AUTOIMMUNE ENCEPHALITIS
: CURRENT CONCEPTS
DR. PIYUSH OJHA
DM RESIDENT
DEPARTMENT OF NEUROLOGY
GOVT MEDICAL COLLEGE, KOTA
• Acute encephalitis - debilitating neurological disorder
• Develops as a rapidly progressive encephalopathy (usually in less
than 6 weeks) caused by brain inflammation.
• Disease with diverse immunologic associations, clinical
manifestations, and therapeutic outcomes.
• Estimated incidence of encephalitis ~ 5–10 per 100000 / year
• Affect individuals of all ages
• Some syndromes preferentially affect young adults and children
(Armangue et al., 2012).
• Represents a significant burden to patients, families, and society.
HISTORY
• Lymphocytic infiltration of the medial temporal lobe (??Limbic
encephalitis) in patients with a remote malignancy
(Brierley et al., 1960)
• Brain et al first described Hashimoto’s thyroiditis - 1966
• Pathogenic autoantibodies described in diseases of the PNS
since 1970’s (Autoimmune myasthenia ,LEMS)
• Gradual discovery of many antibodies
• Vincent et al. 2004 – VGKC antibody complex
INDIAN LITERATURE
NEUROLOGY INDIA 2015;63;687-96
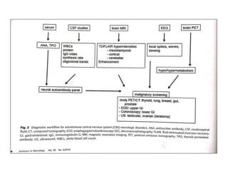
CLUES TO AN AUTOIMMUNE ETIOLOGY
• Change in baseline neurologic function
• Subacute onset (days to weeks) & Fluctuating course
• Personal/family h/o organ- or non-organ-specific autoimmune
disorder
• Systemic markers of autoimmunity : eg elevated ANA or TPO
antibodies
• History of or concurrent malignancy
• CSF studies : elevated WBC (<100 cells/µl), protein
(<100mg/dl), Ig G index, oligoclonal bands, synthesis rate
• EEG : Focal abnormalities
• MRI : T2/FLAIR abnormalities
• PET Brain : areas of hypo/hypermetabolism
• Response to immunosuppression
• Identification of a neural autoantibody
NEURONAL NUCLEAR, CYTOPLASMIC AND
NUCLEOLAR ANTIBODIES
EOM abnormalities – Vertical
Gaze Plasy
ANTIBODIES TARGETING NEURAL ION
CHANNELS AND RECEPTORS
CLASSIFICATION
• Autoimmune encephalopathies without Malignancy
• Paraneoplastic encephalopathies
NON-PARANEOPLASTIC
AUTOIMMUNE ENCEPHALOPATHY
- Females >> Males
- Middle aged (Mean age ~ 59 yrs)
- Onset - Subacute 1-6 weeks
- Majority (91 %) have fluctuations
- Coexisting Systemic autoimmune disorder – 48% cases
• Subacute Dementia - Most common presentation
• Memory loss almost always present
• Seizures -33% cases
• Neuropsychiatric symptoms – 50 % patients
• Other features – Frontotemporal dementia like syndrome,
stroke like episdoes
• Tremor and Myoclonus –frequent findings
INVESTIGATIONS :
• Infectious, Toxic/ Metabolic , Vascular , Structural causes are
more common - So should be ruled out
• CBC ,ESR, CRP , Thyroid function tests, LFT, RFT, Vit B12
• Screening for Non specific Autoimmunity - ANA , ANCA , TPO
• CSF examination – To rule out infectious causes (HSV PCR) ,
Neoplastic causes, 14-3-3 for CJD
• CSF - Mild lymphocytic pleocytosis ,oligoclonal bands
IMAGING :
• To exclude vascular disease , ICSOLs , other structural causes
• In autoimmune encephalopathy – MRI typically normal or
involvement of Mesial temporal lobes
• Subcortical white matter abnormalities or cortical ribbon
sign and basal ganglia similar to CJD
EEG :
• Diffuse slowing or epileptiform abnormalities in the temporal
lobes
• Non convulsive status epilepticus
• Antibody testing- NMDA/ VGKC
• Search for underlying Malignancy even without antibodies
• Patients with subacute or rapidly progressing Dementia
should undergo antibody testing and receive a trial of steroids
• Biopsy may be required in some cases
IMAGING
MRI :
• Mesial temporal hyperintensities, either unilateral or bilateral
with or without enhancement after gadolinium
administration, are classic autoimmune limbic encephalitis
findings.
• Normal imaging is common, particularly in the early illness
stages
• Extratemporal abnormalities sometimes observed.
• If lesions are not in a typical distribution or have avid
enhancement, other inflammatory (eg. neurosarcoidosis) or
oncologic (eg. lymphoma) diagnoses should be considered.
FUNCTIONAL IMAGING :
• Global hypometabolism is the most common feature
encountered in patients with autoimmune encephalopathies.
• However, focal hypometabolism can also be encountered.
• In instances where the patient has seizures, hypermetabolism
can occur.
AUTOIMMUNE LIMBIC ENCEPHALITIS
• Characterised by rapid development of confusion, working
memory deficit, mood changes, and often seizures.
• The subacute development of short-term memory loss -
considered the hallmark of the disorder
• But can be overlooked because of the presence of other
symptoms.
• CSF - mild-to-moderate lymphocytic pleocytosis (usually less
than 100 WBCs / mm³) in 60–80% of patients
• CSF – elevated IgG index or oligoclonal bands ( 50% cases)
• Among all immunological subtypes of limbic encephalitis,
patients with LGI1 antibodies present with a lower frequency
of CSF pleocytosis (41%) or elevated CSF protein
concentrations (47%) and rarely have intrathecal IgG
synthesis.
• Absence of inflammatory changes in CSF of these patients
might initially suggest a non-inflammatory encephalopathy.
• MRI – often shows increased signal on T2w FLAIR in the
medial aspect of the temporal lobes.
• Although limbic encephalitis can occur with MRI evidence of
unilateral involvement (or be normal), AAN doesnot consider
these cases as definite limbic encephalitis unless specific
antibodies are subsequently detected.
• Reason - several non-immune disorders may result in similar
unilateral MRI abnormalities, including among others,
seizures, herpes simplex virus encephalitis, or gliomas.
• MRI findings of immune-compromised patients with HHV-6-
associated encephalitis can mimic precisely findings from
patients with autoimmune limbic encephalitis, but the clinical
setting is different and directs the diagnosis.
• By contrast, the findings in HHV encephalitis are less confined
to the limbic system, can occur with haemorrhagic features,
and often show restricted diffusion abnormalities and
contrast uptake.
• Immunological subtypes established only by measurement of
autoantibodies.
• Distinction among immunological subtypes important - those
associated with onconeuronal antibodies are much less
responsive to immunotherapy than those associated with cell-
surface antibodies.
• Onconeuronal antibodies frequently occuring with limbic
encephalitis are Hu and Ma2. (seropositive patients almost
always have an underlying cancer)
• By contrast, the neuronal cell-surface antibodies more
frequently associated with limbic encephalitis - LGI1, GABA B
receptor and AMPA receptor antibodies.
• Antibodies against the intracellular antigen Glutamic acid
decarboxylase (GAD) occur in a subgroup of patients with
limbic encephalitis.
• Mainly young women (median age 23 years) with
predominant seizures and no evidence of cancer.
• The risk of cancer, usually SCLC or thymoma, is higher,
however, among patients with GAD antibodies and limbic
encephalitis who are older than 50 years or have concomitant
GABA B receptor antibodies.
ANTI-NMDAR ENCEPHALITIS
• Most frequent antibody-associated encephalitis
• 2nd MC immune-mediated encephalitis after ADEM
(Granerod et al., 2010)
• MC in young women and children (80% cases) (F>>M)
• F>>M less evident in children < 12 years and adults > 45 years.
• Highly characteristic , occurs in multiple stages
• Acute psychiatric symptoms, seizures, memory deficits,
decreased level of consciousness, and dyskinesias
(orofacial, limb, and trunk) (Dalmau et al., 2008).
• Autonomic instability (50% cases - central hypoventilation
often requiring mechanical ventilation)
• Many patients initially evaluated by psychiatric services.
• Children – may present with mood and behavioral change at
times with new onset seizures, movement disorders,
insomnia, or reduction of speech.
• Partial syndromes with predominant psychiatric symptoms or
abnormal movements, and less severe phenotypes can occur
• Although almost all patients eventually develop several
elements of the syndrome (Kayser et al., 2013)
• Atypical symptoms such as cerebellar ataxia or hemiparesis
may occur (children > adults)
• By the end of the first month, 498 (87%) of 571 patients had four
or more of the following categories of symptoms (from highest-
to-lowest frequency) :
– Abnormal behaviour and cognition
– Memory deficit
– Speech disorder
– Seizures
– Abnormal movements (orofacial, limb, or trunk dyskinesias)
– loss of consciousness or autonomic dysfunction
– Central hypoventilation; and
– cerebellar ataxia or hemiparesis.
• Only six patients (1%) had one category of symptoms.
Titulaer MJ, McCracken L, Gabilondo I, et al. Treatment and prognostic factors for long-
term outcome in patients with anti-NMDA receptor encephalitis: an observational cohort
study. Lancet Neurol 2013; 12: 157–65.
• Approximately 45% of females > 18 years – U/L or B/L ovarian
teratomas compared to < 9% of girls < 14 years age.
• Younger children and men only rarely have tumors.
• Isolated reported cases - teratoma of the mediastinum, SCLC,
Hodgkin lymphoma, neuroblastoma, Ca breast , and GCT
testis
• 80% patients - CSF -> lymphocytic pleocytosis and less
commonly, increased proteins and/or oligoclonal bands.
• 35% patients -> increased signal on MRI FLAIR or T2
sequences and less often, faint or transient contrast
enhancement of the cerebral cortex, overlaying meninges,
basal ganglia, or brainstem
• Abnormal EEG (90%) - generalized slow or disorganized
activity without epileptic discharges that may overlap with
electrographic seizures.
• 30% patients - unique EEG pattern called extreme delta brush
due to its similarity to the delta brush pattern seen in
neonatal EEG (Schmitt et al., 2012).
• Diagnosis - demonstration of NMDAR antibodies in CSF and
serum
• Antibodies are IgG subtype and target the GluN1 (previously
called NR1) subunit of the NMDAR.
BICKERSTAFF BRAINSTEM ENCEPHALITIS
• Characterised by subacute onset, < 4 weeks, of progressive
impairment of consciousness along with ataxia and bilateral,
mostly symmetrical, ophthalmoparesis.
• Usually preceded by an infectious event, runs a monophasic
course, and has a good outcome.
• Additionally, patients frequently develop pupillary
abnormalities, bilateral facial palsy, Babinski’s sign, and bulbar
palsy.
• Generalised limb weakness can occur, which overlaps with
features of GBS.
• CSF pleocytosis occurs in 45% patients.
• Brain MRI usually normal, but brainstem abnormalities on
T2w FLAIR imaging present in 23% of patients.
• IgG anti-GQ1b antibodies are highly specific for this entity and
related Miller-Fisher syndrome (GQ1b antibody syndrome)
• ~ 32% patients - no detectable antibodies.
ANTI CASPR2 ASSOCIATED ENCEPHALITIS
• Contactin-associated protein-like 2 (CASPR2) antibodies
• Usually develop Morvan syndrome
• Symptoms involving both
– CNS - encephalopathy, hallucinations, seizures, insomnia,
autonomic dysfunction) and
– PNS - PNH-cramps,myokymia,fasciculations, neuropathy,
allodynia (Lancaster et al., 2011).
• > 50 % complain of neuropathic pain while some develop
severe insomnia
• Patients may have other coexisting immune-mediated
disorders such as myasthenia gravis with AChR or
MuSKantibodies (Fleisher et al., 2013).
• MRI – often normal
• Tumor Screening – Thymoma
• Good response to immunotherapies
ANTI AMPA RECEPTOR ENCEPHALITIS
• Anti-alpha-amino-3-hydroxy-5-methyl-4-isoxazolepropionic
acid receptor (AMPAR)
• Predominantly affects middle-aged women (median~ 60 yrs)
• Subacute (<8 weeks) symptoms of limbic encephalitis
including confusion, disorientation, and memory loss often
associated with prominent psychiatric symptoms – may be
confused with Acute Psychosis
• Seizures - < 50 % cases
• Syndrome lacks movement disorders, autonomic dysfunction
& hypoventilation
• Approx 70% - underlying tumor in the lung, breast, or thymus.
• Antibodies target the GluR1/2 subunits of the AMPAR.
• MRI brain - usually shows abnormal FLAIR signal involving the
medial temporal lobesCSF - lymphocytic pleocytosis.
• Majority respond to immunotherapy
• About 50% have relapses.
• Those with relapses usually respond to treatment but these
responses are often partial, resulting in cumulative memory
or behavioral deficits.
• Role of chronic immunosuppression in preventing or reducing
the risk of relapses – not clear
ANTI LGI1 LIMBIC ENCEPHALITIS
• LGI1 - leucine-rich glioma inactivated 1 (Previously described
as targeting the voltage-gated potassium channel (VGKC).
• Predominantly Older men (M:F~3:1, median age 60 years)
• Develop memory loss, confusion, and temporal lobe seizures.
• Approx. 60% - hyponatremia(SIADH) and less often REM
sleep behavior disorders - additional clues in formulating the
differential diagnoses (Lai et al., 2010).
• Some patients develop brief tonic or myoclonic-like
Faciobrachial dystonic seizures(FBDS) (40%) that precede the
memory and cognitive deficits
• Autonomic symptoms ~ 10 %
• May develop additional symptoms of peripheral nerve
hyperexcitability (PNH) (Morvan syndrome).
Faciobrachial dystonic seizures in an LGI1 VGKC-
complex antibody-mediated encephalitis
• Rapidly progressive memory disturbance along with
myoclonic-like movements can lead to the suspicion of rapid
onset dementia such as CJD
• Usually no cancer associated and < 10% have an underlying
neoplasm(Thymoma)
• MRI shows findings typical of limbic encephalitis.
• CSF usually normal, although mild inflammatory changes or
oligoclonal bands may be present
• Antibodies almost always detectable in both serum and CSF.
• 80% patients - substantial responses to immunotherapy
• Mild deficits common
• Relapses occur in about 20% of the patients.
ANTI-GABAB ENCEPHALITIS
• Male = female
• > 50% cases – associated tumor – almost always SCLC
• Presenting features - almost always those of typical limbic
encephalitis -> memory loss, confusion, and prominent
seizures (Hoftberger et al., 2013)
• Rarely - ataxia or opsoclonus-myoclonus as presenting
complaint – gradually evolve to limbic encephalitis.
• MRI brain - abnormal in 2/3 cases – U/L or B/L medial
temporal lobe FLAIR/T2 signal consistent with limbic
encephalitis.
• CSF - lymphocytic pleocytosis.
• Majority of patients receiving immunotherapy have full or
substantial recoveries, including cases where treatment was
delayed by several months.
• For patients with cancer the neurological outcome appears
dependent on successful treatment of the tumor.
ANTI-GABAA ENCEPHALITIS
• Rapidly progressive, severe encephalopathy that result in
refractory seizures (Petit-Pedrol et al., 2014)
• Extensive MRI abnormalities on FLAIR and T2 imaging with
multifocal cortical-subcortical involvement without contrast
enhancement.
• Autoimmune encephalitis should be included in the
differential diagnosis of any patient, especially if young, with a
rapidly progressive encephalopathy of unclear origin.
• Any immunological type of autoimmune encephalitis can have
a relapsing course and therefore the diagnosis of these
disorders should be considered in patients with a past history
of encephalitis or relapsing encephalopathy.
DIFFERENTIAL DIAGNOSIS
DIFFERENTIAL DIAGNOSIS
THANK YOU
REFERENCES
• Bradley’s Neurology in clinical practice 6th edition
• Continuum Review Article : Autoimmune
Encephalopathies and dementias : April 2016
• Seminars in Neurology : Autoantibody associated
CNS Neurologic Disorders : August 2016
• A clinical approach to diagnosis of Autoimmune
Encephalitis : Lancet Neurol 2016;15;391-404
• Susac syndrome - usually have multiple hemispheric white
matter lesions involving the corpus callosum, somewhat
mimicking multiple sclerosis, but with prominent, extensive
leptomeningeal enhancement.
• Rapidly resolving large hemispheric T2 abnormalities - should
raise concern for a mitochondrial disorder, such as MELAS.
• Nonenhancing posterior predominant white matter lesions –
consider progressive multifocal leukoencephalopathy.
• Cortical ribbon hyperintensities can be observed in some
patients (and thus may be misleading for CJD).
ACUTE DISSEMINATED ENCEPHALITIS
• A monophasic, inflammatory disease of the CNS
• Mainly occurs in children and adults < 40 years.
• The disorder can be preceded by an acute systemic infection
or vaccination.
• Characterised by a variable extent of encephalopathy , and
other neurological signs, such as cranial nerve palsies, ataxia,
hemiparesis, myelopathy, or optic neuritis.
• CSF - typically shows mild pleocytosis (less than 50
lymphocytes per mm³), but CSF oligoclonal bands are
uncommon (less than 7% of all cases).
• Brain - multiple, large (>2 cm) abnormalities on T2w FLAIR
imaging that can be present in the supratentorial white
matter, basal ganglia, brainstem, cerebellum, and spinal cord,
with or without contrast enhancement.
• No specific biomarkers of ADEM.
• Evidence exists that Myelin oligodendrocyte glycoprotein
(MOG) antibodies can transiently occur in almost 50% of
children with ADEM.
• At present, the inclusion of MOG antibodies in the diagnostic
criteria for ADEM is not considered for two reasons:
– The antibodies can be present in demyelinating disorders
with encephalopathy, but without MRI features of ADEM,
or in patients with demyelinating disorders without
encephalopathy and
– antibody testing remains unavailable at many centres.
SUSAC SYNDROME :-
• A rare, but important, D/D in patients who meet criteria for
possible autoimmune encephalitis and have MRI features of
demyelination.
• Considered an autoimmune vasculopathy resulting in
microvessel thromboses at three levels: the brain, retina, and
inner ear.
• In a review of 304 cases, 230 (76%) patients presented with
encephalopathy, but simultaneous involvement of the three
levels at disease onset occurred in only 31 of 247 (13%)
patients.
• Diagnosis based on presence of branch retinal artery
occlusions on fluorescein angiography, and MRI findings
including snowball-like lesions or holes in the central portion
of the corpus callosum and other periventricular white
matter abnormalities on T2w FLAIR.
• MRI findings are different from those seen in ADEM and in the
setting of encephalopathy are highly suggestive of Susac’s
syndrome.
Autoimmune encephalitis current concepts

Autoimmune encephalitis current concepts

  • 1.
    AUTOIMMUNE ENCEPHALITIS : CURRENTCONCEPTS DR. PIYUSH OJHA DM RESIDENT DEPARTMENT OF NEUROLOGY GOVT MEDICAL COLLEGE, KOTA
  • 2.
    • Acute encephalitis- debilitating neurological disorder • Develops as a rapidly progressive encephalopathy (usually in less than 6 weeks) caused by brain inflammation. • Disease with diverse immunologic associations, clinical manifestations, and therapeutic outcomes. • Estimated incidence of encephalitis ~ 5–10 per 100000 / year • Affect individuals of all ages • Some syndromes preferentially affect young adults and children (Armangue et al., 2012). • Represents a significant burden to patients, families, and society.
  • 3.
    HISTORY • Lymphocytic infiltrationof the medial temporal lobe (??Limbic encephalitis) in patients with a remote malignancy (Brierley et al., 1960) • Brain et al first described Hashimoto’s thyroiditis - 1966 • Pathogenic autoantibodies described in diseases of the PNS since 1970’s (Autoimmune myasthenia ,LEMS) • Gradual discovery of many antibodies • Vincent et al. 2004 – VGKC antibody complex
  • 5.
  • 7.
  • 9.
    CLUES TO ANAUTOIMMUNE ETIOLOGY • Change in baseline neurologic function • Subacute onset (days to weeks) & Fluctuating course • Personal/family h/o organ- or non-organ-specific autoimmune disorder • Systemic markers of autoimmunity : eg elevated ANA or TPO antibodies • History of or concurrent malignancy • CSF studies : elevated WBC (<100 cells/µl), protein (<100mg/dl), Ig G index, oligoclonal bands, synthesis rate • EEG : Focal abnormalities • MRI : T2/FLAIR abnormalities • PET Brain : areas of hypo/hypermetabolism • Response to immunosuppression • Identification of a neural autoantibody
  • 13.
    NEURONAL NUCLEAR, CYTOPLASMICAND NUCLEOLAR ANTIBODIES
  • 14.
    EOM abnormalities –Vertical Gaze Plasy
  • 15.
    ANTIBODIES TARGETING NEURALION CHANNELS AND RECEPTORS
  • 18.
    CLASSIFICATION • Autoimmune encephalopathieswithout Malignancy • Paraneoplastic encephalopathies
  • 19.
    NON-PARANEOPLASTIC AUTOIMMUNE ENCEPHALOPATHY - Females>> Males - Middle aged (Mean age ~ 59 yrs) - Onset - Subacute 1-6 weeks - Majority (91 %) have fluctuations - Coexisting Systemic autoimmune disorder – 48% cases
  • 20.
    • Subacute Dementia- Most common presentation • Memory loss almost always present • Seizures -33% cases • Neuropsychiatric symptoms – 50 % patients • Other features – Frontotemporal dementia like syndrome, stroke like episdoes • Tremor and Myoclonus –frequent findings
  • 21.
    INVESTIGATIONS : • Infectious,Toxic/ Metabolic , Vascular , Structural causes are more common - So should be ruled out • CBC ,ESR, CRP , Thyroid function tests, LFT, RFT, Vit B12 • Screening for Non specific Autoimmunity - ANA , ANCA , TPO • CSF examination – To rule out infectious causes (HSV PCR) , Neoplastic causes, 14-3-3 for CJD • CSF - Mild lymphocytic pleocytosis ,oligoclonal bands
  • 22.
    IMAGING : • Toexclude vascular disease , ICSOLs , other structural causes • In autoimmune encephalopathy – MRI typically normal or involvement of Mesial temporal lobes • Subcortical white matter abnormalities or cortical ribbon sign and basal ganglia similar to CJD EEG : • Diffuse slowing or epileptiform abnormalities in the temporal lobes • Non convulsive status epilepticus
  • 23.
    • Antibody testing-NMDA/ VGKC • Search for underlying Malignancy even without antibodies • Patients with subacute or rapidly progressing Dementia should undergo antibody testing and receive a trial of steroids • Biopsy may be required in some cases
  • 24.
    IMAGING MRI : • Mesialtemporal hyperintensities, either unilateral or bilateral with or without enhancement after gadolinium administration, are classic autoimmune limbic encephalitis findings. • Normal imaging is common, particularly in the early illness stages • Extratemporal abnormalities sometimes observed. • If lesions are not in a typical distribution or have avid enhancement, other inflammatory (eg. neurosarcoidosis) or oncologic (eg. lymphoma) diagnoses should be considered.
  • 26.
    FUNCTIONAL IMAGING : •Global hypometabolism is the most common feature encountered in patients with autoimmune encephalopathies. • However, focal hypometabolism can also be encountered. • In instances where the patient has seizures, hypermetabolism can occur.
  • 28.
    AUTOIMMUNE LIMBIC ENCEPHALITIS •Characterised by rapid development of confusion, working memory deficit, mood changes, and often seizures. • The subacute development of short-term memory loss - considered the hallmark of the disorder • But can be overlooked because of the presence of other symptoms. • CSF - mild-to-moderate lymphocytic pleocytosis (usually less than 100 WBCs / mm³) in 60–80% of patients • CSF – elevated IgG index or oligoclonal bands ( 50% cases)
  • 29.
    • Among allimmunological subtypes of limbic encephalitis, patients with LGI1 antibodies present with a lower frequency of CSF pleocytosis (41%) or elevated CSF protein concentrations (47%) and rarely have intrathecal IgG synthesis. • Absence of inflammatory changes in CSF of these patients might initially suggest a non-inflammatory encephalopathy. • MRI – often shows increased signal on T2w FLAIR in the medial aspect of the temporal lobes.
  • 30.
    • Although limbicencephalitis can occur with MRI evidence of unilateral involvement (or be normal), AAN doesnot consider these cases as definite limbic encephalitis unless specific antibodies are subsequently detected. • Reason - several non-immune disorders may result in similar unilateral MRI abnormalities, including among others, seizures, herpes simplex virus encephalitis, or gliomas.
  • 31.
    • MRI findingsof immune-compromised patients with HHV-6- associated encephalitis can mimic precisely findings from patients with autoimmune limbic encephalitis, but the clinical setting is different and directs the diagnosis. • By contrast, the findings in HHV encephalitis are less confined to the limbic system, can occur with haemorrhagic features, and often show restricted diffusion abnormalities and contrast uptake.
  • 32.
    • Immunological subtypesestablished only by measurement of autoantibodies. • Distinction among immunological subtypes important - those associated with onconeuronal antibodies are much less responsive to immunotherapy than those associated with cell- surface antibodies. • Onconeuronal antibodies frequently occuring with limbic encephalitis are Hu and Ma2. (seropositive patients almost always have an underlying cancer) • By contrast, the neuronal cell-surface antibodies more frequently associated with limbic encephalitis - LGI1, GABA B receptor and AMPA receptor antibodies.
  • 33.
    • Antibodies againstthe intracellular antigen Glutamic acid decarboxylase (GAD) occur in a subgroup of patients with limbic encephalitis. • Mainly young women (median age 23 years) with predominant seizures and no evidence of cancer. • The risk of cancer, usually SCLC or thymoma, is higher, however, among patients with GAD antibodies and limbic encephalitis who are older than 50 years or have concomitant GABA B receptor antibodies.
  • 36.
    ANTI-NMDAR ENCEPHALITIS • Mostfrequent antibody-associated encephalitis • 2nd MC immune-mediated encephalitis after ADEM (Granerod et al., 2010) • MC in young women and children (80% cases) (F>>M) • F>>M less evident in children < 12 years and adults > 45 years. • Highly characteristic , occurs in multiple stages • Acute psychiatric symptoms, seizures, memory deficits, decreased level of consciousness, and dyskinesias (orofacial, limb, and trunk) (Dalmau et al., 2008). • Autonomic instability (50% cases - central hypoventilation often requiring mechanical ventilation)
  • 37.
    • Many patientsinitially evaluated by psychiatric services. • Children – may present with mood and behavioral change at times with new onset seizures, movement disorders, insomnia, or reduction of speech. • Partial syndromes with predominant psychiatric symptoms or abnormal movements, and less severe phenotypes can occur • Although almost all patients eventually develop several elements of the syndrome (Kayser et al., 2013) • Atypical symptoms such as cerebellar ataxia or hemiparesis may occur (children > adults)
  • 38.
    • By theend of the first month, 498 (87%) of 571 patients had four or more of the following categories of symptoms (from highest- to-lowest frequency) : – Abnormal behaviour and cognition – Memory deficit – Speech disorder – Seizures – Abnormal movements (orofacial, limb, or trunk dyskinesias) – loss of consciousness or autonomic dysfunction – Central hypoventilation; and – cerebellar ataxia or hemiparesis. • Only six patients (1%) had one category of symptoms. Titulaer MJ, McCracken L, Gabilondo I, et al. Treatment and prognostic factors for long- term outcome in patients with anti-NMDA receptor encephalitis: an observational cohort study. Lancet Neurol 2013; 12: 157–65.
  • 39.
    • Approximately 45%of females > 18 years – U/L or B/L ovarian teratomas compared to < 9% of girls < 14 years age. • Younger children and men only rarely have tumors. • Isolated reported cases - teratoma of the mediastinum, SCLC, Hodgkin lymphoma, neuroblastoma, Ca breast , and GCT testis • 80% patients - CSF -> lymphocytic pleocytosis and less commonly, increased proteins and/or oligoclonal bands.
  • 40.
    • 35% patients-> increased signal on MRI FLAIR or T2 sequences and less often, faint or transient contrast enhancement of the cerebral cortex, overlaying meninges, basal ganglia, or brainstem • Abnormal EEG (90%) - generalized slow or disorganized activity without epileptic discharges that may overlap with electrographic seizures. • 30% patients - unique EEG pattern called extreme delta brush due to its similarity to the delta brush pattern seen in neonatal EEG (Schmitt et al., 2012).
  • 41.
    • Diagnosis -demonstration of NMDAR antibodies in CSF and serum • Antibodies are IgG subtype and target the GluN1 (previously called NR1) subunit of the NMDAR.
  • 44.
    BICKERSTAFF BRAINSTEM ENCEPHALITIS •Characterised by subacute onset, < 4 weeks, of progressive impairment of consciousness along with ataxia and bilateral, mostly symmetrical, ophthalmoparesis. • Usually preceded by an infectious event, runs a monophasic course, and has a good outcome. • Additionally, patients frequently develop pupillary abnormalities, bilateral facial palsy, Babinski’s sign, and bulbar palsy. • Generalised limb weakness can occur, which overlaps with features of GBS.
  • 45.
    • CSF pleocytosisoccurs in 45% patients. • Brain MRI usually normal, but brainstem abnormalities on T2w FLAIR imaging present in 23% of patients. • IgG anti-GQ1b antibodies are highly specific for this entity and related Miller-Fisher syndrome (GQ1b antibody syndrome) • ~ 32% patients - no detectable antibodies.
  • 47.
    ANTI CASPR2 ASSOCIATEDENCEPHALITIS • Contactin-associated protein-like 2 (CASPR2) antibodies • Usually develop Morvan syndrome • Symptoms involving both – CNS - encephalopathy, hallucinations, seizures, insomnia, autonomic dysfunction) and – PNS - PNH-cramps,myokymia,fasciculations, neuropathy, allodynia (Lancaster et al., 2011). • > 50 % complain of neuropathic pain while some develop severe insomnia
  • 48.
    • Patients mayhave other coexisting immune-mediated disorders such as myasthenia gravis with AChR or MuSKantibodies (Fleisher et al., 2013). • MRI – often normal • Tumor Screening – Thymoma • Good response to immunotherapies
  • 49.
    ANTI AMPA RECEPTORENCEPHALITIS • Anti-alpha-amino-3-hydroxy-5-methyl-4-isoxazolepropionic acid receptor (AMPAR) • Predominantly affects middle-aged women (median~ 60 yrs) • Subacute (<8 weeks) symptoms of limbic encephalitis including confusion, disorientation, and memory loss often associated with prominent psychiatric symptoms – may be confused with Acute Psychosis • Seizures - < 50 % cases • Syndrome lacks movement disorders, autonomic dysfunction & hypoventilation
  • 50.
    • Approx 70%- underlying tumor in the lung, breast, or thymus. • Antibodies target the GluR1/2 subunits of the AMPAR. • MRI brain - usually shows abnormal FLAIR signal involving the medial temporal lobesCSF - lymphocytic pleocytosis. • Majority respond to immunotherapy • About 50% have relapses. • Those with relapses usually respond to treatment but these responses are often partial, resulting in cumulative memory or behavioral deficits. • Role of chronic immunosuppression in preventing or reducing the risk of relapses – not clear
  • 51.
    ANTI LGI1 LIMBICENCEPHALITIS • LGI1 - leucine-rich glioma inactivated 1 (Previously described as targeting the voltage-gated potassium channel (VGKC). • Predominantly Older men (M:F~3:1, median age 60 years) • Develop memory loss, confusion, and temporal lobe seizures. • Approx. 60% - hyponatremia(SIADH) and less often REM sleep behavior disorders - additional clues in formulating the differential diagnoses (Lai et al., 2010). • Some patients develop brief tonic or myoclonic-like Faciobrachial dystonic seizures(FBDS) (40%) that precede the memory and cognitive deficits • Autonomic symptoms ~ 10 % • May develop additional symptoms of peripheral nerve hyperexcitability (PNH) (Morvan syndrome).
  • 52.
    Faciobrachial dystonic seizuresin an LGI1 VGKC- complex antibody-mediated encephalitis
  • 54.
    • Rapidly progressivememory disturbance along with myoclonic-like movements can lead to the suspicion of rapid onset dementia such as CJD • Usually no cancer associated and < 10% have an underlying neoplasm(Thymoma) • MRI shows findings typical of limbic encephalitis. • CSF usually normal, although mild inflammatory changes or oligoclonal bands may be present • Antibodies almost always detectable in both serum and CSF. • 80% patients - substantial responses to immunotherapy • Mild deficits common • Relapses occur in about 20% of the patients.
  • 55.
    ANTI-GABAB ENCEPHALITIS • Male= female • > 50% cases – associated tumor – almost always SCLC • Presenting features - almost always those of typical limbic encephalitis -> memory loss, confusion, and prominent seizures (Hoftberger et al., 2013) • Rarely - ataxia or opsoclonus-myoclonus as presenting complaint – gradually evolve to limbic encephalitis. • MRI brain - abnormal in 2/3 cases – U/L or B/L medial temporal lobe FLAIR/T2 signal consistent with limbic encephalitis. • CSF - lymphocytic pleocytosis.
  • 56.
    • Majority ofpatients receiving immunotherapy have full or substantial recoveries, including cases where treatment was delayed by several months. • For patients with cancer the neurological outcome appears dependent on successful treatment of the tumor.
  • 57.
    ANTI-GABAA ENCEPHALITIS • Rapidlyprogressive, severe encephalopathy that result in refractory seizures (Petit-Pedrol et al., 2014) • Extensive MRI abnormalities on FLAIR and T2 imaging with multifocal cortical-subcortical involvement without contrast enhancement.
  • 59.
    • Autoimmune encephalitisshould be included in the differential diagnosis of any patient, especially if young, with a rapidly progressive encephalopathy of unclear origin. • Any immunological type of autoimmune encephalitis can have a relapsing course and therefore the diagnosis of these disorders should be considered in patients with a past history of encephalitis or relapsing encephalopathy. DIFFERENTIAL DIAGNOSIS
  • 60.
  • 66.
  • 67.
    REFERENCES • Bradley’s Neurologyin clinical practice 6th edition • Continuum Review Article : Autoimmune Encephalopathies and dementias : April 2016 • Seminars in Neurology : Autoantibody associated CNS Neurologic Disorders : August 2016 • A clinical approach to diagnosis of Autoimmune Encephalitis : Lancet Neurol 2016;15;391-404
  • 75.
    • Susac syndrome- usually have multiple hemispheric white matter lesions involving the corpus callosum, somewhat mimicking multiple sclerosis, but with prominent, extensive leptomeningeal enhancement. • Rapidly resolving large hemispheric T2 abnormalities - should raise concern for a mitochondrial disorder, such as MELAS. • Nonenhancing posterior predominant white matter lesions – consider progressive multifocal leukoencephalopathy. • Cortical ribbon hyperintensities can be observed in some patients (and thus may be misleading for CJD).
  • 76.
    ACUTE DISSEMINATED ENCEPHALITIS •A monophasic, inflammatory disease of the CNS • Mainly occurs in children and adults < 40 years. • The disorder can be preceded by an acute systemic infection or vaccination. • Characterised by a variable extent of encephalopathy , and other neurological signs, such as cranial nerve palsies, ataxia, hemiparesis, myelopathy, or optic neuritis.
  • 77.
    • CSF -typically shows mild pleocytosis (less than 50 lymphocytes per mm³), but CSF oligoclonal bands are uncommon (less than 7% of all cases). • Brain - multiple, large (>2 cm) abnormalities on T2w FLAIR imaging that can be present in the supratentorial white matter, basal ganglia, brainstem, cerebellum, and spinal cord, with or without contrast enhancement. • No specific biomarkers of ADEM.
  • 79.
    • Evidence existsthat Myelin oligodendrocyte glycoprotein (MOG) antibodies can transiently occur in almost 50% of children with ADEM. • At present, the inclusion of MOG antibodies in the diagnostic criteria for ADEM is not considered for two reasons: – The antibodies can be present in demyelinating disorders with encephalopathy, but without MRI features of ADEM, or in patients with demyelinating disorders without encephalopathy and – antibody testing remains unavailable at many centres.
  • 80.
    SUSAC SYNDROME :- •A rare, but important, D/D in patients who meet criteria for possible autoimmune encephalitis and have MRI features of demyelination. • Considered an autoimmune vasculopathy resulting in microvessel thromboses at three levels: the brain, retina, and inner ear. • In a review of 304 cases, 230 (76%) patients presented with encephalopathy, but simultaneous involvement of the three levels at disease onset occurred in only 31 of 247 (13%) patients.
  • 81.
    • Diagnosis basedon presence of branch retinal artery occlusions on fluorescein angiography, and MRI findings including snowball-like lesions or holes in the central portion of the corpus callosum and other periventricular white matter abnormalities on T2w FLAIR. • MRI findings are different from those seen in ADEM and in the setting of encephalopathy are highly suggestive of Susac’s syndrome.