Amino Acids
By: Dhiraj Kr. Chaudhary
IAAS, Lamjung
• Amino acids are biologically important organic compounds composed  of 
amine (-NH2)  and carboxylic acid (-COOH) functional groups,  along  with 
a side-chain specific  to  each  amino acid.  The  key  elements  of  an  amino 
acid are carbon,hydrogen, oxygen, and nitrogen, though other elements are 
found in the side-chains of certain amino acids.
• Amino acids are the building blocks of proteins.
• Amino acids are joined together with peptides bonds to form proteins.
General Structure of Amino Acids:
• Each  amino  acid  is  a  nitrogenous  compound  having  both  an  acidic 
carboxyl (-COOH) and a basic (- NH2) group. R stands for the side chains 
that are different for each amino acid. 
• R can be  as simple as a hydrogen atom (H) or a methly group (-CH3) or a 
more complex structure. 
• The first carbon is a the part of the carboxyl group.  The second  carbon, to 
which amino group is attached is called the α- carbon. 
• The α- carbon in all the amino acids is asymmetric except in Glycine where 
the α- carbon  is symmetric.
• Due to this asymmetry, the amino acids exist in two optically active forms: 
-those having -NH2  group to the right are designated as D- forms and those 
having - NH2 group to the left as L- forms.  
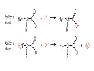
Electrochemical Properties of Amino acids:
• All  molecules  possessing  both  acidic  and  basic  groups  might  exist  as 
uncharged molecules or in ionic form or as a mixture of both.
• Calculation have revealed that an aqueous solution of most amino acids, 
glycine for e.g., can have only one part of uncharged molecules in one lakh 
parts of the ionic form.
• In the ionic form, the proton migrates from the carboxyl to amino group, 
thus producing carboxylate  (COO- 
) and ammonim (NH+
3) ions.
• Amino acids react with both acids and bases. Hence, they are amphoteric 
in nature.
 In  acid  solution  ,  the  COO- 
  ion  acquires  a  proton  and  the  amino  acid 
becomes an ammonium salt of the acid.
 Conversely, in alkaline solution, the NH+
3   ion loses a proton and the amino 
acid becomes the anion salt.
 These  reactions  are  of  reversible  nature  and  depend  on  the  pH  of  the 
medium.
 Henceforth, amino acids serves as buffers and tend to prevent pH change 
when an acid or a base is added. 
Zwitterion Form of Amino acids:
• The amine and carboxylic acid functional groups found in amino acids
allow them to have amphiprotic properties.
• Carboxylic acid groups (−CO2H) can be deprotonated to become negative
carboxylates (−CO2
−
), and α-amino groups (NH2−) can be protonated to
become positive α-ammonium groups (+
NH3−).
• At pH between 2.2 and 9.4, the predominant form adopted by α-amino
acids contains a negative carboxylate and a positive α-ammonium group,
as shown in structure.
• This form of amino acid has net zero charge.
• This molecular state is known as a zwitterion, from the
German Zwitter meaning hermaphrodite or hybrid.
• Below pH 2.2, the predominant form will have a neutral carboxylic acid
group and a positive α-ammonium ion (net charge +1), and above pH 9.4, a
negative carboxylate and neutral α-amino group (net charge −1).
Fig: Zwitterion form of Amino anids
Standard, Primary or Normal Amino Acids
• Although over 100 amino acids have been shown to present in various
plants and animals, only 20 of them are found as constituent of most
proteins.
• These 20 amino acids of proteins are referred to as standard, primary or
normal amino acids to distinguish them from others.
• The 20 amino acids that are found within proteins convey a vast array of
chemical versatility.
• The precise amino acid content, and the sequence of those amino acids, of
a specific protein, is determined by the sequence of the bases in the gene
that encodes that protein.
Structures of 20 Standard Amino acids
Amino Acids Symbol Amino Acids Symbol
Alanine Ala Leucine Leu
Arginine Arg Lysine Lys
Asparagine Asn Methionine Met
Aspartic acid Asp Phenylalanine Phe
Cysteine Cys Proline Pro
Glutamic acid Glu Serine Ser
Glutamine Gln Threonine Thr
Glycine Gly Tryptophan Trp
Histidine His Tyrosine Tyr
Isoleucine Ile Valine Val
Table: Amino acids & their Symbols
Classification of Amino acids:
• There are several basis of classification of Amino acids:
A. On the Basis of Requirements:
1. Essential amino acids
• Essential amino acids cannot be made by the body. As a result, they must
come from food.
• The nine essential amino acids are: histidine, isoleucine, leucine, lysine,
methionine, phenylalanine, threonine, tryptophan, and valine.
2. Nonessential amino acids
• "Nonessential" means that our bodies produce an amino acid, even if we
don't get it from the food we eat.
• They include: alanine, asparagine, aspartic acid, and glutamic acid.
3. Conditional amino acids
• Conditional amino acids are usually not essential, except in times of illness
and stress.
• They include: arginine, cysteine, glutamine, tyrosine, glycine, proline,
and serine.
Essential Nonessential
Histidine Alanine
Isoleucine Arginine*
Leucine Asparagine
Lysine Aspartic acid
Methionine Cysteine*
Phenylalanine Glutamic acid
Threonine Glutamine*
Tryptophan Glycine
Valine Ornithine*
Proline*
Selenocysteine*
Serine*
Tyrosine*
(*) Essential only in certain cases.
B. On the basis of the composition of the side chain or R group:
• Based on the composition of the side chain, the twenty amino acids, may
be grouped into following 8 categories:
i. Simple amino acids:
• These have no functional group in their side chain, e.g.: Glycine, Alanine,
valine, leucine, and isoleucine.
ii. Hydoxy amino acids:
• These amino acids contain a hydoxyl group in their side chain. E.g. serine
and threonine.
iii. Sulfur- containing amino acids:
• These possess a sulfur atom in the side chain, e.g. Cysteine and
methionine.
iv. Acidic amino acids:
• These have a carboxyl group in the side chain, e.g., Aspartic acid and
Glutamic acid.
v. Amino acid amides:
• These are derivatives of acidic amino acids in which one of the carboxyl
group has been transformed into an amide group (-CONH2 ), e.g.,
Asparagine and Glutamine.
vi. Basic amino acids:
• These possess an amino group in the side chain, e.g. lysine, and arginine.
vii. Heterocyclic amino acids:
• These amino acids, have in their side chain a ring which possesses at
least one atom other than the carbon.e.g., Tryptophan, histidine, and
Proline.
viii. Aromatic amino acids:
• These have a benzene ring in the side chain, e.g., Phenylalanine and
Tyrosine
C. On the basis of the number of amino and carboxylic groups.:
• McGilvery and Goldstein (1979) have classified various amino acids as
follows :
I. Monoamino-monocarboxylic amino acids :
1. Unsubstituted = Glycine Alanine, Valine, Leucine, Isoleucine
2. Heterocyclic = Proline
3. Aromatic = Phenylalanine, Tyrosine,Tryptophan
4. Thioether = Methionine
5. Hydroxy = Serine, Threonine
6. Mercapto = Cysteine
7. Carboxamide = Asparagine, Glutamine
II. Monoamino-dicarboxylic amnino acids : Aspartic acid, Glutamic acid
III. Diamino-monocaryboxylic amino acids : Lysine, Arginine, Histidine
D. On the basis of polarity of the side chain or R group:
 A more meaningful classification of amino acids is, however, based on the
polarity of the R groups present in their molecules, i.e., their tendency to
interact with water at biological pH (near pH 7.0):
 This system recognizes following 4 categories :
I. Amino acids with nonpolar R groups.
II. Amino acids with polar but uncharged R groups.
III. Amino acids with negatively charged (= acidic) R groups.
IV. Amino acids with positively charged (=basic) R groups.
I. Amino acids with nonpolar R groups:
• The R groups in this category of amino acids are hydrocarbon in nature
and thus hydrophobic.
• This group includes:
-five amino acids with aliphatic R groups (alanine, valine, leucine
isoleucine, proline),
- two with aromatic rings (phenylalanine, tryptophan) and
-one containing sulfur (methionine).
II. Amino acids with polar but uncharged R groups:
 The R groups of these amino acids are more soluble in water i.e., more
hydrophilic than those of the nonpolar amino acids because they contain
functional groups that form hydrogen bonds with water.
 This category includes 7 amino acids, viz., glycine, serine, threonine,
tyrosine, cysteine, asparagine and glutamine.
 The polarity of these amino acids may be due to either a hydroxyl group
(serine, threonine, tyrosine) or a sulfhydryl group (cysteine) or an amide
group (asparagine, glutamine).
 The R group of glycine, a single hydrogen atom, is too small to influence
the high degree of polarity.
III. Amino acids with negatively charged (= acidic) R groups:
• These are monoaminodicarboxylic acids.
• In other words, their side chain contains an extra carboxyl group with a
dissociable proton.
• The resulting additional negative charge accounts for the electrochemical
behaviour of proteins.
• The two amino acids which belong to this category are aspartic and
glutamic.
IV. Amino acids with positively charged (=basic) R groups:
• These are diaminomonocarboxylic acids.
• In other words, their side chain contains an extra amino group which
imparts basic properties to them.
• Lysine, arginine and histidine belong to this category.
NONSTANDARD PROTEIN AMINO ACIDS :
• In addition to the above-mentioned twenty standard amino acids which are
building blocks of proteins having a wide range of distribution, several
other amino acids exists which have a limited distribution.
• As an example, hydroxyproline has a limited distribution in nature but
constitutes as much as 12% of the composition of collagen.
• Similarly, hydroxylysine is also a component of collagen.
• N-methyllysine is found in myosin, a contractile protein of muscle.
• γ-carboxyglutamate is found in the blood-clotting protein, prothrombin.
F. NONPROTEIN AMINO ACIDS:
• There are some 300 additional amino acids which are never found as
constituents of proteins but which either play metabolic roles or occur as
natural products.
• Among the important nonprotein amino acids, which play metabolic roles,
are L-ornithine, L-citrulline, β-alanine, creatine and γ-aminobutyrate.
Function of Amino Acids:
 It is the building blocks of Proteins.
 Major Component of Peptidoglycan
 Functions as a Buffers.
 Serves as a precursor of several enzymes and component
 Act as a nitrogen source

Amino acids

  • 1.
    Amino Acids By: DhirajKr. Chaudhary IAAS, Lamjung
  • 2.
    • Amino acids are biologically important organic compounds composed of  amine (-NH2)  and carboxylic acid (-COOH) functional groups,  along  with  a side-chain specific  to  each  amino acid.  The  key  elements  of  an  amino  acid are carbon,hydrogen, oxygen, and nitrogen, though other elements are  found in the side-chains of certain amino acids.
  • 3.
    • Amino acids are the building blocks of proteins. • Amino acids are joined together with peptides bonds to form proteins. GeneralStructure of Amino Acids: • Each  amino  acid  is  a  nitrogenous  compound  having  both  an  acidic  carboxyl (-COOH) and a basic (- NH2) group. R stands for the side chains  that are different for each amino acid.  • R can be  as simple as a hydrogen atom (H) or a methly group (-CH3) or a  more complex structure.  • The first carbon is a the part of the carboxyl group.  The second  carbon, to  which amino group is attached is called the α- carbon.  • The α- carbon in all the amino acids is asymmetric except in Glycine where  the α- carbon  is symmetric. • Due to this asymmetry, the amino acids exist in two optically active forms:  -those having -NH2  group to the right are designated as D- forms and those  having - NH2 group to the left as L- forms.  
  • 5.
    Electrochemical Properties ofAmino acids: • All  molecules  possessing  both  acidic  and  basic  groups  might  exist  as  uncharged molecules or in ionic form or as a mixture of both. • Calculation have revealed that an aqueous solution of most amino acids,  glycine for e.g., can have only one part of uncharged molecules in one lakh  parts of the ionic form. • In the ionic form, the proton migrates from the carboxyl to amino group,  thus producing carboxylate  (COO-  ) and ammonim (NH+ 3) ions. • Amino acids react with both acids and bases. Hence, they are amphoteric  in nature.  In  acid  solution  ,  the  COO-    ion  acquires  a  proton  and  the  amino  acid  becomes an ammonium salt of the acid.  Conversely, in alkaline solution, the NH+ 3   ion loses a proton and the amino  acid becomes the anion salt.  These  reactions  are  of  reversible  nature  and  depend  on  the  pH  of  the  medium.  Henceforth, amino acids serves as buffers and tend to prevent pH change  when an acid or a base is added. 
  • 7.
    Zwitterion Form ofAmino acids: • The amine and carboxylic acid functional groups found in amino acids allow them to have amphiprotic properties. • Carboxylic acid groups (−CO2H) can be deprotonated to become negative carboxylates (−CO2 − ), and α-amino groups (NH2−) can be protonated to become positive α-ammonium groups (+ NH3−). • At pH between 2.2 and 9.4, the predominant form adopted by α-amino acids contains a negative carboxylate and a positive α-ammonium group, as shown in structure. • This form of amino acid has net zero charge. • This molecular state is known as a zwitterion, from the German Zwitter meaning hermaphrodite or hybrid. • Below pH 2.2, the predominant form will have a neutral carboxylic acid group and a positive α-ammonium ion (net charge +1), and above pH 9.4, a negative carboxylate and neutral α-amino group (net charge −1).
  • 8.
    Fig: Zwitterion formof Amino anids
  • 9.
    Standard, Primary orNormal Amino Acids • Although over 100 amino acids have been shown to present in various plants and animals, only 20 of them are found as constituent of most proteins. • These 20 amino acids of proteins are referred to as standard, primary or normal amino acids to distinguish them from others. • The 20 amino acids that are found within proteins convey a vast array of chemical versatility. • The precise amino acid content, and the sequence of those amino acids, of a specific protein, is determined by the sequence of the bases in the gene that encodes that protein.
  • 10.
    Structures of 20Standard Amino acids
  • 11.
    Amino Acids SymbolAmino Acids Symbol Alanine Ala Leucine Leu Arginine Arg Lysine Lys Asparagine Asn Methionine Met Aspartic acid Asp Phenylalanine Phe Cysteine Cys Proline Pro Glutamic acid Glu Serine Ser Glutamine Gln Threonine Thr Glycine Gly Tryptophan Trp Histidine His Tyrosine Tyr Isoleucine Ile Valine Val Table: Amino acids & their Symbols
  • 12.
    Classification of Aminoacids: • There are several basis of classification of Amino acids: A. On the Basis of Requirements: 1. Essential amino acids • Essential amino acids cannot be made by the body. As a result, they must come from food. • The nine essential amino acids are: histidine, isoleucine, leucine, lysine, methionine, phenylalanine, threonine, tryptophan, and valine. 2. Nonessential amino acids • "Nonessential" means that our bodies produce an amino acid, even if we don't get it from the food we eat. • They include: alanine, asparagine, aspartic acid, and glutamic acid. 3. Conditional amino acids • Conditional amino acids are usually not essential, except in times of illness and stress. • They include: arginine, cysteine, glutamine, tyrosine, glycine, proline, and serine.
  • 13.
    Essential Nonessential Histidine Alanine IsoleucineArginine* Leucine Asparagine Lysine Aspartic acid Methionine Cysteine* Phenylalanine Glutamic acid Threonine Glutamine* Tryptophan Glycine Valine Ornithine* Proline* Selenocysteine* Serine* Tyrosine* (*) Essential only in certain cases.
  • 15.
    B. On thebasis of the composition of the side chain or R group: • Based on the composition of the side chain, the twenty amino acids, may be grouped into following 8 categories: i. Simple amino acids: • These have no functional group in their side chain, e.g.: Glycine, Alanine, valine, leucine, and isoleucine. ii. Hydoxy amino acids: • These amino acids contain a hydoxyl group in their side chain. E.g. serine and threonine. iii. Sulfur- containing amino acids: • These possess a sulfur atom in the side chain, e.g. Cysteine and methionine. iv. Acidic amino acids: • These have a carboxyl group in the side chain, e.g., Aspartic acid and Glutamic acid. v. Amino acid amides: • These are derivatives of acidic amino acids in which one of the carboxyl group has been transformed into an amide group (-CONH2 ), e.g., Asparagine and Glutamine.
  • 16.
    vi. Basic aminoacids: • These possess an amino group in the side chain, e.g. lysine, and arginine. vii. Heterocyclic amino acids: • These amino acids, have in their side chain a ring which possesses at least one atom other than the carbon.e.g., Tryptophan, histidine, and Proline. viii. Aromatic amino acids: • These have a benzene ring in the side chain, e.g., Phenylalanine and Tyrosine
  • 17.
    C. On thebasis of the number of amino and carboxylic groups.: • McGilvery and Goldstein (1979) have classified various amino acids as follows : I. Monoamino-monocarboxylic amino acids : 1. Unsubstituted = Glycine Alanine, Valine, Leucine, Isoleucine 2. Heterocyclic = Proline 3. Aromatic = Phenylalanine, Tyrosine,Tryptophan 4. Thioether = Methionine 5. Hydroxy = Serine, Threonine 6. Mercapto = Cysteine 7. Carboxamide = Asparagine, Glutamine II. Monoamino-dicarboxylic amnino acids : Aspartic acid, Glutamic acid III. Diamino-monocaryboxylic amino acids : Lysine, Arginine, Histidine
  • 18.
    D. On thebasis of polarity of the side chain or R group:  A more meaningful classification of amino acids is, however, based on the polarity of the R groups present in their molecules, i.e., their tendency to interact with water at biological pH (near pH 7.0):  This system recognizes following 4 categories : I. Amino acids with nonpolar R groups. II. Amino acids with polar but uncharged R groups. III. Amino acids with negatively charged (= acidic) R groups. IV. Amino acids with positively charged (=basic) R groups. I. Amino acids with nonpolar R groups: • The R groups in this category of amino acids are hydrocarbon in nature and thus hydrophobic. • This group includes: -five amino acids with aliphatic R groups (alanine, valine, leucine isoleucine, proline), - two with aromatic rings (phenylalanine, tryptophan) and -one containing sulfur (methionine).
  • 19.
    II. Amino acidswith polar but uncharged R groups:  The R groups of these amino acids are more soluble in water i.e., more hydrophilic than those of the nonpolar amino acids because they contain functional groups that form hydrogen bonds with water.  This category includes 7 amino acids, viz., glycine, serine, threonine, tyrosine, cysteine, asparagine and glutamine.  The polarity of these amino acids may be due to either a hydroxyl group (serine, threonine, tyrosine) or a sulfhydryl group (cysteine) or an amide group (asparagine, glutamine).  The R group of glycine, a single hydrogen atom, is too small to influence the high degree of polarity. III. Amino acids with negatively charged (= acidic) R groups: • These are monoaminodicarboxylic acids. • In other words, their side chain contains an extra carboxyl group with a dissociable proton. • The resulting additional negative charge accounts for the electrochemical behaviour of proteins. • The two amino acids which belong to this category are aspartic and glutamic.
  • 20.
    IV. Amino acidswith positively charged (=basic) R groups: • These are diaminomonocarboxylic acids. • In other words, their side chain contains an extra amino group which imparts basic properties to them. • Lysine, arginine and histidine belong to this category. NONSTANDARD PROTEIN AMINO ACIDS : • In addition to the above-mentioned twenty standard amino acids which are building blocks of proteins having a wide range of distribution, several other amino acids exists which have a limited distribution. • As an example, hydroxyproline has a limited distribution in nature but constitutes as much as 12% of the composition of collagen. • Similarly, hydroxylysine is also a component of collagen. • N-methyllysine is found in myosin, a contractile protein of muscle. • γ-carboxyglutamate is found in the blood-clotting protein, prothrombin.
  • 21.
    F. NONPROTEIN AMINOACIDS: • There are some 300 additional amino acids which are never found as constituents of proteins but which either play metabolic roles or occur as natural products. • Among the important nonprotein amino acids, which play metabolic roles, are L-ornithine, L-citrulline, β-alanine, creatine and γ-aminobutyrate. Function of Amino Acids:  It is the building blocks of Proteins.  Major Component of Peptidoglycan  Functions as a Buffers.  Serves as a precursor of several enzymes and component  Act as a nitrogen source