STATISTIK BISNIS
Oleh :
Nardiman
Buku Referensi
1. Kuncoro, Mudrajat. 2003. Metode riset untuk
Bisnis dan Ekonomi. Erlangga:Jakarta
2. Spigel. Murray. 2007. Statiatik Edisi Ketiga.
Erlangga: Jakarta
3. Supranto. 2009. Statistik Teori dan Aplikasi.
Erlangga: Jakarta
4. Spss Versi 20
5. Wonacott. Introduction Statistik For Bussiness and
Economic
Silabus StakBis
1. Pengantar Statistik Bisnis
2. Teori Probabilitas
3. Distribusi Probabilitas
4. Teori Sampling Dasar/ Kecil dan Estimasi
5. Teori dan Pengujian Hipotesis
6. Analisis Data
7. Regresi Berganda
Silabus StakBis
9. Uji Chi Kuadrat
10. Analisis Varians
11. Metode Non Parametrik
12. Analisa Deret Waktu
13. Teori Penggunaan SPSS
14. Praktek Stakbis
Pertanyaan Mendasar
1. Apa yang dimaksud dengan stakbis?
2. Kapan dan dimana kita bisa menggunakan
stakbis
3. Bagaimana menggunakan Stakbis?
DEfenisi
Statistik berasal dari kata status (bahasa yunani) yang
berarti state.
Statistika
 Ilmu yang mengumpulkan, menata,
menyajikan,menganalisis, dan
menginterprestasikan data menjadi informasi
untuk membantu pengambilan keputusan yang
efektif.
Statistik
 Suatu kumpulan angka yang tersusun lebih
dari satu angka.
Pengertian Stakbis
Adalah ilmu pengambilan keputusan yang baik
dalam menghadapai ketidakpastian dan
digunakan dalam banyak disiplin ilmu.
Example : 1. Analisis Keuangan
2. Audit
3. Produksi dan Operasi
4. Jasa Perbankan
5. Riset Pemasaran
Contoh penggunaan statistik
1. Akuntansi
 Perusahaan akuntan publik seringkali menggunakan
prosedur pengambilan sampel (contoh) yang
memenuhi kaidah – kaidah statistik ketika melakukan
audit terhadp kliennya.
2. Keuangan (Finance)
Penasehat keuangan menggunakan berbagai jenis
informasi statistik, untuk membantu dalam
memberikan rekomendasi investasi
Lanjutan
3. Pemasaran (Marketing)
 Pengambilan sampel masyarakat sebagai calon konsumen
untuk diminta pendapat tentang produk yang akan diluncurkan
oleh suatu perusahaan seringkali menggunakan kaidah statistik.
4. Ekonomi
Para ahli ekonomi menggunakan prosedur statistik dalam
melakukan peramalan tentang kondisi perekonomian pada masa
yang akan datang.
Syarat data yang baik
1. Obyektif
2. Representative
3. Standar Eror harus kecil
4. Up to date
5. Relevan
Data dan Variabel
1. Data : sekumpulan fakta-fakta serta gambaran
suatu fenomena yang dikumpulkan, dirangkum,
dianalisis dan di interprestasikan
2. Variabel : Karakteristik data yang menjadi
perhatian :
a. Variabel distrik (terbatas)
b. Variabel Kontinue (tidak terbatas)
Jenis-Jenis Data
1. Menurut Skala Pengukuran
a. Nominal : membedakan antar kelompok
b. Ordinal : menunjukan peringkat
c. Interval : dinyatakan dalam ukuran yang
tetap
d. Rasio : skala rasio memilki angka nol dan
perbandingan antara dua nilai yang mempunyai
arti
2. Menurut sifatxa:
a. Data Kualitatif :
- menggunakan label
- skala pengukuran nominal dan ordinal
- Data bisa numerik dan numerik
b. Data Kuantitatif :
- mengindikasikan berapa banyak
- data selalu numeric
- Skala pengukuran Interval dan ratio
Skala Nominal
• Skala pengukuran yang menyatakan kategori (penamaan;
nomos=nama), kelompok atau klasifikasi dari konstruk yang diukur
dalam bentuk variabel
• Contoh: jenis kelamin merupakan variabel yang terdiri dari dua ketegori:
Pria dan wanita.
• Skala pengukuran jenis kelamin dapat dinyatakan dengan angka: 1 Pria,
2. Wanita
• Skala nominal bersifat saling meniadakan (mutually exclusive):
Contoh responden hanya memiliki kategori pria saja atau
wanita saja.
• Skala nominal bersifat collectively exhaustive yaitu tidak ada
kategori yang lain kecuali dinyatakan dalam skala nominal.
Contoh variabel yang memiliki mutually exclisive dan
colectively exhaustive adalah status perkawinan dan agama
yang dianut responden.
Contoh Skala Nominal
1 Jenis Kelamin Pria Wanita
2 Status
Perkawinan
Menikah Tidak
Menikah
3 Agama Islam Katolik
Kristen Budha
Hindu
4 Departemen Pemasaran Produksi
Akuntansi
Skala Ordinal
• Skala yang selain mengandung unsur kategori/penamaan juga
menunjukkan peringkat/urutan (order=urut)
• Skala ini tidak menunjukan jarak dan interval
Contoh:
1. Sebutkan peringkat wilayah pemasaran di wilayah sumbar
yang potensi untuk mengembangkan usaha:
….. Kota Padang
…...Kota Bukittinggi
…...Kab. Damasraya
…... Kab. Pasaman
Skala Interval
• Skala yang menyatakan kategori, peringkat dan jarak konstruk
yang diukur.
• Skala ini dinyatakan dengan angka 1 sampai dengan 5, atau 1
sampai dengan 7.
• Skala ini menggunakan konsep jarak yang sama (equality
interval)karena skala ini tidak menggunakan angka nol sebagai
titik awal perhitungan.
• Penunjuk waktu adalah contoh skala interval. Jumlah hari
antara 1 sampai dengan 4 adalah sama dengan jumlah hari
antara tanggal 21 sampai dengan 24
Skala interval
• Contoh : kepuasan seseorang terhadap pelayanan
suatu jasa dapat diberi skala interval 1-2-3-4-5.
Dimana nilai
– 1: sangat tidak puas
– 2: tidak puas
– 3: biasa
– 4: puas
– 5: sangat puas
Skala Rasio
• Skala yang menunjukan kategori,peringkat, jarak dan
perbandingan construct yang diukur. Skala rasio menggunakan
nilai absolut
Contoh Skala Rasio
• Berapa total penjualan bersih bapak/ibu dalam setahun?
… Antara Rp 500 juta s/d 1 Milyar
….Lebih dari Rp 1 Milyar s/d 100 milyar
….Lebih dari Rp 100 milyar s/d Rp 500 milyar.
…Lebih dari Rp 500 Milyar
Contoh lain: berat badan, jumlah pendapatan.
Ringkasan Tentang Skala
Skala Tipe Pengukuran
Kategori Peringkat Jarak Perbandingan
Nominal Ya Tidak Tidak Tidak
Ordinal Ya Ya Tidak Tidak
Interval Ya Ya Ya Tidak
Rasio Ya Ya Ya Ya
3. Menurut Sumbernya:
a. Data Internal
b. Data Eksternal
4. Menurut Waktu pengumpulanya:
a. Cross Sectional data : dikumpulkan pada
waktu tertentu yang sama atau hampir sama
ex: Jumlah Mahasiswa Upi Tahun 2015/2016
b. Data yang dikumpulkan selama kurun
waktu tertentu
ex: pergerakan nilai tukar rupiah dalam 1
tahun
5. Data menurut Cara memperolehnya:
a. Data primer : dikumpulkan dan diolah
sendiri
b. Data Sekunder : data yang diperoleh dalam
bentuk yang sudah jadi.
Perbandingan Data Primer & Sekunder
ASPEK DATA
PRIMER
DATA
SEKUNDER
Tujuan
pengumpulan
data
Untuk keperluan masalah riset
yg diteliti
Untuk masalah
riset yang lain
Proses
pengumpulan
data
Meliputi hampir semua tahap
proses riset oemasaran, mulai
dari perumusan masalah
hingga penyusunan laporan
riset
Cepat dan
mudah
Biaya
pengumpulan
data
Mahal Relatif murah
Waktu
pengumpulan
data
Lama Singkat
TEORI PROBABILITAS
Probabilitas
 Lind (2002) mendefinisikan probabilitas adalah
suatu ukuran tentang kemungkinan suatu peristiwa
(event) akan terjadi dimasa mendatang. Probabilitas
dinyatakan antara 0 sampai 1 dalam persentase.
Pengertian umum
Definisi :
Kemungkinan terjadinya suatu peristiwa diantara seluruh
peristiwa yang mungkin terjadi. Probabilitas kemunculan
suatu peristiwa atau kejadian biasa disingkat dengan huruf p dan
dinyatakan dalam persen atau proporsi.
 Ilustrasi :
– Andai pelemparan satu uang logam dilakukan maka p munculnya sisi
muka gambar dan angka adalah sama yakni 1/2 atau 0,5 atau 50%.
– Jika dadu yang dilempar maka prob. muncul dadu dengan sisi titik 2
(misalnya) maka p adalah 1/6 atau 1:6 atau 0,1667 atau 16,67%
Kesimpulan
• Probabilitas adalah frekuensi suatu kejadian.
• Jika p. = 0,05 artinya suatu kejadian kemungkinan
muncul 5 kali diantara 100 kejadian; 10 kali diantara 200
kejadian; 50 kali diantara 1000 kejadian dsb.
• Jika uang logam dilempar sebanyak 100 kali maka p sisi
dengan gambar adalah : 50% x 100 kali = 50 kali.
• Jadi Prob. adalah perbandingan frekuensi
kejadian dengan kejadian seluruhnya.
Ada tiga hal penting dalam rangka membicarakan probabilitas yaitu
percobaan, hasil dan peristiwa.
Percobaan
Pengamatan terhadap beberapa aktivitas atau proses yang
memungkinkan timbulnya paling sedikit 2 peristiwa tanpa
memperhatikan peristiwa mana yang akan terjadi
Hasil
Suatu hasil dari sebuah percobaan
Peristiwa
 Kumpulan dari satu atau lebih hasil yang terjadi pada
sebuah percobaan atau kegiatan.
CONTOH
PERCOBAAN HASIL
Kegiatan melempar uang 1. Muncul gambar
2. Muncul angka
Perubahan Harga 1. Inflasi (Harga naik)
2. Deflasi (Harga turun)
Mahasiswa belajar 1. Lulus memuaskan
2. Lulus sangat memuaskan
3. Lulus terpuji
Contoh
PERCOBAAN/KEGIAT
AN
Pertandingan sepak bola Persita VS PSIS di
stadioTanggerang, 24 Juli 2007
HASIL Persita menang
Persita kalah
Seri,persita tidak kalah dan menang
PERISTIWA Persita menang
PENDEKATAN PROBABILITAS
Untuk menentukan tingkat probabilitas ada
tiga pendekatan yaitu pendekatan klasik,
pendekatan relatif, dan pendekatan
subjektif.
1. Pendekatan klasik
Pendekatan klasik mengansumsikan bahwa peristiwa
mempunyai kesempatan untuk terjadi yang sama besar.
probabilitas suatu peristiwa kemudian dinyatakan sebagai
rasio antara jumlah kemungkinan hasil dengan total
kemungkinan hasil (rasio peristiwa terhadap).
Probabilitas suatu peristiwa = jumlah kemungkinan hasil
jumlah total kemungkinan hasil
PERCOBAAN HASIL Hasil Probabilitas
Kegiatan
melempar uang
1. Muncul gambar
2. Muncul angka 2 1/2
Perubahan
Harga
1. Inflasi (Harga
naik)
2. Deflasi (Harga
turun)
2 1/2
Mahasiswa
belajar
1. Lulus
memuaskan
2. Lulus sangat
memuaskan
3. Lulus terpuji 3 1/3
2. Pendekatan Relatif
Berbeda dengan pedekatan klasik, besar
probabilitas suatu peristiwa tidak dianggap sama,
tetapi tergantung pada berapa banyak suatu
peristiwa terjadi dari keseluruhan percobaan atau
kegiatan yang dilakukan. Probabilitas suatu kejadian
dinyatakan sebagai berikut:
Probabilitas kejadian relatif = jumlah peristiwa yang
terjadi
jumlah total
percobaan/kegiatan
Contoh:
Pada kegiatan jual beli saham di BEJ terdapat 3.000.000
transaksi yang terdiri atas 2.455.000 transaksi jual dan
545.000 transaksi beli. Peristiwa ini didorong aksi profit
taking. Maka probabilitas jual adalah = (2.455. 000 /
3.000.000)= 0,82 dan probabilitas beli (545.000 /
3.000.0000 = 0,18
jadi pendekatan relatif mendasarkan besarnya probabilitas
pada banyaknya suatu peristiwa terjadi dari keseluruhan
percobaan, kegiatan atau pengamatan yang dilakukan.
3. Pendekatan subjektif
yang dimaksud pendekatan subjektif adalah
menentukan besarnya probabilitas suatu
peristiwa didasarkan pada penilaian pribadi dan
dinyatakan dalam derajat kepercayaan. Penilaian
subjektif diberikan karena terlalu sedikit atau
tidak ada informasi yang diperoleh atau
berdasarkan keyakinan.
Contoh pendekatan subjektif :
a. Menurut pengamat politik, fauzi bowo akan terpilih sebagai
gubernur DKI jakarta pada pilkada agustus 2007.
b. Menurut menteri keuangan indonesia Sri Mulyani pada tahun 2007,
indonesia akan menghadapi gejala krisis, walaupun fondasi ekonomi
kuat,
c. Anda akan mendapatkan nilai minimal B untuk mata kuliah statistik
ekonomi.
Semua contoh tersebut hanya didasarkan pada penilaian pribadi dan
mungkin tidak hanya menggunakan informasi sebagai dasar
pertimbangan. oleh sebab itu, pendekatan demikian dinamakan
pendekatan subjektif.
Konsep dasar dan hukum probabilitas
Probabilitas kejadian dilambangkan dengan P, apabila
jual saham dinyatakan dengan huruf A, maka
probabilitas jual saham dinyatakan dengan P (A).
Sebaliknya kejadian beli saham adalah B, maka
probabilitas beli saham adalah P (B).
Dalam mempelajari hukum dasar probabilitas
berturut – turut akan dibahas hukum penjumlahan
dan hukum perkalian.
1. Hukum Penjumlahan
hukum penjumlahan menghendaki peristiwa
yang saling lepas yaitu apabila suatu peristiwa
terjadi, maka peristiwa lain tidak dapat terjadi
pada saat bersamaa.
Hukum tersebut dinyatakan sebagai berikut:
P (A atau B) = P (A) + P (B)
Contoh
Berikut adalah kegiatan perdagangan saham di BEJ untuk
tiga perusahaan perbankan dengan jumlah total
sebanyak 200 transaksi.
Dari tabel diatas diketahui bahwa :
Probabilitas jual = P (A) = 120 / 200 = 0,60
Probabilitas beli = P (B) = 80 / 200 = 0,40
Sehingga probabilitas A atau B
P (A atau B) = P (A) + P (B) = 0,6 + 0,4 = 1,0
Jenis Transaksi Volume transaksi
Jual Saham 120
Beli Saham 80
Jumlah Total transaksi 200
Apabila dilihat dari saham yang diperjualbelikan terdapat
tiga bank yaitu:
Probabilitas BCA = P (D) = 70/200 = 0,35
Probabilitas Mandiri = P (E) = 80 / 200 =0,40
Probabilitas BNI = P (F) = 50 / 200 = 0,25
Berapa probabilitas kejadian BCA P (D) atau Mandiri P
(E), atau BNI P (F)
P(D atau E atau F)= P (D) + P (E) + P (F) =
0,35+0,40+0,25=1,0
Bank VOLUME TRANSAKSI
BCA 70
MANDIRI 80
BNI 50
JUMLAH TOTAL TRANSAKSI 200
2. Peristiwa / Kejadian Bersamaan
Kegiatan sebenarnya terdiri atas dua jenis, yaitu:
a. Kegiatan jual saham
b. Sahamnya adalah saham BCA
oleh sebab itu, ada kejadian bersama seperti kejadian jual
saham P (A) dan sahamnya BCA P (D) atau kejadian beli (B)
dan sahamnya BCA P (D) . Probabilitas kejadian bersama
dilambangkan P (AD) untuk kejadian jual saham BCA dan P
(BD) untuk kejadian beli saham BCA.
contoh
Cobalah hitung berapa probabilitas jual saham(AD) dan
probabilitas beli saham BCA P(BD).
Kegiatan jual saham dan sahamnya BCA ada 30 transaksi.
Kegiatan beli saham dan sahamnya BCA ada 40. sehingga
probabilitas P (AD) dan P (BD) adalah:
P (BD) = 40 / 200 = 0,20
P (AD) = 30 / 200 = 0,15
Kegiatan Perusahaan Jumlah
BCA (D) Mandiri (E) BNI (F)
Jual (A) 30 50 40 120
Beli (B) 40 30 10 80
jumlah 70 80 50 200
3. Kejadian Saling Lepas
Kejadian saling lepas terjadi apabila hanya satu dari
dua ataulebih peristiwa yang dapat terjadi.
Rumus sebagai berikut:
P (A atau B) = P(A) + P(B)
Contoh:
Cobalah hitung berapa probabilitas kejadian jual saham
dan beli saham (P(AB)) dan probabilitas kejadian untuk
saham BCA, Mandiri, dan BNI (P(DEF))
Penyelesaian:
Probabilitas kejadian A(P(AB))= 0; karena kejadian A dan B
saling lepas. Oleh sebab itu, hukum penjumlahan untuk
peristiwa saling lepas adalah:
Kegiatan Perusahaan jumlah
BCA (D) Mandiri
(E)
BNI (F)
Jual (A) 30 50 40 120
Beli (B) 40 30 10 80
Jumlah 70 80 50 200
P(A atau B) = P(A) + P (B) – P(AB)
= 0,6 + 0,4 – 0
= 1
P(D atau E atau F) = P(D) + P(E) + P(F) - P(DEF)
= 0,35 + 0,40 + 0,25 – 0
= 1
P (D atau E) = P(D) + P(E) – P(DE)
= 0,35 + 0,40 – 0
= 0,75
4. Hukum Perkalian
Hukum perkalian menghendaki setiap peristiwa adalah
independen yaitu peristiwa terjadi tanpa harus
menghalangi peristiwa lain terjadi.
Hukum perkalian untuk probabilitas kejadian A dan B
yang saling independen dinyatakan sebagai berikut:
P(A dan B) = P(A) x P (B)
Contoh;
Apabila anda melempar uang logam dua kali ke udara,
berapakah probabilitas kedua lemparan tersebut
menghasilkan gambar?
Penyelesaian:
Probabilitas gambar = ½ dan probabilitas angka ½. Pada
lemparan pertama probabilitas gambar P(A) = ½ . Pada
lemparan kedua probabilitas gambar P(B) juga ½ . Oleh
sebab itu, probabilitas P(A) dan P(B) adalah:
P(A dan B)= P(A) x P(B)
= ½ x ½
= ¼
Kemungkinan seluruh hasil dapat disajikan berikut:Peristiwa
probabilitas
Lemparan ke - 1 Leparan ke-2
1 Gambar Gambar
2 Gambar Angka
3 Angka Gambar
4 Angka Angka
Apabila dua uang dilemparkan maka ada 4
kemungkinan tersebut. Oleh sebab itu,
munculan gambar - gambar mempunyai
probabilitas ¼ karena dari 4 hasil akan
terjadi 1 kejadian.
5. Probabilitas bersyarat
probabilitas bersyarat adalah probabilitas suatu
peristiwa akan terjadi dengan ketentuan peristiwa
lain telah terjadi.
hukum perkalian untuk probabilitas bersyarat
bahwa peristiwa B terjadi dengan syarat peristiwa A
telah dinyatakan sebagai berikut:
P(A dan B) = P(A) x (B|A)
Contoh:
Berapa probabilitas terjualnya saham BCA (P(D|A)
dan probabilitas saham BCA terjual (P(A|D)?
Penyelesaian:
Kegiatan Perusahaan Jumlah
BCA (D) Mandiri (E) BNI (F)
Jual (A) 30 50 40 120
Beli (B) 40 30 10 80
jumlah 70 80 50 200
Jumlah transaksi jual adalah 120 dan saham BCA yang
dijual ada 30, maka P(D|A) = 30/120 = 0,25
Jumlah transaksi saham BCA ada 70 dan saham BCA
yang terjual ada 30, maka P(A|D) = 30/70 = 0,43.
Dari nilai diatas terlihat bahwa probabilitas P(D|A)
dan P(A|D) bisa berbeda , namun juga bisa saja
sama.
PRINSIP – PRINSIP MENGHITUNG DALAM
PROBABILITAS
1. Faktorial
faktorial digunakan untuk mengetahui berapa
banyak cara yang mungkin dalam mengatur
sesuatu dalam suatu kelompok.
Contoh:
Ada berapa cara menyusun urutan dari 5 perusahaan
yang memberikan MARKET terbesar?
Penyelsesaian:
Menyusun urutan 5 perusahaan = 5! =5 x 4 x 3 x 2 x
1 = 120 cara
2. Permutasi
Permutasi digunakan untuk mengetahui sejumlah
kemungkinan susunan jika terdapat satu kelompok
objek. Permutasi dirumuskan sebagai berikut:
nPr = n!
(n – r)!
Dimana :
P : Jumlah permutasi atau cara objek disusun
n : jumlah total objek yang disusun
r : jumlah objek yang digunakan pada saat bersamaan,
jumlah r dapat sama dengan n atau lebih kecil
! : tanda dari faktorial
contoh:
Ada beberapa susunan yang mungkin dari 3 bank
yang ada, apabila tiap susun terdiri atas 2 bank ?
Penyelesaian:
3P2 = 3!/(3-2)! = 3! / 1! = (3 x 2 x 1) / 1 = 6
Susunan tersebut adalah :
BCA,Mandiri BCA,BNI Mandiri,BCA
Mandiri,BNI BNI,BCA BNI, Mandiri
Contoh:
Dari seluruh emiten yang terdapat diBEJ, diasumsikan
terdapat 20 perusahaan yang berkinerja baik pada
tahun 2010. jika kita ingin menyusun perusahaan –
perusahaan tersebut dimana tiap kelompok terdiri atas
5 perusahaan, ada beberapa cara susunan yang bisa
terbentuk?
Penyelesaian:
20P5 = 20! / (20-5)! = 20! / 15! = 20 x 19 x 18 x 17 x
16 x 15!
15!
= 1.860.480
3. Kombinasi
kombinasi digunakan apabila kita tertarik pada
beberapa cara sesuatu diambil dari keseluruhan
objek tanpa memerhatikan urutannya.
jumlah kombinasi dirumuskan sebagai berikut:
nCr = n!
r! (n-r)!
Contoh:
Ada 5 bank yang mengajukan kredit portofolio ke
bank indonesia. Sementara itu bank indonesia
hanya akan memilih 2 bank saja. Ada berapa
kombinasi bank yang dapat dipilih oleh bank
indonesia?
penyelesaian:
5C2 = 5! = 5! = 5.4.3! = 5.2 = 10
2!(5-2) 2! 3! 2.1.3!
DISTRIBUSI PROBABILITAS
• Distribusi Peluang Diskrit
 Distribusi Binomial
 Distribusi Hipergeometrik
 Distribusi Geometri
 Distribusi Poisson
• Distribusi Peluang Kontinu
 Distribusi Normal
Ciri-ciri Distribusi Binomial
• Tiap percobaan memiliki dua hasil saja yakni: Sukses atau
Gagal.
• Probabilitas sukses pada tiap-tiap percobaan haruslah sama
dan dinyatakan dengan p.
• Setiap percobaan harus bersifat independent (bebas)
• Jumlah percobaan yang merupakan komponen eksperimen
binomial harus tertentu.
RUMUS
P(x,n) = P)-(1P
X
n x-nx






 
 
  ....1
!!
! xNx
pp
xNx
N
xXP




x = 0, 1, 2, ...., N
0 < p < 1
Keterangan Rumus
• n = Banyaknya peristiwa
• p = Besarnya peluang terjadinya sukses
• ! = faktorial
• n! = n(n-1)(n-2)...(3)(2)(1)
• 0! = 1
• 1! = 1
Misal : 3! = 3x2x1 = 6
Contoh
1 Dari 8 pria dan 7 wanita dipilih 4 pengurus yang terdiri dari 2 pria dan 2 wanita. Banyak cara pemilihan
pengurus adalah...
• A. 582
• B. 588
• C. 625
• D. 720
• E. 784
2 Dari 8 pria dan 7 wanita dipilih 4 pengurus yang terdiri dari 2 pria saja atau 2 wanita Saja. Banyak cara
pemilihan pengurus adalah...
• A. 49
• B. 56
• C. 63
• D. 70
• E. 77
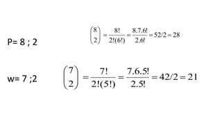
P= 8 ; 2
w= 7 ;2
2852/2
!6.2
!6.7.8
)(6!2!
8!
2
8






2142/2
!5.2
!5.6.7
)(5!2!
7!
2
7






Contoh
1. Pada pelemparan dadu 6 kali pelemparan, tentukan peluang ada 4 kali mata
dadu yang terbaca.
2. Pada mesin foto copy selalu diperoleh 50 lembar yang cacat pada setiap
memfotocopy sebanyak 500 lembar, jika kita memfotocopy sebanyak 3
lembar, berapakah peluang kita memperoleh 2 lembar yg cacat.
6
5
6
1


q
p
.
6
5
.
6
1
)(
24












Ap
4
6

656.46
150
.
!2.3.4
!4.5.6
.
6
5.1
6

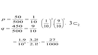
10
9
500
450
10
1
500
50


q
p
.
10
9
.
10
1
12












23 
1000
27
.
!1.2
!2.3
.
10
9.1
3

Contoh:
Sebuah pengiriman 8 mikrokomputer yang serupa ke suatu
jaringan eceran berisi 3 yang cacat. Bila suatu sekolah
melakukan suatu pembelian acak 2 dari mikrokomputer ini,
Carilah distribusi probabilitas untuk jumlah yang cacat.
Carilah distribusi kumulatif untuk jumlah yang cacat.
Jawab (1):
 Ambil X sebagai variabel random yang didefinisikan sebagai banyaknya mikrokomputer yang
cacat yang mungkin akan dibeli oleh sekolah tersebut. Maka dapat dituliskan :
 X = banyaknya mikrokomputer cacat yang mungkin akan dibeli oleh sekolah
= 0, 1, 2
 Sehingga dapat dihitung :
71
28
10
2
8
2
5
0
3
)0()0( 


















 XPf
28
15
2
8
1
5
1
3
)1()1( 


















 XPf 28
3
2
8
0
5
2
3
)2()2( 


















 XPf
 Jadi, distribusi probabilitas dari X adalah
x 0 1 2
f(x) 10/28 15/28 3/28
Rumus distribusi probabilitas adalah 2,1,0,
2
8
2
5
.
3
)()( 


















 xuntuk
xx
xfxXP
Jawab (2):
 Distribusi kumulatif F(x) adalah :
F(0) = f(0) = 10/28
F(1) = f(0) + f(1) = 10/28 + 15/28 = 25/28
F(2) = f(0) + f(1) + f(2) = 10/28 + 15/28 + 3/28
= 1
Sehingga :
1 , untuk x < 0
F(x) = 10/28 , untuk 0  x < 1
25/28 , untuk 1  x < 2
1 , untuk x  2
72
Contoh
Dua buah mata uang dilempar satu kali
Hitunglah:
a. Probabilitas tidak diperolehnya permukaan B
b. Probabilitas memperoleh satu permukaan B
c. Probabilitas memperoleh duapermukaan B
Dik : n = 2; X = 0, 1, 2
a. Probabilitas tidak mendapat permukaan B
• P(0;2) =
= 0,25
b. Probabilitas satu permukaan B
• P(1;2) =
= 0,50
0,25x1x
)(2!0!
2
0,5x0,5x
0
2 20






0,50x0,50x
)(1!1!
2
0,5x0,5x
1
2 11






c. Probabilitas mendapat 2 permukaan B
• P(2;2) =
= 0,25
1x0,25x1x
)(0!2!
2
0,5x0,5x
2
2 02






Contoh
Kalau 3 buah mata uang dilemparkan satu kali. Hitunglah Probabilitas
memperoleh:
a. Tidak ada permukaan B
b. 1 permukaan B
c. 2 permukaan B
d. 3 permukaan B
e. Paling sedikit 1 permukaan B
f. Paling banyak 2 permukaan B
• Dik: n = 3; X = 0, 1, 2, 3
a. P(0;3) =
= 0,125
b. P(1;3) =
0,25x1x
)(3!0!
3!
0,5x0,5x
0
3 02






0,25x1x
)(3!0!
3!
0,5x0,5x
0
3 02






0,25x1x
)(3!0!
3!
0,5x0,5x
0
3 02






0,25x1x
)(3!0!
3!
0,5x0,5x
0
3 02






0,25x1x
)(3!0!
3!
0,5x0,5x
0
3 02






0,25x1x
)(3!0!
3!
0,5x0,5x
0
3 02






0,25x1x
)(3!0!
3!
0,5x0,5x
0
3 02






0,125x1x
)(3!0!
3!
0,5x0,5x
0
3 30






0,25x0,5x
)(2!1!
3!
0,5x0,5x
1
3 21






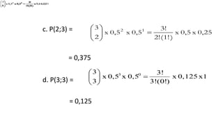
= 0,375
c. P(2;3) =
= 0,375
d. P(3;3) =
= 0,125
0,25x1x
)(3!0!
3!
0,5x0,5x
0
3 02






0,25x1x
)(3!0!
3!
0,5x0,5x
0
3 02






0,25x1x
)(3!0!
3!
0,5x0,5x
0
3 02






0,25x1x
)(3!0!
3!
0,5x0,5x
0
3 02






0,25x1x
)(3!0!
3!
0,5x0,5x
0
3 02






0,25x1x
)(3!0!
3!
0,5x0,5x
0
3 02






0,25x1x
)(3!0!
3!
0,5x0,5x
0
3 02






0,25x1x
)(3!0!
3!
0,5x0,5x
0
3 02






0,25x1x
)(3!0!
3!
0,5x0,5x
0
3 02






0,25x0,5x
)(2!1!
3!
0,5x0,5x
1
3 21






0,25x0,5x
)(2!1!
3!
0,5x0,5x
1
3 21






0,25x0,5x
)(1!2!
3!
0,5x0,5x
2
3 12






x10,125x
)(0!3!
3!
0,5x0,5x
3
3 03






e.P(x≥1) = P(x=1) + P(x=2) + P(x=3)
= 1 - P(x=0)
= 1 - 0,125 = 0, 875
f. P(x ≤ 2) = P(x=0) + P(x=1) + P(x=2)
= 0,125 + 0,375 + 0,375
= 0,875
0,25x1x
)(3!0!
3!
0,5x0,5x
0
3 02






0,25x1x
)(3!0!
3!
0,5x0,5x
0
3 02






0,25x1x
)(3!0!
3!
0,5x0,5x
0
3 02






0,25x1x
)(3!0!
3!
0,5x0,5x
0
3 02






0,25x1x
)(3!0!
3!
0,5x0,5x
0
3 02






0,25x1x
)(3!0!
3!
0,5x0,5x
0
3 02






0,25x1x
)(3!0!
3!
0,5x0,5x
0
3 02






0,25x1x
)(3!0!
3!
0,5x0,5x
0
3 02






0,25x1x
)(3!0!
3!
0,5x0,5x
0
3 02






0,25x0,5x
)(2!1!
3!
0,5x0,5x
1
3 21






0,25x0,5x
)(2!1!
3!
0,5x0,5x
1
3 21






Pengertian
• Distribusi peristiwa yang jarang terjadi (distribution of rare
events) adalah distribusi kemungkinan teoritis dengan
variasi random discrete. Distribusi ini dianggap sebagai
pendekatan pada distribusi binomial apabila n (banyaknya
percobaan) adalah besar, sedangkan P (Probabilitas
sukses) sangat kecil.
RUMUS
P(X) =
!x
e.μ -ux
 = n . p
X = variabel random discrete 0,1,2,3 ……..
X! = X . (X – 1) . (X – 2) ….. 2 . 1
e = bilangan irrational yang besarnya 2,71828
0! = 1
Contoh
Misalkan sebuah mobil diiklankan di surat kabar untuk dijual. Surat
kabar yang memuat iklan tersebut kita misalkan mempunyai
100.000 pembaca. Jika kemungkinan seorang akan membalas iklan
tersebut 0,00002.
Ditanyakan :
a. Berapa orangkah diharapkan akan membalas iklan tersebut?
b. Berapa kemungkinannya bahwa yang membalas iklan tersebut
hanya seorang?
c. Berapa kemungkinannya tidak ada yang membalas?
Dik: n = 100.000, p = 0,00002
a. μ = n . p
= 100.000 . 0,00002
= 2
Rata-rata ada 2 orang yang membalas iklan tersebut.
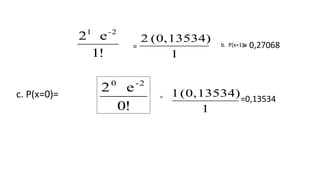
jawaban
1!
e2 -21
=
1
(0,13534)2
c. P(x=0)=
= 0,27068
0!
e2 -20
=
=0,13534
b. P(x=1)=
1
(0,13534)1
Contoh2
Apabila probabilitas bahwa seorang akan mati terkena penyakit TBC adalah 0,001.
Dari 2.000 orang penderita penyakit tersebut berapa probabilitas :
Tiga orang akan mati
Yang mati tidak lebih dari satu orang
Lebih dari dua orang mati
Dik: n = 2.000, p = 0,001
 = 2.000 x 0,001 = 2
a. P(x=3)= = = 0,18045
b. P(x≤1) = P(0) + P(1) =
3!
e)2( -23
P(x=0) =
0!
e)2( -20
= 0,13534
P(x=1) =
1!
e)2( -21
= 0,4060
= 0,27068
1.2.3
(0,13534).8
• c. P(X > 2) = 1 -  P(2)P(1)P(0) 
P(x=2) =
2!
e)2( -22
0,27068=
Jadi P(X > 2)= 1 – (0,13534 + 0,27068 + 0,27068)
= 1 – 0,67670 = 0,3233
Mean dan Standard Deviasi Poisson
•  = n . P
• = p.n
ISTILAH PENTING DALAM PENELITIAN
–POPULASI
–ELEMEN
–SAMPEL
–SUBYEK
SAMPLING
• Proses menyeleksi sejumlah elemen dari populasi sehingga
dengan mempelajari sampel dan memahami sifat-sifat subyek
dalam sampel, maka kita mampu menggenalisir sifat-sifat
tersebut ke dalam elemen-elemen populasi
ALUR PEMIKIRAN POPULASI DAN SAMPEL
Populasi
Sampel
Hasil Temuan
ALASAN SAMPLING
• Tidak mungkin untuk mengumpulkan seluruh data
• Menghemat waktu, biaya dan sumber daya lainnya
• Kadang lebih dipercaya sebab peneliti tidak lelah
TIPE DESAIN SAMPLING
• PROBABILITY SAMPLING
• NONPROBABILITY SAMPLING
Probability Sampling:
• Setiap elemen dalam populasi mempunyai kesempatan
yang sama untuk diseleksi sebagai subyek dalam
sampel. Representatif ini penting untuk generalisasi
Nonprobability Sampling:
• Setiap elemen dalam populasi belum tentu
mempunyai kesempatan sama untuk diseleksi sebagai
subyek dalam sampel. Dalam hal ini waktu adalah yang
utama
4 Macam Teknik Probability Sampling
• Random Sampling
• Stratified Random Sampling
• Cluster Sampling
• Systematic Sampling
Random Sampling
• Setiap elemen dalam populasi mempunyai kesempatan sama
untuk diseleksi sebagai subyek dalam sampel. Satu hal penting,
peneliti harus mengetahui jumlah responden yang ada dalam
populasi penelitian
• Cara pengambilan sampel bisa melalui undian
• Sampling ini memiliki bias terkecil dan generalisasi tinggi
Stratified Random Sampling
• Digunakan untuk mengurangi pengaruh faktor heterogen dan melakukan
pembagian elemen-elemen populasi ke dalam strata. Selanjutnya dari masing-
masing strata dipilih sampelnya secara random sesuai proporsinya.
• Sampling ini banyak digunakan untuk mempelajari karakteristik yang berbeda,
misalnya, di sekolah ada kls I, kls II, dan kls III. Atau responden dapat dibedakan
menurut jenis kelamin; laki-laki dan perempuan, dll.
• Keadaan populasi yang heterogen tidak akan terwakili, bila menggunakan
teknik random. Karena hasilnya mungkin satu kelompok terlalu banyak yang
terpilih menjadi sampel.
Cluster Sampling
• Elemen-elemen dalam populasi dibagi ke dalam cluster atau
kelompok, jika ada beberapa kelompok dengan heterogenitas
dalam kelompoknya dan homogenitas antar kelompok. Teknik
cluster sering digunakan oleh para peneliti di lapangan yang
mungkin wilayahnya luas.
• Sampling ini mudah dan murah, tapi tidak efisien dalam hal
ketepatan serta tidak umum
Sistematic Sampling
• Setiap elemen populasi dipilih dengan suatu jarak interval (tiap ke n elemen)
dan dimulai secara random dan selanjutnya dipilih sampelnya pada setiap
jarak interval tertentu. Jarak interval misalnya ditentukan angka pembagi 5,6
atau 10. Atau dapat menggunakan dasar urutan abjad
• Syarat yang perlu diperhatikan oleh peneliti adalah adanya daftar semua
anggota populasi
• Sampling ini bisa dilakukan dengan cepat dan menghemat biaya, tapi bisa
menimbulkan bias
Non Probability Sampling
• Cara pengambilan sampel pada prinsipnya menggunakan
pertimbangan tertentu yang digunakan oleh peneliti. Misalnya,
jumlah responden terlalu kecil, jumlah populasi tidak diketahui
secara pasti.
4 Macam Teknik Non Probability Sampling
• Accidental (Kebetulan)
• Purposive sampling (Bertujuan)
• Quota sampling (Jatah)
• Getok Tular/Snowball Sampling
PERLU DIPERHATIKAN !!
• Bagi penelitian kuantitatif sebaiknya menggunakan teknik
probabilitas untuk memilih anggota sampel.
• Alasannya teknik probabilitas memiliki prinsip random yang
sangat kuat untuk mendukung proses generalisasi hasil
penelitian yang diperlukan
HIPOTESIS
• Hipotesis Adalah Pernyataan Yang Masih Lemah Tingkat Kebenarannya Sehingga Masih Harus
Diuji Menggunakan Teknik Tertentu
• Hipotesis Dirumuskan Berdasarkan Teori, Dugaan, Pengalaman Pribadi/Orang Lain, Kesan
Umum, Kesimpulan Yang Masih Sangat Sementara
• Hipotesis Adalah Jawaban Teoritik Atau Deduktif Dan Bersifat Sementara
• Hipotesis Adalah Pernyataan Keadaan Populasi Yang Akan Diuji Kebenarannya Menggunakan
Data/Informasi Yang Dikumpulkan Melalui Sampel
• Jika Pernyataan Dibuat Untuk Menjelaskan Nilai Parameter Populasi, Maka Disebut Hipotesis
Statistik
• Hipotesis adalah pernyataan spesifik yang bersifat
prediksi dari hubungan antara dua atau lebih variabel
• Mendeskripsikan secara kongkrit apa yang ingin
dicapai/diharapkan terjadi dalam penelitian.
• Merupakan: jawaban sementara atas
pertanyaan dalam rumusan masalah.
• Disusun sesuai denga teori, bukti, dan fakta.
• Harus dapat diuji (testable).
• Meyangkut variabel yang diteliti.
Apakah semua penelitian ilmiah perlu membuat hipotesa
?
• Ya, jika berkenaan dengan verifikasi suatu teori atau
masalah
• Tidak, jika penelitian masih bersifat eksploratif dan
deskriptif
• Memberikan batasan serta memperkecil jangkauan penelitian dan
kerja penelitian
• Mensiagakan peneliti kepada kondisi fakta dan kaitan antarfakta,
yang kadangkala hilang begitu saja dari perhatian peneliti
• Alat yang sederhana untuk memfokuskan fakta yang bercerai-berai
kedalam suatu kesatuan penting dan menyeluruh
• Sebagai panduan dalam pengujian serta penyesuaian dengan fakta
dan antarfakta
PERUMUSAN HIPOTESIS
• Rumusan Hipotesis Sebenarnya Sudah Dapat Dibaca Dari Uraian Masalah, Tujuan
Penelitian, Kajian Teoritik, Dan Kerangka Pikir Sehingga Rumusannya Harus
Sejalan
• Rumusan Hipotesis Sebagai Petunjuk Arah Dalam Rancangan Penelitian, Teknik
Pengumpulan Dan Analisis Data Serta Penyimpulan
PERUMUSAN HIPOTESIS
• DINYATAKAN SEBAGAI KALIMAT PERNYATAAN (DEKLARATIF)
• MELIBATKAN MINIMAL DUA VARIABEL PENELITIAN
• MENGANDUNG SUATU PREDIKSI
• HARUS DAPAT DIUJI (TESTABLE)
RUMUSAN HIPOTESIS
• Rumusan hipotesis terdiri dari H0 dan HA
–H0: hipotesis observasi
–HA: hipotesis alternatif
• Rumusan hipotesis pada H0 dan HA dibuat menggunakan simbol
matematis sesuai dengan hipotesis
• Beberapa kemungkinan rumusan hipotesis menggunakan tanda
matematis sebagai berikut:
111
H0:
HA:
=
≠
≤
>
≥
<
MENENTUKAN NILAI KRITIS
• Perhatikan tingkat signifikansi () yang digunakan. Biasanya 1%, 5%,
dan 10%.
• Untuk pengujian 2 sisi, gunakan /2, dan untuk pengujian 1 sisi,
gunakan .
• Banyaknya sampel (n) digunakan untuk menentukan degree of
freedom (df).
– Satu sampel: df. = n – 1
– Dua sampel: df. = n1 + n2 – 2
• Nilai Kritis ditentukan menggunakan tabel t atau tabel Z
112
NILAI HITUNG
113
Jenis Hipotesis
• Hipotesis Deskriptif
• Hipotesis Statistik:
– Hipotesis Alternatif
– Hipotesis Null (Null Hypotheses)
– Hipotesis Berarah (One-Tailed Hypotheses)
– Hipotesis Tidak Berarah (Two-Tailed Hypotheses)
•Jawaban sementara yang disusun dalam bentuk kalimat biasa.
•Harus didukung oleh argumentasi yang kuat berdasarkan teori,
konsep, hukum, dan lain-lain yang relevan.
•Tidak berdasarkan trial and error.
Contoh:
Kerusakan In Fokus pada lokal dapat menurunkan semangat belajar mahasiswa
dalam pembelajaran statistik bisnis.
• Hipotesis yang diformulasikan secara stattistik dan menggunakan simbol-
simbol tertentu.
• Simbol yang digunakan antara lain: H0 dan H1 (alternatif)
Hipotesa Nul (Null Hypothesis)
•Hipotesa yang mendeskripsikan keluaran selain dari hipotesa
alternatif
•Biasanya mendeskripsikan tidak ada hubungan/pengaruh antara
variabel yang diuji
• Dinyatakan dengan H0
Hipotesa Alternatif (Alternative Hypothesis)
Hipotesa yang mendukung prediksi
Diterima jika hasil penelitian mendukung hipotesa
Dinyatakan dengan H1
Contoh H0 dan H1:
H0 : Kerusakan In Fokus pada lokal C1 tidak berpengaruh signifikan
terhadap semangat belajar mahasiswa dalam belajar
statistik bisnis.
H1 : Kerusakan In Fokus pada lokal C1 berpengaruh signifikan
terhadap semangat belajar mahasiswa dalam belajar
statistik bisnis.
Contoh H0 dan H1:
H0 : Kerusakan In Fokus pada lokal C1 akan meningkatkan
semangat belajar mahasiswa dalam belajar statistik
bisnis.
H1 : Kerusakan In Fokus pada lokal C1 dapat menurunkan
semangat belajar mahasiswa dalam belajar statistik
bisnis.
Atau:
Hipotesis Berarah (One-Tailed Hypotheses):
• Secara spesifik mendeskripsikan hipotesis yang berarah
(direction)
• Hipotesa Nul tidak ada perbedaan antar variabel dan
diprediksikan kearah berlawanan
Contoh:
H0 : Kerusakan In Fokus pada lokal C1 tidak menurunkan semangat
belajar mahasiswa dalam belajar statistik bisnis.
H1 : Kerusakan In Fokus pada lokal C1 dapat menurunkan semangat
belajar mahasiswa dalam belajar statistik bisnis.
Hipotesis Tdk Berarah (Two-Tailed Hypotheses):
• Prediksi yang tidak berarah
• Hipotesa Nul adalah tidak ada
perbedaan/pengaruh/hubungan antar variabel
Contoh:
H0 : tidak ada hubungan antara Kerusakan In Fokus pada lokal C1 dengan
semangat belajar mahasiswa dalam belajar statistik bisnis.
H1 : ada hubungan antara Kerusakan In Fokus pada lokal C1 dengan
semangat belajar mahasiswa dalam belajar statistik bisnis.
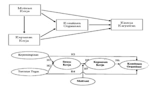
CONTOH :
Komitmen Organisasi:
1. Afektif
2. Normatif
Dependen Variabel
Kepuasan Kerja
Karakteristik
1. Usia
2. Pendidikan
3. Masa kerja
4. Pelatihan Insentif Variabel perancu
5. dll jenjang karir
Independen variabel
1. Hipotesis sederhana:
X  Y
2. Hipotesis kompleks
X1 Y1
Y X
X2 Y2
Y1
X1 X2
Y2
Tangibles
Reliability
Responsiveness
Assurance
Emphaty
Loyalitas
Pelanggan
Kepuasan atas Harga
(X2)
Kepuasan atas Promosi
(X3)
Kepuasan atas Fasilitas
Fisik (X6)
Kepuasan atas Tempat atau
Lokasi (X4)
Kepuasan atas Produk
(X1)
Kepuasan atas Orang atau
Karyawan (X5)
Kepuasan atas Proses
(X7)
Loyalitas
Anggota
(Y)
𝜀
Harga
(X1)
Promosi
(X2)
Kepuasan
Nasabah
(X4)
(Y)
Kualitas Pelayanan
(X3)
Loyalitas
Nasabah
(Y)
(Y)
Harga
(X1)
Promosi
(X2)
Kepuasan
Nasabah
(Y1)
(Y)
Kualitas Pelayanan
(X3)
Loyalitas
Nasabah
(Y2)
(Y)
Buatlah Tugas Proposal yang berisi
:
BAB I PENDAHULUAN
A. Latar Belakang Masalah
B. Perumusan Masalah
C. Tujuan penelitian
D. Manfaat Penelitian
BAB II KAJIAN TEORI
A. Kajian Teori
1.........
2.....
B. Penelitian Terdahulu
C. Kerangka Konseptual
D. Hipotesis
BAB III METODE PENELITIAN
A. Ruang Lingkup Penelitian
B. Populasi Dan Sampel
1. Populasi
2. Sampel
C. Jenis Dan Sumber Data
1. Jenis data
2. Sumber data
3. Teknik pengumpulan data
D. Variabel Dan Definisi Operasional
1. Variabel penelitian
2. Definisi operasional
3. Instrumen penelitian
E. Pengujian Instrumen
1. Validitas
2. Reliabilitas
F. Teknik Analisa Data
1. Analisa deskriptif
2. Uji Asumsi Klasik
3. Uji Hipotesisdaiman286@gmail.com
TOPIK
1.pengukuran
2.skala pengukuran
3.analisis univariat
4.analisis bivariat
5.analisis multivariat
6.Jadwal analisis data statistik
PENGUKURAN
 Pengukuran adalah penunjukan angka2 pada suatu variabel.
 Pengukuran memerlukan alatan pengukuran/ instrumen
yang standard, baik alatan maupun kuesioner
 Pengukuran adalah mendapatkan dimensi kuantitif suatu
objek, misalnya berat badan
Syarat pengukuran
isomorfisme, Yaitu ukuran harus sedekat mungkin dengan
benda/ kejadian yang diukur
exhaustive, yaitu pengukuran harus meliputi seluruh
kemungkinan yang ada
mutually exlusive, yaitu pengukuran tidak boleh ada tindakan
Skala pengukuranHasil suatu pengukuran untuk analisis data dapat dibagi dalam 4
skala :
 skala nominal
 skala ordinal
 skala interval
 skala rasio
Hubungan antara skala pengukuran
ASUMSI URUTAN - + + +
ASUMSI JARAK - - + +
TITIK 0 ABSOLUT - - - +
RASIOKRITERIA NOMINAL ORDINAL INTERVAL
Skala yg lebih tinggi dapat diubah menjadi skala yg lebih
rendah, dan tidak sebaliknya.
Konsep
• Uji statistik dilakukan untuk menentukan apakah
perbedaan/hubungan yang terlihat pada sampel benar-benar
ada atau kebetulan ada akibat pengambilan sampel saja
• Hasil ujian statistik berupa: “probabiliti penyelidik memperolehi
hasil seperti pada sampel atau lebih ekstrim jika hipotesis nol
benar”
Konsep
• Probabiliti hasil penyelidikan sejalan dengan hipotesis
nol”
• Jika p besar maka H0 diterima, jika p kecil H0 ditolak
• Besar kecilnya probabiliti ditentukan oleh a, - probabiliti
penyelidik untuk menolak H0 jika di populasi H0 benar
Konsep
• Jika penyelidik menolak H0:
– Dapat terjadi kesalahan jenis 1 (a), penyelidik salah mengambil
kesimpulan karena sebenarnya di populasi hipotesis nol benar (tidak
ada hubungan)
• Jika penyelidik menerima H0:
– Dapat terjadi kesalahan jenis 2 (b), penyelidik salah mengambil
kesimpulan kerana di populasi hipotesis nol salah (ada hubungan)
• Signifikan statistik TIDAK SAMA dengan signifikan substansi karena
perbezaan yg kecil dapat signifikan secara statistik kerana penggunaan
sampel yg besar
Perlu Dipehatikan Dalam Analisis Data
Membandingkan dan melakukan tes teori atau konsep
dengan informasi yang ditemukan
Mencari dan menemukan adanya konsep baru dari data yang
dikumpulkan
Mencari penjelasan apakah konsep baru ini berlaku umum,
atau baru terjadi bila ada prakondisi tertentu
Urutan analisis data
 Analisis univariat adalah analisis satu variabel
 Analisis bivariat adalah analisis hubungan 2 variabel
 Analisis multivariat adalah analisis hubungan lebih dari 2
variabel secara bersama dgn mengontrol variabel lain
Analisis univariat
Analisis univariat adalah analisis satu variabel
Misalnya
 distribusi frekuensi
 nilai purata
 variasi
 persentase
Kegunaan analisis univariat
1. Salah satu cara melihat adanya kesalahan koding
atau entry data
2. Mendeskripsikan suatu fenomena dengan baik.
3. Perincian/ gambaran besarnya suatu fenomena
4. Petunjuk pemecahan masalah
5. Persiapan analisis bivariat atau multivariat
Analisis bivariat
Analisis bivariat adalah analisis hubungan 2 variabel yg
dapat bersifat :
(a)simetris tak saling mempengaruhi
(b) saling mempengaruhi
(c) variabel satu mempengaruhi variabel lain
SEJARAH REGRESI
Istilah Regresi diperkenalkan oleh Fancis Galtom
“Meskipun ada kecenderungan bagi orang tua yang tinggi mempunyai anak-
anak yang tinggi, dan bagi orang tua yang pendek mempunyai anak yang
pendek, distribusi tinggi dari suatu populasi tidak berubah secara menyolok
(besar) dari generasi ke generasi”.
Regresi = “Kemunduran ke arah sedang”
ILUSTRASI
Pengertian Regresi
• Analisis regresi merupakan studi ketergantungan satu atau
lebih variabel bebas terhadap variabel tidak bebas. Dengan
maksud untuk meramalkan nilai variabel tidak bebas.
Contoh Penerapan Analisis Regresi
1. Analisis Regresi antara tinggi orang tua terhadap tinggi anaknya (Gultom).
2. Analisis Regresi antara pendapatan terhadap konsumsi rumah tangga.
3. Analisis Regresi antara harga terhadap penjualan barang.
4. Analisis Regresi antara tingkat upah terhadap tingkat pengangguran.
5. Analisis Regresi antara tingkat suku bunga bank terhadap harga saham
6. Analisis regresi antara biaya periklanan terhadap volume penjualan perusahaan.
KETERGANTUNGAN STATISTIK VS. FUNGSIONAL
• Hubungan kausal (ketergantungan statistik)
– Konsumsi dengan pendapatan
– Masa kerja dengan produktifitas
– Iklan dengan penjualan
• Hubungan fungsional/Identitas
– Likuditas dengan aktiva lancar
– Produktivitas dengan hasil produksi
– Upah karyawan dengan jam kerja
Perbedaan mendasar antara korelasi dan regresi ?
• Korelasi hanya menunjukkan
sekedar hubungan.
• Dalam korelasi variabel tidak
ada istilah tergantung dan
variabel bebas.
• Regresi menunjukkan hubungan
pengaruh.
• Dalam regresi terdapat istilah
tergantung dan variabel bebas.
Istilah dan notasi variabel dalam regresi ?
Y
• Varaibel tergantung (Dependent Variable)
• Variabel yang dijelaskan (Explained
Variable)
• Variabel yang diramalkan (Predictand)
• Variabel yang diregresi (Regressand)
• Variabel Tanggapan (Response)
X
• Varaibel bebas (Independent Variable)
• Variabel yang menjelaskan (Explanatory
Variable)
• Variabel peramal (Predictor)
• Variabel yang meregresi (Regressor)
• Variabel perangsang atau kendali (Stimulus or
control variable)
Persamaan Regresi
Persamaan Regresi linier
Sederhana:
Y = a + bX + 
Y = Nilai yang diramalkan
a = Konstansta
b = Koefesien regresi
X = Variabel bebas
 = Nilai Residu

  


 22
)()(
))(()(
XXn
YXXYn
b
n
XbY
a
 

)(
Contoh Kasus:
Seorang manajer pemasaran akan meneliti apakah terdapat
pengaruh iklan terhadap penjualan pada perusahaan-perusahaan
di Kabupaten WaterGold, untuk kepentingan penelitian tersebut
diambil 8 perusahaan sejenis yang telah melakukan promosi.
Pemecahan
1. Judul
Pengaruh biaya promosi terhadap penjualan perusahaan.
2. Pertanyaan Penelitian
– Apakah terdapat pengaruh positif biaya promosi terhadap
penjualan perusahaan ?
3. Hipotesis
– Terdapat pengaruh positif biaya promosi terhadap penjualan
perusahaan.
4. Kriteria Penerimaan Hipotesis
Ho : Tidak terdapat pengaruh positif biaya iklan terhadap penjualan perusahaan.
Ha : Terdapat pengaruh positif biaya iklan terhadap penjualan perusahaan.
• Ho diterima Jika
b ≤ 0, t hitung ≤ tabel
• Ha diterima Jika
b > 0, t hitung > t tabel.
5. Sampel
8 perusahaan
6. Data Yang dikumpulkan
Penjualan (Y) 64 61 84 70 88 92 72 77
Promosi (X) 20 16 34 23 27 32 18 22
7. Analisis DataUntuk analisis data diperlukan, perhitungan:
1. Persamaan regresi
2. Nilai Prediksi
3. Koefesien determinasi
4. Kesalahan baku estimasi
5. Kesalahan baku koefesien regresinya
6. Nilai F hitung
7. Nilai t hitung
8. Kesimpulan
Persamaan Regresi
Y X XY X2 Y2
64 20 1280 400 4096
61 16 976 256 3721
84 34 2856 1156 7056
70 23 1610 529 4900
88 27 2376 729 7744
92 32 2944 1024 8464
72 18 1296 324 5184
77 22 1694 484 5929
608 192 15032 4902 47094

  


 22
)()(
))(()(
XXn
YXXYn
b
497,1
)192()4902(8
)609)(192()15032(8
2



b
082,40
8
)192(497,1)608(


a
n
XbY
a
 

)(
Y= 40,082 + 1,497X+e
Nilai Prediksi
• Berapa besarnya penjualan jika promosi sebesar 20?
40,082 + (1,497*20)= 70,022
• Berapa besarnya penjualan jika promosi sebesar 16?
40,082 + (1,497*16)=64,034
• Berapa besarnya penjualan jika promosi sebesar 34?
40,082 + (1,497*34)= 90,98
• Berapa besarnya penjualan jika promosi sebesar 23?
40,082 + (1,497*23)= 74,513
• Berapa besarnya penjualan jika promosi sebesar 27?
40,082 + (1,497*27)=80,501
• Berapa besarnya penjualan jika promosi sebesar 32?
40,082 + (1,497*32)= 87,986
Dan seterusnya…………………….!!!
No Y X XY X2 Y2 Ypred (Y-Ypred)2 (Y-Yrata)2
1 64 20 1280 400 4096 70.022 36.264 144
2 61 16 976 256 3721 64.034 9.205 225
3 84 34 2856 1156 7056 90.98 48.720 64
4 70 23 1610 529 4900 74.513 20.367 36
5 88 27 2376 729 7744 80.501 56.235 144
6 92 32 2944 1024 8464 87.986 16.112 256
7 72 18 1296 324 5184 67.028 24.721 16
8 77 22 1694 484 5929 73.016 15.872 1
Jlh 608 192 15032 4902 47094 608.08 227.497 886
Koefesien Determinasi
Koefesien determinasi:




 2
2
2
)(
)ˆ(
1
YY
YY
R 743,0
)886(
)497,227(
12
R
Koefesien Determinasi Disesuaikan (adjusted)
1
)1( 2
2



PN
RP
RRadj
70,0
118
)743,01(1
743,0 


adjR
Kesalahan Baku Estimasi
Digunakan untuk mengukur tingkat kesalahan dari model regresi yang
dibentuk.
kn
YY
Se



 2
)ˆ(
1576,6
28
)467,227(


Se
Standar Error Koefesien Regresi
Digunakan untuk mengukur besarnya tingkat kesalahan dari koefesien regresi:
n
X
X
Se
Sb


2
2 )(
359,0
8
)192(
)4902(
1576,6
21 

Sb
Uji F
Uji F digunakan untuk uji ketepatan model, apakah nilai prediksi mampu menggambarkan kondisi sesungguhnya:
Ho: Diterima jika F hitung  F tabel
Ha: Diterima jika F hitung > F tabel
)/(1
)1/(
2
2
knR
kR
F


 367,17
)28/(743,01
)12/(743,0



F
Karena F hitung (17,367) > dari F tabel (5,99) maka persamaan regresi dinyatakan Baik (good
of fit).
Uji t
Digunakan untuk mengatahui pengaruh variabel bebas terhadap variabel
tergantung.
Ho: Diterima jika t hitung  t tabel
Ha: Diterima jika t hitung > t tabel
Sbj
bj
Thitung  167,4
359,0
497,1
hitungt
Karena t hitung (4,167) > dari t tabel (1,943) maka Ha diterima ada pengaruh iklan
terhadap penjualan.
KESIMPULAN DAN IMPLIKASI
KESIMPULAN
Terdapat pengaruh positif biaya periklanan terhadap volume
penjualan.
IMPLIKASI
Sebaiknya perusahaan terus meningkatkan periklanan agar
penjualan meningkat.
Tugas:
Carilah persamaan regresi dari data berikut:
X 3 4 5 6 7 8 9
Y 12 11 13 12 13 14 16
LATAR BELAKANG MUNCULNYA ANALISIS REGRESI BERGANDA
Fenomena ekonomi bersifat komplek, sehingga tidak cukup dijelaskan
oleh satu variabel bebas.
Contoh:
Besarnya konsumsi tidak hanya dipengaruhi oleh pendapatan saja tetapi
juga dipengaruhi oleh jumlah anggota keluarga, tingkat pendidikan serta
variabel lainnya.
Perbedaan dengan Regresi Sederhana
• Regresi sederhana hanya terdiri satu variabel
bebas.
• Y = a+bX+
• Regresi berganda terdiri dua variabel atau
lebih variabel bebas.
• Y = a+b1X1+ b2X2+ ….+bnXn+ 
UJI ASUMSI KLASIK
• UJI NORMALITAS
• NON-HETEROSKEDASTISITAS
• NON-MULTIKOLINIERITAS
• NON-AUTOKORELASI
Persamaan Regresi
Y = Nilai yang diramalkan
a = Konstansta
b1 = Koefesien regresi untuk X1
b2 = Koefesien regresi untuk X2
bn = Koefesien regresi untuk Xn
X1 = Variabel bebas pertama
X2 = Variabel bebas kedua
Xn = Variabel bebas ke n
 = Nilai Residu
Persamaan Regresi linier Berganda:
Y = a + b1X1 + b2X2+…+bnXn + 
Contoh Kasus:
Seorang peneliti akan meneliti apakah ada pengaruh harga dan
pendapatan terhadap konsumsi buah Duren. Untuk keperluan tersebut
diambil sampel secara acak sebanyak 10 rumah tangga.
Pemecahan
1.Judul
Pengaruh pendapatan dan harga terhadap konsumsi buah Duren.
2. Pertanyaan Penelitian
– Apakah terdapat pengaruh negatif harga terhadap konsumsi buah Duren?
– Apakah terdapat pengaruh positif pendapatan terhadap konsumsi buah Duren?
– Diantara variabel pendapatan dan harga variabel manakah yang paling berpengaruh terhadap konsumsi buah
Duren?
3.Hipotesis
– Terdapat pengaruh negatif harga terhadap konsumsi buah Duren?
– Terdapat pengaruh positif pendapatan terhadap konsumsi buah Duren?
– Variabel pendapatan memiliki pengaruh yang paling besar terhadap konsumsi buah Duren.
4. Kriteria Penerimaan
Hipotesis 1
Hipitesis 1.
Untuk menguji hipotesis: Harga memiliki pengaruh negatif terhadap
konsumsi buah Duren, digunakan kriteria sebagai berikut:
Ho : bj≥ 0 : Tidak terdapat pengaruh negatif harga terhadap konsumsi buah
Duren.
Ha : bi < Terdapat pengaruh negatif harga terhadap konsumsi buah Duren.
Kriteria:
• Ho diterima Jika thitung ≥ -ttabel
• Ha diterima Jika thitung < -t tabel
4. Kriteria Penerimaan Hipotesis 2
Hipitesis 2.
Untuk menguji hipotesis: Pendapatan memiliki pengaruh positif terhadap konsumsi buah Duren,
digunakan kriteria sebagai berikut:
Ho : bj≤ 0 : Tidak terdapat pengaruh positif pendapatan terhadap konsumsi buah Duren.
Ha : bi > Terdapat pengaruh positif pendapatan terhadap konsumsi buah Duren. .
Kriteria:
• Ho diterima Jika thitung ≤ t tabel
• Ha diterima Jika thitung > t tabel
4. Kriteria Penerimaan Hipotesis 3
Hipitesis 3.
Untuk menguji hipotesis, Variabel pendapatan memiliki pengaruh yang paling besar terhadap
konsumsi buah Duren
Kriteria:
• Hipotesis Ditolak Jika:
Elastisitas () Pendapatan ≤ Elastisitas () Harga
• Hipotesis Diterima Jika:
Elastisitas () Pendapatan > Elastisitas () Harga
Uji ketepatan model.
Untuk melakukan uji ketepatan model (goodness of fit) digunakan uji F
Kriteria:
• Model persamaan regresi dinyatakan baik (good of fit), jika F hitung > F tabel
• Model persamaan regresi dinyatakan jelek (bad of fit)Jika F hitung ≤ F tabel
5. Sampel
10 Keluarga
6. Data Yang dikumpulkan
X1 2 3 5 4 6 2 3 4 5 6
X2 3 4 6 5 7 6 4 5 4 3
Y 5 8 8 9 9 13 6 9 4 3
7. Analisis Data
Untuk analisis data diperlukan, perhitungan:
1. Persamaan regresi
2. Nilai Prediksi
3. Koefesien determinasi
4. Kesalahan baku estimasi
5. Kesalahan baku koefesien regresinya
6. Nilai F hitung
7. Nilai t hitung
8. Kesimpulan
Persamaan Regresi
No X1 X2 Y X12
X22
X1X2 X1Y X2Y Y2
1 2 3 5 4 9 6 10 15 25
2 3 4 8 9 16 12 24 32 64
3 5 6 8 25 36 30 40 48 64
4 4 5 9 16 25 20 36 45 81
5 6 7 9 36 49 42 54 63 81
6 2 6 13 4 36 12 26 78 169
7 3 4 6 9 16 12 18 24 36
8 4 5 9 16 25 20 36 45 81
9 5 4 4 25 16 20 20 16 16
10 6 3 3 36 9 18 18 9 9
Jlh. 40 47 74 180 237 192 282 375 626
Koefesien Regresi:
Y = a +b1X1+b2X2+
Y = 2,5529 -1,0921X1+1,9608X2+
Makna Persamaan Regresi Yang Terbentuk
a = 2,553, Artinya jika harga (X1) dan pendapatan (X2) sebesar 0
maka Y akan sebesar 2,553.
b1 =-1,092, Artinya jika pendapatan (X2) konstans, maka kenaikan
harga (X1) akan menyebabkan penurunan Y sebesar -1,092
satuan.
b2 =1,961, Artinya jika harga (X1) konstans, maka kenaikan
pendapatan (X2) akan menyebabkan kenaikan Y sebesar
1,961 satuan.
Nilai Prediksi
• Berapa besarnya permintaan jika harga sebesar 2 dan pendapatan sebesar 3?
2,553- (1,092x2)+(1,961x3)= 6,25
• Berapa besarnya permintaan jika harga sebesar 3 dan pendapatan sebesar 4?
2,553 - (1,092x3)+(1,961x4)= 7,12
• Berapa besarnya permintaan jika harga sebesar 5 dan pendapatan sebesar 6?
2,553 - (1,092x5)+(1,961x6)= 8,86
• Berapa besarnya permintaan jika harga sebesar 4 dan pendapatan sebesar 5?
2,553 - (1,092x4)+(1,961x5)= 7,99
• Berapa besarnya permintaan jika harga sebesar 6 dan pendapatan sebesar 7?
2,553 - (1,092x6)+(1,961x7)= 9,73
• Berapa besarnya permintaan jika harga sebesar 2 dan pendapatan sebesar 6?
2,553 - (1,092x2)+(1,961x6)= 12,13
• Berapa besarnya permintaan jika harga sebesar 3 dan pendapatan sebesar 4?
2,553 - (1,092x3)+(1,961x4)= 7,12
• Berapa besarnya permintaan jika harga sebesar 4 dan pendapatan sebesar 5?
2,553 - (1,092x4)+(1,961x5)= 7,99
Dan seterusnya…………………….!!!
No X1 X2 Y Ypred (Y-Ypred)2
(Y-Ybar)2
1 2 3 5 6.252 1.568 5.76
2 3 4 8 7.121 0.773 0.36
3 5 6 8 8.859 0.738 0.36
4 4 5 9 7.99 1.020 2.56
5 6 7 9 9.728 0.530 2.56
6 2 6 13 12.135 0.748 31.36
7 3 4 6 7.121 1.257 1.96
8 4 5 9 7.99 1.020 2.56
9 5 4 4 4.937 0.878 11.56
10 6 3 3 1.884 1.245 19.36
Jlh. 40 47 74 9.777 78.4
Koefesien Determinasi
Koefesien determinasi:




 2
2
2
)(
)ˆ(
1
YY
YY
R
875,0
)4,78(
)776,9(
12
R
Koefesien Determinasi Disesuaikan (adjusted)
1
)1( 2
2



PN
RP
RRadj
840,0
1210
)875,01(2
875,0 


adjR
Kesalahan Baku Estimasi
Digunakan untuk mengukur tingkat kesalahan dari model regresi yang
dibentuk.
kn
YY
Se



 2
)ˆ(
1818,1
310
)776,9(


Se
Standar Error Koefesien Regresi
Digunakan untuk mengukur besarnya tingkat kesalahan dari koefesien regresi:
)(
][
2
Kii
ADet
Se
Sb 
626,1)5796(
3060
)1818,1( 2
Sa
302,0)200(
3060
)1818,1(
2
2
Sb
271,0)161(
3060
)1818,1(
1
2
Sb
Uji t
Sbj
bj
thitung 
029,4
271,0
092,1
1 

Xt
Pengujian Hipotesis 1:
•thitung X1 (-4,029) < dari - ttabel (1,89), maka Ha diterima, Terdapat pengaruh negatif harga
terhadap konsumsi buah Duren.
Pengujian Hipotesis 2:
thitung X1 (6,490) > dari t tabel (1,89), maka Ha diterima, Terdapat pengaruh positif pendapatan
terhadap konsumsi buah Duren.
490,6
302,0
961,1
2 Xt
Hipotesis 3:
Untuk menguji variabel yang paling berpengaruh, digunakan uji elastisitas atau uji koefesien beta.
Uji elastisitas:
Y
X
i i
 
590,0
4,7
4
0921,11 
245,1
4,7
7,4
9608,12 
Uji Koefesien beta:
Beta X1 =-0,552
Beta X2 =0,889
Kesimpulan: Karena 2>1 atau Beta(X2) > Beta (X1) pendapatan (X2) lebih
berpengaruh terhadap konsumsi dibandingkan harga (X2)
Uji F
Uji F digunakan untuk uji ketepatan model, apakah nilai prediksi mampu menggambarkan kondisi
sesungguhnya:
Ho: Diterima jika F hitung  F tabel
Ha: Diterima jika F hitung > F tabel
)/(1
)1/(
2
2
knR
kR
F


 567,24
)310/(875,01
)13/(875,0



F
Karena F hitung (24,567) > dari F tabel (4,74) maka maka persamaan regresi dinyatakan Baik
(good of fit).
KESIMPULAN DAN IMPLIKASI
KESIMPULAN
1. Terdapat pengaruh negatif harga terhadap konsumsi buah duren.
2. Terdapat pengaruh positif pendapatan terhadap konsumsi buah Duren.
3. Pendapatan memiliki pengaruh yang lebih besar dibanding harga terhadap konsumsi buah duren
IMPLIKASI
Sebaiknya pemasar buah Duren mempertimbangkan harga dan pendapatan, akan tetapi lebih
mempertimbangkan pendapatan masyarakat dibandingkan harga buah duren dalam merancang
strategi pemasarannya.
Uji Goodness of Fit
Seberapa tepat frekuensi yang teramati (observed
frequencies) cocok dengan frekuensi yang diharapkan
(expected frequencies).
Dapat dipergunakan untuk data skala nominal, ordinal,
interval, maupun rasio.
193
Ciri-ciri distribusi Chi Square
Selalu positif
df = k – 1, dimana k adalah jumlah katagori. Jadi bentuk
distribusi chi square tidak ditentukan banyaknya sampel,
melainkan banyaknya derajat bebas.
Bentuk distribusi chi square menjulur positif. Semakin besar
derajat bebas, semakin mendekati distribusi normal.
194
Pokok Bahasan
1. Uji Goodness of Fit : Frekuensi yang diharapkan sama
2. Uji Goodness of Fit : Frekuensi yang diharapkan tidak sama
3. Keterbatasan statistik Chi Square
4. Uji Goodness of Fit untuk menguji kenormalan suatu
distribusi
5. Analisis Tabel Kontingensi
195
1. Uji Goodness of Fit : Frekuensi yang diharapkan sama
Contoh :
Manajer Personalia ingin melihat apakah pola absensi terdistribusi secara merata sepanjang enam
hari kerja. Hipotesis nol yang akan diuji adalah “Absensi terdistribusi secara merata selama enam
hari kerja. Taraf nyata yang digunakan adalah 0,01. Hasil dari sampel ditujukan sebagai berikut :
Hari Jumlah Absen
Senin 12
Selasa 9
Rabu 11
Kamis 10
Jum’at 9
Sabtu 9
Ujilah hipotesis tersebut !
196
Langkah-langkah yang dilakukan sbb :
a. Buat formulasi hipotesis :
Ho : tidak ada perbedaan antara frekuensi yang teramati dengan frekuensi yang diharapkan.
H1 : ada perbedaan antara frekuensi yang teramati dengan frekuensi yang diharapkan.
b. Tentukan taraf nyata yang akan digunakan dalam pengujian.
Misalnya : 0,05
c. Pilih uji statistik yang sesuai dengan hipotesis. Dalam kasus diatas dipergunakan rumus :
dimana :
fo = besarnya frekuensi yang teramati.
fe = besarnya frekuensi yang diharapkan.
197
 




 

e
eo
f
ff
X
2
2 )(
d. Buat aturan pengambilan keputusan dengan jalan membandingkan nilai X2 dengan nilai kritis
(X2 tabel). Nilai kritis diperoleh dari tabel X2 dengan df = k-1 dan taraf nyata 0,05. Dari tabel
X2(0,05;5) diperoleh nilai 11,070. Aturan pengambilan keputusannya : hipotesis nol
diterima bila X2 < 11,070 dan jika X2  11,070, maka hipotesis nol ditolak dan menerima
hipotesis alternatif.
e. Lakukan pengambilan sampel dan hitung nilai chi square. Buat keputusan untuk menolak atau
menerima hipotesis nol.
Penghitungan Chi Square :
Hari fo fe fo- fe (fo-fe)2 (fo-fe)2/fe
Senin 12 10 2 4 0,4
Selasa 9 10 -1 1 0,1
Rabu 11 10 1 1 0,1
Kamis 10 10 0 0 0
Jum'at 9 10 -1 1 0,1
Sabtu 9 10 -1 1 0,1
Jumlah 60 0 0,8
Jadi X2 = 0,8. Karena X2 < 11,070, maka hipotesis nol diterima yang bearti absensi terdistribusi
secara merata.
198
2. Uji Goodness of Fit : Frekuensi yang diharapkan tidak sama
Contoh : Tabel berikut adalah jumlah mahasiswa yang terdaftar berdasakan fakultas di Universitas
Midwestern.
Fakultas Jml mhs Jml mhs
terdaftar yg mengembalikan kuesioner.
Seni dan sain 4700 90
Administrasi bisnis 2450 45
Pendidikan 3250 60
Teknik 1300 30
Hukum 850 15
Farmasi 1250 15
Univ. College 3400 45
Editor majalah mahasiswa memilih nama-nama secara acak dari masing-masing fakultas dan
mengirim kuesioner. Jumlah mahasiswa yang mengembalikan kuesioner menurut fakultas
ditunjukkan pada kolom 2 dalam tabel diatas. Dengan taraf nyata 5 %, tentukan apakah jumlah
mahasiswa yang mengembalikan kuesioner menurut fakultas dapat mencerminkan populasi
mahasiswa di Universitas Midwestern.
199
Penyelesaian :
1. Formulasi hipotesis.
Ho : jumlah mahasiswa yang mengembalika kuesioner mencerminkan
populasi mahasiswa di universitas Midwestern.
H1 : jumlah mahasiswa yang mengembalika kuesioner tidak
mencerminkan populasi mahasiswa di universitas Midwestern.
2. Taraf nyata 5 %
3. Pilih uji statistik (sama seperti pembahasan diatas)
4. Aturan pengambilan keputusan :
df = k – 1 = 7 - 1 = 6
X2 tabel = 12,592
Ho diterima jika X2 < 12,592
Ho ditolak jika X2  12,592 (menerima H1)
5. Hitung X2
Untuk menghitung X2 perlu dilakukan transformasi data. Data jumlah mahasiswa terdaftar dihitung proporsinya dengan
jumlah kuesioner yang kembali. Haslnya seperti pada tabel berikut :
200
Jml Mhs Jml mhs yg Proporsi mhs
Fakultas terdaftar mengembalikan terdaftar
kuesioner
Seni dan sain 4700 90 0,27
Administrasi bisnis 2450 45 0,14
Pendidikan 3250 60 0,19
Teknik 1300 30 0,08
Hukum 850 15 0,05
Farmasi 1250 15 0,07
Univ. College 3400 45 0,20
Total 17200 300 1
Kemudian hitung X2 dengan fo = jumlah mahasiswa yang mengembalikan
kuesioner, fe = jumlah mahasiswa terdaftar yang dihitung dari proporsi
dikalikan dengan jumlah total mahasiswa yang mengembalikan kuesioner.
Hasilnya sebagai berikut :
201
4700 / 17200
Fakultas fo Proporsi fe (fo-fe)2/fe
Seni dan sain 90 0,27 81 1,00
Administrasi bisnis 45 0,14 42 0,21
Pendidikan 60 0,19 57 0,16
Teknik 30 0,08 24 1,50
Hukum 15 0,05 15 0
Farmasi 15 0,07 21 1,71
Univ. College 45 0,20 60 3,75
Total 300 1,00 300 8,33
Kesimpulan hipotesis nol diterima, karena X2 < 12,592 (8,33 < 12,592)
berarti jumlah mahasiswa yang mengembalikan kuesioner
mencerminkan populasi mahasiswa di universitas Midwestern.
202
3. Keterbatasan statistik Chi Square
Tidak dapat dipergunakan bila ada satu atau lebih nilai frekuensi yang
diharapkan dalam sel yang nilainya kecil sekali, sehingga kesimpulannya bisa
salah.
Cara mengatasinya :
 Jika tabel hanya terdiri dari dua sel, maka frekuensi yang diharapkan untuk
masing-masing sel seharusnya tidak kurang dari 5.
 Untuk tabel yang mempunyai lebih dari dua sel, X2 seharusnya tidak digunakan
jika lebih dari 20 % frekuensi yang diharapkan memiliki nilai kurang dari 5. Jika
memungkinkan sel-sel yang bernilai kurang dari 5 dapat digabungkan menjadi
satu dengan harapan nilainya lebih dari 5.
203
4. Uji Goodness of Fit untuk menguji kenormalan suatu
distribusi
Contoh :
Perusahaan terminal komputer melaporkan dalam sebuah iklannya bahwa bila dipergunakan
secara normal, masa pakai rata-rata terminal komputer hasil produksinya adalah 6 tahun dan
deviasi standarnya sebesar 1,4 tahun. Dari seuah sampel sebesar 90 unit terminal komputer yang
terjual 10 tahun yang lalu diperoleh informasi mengenai distribusi masa pakai seperti yang tampak
pada tabel dibawah ini. Dengan menggunakan taraf nyata 5 %, dapatkah perusahaan menarik
kesimpulan bahwa masa pakai terminal komputer hasil produksinya terdistribusi normal ?
Masa Pakai (tahun) Frekuensi
0 – 4 7
4 – 5 14
5 – 6 25
6 – 7 22
7 – 8 16
> 8 6
Total 90
204
Penyelesaiannya :
a. Hitung luas daerah dibahwa kurna normal untuk masing-masing katagori.Rumus yang dipergunakan
adalah :
Dimana : X = batas bawah dan batas atas kelas.
 = nilai rata-rata
 = standar deviasi
b. Hitung frekuensi yang dihrapkan dengan megkalikan luas daerah dibawah kurva normal dengan
jumlah sampel. Hasil sbb :
Masa Pakai Frek. nilai Z Daerah Frekuensi
(tahun) yang diharapkan
0 - 4 7 < -1,43 0,0764 6,876
4 - 5 14 -1,43 s/d -0,71 0,1625 14,625
5 - 6 25 -0,71 s/d 0,00 0,2611 23,499
6 - 7 22 0,00 s/d 0,71 0,2611 23,499
7 - 8 16 0,71 s/d 1,43 0,1625 14,625
> 8 6 > 1,43 0,0764 6,876
Total 90 1 90
205
c. Hitung Chi Square
Nilai X2 tabel dengan df = k - 1 = 6 – 1 = 5 dan taraf nyata 5 % diperoleh nilai 11,070
Ho : masa pakai komputer terdistribusi normal
H1 : masa pakai komputer tidak terdistribusi normal
Ho diterima jika X2 < 11,070
Ho dittolak jika X2  11,070 (menerima H1)
Masa Pakai (tahun) fo fe (fo-fe)2/fe
0 – 4 7 6,876 0,0022362
4 – 5 14 14,625 0,0267094
5 – 6 25 23,499 0,0958765
6 – 7 22 23,499 0,0956211
7 – 8 16 14,625 0,1292735
> 8 6 6,876 0,1116021
Total 90 90 0,4613188
Kesimpulan : Karena nilai X2 hitung sebesar 0,46 lebih kecil dari 11,070, maka hipotesis nol
diterima yang berarti masa pakai komputer terdistribusi normal.
206
5. Analisis Tabel Kontingensi
Uji Goodness of Fit dapat pula dipergunakan untuk menguji hubungan dua fenomena..
Contoh : Hasil penelitian mengenai tingkat tekanan psikologis dikaitkan dengan usia responden
yang diakibatkan pekerjaanya tampak pada tabel berikut :
Umur (th) Derajat tekanan (banyaknya pramuniaga)
Rendah Menengah Tinggi
< 25 20 18 22
25 – 40 50 46 44
40 – 60 58 63 59
> 60 34 43 43
Total 162 170 168
Ujilah apakah ada hubungan antara usia dan tingkat tekanan psikologis pada taraf natay sebesar
0,01 ?
207
Pemecahan :
a. Formulasi
Ho : Tidak terdapat hubungan antara usia dengan tingkat tekanan
psikologis
H1 : Ada hubungan antara usia dengan tingkat tekanan psikologis
b. Hitung derajat bebas.
df = (jumlah baris – 1) x (jumlah kolom – 1)
df = (4 – 1)(3 –1) = 6
taraf nyata = 0,01
Nilai kritis (X2 tabel) = 16,812
c. Hitung frekuensi yang diharapkan dengan rumus
208
nkeseluruhaTotal
kolomTotalbarisTotal
diharapkanyangFrekuensi
_
)_)(_(
__ 
Hasil perhitungan :
Derajat tekanan
Umur (th) Rendah Menengah Tinggi Total
fo fe fo fe fo fe fo fe
< 25 20 19 18 20 22 20 60 60
25 – 40 50 45 46 48 44 47 140 140
40 – 60 58 58 63 61 59 60 180 180
> 60 34 39 43 41 43 40 120 120
Total 162 162 170 170 168 168 500 500
d. Hitung X2
X2 = (20-19)2/19 + (18-20)2/20 + (22-20)2/20
+(50-45)2/45 + (46-48)2/48 + (44-47)2/47
+(58-58)2/58 + (63-61)2/61 + (59-60)2/60
+(34-39)2/39 + (43-41)2/41 + (43-40)2/40
X2 = 2,191
e. Kesimpulan
Karena 2,191 < 16,812, maka ho diterima berarti tidak ada
hubungan antara usia dengan tekanan psikologis.
209
(60 x 168 ) / 500
Analisis Variansi
• Analisa variansi (ANOVA) adalah suatu metoda untuk menguji
hipotesis kesamaan rata-rata dari tiga atau lebih populasi.
• Asumsi
 Sampel diambil secara random dan saling bebas
(independen)
 Populasi berdistribusi Normal
 Populasi mempunyai kesamaan variansi
210
Analisis Variansi
• Misalkan kita mempunyai k populasi.
• Dari masing-masing populasi diambil sampel berukuran n.
• Misalkan pula bahwa k populasi itu bebas dan berdistribusi normal
dengan rata-rata 1, 2, …. dan k dan variansi 2.
• Hipotesa :
H0 : 1 = 2 = … = k
H1 : Ada rata-rata yang tidak sama
211
Analisis Variansi
212
Setiap pengamatan dapat ditulis dalam bentuk berikut ini :
Keterangan
(Note : sampel diambil dari populasi dan jumlah sampel tidak harus sama antar populasi)
213
Selanjutnya memeriksa apakah sudah memenuhi asumsi :
1. Normalitas, menguji apakah data tiap kelompok memiliki distribusi normal, dapat
dilakukan dengan uji normalitas Kolmogorov Smirnov atau Saphiro Wilk.
2. Homogenitas atau tidak ada Heteroskedastisitas, menguji apakah varian tiap
kelompok sama dengan uji Bartlet atau uji Levene.
3. Saling bebas, apakah data tiap kelompok tidak saling berhubungan.
4. Aditif yaitu saling menjumlahkan berarti data adalah rasio / interval.
Jika keempat asumsi di atas sudah terpenuhi, maka kita bisa gunakan analsis ragam ini.
214
Rumus Hitung Jumlah Kuadrat
215
Jumlah Kuadrat Total =
Jumlah Kuadrat untuk nilai tengah
Kolom =
Jumlah Kuadrat Galat =
Tabel Anova dan Daerah Penolakan
Sumber
Variasi
Derajat
bebas
Jumlah kuadrat Kuadrat Rata-rata Statistik F
Perlakuan k – 1 JKP
KRP =
JKP/(k – 1 )
F = KRP/KRG
Galat k(n-1) JKG
KRG =
JKG/(k(n-1))
Total nk – 1 JKT
216
H0 ditolak jika F > F(; k – 1; k(n – 1))
217
Langkah berikutnya adalah menghitung derajat kebebasan untuk masing-masing JKK-JKT-JKG,
df (JKT) = n-1
df (JKK) = k-1
df (JKG) = n-k
dimana df(JKG) = df(JKT) - df(JKK)
Selanjutnya adalah menghitung variansi antar kelompok :
MSk = KTk = JKK / df(JKK) = JKK/(k-1)
MSg = KTg = JKG / df(JKK) = JKG/(n-k)
Dan selanjutnya adalah menghitung nilai F-hitung, yaitu :
F-hitung = KKk/KTg = MSk/MSg
Gunakan tabel distribusi F untuk menghitung F-tabel sebagai pembanding F-hitung, dengan derajat
kebebasan ke-1 : df1=k-1 dan derajat kebebasan k-2 : df2=n-k.
218
Untuk mengambil keputusan maka :
- Ho ditolak jika F-hitung > F-Tabel
- Ho diterima jika F-hitung ≤ F-Tabel
219
Berikut contoh kasus dalam penggunaan ANOVA satu jalur :
Jumlah sampel sama antar populasi.
Dari 5 tablet sakit kepala yang diberikan kepada 25 orang dicatat berapa
lama tablet-tablet tersebut dapat mengurangi rasa sakit. Ke-25 orang itu
dibagi secara acak ke dalam 5 kelompok dan masing-masing diberi satu
jenis tablet yang berbeda yaitu tablet A, B, C, D dan E.
Dalam pengujian ini ingin mengetahui apakah kelima tablet tersebut sama
lamanya dalam mengurangi rasa sakit.
220
221
Hipotesis uji :
Ho : Kelima tablet memiliki waktu yang sama dalam mengurangi rasa sakit.
Ha : Terdapat tablet yang tidak memiliki waktu sama dalam mengurangi rasa sakit.
Hipotesis statistik :
Ho : m1 = m2 = m3 = ... = mk
Ha : Sekurang-kurangnya dua nilai tengah tidak sama.
Statistik Uji :
Pilih nilai signifikansi alpha 5%, dan F-tabel dengan df(JKk) =k-1=5-1=4 dan df(JKg)
=n-k=25-5=20. Sehingga diperoleh F-tabel =2,87.
Atau gunakan MS-Excel dengan ketik =finv(alpha;(k-1);(n-k)) =
finv(0,05;4;20)=2,87.
222
223
JKT = 834 – 1322/25 = 834 – 696,960 = 137,040
JKK = (3882/5) – (1322/25) = 776,400 – 696,960 = 79,440
JKG = 137,040 – 79,440 = 57,600
dengan df(JKt) = df(JKk) + df(JKg) = 4 + 20 = 24
MSk = KTk = JKK / df(JKK) = 79,440 / 4 = 19,860
MSg = KTg = JKG / df(JKK) = 57,600 / 20 = 2,880
F-hitung = KKk/KTg = MSk/MSg = 19,860 / 2,880 = 6,896
Keputusan :
F-hitung = 6,896 > F-tabel = 2,87, sehingga Ho ditolak dan Ha diterima.
224
Kesimpulan :
Lama waktu kelima tablet tersebut tidak sama dalam mengurangi rasa sakit.
225
Jumlah Sampel Berbeda antar Populasi
Tiga kelas kuliah matematika dasar diberikan oleh tiga dosen. Nilai akhirnya tercatat
sebagai berikut :
226
Hipotesis uji :
Ho : Tidak terdapat selisih antara nilai rata-rata yang akan diberika ketiga dosen.
Ha : Terdapat selisih antara nilai rata-rata yang akan diberika ketiga dosen.
Hipotesis statistik :
Ho : m1 = m2 = m3 = ... = mk
Ha : Sekurang-kurangnya dua nilai tengah tidak sama.
Statistik Uji :
Pilih nilai signifikansi alpha 5%, dan F-tabel dengan df(JKk) =k-1=3-1=2 dan df(JKg) =n-k=40-3=37. Sehingga
diperoleh F-tabel =3,25.
Atau gunakan MS-Excel dengan ketik =finv(alpha;(k-1);(n-k)) = finv(0,05;2;37)=3,25.
227
228
JKT = 199462 – (27262/40) = 199462 – 185776,90 = 13685,10
JKK = ((8172/12)+(10712/15)+(8382/13)) – (27262/40) = 9667489/12 + 1147041/15 + 702244/13 –
185776,90 = 55624,08+76469,40+54018,77-185776,90 = 186112,25 – 185776,90 = 335,35
JKG = 13685,10-335,35 = 13349,75
dengan df(JKt) = df(JKk) + df(JKg) = 2 + 37 = 39
MSk = KTk = JKK / df(JKK) = 335,35/2 = 167,68
MSg = KTg = JKG / df(JKG) = 13349,75/35 = 381,42
F-hitung = KKk/KTg = MSk/MSg = 167,68 / 381,42 = 0,44
229
Keputusan :
F-hitung = 0,44 < F-tabel = 3,25, sehingga Ho diterima dan Ha ditolak.
Kesimpulan :
Tidak terdapat perbedaan yang nyata di antara nilai rata-rata yang diberikan oleh
ketiga dosen tersebut.

Bahan ajar statistik bisnis

  • 1.
  • 2.
    Buku Referensi 1. Kuncoro,Mudrajat. 2003. Metode riset untuk Bisnis dan Ekonomi. Erlangga:Jakarta 2. Spigel. Murray. 2007. Statiatik Edisi Ketiga. Erlangga: Jakarta 3. Supranto. 2009. Statistik Teori dan Aplikasi. Erlangga: Jakarta 4. Spss Versi 20 5. Wonacott. Introduction Statistik For Bussiness and Economic
  • 3.
    Silabus StakBis 1. PengantarStatistik Bisnis 2. Teori Probabilitas 3. Distribusi Probabilitas 4. Teori Sampling Dasar/ Kecil dan Estimasi 5. Teori dan Pengujian Hipotesis 6. Analisis Data 7. Regresi Berganda
  • 4.
    Silabus StakBis 9. UjiChi Kuadrat 10. Analisis Varians 11. Metode Non Parametrik 12. Analisa Deret Waktu 13. Teori Penggunaan SPSS 14. Praktek Stakbis
  • 5.
    Pertanyaan Mendasar 1. Apayang dimaksud dengan stakbis? 2. Kapan dan dimana kita bisa menggunakan stakbis 3. Bagaimana menggunakan Stakbis?
  • 6.
    DEfenisi Statistik berasal darikata status (bahasa yunani) yang berarti state. Statistika  Ilmu yang mengumpulkan, menata, menyajikan,menganalisis, dan menginterprestasikan data menjadi informasi untuk membantu pengambilan keputusan yang efektif. Statistik  Suatu kumpulan angka yang tersusun lebih dari satu angka.
  • 7.
    Pengertian Stakbis Adalah ilmupengambilan keputusan yang baik dalam menghadapai ketidakpastian dan digunakan dalam banyak disiplin ilmu. Example : 1. Analisis Keuangan 2. Audit 3. Produksi dan Operasi 4. Jasa Perbankan 5. Riset Pemasaran
  • 8.
    Contoh penggunaan statistik 1.Akuntansi  Perusahaan akuntan publik seringkali menggunakan prosedur pengambilan sampel (contoh) yang memenuhi kaidah – kaidah statistik ketika melakukan audit terhadp kliennya. 2. Keuangan (Finance) Penasehat keuangan menggunakan berbagai jenis informasi statistik, untuk membantu dalam memberikan rekomendasi investasi
  • 9.
    Lanjutan 3. Pemasaran (Marketing) Pengambilan sampel masyarakat sebagai calon konsumen untuk diminta pendapat tentang produk yang akan diluncurkan oleh suatu perusahaan seringkali menggunakan kaidah statistik. 4. Ekonomi Para ahli ekonomi menggunakan prosedur statistik dalam melakukan peramalan tentang kondisi perekonomian pada masa yang akan datang.
  • 10.
    Syarat data yangbaik 1. Obyektif 2. Representative 3. Standar Eror harus kecil 4. Up to date 5. Relevan
  • 11.
    Data dan Variabel 1.Data : sekumpulan fakta-fakta serta gambaran suatu fenomena yang dikumpulkan, dirangkum, dianalisis dan di interprestasikan 2. Variabel : Karakteristik data yang menjadi perhatian : a. Variabel distrik (terbatas) b. Variabel Kontinue (tidak terbatas)
  • 12.
    Jenis-Jenis Data 1. MenurutSkala Pengukuran a. Nominal : membedakan antar kelompok b. Ordinal : menunjukan peringkat c. Interval : dinyatakan dalam ukuran yang tetap d. Rasio : skala rasio memilki angka nol dan perbandingan antara dua nilai yang mempunyai arti
  • 13.
    2. Menurut sifatxa: a.Data Kualitatif : - menggunakan label - skala pengukuran nominal dan ordinal - Data bisa numerik dan numerik b. Data Kuantitatif : - mengindikasikan berapa banyak - data selalu numeric - Skala pengukuran Interval dan ratio
  • 14.
    Skala Nominal • Skalapengukuran yang menyatakan kategori (penamaan; nomos=nama), kelompok atau klasifikasi dari konstruk yang diukur dalam bentuk variabel • Contoh: jenis kelamin merupakan variabel yang terdiri dari dua ketegori: Pria dan wanita. • Skala pengukuran jenis kelamin dapat dinyatakan dengan angka: 1 Pria, 2. Wanita
  • 15.
    • Skala nominalbersifat saling meniadakan (mutually exclusive): Contoh responden hanya memiliki kategori pria saja atau wanita saja. • Skala nominal bersifat collectively exhaustive yaitu tidak ada kategori yang lain kecuali dinyatakan dalam skala nominal. Contoh variabel yang memiliki mutually exclisive dan colectively exhaustive adalah status perkawinan dan agama yang dianut responden.
  • 16.
    Contoh Skala Nominal 1Jenis Kelamin Pria Wanita 2 Status Perkawinan Menikah Tidak Menikah 3 Agama Islam Katolik Kristen Budha Hindu 4 Departemen Pemasaran Produksi Akuntansi
  • 17.
    Skala Ordinal • Skalayang selain mengandung unsur kategori/penamaan juga menunjukkan peringkat/urutan (order=urut) • Skala ini tidak menunjukan jarak dan interval
  • 18.
    Contoh: 1. Sebutkan peringkatwilayah pemasaran di wilayah sumbar yang potensi untuk mengembangkan usaha: ….. Kota Padang …...Kota Bukittinggi …...Kab. Damasraya …... Kab. Pasaman
  • 19.
    Skala Interval • Skalayang menyatakan kategori, peringkat dan jarak konstruk yang diukur. • Skala ini dinyatakan dengan angka 1 sampai dengan 5, atau 1 sampai dengan 7. • Skala ini menggunakan konsep jarak yang sama (equality interval)karena skala ini tidak menggunakan angka nol sebagai titik awal perhitungan.
  • 20.
    • Penunjuk waktuadalah contoh skala interval. Jumlah hari antara 1 sampai dengan 4 adalah sama dengan jumlah hari antara tanggal 21 sampai dengan 24
  • 21.
    Skala interval • Contoh: kepuasan seseorang terhadap pelayanan suatu jasa dapat diberi skala interval 1-2-3-4-5. Dimana nilai – 1: sangat tidak puas – 2: tidak puas – 3: biasa – 4: puas – 5: sangat puas
  • 22.
    Skala Rasio • Skalayang menunjukan kategori,peringkat, jarak dan perbandingan construct yang diukur. Skala rasio menggunakan nilai absolut
  • 23.
    Contoh Skala Rasio •Berapa total penjualan bersih bapak/ibu dalam setahun? … Antara Rp 500 juta s/d 1 Milyar ….Lebih dari Rp 1 Milyar s/d 100 milyar ….Lebih dari Rp 100 milyar s/d Rp 500 milyar. …Lebih dari Rp 500 Milyar Contoh lain: berat badan, jumlah pendapatan.
  • 24.
    Ringkasan Tentang Skala SkalaTipe Pengukuran Kategori Peringkat Jarak Perbandingan Nominal Ya Tidak Tidak Tidak Ordinal Ya Ya Tidak Tidak Interval Ya Ya Ya Tidak Rasio Ya Ya Ya Ya
  • 25.
    3. Menurut Sumbernya: a.Data Internal b. Data Eksternal 4. Menurut Waktu pengumpulanya: a. Cross Sectional data : dikumpulkan pada waktu tertentu yang sama atau hampir sama ex: Jumlah Mahasiswa Upi Tahun 2015/2016 b. Data yang dikumpulkan selama kurun waktu tertentu ex: pergerakan nilai tukar rupiah dalam 1 tahun
  • 26.
    5. Data menurutCara memperolehnya: a. Data primer : dikumpulkan dan diolah sendiri b. Data Sekunder : data yang diperoleh dalam bentuk yang sudah jadi.
  • 27.
    Perbandingan Data Primer& Sekunder ASPEK DATA PRIMER DATA SEKUNDER Tujuan pengumpulan data Untuk keperluan masalah riset yg diteliti Untuk masalah riset yang lain Proses pengumpulan data Meliputi hampir semua tahap proses riset oemasaran, mulai dari perumusan masalah hingga penyusunan laporan riset Cepat dan mudah Biaya pengumpulan data Mahal Relatif murah Waktu pengumpulan data Lama Singkat
  • 28.
    TEORI PROBABILITAS Probabilitas  Lind(2002) mendefinisikan probabilitas adalah suatu ukuran tentang kemungkinan suatu peristiwa (event) akan terjadi dimasa mendatang. Probabilitas dinyatakan antara 0 sampai 1 dalam persentase.
  • 29.
    Pengertian umum Definisi : Kemungkinanterjadinya suatu peristiwa diantara seluruh peristiwa yang mungkin terjadi. Probabilitas kemunculan suatu peristiwa atau kejadian biasa disingkat dengan huruf p dan dinyatakan dalam persen atau proporsi.  Ilustrasi : – Andai pelemparan satu uang logam dilakukan maka p munculnya sisi muka gambar dan angka adalah sama yakni 1/2 atau 0,5 atau 50%. – Jika dadu yang dilempar maka prob. muncul dadu dengan sisi titik 2 (misalnya) maka p adalah 1/6 atau 1:6 atau 0,1667 atau 16,67%
  • 30.
    Kesimpulan • Probabilitas adalahfrekuensi suatu kejadian. • Jika p. = 0,05 artinya suatu kejadian kemungkinan muncul 5 kali diantara 100 kejadian; 10 kali diantara 200 kejadian; 50 kali diantara 1000 kejadian dsb. • Jika uang logam dilempar sebanyak 100 kali maka p sisi dengan gambar adalah : 50% x 100 kali = 50 kali. • Jadi Prob. adalah perbandingan frekuensi kejadian dengan kejadian seluruhnya.
  • 31.
    Ada tiga halpenting dalam rangka membicarakan probabilitas yaitu percobaan, hasil dan peristiwa. Percobaan Pengamatan terhadap beberapa aktivitas atau proses yang memungkinkan timbulnya paling sedikit 2 peristiwa tanpa memperhatikan peristiwa mana yang akan terjadi Hasil Suatu hasil dari sebuah percobaan Peristiwa  Kumpulan dari satu atau lebih hasil yang terjadi pada sebuah percobaan atau kegiatan.
  • 32.
    CONTOH PERCOBAAN HASIL Kegiatan melemparuang 1. Muncul gambar 2. Muncul angka Perubahan Harga 1. Inflasi (Harga naik) 2. Deflasi (Harga turun) Mahasiswa belajar 1. Lulus memuaskan 2. Lulus sangat memuaskan 3. Lulus terpuji
  • 33.
    Contoh PERCOBAAN/KEGIAT AN Pertandingan sepak bolaPersita VS PSIS di stadioTanggerang, 24 Juli 2007 HASIL Persita menang Persita kalah Seri,persita tidak kalah dan menang PERISTIWA Persita menang
  • 34.
    PENDEKATAN PROBABILITAS Untuk menentukantingkat probabilitas ada tiga pendekatan yaitu pendekatan klasik, pendekatan relatif, dan pendekatan subjektif.
  • 35.
    1. Pendekatan klasik Pendekatanklasik mengansumsikan bahwa peristiwa mempunyai kesempatan untuk terjadi yang sama besar. probabilitas suatu peristiwa kemudian dinyatakan sebagai rasio antara jumlah kemungkinan hasil dengan total kemungkinan hasil (rasio peristiwa terhadap). Probabilitas suatu peristiwa = jumlah kemungkinan hasil jumlah total kemungkinan hasil
  • 36.
    PERCOBAAN HASIL HasilProbabilitas Kegiatan melempar uang 1. Muncul gambar 2. Muncul angka 2 1/2 Perubahan Harga 1. Inflasi (Harga naik) 2. Deflasi (Harga turun) 2 1/2 Mahasiswa belajar 1. Lulus memuaskan 2. Lulus sangat memuaskan 3. Lulus terpuji 3 1/3
  • 37.
    2. Pendekatan Relatif Berbedadengan pedekatan klasik, besar probabilitas suatu peristiwa tidak dianggap sama, tetapi tergantung pada berapa banyak suatu peristiwa terjadi dari keseluruhan percobaan atau kegiatan yang dilakukan. Probabilitas suatu kejadian dinyatakan sebagai berikut: Probabilitas kejadian relatif = jumlah peristiwa yang terjadi jumlah total percobaan/kegiatan
  • 38.
    Contoh: Pada kegiatan jualbeli saham di BEJ terdapat 3.000.000 transaksi yang terdiri atas 2.455.000 transaksi jual dan 545.000 transaksi beli. Peristiwa ini didorong aksi profit taking. Maka probabilitas jual adalah = (2.455. 000 / 3.000.000)= 0,82 dan probabilitas beli (545.000 / 3.000.0000 = 0,18 jadi pendekatan relatif mendasarkan besarnya probabilitas pada banyaknya suatu peristiwa terjadi dari keseluruhan percobaan, kegiatan atau pengamatan yang dilakukan.
  • 39.
    3. Pendekatan subjektif yangdimaksud pendekatan subjektif adalah menentukan besarnya probabilitas suatu peristiwa didasarkan pada penilaian pribadi dan dinyatakan dalam derajat kepercayaan. Penilaian subjektif diberikan karena terlalu sedikit atau tidak ada informasi yang diperoleh atau berdasarkan keyakinan.
  • 40.
    Contoh pendekatan subjektif: a. Menurut pengamat politik, fauzi bowo akan terpilih sebagai gubernur DKI jakarta pada pilkada agustus 2007. b. Menurut menteri keuangan indonesia Sri Mulyani pada tahun 2007, indonesia akan menghadapi gejala krisis, walaupun fondasi ekonomi kuat, c. Anda akan mendapatkan nilai minimal B untuk mata kuliah statistik ekonomi. Semua contoh tersebut hanya didasarkan pada penilaian pribadi dan mungkin tidak hanya menggunakan informasi sebagai dasar pertimbangan. oleh sebab itu, pendekatan demikian dinamakan pendekatan subjektif.
  • 41.
    Konsep dasar danhukum probabilitas Probabilitas kejadian dilambangkan dengan P, apabila jual saham dinyatakan dengan huruf A, maka probabilitas jual saham dinyatakan dengan P (A). Sebaliknya kejadian beli saham adalah B, maka probabilitas beli saham adalah P (B). Dalam mempelajari hukum dasar probabilitas berturut – turut akan dibahas hukum penjumlahan dan hukum perkalian.
  • 42.
    1. Hukum Penjumlahan hukumpenjumlahan menghendaki peristiwa yang saling lepas yaitu apabila suatu peristiwa terjadi, maka peristiwa lain tidak dapat terjadi pada saat bersamaa. Hukum tersebut dinyatakan sebagai berikut: P (A atau B) = P (A) + P (B)
  • 43.
    Contoh Berikut adalah kegiatanperdagangan saham di BEJ untuk tiga perusahaan perbankan dengan jumlah total sebanyak 200 transaksi. Dari tabel diatas diketahui bahwa : Probabilitas jual = P (A) = 120 / 200 = 0,60 Probabilitas beli = P (B) = 80 / 200 = 0,40 Sehingga probabilitas A atau B P (A atau B) = P (A) + P (B) = 0,6 + 0,4 = 1,0 Jenis Transaksi Volume transaksi Jual Saham 120 Beli Saham 80 Jumlah Total transaksi 200
  • 44.
    Apabila dilihat darisaham yang diperjualbelikan terdapat tiga bank yaitu: Probabilitas BCA = P (D) = 70/200 = 0,35 Probabilitas Mandiri = P (E) = 80 / 200 =0,40 Probabilitas BNI = P (F) = 50 / 200 = 0,25 Berapa probabilitas kejadian BCA P (D) atau Mandiri P (E), atau BNI P (F) P(D atau E atau F)= P (D) + P (E) + P (F) = 0,35+0,40+0,25=1,0 Bank VOLUME TRANSAKSI BCA 70 MANDIRI 80 BNI 50 JUMLAH TOTAL TRANSAKSI 200
  • 45.
    2. Peristiwa /Kejadian Bersamaan Kegiatan sebenarnya terdiri atas dua jenis, yaitu: a. Kegiatan jual saham b. Sahamnya adalah saham BCA oleh sebab itu, ada kejadian bersama seperti kejadian jual saham P (A) dan sahamnya BCA P (D) atau kejadian beli (B) dan sahamnya BCA P (D) . Probabilitas kejadian bersama dilambangkan P (AD) untuk kejadian jual saham BCA dan P (BD) untuk kejadian beli saham BCA.
  • 46.
    contoh Cobalah hitung berapaprobabilitas jual saham(AD) dan probabilitas beli saham BCA P(BD). Kegiatan jual saham dan sahamnya BCA ada 30 transaksi. Kegiatan beli saham dan sahamnya BCA ada 40. sehingga probabilitas P (AD) dan P (BD) adalah: P (BD) = 40 / 200 = 0,20 P (AD) = 30 / 200 = 0,15 Kegiatan Perusahaan Jumlah BCA (D) Mandiri (E) BNI (F) Jual (A) 30 50 40 120 Beli (B) 40 30 10 80 jumlah 70 80 50 200
  • 47.
    3. Kejadian SalingLepas Kejadian saling lepas terjadi apabila hanya satu dari dua ataulebih peristiwa yang dapat terjadi. Rumus sebagai berikut: P (A atau B) = P(A) + P(B)
  • 48.
    Contoh: Cobalah hitung berapaprobabilitas kejadian jual saham dan beli saham (P(AB)) dan probabilitas kejadian untuk saham BCA, Mandiri, dan BNI (P(DEF)) Penyelesaian: Probabilitas kejadian A(P(AB))= 0; karena kejadian A dan B saling lepas. Oleh sebab itu, hukum penjumlahan untuk peristiwa saling lepas adalah: Kegiatan Perusahaan jumlah BCA (D) Mandiri (E) BNI (F) Jual (A) 30 50 40 120 Beli (B) 40 30 10 80 Jumlah 70 80 50 200
  • 49.
    P(A atau B)= P(A) + P (B) – P(AB) = 0,6 + 0,4 – 0 = 1 P(D atau E atau F) = P(D) + P(E) + P(F) - P(DEF) = 0,35 + 0,40 + 0,25 – 0 = 1 P (D atau E) = P(D) + P(E) – P(DE) = 0,35 + 0,40 – 0 = 0,75
  • 50.
    4. Hukum Perkalian Hukumperkalian menghendaki setiap peristiwa adalah independen yaitu peristiwa terjadi tanpa harus menghalangi peristiwa lain terjadi. Hukum perkalian untuk probabilitas kejadian A dan B yang saling independen dinyatakan sebagai berikut: P(A dan B) = P(A) x P (B) Contoh; Apabila anda melempar uang logam dua kali ke udara, berapakah probabilitas kedua lemparan tersebut menghasilkan gambar?
  • 51.
    Penyelesaian: Probabilitas gambar =½ dan probabilitas angka ½. Pada lemparan pertama probabilitas gambar P(A) = ½ . Pada lemparan kedua probabilitas gambar P(B) juga ½ . Oleh sebab itu, probabilitas P(A) dan P(B) adalah: P(A dan B)= P(A) x P(B) = ½ x ½ = ¼ Kemungkinan seluruh hasil dapat disajikan berikut:Peristiwa probabilitas Lemparan ke - 1 Leparan ke-2 1 Gambar Gambar 2 Gambar Angka 3 Angka Gambar 4 Angka Angka
  • 52.
    Apabila dua uangdilemparkan maka ada 4 kemungkinan tersebut. Oleh sebab itu, munculan gambar - gambar mempunyai probabilitas ¼ karena dari 4 hasil akan terjadi 1 kejadian.
  • 53.
    5. Probabilitas bersyarat probabilitasbersyarat adalah probabilitas suatu peristiwa akan terjadi dengan ketentuan peristiwa lain telah terjadi. hukum perkalian untuk probabilitas bersyarat bahwa peristiwa B terjadi dengan syarat peristiwa A telah dinyatakan sebagai berikut: P(A dan B) = P(A) x (B|A)
  • 54.
    Contoh: Berapa probabilitas terjualnyasaham BCA (P(D|A) dan probabilitas saham BCA terjual (P(A|D)? Penyelesaian: Kegiatan Perusahaan Jumlah BCA (D) Mandiri (E) BNI (F) Jual (A) 30 50 40 120 Beli (B) 40 30 10 80 jumlah 70 80 50 200
  • 55.
    Jumlah transaksi jualadalah 120 dan saham BCA yang dijual ada 30, maka P(D|A) = 30/120 = 0,25 Jumlah transaksi saham BCA ada 70 dan saham BCA yang terjual ada 30, maka P(A|D) = 30/70 = 0,43. Dari nilai diatas terlihat bahwa probabilitas P(D|A) dan P(A|D) bisa berbeda , namun juga bisa saja sama.
  • 56.
    PRINSIP – PRINSIPMENGHITUNG DALAM PROBABILITAS 1. Faktorial faktorial digunakan untuk mengetahui berapa banyak cara yang mungkin dalam mengatur sesuatu dalam suatu kelompok. Contoh: Ada berapa cara menyusun urutan dari 5 perusahaan yang memberikan MARKET terbesar? Penyelsesaian: Menyusun urutan 5 perusahaan = 5! =5 x 4 x 3 x 2 x 1 = 120 cara
  • 57.
    2. Permutasi Permutasi digunakanuntuk mengetahui sejumlah kemungkinan susunan jika terdapat satu kelompok objek. Permutasi dirumuskan sebagai berikut: nPr = n! (n – r)! Dimana : P : Jumlah permutasi atau cara objek disusun n : jumlah total objek yang disusun r : jumlah objek yang digunakan pada saat bersamaan, jumlah r dapat sama dengan n atau lebih kecil ! : tanda dari faktorial
  • 58.
    contoh: Ada beberapa susunanyang mungkin dari 3 bank yang ada, apabila tiap susun terdiri atas 2 bank ? Penyelesaian: 3P2 = 3!/(3-2)! = 3! / 1! = (3 x 2 x 1) / 1 = 6 Susunan tersebut adalah : BCA,Mandiri BCA,BNI Mandiri,BCA Mandiri,BNI BNI,BCA BNI, Mandiri
  • 59.
    Contoh: Dari seluruh emitenyang terdapat diBEJ, diasumsikan terdapat 20 perusahaan yang berkinerja baik pada tahun 2010. jika kita ingin menyusun perusahaan – perusahaan tersebut dimana tiap kelompok terdiri atas 5 perusahaan, ada beberapa cara susunan yang bisa terbentuk? Penyelesaian: 20P5 = 20! / (20-5)! = 20! / 15! = 20 x 19 x 18 x 17 x 16 x 15! 15! = 1.860.480
  • 60.
    3. Kombinasi kombinasi digunakanapabila kita tertarik pada beberapa cara sesuatu diambil dari keseluruhan objek tanpa memerhatikan urutannya. jumlah kombinasi dirumuskan sebagai berikut: nCr = n! r! (n-r)!
  • 61.
    Contoh: Ada 5 bankyang mengajukan kredit portofolio ke bank indonesia. Sementara itu bank indonesia hanya akan memilih 2 bank saja. Ada berapa kombinasi bank yang dapat dipilih oleh bank indonesia? penyelesaian: 5C2 = 5! = 5! = 5.4.3! = 5.2 = 10 2!(5-2) 2! 3! 2.1.3!
  • 62.
    DISTRIBUSI PROBABILITAS • DistribusiPeluang Diskrit  Distribusi Binomial  Distribusi Hipergeometrik  Distribusi Geometri  Distribusi Poisson • Distribusi Peluang Kontinu  Distribusi Normal
  • 63.
    Ciri-ciri Distribusi Binomial •Tiap percobaan memiliki dua hasil saja yakni: Sukses atau Gagal. • Probabilitas sukses pada tiap-tiap percobaan haruslah sama dan dinyatakan dengan p. • Setiap percobaan harus bersifat independent (bebas) • Jumlah percobaan yang merupakan komponen eksperimen binomial harus tertentu.
  • 64.
    RUMUS P(x,n) = P)-(1P X nx-nx             ....1 !! ! xNx pp xNx N xXP     x = 0, 1, 2, ...., N 0 < p < 1
  • 65.
    Keterangan Rumus • n= Banyaknya peristiwa • p = Besarnya peluang terjadinya sukses • ! = faktorial • n! = n(n-1)(n-2)...(3)(2)(1) • 0! = 1 • 1! = 1 Misal : 3! = 3x2x1 = 6
  • 66.
    Contoh 1 Dari 8pria dan 7 wanita dipilih 4 pengurus yang terdiri dari 2 pria dan 2 wanita. Banyak cara pemilihan pengurus adalah... • A. 582 • B. 588 • C. 625 • D. 720 • E. 784 2 Dari 8 pria dan 7 wanita dipilih 4 pengurus yang terdiri dari 2 pria saja atau 2 wanita Saja. Banyak cara pemilihan pengurus adalah... • A. 49 • B. 56 • C. 63 • D. 70 • E. 77
  • 67.
    P= 8 ;2 w= 7 ;2 2852/2 !6.2 !6.7.8 )(6!2! 8! 2 8       2142/2 !5.2 !5.6.7 )(5!2! 7! 2 7      
  • 68.
    Contoh 1. Pada pelemparandadu 6 kali pelemparan, tentukan peluang ada 4 kali mata dadu yang terbaca. 2. Pada mesin foto copy selalu diperoleh 50 lembar yang cacat pada setiap memfotocopy sebanyak 500 lembar, jika kita memfotocopy sebanyak 3 lembar, berapakah peluang kita memperoleh 2 lembar yg cacat. 6 5 6 1   q p . 6 5 . 6 1 )( 24             Ap 4 6  656.46 150 . !2.3.4 !4.5.6 . 6 5.1 6 
  • 69.
  • 70.
    Contoh: Sebuah pengiriman 8mikrokomputer yang serupa ke suatu jaringan eceran berisi 3 yang cacat. Bila suatu sekolah melakukan suatu pembelian acak 2 dari mikrokomputer ini, Carilah distribusi probabilitas untuk jumlah yang cacat. Carilah distribusi kumulatif untuk jumlah yang cacat.
  • 71.
    Jawab (1):  AmbilX sebagai variabel random yang didefinisikan sebagai banyaknya mikrokomputer yang cacat yang mungkin akan dibeli oleh sekolah tersebut. Maka dapat dituliskan :  X = banyaknya mikrokomputer cacat yang mungkin akan dibeli oleh sekolah = 0, 1, 2  Sehingga dapat dihitung : 71 28 10 2 8 2 5 0 3 )0()0(                     XPf 28 15 2 8 1 5 1 3 )1()1(                     XPf 28 3 2 8 0 5 2 3 )2()2(                     XPf  Jadi, distribusi probabilitas dari X adalah x 0 1 2 f(x) 10/28 15/28 3/28 Rumus distribusi probabilitas adalah 2,1,0, 2 8 2 5 . 3 )()(                     xuntuk xx xfxXP
  • 72.
    Jawab (2):  Distribusikumulatif F(x) adalah : F(0) = f(0) = 10/28 F(1) = f(0) + f(1) = 10/28 + 15/28 = 25/28 F(2) = f(0) + f(1) + f(2) = 10/28 + 15/28 + 3/28 = 1 Sehingga : 1 , untuk x < 0 F(x) = 10/28 , untuk 0  x < 1 25/28 , untuk 1  x < 2 1 , untuk x  2 72
  • 73.
    Contoh Dua buah matauang dilempar satu kali Hitunglah: a. Probabilitas tidak diperolehnya permukaan B b. Probabilitas memperoleh satu permukaan B c. Probabilitas memperoleh duapermukaan B
  • 74.
    Dik : n= 2; X = 0, 1, 2 a. Probabilitas tidak mendapat permukaan B • P(0;2) = = 0,25 b. Probabilitas satu permukaan B • P(1;2) = = 0,50 0,25x1x )(2!0! 2 0,5x0,5x 0 2 20       0,50x0,50x )(1!1! 2 0,5x0,5x 1 2 11      
  • 75.
    c. Probabilitas mendapat2 permukaan B • P(2;2) = = 0,25 1x0,25x1x )(0!2! 2 0,5x0,5x 2 2 02      
  • 76.
    Contoh Kalau 3 buahmata uang dilemparkan satu kali. Hitunglah Probabilitas memperoleh: a. Tidak ada permukaan B b. 1 permukaan B c. 2 permukaan B d. 3 permukaan B e. Paling sedikit 1 permukaan B f. Paling banyak 2 permukaan B
  • 77.
    • Dik: n= 3; X = 0, 1, 2, 3 a. P(0;3) = = 0,125 b. P(1;3) = 0,25x1x )(3!0! 3! 0,5x0,5x 0 3 02       0,25x1x )(3!0! 3! 0,5x0,5x 0 3 02       0,25x1x )(3!0! 3! 0,5x0,5x 0 3 02       0,25x1x )(3!0! 3! 0,5x0,5x 0 3 02       0,25x1x )(3!0! 3! 0,5x0,5x 0 3 02       0,25x1x )(3!0! 3! 0,5x0,5x 0 3 02       0,25x1x )(3!0! 3! 0,5x0,5x 0 3 02       0,125x1x )(3!0! 3! 0,5x0,5x 0 3 30       0,25x0,5x )(2!1! 3! 0,5x0,5x 1 3 21       = 0,375
  • 78.
    c. P(2;3) = =0,375 d. P(3;3) = = 0,125 0,25x1x )(3!0! 3! 0,5x0,5x 0 3 02       0,25x1x )(3!0! 3! 0,5x0,5x 0 3 02       0,25x1x )(3!0! 3! 0,5x0,5x 0 3 02       0,25x1x )(3!0! 3! 0,5x0,5x 0 3 02       0,25x1x )(3!0! 3! 0,5x0,5x 0 3 02       0,25x1x )(3!0! 3! 0,5x0,5x 0 3 02       0,25x1x )(3!0! 3! 0,5x0,5x 0 3 02       0,25x1x )(3!0! 3! 0,5x0,5x 0 3 02       0,25x1x )(3!0! 3! 0,5x0,5x 0 3 02       0,25x0,5x )(2!1! 3! 0,5x0,5x 1 3 21       0,25x0,5x )(2!1! 3! 0,5x0,5x 1 3 21       0,25x0,5x )(1!2! 3! 0,5x0,5x 2 3 12       x10,125x )(0!3! 3! 0,5x0,5x 3 3 03      
  • 79.
    e.P(x≥1) = P(x=1)+ P(x=2) + P(x=3) = 1 - P(x=0) = 1 - 0,125 = 0, 875 f. P(x ≤ 2) = P(x=0) + P(x=1) + P(x=2) = 0,125 + 0,375 + 0,375 = 0,875 0,25x1x )(3!0! 3! 0,5x0,5x 0 3 02       0,25x1x )(3!0! 3! 0,5x0,5x 0 3 02       0,25x1x )(3!0! 3! 0,5x0,5x 0 3 02       0,25x1x )(3!0! 3! 0,5x0,5x 0 3 02       0,25x1x )(3!0! 3! 0,5x0,5x 0 3 02       0,25x1x )(3!0! 3! 0,5x0,5x 0 3 02       0,25x1x )(3!0! 3! 0,5x0,5x 0 3 02       0,25x1x )(3!0! 3! 0,5x0,5x 0 3 02       0,25x1x )(3!0! 3! 0,5x0,5x 0 3 02       0,25x0,5x )(2!1! 3! 0,5x0,5x 1 3 21       0,25x0,5x )(2!1! 3! 0,5x0,5x 1 3 21      
  • 80.
    Pengertian • Distribusi peristiwayang jarang terjadi (distribution of rare events) adalah distribusi kemungkinan teoritis dengan variasi random discrete. Distribusi ini dianggap sebagai pendekatan pada distribusi binomial apabila n (banyaknya percobaan) adalah besar, sedangkan P (Probabilitas sukses) sangat kecil.
  • 81.
    RUMUS P(X) = !x e.μ -ux = n . p X = variabel random discrete 0,1,2,3 …….. X! = X . (X – 1) . (X – 2) ….. 2 . 1 e = bilangan irrational yang besarnya 2,71828 0! = 1
  • 82.
    Contoh Misalkan sebuah mobildiiklankan di surat kabar untuk dijual. Surat kabar yang memuat iklan tersebut kita misalkan mempunyai 100.000 pembaca. Jika kemungkinan seorang akan membalas iklan tersebut 0,00002. Ditanyakan : a. Berapa orangkah diharapkan akan membalas iklan tersebut? b. Berapa kemungkinannya bahwa yang membalas iklan tersebut hanya seorang? c. Berapa kemungkinannya tidak ada yang membalas?
  • 83.
    Dik: n =100.000, p = 0,00002 a. μ = n . p = 100.000 . 0,00002 = 2 Rata-rata ada 2 orang yang membalas iklan tersebut. jawaban
  • 84.
    1! e2 -21 = 1 (0,13534)2 c. P(x=0)= =0,27068 0! e2 -20 = =0,13534 b. P(x=1)= 1 (0,13534)1
  • 85.
    Contoh2 Apabila probabilitas bahwaseorang akan mati terkena penyakit TBC adalah 0,001. Dari 2.000 orang penderita penyakit tersebut berapa probabilitas : Tiga orang akan mati Yang mati tidak lebih dari satu orang Lebih dari dua orang mati
  • 86.
    Dik: n =2.000, p = 0,001  = 2.000 x 0,001 = 2 a. P(x=3)= = = 0,18045 b. P(x≤1) = P(0) + P(1) = 3! e)2( -23 P(x=0) = 0! e)2( -20 = 0,13534 P(x=1) = 1! e)2( -21 = 0,4060 = 0,27068 1.2.3 (0,13534).8
  • 87.
    • c. P(X> 2) = 1 -  P(2)P(1)P(0)  P(x=2) = 2! e)2( -22 0,27068= Jadi P(X > 2)= 1 – (0,13534 + 0,27068 + 0,27068) = 1 – 0,67670 = 0,3233
  • 88.
    Mean dan StandardDeviasi Poisson •  = n . P • = p.n
  • 89.
    ISTILAH PENTING DALAMPENELITIAN –POPULASI –ELEMEN –SAMPEL –SUBYEK
  • 90.
    SAMPLING • Proses menyeleksisejumlah elemen dari populasi sehingga dengan mempelajari sampel dan memahami sifat-sifat subyek dalam sampel, maka kita mampu menggenalisir sifat-sifat tersebut ke dalam elemen-elemen populasi
  • 91.
    ALUR PEMIKIRAN POPULASIDAN SAMPEL Populasi Sampel Hasil Temuan
  • 92.
    ALASAN SAMPLING • Tidakmungkin untuk mengumpulkan seluruh data • Menghemat waktu, biaya dan sumber daya lainnya • Kadang lebih dipercaya sebab peneliti tidak lelah
  • 93.
    TIPE DESAIN SAMPLING •PROBABILITY SAMPLING • NONPROBABILITY SAMPLING
  • 94.
    Probability Sampling: • Setiapelemen dalam populasi mempunyai kesempatan yang sama untuk diseleksi sebagai subyek dalam sampel. Representatif ini penting untuk generalisasi
  • 95.
    Nonprobability Sampling: • Setiapelemen dalam populasi belum tentu mempunyai kesempatan sama untuk diseleksi sebagai subyek dalam sampel. Dalam hal ini waktu adalah yang utama
  • 96.
    4 Macam TeknikProbability Sampling • Random Sampling • Stratified Random Sampling • Cluster Sampling • Systematic Sampling
  • 97.
    Random Sampling • Setiapelemen dalam populasi mempunyai kesempatan sama untuk diseleksi sebagai subyek dalam sampel. Satu hal penting, peneliti harus mengetahui jumlah responden yang ada dalam populasi penelitian • Cara pengambilan sampel bisa melalui undian • Sampling ini memiliki bias terkecil dan generalisasi tinggi
  • 98.
    Stratified Random Sampling •Digunakan untuk mengurangi pengaruh faktor heterogen dan melakukan pembagian elemen-elemen populasi ke dalam strata. Selanjutnya dari masing- masing strata dipilih sampelnya secara random sesuai proporsinya. • Sampling ini banyak digunakan untuk mempelajari karakteristik yang berbeda, misalnya, di sekolah ada kls I, kls II, dan kls III. Atau responden dapat dibedakan menurut jenis kelamin; laki-laki dan perempuan, dll. • Keadaan populasi yang heterogen tidak akan terwakili, bila menggunakan teknik random. Karena hasilnya mungkin satu kelompok terlalu banyak yang terpilih menjadi sampel.
  • 99.
    Cluster Sampling • Elemen-elemendalam populasi dibagi ke dalam cluster atau kelompok, jika ada beberapa kelompok dengan heterogenitas dalam kelompoknya dan homogenitas antar kelompok. Teknik cluster sering digunakan oleh para peneliti di lapangan yang mungkin wilayahnya luas. • Sampling ini mudah dan murah, tapi tidak efisien dalam hal ketepatan serta tidak umum
  • 100.
    Sistematic Sampling • Setiapelemen populasi dipilih dengan suatu jarak interval (tiap ke n elemen) dan dimulai secara random dan selanjutnya dipilih sampelnya pada setiap jarak interval tertentu. Jarak interval misalnya ditentukan angka pembagi 5,6 atau 10. Atau dapat menggunakan dasar urutan abjad • Syarat yang perlu diperhatikan oleh peneliti adalah adanya daftar semua anggota populasi • Sampling ini bisa dilakukan dengan cepat dan menghemat biaya, tapi bisa menimbulkan bias
  • 101.
    Non Probability Sampling •Cara pengambilan sampel pada prinsipnya menggunakan pertimbangan tertentu yang digunakan oleh peneliti. Misalnya, jumlah responden terlalu kecil, jumlah populasi tidak diketahui secara pasti.
  • 102.
    4 Macam TeknikNon Probability Sampling • Accidental (Kebetulan) • Purposive sampling (Bertujuan) • Quota sampling (Jatah) • Getok Tular/Snowball Sampling
  • 103.
    PERLU DIPERHATIKAN !! •Bagi penelitian kuantitatif sebaiknya menggunakan teknik probabilitas untuk memilih anggota sampel. • Alasannya teknik probabilitas memiliki prinsip random yang sangat kuat untuk mendukung proses generalisasi hasil penelitian yang diperlukan
  • 104.
    HIPOTESIS • Hipotesis AdalahPernyataan Yang Masih Lemah Tingkat Kebenarannya Sehingga Masih Harus Diuji Menggunakan Teknik Tertentu • Hipotesis Dirumuskan Berdasarkan Teori, Dugaan, Pengalaman Pribadi/Orang Lain, Kesan Umum, Kesimpulan Yang Masih Sangat Sementara • Hipotesis Adalah Jawaban Teoritik Atau Deduktif Dan Bersifat Sementara • Hipotesis Adalah Pernyataan Keadaan Populasi Yang Akan Diuji Kebenarannya Menggunakan Data/Informasi Yang Dikumpulkan Melalui Sampel • Jika Pernyataan Dibuat Untuk Menjelaskan Nilai Parameter Populasi, Maka Disebut Hipotesis Statistik
  • 105.
    • Hipotesis adalahpernyataan spesifik yang bersifat prediksi dari hubungan antara dua atau lebih variabel • Mendeskripsikan secara kongkrit apa yang ingin dicapai/diharapkan terjadi dalam penelitian.
  • 106.
    • Merupakan: jawabansementara atas pertanyaan dalam rumusan masalah. • Disusun sesuai denga teori, bukti, dan fakta. • Harus dapat diuji (testable). • Meyangkut variabel yang diteliti.
  • 107.
    Apakah semua penelitianilmiah perlu membuat hipotesa ? • Ya, jika berkenaan dengan verifikasi suatu teori atau masalah • Tidak, jika penelitian masih bersifat eksploratif dan deskriptif
  • 108.
    • Memberikan batasanserta memperkecil jangkauan penelitian dan kerja penelitian • Mensiagakan peneliti kepada kondisi fakta dan kaitan antarfakta, yang kadangkala hilang begitu saja dari perhatian peneliti • Alat yang sederhana untuk memfokuskan fakta yang bercerai-berai kedalam suatu kesatuan penting dan menyeluruh • Sebagai panduan dalam pengujian serta penyesuaian dengan fakta dan antarfakta
  • 109.
    PERUMUSAN HIPOTESIS • RumusanHipotesis Sebenarnya Sudah Dapat Dibaca Dari Uraian Masalah, Tujuan Penelitian, Kajian Teoritik, Dan Kerangka Pikir Sehingga Rumusannya Harus Sejalan • Rumusan Hipotesis Sebagai Petunjuk Arah Dalam Rancangan Penelitian, Teknik Pengumpulan Dan Analisis Data Serta Penyimpulan
  • 110.
    PERUMUSAN HIPOTESIS • DINYATAKANSEBAGAI KALIMAT PERNYATAAN (DEKLARATIF) • MELIBATKAN MINIMAL DUA VARIABEL PENELITIAN • MENGANDUNG SUATU PREDIKSI • HARUS DAPAT DIUJI (TESTABLE)
  • 111.
    RUMUSAN HIPOTESIS • Rumusanhipotesis terdiri dari H0 dan HA –H0: hipotesis observasi –HA: hipotesis alternatif • Rumusan hipotesis pada H0 dan HA dibuat menggunakan simbol matematis sesuai dengan hipotesis • Beberapa kemungkinan rumusan hipotesis menggunakan tanda matematis sebagai berikut: 111 H0: HA: = ≠ ≤ > ≥ <
  • 112.
    MENENTUKAN NILAI KRITIS •Perhatikan tingkat signifikansi () yang digunakan. Biasanya 1%, 5%, dan 10%. • Untuk pengujian 2 sisi, gunakan /2, dan untuk pengujian 1 sisi, gunakan . • Banyaknya sampel (n) digunakan untuk menentukan degree of freedom (df). – Satu sampel: df. = n – 1 – Dua sampel: df. = n1 + n2 – 2 • Nilai Kritis ditentukan menggunakan tabel t atau tabel Z 112
  • 113.
  • 114.
    Jenis Hipotesis • HipotesisDeskriptif • Hipotesis Statistik: – Hipotesis Alternatif – Hipotesis Null (Null Hypotheses) – Hipotesis Berarah (One-Tailed Hypotheses) – Hipotesis Tidak Berarah (Two-Tailed Hypotheses)
  • 115.
    •Jawaban sementara yangdisusun dalam bentuk kalimat biasa. •Harus didukung oleh argumentasi yang kuat berdasarkan teori, konsep, hukum, dan lain-lain yang relevan. •Tidak berdasarkan trial and error. Contoh: Kerusakan In Fokus pada lokal dapat menurunkan semangat belajar mahasiswa dalam pembelajaran statistik bisnis.
  • 116.
    • Hipotesis yangdiformulasikan secara stattistik dan menggunakan simbol- simbol tertentu. • Simbol yang digunakan antara lain: H0 dan H1 (alternatif) Hipotesa Nul (Null Hypothesis) •Hipotesa yang mendeskripsikan keluaran selain dari hipotesa alternatif •Biasanya mendeskripsikan tidak ada hubungan/pengaruh antara variabel yang diuji • Dinyatakan dengan H0
  • 117.
    Hipotesa Alternatif (AlternativeHypothesis) Hipotesa yang mendukung prediksi Diterima jika hasil penelitian mendukung hipotesa Dinyatakan dengan H1
  • 118.
    Contoh H0 danH1: H0 : Kerusakan In Fokus pada lokal C1 tidak berpengaruh signifikan terhadap semangat belajar mahasiswa dalam belajar statistik bisnis. H1 : Kerusakan In Fokus pada lokal C1 berpengaruh signifikan terhadap semangat belajar mahasiswa dalam belajar statistik bisnis.
  • 119.
    Contoh H0 danH1: H0 : Kerusakan In Fokus pada lokal C1 akan meningkatkan semangat belajar mahasiswa dalam belajar statistik bisnis. H1 : Kerusakan In Fokus pada lokal C1 dapat menurunkan semangat belajar mahasiswa dalam belajar statistik bisnis. Atau:
  • 120.
    Hipotesis Berarah (One-TailedHypotheses): • Secara spesifik mendeskripsikan hipotesis yang berarah (direction) • Hipotesa Nul tidak ada perbedaan antar variabel dan diprediksikan kearah berlawanan Contoh: H0 : Kerusakan In Fokus pada lokal C1 tidak menurunkan semangat belajar mahasiswa dalam belajar statistik bisnis. H1 : Kerusakan In Fokus pada lokal C1 dapat menurunkan semangat belajar mahasiswa dalam belajar statistik bisnis.
  • 121.
    Hipotesis Tdk Berarah(Two-Tailed Hypotheses): • Prediksi yang tidak berarah • Hipotesa Nul adalah tidak ada perbedaan/pengaruh/hubungan antar variabel Contoh: H0 : tidak ada hubungan antara Kerusakan In Fokus pada lokal C1 dengan semangat belajar mahasiswa dalam belajar statistik bisnis. H1 : ada hubungan antara Kerusakan In Fokus pada lokal C1 dengan semangat belajar mahasiswa dalam belajar statistik bisnis.
  • 122.
    CONTOH : Komitmen Organisasi: 1.Afektif 2. Normatif Dependen Variabel Kepuasan Kerja Karakteristik 1. Usia 2. Pendidikan 3. Masa kerja 4. Pelatihan Insentif Variabel perancu 5. dll jenjang karir Independen variabel
  • 123.
    1. Hipotesis sederhana: X Y 2. Hipotesis kompleks X1 Y1 Y X X2 Y2 Y1 X1 X2 Y2
  • 124.
  • 125.
    Kepuasan atas Harga (X2) Kepuasanatas Promosi (X3) Kepuasan atas Fasilitas Fisik (X6) Kepuasan atas Tempat atau Lokasi (X4) Kepuasan atas Produk (X1) Kepuasan atas Orang atau Karyawan (X5) Kepuasan atas Proses (X7) Loyalitas Anggota (Y) 𝜀
  • 127.
  • 129.
    Buatlah Tugas Proposalyang berisi : BAB I PENDAHULUAN A. Latar Belakang Masalah B. Perumusan Masalah C. Tujuan penelitian D. Manfaat Penelitian BAB II KAJIAN TEORI A. Kajian Teori 1......... 2..... B. Penelitian Terdahulu C. Kerangka Konseptual D. Hipotesis BAB III METODE PENELITIAN A. Ruang Lingkup Penelitian B. Populasi Dan Sampel 1. Populasi 2. Sampel C. Jenis Dan Sumber Data 1. Jenis data 2. Sumber data 3. Teknik pengumpulan data D. Variabel Dan Definisi Operasional 1. Variabel penelitian 2. Definisi operasional 3. Instrumen penelitian E. Pengujian Instrumen 1. Validitas 2. Reliabilitas F. Teknik Analisa Data 1. Analisa deskriptif 2. Uji Asumsi Klasik 3. Uji Hipotesisdaiman286@gmail.com
  • 130.
    TOPIK 1.pengukuran 2.skala pengukuran 3.analisis univariat 4.analisisbivariat 5.analisis multivariat 6.Jadwal analisis data statistik
  • 131.
    PENGUKURAN  Pengukuran adalahpenunjukan angka2 pada suatu variabel.  Pengukuran memerlukan alatan pengukuran/ instrumen yang standard, baik alatan maupun kuesioner  Pengukuran adalah mendapatkan dimensi kuantitif suatu objek, misalnya berat badan
  • 132.
    Syarat pengukuran isomorfisme, Yaituukuran harus sedekat mungkin dengan benda/ kejadian yang diukur exhaustive, yaitu pengukuran harus meliputi seluruh kemungkinan yang ada mutually exlusive, yaitu pengukuran tidak boleh ada tindakan
  • 133.
    Skala pengukuranHasil suatupengukuran untuk analisis data dapat dibagi dalam 4 skala :  skala nominal  skala ordinal  skala interval  skala rasio
  • 134.
    Hubungan antara skalapengukuran ASUMSI URUTAN - + + + ASUMSI JARAK - - + + TITIK 0 ABSOLUT - - - + RASIOKRITERIA NOMINAL ORDINAL INTERVAL Skala yg lebih tinggi dapat diubah menjadi skala yg lebih rendah, dan tidak sebaliknya.
  • 135.
    Konsep • Uji statistikdilakukan untuk menentukan apakah perbedaan/hubungan yang terlihat pada sampel benar-benar ada atau kebetulan ada akibat pengambilan sampel saja • Hasil ujian statistik berupa: “probabiliti penyelidik memperolehi hasil seperti pada sampel atau lebih ekstrim jika hipotesis nol benar”
  • 136.
    Konsep • Probabiliti hasilpenyelidikan sejalan dengan hipotesis nol” • Jika p besar maka H0 diterima, jika p kecil H0 ditolak • Besar kecilnya probabiliti ditentukan oleh a, - probabiliti penyelidik untuk menolak H0 jika di populasi H0 benar
  • 137.
    Konsep • Jika penyelidikmenolak H0: – Dapat terjadi kesalahan jenis 1 (a), penyelidik salah mengambil kesimpulan karena sebenarnya di populasi hipotesis nol benar (tidak ada hubungan) • Jika penyelidik menerima H0: – Dapat terjadi kesalahan jenis 2 (b), penyelidik salah mengambil kesimpulan kerana di populasi hipotesis nol salah (ada hubungan) • Signifikan statistik TIDAK SAMA dengan signifikan substansi karena perbezaan yg kecil dapat signifikan secara statistik kerana penggunaan sampel yg besar
  • 138.
    Perlu Dipehatikan DalamAnalisis Data Membandingkan dan melakukan tes teori atau konsep dengan informasi yang ditemukan Mencari dan menemukan adanya konsep baru dari data yang dikumpulkan Mencari penjelasan apakah konsep baru ini berlaku umum, atau baru terjadi bila ada prakondisi tertentu
  • 139.
    Urutan analisis data Analisis univariat adalah analisis satu variabel  Analisis bivariat adalah analisis hubungan 2 variabel  Analisis multivariat adalah analisis hubungan lebih dari 2 variabel secara bersama dgn mengontrol variabel lain
  • 140.
    Analisis univariat Analisis univariatadalah analisis satu variabel Misalnya  distribusi frekuensi  nilai purata  variasi  persentase
  • 141.
    Kegunaan analisis univariat 1.Salah satu cara melihat adanya kesalahan koding atau entry data 2. Mendeskripsikan suatu fenomena dengan baik. 3. Perincian/ gambaran besarnya suatu fenomena 4. Petunjuk pemecahan masalah 5. Persiapan analisis bivariat atau multivariat
  • 142.
    Analisis bivariat Analisis bivariatadalah analisis hubungan 2 variabel yg dapat bersifat : (a)simetris tak saling mempengaruhi (b) saling mempengaruhi (c) variabel satu mempengaruhi variabel lain
  • 143.
    SEJARAH REGRESI Istilah Regresidiperkenalkan oleh Fancis Galtom “Meskipun ada kecenderungan bagi orang tua yang tinggi mempunyai anak- anak yang tinggi, dan bagi orang tua yang pendek mempunyai anak yang pendek, distribusi tinggi dari suatu populasi tidak berubah secara menyolok (besar) dari generasi ke generasi”. Regresi = “Kemunduran ke arah sedang”
  • 144.
  • 145.
    Pengertian Regresi • Analisisregresi merupakan studi ketergantungan satu atau lebih variabel bebas terhadap variabel tidak bebas. Dengan maksud untuk meramalkan nilai variabel tidak bebas.
  • 146.
    Contoh Penerapan AnalisisRegresi 1. Analisis Regresi antara tinggi orang tua terhadap tinggi anaknya (Gultom). 2. Analisis Regresi antara pendapatan terhadap konsumsi rumah tangga. 3. Analisis Regresi antara harga terhadap penjualan barang. 4. Analisis Regresi antara tingkat upah terhadap tingkat pengangguran. 5. Analisis Regresi antara tingkat suku bunga bank terhadap harga saham 6. Analisis regresi antara biaya periklanan terhadap volume penjualan perusahaan.
  • 147.
    KETERGANTUNGAN STATISTIK VS.FUNGSIONAL • Hubungan kausal (ketergantungan statistik) – Konsumsi dengan pendapatan – Masa kerja dengan produktifitas – Iklan dengan penjualan • Hubungan fungsional/Identitas – Likuditas dengan aktiva lancar – Produktivitas dengan hasil produksi – Upah karyawan dengan jam kerja
  • 148.
    Perbedaan mendasar antarakorelasi dan regresi ? • Korelasi hanya menunjukkan sekedar hubungan. • Dalam korelasi variabel tidak ada istilah tergantung dan variabel bebas. • Regresi menunjukkan hubungan pengaruh. • Dalam regresi terdapat istilah tergantung dan variabel bebas.
  • 149.
    Istilah dan notasivariabel dalam regresi ? Y • Varaibel tergantung (Dependent Variable) • Variabel yang dijelaskan (Explained Variable) • Variabel yang diramalkan (Predictand) • Variabel yang diregresi (Regressand) • Variabel Tanggapan (Response) X • Varaibel bebas (Independent Variable) • Variabel yang menjelaskan (Explanatory Variable) • Variabel peramal (Predictor) • Variabel yang meregresi (Regressor) • Variabel perangsang atau kendali (Stimulus or control variable)
  • 150.
    Persamaan Regresi Persamaan Regresilinier Sederhana: Y = a + bX +  Y = Nilai yang diramalkan a = Konstansta b = Koefesien regresi X = Variabel bebas  = Nilai Residu        22 )()( ))(()( XXn YXXYn b n XbY a    )(
  • 151.
    Contoh Kasus: Seorang manajerpemasaran akan meneliti apakah terdapat pengaruh iklan terhadap penjualan pada perusahaan-perusahaan di Kabupaten WaterGold, untuk kepentingan penelitian tersebut diambil 8 perusahaan sejenis yang telah melakukan promosi.
  • 152.
    Pemecahan 1. Judul Pengaruh biayapromosi terhadap penjualan perusahaan. 2. Pertanyaan Penelitian – Apakah terdapat pengaruh positif biaya promosi terhadap penjualan perusahaan ? 3. Hipotesis – Terdapat pengaruh positif biaya promosi terhadap penjualan perusahaan.
  • 153.
    4. Kriteria PenerimaanHipotesis Ho : Tidak terdapat pengaruh positif biaya iklan terhadap penjualan perusahaan. Ha : Terdapat pengaruh positif biaya iklan terhadap penjualan perusahaan. • Ho diterima Jika b ≤ 0, t hitung ≤ tabel • Ha diterima Jika b > 0, t hitung > t tabel.
  • 154.
    5. Sampel 8 perusahaan 6.Data Yang dikumpulkan Penjualan (Y) 64 61 84 70 88 92 72 77 Promosi (X) 20 16 34 23 27 32 18 22
  • 155.
    7. Analisis DataUntukanalisis data diperlukan, perhitungan: 1. Persamaan regresi 2. Nilai Prediksi 3. Koefesien determinasi 4. Kesalahan baku estimasi 5. Kesalahan baku koefesien regresinya 6. Nilai F hitung 7. Nilai t hitung 8. Kesimpulan
  • 156.
    Persamaan Regresi Y XXY X2 Y2 64 20 1280 400 4096 61 16 976 256 3721 84 34 2856 1156 7056 70 23 1610 529 4900 88 27 2376 729 7744 92 32 2944 1024 8464 72 18 1296 324 5184 77 22 1694 484 5929 608 192 15032 4902 47094
  • 157.
          22 )()( ))(()( XXn YXXYn b 497,1 )192()4902(8 )609)(192()15032(8 2    b 082,40 8 )192(497,1)608(   a n XbY a    )( Y= 40,082 + 1,497X+e
  • 158.
    Nilai Prediksi • Berapabesarnya penjualan jika promosi sebesar 20? 40,082 + (1,497*20)= 70,022 • Berapa besarnya penjualan jika promosi sebesar 16? 40,082 + (1,497*16)=64,034 • Berapa besarnya penjualan jika promosi sebesar 34? 40,082 + (1,497*34)= 90,98 • Berapa besarnya penjualan jika promosi sebesar 23? 40,082 + (1,497*23)= 74,513 • Berapa besarnya penjualan jika promosi sebesar 27? 40,082 + (1,497*27)=80,501 • Berapa besarnya penjualan jika promosi sebesar 32? 40,082 + (1,497*32)= 87,986 Dan seterusnya…………………….!!!
  • 159.
    No Y XXY X2 Y2 Ypred (Y-Ypred)2 (Y-Yrata)2 1 64 20 1280 400 4096 70.022 36.264 144 2 61 16 976 256 3721 64.034 9.205 225 3 84 34 2856 1156 7056 90.98 48.720 64 4 70 23 1610 529 4900 74.513 20.367 36 5 88 27 2376 729 7744 80.501 56.235 144 6 92 32 2944 1024 8464 87.986 16.112 256 7 72 18 1296 324 5184 67.028 24.721 16 8 77 22 1694 484 5929 73.016 15.872 1 Jlh 608 192 15032 4902 47094 608.08 227.497 886
  • 160.
    Koefesien Determinasi Koefesien determinasi:     2 2 2 )( )ˆ( 1 YY YY R 743,0 )886( )497,227( 12 R Koefesien Determinasi Disesuaikan (adjusted) 1 )1( 2 2    PN RP RRadj 70,0 118 )743,01(1 743,0    adjR
  • 161.
    Kesalahan Baku Estimasi Digunakanuntuk mengukur tingkat kesalahan dari model regresi yang dibentuk. kn YY Se     2 )ˆ( 1576,6 28 )467,227(   Se
  • 162.
    Standar Error KoefesienRegresi Digunakan untuk mengukur besarnya tingkat kesalahan dari koefesien regresi: n X X Se Sb   2 2 )( 359,0 8 )192( )4902( 1576,6 21   Sb
  • 163.
    Uji F Uji Fdigunakan untuk uji ketepatan model, apakah nilai prediksi mampu menggambarkan kondisi sesungguhnya: Ho: Diterima jika F hitung  F tabel Ha: Diterima jika F hitung > F tabel )/(1 )1/( 2 2 knR kR F    367,17 )28/(743,01 )12/(743,0    F Karena F hitung (17,367) > dari F tabel (5,99) maka persamaan regresi dinyatakan Baik (good of fit).
  • 164.
    Uji t Digunakan untukmengatahui pengaruh variabel bebas terhadap variabel tergantung. Ho: Diterima jika t hitung  t tabel Ha: Diterima jika t hitung > t tabel Sbj bj Thitung  167,4 359,0 497,1 hitungt Karena t hitung (4,167) > dari t tabel (1,943) maka Ha diterima ada pengaruh iklan terhadap penjualan.
  • 165.
    KESIMPULAN DAN IMPLIKASI KESIMPULAN Terdapatpengaruh positif biaya periklanan terhadap volume penjualan. IMPLIKASI Sebaiknya perusahaan terus meningkatkan periklanan agar penjualan meningkat.
  • 166.
    Tugas: Carilah persamaan regresidari data berikut: X 3 4 5 6 7 8 9 Y 12 11 13 12 13 14 16
  • 167.
    LATAR BELAKANG MUNCULNYAANALISIS REGRESI BERGANDA Fenomena ekonomi bersifat komplek, sehingga tidak cukup dijelaskan oleh satu variabel bebas. Contoh: Besarnya konsumsi tidak hanya dipengaruhi oleh pendapatan saja tetapi juga dipengaruhi oleh jumlah anggota keluarga, tingkat pendidikan serta variabel lainnya.
  • 168.
    Perbedaan dengan RegresiSederhana • Regresi sederhana hanya terdiri satu variabel bebas. • Y = a+bX+ • Regresi berganda terdiri dua variabel atau lebih variabel bebas. • Y = a+b1X1+ b2X2+ ….+bnXn+ 
  • 169.
    UJI ASUMSI KLASIK •UJI NORMALITAS • NON-HETEROSKEDASTISITAS • NON-MULTIKOLINIERITAS • NON-AUTOKORELASI
  • 170.
    Persamaan Regresi Y =Nilai yang diramalkan a = Konstansta b1 = Koefesien regresi untuk X1 b2 = Koefesien regresi untuk X2 bn = Koefesien regresi untuk Xn X1 = Variabel bebas pertama X2 = Variabel bebas kedua Xn = Variabel bebas ke n  = Nilai Residu Persamaan Regresi linier Berganda: Y = a + b1X1 + b2X2+…+bnXn + 
  • 171.
    Contoh Kasus: Seorang penelitiakan meneliti apakah ada pengaruh harga dan pendapatan terhadap konsumsi buah Duren. Untuk keperluan tersebut diambil sampel secara acak sebanyak 10 rumah tangga.
  • 172.
    Pemecahan 1.Judul Pengaruh pendapatan danharga terhadap konsumsi buah Duren. 2. Pertanyaan Penelitian – Apakah terdapat pengaruh negatif harga terhadap konsumsi buah Duren? – Apakah terdapat pengaruh positif pendapatan terhadap konsumsi buah Duren? – Diantara variabel pendapatan dan harga variabel manakah yang paling berpengaruh terhadap konsumsi buah Duren? 3.Hipotesis – Terdapat pengaruh negatif harga terhadap konsumsi buah Duren? – Terdapat pengaruh positif pendapatan terhadap konsumsi buah Duren? – Variabel pendapatan memiliki pengaruh yang paling besar terhadap konsumsi buah Duren.
  • 173.
    4. Kriteria Penerimaan Hipotesis1 Hipitesis 1. Untuk menguji hipotesis: Harga memiliki pengaruh negatif terhadap konsumsi buah Duren, digunakan kriteria sebagai berikut: Ho : bj≥ 0 : Tidak terdapat pengaruh negatif harga terhadap konsumsi buah Duren. Ha : bi < Terdapat pengaruh negatif harga terhadap konsumsi buah Duren. Kriteria: • Ho diterima Jika thitung ≥ -ttabel • Ha diterima Jika thitung < -t tabel
  • 174.
    4. Kriteria PenerimaanHipotesis 2 Hipitesis 2. Untuk menguji hipotesis: Pendapatan memiliki pengaruh positif terhadap konsumsi buah Duren, digunakan kriteria sebagai berikut: Ho : bj≤ 0 : Tidak terdapat pengaruh positif pendapatan terhadap konsumsi buah Duren. Ha : bi > Terdapat pengaruh positif pendapatan terhadap konsumsi buah Duren. . Kriteria: • Ho diterima Jika thitung ≤ t tabel • Ha diterima Jika thitung > t tabel
  • 175.
    4. Kriteria PenerimaanHipotesis 3 Hipitesis 3. Untuk menguji hipotesis, Variabel pendapatan memiliki pengaruh yang paling besar terhadap konsumsi buah Duren Kriteria: • Hipotesis Ditolak Jika: Elastisitas () Pendapatan ≤ Elastisitas () Harga • Hipotesis Diterima Jika: Elastisitas () Pendapatan > Elastisitas () Harga
  • 176.
    Uji ketepatan model. Untukmelakukan uji ketepatan model (goodness of fit) digunakan uji F Kriteria: • Model persamaan regresi dinyatakan baik (good of fit), jika F hitung > F tabel • Model persamaan regresi dinyatakan jelek (bad of fit)Jika F hitung ≤ F tabel
  • 177.
    5. Sampel 10 Keluarga 6.Data Yang dikumpulkan X1 2 3 5 4 6 2 3 4 5 6 X2 3 4 6 5 7 6 4 5 4 3 Y 5 8 8 9 9 13 6 9 4 3
  • 178.
    7. Analisis Data Untukanalisis data diperlukan, perhitungan: 1. Persamaan regresi 2. Nilai Prediksi 3. Koefesien determinasi 4. Kesalahan baku estimasi 5. Kesalahan baku koefesien regresinya 6. Nilai F hitung 7. Nilai t hitung 8. Kesimpulan
  • 179.
    Persamaan Regresi No X1X2 Y X12 X22 X1X2 X1Y X2Y Y2 1 2 3 5 4 9 6 10 15 25 2 3 4 8 9 16 12 24 32 64 3 5 6 8 25 36 30 40 48 64 4 4 5 9 16 25 20 36 45 81 5 6 7 9 36 49 42 54 63 81 6 2 6 13 4 36 12 26 78 169 7 3 4 6 9 16 12 18 24 36 8 4 5 9 16 25 20 36 45 81 9 5 4 4 25 16 20 20 16 16 10 6 3 3 36 9 18 18 9 9 Jlh. 40 47 74 180 237 192 282 375 626
  • 182.
    Koefesien Regresi: Y =a +b1X1+b2X2+ Y = 2,5529 -1,0921X1+1,9608X2+
  • 183.
    Makna Persamaan RegresiYang Terbentuk a = 2,553, Artinya jika harga (X1) dan pendapatan (X2) sebesar 0 maka Y akan sebesar 2,553. b1 =-1,092, Artinya jika pendapatan (X2) konstans, maka kenaikan harga (X1) akan menyebabkan penurunan Y sebesar -1,092 satuan. b2 =1,961, Artinya jika harga (X1) konstans, maka kenaikan pendapatan (X2) akan menyebabkan kenaikan Y sebesar 1,961 satuan.
  • 184.
    Nilai Prediksi • Berapabesarnya permintaan jika harga sebesar 2 dan pendapatan sebesar 3? 2,553- (1,092x2)+(1,961x3)= 6,25 • Berapa besarnya permintaan jika harga sebesar 3 dan pendapatan sebesar 4? 2,553 - (1,092x3)+(1,961x4)= 7,12 • Berapa besarnya permintaan jika harga sebesar 5 dan pendapatan sebesar 6? 2,553 - (1,092x5)+(1,961x6)= 8,86 • Berapa besarnya permintaan jika harga sebesar 4 dan pendapatan sebesar 5? 2,553 - (1,092x4)+(1,961x5)= 7,99 • Berapa besarnya permintaan jika harga sebesar 6 dan pendapatan sebesar 7? 2,553 - (1,092x6)+(1,961x7)= 9,73 • Berapa besarnya permintaan jika harga sebesar 2 dan pendapatan sebesar 6? 2,553 - (1,092x2)+(1,961x6)= 12,13 • Berapa besarnya permintaan jika harga sebesar 3 dan pendapatan sebesar 4? 2,553 - (1,092x3)+(1,961x4)= 7,12 • Berapa besarnya permintaan jika harga sebesar 4 dan pendapatan sebesar 5? 2,553 - (1,092x4)+(1,961x5)= 7,99 Dan seterusnya…………………….!!!
  • 185.
    No X1 X2Y Ypred (Y-Ypred)2 (Y-Ybar)2 1 2 3 5 6.252 1.568 5.76 2 3 4 8 7.121 0.773 0.36 3 5 6 8 8.859 0.738 0.36 4 4 5 9 7.99 1.020 2.56 5 6 7 9 9.728 0.530 2.56 6 2 6 13 12.135 0.748 31.36 7 3 4 6 7.121 1.257 1.96 8 4 5 9 7.99 1.020 2.56 9 5 4 4 4.937 0.878 11.56 10 6 3 3 1.884 1.245 19.36 Jlh. 40 47 74 9.777 78.4
  • 186.
    Koefesien Determinasi Koefesien determinasi:     2 2 2 )( )ˆ( 1 YY YY R 875,0 )4,78( )776,9( 12 R Koefesien Determinasi Disesuaikan (adjusted) 1 )1( 2 2    PN RP RRadj 840,0 1210 )875,01(2 875,0    adjR
  • 187.
    Kesalahan Baku Estimasi Digunakanuntuk mengukur tingkat kesalahan dari model regresi yang dibentuk. kn YY Se     2 )ˆ( 1818,1 310 )776,9(   Se
  • 188.
    Standar Error KoefesienRegresi Digunakan untuk mengukur besarnya tingkat kesalahan dari koefesien regresi: )( ][ 2 Kii ADet Se Sb  626,1)5796( 3060 )1818,1( 2 Sa 302,0)200( 3060 )1818,1( 2 2 Sb 271,0)161( 3060 )1818,1( 1 2 Sb
  • 189.
    Uji t Sbj bj thitung  029,4 271,0 092,1 1  Xt Pengujian Hipotesis 1: •thitung X1 (-4,029) < dari - ttabel (1,89), maka Ha diterima, Terdapat pengaruh negatif harga terhadap konsumsi buah Duren. Pengujian Hipotesis 2: thitung X1 (6,490) > dari t tabel (1,89), maka Ha diterima, Terdapat pengaruh positif pendapatan terhadap konsumsi buah Duren. 490,6 302,0 961,1 2 Xt
  • 190.
    Hipotesis 3: Untuk mengujivariabel yang paling berpengaruh, digunakan uji elastisitas atau uji koefesien beta. Uji elastisitas: Y X i i   590,0 4,7 4 0921,11  245,1 4,7 7,4 9608,12  Uji Koefesien beta: Beta X1 =-0,552 Beta X2 =0,889 Kesimpulan: Karena 2>1 atau Beta(X2) > Beta (X1) pendapatan (X2) lebih berpengaruh terhadap konsumsi dibandingkan harga (X2)
  • 191.
    Uji F Uji Fdigunakan untuk uji ketepatan model, apakah nilai prediksi mampu menggambarkan kondisi sesungguhnya: Ho: Diterima jika F hitung  F tabel Ha: Diterima jika F hitung > F tabel )/(1 )1/( 2 2 knR kR F    567,24 )310/(875,01 )13/(875,0    F Karena F hitung (24,567) > dari F tabel (4,74) maka maka persamaan regresi dinyatakan Baik (good of fit).
  • 192.
    KESIMPULAN DAN IMPLIKASI KESIMPULAN 1.Terdapat pengaruh negatif harga terhadap konsumsi buah duren. 2. Terdapat pengaruh positif pendapatan terhadap konsumsi buah Duren. 3. Pendapatan memiliki pengaruh yang lebih besar dibanding harga terhadap konsumsi buah duren IMPLIKASI Sebaiknya pemasar buah Duren mempertimbangkan harga dan pendapatan, akan tetapi lebih mempertimbangkan pendapatan masyarakat dibandingkan harga buah duren dalam merancang strategi pemasarannya.
  • 193.
    Uji Goodness ofFit Seberapa tepat frekuensi yang teramati (observed frequencies) cocok dengan frekuensi yang diharapkan (expected frequencies). Dapat dipergunakan untuk data skala nominal, ordinal, interval, maupun rasio. 193
  • 194.
    Ciri-ciri distribusi ChiSquare Selalu positif df = k – 1, dimana k adalah jumlah katagori. Jadi bentuk distribusi chi square tidak ditentukan banyaknya sampel, melainkan banyaknya derajat bebas. Bentuk distribusi chi square menjulur positif. Semakin besar derajat bebas, semakin mendekati distribusi normal. 194
  • 195.
    Pokok Bahasan 1. UjiGoodness of Fit : Frekuensi yang diharapkan sama 2. Uji Goodness of Fit : Frekuensi yang diharapkan tidak sama 3. Keterbatasan statistik Chi Square 4. Uji Goodness of Fit untuk menguji kenormalan suatu distribusi 5. Analisis Tabel Kontingensi 195
  • 196.
    1. Uji Goodnessof Fit : Frekuensi yang diharapkan sama Contoh : Manajer Personalia ingin melihat apakah pola absensi terdistribusi secara merata sepanjang enam hari kerja. Hipotesis nol yang akan diuji adalah “Absensi terdistribusi secara merata selama enam hari kerja. Taraf nyata yang digunakan adalah 0,01. Hasil dari sampel ditujukan sebagai berikut : Hari Jumlah Absen Senin 12 Selasa 9 Rabu 11 Kamis 10 Jum’at 9 Sabtu 9 Ujilah hipotesis tersebut ! 196
  • 197.
    Langkah-langkah yang dilakukansbb : a. Buat formulasi hipotesis : Ho : tidak ada perbedaan antara frekuensi yang teramati dengan frekuensi yang diharapkan. H1 : ada perbedaan antara frekuensi yang teramati dengan frekuensi yang diharapkan. b. Tentukan taraf nyata yang akan digunakan dalam pengujian. Misalnya : 0,05 c. Pilih uji statistik yang sesuai dengan hipotesis. Dalam kasus diatas dipergunakan rumus : dimana : fo = besarnya frekuensi yang teramati. fe = besarnya frekuensi yang diharapkan. 197          e eo f ff X 2 2 )(
  • 198.
    d. Buat aturanpengambilan keputusan dengan jalan membandingkan nilai X2 dengan nilai kritis (X2 tabel). Nilai kritis diperoleh dari tabel X2 dengan df = k-1 dan taraf nyata 0,05. Dari tabel X2(0,05;5) diperoleh nilai 11,070. Aturan pengambilan keputusannya : hipotesis nol diterima bila X2 < 11,070 dan jika X2  11,070, maka hipotesis nol ditolak dan menerima hipotesis alternatif. e. Lakukan pengambilan sampel dan hitung nilai chi square. Buat keputusan untuk menolak atau menerima hipotesis nol. Penghitungan Chi Square : Hari fo fe fo- fe (fo-fe)2 (fo-fe)2/fe Senin 12 10 2 4 0,4 Selasa 9 10 -1 1 0,1 Rabu 11 10 1 1 0,1 Kamis 10 10 0 0 0 Jum'at 9 10 -1 1 0,1 Sabtu 9 10 -1 1 0,1 Jumlah 60 0 0,8 Jadi X2 = 0,8. Karena X2 < 11,070, maka hipotesis nol diterima yang bearti absensi terdistribusi secara merata. 198
  • 199.
    2. Uji Goodnessof Fit : Frekuensi yang diharapkan tidak sama Contoh : Tabel berikut adalah jumlah mahasiswa yang terdaftar berdasakan fakultas di Universitas Midwestern. Fakultas Jml mhs Jml mhs terdaftar yg mengembalikan kuesioner. Seni dan sain 4700 90 Administrasi bisnis 2450 45 Pendidikan 3250 60 Teknik 1300 30 Hukum 850 15 Farmasi 1250 15 Univ. College 3400 45 Editor majalah mahasiswa memilih nama-nama secara acak dari masing-masing fakultas dan mengirim kuesioner. Jumlah mahasiswa yang mengembalikan kuesioner menurut fakultas ditunjukkan pada kolom 2 dalam tabel diatas. Dengan taraf nyata 5 %, tentukan apakah jumlah mahasiswa yang mengembalikan kuesioner menurut fakultas dapat mencerminkan populasi mahasiswa di Universitas Midwestern. 199
  • 200.
    Penyelesaian : 1. Formulasihipotesis. Ho : jumlah mahasiswa yang mengembalika kuesioner mencerminkan populasi mahasiswa di universitas Midwestern. H1 : jumlah mahasiswa yang mengembalika kuesioner tidak mencerminkan populasi mahasiswa di universitas Midwestern. 2. Taraf nyata 5 % 3. Pilih uji statistik (sama seperti pembahasan diatas) 4. Aturan pengambilan keputusan : df = k – 1 = 7 - 1 = 6 X2 tabel = 12,592 Ho diterima jika X2 < 12,592 Ho ditolak jika X2  12,592 (menerima H1) 5. Hitung X2 Untuk menghitung X2 perlu dilakukan transformasi data. Data jumlah mahasiswa terdaftar dihitung proporsinya dengan jumlah kuesioner yang kembali. Haslnya seperti pada tabel berikut : 200
  • 201.
    Jml Mhs Jmlmhs yg Proporsi mhs Fakultas terdaftar mengembalikan terdaftar kuesioner Seni dan sain 4700 90 0,27 Administrasi bisnis 2450 45 0,14 Pendidikan 3250 60 0,19 Teknik 1300 30 0,08 Hukum 850 15 0,05 Farmasi 1250 15 0,07 Univ. College 3400 45 0,20 Total 17200 300 1 Kemudian hitung X2 dengan fo = jumlah mahasiswa yang mengembalikan kuesioner, fe = jumlah mahasiswa terdaftar yang dihitung dari proporsi dikalikan dengan jumlah total mahasiswa yang mengembalikan kuesioner. Hasilnya sebagai berikut : 201 4700 / 17200
  • 202.
    Fakultas fo Proporsife (fo-fe)2/fe Seni dan sain 90 0,27 81 1,00 Administrasi bisnis 45 0,14 42 0,21 Pendidikan 60 0,19 57 0,16 Teknik 30 0,08 24 1,50 Hukum 15 0,05 15 0 Farmasi 15 0,07 21 1,71 Univ. College 45 0,20 60 3,75 Total 300 1,00 300 8,33 Kesimpulan hipotesis nol diterima, karena X2 < 12,592 (8,33 < 12,592) berarti jumlah mahasiswa yang mengembalikan kuesioner mencerminkan populasi mahasiswa di universitas Midwestern. 202
  • 203.
    3. Keterbatasan statistikChi Square Tidak dapat dipergunakan bila ada satu atau lebih nilai frekuensi yang diharapkan dalam sel yang nilainya kecil sekali, sehingga kesimpulannya bisa salah. Cara mengatasinya :  Jika tabel hanya terdiri dari dua sel, maka frekuensi yang diharapkan untuk masing-masing sel seharusnya tidak kurang dari 5.  Untuk tabel yang mempunyai lebih dari dua sel, X2 seharusnya tidak digunakan jika lebih dari 20 % frekuensi yang diharapkan memiliki nilai kurang dari 5. Jika memungkinkan sel-sel yang bernilai kurang dari 5 dapat digabungkan menjadi satu dengan harapan nilainya lebih dari 5. 203
  • 204.
    4. Uji Goodnessof Fit untuk menguji kenormalan suatu distribusi Contoh : Perusahaan terminal komputer melaporkan dalam sebuah iklannya bahwa bila dipergunakan secara normal, masa pakai rata-rata terminal komputer hasil produksinya adalah 6 tahun dan deviasi standarnya sebesar 1,4 tahun. Dari seuah sampel sebesar 90 unit terminal komputer yang terjual 10 tahun yang lalu diperoleh informasi mengenai distribusi masa pakai seperti yang tampak pada tabel dibawah ini. Dengan menggunakan taraf nyata 5 %, dapatkah perusahaan menarik kesimpulan bahwa masa pakai terminal komputer hasil produksinya terdistribusi normal ? Masa Pakai (tahun) Frekuensi 0 – 4 7 4 – 5 14 5 – 6 25 6 – 7 22 7 – 8 16 > 8 6 Total 90 204
  • 205.
    Penyelesaiannya : a. Hitungluas daerah dibahwa kurna normal untuk masing-masing katagori.Rumus yang dipergunakan adalah : Dimana : X = batas bawah dan batas atas kelas.  = nilai rata-rata  = standar deviasi b. Hitung frekuensi yang dihrapkan dengan megkalikan luas daerah dibawah kurva normal dengan jumlah sampel. Hasil sbb : Masa Pakai Frek. nilai Z Daerah Frekuensi (tahun) yang diharapkan 0 - 4 7 < -1,43 0,0764 6,876 4 - 5 14 -1,43 s/d -0,71 0,1625 14,625 5 - 6 25 -0,71 s/d 0,00 0,2611 23,499 6 - 7 22 0,00 s/d 0,71 0,2611 23,499 7 - 8 16 0,71 s/d 1,43 0,1625 14,625 > 8 6 > 1,43 0,0764 6,876 Total 90 1 90 205
  • 206.
    c. Hitung ChiSquare Nilai X2 tabel dengan df = k - 1 = 6 – 1 = 5 dan taraf nyata 5 % diperoleh nilai 11,070 Ho : masa pakai komputer terdistribusi normal H1 : masa pakai komputer tidak terdistribusi normal Ho diterima jika X2 < 11,070 Ho dittolak jika X2  11,070 (menerima H1) Masa Pakai (tahun) fo fe (fo-fe)2/fe 0 – 4 7 6,876 0,0022362 4 – 5 14 14,625 0,0267094 5 – 6 25 23,499 0,0958765 6 – 7 22 23,499 0,0956211 7 – 8 16 14,625 0,1292735 > 8 6 6,876 0,1116021 Total 90 90 0,4613188 Kesimpulan : Karena nilai X2 hitung sebesar 0,46 lebih kecil dari 11,070, maka hipotesis nol diterima yang berarti masa pakai komputer terdistribusi normal. 206
  • 207.
    5. Analisis TabelKontingensi Uji Goodness of Fit dapat pula dipergunakan untuk menguji hubungan dua fenomena.. Contoh : Hasil penelitian mengenai tingkat tekanan psikologis dikaitkan dengan usia responden yang diakibatkan pekerjaanya tampak pada tabel berikut : Umur (th) Derajat tekanan (banyaknya pramuniaga) Rendah Menengah Tinggi < 25 20 18 22 25 – 40 50 46 44 40 – 60 58 63 59 > 60 34 43 43 Total 162 170 168 Ujilah apakah ada hubungan antara usia dan tingkat tekanan psikologis pada taraf natay sebesar 0,01 ? 207
  • 208.
    Pemecahan : a. Formulasi Ho: Tidak terdapat hubungan antara usia dengan tingkat tekanan psikologis H1 : Ada hubungan antara usia dengan tingkat tekanan psikologis b. Hitung derajat bebas. df = (jumlah baris – 1) x (jumlah kolom – 1) df = (4 – 1)(3 –1) = 6 taraf nyata = 0,01 Nilai kritis (X2 tabel) = 16,812 c. Hitung frekuensi yang diharapkan dengan rumus 208 nkeseluruhaTotal kolomTotalbarisTotal diharapkanyangFrekuensi _ )_)(_( __ 
  • 209.
    Hasil perhitungan : Derajattekanan Umur (th) Rendah Menengah Tinggi Total fo fe fo fe fo fe fo fe < 25 20 19 18 20 22 20 60 60 25 – 40 50 45 46 48 44 47 140 140 40 – 60 58 58 63 61 59 60 180 180 > 60 34 39 43 41 43 40 120 120 Total 162 162 170 170 168 168 500 500 d. Hitung X2 X2 = (20-19)2/19 + (18-20)2/20 + (22-20)2/20 +(50-45)2/45 + (46-48)2/48 + (44-47)2/47 +(58-58)2/58 + (63-61)2/61 + (59-60)2/60 +(34-39)2/39 + (43-41)2/41 + (43-40)2/40 X2 = 2,191 e. Kesimpulan Karena 2,191 < 16,812, maka ho diterima berarti tidak ada hubungan antara usia dengan tekanan psikologis. 209 (60 x 168 ) / 500
  • 210.
    Analisis Variansi • Analisavariansi (ANOVA) adalah suatu metoda untuk menguji hipotesis kesamaan rata-rata dari tiga atau lebih populasi. • Asumsi  Sampel diambil secara random dan saling bebas (independen)  Populasi berdistribusi Normal  Populasi mempunyai kesamaan variansi 210
  • 211.
    Analisis Variansi • Misalkankita mempunyai k populasi. • Dari masing-masing populasi diambil sampel berukuran n. • Misalkan pula bahwa k populasi itu bebas dan berdistribusi normal dengan rata-rata 1, 2, …. dan k dan variansi 2. • Hipotesa : H0 : 1 = 2 = … = k H1 : Ada rata-rata yang tidak sama 211
  • 212.
  • 213.
    Setiap pengamatan dapatditulis dalam bentuk berikut ini : Keterangan (Note : sampel diambil dari populasi dan jumlah sampel tidak harus sama antar populasi) 213
  • 214.
    Selanjutnya memeriksa apakahsudah memenuhi asumsi : 1. Normalitas, menguji apakah data tiap kelompok memiliki distribusi normal, dapat dilakukan dengan uji normalitas Kolmogorov Smirnov atau Saphiro Wilk. 2. Homogenitas atau tidak ada Heteroskedastisitas, menguji apakah varian tiap kelompok sama dengan uji Bartlet atau uji Levene. 3. Saling bebas, apakah data tiap kelompok tidak saling berhubungan. 4. Aditif yaitu saling menjumlahkan berarti data adalah rasio / interval. Jika keempat asumsi di atas sudah terpenuhi, maka kita bisa gunakan analsis ragam ini. 214
  • 215.
    Rumus Hitung JumlahKuadrat 215 Jumlah Kuadrat Total = Jumlah Kuadrat untuk nilai tengah Kolom = Jumlah Kuadrat Galat =
  • 216.
    Tabel Anova danDaerah Penolakan Sumber Variasi Derajat bebas Jumlah kuadrat Kuadrat Rata-rata Statistik F Perlakuan k – 1 JKP KRP = JKP/(k – 1 ) F = KRP/KRG Galat k(n-1) JKG KRG = JKG/(k(n-1)) Total nk – 1 JKT 216 H0 ditolak jika F > F(; k – 1; k(n – 1))
  • 217.
    217 Langkah berikutnya adalahmenghitung derajat kebebasan untuk masing-masing JKK-JKT-JKG, df (JKT) = n-1 df (JKK) = k-1 df (JKG) = n-k dimana df(JKG) = df(JKT) - df(JKK) Selanjutnya adalah menghitung variansi antar kelompok : MSk = KTk = JKK / df(JKK) = JKK/(k-1) MSg = KTg = JKG / df(JKK) = JKG/(n-k) Dan selanjutnya adalah menghitung nilai F-hitung, yaitu : F-hitung = KKk/KTg = MSk/MSg Gunakan tabel distribusi F untuk menghitung F-tabel sebagai pembanding F-hitung, dengan derajat kebebasan ke-1 : df1=k-1 dan derajat kebebasan k-2 : df2=n-k.
  • 218.
    218 Untuk mengambil keputusanmaka : - Ho ditolak jika F-hitung > F-Tabel - Ho diterima jika F-hitung ≤ F-Tabel
  • 219.
    219 Berikut contoh kasusdalam penggunaan ANOVA satu jalur : Jumlah sampel sama antar populasi. Dari 5 tablet sakit kepala yang diberikan kepada 25 orang dicatat berapa lama tablet-tablet tersebut dapat mengurangi rasa sakit. Ke-25 orang itu dibagi secara acak ke dalam 5 kelompok dan masing-masing diberi satu jenis tablet yang berbeda yaitu tablet A, B, C, D dan E. Dalam pengujian ini ingin mengetahui apakah kelima tablet tersebut sama lamanya dalam mengurangi rasa sakit.
  • 220.
  • 221.
    221 Hipotesis uji : Ho: Kelima tablet memiliki waktu yang sama dalam mengurangi rasa sakit. Ha : Terdapat tablet yang tidak memiliki waktu sama dalam mengurangi rasa sakit. Hipotesis statistik : Ho : m1 = m2 = m3 = ... = mk Ha : Sekurang-kurangnya dua nilai tengah tidak sama. Statistik Uji : Pilih nilai signifikansi alpha 5%, dan F-tabel dengan df(JKk) =k-1=5-1=4 dan df(JKg) =n-k=25-5=20. Sehingga diperoleh F-tabel =2,87. Atau gunakan MS-Excel dengan ketik =finv(alpha;(k-1);(n-k)) = finv(0,05;4;20)=2,87.
  • 222.
  • 223.
    223 JKT = 834– 1322/25 = 834 – 696,960 = 137,040 JKK = (3882/5) – (1322/25) = 776,400 – 696,960 = 79,440 JKG = 137,040 – 79,440 = 57,600 dengan df(JKt) = df(JKk) + df(JKg) = 4 + 20 = 24 MSk = KTk = JKK / df(JKK) = 79,440 / 4 = 19,860 MSg = KTg = JKG / df(JKK) = 57,600 / 20 = 2,880 F-hitung = KKk/KTg = MSk/MSg = 19,860 / 2,880 = 6,896 Keputusan : F-hitung = 6,896 > F-tabel = 2,87, sehingga Ho ditolak dan Ha diterima.
  • 224.
    224 Kesimpulan : Lama waktukelima tablet tersebut tidak sama dalam mengurangi rasa sakit.
  • 225.
    225 Jumlah Sampel Berbedaantar Populasi Tiga kelas kuliah matematika dasar diberikan oleh tiga dosen. Nilai akhirnya tercatat sebagai berikut :
  • 226.
    226 Hipotesis uji : Ho: Tidak terdapat selisih antara nilai rata-rata yang akan diberika ketiga dosen. Ha : Terdapat selisih antara nilai rata-rata yang akan diberika ketiga dosen. Hipotesis statistik : Ho : m1 = m2 = m3 = ... = mk Ha : Sekurang-kurangnya dua nilai tengah tidak sama. Statistik Uji : Pilih nilai signifikansi alpha 5%, dan F-tabel dengan df(JKk) =k-1=3-1=2 dan df(JKg) =n-k=40-3=37. Sehingga diperoleh F-tabel =3,25. Atau gunakan MS-Excel dengan ketik =finv(alpha;(k-1);(n-k)) = finv(0,05;2;37)=3,25.
  • 227.
  • 228.
    228 JKT = 199462– (27262/40) = 199462 – 185776,90 = 13685,10 JKK = ((8172/12)+(10712/15)+(8382/13)) – (27262/40) = 9667489/12 + 1147041/15 + 702244/13 – 185776,90 = 55624,08+76469,40+54018,77-185776,90 = 186112,25 – 185776,90 = 335,35 JKG = 13685,10-335,35 = 13349,75 dengan df(JKt) = df(JKk) + df(JKg) = 2 + 37 = 39 MSk = KTk = JKK / df(JKK) = 335,35/2 = 167,68 MSg = KTg = JKG / df(JKG) = 13349,75/35 = 381,42 F-hitung = KKk/KTg = MSk/MSg = 167,68 / 381,42 = 0,44
  • 229.
    229 Keputusan : F-hitung =0,44 < F-tabel = 3,25, sehingga Ho diterima dan Ha ditolak. Kesimpulan : Tidak terdapat perbedaan yang nyata di antara nilai rata-rata yang diberikan oleh ketiga dosen tersebut.