Circular Motion
The conical pendulum
and beyond
Circular motion And Centripetal Force
What you need to know before Circular motion.

1.Force produces acceleration. F = ma(Newton 2)
2.How do I know that an object is accelerating.
What is acceleration?
3.Acceleration causes changing velocity.
4.Distance(d) around a circle is:
•the circumference of a circle
•d = 2πr ( r = radius of a circle)
5.A rotation (or revolution) means once around a
circle.
6.The time to go once around a circle is called the
period (T) of rotation.
7. The number of rotations in one second is the
frequency (f)
8.Frequency is measured in Hertz (hz) or (s -1)
9. We will only be working with CONSTANT
CIRCULAR motion ( v = d/t)
10. What is a tangent???
Circular Motion
Definitions
•An object moving at constant speed in a circular path has
the direction of its velocity changing  is accelerating.
•The direction of this acceleration is towards the centre of
the circle.
•The acceleration is perpendicular to the velocity
•This acceleration is called centripetal acceleration.
•The force which produces this acceleration, and therefore
produces the circular motion, is called centripetal force.
Circular Motion
• Different forces can provide a centripetal force, e.g. friction
pushing inwards or a rope pulling inwards.
• If the centripetal force is removed then the object will travel at
a tangent to the circle at a constant speed.
Ta
v nge
nti
al
ve
loc
it y
,
Circular Motion
Centripetal acceleration :
ac (m s-2) = v2
r
Centripetal force

Substitute
in
F = ma

Fc (N) = mv2
r

v : Tangential velocity (m s-1)
r : Radius of the circular path (m)
m : Mass of the moving object (kg)

radius,r

ac

Fc
Circular motion
• When an object undergoes circular motion
it must experience a
centripetal force
• This produces an acceleration
towards the centre of the circle

7
Angular
Speed

Centripetal
Force

8
9
10
11
Tangential Velocity
• v = d ÷t
• v = circumference ÷ period
• v = 2πr ÷ T

12
Acceleration
• The acceleration towards the centre of the
circle is
• a = v2/r

Centripetal Force Equation
•
•
•
•

The general force equation is
F = ma
so the centripetal force equation is
F = mv2/r
13
Centripetal Force and acceleration
• Circular motion is accelerated motion as the direction is
changing
• Thus the has to be an unbalanced/net force
• This is the centripetal force
• This centripetal force can come from tension in a string or
friction on a corner etc
• or any other force that pulls inward
Friction prevents a 1.5kg mass from falling off a rotating
turntable, which rotates at 30rpm. If the mass is 10cm from the
centre of rotation, what is the friction preventing the mass
moving outwards, and falling off?
Solution:
30 revolutions per minute means 1 revolution takes 2 seconds
T = 2s
r = 0.1m
m = 1.5 kg
v = 2π r ÷ T = 2π x 0.1 ÷ 2 = 0.63/2 = 0.32
F = v2 m
r
= 0.322 X 1.5
0.1
= 1.5 N
Course BOOK page 48 no 1 - 4
Conical Pendulum`
• An object swung
slowly on the end of a
string moves in a
circle
But the string is not
horizontal.
The string moves
round in the shape of a
cone
Centripetal Force
• Since the object is
moving round in a
circle we know that
there must be a force
towards the centre.
This is called the
centripetal force
Force Diagram
We can see that there
are two forces acting

Gravity downwards
Tension along the
string
Resultant Force
• With no force acting
towards the centre we
might look at the
resultant force.
The resultant force is
towards the centre
There is no overall
vertical force
component
Calculations
• Unfortunately there is
no obvious force
acting to the centre
• So how do the forces
relate to each other,
and to the speed of
circular motion?
• The same basic
formulae apply as
before
• a=v2/r
v=2πr/T

θ

r
v
Vertical Forces
• When we consider the
vertical components of
force
• The total is zero

T cos θ
T

θ

So vertical component of
tension = gravity
•T cos θ = m g
•Giving T = m g/ cos θ

W=mg
Horizontal Forces
• Horizontally the only
real force is the
component of Tension
F = T sin θ
This is equal to the
centripetal force
T sin θ = m v2 / r

T sin θ
Combined Formulae
• We can relate the
centripetal force to
mass.
• Combining equations
T sin θ = m v2 / r and
T = m g/ cos θ
Gives the relationship
m g tan θ = m v2 / r

tan θ = sin θ / cos θ
Example 1
Henry is swinging a 2.50 kg hammer round on the end of a 1.80
m long rope.
The angle of the rope to the vertical is 45o.
Calculate:
a) The weight of the hammer (g = 9.8 m s-2)
b) The tension force in the rope
c) The resultant force towards the centre
d) The radius of the circular motion
e) The velocity of the hammer
Worked Answers 1
a) Weight = m g = 2.5 x 9.8 = 24.5 N
b) From vertical motion T = m g / cos θ
T = 24.5 / cos 45 = 34.6 N
c) Horizontally the resultant force F = T sin θ
F = 34.6 sin 45 = 24.5 N
d) Radius is found by trigonometry
r = l cos θ = 1.80 cos 45 = 1.27 m
e) the velocity of the hammer is found by F = m v2 / r
24.5 = 2.5 v2 / 1.27

v2 = 12.5

v = 3.53 m s-1
Other Circular Motions
• This approach can be
used whenever the
circular motion is
caused by two or more
forces whose resultant
is towards the centre
Cars or bikes on Banked
Curves
Aeroplanes Banking
Banked Curves
• We will assume a
Smooth (icy, slippery,
oily, wet) surface.
• i.e. no friction
• Here the two forces
Reaction Force
acting are:
Gravity downwards
Normal Reaction at
θ
90o to the surface

Weight
Force
Banked Curve Formulae
• We can relate the
forces in the same way
as with the conical
pendulum
The resultant is towards
the centre (horizontal)

Reaction Force

T = m g/ cos θ (Vertically)
T sin θ = m v2 / r (Horizontally)

θ
Weight
Force

Resultant Force
Derivation of Banked Curves
• Divide the x by the y

mv
FN sin θ =
r
FN cosθ = mg

• Gives
2

• Notice mass is not
involved
v2 = rg tan ϴ

v
tan θ =
rg

2
Example 2
A motor bike is travelling round a
smooth curve banked at 20o. The
radius of the curve is 55 m. If the
mass of the bike and rider is 275 kg
find the maximum safe speed round
the bend.

How would the maximum safe speed
change if there was friction between
the tyres and the road? Explain your
answer.
Worked Answers 2
g tan θ = v2 / r
m = 275 kg, g = 9.8 ms-2, r = 55 m, q = 20o
9.8 tan 20 = v2 / 55
v2 = 196

v = 14 m s-1

With friction the bike can go faster.
This is because the friction force will be down the slope,
stopping the bike sliding off the outside of the track. It will have
a component towards the centre. This will increase the
centripetal force, and hence the maximum speed.
Why do motorcyclists lean when
cornering?
Consider the forces
Straight line
Consider the forces
Cornering upright

Centripetal force

Which way is he turning?
What will happen?
(consider Torque about center of mass)
Consider the forces
Cornering leaning

Centripetal force
What will happen?
(consider Torque about center of
mass)
clockwise torque = anticlockwise torque
Planes Banking
• With planes it is the
lift force created by
the wings that keeps
the plane flying
In order to turn corners
planes must be tilted, or
banked
A bigger angle of tilt
means a sharper turn
Note banking the plane
causes it to turn
Forces on Planes
• The lift force is
perpendicular to the
wings
• The weight force is
downwards
When banking the lift
must balance the weight
AND provide the
centripetal force

θ

Lift Force

Resultant
Force
Weight
Force

L = m g/ cos θ (Vert.), L sin θ = m v2 / r (Hor.), g tan θ = v2 / r
Example 3
The picture shows a plane banking. The
plane is travelling at 400 m s-1. By
examining the picture:
a

Estimate the angle of banking.

b

Estimate the mass of the plane.

For your estimates work out:
c

The radius of the circular path

d
The size of the lift force required
by the wings
Worked Answers 3
a

Angle is about 25o (20-30)

b

Mass is about 5 tonnes = 5000 kg

c

g tan θ = v2 / r
g = 9.8 m s-2, θ = 25o, v = 400 m s-1
9.8 tan25 = 4002 / r
r = 35000 m = 35 km
L = m g/ cos θ

d

L = 5000 x 9.8 / cos 25 = 54000 N
Circular Motion Summary
under the action of two forces
•Real forces may not act towards the centre
•The resultant force always acts towards the centre
•The same basic formulae apply as before a=v2/r
v=2πr/T
•The two forces acting are related by the formulae
T = m g/ cos θ (Vertically)
T sin θ = m v2 / r
(Horizontally)
θ is the angle of tilt to the vertical
•Conical Pendulum, Smooth Banked Curves and Planes Banking
are examples of circular motion caused by two combined forces.
Vertical Circular Motion
• Why doesn’t he fall at the highest point?
What happens to the penguin
if the lift is stationary?
Why?
acceleration = 0

Gravity pulls the penguin down,
the elevator produces an equal
and opposite force up
What happens to the penguin
if the lift is accelerates up at
10ms-2?
Why?

acceleration

Gravity pulls it down, the
elevator produces a force up
that is twice its weight.
What happens to the penguin
if the lift is accelerates down
at 10ms-2?
Why?

acceleration

The penguin is in freefall.
There is no upward force on
the penguin from the elevator.
When we feel “weight”, it is
the upward force from the
floor. The penguin thinks she
is weightless
What happens to the penguin if the
lift is accelerates down at 15ms-2?
Why?
acceleration

The penguin is stuck to the
ceiling of the elevator.
She is accelerating at more
than 10 ms-2, so an extra
force is needed. (this is from
the elevator ceiling)
Roller Coaster
Why does the car not fall?
It is falling!! But it’s also moving
sideways.
If the centripetal acceleration is
greater than 10 ms-2 the car will
stay on the track
This is like being in an elevator
accelerating down at › 10ms-2. You
will be on the ceiling.
Gravity and Satellites
• How are you able to
watch the All Blacks on
TV when they are
playing in France?
• How are you able to
have a cellphone
conversation with your
friend in the USA?
International Space Station
Other Uses of Satellites
• Tracking endangered animals
Satellite Weather Forecasting
Satellites
Satellites are above the atmosphere (no air resistance), so the
only force on them is…………. Gravity
Why don’t satellites fall?
• link to Newton's mountain
• Satellites are falling, but they are moving
sideways,
• They fall at the same rate that the earth
curves away under them
Weightlessness.
• You don’t feel the gravity force on your
body, you feel the support force pushing up.
• You can feel weightless for two reasons.
1:You are weightless in outer space. There is
no gravity force so there is no reaction force
You feel weightless in orbit
• You feel “weight” due to the support force on
you.
• The astronaut and their satellite are in free fall.
• There is no support force acting on them
Newton’s Law of Gravitation

m1m2
F =G 2
r
Can a satellite have any speed?
• At a certain height, a satellite must have one
particular speed.
• Satellite Speed:

ms mE ms v 2
F =G 2 =
r
r
2

mE v
G 2 =
r
r

mE
2
G
=v
r

mE
v = G
r
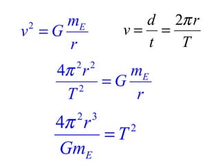
Period of a satellite
The period of a satellite orbiting around the
earth only depends on the altitude.
mE
v =G
r
2

d 2π r
v= =
t
T

mE
4π r
=G
2
T
r
2 2

4π r
2
=T
GmE
2 3
4π r
2
=T
GmE
2 3

• Notice the mass of the satellite doesn’t
appear in the equation.
• All masses have the same acceleration due
to gravity:

F
a=
m

weight
g=
mass
• A geostationary satellite has a period of 24 hours
• It must have the earth’s centre as its orbital
centre
• It must be above the equator
Geostationary Satellites
AU
S

NZ
AU
S

NZ
AU
S

NZ
AU
S
NZ
S

AU

NZ
AU
S

NZ
AU
S

NZ

Circular

  • 1.
    Circular Motion The conicalpendulum and beyond
  • 2.
    Circular motion AndCentripetal Force What you need to know before Circular motion. 1.Force produces acceleration. F = ma(Newton 2) 2.How do I know that an object is accelerating. What is acceleration? 3.Acceleration causes changing velocity. 4.Distance(d) around a circle is: •the circumference of a circle •d = 2πr ( r = radius of a circle)
  • 3.
    5.A rotation (orrevolution) means once around a circle. 6.The time to go once around a circle is called the period (T) of rotation. 7. The number of rotations in one second is the frequency (f) 8.Frequency is measured in Hertz (hz) or (s -1) 9. We will only be working with CONSTANT CIRCULAR motion ( v = d/t) 10. What is a tangent???
  • 4.
    Circular Motion Definitions •An objectmoving at constant speed in a circular path has the direction of its velocity changing  is accelerating. •The direction of this acceleration is towards the centre of the circle. •The acceleration is perpendicular to the velocity •This acceleration is called centripetal acceleration. •The force which produces this acceleration, and therefore produces the circular motion, is called centripetal force.
  • 5.
    Circular Motion • Differentforces can provide a centripetal force, e.g. friction pushing inwards or a rope pulling inwards. • If the centripetal force is removed then the object will travel at a tangent to the circle at a constant speed. Ta v nge nti al ve loc it y ,
  • 6.
    Circular Motion Centripetal acceleration: ac (m s-2) = v2 r Centripetal force Substitute in F = ma Fc (N) = mv2 r v : Tangential velocity (m s-1) r : Radius of the circular path (m) m : Mass of the moving object (kg) radius,r ac Fc
  • 7.
    Circular motion • Whenan object undergoes circular motion it must experience a centripetal force • This produces an acceleration towards the centre of the circle 7
  • 8.
  • 9.
  • 10.
  • 11.
  • 12.
    Tangential Velocity • v= d ÷t • v = circumference ÷ period • v = 2πr ÷ T 12
  • 13.
    Acceleration • The accelerationtowards the centre of the circle is • a = v2/r Centripetal Force Equation • • • • The general force equation is F = ma so the centripetal force equation is F = mv2/r 13
  • 14.
    Centripetal Force andacceleration • Circular motion is accelerated motion as the direction is changing • Thus the has to be an unbalanced/net force • This is the centripetal force • This centripetal force can come from tension in a string or friction on a corner etc • or any other force that pulls inward
  • 15.
    Friction prevents a1.5kg mass from falling off a rotating turntable, which rotates at 30rpm. If the mass is 10cm from the centre of rotation, what is the friction preventing the mass moving outwards, and falling off? Solution: 30 revolutions per minute means 1 revolution takes 2 seconds T = 2s r = 0.1m m = 1.5 kg v = 2π r ÷ T = 2π x 0.1 ÷ 2 = 0.63/2 = 0.32 F = v2 m r = 0.322 X 1.5 0.1 = 1.5 N Course BOOK page 48 no 1 - 4
  • 16.
    Conical Pendulum` • Anobject swung slowly on the end of a string moves in a circle But the string is not horizontal. The string moves round in the shape of a cone
  • 17.
    Centripetal Force • Sincethe object is moving round in a circle we know that there must be a force towards the centre. This is called the centripetal force
  • 18.
    Force Diagram We cansee that there are two forces acting Gravity downwards Tension along the string
  • 19.
    Resultant Force • Withno force acting towards the centre we might look at the resultant force. The resultant force is towards the centre There is no overall vertical force component
  • 20.
    Calculations • Unfortunately thereis no obvious force acting to the centre • So how do the forces relate to each other, and to the speed of circular motion? • The same basic formulae apply as before • a=v2/r v=2πr/T θ r v
  • 21.
    Vertical Forces • Whenwe consider the vertical components of force • The total is zero T cos θ T θ So vertical component of tension = gravity •T cos θ = m g •Giving T = m g/ cos θ W=mg
  • 22.
    Horizontal Forces • Horizontallythe only real force is the component of Tension F = T sin θ This is equal to the centripetal force T sin θ = m v2 / r T sin θ
  • 23.
    Combined Formulae • Wecan relate the centripetal force to mass. • Combining equations T sin θ = m v2 / r and T = m g/ cos θ Gives the relationship m g tan θ = m v2 / r tan θ = sin θ / cos θ
  • 24.
    Example 1 Henry isswinging a 2.50 kg hammer round on the end of a 1.80 m long rope. The angle of the rope to the vertical is 45o. Calculate: a) The weight of the hammer (g = 9.8 m s-2) b) The tension force in the rope c) The resultant force towards the centre d) The radius of the circular motion e) The velocity of the hammer
  • 25.
    Worked Answers 1 a)Weight = m g = 2.5 x 9.8 = 24.5 N b) From vertical motion T = m g / cos θ T = 24.5 / cos 45 = 34.6 N c) Horizontally the resultant force F = T sin θ F = 34.6 sin 45 = 24.5 N d) Radius is found by trigonometry r = l cos θ = 1.80 cos 45 = 1.27 m e) the velocity of the hammer is found by F = m v2 / r 24.5 = 2.5 v2 / 1.27 v2 = 12.5 v = 3.53 m s-1
  • 26.
    Other Circular Motions •This approach can be used whenever the circular motion is caused by two or more forces whose resultant is towards the centre Cars or bikes on Banked Curves Aeroplanes Banking
  • 27.
    Banked Curves • Wewill assume a Smooth (icy, slippery, oily, wet) surface. • i.e. no friction • Here the two forces Reaction Force acting are: Gravity downwards Normal Reaction at θ 90o to the surface Weight Force
  • 28.
    Banked Curve Formulae •We can relate the forces in the same way as with the conical pendulum The resultant is towards the centre (horizontal) Reaction Force T = m g/ cos θ (Vertically) T sin θ = m v2 / r (Horizontally) θ Weight Force Resultant Force
  • 29.
    Derivation of BankedCurves • Divide the x by the y mv FN sin θ = r FN cosθ = mg • Gives 2 • Notice mass is not involved v2 = rg tan ϴ v tan θ = rg 2
  • 30.
    Example 2 A motorbike is travelling round a smooth curve banked at 20o. The radius of the curve is 55 m. If the mass of the bike and rider is 275 kg find the maximum safe speed round the bend. How would the maximum safe speed change if there was friction between the tyres and the road? Explain your answer.
  • 31.
    Worked Answers 2 gtan θ = v2 / r m = 275 kg, g = 9.8 ms-2, r = 55 m, q = 20o 9.8 tan 20 = v2 / 55 v2 = 196 v = 14 m s-1 With friction the bike can go faster. This is because the friction force will be down the slope, stopping the bike sliding off the outside of the track. It will have a component towards the centre. This will increase the centripetal force, and hence the maximum speed.
  • 32.
    Why do motorcyclistslean when cornering?
  • 33.
  • 34.
    Consider the forces Corneringupright Centripetal force Which way is he turning? What will happen? (consider Torque about center of mass)
  • 35.
    Consider the forces Corneringleaning Centripetal force What will happen? (consider Torque about center of mass) clockwise torque = anticlockwise torque
  • 37.
    Planes Banking • Withplanes it is the lift force created by the wings that keeps the plane flying In order to turn corners planes must be tilted, or banked A bigger angle of tilt means a sharper turn Note banking the plane causes it to turn
  • 38.
    Forces on Planes •The lift force is perpendicular to the wings • The weight force is downwards When banking the lift must balance the weight AND provide the centripetal force θ Lift Force Resultant Force Weight Force L = m g/ cos θ (Vert.), L sin θ = m v2 / r (Hor.), g tan θ = v2 / r
  • 39.
    Example 3 The pictureshows a plane banking. The plane is travelling at 400 m s-1. By examining the picture: a Estimate the angle of banking. b Estimate the mass of the plane. For your estimates work out: c The radius of the circular path d The size of the lift force required by the wings
  • 40.
    Worked Answers 3 a Angleis about 25o (20-30) b Mass is about 5 tonnes = 5000 kg c g tan θ = v2 / r g = 9.8 m s-2, θ = 25o, v = 400 m s-1 9.8 tan25 = 4002 / r r = 35000 m = 35 km L = m g/ cos θ d L = 5000 x 9.8 / cos 25 = 54000 N
  • 41.
    Circular Motion Summary underthe action of two forces •Real forces may not act towards the centre •The resultant force always acts towards the centre •The same basic formulae apply as before a=v2/r v=2πr/T •The two forces acting are related by the formulae T = m g/ cos θ (Vertically) T sin θ = m v2 / r (Horizontally) θ is the angle of tilt to the vertical •Conical Pendulum, Smooth Banked Curves and Planes Banking are examples of circular motion caused by two combined forces.
  • 42.
  • 43.
    • Why doesn’the fall at the highest point?
  • 44.
    What happens tothe penguin if the lift is stationary? Why? acceleration = 0 Gravity pulls the penguin down, the elevator produces an equal and opposite force up
  • 45.
    What happens tothe penguin if the lift is accelerates up at 10ms-2? Why? acceleration Gravity pulls it down, the elevator produces a force up that is twice its weight.
  • 46.
    What happens tothe penguin if the lift is accelerates down at 10ms-2? Why? acceleration The penguin is in freefall. There is no upward force on the penguin from the elevator. When we feel “weight”, it is the upward force from the floor. The penguin thinks she is weightless
  • 47.
    What happens tothe penguin if the lift is accelerates down at 15ms-2? Why? acceleration The penguin is stuck to the ceiling of the elevator. She is accelerating at more than 10 ms-2, so an extra force is needed. (this is from the elevator ceiling)
  • 48.
    Roller Coaster Why doesthe car not fall? It is falling!! But it’s also moving sideways. If the centripetal acceleration is greater than 10 ms-2 the car will stay on the track This is like being in an elevator accelerating down at › 10ms-2. You will be on the ceiling.
  • 49.
    Gravity and Satellites •How are you able to watch the All Blacks on TV when they are playing in France? • How are you able to have a cellphone conversation with your friend in the USA?
  • 51.
  • 54.
    Other Uses ofSatellites • Tracking endangered animals
  • 55.
  • 56.
    Satellites Satellites are abovethe atmosphere (no air resistance), so the only force on them is…………. Gravity
  • 57.
    Why don’t satellitesfall? • link to Newton's mountain • Satellites are falling, but they are moving sideways, • They fall at the same rate that the earth curves away under them
  • 59.
    Weightlessness. • You don’tfeel the gravity force on your body, you feel the support force pushing up. • You can feel weightless for two reasons. 1:You are weightless in outer space. There is no gravity force so there is no reaction force
  • 60.
    You feel weightlessin orbit • You feel “weight” due to the support force on you. • The astronaut and their satellite are in free fall. • There is no support force acting on them
  • 61.
    Newton’s Law ofGravitation m1m2 F =G 2 r
  • 62.
    Can a satellitehave any speed? • At a certain height, a satellite must have one particular speed. • Satellite Speed: ms mE ms v 2 F =G 2 = r r 2 mE v G 2 = r r mE 2 G =v r mE v = G r
  • 63.
    Period of asatellite The period of a satellite orbiting around the earth only depends on the altitude.
  • 64.
    mE v =G r 2 d 2πr v= = t T mE 4π r =G 2 T r 2 2 4π r 2 =T GmE 2 3
  • 65.
    4π r 2 =T GmE 2 3 •Notice the mass of the satellite doesn’t appear in the equation. • All masses have the same acceleration due to gravity: F a= m weight g= mass
  • 67.
    • A geostationarysatellite has a period of 24 hours • It must have the earth’s centre as its orbital centre • It must be above the equator
  • 68.
  • 69.
  • 70.
  • 71.
  • 72.
  • 73.
  • 74.

Editor's Notes

  • #30 Ask what happens when go to fast? (slide up and over top of curve) Ask what happens when go to slow? (slide down curve)