3. VEKTOR
KPB 1
KPB 2
Vektor di bidang dan di ruang
Definisi: Vektor adalah besaran yang mempunyai arah atau
Vektor adalah suatu ruas garis berarah.
1 2 1 2,OA a a i a j a a
→
= = + =
r rr
A (titik pangkal)
B (titik ujung)
v
r
1 2 1 2,AB v v i v j v v
→
= = + =
r rr
1 2 3 1 2 3, ,v v i v j v k v v v= + + =
rr rr
KPB 3
Operasi vektor:
Jumlah (resultan)
Perkalian dengan skalar
u
r
v
r
u v+
r r
u
r
2u
r
KPB 4
Norm (panjang vektor)
2 2
1 2| |a a a a= = +
r r
Vektor satuan : vektor yang panjangnya satu
Vektor posisi : vektor yang ujungnya (0,0)
Vektor nol : vektor 0 0,0=
r
2 2 3
1 2| |a a a a a= = + +
r r
1 2a a i a j= + →
r rr
1 2 3a a i a j a k= + + →
rr rr
KPB 5
Hasil kali titik dua vektor (Dot product)
1 2 3a a i a j a k= + +
rr rr
1 2 3b b i b j b k= + +
r rr r
1 1 2 2 3 3.a b a b a b a b= + +
rr
Hasil kali silang dua vektor (cross product)
1 2 3
1 2 3
i j k
a b a a a
b b b
× =
rr r
rr ( )a b b a× = − ×
r rr r
. | || | cos ( , )a b a b a b= ∠
r r rr r r
KPB 6
Dua vektor dikatakan saling tegak lurus (disebut ortogonal)
jika hasil kali titiknya adalah nol.
Contoh: Tentukan m sehingga 8,6 dan 3,a b m= =
rr
adalah ortogonal.
Jawab : . 8.3 6. 24 6 0a b m m= + = + =
rr
4m⇒ = −
KPB 7
contoh: Tentukan sudut ABC,dimana (4,3), (1, 1), (6, 4)A B C= − −
Jawab:
(4 1) (3 1) 3 4u BA i j i j= = − + + = +
r r r rr
(6 1) ( 4 1) 5 3v BC i j i j= = − + − + = −
r r r rr
2 2
| | 3 4 5u = + =
r
2 2
| | 5 ( 3) 34v = + − =
r
. (3)(5) (4)( 3) 3u v = + − =
r r
1 1. 3
cos cos
| || | 5 34
u v
ABC
u v
− −   
∠ = = ÷  ÷
  
KPB 8
Proyeksi
Misalkan dana b
rr
adalah vektor, dan θ adalah sudut antara kedua vektor itu.
Misal c
r
vektor pada arah b
r
yang mempunyai besaran | | cos .a θ
r
b
r
a
r
θ
c
r
| | cos | | | | | |a c kb k bθ = = =
r rr r
2
| | | | . .
cos
| | | | | || | | |
a a a b a b
k
b b a b b
θ= = =
r rr r r r
r r r rr
Jadi, proyeksi vektor a
r
b
r
pada adalah: 2
.
| |
a b
c b
b
 
=  ÷
 
rr rr
r
Proyeksi skalar a
r
b
r
pada adalah:
.
| |
| |
a b
c
b
=
rr
r
r
KPB 9
Contoh:
1. Tentukan vektor yang merupakan proyeksi vektor 3,1, 1− pada
vektor 2,5,2 .
Jawab: 3,1, 1a = −
r
2,5,2 | | 33b b= → =
r r
. 6 5 2 9a b = + − =
rr
Maka vektor proyeksi a
r
b
r
pada adalah
. 9
. 2,5,2
33| |
a b
c b
b
= =
rr rr
r
KPB 10
2. Tentukan proyeksi skalar dari 2 2u i j k= − + +
rr rr
pada
2v i j k= + −
rr rr
Jawab:
. 2 2 2 2
| |
| | 1 4 1 6
u v
c
v
− + − −
= = =
+ +
r r
r
r
KPB 11
Divergensi dan curl dari medan vektor
Misal medan vektor
( , , ) ( , , ) ( , , ) ( , , )F x y z M x y z i N x y z j P x y z k= + +
rr r r
(i) Divergensi ( )div F
r
adalah medan skalar, yaitu
M N P
div F
x y z
∂ ∂ ∂
= + +
∂ ∂ ∂
r
(ii) Curl ( )curl F
r
adalah medan vektor,yaitu
i j k
curl F F
x y z
M N P
∂ ∂ ∂
= ∇× =
∂ ∂ ∂
rr r
r r r P N M P N M
i j k
y z z x x y
   ∂ ∂ ∂ ∂ ∂ ∂ 
= − + − + − ÷  ÷ ÷
∂ ∂ ∂ ∂ ∂ ∂    
rr r
kalkulus 1 12
Gradien medan skalar
Misal ( , , )f x y z menyatakan suatu medan skalar, dan f diferensiabel,
maka gradien f,
( , , )
f f f
f x y z i j k
x y z
∂ ∂ ∂
∇ = + +
∂ ∂ ∂
rr r r
kalkulus 1 13
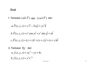
Soal
1. Tentukan ( )curl F
r
( )div F
r
dan dari
2 2
. ( , , ) 2a F x y z x i xyj yz k= − +
rr r r
. ( , , ) cos sinx x
b F x y z e yi e yj zk= + +
rr r r
. ( , , ) ( ) ( ) ( )c F x y z y z i x z j x y k= + + + + +
rr r r
2. Tentukan f∇
r
dari
2
. ( , , ) 4a f x y z xy yz z= − +
2 2
. ( , , ) z
b f x y z y e−
=

Vektor dan Medan Vektor

  • 1.
  • 2.
    KPB 2 Vektor dibidang dan di ruang Definisi: Vektor adalah besaran yang mempunyai arah atau Vektor adalah suatu ruas garis berarah. 1 2 1 2,OA a a i a j a a → = = + = r rr A (titik pangkal) B (titik ujung) v r 1 2 1 2,AB v v i v j v v → = = + = r rr 1 2 3 1 2 3, ,v v i v j v k v v v= + + = rr rr
  • 3.
    KPB 3 Operasi vektor: Jumlah(resultan) Perkalian dengan skalar u r v r u v+ r r u r 2u r
  • 4.
    KPB 4 Norm (panjangvektor) 2 2 1 2| |a a a a= = + r r Vektor satuan : vektor yang panjangnya satu Vektor posisi : vektor yang ujungnya (0,0) Vektor nol : vektor 0 0,0= r 2 2 3 1 2| |a a a a a= = + + r r 1 2a a i a j= + → r rr 1 2 3a a i a j a k= + + → rr rr
  • 5.
    KPB 5 Hasil kalititik dua vektor (Dot product) 1 2 3a a i a j a k= + + rr rr 1 2 3b b i b j b k= + + r rr r 1 1 2 2 3 3.a b a b a b a b= + + rr Hasil kali silang dua vektor (cross product) 1 2 3 1 2 3 i j k a b a a a b b b × = rr r rr ( )a b b a× = − × r rr r . | || | cos ( , )a b a b a b= ∠ r r rr r r
  • 6.
    KPB 6 Dua vektordikatakan saling tegak lurus (disebut ortogonal) jika hasil kali titiknya adalah nol. Contoh: Tentukan m sehingga 8,6 dan 3,a b m= = rr adalah ortogonal. Jawab : . 8.3 6. 24 6 0a b m m= + = + = rr 4m⇒ = −
  • 7.
    KPB 7 contoh: Tentukansudut ABC,dimana (4,3), (1, 1), (6, 4)A B C= − − Jawab: (4 1) (3 1) 3 4u BA i j i j= = − + + = + r r r rr (6 1) ( 4 1) 5 3v BC i j i j= = − + − + = − r r r rr 2 2 | | 3 4 5u = + = r 2 2 | | 5 ( 3) 34v = + − = r . (3)(5) (4)( 3) 3u v = + − = r r 1 1. 3 cos cos | || | 5 34 u v ABC u v − −    ∠ = = ÷  ÷   
  • 8.
    KPB 8 Proyeksi Misalkan danab rr adalah vektor, dan θ adalah sudut antara kedua vektor itu. Misal c r vektor pada arah b r yang mempunyai besaran | | cos .a θ r b r a r θ c r | | cos | | | | | |a c kb k bθ = = = r rr r 2 | | | | . . cos | | | | | || | | | a a a b a b k b b a b b θ= = = r rr r r r r r r rr Jadi, proyeksi vektor a r b r pada adalah: 2 . | | a b c b b   =  ÷   rr rr r Proyeksi skalar a r b r pada adalah: . | | | | a b c b = rr r r
  • 9.
    KPB 9 Contoh: 1. Tentukanvektor yang merupakan proyeksi vektor 3,1, 1− pada vektor 2,5,2 . Jawab: 3,1, 1a = − r 2,5,2 | | 33b b= → = r r . 6 5 2 9a b = + − = rr Maka vektor proyeksi a r b r pada adalah . 9 . 2,5,2 33| | a b c b b = = rr rr r
  • 10.
    KPB 10 2. Tentukanproyeksi skalar dari 2 2u i j k= − + + rr rr pada 2v i j k= + − rr rr Jawab: . 2 2 2 2 | | | | 1 4 1 6 u v c v − + − − = = = + + r r r r
  • 11.
    KPB 11 Divergensi dancurl dari medan vektor Misal medan vektor ( , , ) ( , , ) ( , , ) ( , , )F x y z M x y z i N x y z j P x y z k= + + rr r r (i) Divergensi ( )div F r adalah medan skalar, yaitu M N P div F x y z ∂ ∂ ∂ = + + ∂ ∂ ∂ r (ii) Curl ( )curl F r adalah medan vektor,yaitu i j k curl F F x y z M N P ∂ ∂ ∂ = ∇× = ∂ ∂ ∂ rr r r r r P N M P N M i j k y z z x x y    ∂ ∂ ∂ ∂ ∂ ∂  = − + − + − ÷  ÷ ÷ ∂ ∂ ∂ ∂ ∂ ∂     rr r
  • 12.
    kalkulus 1 12 Gradienmedan skalar Misal ( , , )f x y z menyatakan suatu medan skalar, dan f diferensiabel, maka gradien f, ( , , ) f f f f x y z i j k x y z ∂ ∂ ∂ ∇ = + + ∂ ∂ ∂ rr r r
  • 13.
    kalkulus 1 13 Soal 1.Tentukan ( )curl F r ( )div F r dan dari 2 2 . ( , , ) 2a F x y z x i xyj yz k= − + rr r r . ( , , ) cos sinx x b F x y z e yi e yj zk= + + rr r r . ( , , ) ( ) ( ) ( )c F x y z y z i x z j x y k= + + + + + rr r r 2. Tentukan f∇ r dari 2 . ( , , ) 4a f x y z xy yz z= − + 2 2 . ( , , ) z b f x y z y e− =