MENJELASKAN DATA 
Pengukuran Nilai Sentral (Central 
Tendency)
Pengukuran nilai sentral, meliputi 
 Rata-rata Aritmatik/Hitung 
 Rata-rata pembobotan 
 Rata-rata Geometrik 
 Rata-rata Harmonik 
 Median 
 Modus 
 Skewness
Karateristik Rata-Rata 
 Rata-rata Aritmetika / rata-rata hitung adalah ukuran 
lokasi yang paling sering dipakai. 
 Rata-rata ini dihitung dengan cara menjumlah kan semua 
nilai dan membaginya dengan banyaknya nilai tersebut. 
 Karakteristik utama rata-rata adalah: 
 Memerlukan data dalam skala intervaI atau rasio. 
 Semua nilai dipakai. 
 Unik (dalam satu kelompok data hanya ada satu 
rata-rata). 
 Jumlah semua deviasi dari rata-rata adalah 0.
Population Mean 
 Untuk yang tidak dikelompokkan, rata-rata populasi adalah 
jumlah dari semua nilai populasi dibagi dengan jumlah total nilai 
populasi: 
X 
μ = Σ 
N 
dimana μ adalah rata-rata populasi. 
N adalah jumlah total observasi. 
X adalah nilai tertentu. 
S menunjukkan operasi penjumlahan.
Contoh 1 
 Contoh 1: Keluarga Budi memiliki 4 mobil. Berikut 
ini adalah jarak yang sudah ditempuh masing-masing 
mobil: 
56,000, 23,000, 42,000, 73,000 
Hitung rata-rata jarak yang sudah ditempuh keempat 
mobil. 
56,000+ ...+ 73,000 
4 = 48,500 
X 
μ = Σ 
N =
Sample Mean 
 Untuk data yang tidak dikelompokkan, rata-rata sampel 
adalah jumlah semua nilai sampel dibagi jumlah sampel: 
ΣX 
n 
X= 
dimana n adalah jumlah total sampel. 
Rata-rata sampel juga disebut rata-rata aritmetik atau 
rata-rata sampel.
Contoh 2 
 Satu sampel yang terdiri dari lima eksekutif menerima 
bonus dalam jumlah serikut ini tahun lalu ($000): 
14.0, 15.0, 17.0, 16.0, 15.0 
ΣX 14.0+ 15.0+ X= = 17.0+ 16.0+ 15.0 = 77 = 15.4 
n 5 5
Contoh 2 (continued) 
 Satu sampel yang terdiri dari lima eksekutif menerima 
bonus dalam jumlah serikut ini tahun lalu ($000): 
7.0, 15.0, 17.0, 16.0, 15.0 
 Merubah observasi pertama dari 14.0 menjadi 7.0 akan 
merubah rata-rata sampel. 
= 77 
= 15.4 
5 
= 14.0+ ...+ 15.0 
n 
5 
X= ΣX 
= 70 
= 14 
5 
= 7.0+ ...+ 15.0 
n 
5 
X= ΣX
Contoh 3 
 Misalnya ada satu set nilai: 3, 8, dan 4. Rata-ratanya 
adalah 5. Perhitungan berikut menunjukkan 
properti kelima dari rata-rata : 
x (x- x bar) 
3 (3-5)= -2 
8 (8-5)= 3 
4 (4-5)= -1 
Σ= 15 Σ= 0
Weighted Mean (Rata-rata Pembobotan) 
 Rata-rata pembobotan dari satu set angka X1, X2, ..., Xn, 
dengan bobot masing-masing w1, w2, ...,wn, dihitung 
dengan rumus sebagai berikut: 
(w X + w X + ...+ w X ) 
1 1 2 2 n n 
w (w + w + ...w 
1 2 n ) 
X = 
Bobot (w)  Jumlah frekuensi
Contoh 4 
 Dalam satu jam, seorang penjual minuman ringan 
berhasil menjual 50 minuman. Dia menjual lima 
minuman seharga $0.50, lima belas seharga $0.75, lima 
belas seharga $0.90, dan lima belas seharga $1.15. 
Hitung rata-rata tertimbang harga minuman yang 
terjual. 
X = $44.50 = $0.89 
w 
50 
w x (w . x) 
5 0.50 2.50 
15 0.75 11.25 
15 0.90 13.50 
15 1.15 17.25 
Σ= 50 Σ= 44.50
Geometric Mean 
 Geometric mean (GM) atau Rata-rata geometrik dari 
satu set angka n adalah akar pangkat n dari perkalian 
angka n . Formulanya adalah sbb: 
G n X X X Xn 
( 1)( 2)( 3)...( ) 
log 
n 
X 
= 
G 
å = 
log 
Rata-rata geometrik dipergunakan untuk menghitung 
rata-rata persentase, indeks, atau angka relatif. 
 Rata-rata geometrik tidak dapat dihitung bila ada 
angka yang negatif.
Contoh 7 
 Tingkat suku bunga pada 3 surat obligasi 5, 21, dan 4 
persen. 
 Rata-rata geometric : 
GM= 3 (5)(21)(4) = 7.49 
 Rata-rata arithmetic: (5+21+4)/3 =10.0 
 GM menghasilkan angka profit yang lebih konservatif 
karena tidak terlalu dipengaruhi oleh suku bunga 
terbesar, 21 %.
Geometric Mean c o ntinue d 
 Penggunaan lain dari rata-rata geometrik adalah 
untuk menghitung persentase kenaikan penjualan, 
produksi atau aktivitas bisnis atau ekonomi dari satu 
periode ke periode yang lain: 
GM= (Nilai akhir periode) n - 
1 
(Nilai awal periode)
Contoh 8 
 Jumlah total perempuan yang terdaftar pada 
Universitas di Amerika meningkat dari 755,000 pada 
tahun 1992 menjadi 835,000 pada tahun 2000. Berapa 
rata-rata geometrik tingkat pertumbuhannya? 
835,000 
755,000 - 1 = .0127 
GM= 8
Contoh 9 
 Seorang investor ingin memperoleh hasil 100% dalam 
waktu satu tahun dari investasi pada bisnisnya. Berapa 
persentase hasil (return) yang harus diperoleh setiap 
bulan? 
- 1 = .059 
GM= 12 200 
100 
Bisnisnya harus menghasilkan return 5.9% setiap bulan.
Contoh 10 
 Pemerintah Cina pada tahun 1990 menyatakan bahwa 
PDB mereka akan meningkat dua kali lipat dalam 20 
tahun. Berapa tingkat pertumbuhan tahunan PDB agar 
impian ini menjadi kenyataan? 
- 1 = .035 
GM= 20 200 
100 
Pertumbuhan tahunan PDB 3.5%.
Harmonic Mean 
 Rumus : 
H n1 
å 
= 
i X 
 Contoh : 
Pimpinan perusahaan memberikan dana masing-masing 
Rp 100 juta kepada tiga dep (A,B,C) untuk 
pemb komp. Dep A melaporkan harga per unit 
komputer Rp 5 juta, dep B melaporkan Rp 4 juta dan 
dep C melaporkan Rp 4,5 juta. Berapa rata-rata harga 
komputer tersebut ? 
4.462.809,92 
4,5 
1 
4 
1 
5 
1 
3 = 
+ + 
H =
The Median 
 Median adalah nilai tengah dari satu set nilai yang 
telah diurutkan dari nilai terkecil sampai nilai terbesar. 
 Letak median= n+1 
2 
 Untuk satu set data yang ganjil, median akan tepat 
berada di tengah. 
 Untuk satu set data yang genap, median dihitung 
dengan rata-rata hitung dari dua nilai tengah.
Contoh 5 
 Data umum dari satu sampel yang terdiri dari 5 
mahasiswa adalah sbb: 
21, 25, 19, 20, 22 
 Susun data tsb dari kecil ke besar: 
19, 20, 21, 22, 25. Sehingga median adalah 21. 
Tinggi badan empat pemain basket (dlm inci), adalah sbb: 
76, 73, 80, 75 
Susun data tersebut dari kecil ke besar, sehingga 
menjadi: 
73, 75, 76, 80. Median: (75+76)/2= 75.5
Karakteristik Median 
1. Dalam satu data set ada satu median (unik). 
2. Median tidak dipengaruhi oleh nilai yang terlalu 
besar maupun terlalu kecil. Oleh karena itu, 
median menjadi ukuran sentral yang penting 
ketika ada nilai yang semacam itu. 
3. Dapat dihitung pada data skala rasio, interval, 
maupun ordinal.
The Mode (Modus) 
 Modus adalah nilai observasi yang peling sering 
muncul. 
 Dalam satu data set, dimungkinkan ada lebih dari satu 
modus. 
 Contoh 6: Nilai ujian sepuluh orang siswa adalah sbb: 
81, 93, 84, 75, 68, 87, 81, 75, 81, 87. 
Karena nilai 81 paling sering muncul, maka nilai 
tersebut adalah Modus.
MEAN, MEDIAN & 
MODUS 
untuk data yang dikelompokkan 
(Distribusi Frekuensi)
Rata-rata untuk Data yang dikelompokkan 
 Mean (rata-rata) dari data sampel yang disusun dalam 
distribusi frekuensi dihitung dengan rumus berikut: 
x = Σxf 
n 
di mana: 
• x : nilai tengah kelas 
• f : frekuensi kelas 
• n : jumlah observasi
Contoh 12 
 Sebuah sampel yang 
terdiri dari sepuluh 
bioskop di Surabaya 
dihitung jumlah film 
yang diputar minggu 
lalu. Hitunglah jumlah 
rata-rata film yang 
diputar. 
Jumlah 
film yang 
diputar 
frequency 
f 
1 up to 3 1 
3 up to 5 2 
5 up to 7 3 
7 up to 9 1 
9 up to 11 3 
Total 10
Contoh 12 c o ntinue d 
= 66 
n 
= 6.6 
10 
X= ΣXf 
Jumlah 
film yang 
diputar 
frequency 
f 
class 
midpoint 
X 
(f ) (X) 
1 up to 3 1 2 2 
3 up to 5 2 4 8 
5 up to 7 3 6 18 
7 up to 9 1 8 8 
9 up to 11 3 10 30 
Tot al 10 66
Median untuk Data yang dikelompokkan 
 Median suatu data sampel yang disusun dalam 
distribusi frekuensi dihitung dengan cara berikut: 
2 CF 
f (i) 
n 
Median= L+ 
- 
di mana: 
• L adalah batas bawah kelas median 
• CF adalah frekuensi kumulatif sebelum kelas median, 
• f adalah frekuensi kelas median 
• i adalah interval kelas median.
Menentukan kelas Median 
 Untuk menentukan kelas median untuk data kelompok: 
 Buatlah distribusi frekuensi kumulatif. 
 Lalu bagi jumlah total data dengan 2. 
 Tentukan kelas akan berisi nilai ini. Untuk Contoh, 
jika n = 50, 50 / 2 = 25, kemudian tentukan kelas 
akan berisi nilai urutan ke 25.
Contoh 13 
Jumlah film 
yg diputar 
Frekuensi Frekuensi 
Kumulatif 
1 up to 3 1 1 
3 up to 5 2 3 
5 up to 7 3 6 
7 up to 9 1 7 
9 up to 11 3 10
Contoh 13 c o ntinue d 
 Dari tabel kita peroleh: 
L=5, n=10, f=3, i=2, CF=3 
10 
2 3 
3 (2) = 6.33 
2 CF 
f (i) = 5+ 
n 
Median= L+ 
- -
Modus untuk data yang dikelompokkan 
 Modus untuk data yang dikelompokkan dapat 
diperkirakan dengan nilai tengah kelas yang memiliki 
frekuensi kelas terbesar. 
Movies 
showing 
Frequency Class 
Midpoint 
1 up to 3 1 2 
3 up to 5 2 4 
5 up to 7 3 6 
7 up to 9 1 8 
9 up to 11 3 10 
 Contoh 13 (continued): 
Modus dalam Contoh 13 
adalah 6 (nilai tengah dari 5 
s/d 7) dan 10 (nilai tengah dari 
9 s/d 11) . 
Ketika dua nilai modus muncul lebih dari satu kali, distribusi-nya 
disebut bimodal, seperti dalam Contoh 13.
Modus untuk data kelompok 
 Modus untuk data yang dikelompokkan dapat 
dihitung dengan formula berikut: 
 Formula : 
æ ö 
M L d i 
= +ç ¸ è + ø 
æ ö 
= -ç ¸ è + ø 
 d1: f kelas modus - f kelas sebelum kelas modus 
 d2: f kelas modus – f kelas sesudah kelas modus 
1 
0 
1 2 
2 
1 2 
o 
d d 
M U d i 
d d
Movies 
showing 
Frequency Class 
Midpoint 
1 up to 3 1 2 
3 up to 5 2 4 
5 up to 7 3 6 
7 up to 9 1 8 
9 up to 11 3 10 
æ ö æ - ö = + ç ¸ = + ç ¸´ = + = è + ø è - + - ø 
1 3 2 2 1 
5 2 5 5.67 
0 
1 2 
æ ö æ - ö = + ç 1 
= + = + = è + ¸ ç ø è - + - ¸´ ø 
0 
1 2 
(3 2) (3 1) 3 
2 9 3 1 2 9 4 9.8 
(3 1) (3 0) 5 
M L d i 
d d 
M L d i 
d d
EXAMPLE 
Penjualan f X 
20-<30 4 25 
30-<40 7 35 
40-<50 8 45 
50-<60 12 55 
60-<70 9 65 
70-<80 8 75 
80-<90 2 85 
50 
æ 
= + - o M 
50 (12 8) = ÷ ÷ø 
10 55,7 
(12 8) (12 9) 
ö 
ç çè 
- + -
Distribusi Simetris 
zero skewness: modus = median = mean 
Density Distribution 
(tinggi dapat ditafsirkan 
sebagai frekuensi relatif) 
Area di bawah distribusi kepadatan adalah 1. Jumlah frekuensi relatif adalah 1. 
Jadi median selalu membagi distribusi kepadatan menjadi dua daerah yang sama.
Right Skewed Distribution 
Positively skewed: 
(Menceng ke kanan) 
Mean dan Median berada di 
sebelah kanan dari Modus. 
Modus<Median<Mean
Left Skewed Distribution 
Negatively Skewed: 
(Menceng ke kiri) 
Mean dan Median disebelah kiri 
Modus. 
Mean<Median<Modus
Latihan soal no. 58 
f X f.x fk 
0 -< 5 2 2.5 5 2 
5 -< 10 7 7.5 52.5 9 
10 -< 15 12 12.5 150 21 
15 -< 20 6 17.5 105 27 
20 -< 25 3 22.5 67.5 30 
30 380 
x = Σf ´x = = 
a. Mean 380 12.67 
30 
n 
b. Kelas Median 30/2=15  Kelas: 10-<15 
n CF 30 
- - 9 
Median= L+ 2 (i) = 10+ 2 (5) = 12.5 
12 m 
f 
c. Kelas Modus 10-<15 
æ ö æ - ö = + ç 1 
¸ = + + ç ¸´ = è ø è - + - ø 
0 
1 2 
10 12 7 5 10.83 
(12 7) (12 6) 
M L d i 
d d
Latihan soal no. 59 
f X f.x fk 
20 -< 30 7 25 175 7 
30 -< 40 12 35 420 19 
40 -< 50 21 45 945 40 
50 -< 60 18 55 990 58 
60 -< 70 12 65 780 70 
70 3310 
x = Σf ´x = = 
a. Mean 3310 47.28 
70 
n 
b. Kelas Median 70/2=35  Kelas: 40-< 50 
n CF 70 
- -19 
Median= L+ 2 (i) = 40+ 2 (10) = 40+ 7.62= 47.62 
21 m 
f 
c. Kelas Modus 40-<50 
æ ö æ - ö = + ç 1 
¸ = + + ç ¸´ = è ø è - + - ø 
0 
1 2 
40 21 12 10 47.5 
(21 12) (21 18) 
M L d i 
d d
Latihan soal no. 60 
f X f.x fk 
10-<20 3 15 45 3 
20-<30 7 25 175 10 
30-<40 18 35 630 28 
40-<50 20 45 900 48 
50-<60 12 55 660 60 
60 175 2410 
x = Σf ´x = = 
a. Mean 2410 40.17 
60 
n 
b. Kelas Median 60/2=30  Kelas: 40-< 50 
n CF 60 
- - 28 
Median= L+ 2 (i) = 40+ 2 (10) = 40+ 1= 41 
20 m 
f 
c. Kelas Modus 40-<50 
æ ö æ - ö = + ç 1 
¸ = + + ç ¸´ = è ø è - + - ø 
0 
1 2 
40 20 18 10 41 
(20 18) (20 12) 
M L d i 
d d

Statistik 1 2 nilai sentral

  • 1.
    MENJELASKAN DATA PengukuranNilai Sentral (Central Tendency)
  • 2.
    Pengukuran nilai sentral,meliputi  Rata-rata Aritmatik/Hitung  Rata-rata pembobotan  Rata-rata Geometrik  Rata-rata Harmonik  Median  Modus  Skewness
  • 3.
    Karateristik Rata-Rata Rata-rata Aritmetika / rata-rata hitung adalah ukuran lokasi yang paling sering dipakai.  Rata-rata ini dihitung dengan cara menjumlah kan semua nilai dan membaginya dengan banyaknya nilai tersebut.  Karakteristik utama rata-rata adalah:  Memerlukan data dalam skala intervaI atau rasio.  Semua nilai dipakai.  Unik (dalam satu kelompok data hanya ada satu rata-rata).  Jumlah semua deviasi dari rata-rata adalah 0.
  • 4.
    Population Mean Untuk yang tidak dikelompokkan, rata-rata populasi adalah jumlah dari semua nilai populasi dibagi dengan jumlah total nilai populasi: X μ = Σ N dimana μ adalah rata-rata populasi. N adalah jumlah total observasi. X adalah nilai tertentu. S menunjukkan operasi penjumlahan.
  • 5.
    Contoh 1 Contoh 1: Keluarga Budi memiliki 4 mobil. Berikut ini adalah jarak yang sudah ditempuh masing-masing mobil: 56,000, 23,000, 42,000, 73,000 Hitung rata-rata jarak yang sudah ditempuh keempat mobil. 56,000+ ...+ 73,000 4 = 48,500 X μ = Σ N =
  • 6.
    Sample Mean Untuk data yang tidak dikelompokkan, rata-rata sampel adalah jumlah semua nilai sampel dibagi jumlah sampel: ΣX n X= dimana n adalah jumlah total sampel. Rata-rata sampel juga disebut rata-rata aritmetik atau rata-rata sampel.
  • 7.
    Contoh 2 Satu sampel yang terdiri dari lima eksekutif menerima bonus dalam jumlah serikut ini tahun lalu ($000): 14.0, 15.0, 17.0, 16.0, 15.0 ΣX 14.0+ 15.0+ X= = 17.0+ 16.0+ 15.0 = 77 = 15.4 n 5 5
  • 8.
    Contoh 2 (continued)  Satu sampel yang terdiri dari lima eksekutif menerima bonus dalam jumlah serikut ini tahun lalu ($000): 7.0, 15.0, 17.0, 16.0, 15.0  Merubah observasi pertama dari 14.0 menjadi 7.0 akan merubah rata-rata sampel. = 77 = 15.4 5 = 14.0+ ...+ 15.0 n 5 X= ΣX = 70 = 14 5 = 7.0+ ...+ 15.0 n 5 X= ΣX
  • 9.
    Contoh 3 Misalnya ada satu set nilai: 3, 8, dan 4. Rata-ratanya adalah 5. Perhitungan berikut menunjukkan properti kelima dari rata-rata : x (x- x bar) 3 (3-5)= -2 8 (8-5)= 3 4 (4-5)= -1 Σ= 15 Σ= 0
  • 10.
    Weighted Mean (Rata-rataPembobotan)  Rata-rata pembobotan dari satu set angka X1, X2, ..., Xn, dengan bobot masing-masing w1, w2, ...,wn, dihitung dengan rumus sebagai berikut: (w X + w X + ...+ w X ) 1 1 2 2 n n w (w + w + ...w 1 2 n ) X = Bobot (w)  Jumlah frekuensi
  • 11.
    Contoh 4 Dalam satu jam, seorang penjual minuman ringan berhasil menjual 50 minuman. Dia menjual lima minuman seharga $0.50, lima belas seharga $0.75, lima belas seharga $0.90, dan lima belas seharga $1.15. Hitung rata-rata tertimbang harga minuman yang terjual. X = $44.50 = $0.89 w 50 w x (w . x) 5 0.50 2.50 15 0.75 11.25 15 0.90 13.50 15 1.15 17.25 Σ= 50 Σ= 44.50
  • 12.
    Geometric Mean Geometric mean (GM) atau Rata-rata geometrik dari satu set angka n adalah akar pangkat n dari perkalian angka n . Formulanya adalah sbb: G n X X X Xn ( 1)( 2)( 3)...( ) log n X = G å = log Rata-rata geometrik dipergunakan untuk menghitung rata-rata persentase, indeks, atau angka relatif.  Rata-rata geometrik tidak dapat dihitung bila ada angka yang negatif.
  • 13.
    Contoh 7 Tingkat suku bunga pada 3 surat obligasi 5, 21, dan 4 persen.  Rata-rata geometric : GM= 3 (5)(21)(4) = 7.49  Rata-rata arithmetic: (5+21+4)/3 =10.0  GM menghasilkan angka profit yang lebih konservatif karena tidak terlalu dipengaruhi oleh suku bunga terbesar, 21 %.
  • 14.
    Geometric Mean co ntinue d  Penggunaan lain dari rata-rata geometrik adalah untuk menghitung persentase kenaikan penjualan, produksi atau aktivitas bisnis atau ekonomi dari satu periode ke periode yang lain: GM= (Nilai akhir periode) n - 1 (Nilai awal periode)
  • 15.
    Contoh 8 Jumlah total perempuan yang terdaftar pada Universitas di Amerika meningkat dari 755,000 pada tahun 1992 menjadi 835,000 pada tahun 2000. Berapa rata-rata geometrik tingkat pertumbuhannya? 835,000 755,000 - 1 = .0127 GM= 8
  • 16.
    Contoh 9 Seorang investor ingin memperoleh hasil 100% dalam waktu satu tahun dari investasi pada bisnisnya. Berapa persentase hasil (return) yang harus diperoleh setiap bulan? - 1 = .059 GM= 12 200 100 Bisnisnya harus menghasilkan return 5.9% setiap bulan.
  • 17.
    Contoh 10 Pemerintah Cina pada tahun 1990 menyatakan bahwa PDB mereka akan meningkat dua kali lipat dalam 20 tahun. Berapa tingkat pertumbuhan tahunan PDB agar impian ini menjadi kenyataan? - 1 = .035 GM= 20 200 100 Pertumbuhan tahunan PDB 3.5%.
  • 18.
    Harmonic Mean Rumus : H n1 å = i X  Contoh : Pimpinan perusahaan memberikan dana masing-masing Rp 100 juta kepada tiga dep (A,B,C) untuk pemb komp. Dep A melaporkan harga per unit komputer Rp 5 juta, dep B melaporkan Rp 4 juta dan dep C melaporkan Rp 4,5 juta. Berapa rata-rata harga komputer tersebut ? 4.462.809,92 4,5 1 4 1 5 1 3 = + + H =
  • 19.
    The Median Median adalah nilai tengah dari satu set nilai yang telah diurutkan dari nilai terkecil sampai nilai terbesar.  Letak median= n+1 2  Untuk satu set data yang ganjil, median akan tepat berada di tengah.  Untuk satu set data yang genap, median dihitung dengan rata-rata hitung dari dua nilai tengah.
  • 20.
    Contoh 5 Data umum dari satu sampel yang terdiri dari 5 mahasiswa adalah sbb: 21, 25, 19, 20, 22  Susun data tsb dari kecil ke besar: 19, 20, 21, 22, 25. Sehingga median adalah 21. Tinggi badan empat pemain basket (dlm inci), adalah sbb: 76, 73, 80, 75 Susun data tersebut dari kecil ke besar, sehingga menjadi: 73, 75, 76, 80. Median: (75+76)/2= 75.5
  • 21.
    Karakteristik Median 1.Dalam satu data set ada satu median (unik). 2. Median tidak dipengaruhi oleh nilai yang terlalu besar maupun terlalu kecil. Oleh karena itu, median menjadi ukuran sentral yang penting ketika ada nilai yang semacam itu. 3. Dapat dihitung pada data skala rasio, interval, maupun ordinal.
  • 22.
    The Mode (Modus)  Modus adalah nilai observasi yang peling sering muncul.  Dalam satu data set, dimungkinkan ada lebih dari satu modus.  Contoh 6: Nilai ujian sepuluh orang siswa adalah sbb: 81, 93, 84, 75, 68, 87, 81, 75, 81, 87. Karena nilai 81 paling sering muncul, maka nilai tersebut adalah Modus.
  • 23.
    MEAN, MEDIAN & MODUS untuk data yang dikelompokkan (Distribusi Frekuensi)
  • 24.
    Rata-rata untuk Datayang dikelompokkan  Mean (rata-rata) dari data sampel yang disusun dalam distribusi frekuensi dihitung dengan rumus berikut: x = Σxf n di mana: • x : nilai tengah kelas • f : frekuensi kelas • n : jumlah observasi
  • 25.
    Contoh 12 Sebuah sampel yang terdiri dari sepuluh bioskop di Surabaya dihitung jumlah film yang diputar minggu lalu. Hitunglah jumlah rata-rata film yang diputar. Jumlah film yang diputar frequency f 1 up to 3 1 3 up to 5 2 5 up to 7 3 7 up to 9 1 9 up to 11 3 Total 10
  • 26.
    Contoh 12 co ntinue d = 66 n = 6.6 10 X= ΣXf Jumlah film yang diputar frequency f class midpoint X (f ) (X) 1 up to 3 1 2 2 3 up to 5 2 4 8 5 up to 7 3 6 18 7 up to 9 1 8 8 9 up to 11 3 10 30 Tot al 10 66
  • 27.
    Median untuk Datayang dikelompokkan  Median suatu data sampel yang disusun dalam distribusi frekuensi dihitung dengan cara berikut: 2 CF f (i) n Median= L+ - di mana: • L adalah batas bawah kelas median • CF adalah frekuensi kumulatif sebelum kelas median, • f adalah frekuensi kelas median • i adalah interval kelas median.
  • 28.
    Menentukan kelas Median  Untuk menentukan kelas median untuk data kelompok:  Buatlah distribusi frekuensi kumulatif.  Lalu bagi jumlah total data dengan 2.  Tentukan kelas akan berisi nilai ini. Untuk Contoh, jika n = 50, 50 / 2 = 25, kemudian tentukan kelas akan berisi nilai urutan ke 25.
  • 29.
    Contoh 13 Jumlahfilm yg diputar Frekuensi Frekuensi Kumulatif 1 up to 3 1 1 3 up to 5 2 3 5 up to 7 3 6 7 up to 9 1 7 9 up to 11 3 10
  • 30.
    Contoh 13 co ntinue d  Dari tabel kita peroleh: L=5, n=10, f=3, i=2, CF=3 10 2 3 3 (2) = 6.33 2 CF f (i) = 5+ n Median= L+ - -
  • 31.
    Modus untuk datayang dikelompokkan  Modus untuk data yang dikelompokkan dapat diperkirakan dengan nilai tengah kelas yang memiliki frekuensi kelas terbesar. Movies showing Frequency Class Midpoint 1 up to 3 1 2 3 up to 5 2 4 5 up to 7 3 6 7 up to 9 1 8 9 up to 11 3 10  Contoh 13 (continued): Modus dalam Contoh 13 adalah 6 (nilai tengah dari 5 s/d 7) dan 10 (nilai tengah dari 9 s/d 11) . Ketika dua nilai modus muncul lebih dari satu kali, distribusi-nya disebut bimodal, seperti dalam Contoh 13.
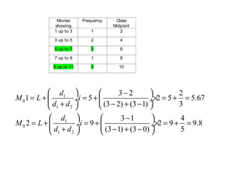
  • 32.
    Modus untuk datakelompok  Modus untuk data yang dikelompokkan dapat dihitung dengan formula berikut:  Formula : æ ö M L d i = +ç ¸ è + ø æ ö = -ç ¸ è + ø  d1: f kelas modus - f kelas sebelum kelas modus  d2: f kelas modus – f kelas sesudah kelas modus 1 0 1 2 2 1 2 o d d M U d i d d
  • 33.
    Movies showing FrequencyClass Midpoint 1 up to 3 1 2 3 up to 5 2 4 5 up to 7 3 6 7 up to 9 1 8 9 up to 11 3 10 æ ö æ - ö = + ç ¸ = + ç ¸´ = + = è + ø è - + - ø 1 3 2 2 1 5 2 5 5.67 0 1 2 æ ö æ - ö = + ç 1 = + = + = è + ¸ ç ø è - + - ¸´ ø 0 1 2 (3 2) (3 1) 3 2 9 3 1 2 9 4 9.8 (3 1) (3 0) 5 M L d i d d M L d i d d
  • 34.
    EXAMPLE Penjualan fX 20-<30 4 25 30-<40 7 35 40-<50 8 45 50-<60 12 55 60-<70 9 65 70-<80 8 75 80-<90 2 85 50 æ = + - o M 50 (12 8) = ÷ ÷ø 10 55,7 (12 8) (12 9) ö ç çè - + -
  • 35.
    Distribusi Simetris zeroskewness: modus = median = mean Density Distribution (tinggi dapat ditafsirkan sebagai frekuensi relatif) Area di bawah distribusi kepadatan adalah 1. Jumlah frekuensi relatif adalah 1. Jadi median selalu membagi distribusi kepadatan menjadi dua daerah yang sama.
  • 36.
    Right Skewed Distribution Positively skewed: (Menceng ke kanan) Mean dan Median berada di sebelah kanan dari Modus. Modus<Median<Mean
  • 37.
    Left Skewed Distribution Negatively Skewed: (Menceng ke kiri) Mean dan Median disebelah kiri Modus. Mean<Median<Modus
  • 38.
    Latihan soal no.58 f X f.x fk 0 -< 5 2 2.5 5 2 5 -< 10 7 7.5 52.5 9 10 -< 15 12 12.5 150 21 15 -< 20 6 17.5 105 27 20 -< 25 3 22.5 67.5 30 30 380 x = Σf ´x = = a. Mean 380 12.67 30 n b. Kelas Median 30/2=15  Kelas: 10-<15 n CF 30 - - 9 Median= L+ 2 (i) = 10+ 2 (5) = 12.5 12 m f c. Kelas Modus 10-<15 æ ö æ - ö = + ç 1 ¸ = + + ç ¸´ = è ø è - + - ø 0 1 2 10 12 7 5 10.83 (12 7) (12 6) M L d i d d
  • 39.
    Latihan soal no.59 f X f.x fk 20 -< 30 7 25 175 7 30 -< 40 12 35 420 19 40 -< 50 21 45 945 40 50 -< 60 18 55 990 58 60 -< 70 12 65 780 70 70 3310 x = Σf ´x = = a. Mean 3310 47.28 70 n b. Kelas Median 70/2=35  Kelas: 40-< 50 n CF 70 - -19 Median= L+ 2 (i) = 40+ 2 (10) = 40+ 7.62= 47.62 21 m f c. Kelas Modus 40-<50 æ ö æ - ö = + ç 1 ¸ = + + ç ¸´ = è ø è - + - ø 0 1 2 40 21 12 10 47.5 (21 12) (21 18) M L d i d d
  • 40.
    Latihan soal no.60 f X f.x fk 10-<20 3 15 45 3 20-<30 7 25 175 10 30-<40 18 35 630 28 40-<50 20 45 900 48 50-<60 12 55 660 60 60 175 2410 x = Σf ´x = = a. Mean 2410 40.17 60 n b. Kelas Median 60/2=30  Kelas: 40-< 50 n CF 60 - - 28 Median= L+ 2 (i) = 40+ 2 (10) = 40+ 1= 41 20 m f c. Kelas Modus 40-<50 æ ö æ - ö = + ç 1 ¸ = + + ç ¸´ = è ø è - + - ø 0 1 2 40 20 18 10 41 (20 18) (20 12) M L d i d d