Carboxylic acids:

O
R-COOH, R-CO2H, R C
OH

Common names:
HCO2H

formic acid

L. formica ant

CH3CO2H

acetic acid

L. acetum vinegar

CH3CH2CO2H

propionic acid G. “first salt”

CH3CH2CH2CO2H

butyric acid

L. butyrum butter

CH3CH2CH2CH2CO2H

valeric acid

L. valerans
Carboxylic acids, common names:
…
CH3(CH2)4CO2H

caproic acid

CH3(CH2)5CO2H

---

CH3(CH2)6CO2H

caprylic acid

CH3(CH2)7CO2H

---

CH3(CH2)8CO2H

capric acid

CH3(CH2)9CO2H

---

CH3(CH2)10CO2H

lauric acid

L. caper goat

oil of lauryl
5 4 3 2 1
C—C—C—C—C=O
δ γ β α
Br
CH3CH2CH2CHCOOH

α− bromovaleric acid

used in common names
CH3
CH3CHCH2COOH

β -methylbutyric acid
isovaleric acid
COOH

special names
benzoic acid

COOH
CH3

COOH

CH3
o-toluic acid

m-toluic acid

COOH

CH3
p-toluic acid
IUPAC nomenclature for carboxylic acids:
parent chain = longest, continuous carbon chain that contains
the carboxyl group  alkane, drop –e, add –oic acid
HCOOH

methanoic acid

CH3CO2H

ethanoic acid

CH3CH2CO2H

propanoic acid

CH3
CH3CHCOOH

2-methylpropanoic acid

Br
CH3CH2CHCO2H

2-bromobutanoic acid
dicarboxylic acids:
HOOC-COOH

oxalic acid

HO2C-CH2-CO2H
HO2C-CH2CH2-CO2H

malonic acid
succinic acid

HO2C-CH2CH2CH2-CO2H

glutaric acid

HOOC-(CH2)4-COOH

adipic acid

HOOC-(CH2)5-COOH

pimelic acid

Oh, my! Such good apple pie!
CO2H
CO2H

CO2H

CO2H

CO2H
CO2H

phthalic acid

H
H

C
C

isophthalic acid

terephthalic acid

COOH

H

COOH

HOOC

maleic acid

C
C

COOH
H

fumaric acid
salts of carboxylic acids:
name of cation + name of acid: drop –ic acid, add –ate

CH3CO2Na

sodium acetate

CH3CH2CH2CO2NH4

or sodium ethanoate

ammonium butyrate
ammonium butanoate

(CH3CH2COO)2Mg

magnesium propionate
magnesium propanoate
HO

O
C

OH

carbonic acid

HO

O
C

ONa

sodium bicarbonate
sodium hydrogen carbonate
NaHCO3

NaO

O
C

ONa

sodium carbonate
Na2CO3
physical properties:
polar + hydrogen bond  relatively high mp/bp
water insoluble
exceptions: four carbons or less
acidic

turn blue litmus  red

soluble in 5% NaOH

RCO2H + NaOH  RCO2-Na+ + H2O
stronger
acid

stronger
base

weaker
base

weaker
acid
RCO2H

RCO2-

covalent
water insoluble

ionic
water soluble

Carboxylic acids are insoluble in water, but soluble in 5%
NaOH.
1. Identification.
2. Separation of carboxylic acids from basic/neutral organic
compounds.
The carboxylic acid can be extracted with aq. NaOH and
then regenerated by the addition of strong acid.
Carboxylic acids, syntheses:
1. oxidation of primary alcohols
RCH2OH + K2Cr2O7  RCOOH
2. oxidation of arenes
ArR + KMnO4, heat  ArCOOH
3. carbonation of Grignard reagents
RMgX + CO2  RCO2MgX + H+ 
RCOOH
4. hydrolysis of nitriles
RCN + H2O, H+, heat  RCOOH
1. oxidation of 1o alcohols:

CH3CH2CH2CH2-OH + CrO3  CH3CH2CH2CO2H
n-butyl alcohol
1-butanol

CH3
CH3CHCH2-OH + KMnO4 
isobutyl alcohol
2-methyl-1-propanol`

butyric acid
butanoic acid

CH3
CH3CHCOOH
isobutyric acid
2-methylpropanoic acid
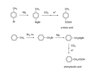
2. oxidation of arenes:
CH3

KMnO4, heat

COOH

toluene

CH3

benzoic acid

COOH

KMnO4, heat

note: aromatic
acids only!

HOOC

H3C

terephthalic acid

p-xylene

KMnO4, heat
CH2CH3
ethylbenzene

COOH + CO2
benzoic acid
3. carbonation of Grignard reagent:
Mg
R-X

CO2
RMgX

H+
RCO2MgX

RCOOH

Increases the carbon chain by one carbon.
Mg
CH3CH2CH2-Br
n-propyl bromide

RMgX +

O
C
O

CO2 H+
CH3CH2CH2MgBr

O
R C
O-

CH3CH2CH2COOH
butyric acid
H+

+

+

MgX

O
R C
OH
CH3

CH3
Mg

CH3
CO2

Br

H+

MgBr

COOH
p-toluic acid

Br2, hv
CH3

Mg
CH2Br

CH2MgBr
CO2
H+

CH2 COOH
phenylacetic acid
4. Hydrolysis of a nitrile:
H2O, H+
R-C≡N

R-CO2H
heat
H2O, OH-

R-C≡N

R-CO2- + H+  R-CO2H
heat

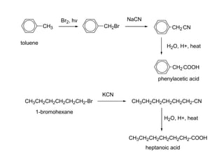
R-X + NaCN  R-CN + H+, H2O, heat  RCOOH
1o alkyl halide

Adds one more carbon to the chain.
R-X must be 1o or CH3!
CH3

Br2, hv

NaCN
CH2Br

toluene

CH2 CN
H2O, H+, heat

CH2 COOH
phenylacetic acid
KCN
CH3CH2CH2CH2CH2CH2-Br

CH3CH2CH2CH2CH2CH2-CN

1-bromohexane
H2O, H+, heat
CH3CH2CH2CH2CH2CH2-COOH
heptanoic acid
CH2OH
KMnO4

CH3
KMnO4, heat
CO2H
Br

Mg

MgBr

C N
H2O, H+, heat

CO2; then H+
carboxylic acids, reactions:
1. as acids
2. conversion into functional derivatives
a)  acid chlorides
b)  esters
c)  amides
3. reduction
4. alpha-halogenation
5. EAS
as acids:
a) with active metals
RCO2H + Na  RCO2-Na+ + H2(g)
b) with bases
RCO2H + NaOH  RCO2-Na+ + H2O
c) relative acid strength?
CH4 < NH3 < HC≡CH < ROH < HOH < H2CO3 < RCO2H < HF
d) quantitative
HA + H2O  H3O+ + AKa = [H3O+] [A-] / [HA]

ionization in water
Ka for carboxylic acids ≈ 10-5
Why are carboxylic acids more acidic than alcohols?
ROH + H2O  H3O+ + RORCOOH + H2O  H3O+ + RCOOΔGo = -2.303 R T log Keq
The position of the equilibrium is determined by the free
energy change, ΔGo.
ΔGo = ΔH - TΔS
ΔGo ≈ ΔH
∴Ka is inversely related to ΔH, the potential
energy difference between the acid and its conjugate base. The
smaller the ΔH, the larger the Ka and the stronger the acid.
potential energy

H3O+ + A-

ΔH

HA + H2O

ionization

The smaller the ΔH, the more the equilibrium lies to the
right, giving a larger Ka ( a stronger acid ).
OR C
O

O
R C
O-

R C

O
O

Resonance stabilization of the carboxylate ion decreases
the ΔH, shifts the ionization in water to the right, increases
the Ka, and results in carboxylic acids being stronger acids.
Effect of substituent groups on acid strength?

CH3COOH

1.75 x 10-5

ClCH2COOH

136 x 10-5

Cl2CHCOOH

5,530 x 10-5

Cl3CCOOH

23,200 x 10-5

-Cl is electron withdrawing and delocalizes the negative
charge on the carboxylate ion, lowering the PE, decreasing
the ΔH, shifting the ionization to the right and increasing
acid strength.
Effect of substituent groups on acid strength of benzoic acids?

Electron withdrawing groups will stabilize the anion, decrease the ΔH, shift
the ionization to the right, increasing the Ka, increasing acid strength.
COOG

Electron donating groups will destabilize the anion, increase the ΔH, shift the
ionization in water to the left, decreasing the Ka, decreasing acid strength.

COOG
-NH2, -NHR, -NR2
-OH
-OR
-NHCOCH3
-C6H5
-R
-H
-X
-CHO, -COR
-SO3H
-COOH, -COOR
-CN
-NR3+
-NO2

electron donating

electron withdrawing
Relative acid strength?
Ka
p-aminobenzoic acid

1.4 x 10-5

p-hydroxybenzoic acid

2.6 x 10-5

p-methoxybenzoic acid

3.3 x 10-5

p-toluic acid

4.2 x 10-5

benzoic acid

6.3 x 10-5

p-chlorobenzoic acid

10.3 x 10-5

p-nitrobenzoic acid

36

x 10-5
2. Conversion into functional derivatives:
a )  acid chlorides
O
R C
OH

SOCl2

O
R C
Cl

or PCl3
orPCl5

CO2H + SOCl2

CH3CH2CH2 C

O
OH

COCl

PCl3
CH3CH2CH2 C

O
Cl
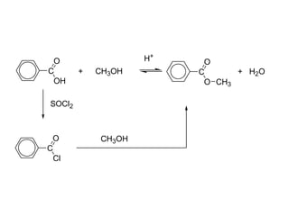
b )  esters
“direct” esterification:

H+

RCOOH + R´OH  RCO2R´ + H2O
-reversible and often does not favor the ester
-use an excess of the alcohol or acid to shift equilibrium
-or remove the products to shift equilibrium to completion

“indirect” esterification:
RCOOH + PCl3  RCOCl + R´OH  RCO2R´
-convert the acid into the acid chloride first; not reversible
O
C
OH

H+
+

CH3OH

SOCl2

O
C
Cl

CH3OH

O
+ H2O
C
O CH3
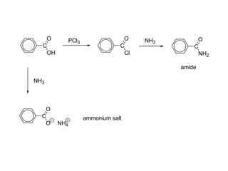
c ) amides
“indirect” only!
RCOOH + SOCl2  RCOCl + NH3  RCONH2
amide
O
OH
3-Methylbutanoic acid

PCl3

O

NH3
Cl

O
NH2

Directly reacting ammonia with a carboxylic acid results in
an ammonium salt:
RCOOH + NH3  RCOO-NH4+
acid
base
O
C
OH

PCl3

O
C
Cl

NH3

O
C
NH2
amide

NH3

O
C
O

NH4

ammonium salt
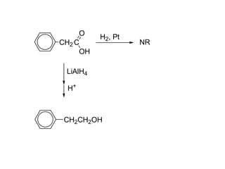
3. Reduction:
RCO2H + LiAlH4; then H+  RCH2OH
1o alcohol
CH3CH2CH2CH2CH2CH2CH2COOH
Octanoic acid
(Caprylic acid)

LiAlH4

H+

CH3CH2CH2CH2CH2CH2CH2CH2OH
1-Octanol

Carboxylic acids resist catalytic reduction under normal
conditions.
RCOOH + H2, Ni  NR
O
CH2 C
OH

H2, Pt

LiAlH4
H+

CH2CH2OH

NR
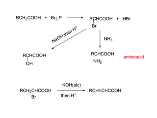
4. Alpha-halogenation: (Hell-Volhard-Zelinsky reaction)
RCH2COOH + X2, P  RCHCOOH + HX
X
α-haloacid
X2 = Cl2, Br2
CH3CH2CH2CH2COOH

+

Br2,P

pentanoic acid
COOH
Br2,P

NR (no alpha H)

CH3CH2CH2CHCOOH
Br
2-bromopentanoic acid
RCH2COOH + Br2,P

RCHCOOH + HBr
+

;
OH
Na

nH
the

Br
NH3
RCHCOOH

RCHCOOH

NH2

OH

KOH(alc)
RCH2CHCOOH
Br

then H+

RCH=CHCOOH

aminoacid
5. EAS: (-COOH is deactivating and meta- directing)
CO2H
HNO3,H2SO4
NO2
CO2H
CO2H

H2SO4,SO3
SO3H
CO2H

benzoic acid

Br2,Fe
Br
CH3Cl,AlCl3

NR
spectroscopy:

IR:

-COOH

O—H stretch 2500 – 3000 cm-1 (b)
C=O stretch

nmr: -COOH

10.5 – 12 ppm

1680 – 1725 (s)
p-toluic acid

-COO—H
stretch

C=O
COOH c
b
CH3

c

a

b

a
Carboxylic acids, syntheses:
1. oxidation of primary alcohols
RCH2OH + K2Cr2O7  RCOOH
2. oxidation of arenes
ArR + KMnO4, heat  ArCOOH
3. carbonation of Grignard reagents
RMgX + CO2  RCO2MgX + H+ 
RCOOH
4. hydrolysis of nitriles
RCN + H2O, H+, heat  RCOOH
carboxylic acids, reactions:
1. as acids
2. conversion into functional derivatives
a)  acid chlorides
b)  esters
c)  amides
3. reduction
4. alpha-halogenation
5. EAS

Carboxylic acids

  • 1.
    Carboxylic acids: O R-COOH, R-CO2H,R C OH Common names: HCO2H formic acid L. formica ant CH3CO2H acetic acid L. acetum vinegar CH3CH2CO2H propionic acid G. “first salt” CH3CH2CH2CO2H butyric acid L. butyrum butter CH3CH2CH2CH2CO2H valeric acid L. valerans
  • 2.
    Carboxylic acids, commonnames: … CH3(CH2)4CO2H caproic acid CH3(CH2)5CO2H --- CH3(CH2)6CO2H caprylic acid CH3(CH2)7CO2H --- CH3(CH2)8CO2H capric acid CH3(CH2)9CO2H --- CH3(CH2)10CO2H lauric acid L. caper goat oil of lauryl
  • 3.
    5 4 32 1 C—C—C—C—C=O δ γ β α Br CH3CH2CH2CHCOOH α− bromovaleric acid used in common names CH3 CH3CHCH2COOH β -methylbutyric acid isovaleric acid
  • 4.
    COOH special names benzoic acid COOH CH3 COOH CH3 o-toluicacid m-toluic acid COOH CH3 p-toluic acid
  • 5.
    IUPAC nomenclature forcarboxylic acids: parent chain = longest, continuous carbon chain that contains the carboxyl group  alkane, drop –e, add –oic acid HCOOH methanoic acid CH3CO2H ethanoic acid CH3CH2CO2H propanoic acid CH3 CH3CHCOOH 2-methylpropanoic acid Br CH3CH2CHCO2H 2-bromobutanoic acid
  • 6.
    dicarboxylic acids: HOOC-COOH oxalic acid HO2C-CH2-CO2H HO2C-CH2CH2-CO2H malonicacid succinic acid HO2C-CH2CH2CH2-CO2H glutaric acid HOOC-(CH2)4-COOH adipic acid HOOC-(CH2)5-COOH pimelic acid Oh, my! Such good apple pie!
  • 7.
    CO2H CO2H CO2H CO2H CO2H CO2H phthalic acid H H C C isophthalic acid terephthalicacid COOH H COOH HOOC maleic acid C C COOH H fumaric acid
  • 8.
    salts of carboxylicacids: name of cation + name of acid: drop –ic acid, add –ate CH3CO2Na sodium acetate CH3CH2CH2CO2NH4 or sodium ethanoate ammonium butyrate ammonium butanoate (CH3CH2COO)2Mg magnesium propionate magnesium propanoate
  • 9.
    HO O C OH carbonic acid HO O C ONa sodium bicarbonate sodiumhydrogen carbonate NaHCO3 NaO O C ONa sodium carbonate Na2CO3
  • 10.
    physical properties: polar +hydrogen bond  relatively high mp/bp water insoluble exceptions: four carbons or less acidic turn blue litmus  red soluble in 5% NaOH RCO2H + NaOH  RCO2-Na+ + H2O stronger acid stronger base weaker base weaker acid
  • 11.
    RCO2H RCO2- covalent water insoluble ionic water soluble Carboxylicacids are insoluble in water, but soluble in 5% NaOH. 1. Identification. 2. Separation of carboxylic acids from basic/neutral organic compounds. The carboxylic acid can be extracted with aq. NaOH and then regenerated by the addition of strong acid.
  • 12.
    Carboxylic acids, syntheses: 1.oxidation of primary alcohols RCH2OH + K2Cr2O7  RCOOH 2. oxidation of arenes ArR + KMnO4, heat  ArCOOH 3. carbonation of Grignard reagents RMgX + CO2  RCO2MgX + H+  RCOOH 4. hydrolysis of nitriles RCN + H2O, H+, heat  RCOOH
  • 13.
    1. oxidation of1o alcohols: CH3CH2CH2CH2-OH + CrO3  CH3CH2CH2CO2H n-butyl alcohol 1-butanol CH3 CH3CHCH2-OH + KMnO4  isobutyl alcohol 2-methyl-1-propanol` butyric acid butanoic acid CH3 CH3CHCOOH isobutyric acid 2-methylpropanoic acid
  • 14.
    2. oxidation ofarenes: CH3 KMnO4, heat COOH toluene CH3 benzoic acid COOH KMnO4, heat note: aromatic acids only! HOOC H3C terephthalic acid p-xylene KMnO4, heat CH2CH3 ethylbenzene COOH + CO2 benzoic acid
  • 15.
    3. carbonation ofGrignard reagent: Mg R-X CO2 RMgX H+ RCO2MgX RCOOH Increases the carbon chain by one carbon. Mg CH3CH2CH2-Br n-propyl bromide RMgX + O C O CO2 H+ CH3CH2CH2MgBr O R C O- CH3CH2CH2COOH butyric acid H+ + + MgX O R C OH
  • 16.
  • 17.
    4. Hydrolysis ofa nitrile: H2O, H+ R-C≡N R-CO2H heat H2O, OH- R-C≡N R-CO2- + H+  R-CO2H heat R-X + NaCN  R-CN + H+, H2O, heat  RCOOH 1o alkyl halide Adds one more carbon to the chain. R-X must be 1o or CH3!
  • 18.
    CH3 Br2, hv NaCN CH2Br toluene CH2 CN H2O,H+, heat CH2 COOH phenylacetic acid KCN CH3CH2CH2CH2CH2CH2-Br CH3CH2CH2CH2CH2CH2-CN 1-bromohexane H2O, H+, heat CH3CH2CH2CH2CH2CH2-COOH heptanoic acid
  • 19.
  • 20.
    carboxylic acids, reactions: 1.as acids 2. conversion into functional derivatives a)  acid chlorides b)  esters c)  amides 3. reduction 4. alpha-halogenation 5. EAS
  • 21.
    as acids: a) withactive metals RCO2H + Na  RCO2-Na+ + H2(g) b) with bases RCO2H + NaOH  RCO2-Na+ + H2O c) relative acid strength? CH4 < NH3 < HC≡CH < ROH < HOH < H2CO3 < RCO2H < HF d) quantitative HA + H2O  H3O+ + AKa = [H3O+] [A-] / [HA] ionization in water
  • 22.
    Ka for carboxylicacids ≈ 10-5 Why are carboxylic acids more acidic than alcohols? ROH + H2O  H3O+ + RORCOOH + H2O  H3O+ + RCOOΔGo = -2.303 R T log Keq The position of the equilibrium is determined by the free energy change, ΔGo. ΔGo = ΔH - TΔS ΔGo ≈ ΔH ∴Ka is inversely related to ΔH, the potential energy difference between the acid and its conjugate base. The smaller the ΔH, the larger the Ka and the stronger the acid.
  • 23.
    potential energy H3O+ +A- ΔH HA + H2O ionization The smaller the ΔH, the more the equilibrium lies to the right, giving a larger Ka ( a stronger acid ).
  • 24.
    OR C O O R C O- RC O O Resonance stabilization of the carboxylate ion decreases the ΔH, shifts the ionization in water to the right, increases the Ka, and results in carboxylic acids being stronger acids.
  • 25.
    Effect of substituentgroups on acid strength? CH3COOH 1.75 x 10-5 ClCH2COOH 136 x 10-5 Cl2CHCOOH 5,530 x 10-5 Cl3CCOOH 23,200 x 10-5 -Cl is electron withdrawing and delocalizes the negative charge on the carboxylate ion, lowering the PE, decreasing the ΔH, shifting the ionization to the right and increasing acid strength.
  • 26.
    Effect of substituentgroups on acid strength of benzoic acids? Electron withdrawing groups will stabilize the anion, decrease the ΔH, shift the ionization to the right, increasing the Ka, increasing acid strength. COOG Electron donating groups will destabilize the anion, increase the ΔH, shift the ionization in water to the left, decreasing the Ka, decreasing acid strength. COOG
  • 27.
    -NH2, -NHR, -NR2 -OH -OR -NHCOCH3 -C6H5 -R -H -X -CHO,-COR -SO3H -COOH, -COOR -CN -NR3+ -NO2 electron donating electron withdrawing
  • 28.
    Relative acid strength? Ka p-aminobenzoicacid 1.4 x 10-5 p-hydroxybenzoic acid 2.6 x 10-5 p-methoxybenzoic acid 3.3 x 10-5 p-toluic acid 4.2 x 10-5 benzoic acid 6.3 x 10-5 p-chlorobenzoic acid 10.3 x 10-5 p-nitrobenzoic acid 36 x 10-5
  • 29.
    2. Conversion intofunctional derivatives: a )  acid chlorides O R C OH SOCl2 O R C Cl or PCl3 orPCl5 CO2H + SOCl2 CH3CH2CH2 C O OH COCl PCl3 CH3CH2CH2 C O Cl
  • 30.
    b ) esters “direct” esterification: H+ RCOOH + R´OH  RCO2R´ + H2O -reversible and often does not favor the ester -use an excess of the alcohol or acid to shift equilibrium -or remove the products to shift equilibrium to completion “indirect” esterification: RCOOH + PCl3  RCOCl + R´OH  RCO2R´ -convert the acid into the acid chloride first; not reversible
  • 31.
  • 32.
    c ) amides “indirect”only! RCOOH + SOCl2  RCOCl + NH3  RCONH2 amide O OH 3-Methylbutanoic acid PCl3 O NH3 Cl O NH2 Directly reacting ammonia with a carboxylic acid results in an ammonium salt: RCOOH + NH3  RCOO-NH4+ acid base
  • 33.
  • 34.
    3. Reduction: RCO2H +LiAlH4; then H+  RCH2OH 1o alcohol CH3CH2CH2CH2CH2CH2CH2COOH Octanoic acid (Caprylic acid) LiAlH4 H+ CH3CH2CH2CH2CH2CH2CH2CH2OH 1-Octanol Carboxylic acids resist catalytic reduction under normal conditions. RCOOH + H2, Ni  NR
  • 35.
  • 36.
    4. Alpha-halogenation: (Hell-Volhard-Zelinskyreaction) RCH2COOH + X2, P  RCHCOOH + HX X α-haloacid X2 = Cl2, Br2 CH3CH2CH2CH2COOH + Br2,P pentanoic acid COOH Br2,P NR (no alpha H) CH3CH2CH2CHCOOH Br 2-bromopentanoic acid
  • 37.
    RCH2COOH + Br2,P RCHCOOH+ HBr + ; OH Na nH the Br NH3 RCHCOOH RCHCOOH NH2 OH KOH(alc) RCH2CHCOOH Br then H+ RCH=CHCOOH aminoacid
  • 38.
    5. EAS: (-COOHis deactivating and meta- directing) CO2H HNO3,H2SO4 NO2 CO2H CO2H H2SO4,SO3 SO3H CO2H benzoic acid Br2,Fe Br CH3Cl,AlCl3 NR
  • 39.
    spectroscopy: IR: -COOH O—H stretch 2500– 3000 cm-1 (b) C=O stretch nmr: -COOH 10.5 – 12 ppm 1680 – 1725 (s)
  • 40.
  • 41.
  • 42.
    Carboxylic acids, syntheses: 1.oxidation of primary alcohols RCH2OH + K2Cr2O7  RCOOH 2. oxidation of arenes ArR + KMnO4, heat  ArCOOH 3. carbonation of Grignard reagents RMgX + CO2  RCO2MgX + H+  RCOOH 4. hydrolysis of nitriles RCN + H2O, H+, heat  RCOOH
  • 43.
    carboxylic acids, reactions: 1.as acids 2. conversion into functional derivatives a)  acid chlorides b)  esters c)  amides 3. reduction 4. alpha-halogenation 5. EAS