-Neumann Problem Now we will verify that the kernel K(~, TJ) satisfies the hypotheses of Schur's lemma. Note that ( 1+ 11]12) r /2 <C. (1 + 1171) r 1 + 1~12 - 1 + I~I :S C· (1 + 11] _ ~1)lrl :S C(1 + 11] - ~12)lrl/2. Here we are using Proposition 3.2.7. Then IK(~, 1])1 :S C ( 1 + 11] - ~I 2) Irl/2 I~ - -- 1]1· la(1] - ~)I so that K(~, 1]) is uniformly integrable in ~ and 1]. By Schur's lemma we have IIAr[a, 6{]A-rvll o = 11.1' (Ar[a, 6{]A -r v ) 110 = IIJ K(~, 7])v(~) d~llo :S Cllvllo. This proves the desired inequality, and we have handled the case IfJl == 1. If now IfJl == s > 1, we claim that [a, 6~] is a sum of terms of the form {3' . {3" 6H,[a,6~]6H" with 1 (3'1 + 1 == s - (3"1 1. To see this assertion in case s == 2, we calculate that The claim now follows easily by induction.
  • 226.
    Special Boundary Charts,Finite Differences, and Other Technical Matters 215 Finally, using induction, (7.5.9.2), and the claim we have II[a,6~luL ~ L 11(6~,[a,6{]6~:) uL ~ L II [a, 6~] 6~: ull r+I,L3'1 ~ L 116~:,ull r+I,L3'1 ~ c· Ilullr+I,L3"I+I,L3'1 == c . Ilullr+s-I. I LEMMA 7.5.10 Let u,v E HS,O ~ r ~ s. Then (6~u,v) == (u,6~v). PROOF This is just an elementary change of variable. I Next we have LEMMA 7.5.11 THE GENERALIZED SCHWARZ INEQUALITY Let f, g be L 2 functions and s E lIt Then (f, g) ~ Ilflls Ilgll-s. PROOF Look at the Fourier transform side and use the standard Schwarz in- equality. I PROPOSITION 7.5.12 Let K ~ IR N be compact and let u, v E L 2 (K). Let D be a first-order differ- ential operator and let f3 be a multiindex with 1f31 == s. Then 1. If u E H S then I 6~ ullo ~ Iluli s uniformly in H as IHI --+ O. 2. If u E HS then I [D, 6~ ]ullo ;S Iluli s uniformly in H as IHI --+ O. 3. We have (6~u, v) == (u, 6~v). 4. Ifu E Hs-I,v E HI then uniformly as IHI --+ O. 5. If u E HS and I L~ ull s is bounded as IHI --+ 0, then D(3u E H S •
  • 227.
    216 The a-Neumann Problem PROOF (1) By Lemma 7.5.6 we have I 6~ ullo :S IIDl3 uli o :S Iluli s uniformly in H as IHI ---+ o. (2) Write D == 2:;=1 aj (x )Dj. Assume that supp aj ~ K. Notice that the fi- nite difference operators commute with Dj. Then [D, 6~] == 2:f=1 [aj, 6~]Dj. Thus N II[D, 6~JuII o : ; L II[aj, 6~]Djull j=1 0 N :S L IIDj uII -l S =1 :S C· Iluli s . Note that we have used 7.5.9 in the penultimate inequality. (3) This is an elementary change of variable. (4) Write D == 2:f=l aj(x)Dj. Then [D,~~] == 2:f=l[aj,6~]Dj. There- fore N ;S L Il ul s -111[aj, 6~]Djvlll_S j=1 N ;S L Ilull -lllD vllo s j j=1 ;S Ilull s -lllvlll. Here we have used the generalized Schwarz inequality. (5) If u E HS and 116~ ull s is bounded as IHI --t 0, then we want to show that DI3 u E H s . It suffices to prove the result for 1;31 == 1, i.e., 6~ == 6 {. Saying that I 6{ ull s is bounded as h ---+ 0 means that is bounded as h ---+ O. Thus the dominated convergence theorem gives the result. I
  • 228.
    Special Boundary Charts,Finite Differences, and Other Technical Matters 217 Tangential Sobolev Spaces One of the important features of the analysis of the a-Neumann problem is that it is nonisotropic. This means that in different directions the analysis is different. In particular, a normal derivative behaves like two tangential deriva- tives. It turns out that the reason for this is that, when the boundary is strongly pseudoconvex, the (complex) normal derivative is a commutator of tangential derivatives (exercise: calculate [L j , L j ] in the boundary of the ball to see this). This assertion will be brought to the surface in the course of our calculations. Our nonisotropic analysis will be facilitated by the introduction of some spe- cialized function spaces known as the tangential Sobolev spaces. Consider lR~ + 1 with coordinates (t 1, .•. , tN, r), r < O. Define the partial Fourier trans- form (PFT) by U(T,r) = r J~N e-itTu(t,r)dt. [For convenience here we define the Fourier transform with a minus sign.] Then the tangential Bessel potential is defined to be (7, r) E IR~+l. We then define tangential Sobolev norms by For the remainder of the section, we will write ~~ to denote a finite difference operator acting on the first N variables only. Let K ~ lR~+l. We have (1) If U E H S ' , 1;31 == S, and r :S s' - S then -(3 (3 II~Hullr ;S IIID uilir. This is proved by imitating the proof of the isotropic result 7.5.6, using the tangential Fourier transform and integrating out in the r variable. (2) If P E C~,u E Hs'-l, 1;31 == s, and r:S s' - S then We prove this by first reducing to the case of a single difference (as we have done before). Then we express the left-hand side as an integral with kernel (as in the isotropic case) and use the Schwarz inequality. (3) We have ( l:,~ u, v) = (u, l:,{ v).
  • 229.
    218 The a-Neumann Problem From (1), (2), and (3) we can obtain that, for u E HS and 1;31 == s, 11~~ullo ~ Illulll s . Also, for D a first-order partial differential operator, 1;31 == s, N I[D, L,~]ullo :s L IIIDiullls-l j=1 and Finally, I(u, v) I ~ I I u I I s -1 I I v lilt - s . We invite the reader to fill in the details in the proofs of these assertions about the tangential Sobolev norms. See also [FOK]. 7.6 First Steps in the Proof of the Main Estimate The method of proof presented here is not the one in Kohn's original work [KOHl]. In fact, the method presented here was developed in the later work [KON2]. In the latter paper, a method of elliptic regularizaion is developed that allows us to exploit the elliptic regularity theory developed in Chapters 4 and 5 to avoid the nasty question of existence for the a-Neumann problem. The idea is to add to the (degenerate) quadratic form Q an expression consisting of D times the quadratic form for the classical Laplacian. Certain estimates are proved, uniformly in 8, and then 8 is allowed to tend to O. We begin with a definition: DEFINITION 7.6.1 Let n ~ (Cn be a smoothly bounded domain. (We do not assume that the basic estimate holds in vp,q.) For 8 > 0 and Dj == i8/8xj, we define 2n . QO(¢,~) == Q(¢,~) + DL(Dj ¢, Dj~). j=1 Observe that (7.6.2) The point of creating QO is that it has better properties at the boundary than
  • 230.
    First Steps inthe Proof of the Main Estimate 219 does Q. Indeed, in the interior we have Q( . , . ) == (( 0 + I) . , . ) and this is perfectly suited to our purposes. But Q does not satisfy a coercive estimate at the boundary. Since Q8 does satisfy such an estimate, it is much more useful. Recall that we defined VP.q to be the closure of vp,q (which we know equals dom 8* n /P,q) in the Q-topology. We let v~,q be the closure of vP,q in the Q6 -topology. This setup would be intractible if v~,q varied with different values of 6. Fortunately, that is not the case: LEMMA 7.6.3 For all 6, 6' > 0 it holds that v~,q == v~;q. All of the spaces v~,q are contained in vp,q n Hf,q. PROOF A sequence {¢k} is Cauchy in the Q8-topology if and only if {¢k} and {Dj ¢k} are Cauchy in L 2, j == 1, ... , 2n. And this statement does not depend on 6. Thus the notion of closure is independent of 6. The second statement is now obvious. I Notice that we are not saying that vp,q == v~,q. In fact, this equality is not true. To see this, suppose that the two spaces were equal. Then the open mapping principal implies that the Q-norm and the Q8 -norm are equivalent. This would imply that Q contains information (as does Q8) about the L 2 -norm of 8¢j /8z k when ¢ E /0,1. But this is clearly not the case. That gives a contradiction. Next we wish to apply the Friedrichs theory to the Q8 's in vp,q. Note that Q8 2: Q 2: 1 . Ia. Also, by construction, v~,q is complete in the Q8 -topology. Thus, by the Friedrichs theory, there is a self-adjoint p8 with dom p8 ~ HC,q and F 8 : dom p8 ---+ HC,q univalently and surjectively. Evidently p8 will correspond to 0+1+6 Lj Dj' Dj. We see that, given a form Q E HC,q, there exists a unique ¢8 E v~,q such that Moreover, ¢8 satisfies interior estimates uniformly in 8 since and we see that the eigenvalues of the principal symbol are bounded from below, unifonnl y in 6.
  • 231.
    220 The a-Neumann Problem THEOREM 7.6.4 Let U be a special boundary chart and V ~ V ~ U. Let PI be a smooth, real-valued function with support in U and PI == 1 on V. If ¢ E dom po and PIPo¢ E /P,q(O), then for every smooth P that is supported in V we have p¢ ~ /P,q (0). REMARK Recall that po == I + D + 6 Lj Dj' n j . The theorem says that po is hypoelliptic. From the proof (below) we will see that However, the constant in the inequality will depend heavily on 6. It will, in fact, be of size 6- 8 - 2 , so it blows up as 6 ----+ O. This means in particular that the uniformity that we need will not come cheaply. I PROOF OF THE THEOREM We know that ¢ E dom po implies that ¢ E Hi,q. We will prove that if p¢ E Hf,q for all cutoff functions P supported in V then p¢ E Hf1I. The theorem will then follow from the Sobolev lemma. We begin by proving the following claim: Claim 1: If p¢ E Hf,q for all P, then nf p¢ E Hi,q whenever 1;31 == s. Notice that this claim is not the full statement that we are proving: it gives us information about the derivatives of order s + 1 only when all but one of the derivatives is in the tangential directions. We deal with tangential derivatives first since tangential derivatives and tangential differences preserve vp,q and tangential differences preserve vp,q. For the claim, it suffices to show that - {3 2 II~HP¢III is bounded as IHI ----+ 0 when IJJI == s. Now II~IIT ,:S QO (~, ~) (where the constant depends on 6); therefore it suffices to estimate QO (~~ p¢, ~~ p¢). In order to perform this estimate, we need to analyze: --{3 --{3 1. ([)~HP¢, [)~HP¢) -{3 -{3 2. ({)~HP¢, {)~HP¢), -{3 -{3 3. (~HP¢, ~HP¢) 4. (Dj ~~p¢, n j ~~p¢). Analysis of (1): Now --{3 --{3 -{3 - --{3 - -{3 --(3 (86 H P¢, 86 H P¢) == (6 H 8p¢, 86 H P¢) + ([8, 6 H ]p¢, 86 H P¢)·
  • 232.
    First Steps inthe Proof of the Main Estimate 221 - - (3 Recall that [0, 6 H] acts like an operator of order s because of part (2) of 7.5.12. Therefore I([8, ~~lp4>, 8~~p4» I :s II [8, l,~]p4>llo ·118l,~p4>llo :s Ilp4>lls 11l,~p4>lll . Next, Obviously [8, p] is an operator of order 0, i.e. it consists of multiplication by a smooth function with support in V: call it p'. In fact, the support of p' lies in the support of p. Then I(l,~[8, p]4>, 8l,~p4» 1:s 11l,~pl 4>110 118l,~p4>llo -(3 ;S lip'¢lls II~HP¢lll. It follows that Here and in what follows, we use p' to denote some smooth function with support a subset of the support of p-in particular, the support of p' lies in V. Now we use part (3) of 7.5.12 and the generalized Schwarz inequality to see that (8~~p¢, 8~~p¢) == (p8¢, ~~8~~p¢) + O(llp'¢lls . 11~~p¢lll) - --(3 -(3 - -(3 --(3 == (pa¢, a~H~HP¢) + (pa¢, [~H' a]~HP¢) + O(llp'¢lls '11~~p¢lll) - --(3-(3 == (pa¢, a~H~HP¢) - -(3 --(3 + O(llpa¢lls-lll [6 H , a]6 H P¢lll-s) + O(llp'¢llsIIL~p¢lll) == (p8¢, 8li~L~p¢) + O(lIp'¢llsIIL~p¢lll).
  • 233.
    222 The a-Neumann Problem - - {3 - {3' - j Write [8, p] == p' and ~H == ~H'~h. Then the last line equals == ({)¢, {)p~~~~p¢) + ({)¢, p' ~~~~p¢) + O(llp'¢lls ·11~~p¢1I1) = (8</>, 8pii~ii~p</» + (p' 8</>, ii~,ii{ii~p</» +O(llp'¢lls 11~~p¢lll) - - - {3 - {3 - {3' ,- - j - {3 == (8¢, 8p~H~HP¢) + (~HIP 8¢, ~h~HP¢) +O(llp'¢lls 11~~p¢lll) == ({)¢, {)p~~~~p¢) + O(II~~,p'{)¢lloll~{~~p¢"o) +O(llp'¢lls 11~~p¢lll) == ({)¢, {)p~~~~p¢) + O(llp'¢lls 11~~p¢lll). We have thus proved that The very same argument may be used to prove that As an exercise, the reader may apply similar arguments to -{3 (~HP¢, ~HP¢) -{3 and 0 "LJDj ii~p</>, Dj ii~p</» j to obtain Q6(-{3 -(3) 8 ( -{3 -(3 ) ~HP¢, ~HP¢ == Q ¢, P~H~HP¢ + (] (11P'</>llsliii~p</>111). (7.6.4.1) Let P1 E C~ with P1 == 1 on V. Since ¢ E dom p8, we may rewrite the right-hand side of (7.6.4.1) as (F </>, pii~ii~ p</» + (] (liP'</>lls II ii~p</>111) ti = (PPI F ti </>, ii~ii~p</» + (] (liP'</>lls II Li~p</>111) == (6 {3' 'PP 1F 8 ¢, 6 jh 6 {3 P¢) + 0 - H - - H (I' ¢lls II16 liP - {3 H P¢ II 1) .
  • 234.
    First Steps inthe Proof of the Main Estimate 223 Now we apply the Schwarz inequality to see that the right-hand side in modulus does not exceed :s 11L,~'PPIF'5 4>llollL,~L,~p4>llo + 0 (11/ 4>llsllL,~p4>lll) :s IlplF'5 4>lls-111 L,~p4>111 + 0 (II/4>lls I L,~p4>lll) 2 ° 2 E -(3 2 2 I ;S ~llpIP ¢lls-I + 211~HP¢"I + ~llp ¢lls + 2'I~HP¢III. 2 E -(3 2 Here € >0 is to be specified. Thus, using (7.6.2) and (7.6.4.1), we have If we select E to be positive and smaller than 1/4, then we find that Applying part (5) of7.5.12 now yields that IIDf p¢III < 00. We have proved the claim. Now we will prove: Claim 2: If m ~ 2 and liJl + m == s + 1 then DfDr; (p¢) E HC,q· (Equivalently pDf Dr:¢ E HC,q·) The case m == 1 of the claim has already been covered in Claim 1. Now let m == 2. In local coordinates the operator po looks like 2n-I 2n-I po == A 2n D; + L A j Df Dr + L Aj,kDf D; , j=I j,k=I where the AI, ... , A 2n , Aj,k, B j , C are matrices of smooth functions. The el- lipticity of FO is expressed by the invertibility of the matrix of its symbols AI, ... , A 2n . In particular, A 2n is invertible. Therefore, recalling that PI == 1 on supp p, we see that
  • 235.
    224 The a-Neumann Problem Applying pDf with 1;31 == s - 1 to both sides yields that (Here we use explicitly the fact that PI == 1 on the support of p.) Thus we see - that we can express pDf D;¢, liJl == s - 1, in terms of two types of expressions: 1. (s - 1) tangential derivatives of the expression PI po ¢; 2. (s + 1) derivatives, at most one of which is in the normal direction, of ¢. These two types of expressions are both elements of !16,q. Hence pDf D;¢ E H6,q. This proves the case m == 2. Proceeding by induction on m we find that pDf D;¢ is expressed in terms of (1) (s - 1) tangential derivatives of PI po ¢ and (2) (s + 1) derivatives of p¢ of which at most (m - 1) are in the normal direction. This concludes the proof. I 7.7 Estimates in the Sobolev -1/2 Norm We begin this section by doing some calculations in the tangential Sobolev norms. Recall that If D is any first-order linear differential operator then 2n IIID¢III~ == I I L ajDj ¢ + ao¢lll~ j=I 2n ~ L IllajDj¢lll~ + 11¢116 j=I Let A¢ == A k ¢ == PIA~(p¢) (which in tum equals A~(PIP¢) + [PI,A~](p¢). Let A' denote the formal adjoint of A; that is, if ¢, ~ E /~,q (u n n) then (A' ¢,?iJ) == (¢, A?iJ). Fix a special boundary chart U.
  • 236.
    Estimates in theSobolev -1/2 Norm 225 LEMMA 7.7.1 For all real sand ¢ E /~,q(U nO), we have 1. IIIA¢llls;S 111¢llls+k' I'. IIIA'¢llls;S 111¢llls+k. 2. III(A - A')¢llls ;S 111¢llls+k-l. 3. If D is any first-order linear differential operator, then (a) 111[A,D]¢llls;S IIID¢llls+k-l. (b) I I [A - A', D]¢llls ;S IIID¢llls+k-2. (c) I I [A, [A, D]]¢llls ;S IIID¢llls+2k-2. PROOF The proof is straightforward using techniques that we have already presented. We leave the details to the reader. I Observe that A preserves vp,q. LEMMA 7.7.2 It holds that Q(A¢,A¢) -ReQ(¢,A'A¢) == 0 (1117¢111~-1)' uniformly in ¢ E vp,q n /~,q (U nO),. here 7 denotes the gradient of ¢. PROOF Recall that Q(¢,~) == (8¢,8~) + ({)¢,{)~) + (¢,~). Consider the expression (8A¢,8A¢) - Re (8¢, 8A' A¢) = ~ {2(8A¢, 8A¢) - (8¢, 8A' A¢) - (8A' A¢, 8¢) } . We write (8¢, 8A' A¢) == (8¢, A'8A¢) + (8¢, [8, A']A¢) == (A8¢,8A¢) + (8¢, [8, A']A¢) == (8A¢,8A¢) + ([A, 8]¢, 8A¢) + (8¢, [8, A']A¢). Also (8A' A¢, 8¢) == (8A¢,8A¢) + (8A¢, [A, 8]¢) + ([8, A']A¢, 8¢).
  • 237.
    226 The a-Neumann Problem As a result, (aA</>, aA</» - Re (a</>, aA'A</» = -~{ (a</>, [a, A'] A</» + ([A, a]</>, aA</» + ([a, A']A¢, a¢) + (aA¢, [A, a]¢)} 1 == - 2: {I + I I + I I I + IV} . We will estimate I I + I I I; the corresponding estimate for I + IV will then follow easily. Notice that ([a, A' - A]A¢, a¢) + ([[a, A], A]¢, 8¢) + ([a, A]¢, (A' - A)a¢) + ([a, A]¢, [A, 8]¢) == ([a, A']A¢, a¢) - ([8, A]A¢, a¢) + ([a, A]A¢, a¢) - (A[a, A]¢, a¢) + ([a, A]¢, A'a¢) - ([a, A]¢, Aa¢) + ([a, A]¢, Aa¢) - ([a, A]¢, aA¢) == ([a, A']A¢, a¢) - ([a, A]¢, aA¢) == ([a, A']A¢, a¢) + ([A, a]¢, aA¢). (7.7.2.1) Therefore III + 1111 == I([A, a]¢, aA¢) + ([a, A']A¢, a¢)1 == I([a, A' - A]A¢, a¢) + ([[a, A], A]¢, a¢) + ([a, A]¢, (A' - A)a¢ + ([a, A]¢, [A, 8]¢)1. (7.7.2.2 Now, using (7.7.2.2) and 7.7.1, we have the estimates III + 1111 ;S I I [a, A' - A]A¢llll-k ·llla¢lllk-l + I I [[a, A], A]¢IIIt-kII1 8¢lllk-l + 111[a,A]¢lllo . I I (A' - A)a¢lllo + 111[a,A]¢III~ ;S 1117 A¢III-llll7¢lllk-l + 1117 ¢111~-1· But, by 7.7.1 again, 1117A¢III~l ;S ~ IIIADj¢lll~l + ~ 111[Dj,A]¢III~l + IIIA¢III~l j j ;S ~ IIIDj¢III~_l + ~ IIIDj¢III~_2 + 111¢111~-1 j j ~ 1117 ¢111~-1·
  • 238.
    Estimates in theSobolev -1/2 Norm 227 Therefore III + 1111 ;S 1117¢111~-1· Since I + IV == I I + I I I, we may also conclude that II + IVI;S 1117¢111~-1· Together these yield 1(8A¢,8A¢) -Re(8¢,8A'A¢)I;S 1117¢111~-1. Similarly, it may be shown that (19A¢,19A¢) - Re (19¢, 19A' A¢) ;S 1117¢111~-1 and (A¢, A¢) - Re (¢, A'A¢) == o. This concludes the proof of the lemma. I It is convenient to think of the preceding lemma as a sophisticated exercise in integration by parts. In the case k == 0 we shall now derive a slightly strengthened result: LEMMA 7.7.3 We have the estimate Q(p¢,p¢) -ReQ(¢,p2¢) == O(II¢116). PROOF We take A in the preceding lemma to be the operator corresponding to multiplication by p (this is just the case k == 0). Assuming as we may that p is real-valued, we know that A == A'. By (7.7.2.1) in the proof of 7.7.2 we have ([8, A']A¢, 8¢) + ([A, 8]¢, 8A¢) == ([8,A - A']A¢,8¢) + ([[8, A], A] ¢,8¢) + ([8, A]¢, (A - A')8¢) + ([8, A]¢, [A, 8]¢). Since A == p, the operator [8, A] is simply multiplication by a matrix of func- tions. Thus [8, A] and A commute and [[8, A], A] == 0 and of course A - A' == o. The result follows. I
  • 239.
    228 The a-Neumann Problem Recall the quadratic form L a~j 2 E(¢)2 == Ok ), aZ II k 11 0 + r 2 Jan 1¢1 + 11¢116. The basic estimate is E(¢)2 ;S Q(¢,¢), and it is a standing hypothesis that this estimate holds on the domain under study. We know that the basic estimate holds, for instance, on any strongly pseudoconvex domain. The next result contains the key estimate in our proof of regularity for the a-Neumann problem up to the boundary. THEOREM 7.7.4 For each P E an there exists a special boundary chart V about P such that for all ¢ E I~,q (V nO). The result follows quickly from the following lemma: LEMMA 7.7.5 Let U be a special boundary chart for n and let M 1 , ••• , M N be first-order, homogeneous differential operators on U. Write 2n Mk == L ajk Dj . j=1 Assume that there exists no 0 # TJ E T* (U) such that a (Mk , TJ) == 0 for all k E {I, ... , N}. Then for all P E an n U there exists a neighborhood V ~ U of P such that (7.7.5.1) Assuming the lemma for the moment, let us prove the theorem. PROOF OF THEOREM 7.7.4 The vector fields a a aZI ' ... , aZn
  • 240.
    Estimates in theSobolev -1/2 Norm 229 satisfy the conditions of the lemma so that 2n L j=1 III Di ¢III=-I/2 == 11174>111=-1/2 :s t j,k=1 II ~~k 11 J 2 -1/2 + [ Jao 14>1 2 ~ j~1 II ~~; II: + ~o 14>1 2 + 114>115 == E(¢)2. I Note that the Mk's in the lemma cannot be too few, for they have to span all possible directions. Elementary considerations of dimensionality show that N ~ n (the base field is the complex numbers). The {n j } are the simplest example of a collection of vector fields that satisfies the symbol condition in the lemma. Before proving Lemma 7.7.5, we need a preliminary result: LEMMA 7.7.6 Let s > t. Then for any E > 0 there is a neighborhood V of P E 0 such that whenever U is supported in V n O. REMARK Results of this sort are commonly used in elliptic theory. They are a form of the Rellich lemma. We shall have to do a little extra work when V intersects the boundary. I PROOF OF THE LEMMA We first prove the statement in the case when there is no intervention of the boundary, that is, when U E C~ (V) and Vee O. Also assume at first that s > t 2:: O. If the assertion were false then there would exist an E > 0 and a sequence {Uk} of functions with supp Uk ~ {P}, Iluk lit == 1, and Iluklls < liE. By Rellich's lemma there is a subsequence converging in H t to a function U (it is a function since we have assumed that t ~ 0). But supp U == {P}, which is impossible since Ilulit == 1. If s :::; 0 but P is still in the interior of 0, we let V' be a neighborhood of P for which lIull- s :::; Ellull-t for all u E C~(V'). Let V ~ V ~ V'. Then we
  • 241.
    230 The a-Neumann Problem may exploit the duality between H t and H - t to see that if u E C~ (V) then I(u, v) I Ilulit == sup vEC~(V) v~O Ilvll-t I(u, v) I ~ E sup vEC~(V) vio Ilvll- s Notice that the case t < 0 ~ s follows from these first two cases. Now let us consider the case that P E an. It is enough to consider the problem on the half-space in IR2n with boundary JR2n-l. Let V' ~ JR2n - 1 be a relative neighborhood of P E JR2n-l such that for all u supported in V' (note here that P is in the interior of JR2n - 1 so our preceding result applies). Let V == V' xl, where I is any interval in (0, 00 ). Then Illulll~ = [°00 Ilu(o, r)ll~ dr ::; E 2 [000 Ilu(·, r) II~ dr == E 2 11Iulll;· I PROOF OF LEMMA 7.7.5 The first step is to reduce to the case in which the M k 's are operators with constant coefficients. Let Vee U be a neighborhood of P, p E C~, 0 ~ p ~ 1. Suppose also that p == 1 on V and W == suppp ~ U. It suffices to prove our result for functions since the Sobolev norm on forms is defined componentwise. Let u E /~,o(V nO). Now we freeze the coefficients of the M k , that is, we set 2n Nk == L aj,k(P)Dj, j=1 k == 1, ... , N. Let bj,k(X) == aj,k(x) - aj,k(P). Then 111(Mk - N k )ulll-I/2 == I I L (aj,k(x) - aj,k(P)) Djulll-I/2 j ;S L Illbj j ,k Dju lll-l/2
  • 242.
    Estimates in theSobolev -1/2 Norm 231 = L II A;I/2 (pbj,k Dju ) 110 j = L Ilpbj ,k A;I/2Dju + [A;I/2,pbj,k]Djullo j + L II[A;1/2,pbj,k]Djullo' j Note that if W is small enough then sUPw Ipbj,kl < E since Ibj,k(P)1 == O. Now the commutator in the second sum is of tangential order - 3/2. Thus the last line is ;S E L j II, Dju lll-I/2 +L j III Dju lll-3/2 where (shrinking V if necessary) we have applied Lemma 7.7.6. As a result, III N k u lll-I/2 ~ III M k u lll-I/2 + III(Mk - Nk)ulll-I/2 ;S IIIMk u lll-I/2 + E L III Dju lll-I/2. (7.7.5.2) j If we can prove the constant coefficient case of our inequality then we would have N "'"2'" N ulil-I/2 + Jan lui· LrIIIDJulll-l/2 ;S ~ 2 r III k 2 Coupling this with (7.7.5.2) would yield The full result then follows.
  • 243.
    232 The a-Neumann Problem So we have reduced matters to the case of the Mk's having constant coeffi- cients. Assume for the moment that u Ian == O. Then we can extend u to be zero outside O. The extended function will be continuous on all of space. We may suppose that V is a special boundary chart. Notice that, on V, the Di u are continuous and Dr U has only a jump discontinuity. Therefore all of these first derivative functions are square integrable. Write ~ == (T, () with T E ~2n-l ,( E ~. We use the symbol condition on the Mk's to see that N L IIIMkulll~1/2 k=l ( Plancherel in) IaSl=var. t; N 11(1 + IrI 2)-1/4 [2n-l f; aj,k(P)rj + a2n,k(p)(] u(~) 116 N L l2n (1 + IrI 2)-1/2Ia(Nk, ~)12Iu(~)12 d~ k=l > l2n (1 + IrI2)-1/21~12Iu(~)12 d~ > l2n (1 + IrI 2)-1/2 ( ~ IDjUI2) (~) d~ L IIIDjulll~1/2 . j Therefore N 2n L IIIMkulll~1/2 ~ L IIIDjulll~1/2 k=l j=l in the constant coefficient case provided that u vanishes on ao. Next suppose that u mayor may not vanish at the boundary. Let w(r,r) == exp [(1 + Ir I2)1/2 r ] u(r,O). This is a regular extension of u(T, 0) to (T, r), r ~ O. By the Fourier inversion theorem we have w(t,O) == u(t, 0).
  • 244.
    Estimates in theSobolev -112 Norm 233 Set v == u - w. Then v vanishes on the boundary so that the previous result applies to v. We then have Therefore 2n 2n L IIIDjulll~I/2 ;S L IIIDjvlll~I/2 + IIIDjwlll~I/2 j=1 j=1 N 2n ;S L IIIMkvlll~I/2 + L IIIDjwlll~I/2 k=1 j=1 N 2n ;S L [IIIMkUIII~I/2 + IIIMkWIII~I/2] + L IIIDjwlll~I/2 k=1 j=1 since the M k 's are linear combinations of the Dj,s. Observe that we are finished if we can show that j ==1, ... ,2n. First suppose that j E {I, ... , 2n - I}. Then IIIDjwlll~'/2 = 1.2n-l £°00 (1 + Ir I2)-1/2I rjI2exp [2(1 + Ir I2)1/2 r] 2 x 111,(r, 0) 1 dr dr ;S 1.2n-l £°00 (1 + IrI 2)-'/2(1 + Ir1 2)exp [2(1 + Ir I2)1/2 r] 2 x lu(r,0)1 drdr = r lu(r,0)12(~exP[2(1+ITI2)1/2r]IO) dT JJR.2n-l 2 -00 == -2 1 r JJR.2n-l lu( r, 0) 2 dr 1 = 1 r 2: Jan lui 2 da.
  • 245.
    234 The a-Neumann Problem If instead j == 2n, so that Dj is the usual normal derivative, then Since the derivative does not affect the variables in which we take the Fourier transform, the two operations commute. Hence Therefore mDrwlll~'/2 = l,n-l 1 0 00 (1 + Ir I2)-1/2(1 + Ir1 2) exp [2(1 + Ir I2)1/2 r ] 2 x lu(r,O)1 drdr = l,n-l 1 0 00 (1 + IrI 2)1/2 exp [2(1 + I r I 2 )1/2 r ]lu(r,O)1 2 drdr 1 == -2 { lu(r,O)1 2 dr JJR.2n-l = ~ ~n lul 2 deY. This concludes the second case and the proof. I 7.8 Conclusion of the Proof of the Main Estimate Now we pass from the Sobolev -1/2 norm to higher order norms. LEMMA 7.8.1 Suppose that the basic estimate E (¢)2 ;S Q (¢, ¢), ¢ E 1J p ,q, holds on a special boundary chart V. Let {Pk} be a sequence of cutoff functions in A~'o (V n 0) such that Pk =1 on SUPPPk+l. Then for each k > 0 we have an a priori estimate
  • 246.
    Conclusion of theProof of the Main Estimate 235 PROOF We proceed by induction on k. For k == 1 we have (basic est.) ~ Q(PI¢, PI¢) (7~3) ReQ(¢,PI¢) + O(II¢1I6) (Frie~chs) Re (F¢, pr¢) + O(II¢1I6) ~ IIF¢llo IIpr¢lIo + O(II¢1I6) ~ I F¢lIoll¢llo + O(II¢1I6) ~ IIF¢116 + O(II¢1I6) ~ IIF¢1I6 ~ IIIPIF¢III~I/2 + II F ¢116' In the last two lines but one we have used the fact that T == F- 1 is bounded on £2. This is the first step of the induction. Now take k > 1 and assume that we have proved the result for k - 1. Set A == A~k-I)/2. Note that A commutes with Dj,j == 1, ... ,2n - 1, because A is a convolution operator in the tangential variables. If j == 2n then it is even easier to see that Dj commutes with A since A does not act in the r variable. Thus I I V Pk¢III(k-2)/2 == I I A (V Pk¢) 1II~1/2 == IIIVA(Pk¢)III~I/2 == IIIVA(PIPk¢)III~I/2' (7.8.1.1) Observe that [A, [Dj, PI]] PkPk-l¢ + [A, PI][Dj, Pk]Pk-l¢ + [A, PI]Pk Dj Pk-l¢ [A, [Dj, pd] PkPk-l¢ + [A, pdDj PkPk-l¢ (Jacobiidentity) _ [PI, [A,Dj]J PkPk-l¢ - [Dj, [PI,A]J PkPk-l¢ + [A, pdDj PkPk-l¢ (A, Dj S9mmute) 0 Dj [A] A. - - - PI, PkPk-11.f/
  • 247.
    236 The a-Neumann Problem As a result, Dj APIPk¢ == Dj PIApk¢ + Dj[A, pdPk¢ == Dj PIApk¢ + [A, [Dj, pd] PkPk-l¢ + [A, pd [Dj, Pk]Pk-1 ¢ + [A, pdPk Dj Pk-l¢. Therefore, using (7.8.1.1), I I V Pk¢lII(k-2)/2 == IIIVApIPk¢III~I/2 ;S IIIVPIApk¢III~I/2 + L I I [A, [Dj,pd] PkPk-I¢II'~1/2 j + L I I [A, pd[Dj, Pk]Pk-I¢III~I/2 j + L I I [A, pdPk Dj Pk-I¢III~I/2 j ;S IIIV PIApk¢III~I/2 + IIIPk-I¢III~I/2+(k-3)/2 IIIPk-1 ¢III~ 1/2+(k-3)/2 + IIIVPk-l ¢III~ 1/2+(k-3)/2 ;S IIIVPIApk¢III~I/2 + I I V Pk-I¢III(k-3)/2' (7.8.1.2) Consider the term IIIVPIApk¢III~I/2 on the right-hand side. Set - PIApk == PI A(k-I)/2 Pk == A . t - Then IIIVApk-I¢I"~1/2 < rv Q(Apk-I¢, Apk-l¢) Re Q(Pk-1 ¢, A' APk-1 ¢) + (1 (IIIV' Pk-l ¢IIIZk-3)/2) (Pk-I~=A') Re Q( ¢, A' APk-l ¢) + (1 (IIIV' Pk-l ¢IIIZk-3)/2) Re (F¢, A' Apk-l¢) + O(IIIV Pk-I¢III(k-3)/2 Re (AF¢, APk-1 ¢) + (1 (IIIV' Pk-l ¢IIIZk-3)/2)
  • 248.
    Conclusion of theProof of the Main Estimate 237 ~ I I ApIF¢III-I/2I11 A¢IIII/2 + O(IIIV Pk-I¢IIIZk-3)/2 IllpIA~k-I)/2 PkP IF¢III-I/211IPI A~k-I)/2 Pk¢IIII/2 + °(IIIV Pk-l ¢IIIZk-3)/2 < ""-J Illpl F¢III(k-I)/2-1/211IPk¢lll(k-I)/2+1/2 + °(III V Pk-l ¢IIIZk-3)/2 < 1 2 2 ""-J -lllpl F¢III (k-2)/2 + EIIIV Pk¢lll(k-2)/2 E + IIIV Pk-l ¢111(k-3)/2' Substituting this last inequality into (7.8.1.2) we obtain IIIV Pk¢IIIZk-2)/2 :s; IIIV PI Apk¢III=-I/2 + IIIV Pk-l ¢IIIZk-3)/2 1 2 2 ;S -llIpIF¢III(k-2)/2 + EIIIV Pk¢lIl(k-2)/2 + I I VPk-I¢III(k-3)/2' E Therefore < 1 2 2 ""-J -IIIPI F¢III (k-2)/2 + I I VPk-l ¢1I1 (k-3)/2 E (induction) 1 2 ;S -IIIP I F¢III(k-2)/2 E + Illp I F¢III(k-3)/2 + II F ¢1I6 ~ Illp I F¢III(k-2)/2 + IIF¢116· This completes the proof. I THEOREM 7.8.2 Assume that the basic estimate holds in vp,q. Let V be a special boundary neighborhood on which IIIV¢III~I/2 :s; E(¢)2. Let U Cc V and choose a cutoff 00 - function PI E A ' (V n 0) such that PI == 1 on U. c Then for each P E A~'o (U n n) and each nonnegative integer s it holds that for all ¢ E dom (F) n vp,q.
  • 249.
    238 The a-Neumann Problem PROOF We proceed by induction on 8. We apply the previous lemma with k == 2, P2 == p, and 0 == P3 == P4 == .. '. It tells us that that is, Therefore IIp¢lli ~ IIV p¢ll~ + IIp¢lI~ ;S IlpIF¢II~ + IIF¢II~ , which is the statement that we wish to prove for 8 == O. Now suppose the statement to be true for 8, some 8 2: O. Then IIp¢II;+1 ~ L IIDa(p¢)II~ lal::;s+l == L IIDa(p¢)II~ + IIp¢ll; lal=s+l ;S L IIDa(p¢)II~ + IlpIF¢II;-1 + IIF¢II~ lal=s+l ::; L IIDa(p¢)II~ + IIPIF¢II; + IIF¢II~· lal=s+l It remains to estimate the top order term. Pick a sequence of cutoff functions PI 2: P2 2: ... 2: P2s+2 == P such that supp Pj CC supp Pj-l, j == 2, ... ,28 + 2 and set Pj == 0 for j > 28 + 2. We apply 7.8.1 with k == 28 + 2 to obtain If 1131 == 8 + 1 then IIDf P2s+2¢11~ ;S IIIV P2s+2¢1II; ;S IIIPIF¢III; + IIF¢III~ ;S IlpIF¢II; + IIF¢II~·
  • 250.
    Conclusion of theProof of the Main Estimate 239 For 1131 == s we have IIDf Dr P¢1I5 :s /11 vp¢II/; :s Ilp1F¢II; + IIF¢II5· Thus it remains to estimate IIDf D;:p¢115 for m 2: 2 and 1131 + m == s + 1. We proceed by induction on m (this is a second induction within the first induction on s). We use the differential equation as follows: We know that 0+1 == F. On the special boundary chart the function F¢ can be expressed as The operator F is strongly elliptic so that A 2n is an invertible matrix. Therefore we can express the second derivative D;¢ in terms of the remaining expressions on the right side of the last equation (each of which involves at most one normal derivative) and in terms of F¢ itself. This means that we may estimate expressions of the form IIDf D;p¢115 in terms of IIDfDr P¢115 and IIDf P¢1I5' both of which have already been estimated. Thus we have handled the case m == 2. Inductively, we can handle any term of the form I DfD;:p¢115. This concludes the induction on m, which in tum concludes the induction on s. The proof is therefore complete. I The final step of the last theorem is decisive. While the a-Neumann boundary conditions are degenerate, the operator F == 0 + I is strongly elliptic-as nice an operator as you could want. One of the special features of such an operator L is that (as we learned in Chapter 4 by way of pseudodifferential operators) any second derivative of a function f can be controlled by Lf, modulo error terms. Now recall the main estimate: THEOREM 7.8.3 MAIN ESTIMATE Let n ~ enbe a smoothly bounded domain. Assume that the basic estimate holds for elements of vp,q. For a E H6,q, we let ¢ denote the unique solution to the equation F¢ == a. Then we have: 1. If W is a relatively open subset of n and if al w E Ip,q(W), then ¢Iw E Ip,q(W). 2. Let p, PI be smooth functions with supp P~ supp PI ~ Wand PI == 1 on supp p. Then:
  • 251.
    240 The a-Neumann Problem (a) If W n an == 0 then Vs 2: 0 there is a constant Cs > 0 (depending on P, PI but independent of a) such that (7.8.3.2a) (b) If W n an =I- 0 then Vs 2: 0 there exists a constant Cs 2: 0 such that (7 .8.3.2b) REMARK In the theorem that we just proved, we established the a priori esti- mate That is, we know that this inequality holds for a testing function ¢. In the Main Estimate we are now addressing the problem of existence: given a v E H6,q we want to know that there exists a ¢ which is smooth and satisfies (7.8.3.2a) and (7.8.3.2b). We do know that the ¢ given by Friedrichs is in L 2 , but nothing further. It is in these arguments that the elliptic regularization technique comes to the rescue. In the original papers [KOHl] Kohn had to use delicate functional analysis techniques to address the existence issue. I PROOF OF THE MAIN ESTIMATE Let a E H6,q. Let ¢ E vp,q be the unique solution to the equation F ¢ == a. This will of course be the ¢ that we seek, but we must see that it is smooth. Observe that this assertion, namely part (I) of the theorem, follows from part (2). Let U be a subregion of en. Assume that p,q - a Iunn E I (UnO). We need to see that 4>lunn E Ip,q (U n D). The easy case is if U n an == 0. For then ¢ Iu E Ip,q (U) by the interior elliptic regularity for F == 0 + I. This gives us the estimate (7 .8.3.2a) as well. Refer to Chapter 4 for details. More interesting is the case U n an =I- 0. Then the last theorem tells us that provided that we know in advance that ¢ is smooth on uno. Again we emphasize the importance of this subtlety: we know that ¢ exists; we also know that if ¢ is known to be smooth on unothen it satisfies the desired regularity estimates. We need to pass from this a priori infonnation to a general regularity result. To this task we now tum.
  • 252.
    Conclusion of theProof of the Main Estimate 241 Let 0 < 8 ~ 1 and let ¢8 be the solution of F8 ¢ == Q. We know that p8 is hypoelliptic up to the boundary (see 7.6.4). Recall that 2n Q8(¢,1/J) == Q(¢,1/J) + 8L(Dj¢,Dj1/J) j=1 and that The proof of the last theorem then applies to F 8 and ¢8; thus we have The constant in the inequality is independent of 8 since the estimate depends only on the majorization (In fact, we shall provide the details of this important assertion in the appendix to this chapter.) Thus {p¢8}O<8<1 is uniformly bounded in II . 118+1 for every 8. Fix an 8. By Rellich's lem~a~ there is a subsequence {p¢8 n } that converges in Hf,q as n ---t 00. By diagonalization, we may assume that {p¢8 n } converges in Hf,q for every 8-to the same function PJL. We wish to show that PJL == p¢, where ¢ is the function whose existence comes from the Fredholm theory. Then we will know, by the Sobolev theorem, that p¢ is smooth and we will be done. It suffices to show that ¢8 n ---t ¢ in the HC,q topology (for, of course, ¢8 n ---t JL in that topology). We know that the interior estimates hold uniformly in 8: for any P with compact support in O. By 7.6.3, ¢8 E Hf,q. If 0: is globally smooth, we can apply a partitition of unity argument and the boundary estimate for 8 == 0 (see 7.8.2) to see that (7.8.3.3) uniformly in 8 as 8 as 8 --+ O. By the density of smooth forms in the space H6,q, we conclude that (7.8.3.3) holds for all elements 0: E HC,q. Next we calculate, for 1/J E vp,q, that Q(¢,1/J) == (0:,1/J) == Q8(¢8, 1/J) == Q( ¢8, 7/J) + O( 8//¢8111//7/Jlll) == Q(¢{j, 1/J) + //a//o//7/Jlll ·0(£5). (7.8.3.4)
  • 253.
    242 The a-Neumann Problem Give the equation the name R(8). By subtracting R(8') from R(8) we find that By 7.6.3 we can find a sequence {'lfJn; ~ vp,q converging with respect to both the norms Q and II . III to ¢8 - ¢8 . The result is that Q(¢8 _¢8',¢8 _¢8') == 0(8+8')llolloll¢8 -¢8'III == 0(8 + 8') ·110116 --+0 as 8, 8' ~ o. We conclude that ¢8 converges in the topology of vp,q as 8 --+ 0 and (7.8.3.4} shows that the limit is ¢. Consequently, ¢8 --+ ¢ in HC,q and we are done. I In the next section we shall develop the Main Estimate into some useful results about the original a-Neumann problem. 7.9 The Solution of the a-Neumann Problem Our ultimate goal is to understand existence and regularity for the a-Neumann problem. We begin with some remarks about the operator F. We assume throughout this section that the basic estimate holds on O. PROPOSITION 7.9.1 Let a, ¢, U, PI, P fJe as in the Main Estimate. Let al u E Hf,q(U nO). Then p¢ E H:~k(U nO), where k is either 1 or 2 according to whether un ao =I- 0 ll; or un ao == 0. Also IIp¢II;+k ;S IIPI a + lI a 116. PROOF Let Po be a smooth function with support in U such that Po == 1 on supp Pl. See Figure 7.1. Let {,en}, {Tn} be sequences of smooth forms such that supp,en ~ supp Po, SUPPTn ~ supp (1 - po),
  • 254.
    The Solution ofthe a-Neumann Problem 243 -.........------------~ FIGURE 7.1 and Then and Let ¢n = F-1a n . Now F- 1 is bounded in the Sobolev topology so that ¢n ~ F-1a == ¢ in H6,q. Now we apply the Main Estimate to obtain Therefore 1· A.. HP,q 1m n---+oc Plf/n E s+k' that is, p¢ E H:: k. The desired estimate therefore holds. I PROPOSITION 7.9.2 If F¢ == a and a E /P,q (0) then ¢ E /p.q (0) and II¢I/;+l :s Iiall; for every s. PROOF This follows at once from the Main Estimate by taking U 2 nand noticing that /lallo ::; Iiali s . I
  • 255.
    244 The a-Neumann Problem COROLLARY 7.9.3 If F¢ == a and a E Hf,q then ¢ E H~:1 and 11¢lls+l ;S Iiali s. PROOF Immediate. I COROLLARY 7.9.4 The operator F- 1 is a compact operator on Hf,q. PROOF By the corollary we know that F- 1 is bounded from Hf,q to H~~1 so we apply Rellich's lemma to obtain the result. I COROLLARY 7.9.5 The operator F has discrete spectrum with no finite limit point and each eigen- value occurs with finite multiplicity. PROOF By the theory of compact operators (see, for instance, [WID]), we know that F- 1 has countable, compact spectrum with 0 as its only possible limit point. Also each eigenvalue has finite multiplicity. Since A is an eigenvalue for F if and only if A-1 is an eigenvalue for F- I we have proved the corollary. I PROPOSITION 7.9.6 Let U, P, PI, a, and k be as in Proposition 7.9.1. Suppose that PI a E Hf,q for some integer s > o. If ¢ satisfies (F - A)¢ == a for some constant A then p¢ E H~:k(n). PROOF Consider the case k == 1. Set a' == a + A¢. Then ¢ satisfies the equation F¢ == a'. Now a' E H6,q so that PI¢ E Hi,q by Proposition 7.9.1. Let {Pk}k=2 be a sequence of smooth functions with Ps == P and Pj = 1 on supp Pj + 1. Inductively we may reason that The result follows. The case k == 2 is similar. I COROLLARY 7.9.7 The operator F - AI is hypoelliptic. PROOF Immediate from the proposition and Sobolev's theorem. I
  • 256.
    The Solution ofthe a-Neumann Problem 245 COROLLARY 7.9.8 The eigenforms of F are all smooth. PROOF Obvious. I PROPOSITION 7.9.9 The space H6,q has a complete orthonormal basis of eigenforms for the operator OF that are smooth up to the boundary ofO. The eigenvalues are nonnegative, with no finite accumulation point, and occur with finite multiplicity. Moreover, for each s, 11¢1I~+1 ;S IIO¢II~ + II¢II for all ¢ E dom (F) n /P,q(O). PROOF Recall that 0 F == F - I is the restriction of 0 to the domain of F. We know that H6,q has a complete orthonormal basis of eigenforms for F- 1 (just because it is a compact operator on a Hilbert space). Then the same holds for F and thus for F - I. We also have that the eigenvalues are nonnegative, with no finite accumulation point and with finite multiplicity. The desired estimates follow by induction on s and by the global regularity statement for F: 1I¢lli;s IIF¢1I6 ;s 110¢1I6 + 11¢116; II¢II~ ;s IIF¢lli s 110¢lIi + 1I¢lli s 1I 0 ¢lli + 1I 0¢1I6 + 1I¢116 ;s 110¢lli + 1I¢116; and so forth. I PROPOSITION 7.9.10 The space HC,q admits the strong orthogonal decomposition H6,q == range (OF) EB kernel (OF) == [){)dom (F) EB {)[)dom (F) EB kernel (OF).
  • 257.
    246 The a-Neumann Problem PROOF First of all we need to show that range (D F) is closed. Set HP,q == kernel (0 F ). Then HP,q is the eigenspace corresponding to the eigenvalue O. The orthogonal complement of HP,q is E9!AI>o VA, where VA is the eigenspace corresponding to the eigenvalue A. Then 0 F is bounded away from 0 on ° (HP,q) 1.. and it is one-to-one on this space. Thus F restricted to the closure ° of the range of F has a continuous inverse which we call L. Let DFx n --+ y. Then LDFx n --+ Ly, that is, X n ~ Ly and DF(Ly) == y. Thus y E range 0 F and range 0 F is closed. Since range 0 F == (HP,q) 1.., the first equality follows. a For the second equality, notice that 2 == 0 hence range -l range a Also a*. a* == {) Idom [j* and the second equality follows as well. I COROLLARY 7.9.11 - - 1 The range of 8 on dom (8) n H6,q- is closed. PROOF a Since range -l kernel and (a*) a* ({)a dom (F) EB 1tp,q) == 0, we may conclude that range ==a a{) dom (F). I a We are engaged in setting up a Hodge theory for the operator. For analogous material in the classical setting of the exterior differential operator d we refer the reader to [CON]. Now we define the hannonic projector H to be the orthogonal projection from Hb,q onto HP,q. We use that operator in tum to define the a-Neumann operator. DEFINITION 7.9.12 The Neumann operator N : H6,q ~ dom (F) is defined by Na == 0 if a E rtp,q Na == ¢ if a E range 0 F and ¢ is the unique solution of °F¢ == a with ¢ -l HP,q. Then we extend N to all of H6,q by linearity. Notice that N a is the unique solution ¢ to the equations H¢ == 0 DF¢==a-Ha. Finally, we obtain the solution to the a-Neumann problem:
  • 258.
    The Solution ofthe a-Neumann Problem 247 THEOREM 7.9.13 1. The operator N is compact. 2. For any a E HC,q we have a == 8{)Na + ()8Na + Ha. 3. NH == HN == O,NO == ON == 1- H on domF, N8 == 8N on dom8, and N () == () N on dom 8* . 4. N(AP,q (0)) ~ AP,q (0) and for each s the inequality holds for all a E AP,q (0). PROOF Statement (2) is part of Proposition 7.9.10. It is also immediate from the definitions that N H == H N == O. Next, ND == ON == 1 - H follows from part (2). If a E dom 8 then, since 82 == 0 and 8H == 0, we have Naa == N8({)8Na + 8{)Na + Ha) == N 8(()8N a) == N( a{) + {)8)8Na == N08Na == (1 - H)8Na == 8Na. The same reasoning applies to see that () N == N (). The first statement of part (4) follows because H a is smooth whenever a is (by part (2» and ¢ == N(a - Ha) satisfies D F ¢ == a - Na. Hence this ¢ is smooth. Furthermore, 7.9.9 implies that II Na ll;+l ;S lI o Nall; + IINall6 ::; lIall; + IIH all; + liNal16 ;S lIall; + IIHal16 + II N al16 ~ lIall;· (We use here the fact that all norms on the finite-dimensional space HP,q are equivalent.) That proves the second statement of part (4). Finally, (1) follows from (4) and Rellich's lemma. I
  • 259.
    248 The a-Neumann Problem Next we want to solve the inhomogeneous Cauchy-Riemann equation a¢ == a. Notice that there is no hope to solve this equation unless a ..1 kernel (a*) or equivalently all'== 0 and H a == O. THEOREM 7.9.14 Suppose that q 2 1, a E HC,q, 1 all' == 0, and H a == O. Then there exists a - - - unique ¢ E HC,q- such that ¢..l kernel (B) and B¢ == a. Ita E AP,q(O) then ¢ E AP,q-l (0) and PROOF By the conditions on a we have that a == a{) N a. Thus we take ¢ == () N a and ¢ ...L kernel (a) implies uniqueness. By part (4) of the last theorem, we know that Na E AP,q if a E AP,q. Hence ¢ E AP,q-l and 1I¢lIs == II{)Nails ;S IINall s+l ~ Iiall s . I It is in fact the case that, on a domain in Euclidean space, the harmonic space HP,q is zero dimensional. Thus the condition H a == 0 is vacuous. There is no known elementary way to see this assertion. It follows from the Kodaira vanishing theorem (see [WEL]), or from solving the a-Neumann problem with certain weights. A third way to see the assertion appears in [FOK]. We shall say no more about it here. In fact, it is possible to prove a stronger result than 7.9.14: if a has H S coefficients, then ¢ has H s+ 1/2 coefficients. This gain of order 1/2 is sharp for o strongly pseudoconvex. We refer the reader to [FOK, p. 53] for details. Appendix to Section 7.8: Uniform estimates for F 8 and ¢8 Refer to Section 7.8-especially the proof of the Main Estimate-for terminol- ogy. The purpose of this appendix is to prove that the estimate (7.A.l) holds with a constant that is independent of 8. We begin as follows: PROPOSITION 7.A.2 We have where the constant in 0 is independent of b.
  • 260.
    Appendix to Section7.8 249 PROOF The proof of 7.7.2 goes through, with [) replaced by any first-order differential operator D with constant coefficients, without any change. Thus (DA¢, DA¢) - Re (D¢, DA' A¢) == O(IIIV¢III~_l)' Then Q8(A¢, A¢) - Re Q8(¢, A' A¢) == Q(A¢, A¢) + 8 L(Dj A¢, Dj A¢) j - Re [Q(I/>, A'AI/» + 8 L(Dj 1/>, Dj A'AI/»] J == Q(A¢,A¢) -ReQ(¢,A'A¢) + 8 L [(Dj AI/>, Dj AI/» - (Dj 1/>, Dj A'AI/»] J == (1 + 8)0 (1IIV¢III~-l) == 0 (IIIV ¢III~-I) , where the constant in 0 is independent of 8. I We need one more preliminary result: PROPOSITION 7.A.3 Let hypotheses be as in 7.8.1 with ¢ E v~,q. Then (7 .A.3.t) where the constants are independent of 8. PROOF We follow the proof of 7.8.1 closely, checking that all constants that arise are independent of 8. We induct on k. First let k == 1. Then (7.7.4) < (basic estimate) 8 8 :S Q(Pl¢ , PI¢ ) < Q8 (PI ¢8, PI ¢8) (7.~.2) ReQ8(¢8,pf¢6) + 0 (11¢8116) (Frie~chs) Re (F 8¢8,pf¢8) + 0 (11¢8116) IIF 8¢c5 lloll¢ c5 llo + 0 (11¢8116) . Notice that Tb = (pc5)-I is bounded on £2 unifonnly in b. Indeed, by the
  • 261.
    250 The a-Neumann Problem Friedrichs theorem we have UT6oll~ ~ Qb(Tba,TDa) == (a, T b a) b ~ IlallollT allo. It follows that IITbiiop ~ 1. Therefore b IIF q/Slloll¢61Io +0 (11¢bI1 6) ~ IIFb¢6116 + 0 (IIF6<p611~) ~ II Fb ¢6116 :s IIpIF6¢6111~1/2 + IIF6<p611~· This proves the case k == 1. Next, as in the proof of 7.8.1, we have for the tangential Bessel potential A == A~k-I)/2 that (7.A.3.2) Setting PI APk == A we now calculate that I I V Apk-l¢bl"~1/2 ~ Qb (Apk_l¢b, Apk_I¢D) = Re QO (pk-I¢O, A' APk-1 ¢O) + 0 (IIIV' Pk-I ¢0IllZk-3)/2) = ReQO(¢O,A'Apk-l¢O) + 0 (111V'Pk-I¢0IllZk-3)/2) = Re (PO ¢o, A' Apk-I¢O) + 0 (IIIV' Pk-I ¢0IllZk-3)/2) = Re (ApO ¢o, APk-1 ¢O) + 0 (IIIV' Pk-I ¢0IllZk-3)/2) ::; IIIApo¢0111-1/21I Apk-I¢0111/2 + 0 (111V'Pk-I¢0IllZk-3)/2) b ~ I PI F ¢bll(k_I)/2_1/21IPk¢bll (k-I)/2+1/2 + 0 (111V'Pk-I¢0IllZk-3)/2) ::; ! Illpl po ¢0IllCk-2)/2 + fill V' Pk¢011IZk-2)/2 E + 0 (1I1V'Pk-I¢0IllZk-3)/2) .
  • 262.
    Appendix to Section7.8 251 Substituting into (7.A.3.2) and using induction we get /1,7 Pk¢8 /I'Zk-2)/2 :s /I'PI F 8¢8 "'Zk-2)/2 + IIF 8¢8116, where the constants are independent of b. That completes the proof of (7.A.3.1). I Now proving the inequality (7.A.1) is straightforward, for we imitate the proof of 7.8.1 with obvious changes.
  • 263.
    8 Applications of the8-Neumann Problem 8.1 An Application to the Bergman Projection In recent years the Bergman projection P : L 2 (0-) ---+ A 2 (0-) has been an object of intense study. The reason for this interest is primarily that Bell and Ligocka [BEL], [BE 1], [BE2] have demonstrated that the boundary behavior of biholomorphic mappings of domains may be studied by means of the regularity theory of this projection mapping. Of central importance in these considerations is the following: DEFINITION 8.1.1 CONDITION R Let 0- ~ en be a smoothly bounded do- main. We say that 0- satisfies Condition R if P maps Coo ((2) to Coo ((2). A representative theorem in the subject is the following: THEOREM 8.1.2 BELL Let 0- 1,0- 2 be smooth, pseudoconvex domains in en. Let <I> : 0- 1 ---+ 0- 2 be a biholomorphic mapping. If at least one of the two domains satisfies Condition R then <I> extends to a Coo diffeomorphism of 0- 1 to 0- 2 . There are roughly two known methods to establish Condition R for a domain. One is to use symmetries, as in [BAR] and [BEB]. The more powerful method is to exploit the a-Neumann problem. That is the technique we treat here. Let us begin with some general discussion. Let 0- c c en be a fixed domain on which the equation au == Q is always solvable when Q is a a-closed (0,1 )-form (e.g., a domain of holomorphy-in other words, a pseudoconvex domain). Let P : L 2(0-) ---+ A2(0-) be the Bergman projection. If u is any solution to au == Q then W == Wet == U - Pu is the unique solution that is orthogonal to holomorphic functions. Thus W is well defined, independent of the choice of u. Define the mapping
  • 264.
    An Application tothe Bergman Projection 253 Then, for f E L 2 (n) it holds that Pf == f - T([)f)· (8.1.3) To see this, first notice that [)[f - T( [) f)] == [) f - [) f == 0, where all derivatives are interpreted in the weak sense. Thus f - T( [) f) is holomorphic. Also f - [f - T( [) f)] is orthogonal to holomorphic functions by design. This establishes the identity (8.1.3). But we have a more useful way of expressing T: namely T == [)* N. Thus we have derived the following important result: P == I - [)* N8. (8.1.4) Now suppose that our domain is strongly pseudoconvex. Then we know that N maps HS to Hs+ 1 for every s. Recall that [) and [)* are first-order differential operators. Then a trivial calculation with (8.1.4) shows that for every s. By the Sobolev imbedding theorem, a strongly pseudoconvex domain therefore satisfies Condition R. Thus, thanks to the program of Bell and Ligocka (see [BEL], [KR1]), we know that biholomorphic mappings of strongly pseudoconvex domains extend to be diffeomorphisms of their closures. It is often convenient, and certainly aesthetically more pleasing, to be able to prove that P : H S -+ H s. This is known to be true on strongly pseudoconvex domains. We now describe the proof, due to J. J. Kohn [KOH3], of this assertion. THEOREM 8.1.5 Let n be a smoothly bounded strongly pseudoconvex domain in en. Then for each s E IR. there is a constant C == C (s) such that (8.1.5.1) REMARK In fact, the specific property of a strongly pseudoconvex domain that will be used is the following: For every E > 0 there is a C (E) > 0 so that the inequality (8.1.5.2) o1 - - for all 1; E 1) == / ' n dom {) n dom {)*. We leave it as an exercise for the reader to check that property (8.1.5.2) is equivalent to the norm Q being compact in the following sense: if {1;j} is bounded in the Q nonn then it has a convergent subsequence in the £2 nonn.
  • 265.
    254 Applications of the 8-Neumann Problem The theorem that we are about to prove is in fact true on any smoothly bounded domain with the property (8.1.5.2). Property (8.1.5.2) is known to hold for a large class of domains, including domains of finite type (see [CAT1], [CAT2], [DAN1], [DAN2], [DAN3], [KR1]) and, in particular, domains with real analytic boundary ([DF]). I PROOF OF THE THEOREM We have already observed that the Bergman projec- tion of a strongly pseudoconvex domain maps functions in Coo (n) to functions in Coo (n). Thus it suffices to prove our estimate (8.1.5.1) for j E Coo (n). Let r be a smooth defining function for n. Let ( E an and let U ~ en be a neighborhood of (. We may select a smooth function w on U such that n ar w == w· satisfies Iwnl == 1 on U. We select wl, ... ,w n - l on U such that wI, ... , w n forms an orthononnal basis of the (1, O)-forms on U. Thus any n ¢ E V o,I can be expressed, on n U, as a linear combination Of course, ¢ E VO,1 if and only if ¢n == 0 on an. Let Al be the tangential Bessel potential of order s, as defined in Section 7.5. If 7] is any real-valued cutoff function supported in U then, whenever ¢ E VO,1 we have 7]AI(7]¢) E VO,1 as well. The identity Q(NQ,~) == (Q,~), with Q == 8 j and 1/J == 7]3 A2s 7]N 8 j, yields that (8.1.5.3) Now we apply the compactness inequality (8.1.5.2) with ¢ == 7]AI(7]N8j) to obtain 117]A:(7]N8j)II 2 :::; EQ(7]A:(7]N8j), 7]A:(7]NfJj)) + C(E)II7]A:(7]N8j)II~1 :::; EQ(N8j, 7]3 A;s7]NfJj) + ECII NfJj II; + C'(E)IIN8jll;_1. Of course in the last estimate we have done two things: First, we have moved 7] and Af across the inner product Q at the expense of creating certain acceptable error terms (which are controlled by the term ECIINfJjll;). Second, we have used the fact that IIAI 9116 :::; IIgll; by definition. Now, using (8.1.5.3), we see that 117]A:(7]NfJj)II 2 :::; E(j, fJ*7]3 A;s7]N8j) + ECIINfJjll; +C'(E)IINfJjll;_I· (8.1.5.4) Now we may cover n with boundary neighborhoods U as above plus an interior patch on which our problem is strongly elliptic. We obtain an estimate like (8.1.5.4) on each of these patches. We may sum the estimates, using (as we did in the solution of the 8- Neumann problem) the fact that is an
  • 266.
    An Application tothe Bergman Projection 255 noncharacteristic for Q, to obtain Applying this inequality, with s replaced by s - 1, to the last term on the right, and then repeating, we may finally derive that (8.1.5.5) We know that 88* N af == af. As a result, II 1JA:1]a* N8fll 2 == (N8f, 1]3 A;s1]aa* N8f) + 0 (liNafils II1]A:1]8* N8fll) == (N8f, 1]3A;s1]8 f) + 0 (liN 8fils II1]A:1]8* N8fll) = o( (11 N8/11s + III lis) IlryA:ry8*N8/11 ). Summing as before, we obtain the estimate IIa* Naflls ~ c(IINaflls + Ilflls). Putting (8.1.5.5) into this last estimate gives If we choose E > 0 small enough, then we may absorb the first term on the right into the left-hand side and obtain lIa* Naflls ~ C· (IIflls + II N8 fllo) . (8.1.5.6) But the operator a* is closed since the adjoint of a densely defined operator is always closed. It follows from the open mapping principle that On the other hand, a*Na is projection onto the orthogonal complement of A 2 (n). Thus it is bounded in £2 and we see that IINafll ~ cllfllo. Putting this information into (8.1.5.6) gives
  • 267.
    256 Applications of the a·Neumann Problem If we recall that P == I - [)* N [) then we may finally conclude that IIPIlIs :::; CIIIlIs. That concludes the proof. I 8.2 Smoothness to the Boundary of Biholomorphic Mappings In this section we shall use the fact that Condition R holds on any strongly pseu- doconvex domain (Theorem 8.1.5) to prove the following theorem of Fefferman (this generalizes the one-variable result from Section 1.5): THEOREM 8.2.1 Let n ~ en be a strongly pseudoconvex domain with smooth boundary and <I> : n n a biholomorphic mapping. ---+ Then <I> extends uniquely to a diffeomorphism ojn to n. As already indicated, the proof given here is that of Bell [BE2] and Bell and Ligocka [BEL]. It will be particularly convenient for us to use the following form of Condition R that we proved in the last section: If P is the Bergman projection on the strongly pseudoconvex domain nand s E IR. then P : H s ---+ H s. Observe that the "uniqueness" portion of Theorem 8.2.1 is virtually a tautol- ogy and we leave its consideration to the reader. We build now a sequence of lemmas leading to the more interesting "smoothness" assertion of Fefferman's theorem. We begin with some notation. If nee en is any smoothly bounded domain and if j E N, we let 11,1 (n) == Hj (n) n {holomorphic functions on n}, H oo (n) == n00 j=l Hj (n) == Coo (0.) n {holomorphic functions on n}. Here Hj is the standard Sobolev space on a domain. Let Hg (n) be the Hj clo- sure of Cgo (n). (Exercise: if j is sufficiently large, then the Sobolev imbedding theorem implies trivially that H6 (n) is a proper subset of Hj (n).) Let us say that u, v E Coo (0.) agree up to order k on an if (:z) a (:z)~ (u - V)I == 0 Va,f3 with lal + 1f31 :::; k. an
  • 268.
    Smoothness to theBoundary of Biholomorphic Mappings 257 LEMMA 8.2.2 Let nee en be smoothly bounded and strongly pseudoconvex. Let wEn be fixed. Let K denote the Bergman kernel. Then there is a constant C w > 0 such that II K (w, ·)lIsup ~ CWo PROOF Observe that the function K (z, .) is harmonic. Let ¢ : n ---+ IR be a radial, C~ function centered at w (that is, ¢( (1) == ¢( (2) whenever J 1(1 - wI == 1(2 - wI). Assume that ¢ ~ 0 and ¢(() dV(() == 1. Then the mean value property (use polar coordinates) implies that K(z, w) = l K(z, ()</J(() dV((). But the last expression equals P¢(z). Therefore IIK(w")lIsup == supIK(w,z)1 zEn == sup IK(z,w)1 zEn == sup IP¢(z)l. zEn By Sobolev's theorem, this is By Condition R, this is I LEMMA 8.2.3 Let U E COO(n) be arbitrary. Let s E {O, 1,2, ...}. Then there is a v E COO(n) such that Pv == 0 and the functions u and v agree to order s on an. PROOF After a partition of unity, it suffices to prove the assertion in a small neighborhood U of Zo E an. After a rotation, we may suppose that apjaZ I i= 0 on un n, where p is a defining function for n. Define the differential operator Re V==-~----~ {2:7=1 it 8~J } 2 2:7=llitI Notice that vp == 1. Now we define v by induction on s. For the case s == 0, let pu Wo == 8p/8(1 .
  • 269.
    258 Applications of the a·Neumann Problem Define a Vo == a(1 Wo == u + O(p). Then u and Vo agree to order 0 on an. Also PVo(z) = J K(z, () 8~1 wo(() dV((). This equals, by integration by parts, -J8~1 K(z, ()wo(() dV((). Notice that the integration by parts is valid by Lemma 8.2.2 and because Wo Ian == O. Also, the integrand in this last line is zero because K (z, .) is conjugate holomorphic. Thus Pvo == 0 as desired. Suppose inductively that W s -l == W s -2 + Os_Ips and V s -l == (a/az 1 )(W s -l) have been constructed. We show that there is a W s of the fonn such that V s == (a/az 1 )(w s ) agrees to order s with u on an. By the inductive hypothesis, a Vs == -a W s ZI - aW - + - [0 s·p s+l] _ - s -l a aZ I aZ I = Vs-I + Ps [( s ap + 1) OS 8Z 1 + p. ao s ] 8z] agrees to order s - 1 with u on an so long as Os is smooth. So we need to examine D(u - vs), where D is an s-order differential operator. But if D involves a tangential derivative Do, then write D == Do . D 1• It follows that D(u - vs) == Do(a), where a vanishes on an so that Doa == 0 on an. So we need only check D == v S • We have seen that Os must be chosen so that on an.
  • 270.
    Smoothness to theBoundary of Biholomorphic Mappings 259 Equivalently, or or It follows that we must choose which is indeed smooth on U. As in the case s == 0, it holds that Pv s == O. This completes the induction and the proof. I REMARK In this proof we have in fact constructed v by subtracting from u a Taylor type expansion in powers of p. I LEMMA 8.2.4 For each sEN we have 1f,oo(n) ~ p(Ho(n)). PROOF Let u E Coo((2). Choose v according to Lemma 8.2.3. Then u - v E o H and Pu == P(u - v). Therefore I n n Henceforth, let 1 , 2 be fixed Coo strongly pseudoconvex domains in en, with K 1 , K 2 their Bergman kernels and PI, P2 the corresponding Bergman pro- jections. Let <I> : n I -+ n2 be a biholomorphic mapping, and let u == det JaCe <I>. For j == 1,2, let 8j (z) == 80J (z) == dist(z, enj). LEMMA 8.2.5 For any 9 E £2(n 2) we have
  • 271.
    260 Applications of the a-Neumann Problem PROOF Notice that u· (g 0 4» E £2(0}) by change of variables (see Lemma 6.2.9). Therefore, by 6.2.8, P1(u· (g 0 4»)(z) == 1 01 K}(z,()u(()g(4>(()) dV(() == 1 0 1 u(z)K2 (4>(z), 4>(())u(()u(()g(4>(()) dV((). Change of variable now yields PI (U· (g 0 4»)(Z) == u(z) 1O2 K 2(4)(z), ~)g(~) dV(~) == U(Z) . [( P2(g)) 0 4>] (Z). I Exercise: Let nee en be a smoothly bounded domain. Let j E N. There is an N == N(j) so large that 9 E He' implies that 9 vanishes to order j on an. LEMMA 8.2.6 Let ~ : n1 ---+ n2 be a CJ diffeomorphism that satisfies (8.2.6.1) for all multiindices a with Ia I :s; j E Nand (8.2.6.2) Suppose also that 82 ( ~ ( z)) :s; C 81 ( Z ) . ( 8.2.6.3 ) Then there is a number J == J(j) such that, whenever 9 E HZ+ J (n 2 ), then go~ E HZ(n 1 ). PROOF The subscript 0 causes no trouble by the definition of HZ. Therefore it suffices to prove an estimate of the form By the chain rule and Leibniz's rule, if a is a multiindex of modulus not ex- ceeding j, then where 1,81 :s; lal,2: 11'il :s; lal, and the number of tenns in the sum depends only on a (a classical formula of Faa de Bruno--see [ROM]-actually gives
  • 272.
    Smoothness to theBoundary of Biholomorphic Mappings 261 this sum quite explicitly, but we do not require such detail). Note here that D'Yt1/; is used to denote a derivative of some component of 1/;. By hypothesis, it follows that I( :z ) <> (g 0 1/J) I :::: C L I(Df3 g) 0 1/J I. (81 (z) )- j . Therefore £1 L £1 I(Df3 g) 2 2 j 1 (:z) <> (g 0 1/J)(z) 1 dV(z) :::: C 0 1/J(z)1 (8 1(z))-2 dV(z) = r CL ln IDf3 2 g (w)1 281 (1/J-l(w))-2 j x I det Jc1/;- 1 12 dV(w). But (8.2.6.2) and (8.2.6.3) imply that the last line is majorized by C r L ln IDf3 g( w) 1282 ( w) -2j 82 ( w) -2n dV(w). (8.2.6.4) 2 Now if J is large enough, depending on the Sobolev imbedding theorem, then (Remember that 9 is supported in n2 and vanishing at the boundary.) Hence (8.2.6.4) is majorized by ClIgIIHJ+J. o I LEMMA 8.2.7 For each j E N, there is an integer J so large that if 9 E HZ+ J (n 2 ), then go <I> E HZ (n 1 ). PROOF The Cauchy estimates give (since <I> is bounded) that f==-l, ... ,n (8.2.7.1) and (8.2.7.2) where q, == (q,l, ... ,q,n). We will prove that (8.2.7.3) Then Lemma 8.2.6 gives the result.
  • 273.
    262 Applications of the a.Neumann Problem To prove (8.2.6.3), let p be a smooth, strictly plurisubharmonic defining func- n tion for l . Then p 0 <1>-1 is a smooth plurisubharmonic function on nz. Since p vanishes on an I and since <1> -I is p~oper, we conclude that p 0 <I> -I extends continuously to (2z. If P E an z and vp is the unit outward normal to an z at P, then Hopf's lemma (see our treatment in Section 1.5 Of, for a different point of view, consult [KRAl, Chapter 1]) implies that the (lower) one-sided derivative (a / avp ) (p 0 <1>-1) satisfies 8 (p 0 <I> -I (P)) ~ c. avp So, fOf W == P - EVp, E >0 small, it holds that These estimates are uniform in P E an z. Using the comparability of Ipl and 81 yields Setting z == q, -1 ( w) now gives which is (8.2.6.3). I LEMMA 8.2.8 The function u is in COO((2I). PROOF It suffices to show that u E Hi (n l ), every j. So fix j. According to (8.2.7.1), lu(z)1 ::; C8 1 (z)-Zn. Then, by Lemma 8.2.7 and the exercise for J the reader preceding 8.2.6, there is a J so large that 9 E HZ+ (n z) implies u . (g 0 <1» E Hi (n l ). Choose, by Lemma 8.2.4, agE Hf:+J (n z) such that Pzg == 1. Then Lemma 8.2.5 yields PI (u . (g 0 <1») == u. By Condition R, it follows that u E Hi (n l ). I LEMMA 8.2.9 The function u is bounded from 0 on (21. PROOF By symmetry, we may apply Lemma 8.2.8 to <1>-1 and det Jc (<1>-1) == l/u. We conclude that l/u E COO(Oz). Thus u is nonvanishing on O. I
  • 274.
    Other Applications of[) Techniques 263 PROOF OF FEFFERMAN'S THEOREM (THEOREM 8.2.1) Use the notation of the proof of Lemma 8.2.8. Choose gl, ... ,gn E Hg O+J (n 2 ) such that P2gi (w) == Wi (here Wi is the i th coordinate function). Then Lemmas 8.2.5 and 8.2.7 yield that U· <Pi E Hj(n 1 ), i == 1, ... , n. By Lemma 8.2.9, <Pi E Hj(n 1 ), i == 1, ... , n. By symmetry, <p- 1 E Hj (n 2 ). Since j is arbitrary, the Sobolev imbedding theo- rem finishes the proof. I 8.3 Other Applications of aTechniques The unifying theme of this book has been the theory of holomorphic mappings. We have seen that regularity for the classical Dirichlet problem for the Laplacian provided the key to understanding boundary regularity of conformal mappings in the complex plane. Likewise, boundary regularity for the a-Neumann problem has provided the key for determining the boundary behavior of biholomorphic mappings of several complex variables. Since we have gone to so much trouble to derive estimates for the a-Neumann problem, it seems appropriate at this time to depart from our principal theme a and discuss some other applications of our results on the problem. A point that hampered the theory of the Bergman kernel for years was that of boundary regularity. On the ball, for example, one sees that the Bergman kernel blows up if z, ( E B approach the same boundary point. But on B x B (diagonal) the Bergman kernel is smooth. One might hope that a similar result is true on, say, strongly pseudoconvex domains (the question is open for general smoothly bounded domains). Heartening partial results on this problem were made by Diederich in [DIE]. However, Kerzman [KER2] realized that the result follows easily from a-Neumann considerations. Here is a part of what Kerzman proved (this result is implicit in one of the lemmas from the last section): PROPOSITION 8.3.1 n Let ~ en be smoothly bounded and strongly pseudoconvex. Fix zEn. Then K(z, . ) is in C OO ((2). PROOF Let ¢ E C~ (en) be a nonnegative radial function of total mass one and with support in the unit ball. Define ¢E(() == E- 2n ¢((/E). Choose E to be a positive number less than the Euclidean distance of z to the boundary of n. Because K is harmonic in the first variable we have, by the mean value property, that K(w,z) = J K(w,l;)¢{(z-l;)dV(l;). But this last (a function of w) also equals the Bergman projection of ¢E (z - .). Since ¢€ (z - .) E CCXJ (n) and n satisfies condition R, we may conclude that
  • 275.
    264 Applications of the a·Neumann Problem K(·, z) E COO(n). But the Bergman kernel is conjugate symmetric in its variables; that finishes the proof. I A fundamental problem in the complex function theory of both one and several complex variables is to take a local construction of a holomorphic function and tum it into a global construction. In one complex variable we have the theorems of Weierstrass and Mittag-Leffler, Cauchy formulas, conformal mapping, and many other devices for achieving this end. In several complex variables, the a-Neumann problem is certainly one of the most important tools (along with sheaf theory and integral fonnulas) for this type of problem. n To illustrate this circle of ideas, let be a smoothly bounded, strongly pseu- doconvex and smooth. Then for any defining function p and P E 8n we know that the Levi form is positive definite on all W == (WI, ..• , wn ) satisfying n 8p 'L oz. (P)Wj = O. j=I J (8.3.2) This is the definition of strong pseudoconvexity. However it is an elementary exercise in calculus to see that if A > 0 is large enough then the new defining function exp(Ap(z)) - 1 PA () Z == A satisfies (8.3.3) for all wEen and some C > O. Details of this construction may be found in [KRAl, Chapter 3]. Now with such a function PA in hand we define the Levi polynomial Lp(z) == n 'L 8PA 1 -(P)(z· - p.) + - 'L n 2 8 pA --(P)(z· - P')(Zk - Pk). 8z. J J 2 8z .8z k J J j=I J j,k=I J The key technical result is this: PROPOSITION 8.3.4 With n, P, Lp as above there is a 8 > 0 such that if Iz - PI < 8, z E 0, and Lp(z) == 0 then z == P. See Figure 8.1.
  • 276.
    Other Applications of aTechniques 265 {Z : Lp(z) = O} FIGURE 8.1 PROOF We write the Taylor expansion for PA about the point P in complex notation: n 8PA n 8PA p(z) == p(P) + '"' -(P)(z· - p.) + '"' -_-(P)(z· - p.) ~ 8z. J J ~ 8z. J J j=1 J j=1 J 1 n 82 + - '"' ~(P)(z· - P')(Zk - Pk) 2 ~ 8z·8z J J j,k=1 J k n 82 + L --_ (P)(z· - P')(Zk - Pk ) + 0 ( Iz - PI 3 ) PA 8z ·8z J J j,k=1 J k
  • 277.
    266 Applications of the a-Neumann Problem Now if z is such that L p (z) == 0 then we find that n a2 p(z) = L 8z~~ (P)(Zj - Pj)(Zk - Pk) + O(lz - PI 3 ). j,k=l J k Of course the sum is nothing other than that on the left-hand side of (8.3.3) with w == z - P. So in fact we have If Iz - P I is sufficiently small then this last quantity is greater than or equal to (C/2)lz - P1 2 . That is what we wished to prove. I Now the upshot of the technical construction that we have just achieved is the following: THEOREM 8.3.5 Let n be smoothly bounded and strongly pseudoconvex. Let P E an. Then there is a function that is holomorphic on n and that cannot be analytically continued to any neighborhood of P. PROOF With 8 as in the preceding lemma, let ¢ E C~ (en) satisfy ¢ == 1 near P and ¢ is supported in the ball of center P and radius 8. Let ¢(z) g(z) = Lp(z) . Notice that 9 is holomorphic on the intersection of a small neighborhood of P with n, but it is certainly not holomorphic on all of n. Observe also that, by the choice of the support of ¢, the function 9 is well defined because we have not divided by zero. Finally, 9 blows up at P because L p (P) == o. a Consider the problem au = _ a¢J(z ) . Lp(z) The right-hand side has coefficients that are smooth on 0 because a¢ vanishes in a neighborhood of P. And, by inspection, the right-hand side of this equation a is a-closed. By our theory of the problem on strongly pseudoconvex domains, there is a function u that satisfies this equation and is CCXJ on O. Now the function G(z) == ¢J(z) + u(z) Lp(z) has the property that it is holomorphic (since aG == 0 by design). Moreover, G blows up (because ¢/ L p does and u does not) at P. We conclude that the holomorphic function G blows up at P hence cannot be analytically continued past P. That completes the proof. I
  • 278.
    Other Applications of[) Techniques 267 The Levi problem consists in showing that all pseudoconvex domains are domains of holomorphy. This can be reduced, by relatively elementary means, to proving the result for strongly pseudoconvex domains (see [KRl] for the whole story). That in tum can be reduced to showing that each boundary point P of a strongly pseudoconvex domain is essential: that is, there is a globally n defined holomorphic function G on that cannot be analytically continued past P. In fact, that is what we have just proved. It is not difficult to see that, on the ball with center P and radius 8, the real part of L p is of one sign. Thus we may take a fractional root of this holomorphic function. As a result, it may be arranged that 9 E L 2 (n). We leave it as an exercise for the reader to provide details of the following assertion: PROPOSITION 8.3.6 Let n be a smoothly bounded, strongly pseudoconvex domain. Let P E an. Then there is an £2 holomorphic function on n (an element of A 2 (n)) that cannot be analytically continued past P. It is in fact possible to construct a function that is CCXJ on nand holomorphic n on that cannot be continued past any boundary point. This requires additional techniques. See [HAS], [CAT3] for details of this result. Both the result of the last proposition, and the result of this paragraph, are true on any smoothly bounded (weakly) pseudoconvex domain. We conclude this section with another illustration of [) techniques in an ap- plication to the extension of holomorphic functions: THEOREM 8.3.7 Let n ~ enbe smoothly bounded and strongly pseudoconvex. Let M == {z E en : Zn n n M. If f is a holomorphic function on w then there == O}. Let w == is a holomorphic function F on n such that Flw == f. PROOF Let 7r : en ---+ M be given by 7r(ZI, •.. , zn) == (Zl, ... , Zn-l, 0). Define w == n n M and B == {z En: 7r(z) tJ. w}. Then Band ware disjoint and relatively closed in n. Refer to Figure 8.2. n By the CCXJ Urysohn lemma ([HIR]) there is a Coo function ¢ on such that ¢ == 1 in a neighborhood of wand ¢ == 0 in a neighborhood of B. Now define H(z) == ¢(z) . f(7r(z)). Since the support of ¢ lies in the complement of B, the function H is well- defined. And it extends f. But of course it is not holomorphic. We endeavor to make H holomorphic by adding on a correction term: set F(z) == H(z) + Zn . w(z). (8.3.7.1)
  • 279.
    268 Applications of the a-Neumann Problem M FIGURE 8.2 We seek w(z) such that 8F == 0 on O. This leads to the aequation - aH ow== - - . (8.3.7.2) Zn The right-hand side is smooth and well defined because H is holomorphic on a neighborhood of the set {z EO: Zn == O}. Moreover, the right-hand side is a-closed by inspection. Finally, it is an exercise in calculus to see that there is an s E IR such that the coefficients of the right-hand side lie in the Sobolev space HS. By our theory of the [) problem on a strongly pseudoconvex domain, there a exists awE HS that solves the equation (8.3.7.2). Since the problem is in fact elliptic on the interior, we see that w is in fact a classical smooth function on O. Thus the equation (8.3.7.1) defines a holomorphic function on 0 that plainly has the property that F Iw == f. The proof is complete. I
  • 280.
    9 The Local SolvabilityIssue and a Look Back 9.1 Some Remarks about Local Solvability In the nineteenth century and the first half of the twentieth, it was generally be- lieved that any partial differential equation with smooth coefficients and smooth data would-at least locally-have smooth solutions. This belief was fueled, at least in part, by the Cauchy-Kowalewski theorem, which says that this assertion, with "smooth" replaced by "real analytic," is always true. The Cauchy-Kowalewski theorem is the only general existence and regularity theorem in the entire theory of partial differential equations (see [KRP] for a treatment of this result). While fifty years ago it was thought to be typical, we now realize that it represents the exception. Jacobowitz and Treves [JAT] have shown that, in a reasonable sense, nonlocally solvable equations are generic. H. Lewy presented the first nonlocally solvable partial differential equation in [LEW2]. Lewy's equation is astonishingly simple. If the coordinates on }R3 are given by (x, y, t) ~ (x + iy, t) ~ (z, t), then the equation is Lu == - au + 7Z- . au == f. az at Although it is not made explicit in that paper, Lewy's discovery grew naturally out of analytic continuation considerations for holomorphic functions of two complex variables. This assertion becomes clearer when the accompanying paper [LEWl] is consulted. The local solvability issue is also intimately connected with integrability for systems of vector fields-specifically the vector fields arising as the real and imaginary parts of holomorphic tangent vector fields to a strongly pseudoconvex hypersurface. In particular, the Lewy equation is, in local coordinates, just the tangential Cauchy-Riemann equations on a spherical cap; the issue of local solvability for these equations is essentially equivalent (because the Levi form is nondegenerate) to the issue of analytically continuing CR functions to the (pseudo)convex side of the spherical cap.
  • 281.
    270 The Local Solvability Issue and a Look Back The local solvability question has received a great deal of attention since Lewy's work. Hormander gave necessary conditions for the local solvability of a linear partial differential operator (see [HOR1, Section 6.1]. Nirenberg and Treves [NTR] gave necessary conditions for a partial differential operator of principal type with smooth coefficients to be locally solvable. They also gave sufficient conditions when the coefficients are real analytic. Beals and Fefferman [BEF 1] showed that the Nirenberg-Treves condition is sufficient in general. Our intention in this brief chapter is to exposit the basic ideas concerning local solvability, with special emphasis on the connections with complex analysis. Although much of this material can be presented in an entirely elementary fashion (see Section 9.4), we position the subject last in the book so that we may draw on the earlier chapters both for concepts and for motivation. We refer the reader to [KOH2] and [NIR] for more on these matters; some of the material presented here is drawn from those references. 9.2 The Szego Projection and Local Solvability In order to be as explicit as possible, we shall work with the Siegel upper half-space with boundary M == {z E ((:2 : Imz2 == I Z lI 2}. It is worth noting explicitly that U is biholomorphic to the ball B: the mapping <Pl(Z) == ~ 1 + Zl , 1 - Zl <P2(Z) == l . -- 1+ Zl provides an explicit mapping of B onto U. In fact, U is an example of a Siegel domain of type two; all such domains have bounded realizations (see [KAN]). We shall identify M with JR.3 as follows: Let the coordinates on JR.3 be given by (x, y, t) ~ (x + iy, t) ~ (z, t). Let 1/J : }R3 --+ M (x, y, t) .--.+ (z, t + ilzI 2 ). The Jacobian of this mapping transforms the Lewy operator L (see Section 1) to the operator L ' == ~ a + 2'- a lZI~' UZI UZ2
  • 282.
    The Szego Projectionand Local Solvability 271 More explicitly, a aZ a aZ2 a aZ a aZ2 a - = azI aZ - + aZ - +I - - + - - az = - az -2 az aZ I az aZ2 I == -a + l Za + (0) Za aZ I ° - aZ2 -l - aZ2 and a aZ a aZ2 a aZ a aZ2 a - =atI aZ - +aZ - +I - - + - - at = - at - at aZ I at aZ2 I 2 a a ==-+-. aZ2 aZ2 The formula for L' follows. We shall pass back and forth freely between statements on IR3 and state- ments on M. In particular, we shall need to take statements about holomorphic functions on the ambient space in which M lives and interpret them in the coordinates on IR3 • We should certainly note at this stage that if p( z) == 1m Z2 -I zl12 is a defining function for U, then L' annihilates p at points of M. This says that L' is a tangential holomorphic vector field. By linear algebra, any other tangential holomorphic vector field is a scalar multiple of L'. The operator l./ is frequently termed the tangential Cauchy-Riemann operator. We shall develop that usage as the chapter progresses. Recall the space H 2 from Chapter 6. We recast it in our present language. Equip M with the area measure dx dy dt inherited from IR3 • Define L 2 (M) with respect to this measure. Let H 2 (M) denote the subspace of L 2 (M) consisting of boundary values of holomorphic functions on U. Equivalently, H 2 (M) consists of the L 2 (M) closure of the boundary functions of those functions that are smooth on U, holomorphic on U, and decay fast enough at 00. The equivalence, and naturality, of these various definitions is treated in [STBV] and [KRl]. Let P : L 2 (M) -+ H 2 (M) be orthogonal projection. It is convenient also to have a separate notation for the mapping that assigns t~ each f E L 2 (M) the holomorphic extension of P f to U. Call this mapping P. Then, as indicated in Chapter 6, P is just the Szego integral: (9.2.1) where 1 1 S(ZI,Z2,x,y,t)=z("(_ 7r l W2 - Z2 ) - 2- WI Zl )2' In fact, one may derive this formula by pulling back the Szego formula on the ball that we derived in Chapter 6. It is worth noting that the identification
  • 283.
    272 The Local Solvability Issue and a Look Back (z, t) ~ (z, t +i 2 ) is in fact the canonical one coming from the simple 1Z 1 transitive action of IR3 acting as the Heisenberg group on M. This action is explained in detail in [KRl, Ch. 2] and [CHK]. In particular, the Haar measure on the Heisenberg group is just the standard Lebesgue measue on this realization of IR3 • While this point of view is not essential to an understanding of the present chapter, it helps to explain formula (9.2.1). For more on the Heisenberg group, see [CHK]. See also [KOV]. PROPOSITION 9.2.2 Let ( E M and f E L 2 (M). Then Pf is analytically continuable past ( (into the complement of U) If and only if P f is real analytic on M near (. PROOF This is essentially a tautology. I Now the main result of this section is the following: THEOREM 9.2.3 Let f E L 2 (M) and let ( E M. Then the equation Lu == f has a C 1 solution in a neighborhood of ( E M if and only If P f is real analytic in a neighborhood of (. COROLLARY 9.2.4 Fix ( E M. There exist functions f E L 2 (M) n C(M) such that the equation Lu == f has no C 1 solution in a neighborhood of (. Indeed, such f are generic. PROOF OF THE COROLLARY Suppose without loss of generality that ( is the image under the biholomorphism <1> of the point (1, 0) E aB. Let F (z) == J-l 0 <1>-1 (z), where J-l( w) == ~. Then F is plainly continuous near ( and not real analytic in any neighborhood of (. Set f == F 1M. Then of course P f == f and Pf == F. This f does the job. The fact that such functions f are generic follows from elementary considera- tions: Once we have peaking functions (actually 1 - J-l is a peaking function) as in the preceding paragraph then the density of f for which the partial differential equation is not solvable near P follows from Stone-Weierstrass considerations. For further details on the genericity of f for which the differential equation is not solvable, we refer the reader to [JAT]. I
  • 284.
    The Szego Projectionand Local Solvability 273 The remainder of this section, and also the next section, will be devoted to a proof of the theorem. For some parts of the proof we shall have to refer the reader to the literature, but we can certainly describe the key ideas. We will make use of the following property of the Szego kernel. Because we have an explicit formula for S on U, this property follows immediately by inspection. However, we wish to isolate it because our arguments will apply on any domain on which the property holds. Condition A: Let W ~ M be a relatively open set. Then the Szego kernel extends to be a continuous function on W x ell W). Furthermore, if K ~ W is compact then there is an open set V ~ en such that K ~ V n M ~ Wand, for each fixed w E U W, the function S( . ,w) continuous analytically to V. This condition is slightly at variance with an analogous condition enunciated in [KOH2, p. 216]. However, it is best suited to our purposes. Condition A is known to hold, for instance, on smoothly bounded strongly pseudoconvex domains. See [FEF], [BDS], [TAR], and [TREI] for details. Now consider the partial differential operator L ' == - a - 2' Z I - · l a aZI aZ2 If p( z) is the defining function for U as above, then L' p == 0 on au. Of course L' is nothing other than the tangential Cauchy-Riemann operator. It makes sense to restrict its action to functions on M. In particular, L' annihilates any H 2 (M) function. We may consider its formal adjoint L'*, which is given by (L'*u, v) == (u, L'v) for all u, v E C~ (M). Notice that L'* is a first order homogeneous partial differential operator because L' is. PROPOSITION 9.2.5 Let ( E M. Let f E L 2 (M). If there is an £2 function u on a neighborhood U n M of ( satisfying L'*u == f on U then Pf has a holomorphic extension past (; that is, there is an open set V ~ e2 with ( E V such that Pf continues analytically to V. PROOF If 9 is an L 2 function on M that is 0 in a neighborhood 1V of ( E M then it is immediate from Condition A that Pg extends analytically past (.
  • 285.
    274 The Local Solvability Issue and a Look Back Now let TJ E C~(M) satisfy "7 == 1 in a neighborhood of (. Then, in that same neighborhood, ' I - L'*("7u) == I - [L'*(TJ)]u - TJ[L'*u] == I - 0 . U - 1 . I == O. By the preceding paragraph, P(I - L'* (TJu)) continues analytically past (. But L'*(TJu) ..1 H 2 (M) hence P(I - L'*(TJu)) == PI. That completes the proof. I Now notice that L'* == L'. Thus we have COROLLARY 9.2.6 Fix ( E M and let I E L 2 (M). If PI is not real analytic in a neighborhood of (, then the equation L'u == I is not solvable in a neighborhood of (. PROOF Since PI is not real analytic in a neighborhood of ( then (as has been noted above), PI does not continue analytically past (. The proposition then gives the result. I Of course the proposition is just the forward direction of Theorem 9.2.3. In order to prove the converse direction, we shall need the basic Hodge theory for the tangential Cauchy-Riemann operator. That will be developed in the next section. 9.3 The Hodge Theory for the Tangential Cauchy-Riemann Complex What we are about to do here closely parallels the Hodge theory that we de- veloped for the a-Neumann complex in Chapter 7. Therefore we shall be brief. A thorough treatment of CR manifolds and the tangential Cauchy-Riemann operator may be found in [BOG]. a Intuitively what we want to do is to look at the restriction of the complex to M. This means that we want to restrict attention to only certain types of forms. The convenient language for formulating these ideas precisely is to pass to a quotient. Let p, q E {O, 1,2, ... }. Following the notation of Kohn ([FOK], [KOH2]), we shift gears in this section and let AP,q denote the (p, q)-fonns with COCJ coefficients on U. Now set cP ·q == {f E AP,q : EJp / I == 0 on M}.
  • 286.
    The Hodge Theoryfor the Tangential Cauchy-Riemann Complex 275 Here p( z) == 1m Z2 - Izll2 is the usual defining function for U. Clearly, a: C P . q ---t CP .q + I . Set BP.q == AP,q /C P.q. By (*) we see that a induces a well-defined operator on BP,q which we denote a by b • We call a the boundary complex and b the tangential Cauchy-Riemann operator. (Exer- cise: What does this tangential Cauchy-Riemann operator have to do with the operator from Section 9.2?) Let TI.O(M) == T(M) n T1.o. Here T is the complexified tangent space described earlier in this book. Thus a E T~,o(M) if and only if and Likewise TO. I (M) == T(M) n TO,I. Of course BI,o and BO,I are, respectively, dual to T I .o and TO. I • The standard hermitian inner product on T(M) induces inner products on T~'o and T~·I. It follows that an inner product is induced on each B~·q; using the L 2 structure on M, we then obtain an inner product (0,8) = 1M (o( ,/3()( dx dy dt on the forms in BP.q. We invite the reader to verify that BP,q is nothing other than the space of forms restricted to M that are pointwise orthogonal to the ideal generated by p. a We define the formal adjoint {) b of ab by the relation for forms a, f3 with C~ coefficients on M. Thus {)b : BP.q ---t BP,q-1 when q ~ 1. In analogy with the development in Chapter 7, we define the b Laplacian a by Db == ab{)b + {)bab. If we let Li,q denote the competion (in the L 2 topology) of BP,q then we may define q Dom(Df·q) == {a E Li· : a in the domain of Db}. In analogy with our work in Chapter 7, it can be shown that Dom(D b ) == Dom(ab ) n Dom('19 b) n {a : aba E Dom('19 b ) , 'l9 ba E Dom(ab )}.
  • 287.
    276 The Local Solvability Issue and a Look Back Set 1t~,q == {a E Dom(D~,q) : D~,qa == O}. This is the harmonic space. Now let {)b denote the closure of the operator {)b that we defined above. It follows (again see Chapter 7) that (8b ) * == () b, where (8b )* is the L 2 adjoint of 8b . Notice that (D~,qa, a) == 118b ¢lll2 + II{)b<l>lli2. Then it follows that PROPOSITION 9.3.1 We have that Of course the operator () b on functions is just the zero operator. It follows that 1t~,o is nothing other than H 2 (M). By the same token, on functions, Dba == ()b8ba. Now we have a local solvability statement for Db: THEOREM 9.3.2 Let f E L 2 (M), Let ( E M and let U be a boundary neighborhood of (. If there is a function U E L 2 (U n M) such that Dbu == j, then Pj has an analytic continuation past (. PROOF This is the same as the forward direction of the proof of Theorem 9.2.3. I But, using the additional machinery we have developed, there is the following strictly stronger result: THEOREM 9.3.3 Assume that the range of the L 2 closure of Db on functions is closed. Fix ( EM. Then the equation Db U == f is solvable in a neighborhood of ( if and only if Pf is analytically continuable past (.
  • 288.
    Commutators, Integrability, andLocal Solvability 277 PROOF If B is a subspace of the Hilbert space A, then we let A e B denote the orthogonal complement of B in A. The hypothesis that the closed operator (still denoted by Db) has closed range means that there is a bounded self-adjoint operator such that Thus N b is a right inverse for Db. (This is the Neumann operator for Db; again refer to our work in Chapter 7 for details.) Of course we may extend N b to all of L 2 by setting N b == 0 on H 2 and extending by linearity. Then we have the orthogonal decomposition If P f is analytic in a neighborhood of ( then the Cauchy-Kowalewski theorem guarantees (because Db has analytic coefficients) that there is a function v on a neighborhood of ( such that Dbv == P f. But then proving the local solvability of our partial differential equation. Of course the converse direction is contained in the preceding theorem. I Now one may check from the definitions that, on functions, (think about the canonical dual object in the cotangent space at each point to the vector field L and check that it is pointwise orthogonal on M to the ideal generate by [)p). Thus if f on M has the property that P f is analytic near ( and if v is a solution to Dbv == f as provided by the last theorem, then Lv is a solution to Lw == f. That proves the converse direction of Theorem 9.2.3 and completes our discussion of local solvability for the operator L. 9.4 Commutators, Integrability, and Local Solvability In this section we shall examine the local solvability question from a more elementary point of view. In the end, however, we shall tie it into the preceding discussions. Consider a partial differential operator P == PI + iP2 ,
  • 289.
    278 The Local Solvability Issue and a Look Back where PI, P 2 are linear, real partial differential operators. Let us assume that PI ,P2 are linearly independent at each point. An example of such an operator is 1 a i a P==--+--. 2 2 ax ay This is nothing other than the operator a/az. If f is a given C~ function then the formula u(z) = -~ 7r if f(() (- z d~ d7] gives a solution to the equation Pu == f. See [KR 1] for details. It turns out that for arbitrary P satisfying the above hypotheses, it is possible to find a local change of coordinates so that, in these coordinates, the opera- tor P becomes (a nonvanishing multiple ot) the Cauchy-Riemann operator as above. Indeed, if z == x + iy satisfies pz == 0 and if Re 7 z, 1m 7 z are linearly independent, then we may write a a P == p az + W az . Applying both sides of this equation to the function z yields o==p so that a P == W 8z . Here w is a nonnvanishing function. The existence of such a function z, given an operator P, is not elementary. The necessary variational techniques may be found in [COH, Ch. 4, Section 8]. In any event, the study of operators P of the given form in dimension 2 is straightforward and reduces to consideration of the well-understood Cauchy- Riemann operator of classical complex analysis. Now suppose that the dimension is at least three. One might hope, in analogy with the classical method of integral curves (see [ZAU]), to find integral surfaces of the vector fields PI and P2 . The operator P would then act on each of these surfaces much as P acted on IR2 in the two-dimensional case. Then we could analyze the three-dimensional case by studying the problem on each two- dimensional integral surface and amalgamating the results. However, the Frobenius integrability theorem [KOM] provides conditions that are both necessary and sufficient for the preceding program to be feasible. Indeed, it is required that the commutator [PI, P2 ] == PI P 2 - P2 P I lie, at each point, in the span over IR of PI, P 2 . And in fact this integrability condition goes to the heart of the matter. Hormander (see [HORl]) showed that the integrability condition is necessary for local solvability of the partial differential operator P.
  • 290.
    Commutators, Integrability, andLocal Solvability 279 Given Hormander's theorem, we see that the operator a ,a L == - az + zz-at == 2 ( ax -- zay ) 1 a ,a + z( x- ' zy ( at ) ') a [ ~ ~ + y~] + i . [- ~ ~ + x~] 2 ax at 2 ay at satisfies Thus 1 {J 1 a a [L 1 , L 2 ] == "2 at + 2at == at ' and we see that [L 1 , L 2 ] is not in the span of L 1 , L 2 • By Hormander's theorem, L is not locally solvable. A slightly more elementary operator that is amenable to Hormander's anal- ysis is the Grushin operator [GRU], which is closely related to an example of Garabedian [GAB2]. The operator, on IR2 , is given by a ,a M == ax + zx ay . The reader may check that the integrability condition is not satisfied at the origin. Let us conclude this chaper with an elementary proof that the equation M u == f is not always locally solvable in a neighborhood of the origin. The argument presented here is taken from [NIR]. It is of particular interest in that it proceeds by attempting to carry out the program of changing the operator M into the Cauchy-Riemann operator and then dealing with the resulting singularity. We shall choose a particular non-real analytic f to facilitate the argument. To wit, let (x, y) be the coordinates on IR2 . Let D n ~ IR2 be the closed disc D( 1/ n, 4 -n), n == 1, 2, ... Let f be a COCJ function on }R2 that is compactly supported, even in the x-variable, and vanishes outside of the discs D n . Assume that f is positive on the interior of each D n • It is plain that f is not real analytic in any neighborhood of the origin. PROPOSITION 9.4.1 With the operator M and function f as above, the equation Mu==f has no C 1 solution in any neighborhood of the origin.
  • 291.
    280 The Local Solvability Issue and a Look Back PROOF Seeking a contradiction, suppose that u is a C 1 solution of the equation in a neighborhood U of the origin. Write u == e + 0, where e is even in the x-variable and 0 is odd in the x-variable. Then the even (in the x-variable) part of the equation Mu==f is :x 0 + ix :y 0 = f (x, y). (9.4.1.1) In particular, M annihilates e and we may take u == o. Let us restrict attention to the region {(x, y) : x 2: o}. Notice that 0 vanishes on the boundary of this region. Introduce the new variable s == x 2 /2. Hence a 1 a as xax . Dividing the equation (9.4.1.1) by x and making suitable substitutions yields au au -a + i-a == 1 ~ ~. f(v2s, y). (9.4.1.2) s y v2s Moreover, u == 0 when s == o. Observe that the left-hand side of (9.4.1.2) is just two times the Cauchy- Riemann operator applied to u in the coordinates (s, y). Thus we see that u is a holomorphic function of the complex variable s+iy on W == }R2 [Un (DnUD n )], where D n is the reflection of D n in the y-axis. But we also know that u vanishes on the y-axis. By analytic continuation, it follows that u == 0 on W. In particular, u == 0 on the boundary of each D n . Return now to the (x, y) coordinates. Then Stokes's theorem yields a contra- diction: This contradicton completes the proof. I Let us conclude by noting the connection between the point of view of the present section with that of the last section. We already know that the operator L from Section 2 is essentially the tangential Cauchy-Riemann operator. Saying that its real and imaginary parts satisfy the Frobenius integrability condition (in the sense that the real tangent space is in the span of Re L, 1m L and their commutators) is, in the language of several complex variables, saying precisely that the boundary of U is of finite commutator type in the sense of Kohn (see [KR1] for details and background of these ideas). And this is implied, for instance, by the hypothesis that the boundary is strongly pseudoconvex. Indeed,
  • 292.
    Commutators, Integrability, andLocal Solvability 281 the fact that the commutator has a component in the complex normal direction is just the same as saying that the Levi form is definite, as is exhibited explicitly by the formula £(Z, W) == ([Z, W], 8p). Here £ denotes the Levi form and p is the defining function for U. Thus we see that as soon as a hypersurface in C 2 exhibits strong complex "convexity" then the complex analysis gives rise in a natural fashion to an unsolvable partial differential operator. Such a phenomenon could not arise in the context of one complex variable, since the boundary of a domain in C 1 has no complex structure.
  • 294.
    Table of Notation Notation Meaning Page Number IR Real line 1 C Complex plane 1 a a Complex partial derivatives 1 8z J ' aZ J 6 Laplacian 2 Ck(X) k-times continuously differentiable functions 2, 8 v Unit normal direction 3, 209 D Unit disc 2 Pr (lIJ) Poisson kernel 5 An Lipschitz space 7 LiP! Lipschitz space 7 Py(x) Poisson kernel 10 ~~ Finite difference operator 17, 210 p Defining function 20 a(D) Symbol of an operator 24 j Fourier transform 26, 211 1 Reflection of f 28 7h Translation operator 34 F Fourier transform 36 Pn,{3 Schwartz space semi-norm 36 5 Schwartz space 36 Nf.,£,m Basis element for the Schwartz topology 37 5' Space of Schwartz distributions 37 COO c Smooth functions of compact support 40 V Smooth functions of compact support 40 Coo Smooth functions 40 £ Smooth functions 40 V' Space of distributions 40 283
  • 295.
    284 Notation Meaning Page Number [' Space of distributions 40 PK,Q Distribution semi-norm 40 8 Dirac mass 41 !*g Convolution of f and 9 43 {¢t} Friedrichs mollifiers 44 j Inverse Fourier transform of f 54 sm Symbol class 57 s;;> Symbol class 57 II IIRs Sobolev norm 57 HS Sobolev space 57 Op(p) Pseudodifferential operator 61 Tp Pseudodifferential operator 61 T* Adjoint of an operator 65 a(T) Symbol of the operator T 66 [A,B] Commutator 67 11K Symbols with support in K 68 r(x,~,y) Hormander symbol 68 Tm Hormander symbol class 69 Asymptotic expansion 69 rj Fourier transform in jth variable 69 tp Transpose of P 77 M¢ Multiplication operator 78 sing supp u Singular support of a distribution 78 8ij Kronecker delta 79 aL, aprin, ap Leading or principal symbol 88, 119,219 P(D) Partial differential operator 95 IR~ Upper half-space 95 Bj Boundary operator 95 Dj Normalized derivative 115 vO Restriction of v to the half space 116 o Tensor product 116 ¢a Mobius transformation 128 A 2 (O) Bergman space 131 K(z, (), Kn(z, () Bergman kernel 132, 135 JacIR Real Jacobian matrix 136 Jace Complex Jacobian matrix 136 J Complex Jacobian matrix 136 A(O) holomorphic functions, continuous on n 138
  • 296.
    285 Notation Meaning Page Number II IIH2 Hardy space norm 138 H2 Hardy space 139 S(z, () Szego kernel 139 P(z, () Poisson-Szego kernel 140 B(z, r) Isotropic ball 141 (3(z,r) Non-isotropic ball 142, 150 £g ('1) Length of the curve '1 143 6B Bergman Laplacian 147 Pk Homogeneous polynomials of degree k 154 dk Dimension of Pk 154 (P,Q) Inner product on Pk 154 ~N-I Unit sphere in }RN 156 1tk Surface spherical harmonics of degree k 157 Ak Solid spherical harmonics 157 y(k) Spherical harmonic 157 Z(k) x' Zonal harmonic 161 pt(t) Gegenbauer polynomial 169 1t p ,q Bigraded spherical harmonics 173 D(p, q; n) Dimension of HP,q 173 7f'p,q Projection onto HP,q 173 F(a, b, c; x) Hypergeometric function 175 Sh,q (r) Radial solution of the Bergman Laplacian 175, 178 CTp(cn) Complexified tangent space 185 Ip,q Bigraded differential forms 186, 188 IT Differential forms of degree r 186 a Holomorphic exterior derivative 186 a Antiholomorphic exterior derivative 186 dV Volume element 187 I~,q Forms with coefficients in C~ 188 HP,q Forms with coefficients in H S 188 s '1 Volume form 188 * Hodge star operator 188 · . . ,,0 I ITo, I ProJectloo 10tO I ' 191 {) Formal adjoint of a 191 vp,q Ip,q (0) n doma* 195 Q(¢,4» Quadratic form 196, 197 v~,q I~,q ndoma* 198 vp,q Closure of vp,q in the Q-topology 198 D a-Neumann Laplacian 199
  • 297.
    286 Notation Meaning Page Number F Friedrichs operator 196, 199 Lp Levi form 205 E(¢) Special Sobolev norm 206, 228 Lj Vector fields 209 fj Vector fields 210 Lj Vector fields 210 Ar Bessel potential 212 Af Tangential Bessel potential 217 I I Ills Tangential Sobolev norm 217 -(3 Dr. H Tangential difference operator 217 Q8 Regularized quadratic form 218 F8 Regularized Friedrichs operator 219 7 Gradient 225 Pk Cutoff functions 234 HP,q Harmonic space 246 H Harmonic projection 246 N Neumann operator 246 P Bergman projection 252 Condition R Bergman regularity 252 Hj(O), Hoo(O) Sobolev holomorphic functions 256 8j Distance to boundary of OJ 259 Lp Levi polynomial 264 U Siegel upper half-space 270 M au 270 <I> Cayley map 270 AP,q (p, q) forms with Coo (U) coefficients 274 BP,q Domain of ba 275 8b Tangential Cauchy-Riemann operator 275 T Complexified tangent space 275 H~,q Tangential harmonic space 276 Db Tangential Neumann Laplacian 276 Nb Tangential Neumann operator 277 £ Levi form 281
  • 298.
    Bibliography [ARO] N. Aronszajn, Theory of reproducing kernels, Trans. Am. Math. Soc. 68(1950), 337-404. [BAC] G. Bachman, Elements of Abstract Harmonic Analysis, Academic Press, 1964. [BAR] D. Barrett, Regularity of the Bergman projection on domains with trans- verse symmetries, Math. Annalen 258(1982), 441-446. [BEA 1] R. Beals, A general calculus of pseudo-differential operators, Duke Math. J. 42(1975), 1-42. [BEA2] R. Beals, Characterization of pseudodifferential operators and applica- tions, Duke J. 44(1977), 45-57; correction, ibid. 46(1979), 215. [BEA3] R. Beals, Weighted distribution spaces and pseudodifferential operators, J. d' Analyse Mathematique 39( 1981), 131-187. [BEFl] R. Beals and C. Fefferman, On local solvability of linear partial differ- ential equations, Ann. Math. 97( 1973), 482-498. [BEF2] R. Beals and C. Fefferman, Spatially inhomogeneous pseudo- differential operators I, Comm. Pure Appl. Math. 27(1974), 1-24. [BEA] F. Beatrous, LP estimates for extensions of holomorphic functions, Mich. J. Math. 32(1985), 361-380. [BEC] W. Beckner, Inequalities in Fourier analysis, Ann. Math. 102( 1975), 159-182. [BD] E. Bedford, Proper holomorphic maps, Bull. A.M.S. 10(1984), 157-175. [BEl] S. Bell, Analytic hypoellipticity of the a-Neumann problem and ex- tendability of holomorphic mappings, Acta Math. 147(1981), 109-116. [BE2] S. Bell, Biholomorphic mappings and the a problem, Ann. Math. 114(1981),103-113. [BEB] S. Bell and H. Boas, Regularity of the Bergman projection in weakly pseudo-convex domains, Math. Annalen 257(1981), 23-30. [BKR] S. Bell and S. G. Krantz, Smoothness to the boundary of conformal maps, Rocky Mt. J. Math. 17(1987),23-40.
  • 299.
    288 BIBLIOGRAPHY [BEL] S. Bell and E. Ligocka, A simplification and extension of Fefferman's theorem on biholomorphic mappings, Invent. Math. 57(1980), 283-289. [BGL] J. Bergh and J. Lofstrom, Interpolation Spaces: An Introduction, Springer-Verlag, Berlin, 1976. [BOl] H. Boas, Sobolev space projections in weakly pseudoconvex domains, Trans. A.M.S. 288( 1985), 227-240. [B02] H. Boas, Regularity of the Szego projection in weakly pseudoconvex domains, Indiana Univ. Math. J. 34(1985),217-223. [BOK] J. Bokobza and A. Unterberger, Sur une generalization des operateurs de Caldero-Zygmund et des espaces H S , C. R. Acad. Sci. Paris 260(1965),3265-3267. [BOG] A. Boggess, Tangential Cauchy-Riemann Equations and CR Manifolds on CR Manifolds, CRC Press, Boca Raton, 1991. [BDS] L. Boutet de Monvel and J. Sjostrand, Sur la singularite des noyaux de Bergman et Szego, Soc. Mat. de France Asterisque 34-35(1976), 123-164. [CAL] A. P. Calderon, unpublished lecture notes. [CZl] A. P. Calderon and A. Zygmund, On the existence of certain singular integrals, Acta Math. 88( 1952), 85-139. [CZ2] A. P. Calderon and A. Zygmund, Singular integral operators and dif- ferential equations, Am. J. Math. 79( 1957), 901-921. [CAR] C. Caratheodory, Gesammelte Mathematische Schriften, 1955, Beck, Munich. [CCP] G. Carrier, M. Crook, and C. Pearson, Functions ofa Complex Variable, McGraw-Hill, New York, 1966. [CATl] D. Catlin, Necessary conditions for subellipticity of the a-Neumann problem, Ann. Math. 117(1983), 147-172. [CAT2] D. Catlin, Subelliptic estimates for the [) Neumann problem, Ann. Math. 126(1987), 131-192. [CAT3] D. Catlin, Boundary behavior of holomorphic functions on pseudocon- vex domains, J. Diff Geom. 15(1980), 605-625. [CHK] D. C. Chang and S. G. Krantz, Analysis on the Heisenberg Group and Applications, preprint. [COL] E. Coddington and N. Levinson, Theory of Ordinary Differential Equa- tions, McGraw-Hill, New York, 1955. [CMB] J. F. Colombeau, New Generalized Functions and Multiplication of Distributions, North Holland, Amsterdam and New York, 1984. [CON] P. E. Conner, The Neumann's Problem for Differential Forms on Rie- mannian Manifolds, Mem. Am. Math. Soc. #20, 1956.
  • 300.
    BIBLIOGRAPHY 289 [COR] H. Cordes, On pseudodifferential operators and smoothness of special Lie-group representations, Manuscripta Math. 28( 1979) 51-69. [COW] H. Cordes and D. Williams, An algebra of pseudodifferential operators with nonsmooth symbol, Pac. J. Math. 78(1978), 279-290. [COH] R. Courant and D. Hilbert, Methods of Mathematical Physics, Inter- science, New York, 1962. [DAN 1] J. P. D'Angelo, Real hypersurfaces, orders of contact, and applications, Ann. Math. 115(1982),615-637. [DAN2] J. P. D' Angelo, Intersection theory and the a-Neumann problem, Proc. Symp. Pure Math. 41(1984), 51-58. [DAN3] 1. P. D'Angelo, Finite type conditions for real hypersurfaces in en. In Complex Analysis Seminar, Springer Lecture Notes Vol. 1268, Springer-Verlag, 1987, 83-102. [DER] G. de Rham, Varieties Differentiables, 3rd ed., Hermann, Paris, 1973. [DIE] K. Diederich, Uber die 1. and 2. Ableitungen der Bergmanschen Kern- funktion und ihr Randverhalten, Math. Annalen 203(1973), 129-170. [DF] K. Diederich and J. E. Fornress, Pseudoconvex domains with real- analytic boundary, Ann. Math. 107(1978),371-384. [ERD] A. Erdelyi, et aI., Higher Transcendental Functions, McGraw-Hill, New York, 1953. [FED] H. Federer, Geometric Measure Theory, Springer-Verlag, Berlin, 1969. [FEF1] C. Fefferman, The Bergman kernel and biholomorphic mappings of pseudoconvex domains, Invent. Math. 26(1974), 1-65. [FEG] C. Fefferman, The uncertainty principle, Bull. A.M.S. 9(1983), 129- 206. [FKP] R. Fefferman, C. Kenig, and J. Pipher, preprint. [FOL] G. B. Folland, Spherical harmonic expansion of the Poisson-Szego kernel for the ball, Proc. Am. Math. Soc. 47(1975),401-408. [FOK] G. B. Folland and J. J. Kohn, The Neumann Problem for the Cauchy- Riemann Complex, Princeton University Press, Princeton, NJ, 1972. [GAB 1] P. Garabedian, Partial Differential Equations, Wiley, New York, 1964. [GAB2] P. Garabedian, An unsolvable equation, Proc. A.M.S. 25( 1970), 207- 208. [GIL] P. Gilkey, The Index Theorem and the Heat Equation, Publish or Perish Press, Boston, 1974. [RGR 1] C. Robin Graham, The Dirichlet problem for the Bergman Laplacian I, Communications in Partial Differential Equations 8(1983), 433-476; part II, ibid. 8(1983),563-641.
  • 301.
    290 BIBLIOGRAPHY [GRL] C. Robin Graham and J. M. Lee, Smooth solutions of degenerate Lapla- cians on strictly pseudoconvex domains, Duke J. Math. 57( 1988), 697- 720. [GRE] P. Greiner, Subelliptic estimates for the a-Neumann problem in C2 , J. Diff. Geom. 9(1974),239-250. [GRS] P. Greiner and E. M. Stein, Estimates for the a-Neumann Problem, Princeton University Press, Princeton, 1977. [GRU] V. Grushin, A certain example of a differential equation without so- lutions, Mat. Zametki 1O( 1971), 125-8; transl. Math. Notes 1O( 1971), 499-501. [GUP] M. de Guzman and I. Peral, Fourier Analysis, Proceedings of the EI Escorial Conference, Asociacion Matematica Espanola, 1979. [HAD] J. Hadamard, Le probleme de Cauchy et les equations aux derivees partielles lineaires hyperboliques, Paris, 1932. [HAS] M. Hakim and N. Sibony, Spectre de A(O) pour des domaines bomes faiblement pseudoconvexes reguliers, J. Funct. Anal. 37(1980), 127- 135. [HEI] M. Heins, Complex Function Theory, Academic Press, New York, 1968. [HEL] S. Helgason, Differential Geometry and Symmetric Spaces, Academic Press, New York, 1962. [HIR] M. Hirsch, Differential Topology, Springer-Verlag, Berlin, 1976. [HOR1] L. Hormander, Linear Partial Differential Equations, Springer-Verlag, Berlin, 1969. [HOR2] L. Hormander, Pseudo-differential operators, Comm. Pure Appl. Math. 18(1965),501-517. [HOR3] L. Hormander, Pseudo-differential operators and non-elliptic boundary problems, Ann. Math. 83«1966), 129-209. [HOR4] L. Hormander, The Analysis of Linear Partial Differential Operators, in four volumes, Springer-Verlag, Berlin, 1983-1985. [HOR5] L. Hormander, The Weyl calculus of pseudo-differential operators, Comm. Pure Appl. Math. 32(1979), 359-443. [INCE] E. L. Ince, Ordinary Differential Equations, Longmans, Green, and Co., London and New York, 1927. [JAT] H. Jacobowitz and F. Treves, Nowhere solvable homogeneous partial differential equations, Bull. A.M.S. 8( 1983), 467-469. [KAN] S. Kaneyuki, Homogeneous Domains and Siegel Domains, Springer Lecture Notes no. 241 , Springer-Verlag, Berlin, 1971.
  • 302.
    BIBLIOGRAPHY 291 [KAT] Y. Katznelson, An Introduction to Harmonic Analysis, Wiley, New York, 1968. [KEL1] O. D. Kellogg, Foundations of Potential Theory, Springer-Verlag, Berlin, 1929. [KEL2] O. D. Kellogg, Harmonic functions and Green's integral, Trans. Am. Math. Soc. 13(1912), 109-132. [KER1] N. Kerzman, A Monge-Ampere equation in complex analysis, Proc. Symp. Pure Math. , Vol. 30, Part 1, American Mathematical Society, Providence, RI, 1977, 161-168. [KER2] N. Kerzman, The Bergman kernel function. Differentiability at the boundary, Math. Annalen 195(1972), 149-158. [KOM] S. Kobayashi and K. Nomizu, Foundations of Differential Geometry, Vols. I and II, Interscience, New York, 1963, 1969. [KOHl] J. J. Kohn, Harmonic integrals on strongly pseudoconvex manifolds I, Ann. Math. 78(1963), 112-148; II, ibid. 79(1964),450-472. [KOH2] J. J. Kohn, Methods of partial differential equations in complex analy- sis, Proc. Symp. Pure Math., Vol. 30, American Mathematical Society, Providence, RI, 1977,215-237. [KOH3] J. J. Kohn, A survey of the a-Neumann problem, Proceedings of Sym- posia in Pure Math. 41(1984), 137-145. [KON1] J. J. Kohn and L. Nirenberg, On the algebra of pseudo-differential operators, Comm. Pure Appl. Math. 18(1965),269-305. [KON2] J. J. Kohn and L. Nirenberg, Non-coercive boundary value problems, Comm. Pure and Appl. Math. 18(1965),443-492. [KOV] A. Koranyi and S. Vagi, Singular integrals in homogeneous spaces and some problems of classical analysis, Ann. Scuola Norm. Sup. Pisa 25(1971), 575-648. [KR1] S. G. Krantz, Function Theory of Several Complex Variables, 2nd Ed., Wadsworth Publishing, Belmont, 1992. [KR2] S. G. Krantz, Lipschitz spaces, smoothness of functions, and approxi- mation theory, Expositiones Math. 3(1983), 193-260. [KR3] S. G. Krantz, Geometric Lipschitz spaces and applications to complex function theory and nilpotent groups, J. Funct. Anal. 34( 1979), 456- 471. [KR4] S. G. Krantz, Characterization of various domains of holomorphy via a estimates and applications to a problem of Kohn, Ill. J. Math. 23( 1979), 267-286. [KRP] S. G. Krantz and H. R. Parks, A Primer of Real Analytic Functions, Birkhauser, Basel, 1992, to appear.
  • 303.
    292 BIBLIOGRAPHY [LEWl] H. Lewy, On the local character of the solutions of an atypical linear differential equation in three variables and a related theorem for regular functions of two complex variables, Ann. Math. 64(1956),514-522. [LEW2] H. Lewy, An example of a smooth linear partial differential equation without solution, Ann. Math. 66(1957), 155-158. [LUM] Lumer, Expaces de Hardy en plusieurs variables complexes, C. R. Acad. Sci. Paris Sere A-B 273(1971), A151-A154. [MEY] Y. Meyer, Estimations £2 pour les operateurs pseudo-differentiels, Seminaire d' Analyse Harmonique (1977/1978), 47-53, Publ. Math. Or- say 78, 12, Univ. Paris XI, Orsay, 1978. [MIK1] S. G. Mikhlin, On the multipliers of Fourier integrals, Dokl. Akad. Nauk SSSR 109(1956), 701-703. [MIK2] S. G. Mikhlin, Multidimensional Singular Integral Equations, Pergam- mon Press, New York, 1965. [MIS] B. Mityagin and E. M. Semenov, The space C k is not an interpolation space between C and Cn,O < k < n, Sov. Math. Dokl. 17(1976), 778-782. [MOR] C. B. Morrey, Multiple Integrals in the Calculus of Variations, Springer-Verlag, Berlin, 1966. [MOS] J. Moser, On Harnack's theorem for elliptic differential equations, Comm. Pure Appl. Math. 14(1961),577-591. [NIR] L. Nirenberg, Lectures on Linear Partial Differential Equations, Amer- ican Mathematical Society, Providence, RI, 1973. [NTR] L. Nirenberg and F. Treves, On local solvability of linear partial dif- ferential equations I. Necessary conditions; II. Sufficient Conditions, Comm. Pure and Appl. Math. 23(1970), 1-38; 459-510; Correction, ibid. 24(1971), 279-288. [OSG] W. F. Osgood, Lehrbuch der Funktionentheorie, vols. 1 and 2, B. G. Teubner, Leipzig, 1912. [PAl] P. Painleve, Sur les lignes singulieres des functions analytiques, These, Gauthier-Villars, Paris, 1887. [PEE] J. Peetre, Rectifications a I' article "Une caracterisation abstraite des operateurs differentiels', Math. Scand. 8(1960),116-120. [RAN] R. M. Range, Holomorphic Functions and Integral Representations in Several Complex Variables, Springer-Verlag, Berlin, 1986. [RIEl M. Riesz, L'integrale de Riemann-Liouville et Ie probleme de Cauchy, Acta Math. 81(1949), 1-223. [ROM] S. Roman, The formula of Faa di Bruno, Am. Math. Monthly 87(1980), 805-809.
  • 304.
    BIBLIOGRAPHY 293 [RUD1] W. Rudin, Principles of Mathematical Analysis, 3rd Ed., McGraw-Hill, New York, 1976. [RUD2] W. Rudin, Function Theory in the Unit Ball of en, Springer-Verlag, Berlin, 1980. [RUD3] W. Rudin, Real and Complex Analysis, McGraw-Hill, New York, 1966. [SCH] L. Schwartz, Theorie des Distributions, I, II, Hennann, Paris, 1950-51. [SPE] D. C. Spencer, Overdetennined systems of iinear partial differential equations, Bull. Am. Math. Soc. 75(1969), 179-239. [STSI] E. M. Stein, Singular Integrals and Differentiability Properties of Functions, Princeton University Press, 1970. [STBV] E. M. Stein, The Boundary Behavior of Holomorphic Functions of Several Complex Variables, Princeton University Press, Princeton, 1972. [STW] E. M. Stein and G. Weiss, Introduction to Fourier Analysis on Euclidean Spaces, Princeton University Press, Princeton, 1971. [STR] K. Stromberg, An Introduction to Classical Real Analysis, Wadsworth, Belmont, 1981. [TAR] D. Tartakoff, The local real analyticity of solutions to Db and the a-Neumann problem, Acta Math. 145(1980), 177-204. [TAY] M. Taylor, Pseudodifferential Operators, Princeton University Press, Princeton, 1981. [TRE1] F. Treves, Analytic hypo-ellipticity of a class of pseudodifferential operators with double characteristics and applications to thea- Neumann problem, Comm. Partial Diff. Eqs. 3:6-7(1978),475-642. [TRE2] F. Treves, Introduction to Pseudodifferential and Fourier Integral Operators, 2 vols., Plenum, New York, 1980. [TRI] H. Triebel, Theory of Function Spaces, Birkhauser, Basel and Boston, 1983. [UNT] A. Unterberger, Resolution d'equations aux derivees partielles dans les espaces de distributions d'ordre de regularite variable, Ann. Inst Fourier 21(1971) 85- 128. [WEL] R. O. Wells, Differential Analysis on Complex Manifolds, 2nd ed., Springer- Verlag, 1979. [WHW] Whittaker and Watson, A Course of Modern Analysis, 4th ed., Cambridge Univ. Press, London, 1935. [WID] H. Widonl, Lectures on Integral Equations, Van Nostrand Reinhold, New York, 1969. [ZAU] E. Zauderer, Partial Differential Equations of Applied Mathematics, John Wiley and Sons, New York, 1 [ZYG] A. Zygmund, Trigonometric Series, Cambridge University Press, Cambridge, UK, 1968.
  • 306.
    Index a-Neumann problem, 184 Calder6n-Zygmund operator, 55 a-Neumann boundary conditions, 210 Cauchy principal value integral, 55 k times continuously differentiable, 8 Cauchy problem, 2 k times continuously differentiable Cauchy-Riemann equations, 129 function, 2,9 Cayley transfonn, 10 character of a group, 26 a closed range of the operator, 246 a priori estimate, 52 closed range property for a boundary action of a pseudodifferential operator on value problem, 100 a Sobolev space, 61 coercive estimate, 196, 206 algebraic properties of distributions, 38 commutator of operators, 66, 208 asymptotic expansion, 66-68 compactly supported distributions, 41 complex Jacobian, 135 complexified tangent space, 185 basic estimate, 206 Condition R, 252 Bell's lemma, 257 constant coefficient boundary value Bergman kernel, 133 problems, 95 Bergman kernel for the ball, 137 constant coefficient partial differential Bergman metric, 144 operators, 52 Bergman metric on the ball, 146 convolution, 43 Bergman projection, 252 convolution of distributions, 43 Bergman projection and the Neumann convolution of functions, 29 operator, 253 Bessel potential, 114, 212 bigraded spherical hannonics, 172 difference operators, 7 biholomorphic self-maps of the ball, 130 Dini-Kummer test, 176 boundary regularity for the Dirichlet Dirichlet problem, 2, 23 problem for the invariant Dirichlet problem for the Laplacian Laplace-Beltrami operator, 148, Laplacian, 151 ff, 182 150 boundary value problems reduced to Dirichlet problem on the disc, 4, 5 pseudodifferential equations, 116 disc, 1 295
  • 307.
    296 Index distributions, 40 hypergeometric equation, 174 domain with smooth boundary, 20 hypoelliptic operator, 78 hypoellipticity, 207 elliptic boundary value problem, 109 elliptic operator, 23, 79, 191 inhomogeneous Cauchy-Riemann elliptic regularity on an a smooth domain, equations, 248 124 interior regularity for an elliptic operator, elliptic regularization, 184 84 ellipticity, 25 interpolation of operators, 19 Euclidean volume element, 131 invariant Laplacian, 129 existence for a boundary value problem, inverse Fourier transform, 30 100 existence for a general elliptic boundary value problem, 114 Kahler manifold, 144 existence for an elliptic operator, 85 Kerzman's theorem, 263 extension theorem for Sobolev spaces, 92 key properties of a calculus, 65 Kodaira vanishing theorem, 248 Kohn, J. J., 252 Faa de Bruno, 260 Kohn-Nirenberg calculus, 56 Fefferman's mapping theorem, 256 Kohn-Nirenberg formula, 71 Fefferman's theorem, proof, 263 finite differences, 210 formal adjoint of a partial differential Laplace-Beltrami operator, 147 operator, 193 Laplace-Beltrami operator for the Fourier inversion formula, 34 Poincare-Bergman metric, 129 Fourier transform, 26 Laplacian, 1, 2 Fourier transform of a distribution, 40 Levi form, 205 Fourier-Laplace transform, 48 Levi polynomial, 264 fractional integration operator, 55 Levi problem, 267 Friedrichs extension lemma, 196 Lewy unsolvable operator, 269, 270 Friedrichs mollifiers, 44 Lewy's example of an unsolvable Frobenius integrability condition, 278 operator, 85 Frobenius integrability theorem, 278 Lipschitz spaces, 7, 125 local operator, 76 local solvability and analytic continuation, Gauss-Weierstrass kernel, 33 276 Gegenbauer polynomial, 169 Lopatinski condition, 96, 98, 100, 109 generalized Schwarz inequality, 215 Lumer's Hardy spaces, 139 Grushin operator, 279 Mobius transformation, 128, 130 Hormander calculus, 57 main estimate, 207, 239 Hardy spaces, 139 method of freezing coefficients, 54 hannonic projector, 246 Mityagin/Semenov theorem, 9 hannonic space, 276 Hilbert space adjoint of a partial differential operator, 193 Neumann boundary conditions, 200 Hodge star operator, 188 Neumann operator, 246, 247 Hodge theory for the [) operator, 246 nonisotropic balls, 150 holomorphic extension phenomenon, 267 nonisotropic geometry, 142 _ holomorphic function, 131 norm estimate for solutions of the {) Hopf's lemma, 22 problem, 237
  • 308.
    Index 297 overdetennined systeill of partial Siegel upper half space, 270 differential equations, 190 singular function, 266 singular support of a distribution, 77 smooth boundary continuation of Paley-Wiener theorem, 42, 49 confonnal mappings, 21 parallels orthogonal to a vector, 166 smoothing operator, 81 parametrix, 53, 81 Sobolev -1/2 nonn, 234 parametrix for a boundary value problem, Sobolev imbedding theorem, 58 109 Sobolev spaces, 57 parametrix for an elliptic boundary value solid spherical harmonics, 157 problem, 110 special boundary charts, 209 Peetre 's theorem, 76 spherical hannonics, 153, 156 Plancherel's fonnula, 35 strongly pseudoconvex, 205 plurihannonic function, 181 structure theorem for distributions, 41 plurihannonic functions, 142 subelliptic estimate, 184 Poincare metric on the disc, 144, 146 summability kernel, 30 Poisson kernel on the disc, 5 support of a distribution, 40 Poisson-Szego kernel, 140, 180 symbol of an adjoint pseudodifferential Poisson-Szego kernel on the ball, 141 operator, 68 Poisson-Szego kernel on the disc, 141 symbol of an operator, 54, 56, 190 principal symbol, 80, 88 Szego kernel, 139 pseudoconvex, 205 Szego kernel on the ball, 141 pseudodifferential operator, 23, 55 Szego kernel on the disc, 141 pseudodifferential operators under change Szego projection and analytic of variable, 88 continuation, 272 pseudolocal, 77 pseudolocal operator, 76 tangent space, 185 tangential Bessel potential, 217 Raabe's test, 176 tangential holomorphic vector field, 271 regularity for the Dirichlet problem, 10 tangential Sobolev nonn, 217 regularity in the Lipschitz topology, 125 tangential Sobolev spaces, 217 regularity of a boundary value problem, trace theorem for Sobolev spaces, 90 99 transfonnation of the Bergman kernel Rellich's lemma, 60 under biholomorphic mappings, Riemann-Lebesgue lemma, 27 135 Riemannian metric, 143 Riesz potential, 55 Riesz-Thorin theorem, 36 volume fonn, 187 rotations and the Fourier transfonn, 28 Weierstrass nowhere-differentiable Schauder estimates, 125 function, 8 Schur's lemma, 212 well-posed boundary value problem, 99, Schwartz distribution, 37 100 Schwartz function, 36 Schwartz space, 36 Schwartz's theorem, 47 zonal harmonic, 161, 170