Embed presentation
Downloaded 34 times












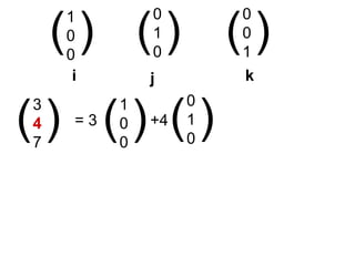
This document introduces unit vectors and how they can be used to write the components of a vector. It defines a unit vector as having a magnitude of 1 and lists the standard unit vectors i, j, k. It then shows how any vector can be written as the sum of its components in the direction of each unit vector, using examples like 3i + 4j + 7k. Finally, it provides additional examples of writing vectors in component form using unit vectors and calculating the sum of two vectors.











