เรื่อง อนุกรมเรขาคณิต

                                          ใบความรู้ที่ 8

สัญลักษณ์แทนการบวก (Sigma notation)
       สัญลักษณ์แทนการบวกจะใช้อักษรกรีก  (อ่านว่า ซิกมา) เป็นสัญลักษณ์แทนการบวก
                                                       n
      โดยที่          a1 + a2 + a3 + . . . + an   =    ai
                                                      i 1
                                                       
               และ     a1 + a2 + a3 + . . .       =     ai
                                                       i 1
                       n
               ซึ่ง    a i อ่านว่า การบวก aI เมื่อ i = 1 ถึง i = n
                      i 1
                      
                       a i อ่านว่า การบวก aI เมื่อ i มีค่าตั้งแต่ 1 ขึ้นไป
                      i 1


                       6
               เช่น  i = 1 + 2 + 3 + 4 + 5 + 6
                      i 1
                             2   2   2
                       i2 = 1 + 2 + 3 + . . .
                      i 1



      ตัวอย่างที่ 1 จงเขียน 2x2 + 2x3 + 2x4 + 2x5 + 2x6 + 2x7 โดยใช้สัญลักษณ์การบวก
      วิธีทา        2x2 + 2x3 + 2x4 + 2x5 + 2x6 + 2x7 =      2(x2 + x3 + x4 + x5 + x6 +
x7)
                                                                      7
                                                             =        2x i
                                                                     i2

      ตัวอย่างที่ 2 จงเขียน 2 + 4 + 6 + . . . + 100 โดยใช้เครื่องหมาย 
      วิธีทา        2 + 4 + 6 + . . . + 100     =     2(1) + 2(2) + 2(3) + . . . + 2(50)
                                                              50
                                                  =            2i
                                                              i 1



      ตัวอย่างที่ 3 จงเขียน 3 + 6 + 9 + . . . + 180 โดยใช้สัญลักษณ์การบวก
      วิธีทา        3 + 6 + 9 + . . . + 180     =     3(1) + 3(2) + 3(3) + . . . + 3(60)
                                                              60
                                                  =            3i
                                                              i 1
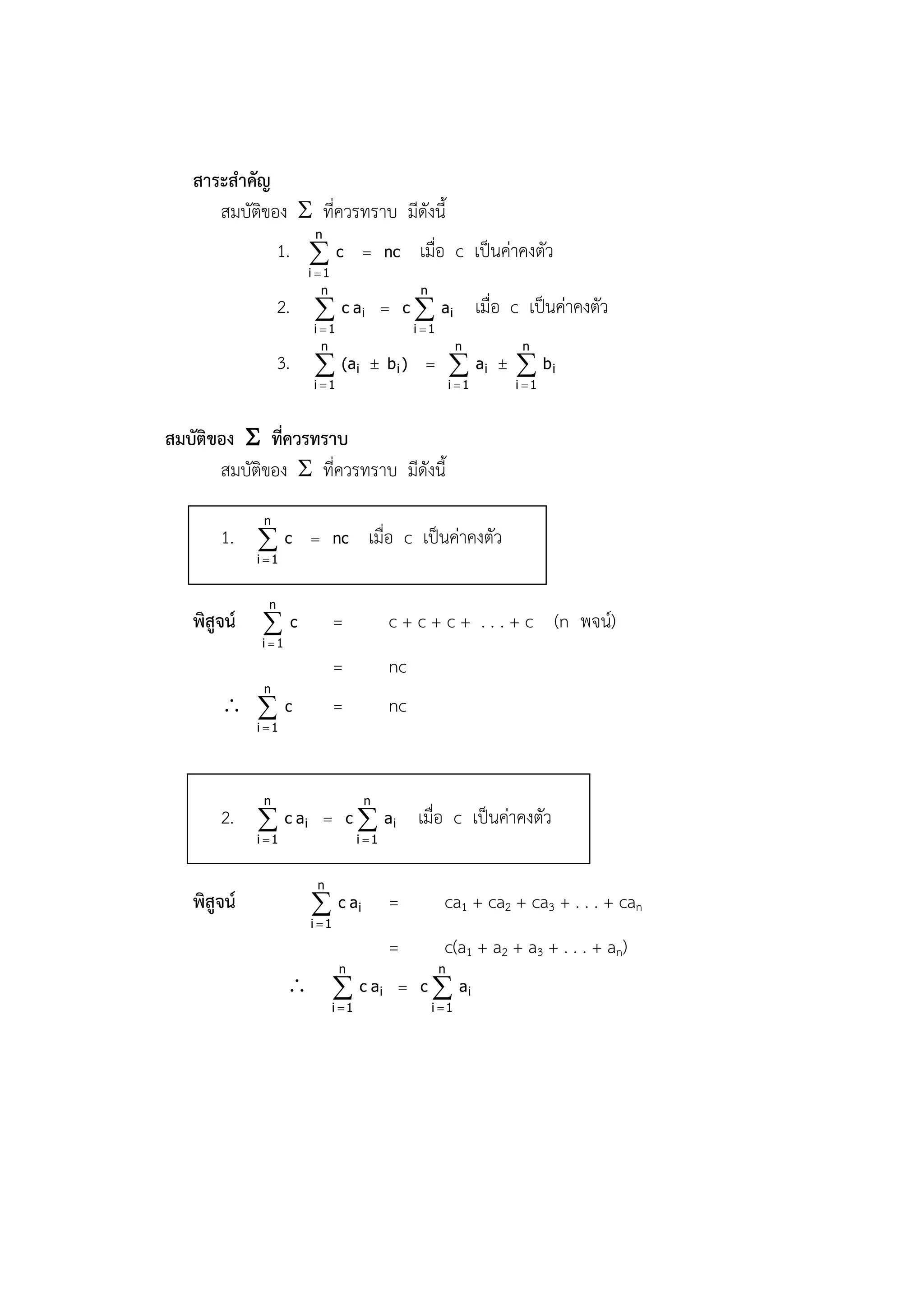
สาระสาคัญ
      สมบัติของ  ที่ควรทราบ มีดังนี้
                          n
                   1.  c                nc         เมื่อ c เป็นค่าคงตัว
                         i 1
                            n                        n
                   2.  c ai                   c    ai เมื่อ c เป็นค่าคงตัว
                          i 1                      i 1
                            n                                   n             n
                   3.  (ai               bi )                     ai     bi
                          i 1                                 i 1          i 1



สมบัติของ  ที่ควรทราบ
       สมบัติของ  ที่ควรทราบ มีดังนี้
              n
       1.  c             nc            เมื่อ c เป็นค่าคงตัว
             i 1


               n
   พิสูจน์    c                =             c + c + c + . . . + c (n พจน์)
              i 1

                                =             nc
              n
                   c          =             nc
             i 1




              n                         n
       2.  c ai               c       ai เมื่อ c เป็นค่าคงตัว
             i 1                      i 1


                          n
   พิสูจน์                c ai =                          ca1 + ca2 + ca3 + . . . + can
                         i 1

                                              =            c(a1 + a2 + a3 + . . . + an)
                                 n                         n
                       c ai                   c        ai
                                i 1                     i 1
n                                  n                    n
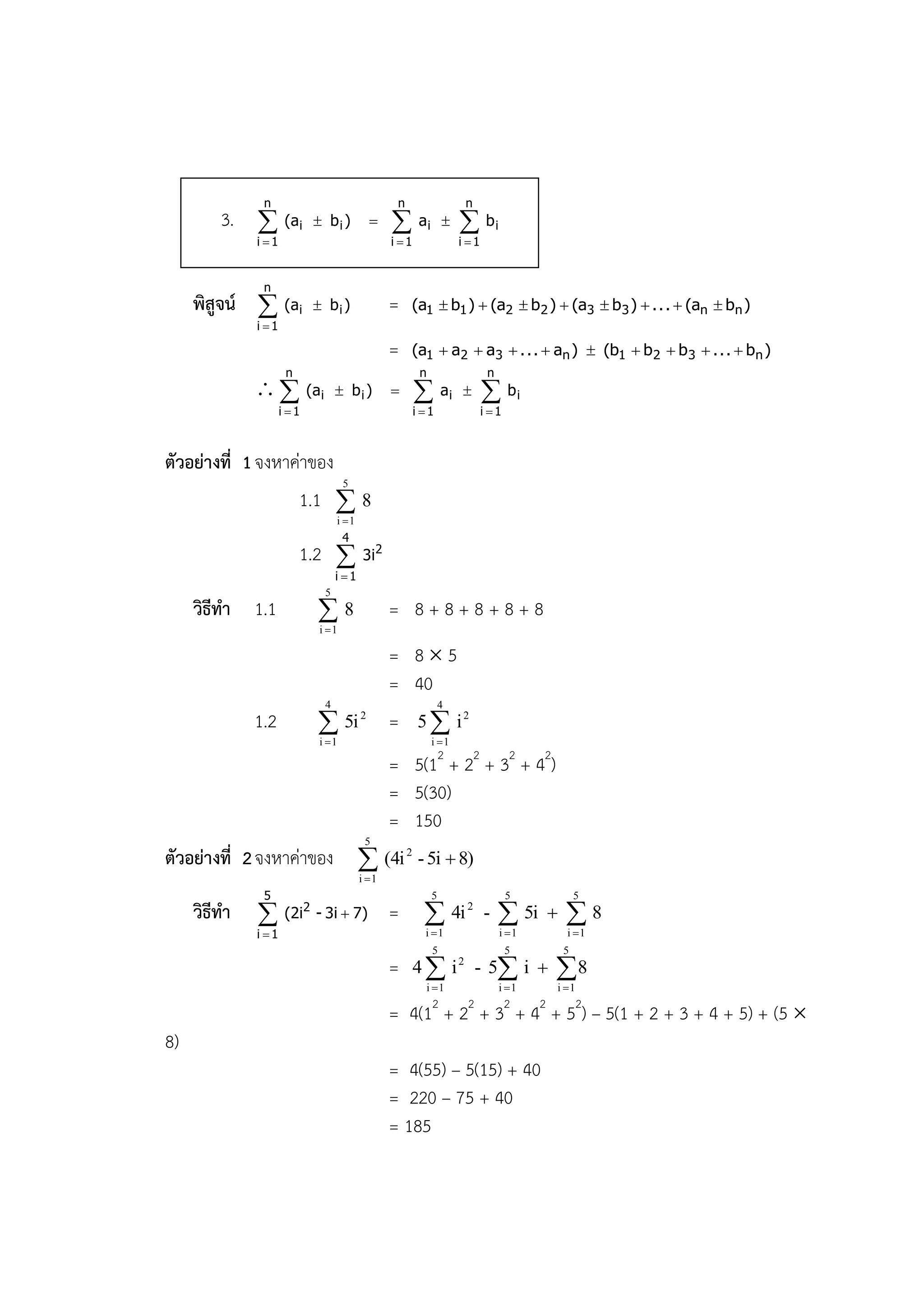
         3.  (ai            bi )                     ai           bi
              i 1                               i 1                 i 1


               n
     พิสูจน์  (ai           bi )               =    (a1  b1 )  (a2  b 2 )  (a3  b 3 )  . . .  (an  bn )
              i 1

                                                 =    (a1  a2  a3  . . .  an )  (b1  b 2  b 3  . . .  bn )
                      n                                  n                    n
                (ai              bi )                       ai          bi
                     i 1                               i 1                 i 1



ตัวอย่างที่ 1 จงหาค่าของ
                                    5
                          1.1  8
                                  i 1
                                    4
                          1.2  3i2
                                  i 1
                              5
     วิธีทา 1.1             8
                             i 1
                                                 = 8+8+8+8+8
                                                 = 85
                                                 = 40
                              4                                  4
              1.2            5i
                             i 1
                                         2
                                                 =      5  i2
                                                             i 1

                                                 = 5(12 + 22 + 32 + 42)
                                                 = 5(30)
                                                 = 150
                                          5
ตัวอย่างที่ 2 จงหาค่าของ  (4i 2 - 5i  8)
                                         i 1
               5                                             5                      5               5
     วิธีทา          (2i2 - 3i  7)             =        
                                                          i 1
                                                                     4i 2 -       
                                                                                  i 1
                                                                                         5i    8
                                                                                                i 1
              i 1
                                                             5                      5           5
                                                 =      4  i 2 - 5 i                       8
                                                          i 1                    i 1        i 1

                                                 = 4(1 + 2 + 3 + 4 + 52) – 5(1 + 2 + 3 + 4 + 5) + (5 
                                                             2         2            2     2

8)
                                                 = 4(55) – 5(15) + 40
                                                 = 220 – 75 + 40
                                                 = 185
สาระสาคัญ
                                  n
                                                          n(n  1)
        i หมายถึง  i                         
                                                             2
                              i 1
                                n
        i2 หมายถึง  i2                       
                                                          n(n  1)(2n  1)
                                                                 6
                              i 1
                                 n                                                      2
        i3 หมายถึง                      i3                i 2       n(n  1) 
                                                                        
                                                                              2     
                                  i 1                                             


การหาสูตรของ  i ,  i2 และ  i3
             n
                                  n(n  1)
       1.  i        
                                     2
            i 1


             n
   พิสูจน์  i = 1 + 2 + 3 + . . . + (n – 2) + (n – 1) + n                                  ………… 
            i 1
              n
             i = n + (n – 1) + (n – 2) + . . . + 3 + 2 + 1                                 ………… 
            i 1
                     n
   +             2i                              = (n + 1) + (n + 1) + (n + 1) + . . . + (n + 1) ;
                    i 1

                                                                      (n วงเล็บ)
                                      = n (n + 1)
                    n
                                           n(n  1)
             i                      
                                              2
                   i 1


                                                   10
   ตัวอย่างที่ 1 จงหาค่าของ  6i
                                                   i 1
                    10                                         10
   วิธีทา           
                    i 1
                             6i                =             6 i
                                                              i 1

                                                              10(10  1) 
                                               =             6           
                                                                  2      
                                               =            6(55)
                                               =            330
             n
                                  n(n  1)(2n  1)
       2.  i2           
                                         6
            i 1
n
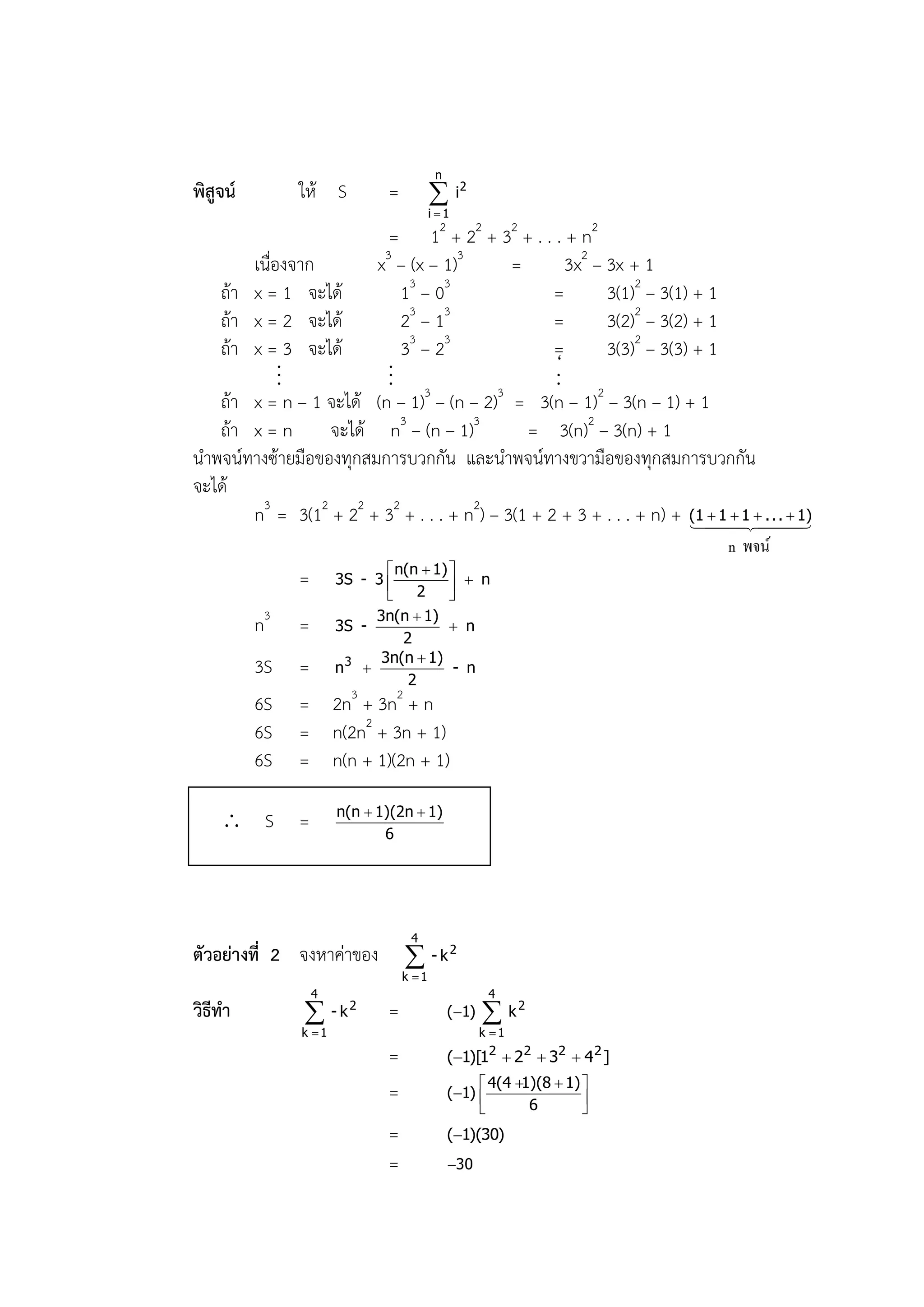
พิสูจน์        ให้ S          =           i2
                                         i 1

                          = 12 + 22 + 32 + . . . + n2
       เนื่องจาก        x3 – (x – 1)3       =        3x2 – 3x + 1
   ถ้า x = 1 จะได้           13 – 03              =        3(1)2 – 3(1) + 1
   ถ้า x = 2 จะได้           23 – 13              =        3(2)2 – 3(2) + 1
   ถ้า x = 3 จะได้           33 – 23              =        3(3)2 – 3(3) + 1
            ..            ..                      ‘
                                                  ..
             .             . 3
   ถ้า x = n – 1 จะได้ (n – 1) – (n – 2) = 3(n – 1)2 – 3(n – 1) + 1
                                          3

   ถ้า x = n      จะได้ n3 – (n – 1)3         = 3(n)2 – 3(n) + 1
นาพจน์ทางซ้ายมือของทุกสมการบวกกัน และนาพจน์ทางขวามือของทุกสมการบวกกัน
จะได้
       n3 = 3(12 + 22 + 32 + . . . + n2) – 3(1 + 2 + 3 + . . . + n) + (1 1  1 . 
                                                                          
                                                                         
                                                                                  . . 1)
                                                                                     
                                                                            n พจน์
                               n(n  1) 
               =       3S - 3             n
                               2        
                            3n(n  1)
          n3   =       3S -               n
                                 2
                             3n(n  1)
          3S   =       n3                - n
                                  2
          6S   = 2n3 + 3n2 + n
          6S   = n(2n2 + 3n + 1)
          6S   = n(n + 1)(2n + 1)

                       n(n  1)(2n  1)
     S        =              6




                                   4
ตัวอย่างที่ 2 จงหาค่าของ           - k2
                                  k 1
                   4                                  4
วิธีทา                - k2   =               (1)    k2
               k 1                                  k 1

                              =               (1)[1  22  32  4 2 ]
                                                       2

                                                    4(4 1)(8  1) 
                              =               (1) 
                                                           6        
                                                                   
                              =               (1)(30)
                              =               30
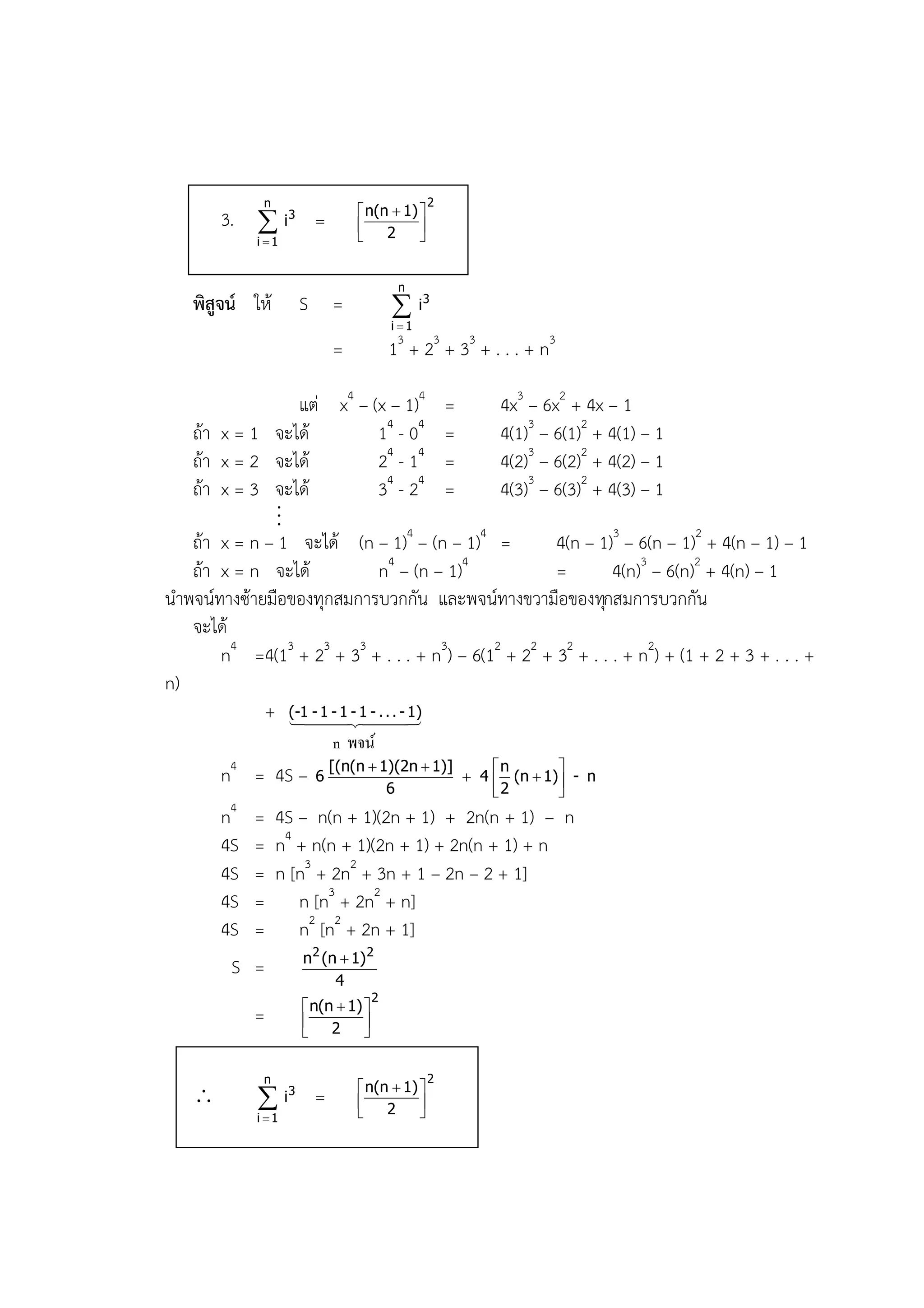
n                                    2
                                    n(n  1) 
        3.  i3                       2     
             i 1                            


                                             n
    พิสูจน์ ให้          S =                 i3
                                            i 1

                               =            13 + 23 + 33 + . . . + n3

                   แต่ x4 – (x – 1)4 =        4x3 – 6x2 + 4x – 1
   ถ้า x = 1 จะได้            14 - 04 =       4(1)3 – 6(1)2 + 4(1) – 1
   ถ้า x = 2 จะได้            24 - 14 =       4(2)3 – 6(2)2 + 4(2) – 1
   ถ้า x = 3 จะได้            34 - 24 =       4(3)3 – 6(3)2 + 4(3) – 1
               ..
                .
   ถ้า x = n – 1 จะได้ (n – 1)4 – (n – 1)4 =          4(n – 1)3 – 6(n – 1)2 + 4(n – 1) – 1
   ถ้า x = n จะได้            n4 – (n – 1)4           =        4(n)3 – 6(n)2 + 4(n) – 1
นาพจน์ทางซ้ายมือของทุกสมการบวกกัน และพจน์ทางขวามือของทุกสมการบวกกัน
   จะได้
       n4 =4(13 + 23 + 33 + . . . + n3) – 6(12 + 22 + 32 + . . . + n2) + (1 + 2 + 3 + . . . +
n)
             + (-1-1.
                  
                    - 1 1 - - . . - 1)

                               n พจน์
         4                     [(n(n  1)(2n  1)]     n       
        n = 4S –           6
                                        6
                                                    4  (n  1) - n
                                                         2
                                                               
        n4   = 4S – n(n + 1)(2n + 1) + 2n(n + 1) – n
        4S   = n4 + n(n + 1)(2n + 1) + 2n(n + 1) + n
        4S   = n [n3 + 2n2 + 3n + 1 – 2n – 2 + 1]
        4S   = n [n3 + 2n2 + n]
        4S   = n2 [n2 + 2n + 1]
                         n 2 (n  1) 2
         S =
                               4
                                        2
                          n(n  1) 
             =            2 
                                   

              n                                    2
                                    n(n  1) 
                  i3                2     
             i 1                            
10
ตัวอย่างที่ 3 จงหาค่าของ          (4i3 - 5)
                                 i 1
              10                               10             10
วิธีทา              (4i3 - 5)          =           4i 3 -   5
              i 1                             i 1           i 1
                                                  10            10
                                        =      4    i3 -  5
                                                   i 1       i 1
                                                                     2
                                                10(10  1) 
                                        =      4                       - (10  5)
                                                    2      
                                                   2
                                        =      4(55) – 50
                                        =      4(3025) – 50
                                        =      12100 – 50
                                        =      12,050
แบบฝึกหัดที่ 11
                            เรื่อง สัญลักษณ์แทนการบวก


คาชี้แจง ให้นักเรียนแสดงวิธีทาแต่ละข้อต่อไปนี้ให้ถูกต้องโดยการกระจายในรูปการบวก
                  8
1. จงหาค่าของ  5
                k 1
                  4
2. จงหาค่าของ  5n2
                n 1
                 6
3. จงหาค่าของ  (5i2  3i  6)
                i 1
                 3
4. จงหาค่าของ  (6i - 4)
               i 1
                10
5. จงหาค่าของ  (5i - 2)
               i 1
                  4
6. จงหาค่าของ  5(k  3)
                k 1



คาชี้แจง    ให้นักเรียนแสดงวิธีทาแต่ละข้อต่อไปนี้ให้ถูกต้องโดยการใช้สูตร
                12
7. จงหาค่าของ  5i
               i 1
                  8
8. จงหาค่าของ  (5n2 - 2n)
                n 1
                 7
9. จงหาค่าของ  (6i3 - 2)
                i 1
                   10
10. จงหาค่าของ  (i3  9i2  18i)
                 i 1
                  20
11. จงหาค่าของ  (3k 3  k)
                 k  11
เฉลยแบบฝึกหัดที่ 11
      เรื่อง สัญลักษณ์แทนการบวก



1)       40
2)      150
3)      554
4)        24
5)      255
6)      110
7)       390
8)      948
9)      770
10)    7480
11)    7610
เรื่องอนุกรมจากัดและอนุกรมอนันต์

      คาชี้แจง ให้นักเรียนเติมคาตอบลงในช่องว่างแต่ละข้อต่อไปนี้ให้ถูกต้องสมบูรณ์

ข้อที่               ลาดับ                            อนุกรม              ประเภทของอนุกรม
                                                                        อนุกรม อนุกรมอนันต์
                                                                         จากัด
  1      1, 7, 14, 21, 28, 35               1 + 7 + 14 + 21 + 28 + 35                 /
  2      1 1 1        1
          , , , ... , n , ...
                                            1 1 1        1
                                                ...  n  ...           /
         2 4 8       2                      2 4 8       2
  3      3, 6, 9, 12, 15, 18
  4      9, 7, 5, 3, 1, -1, -3
  5      3, 4 , 5 , . . . , n + 2 , . . .
  6      3, 5,7 . . . , 2n+1, . . .
  7      -3, -6, -9, . . . , -3n, . . .
  8      5,10,15,20,25,30,35

   ดังนั้น อนุกรมจากัด คือ ………………………………………………………………
……………………………………………………………………………………………………….
……………………………………………………………………………………………………….
              อนุกรมอนันต์ คือ ……………………………………………………………….
……………………………………………………………………………………………………….
……………………………………………………………………………………………………….
เอกสารแนะแนวทางที่ 6
                           เรื่องอนุกรมจากัดและอนุกรมอนันต์


ข้อที่                        อนุกรม                                  ประเภทของอนุกรม
                                                                อนุกรมจากัด    อนุกรมอนันต์
  3       4 + 7 + 10 + 13 + 16 + 19                                  /
  4       8+6+4+2+0–2–4                                              /
  5       2 + 3 + 4 + . . . + (n + 1) + . . .                                       /
  6       1 + 3 + 5 + . . . + (2n – 1) + . . .                                      /
  7       – 2 – 4 – 6 – . . . – 2n – . . .                                          /
  8       10 + 13 + 16 + 19 + 22 + 25                                /


ดังนั้น    อนุกรมจากัด คือ อนุกรมที่ได้จากการบวกพจน์ของลาดับจากัด ถ้าให้
            a1, a2, a3, . . ., an เป็นลาดับจากัด จะได้ a1 + a2 + a3 + . . . + an เป็นอนุกรม
จากัด
              อนุกรมอนันต์ คือ อนุกรมที่ได้จากการบวกพจน์ทุกพจน์ของลาดับอนันต์ ถ้าให้
             a1, a2, a3, . . ., an, . . . เป็นลาดับอนันต์ จะได้ a1 + a2 + a3 + . . . + an + . . .
             เป็นอนุกรมอนันต์
เรื่อง อนุกรมเลขคณิต

                                           ใบกิจกรรมที่ 6

      คาชี้แจง ให้นักเรียนเติมคาตอบลงในช่องว่างแต่ละข้อต่อไปนี้ให้ถูกต้องสมบูรณ์

ข้อที่                          อนุกรม                            ผลต่างร่วม   อนุกรมเลขคณิต
                                                                               เป็น     ไม่เป็น
  1      2 + 4 + 6 + 8 + 10                                           2         /          -
  2      1 + 3 + 5 + . . . + (2n – 1) + . . .                         2          -         /
  3      1 + 4 + 9 + 16 + 25
  4      7 + 11 + 15 + 19 + 23
  5      11 + 2 – 7 + . . . + (20 – 9n) + . . .
  6      1 1 1
             ... 
                      1
                          ...
         2 4 8        2n
  7      (x + 3) + (x + 6) + (x + 9) + . . . + (x + 3n) + . . .
  8      3 4 5
             ... 
                      n2
                           ...
         4 5 6        n3
  9 1 + 8 + 27 + 64 + . . .
 10 3 + 3 + 3 + 3 + 3

อนุกรมเลขคณิต คือ …………………………………………………………..……………
……………………………………………………………………………………………………….
……………………………………………………………………………………………………….
……………………………………………………………………………………………………….
……………………………………………………………………………………………………….
เอกสารแนะแนวทางที่ 7
                             เรื่อง อนุกรมเลขคณิต


           ข้อที่         ผลต่างร่วม               อนุกรมเลขคณิต
                                                  เป็น       ไม่เป็น
             4                  4                  /            –
             5                 -9                  /            –
             6                ไม่มี                –            /
             7                  3                  /            –
             8                ไม่มี                –            /
             9                ไม่มี                –            /
            10                  0                  /            –

อนุกรมเลขคณิต คือ
 ผลบวกของแต่ละพจน์ของลาดับเลขคณิต ถ้าให้ a1, a2, a3, . . ., an เป็น
 ลาดับเลขคณิต a1 + a2 + a3 + . . . + an เรียกว่า อนุกรมเลขคณิต
ใบความรู้ที่ 9
สาระสาคัญ

                                                               n
        ผลบวก n พจน์แรกของอนุกรมเลขคณิต คือ Sn =                 [2a1  (n - 1)d]
                                                               2
                                                                 n
                                               หรือ     Sn =       (a1  a n )
                                                                 2
สาระการเรียนรู้
                  การหาสูตรผลบวก n พจน์แรกของอนุกรมเลขคณิต
        ผลบวกของพจน์ของลาดับเลขคณิต เรียกว่า อนุกรมเลขคณิต ในการหาผลบวก n พจน์
แรกของอนุกรมเลขคณิต ทาได้ดังนี้
    ให้    Sn = a1 + a2 + a3 + . . . + an (เมื่อ a1, a2, a3, . . ., an เป็นลาดับเลข
คณิต)
                = a1 + (a1 + d) + (a1 + 2d) + . . . + [a1 + (n – 1)d]
                = a11 a11  d  2d  3d .
                     
                       a 
                               
                                   ...  a
                                             . .  (n - 1)d
                                                                   
                                n ตัว                      n - 1 ตัว
                  = na1 + [1 + 2 + 3 + . . . + (n – 1)]d
                  = na1  n - 1 [1  (n - 1)]d
                              2
                            (n - 1)
                  =   na1 
                               2
                                    nd
                      2na1  (n - 1) nd
                  =           2
                      n [2a1  (n - 1)d]
                  =           2


                       n
         Sn      =    2
                         [2a1  (n - 1)d]                          ……………….. 


                               n
        หรือ      Sn =         2
                                 [a1  a1  (n - 1)d]


                               n
                  Sn =         2
                                 (a1  a n )                       …………………. 


    สรุป          สูตรการหาผลบวก n พจน์แรกของอนุกรมเลขคณิต คือ
                       Sn = n [2a1  (n - 1)d]
                             2
หรือ       Sn = n (a1  an )
                             2
        เมื่อ Sn       แทน ผลบวก n พจน์แรกของอนุกรมเลขคณิต
                 a1   แทน พจน์ที่ 1 ของอนุกรมเลขคณิต
                 d    แทน ผลต่างร่วมของอนุกรมเลขคณิต
                 an    แทน พจน์ที่ n ของอนุกรมเลขคณิต

ตัวอย่างที่ 1 จากอนุกรมเลขคณิต 100 + 95 + 90 + . . .          จงหา S15
วิธีทา จากสูตร       Sn = n [2a1  (n - 1)d]
                               2
         จากโจทย์ จะได้ a1 = 100 , d = 5 , n = 15
         แทนค่า      S15 = 15 2(100)  (15 - 1)(5)
                                   2
                                   15
                             =        [ 200 - 70 ]
                                    2
                                   15
                          =           (130)
                                    2
                          = 975
ตัวอย่างที่ 2 จงหาผลบวกของอนุกรมเลขคณิต 1 + 2 + 3 + . . . + 300
วิธีทา จากอนุกรมเลขคณิต 1 + 2 + 3 + . . . + 300 จะได้
               a1 = 1 , n = 300 , an = 300
         จากสูตร       Sn = n (a1  an )
                                   2
                                   300
        แทนค่า         S300 =       2
                                       (1  300)

                            = 150(301)
                            = 45,150
ตัวอย่างที่ 3 ให้ลาดับเลขคณิตลาดับหนึ่งมีผลต่างร่วมเท่ากับ 4 และพจน์ที่ 13 คือ 51
                จงหาผลบวก 13 พจน์แรก
    วิธีทา จาก an = a1 + (n – 1)d
             จากโจทย์ จะได้ d = 4 และ a13 = 51
             แทนค่า         51 = a1 + 12(4)
                              a1 = 3
             จากสูตร Sn           = n (a1  an )
                                       2
                                          13
                                S13 =     2
                                              [a1  a13 ]

                                          13
                                    =      2
                                              [3  51]

                                           13
                                    =       2
                                               (54)      =   351
             ผลบวก 13 พจน์แรก มีค่าเท่ากับ 351
ตัวอย่างที่ 4    ให้อนุกรมเลขคณิตชุดหนึ่ง มีผลบวก 11 พจน์แรกเท่ากับ 77 และ
                          ผลต่างร่วมเท่ากับ 3 จงหาพจน์แรกและพจน์ที่ 11
        วิธีทา จากโจทย์ จะได้ d = 3 และ S11 = 77
                 จาก         an = a1 + (n – 1)d
                              a11= a1 + 0(3)
                  a11 – a1 – 30 = 0                  ……………………. 
                                        n
              จากสูตร         Sn =         (a1  a n )
                                   2
                                   11
                         S11 =        [a1  a11 ]
                                    2
                                    11
                            77 =        [a1  a11 ]
                                     2
                           154 = 11a1 + 11a11
           11a11 – 11a1 – 154 = 0 …………………… 
       11          11a11 – 11a1 – 330 = 0 …………………… 
     +                  22a11 – 484 = 0
                                  22a11 = 484
                                 a11      = 22
             แทนค่า a11 ใน 
                          22 – a1 – 30 = 0
                            – a1 – 8       = 0
                                   a1     = –8
          พจน์แรก มีค่าเท่ากับ – 8
             พจน์ที่ 11 มีค่าเท่ากับ 22
    ตัวอย่างที่ 5 จงหาผลบวกของทุกจานวนคี่จาก 61 ถึง 121
    วิธีทา จากโจทย์ จะได้ a1 = 61 , d = 2 และ an = 121
             จากสูตร        an = a1 + (n – 1)d
             แทนค่า        121 = 61 + (n – 1)(2)
                          121 = 61              + 2n – 2
                            2n = 62
                            n = 31
                                        n
             จากสูตร        Sn =        2
                                          (a1  a n )

                                     31
                แทนค่า   S31 =       2
                                        [61  121]

                                     31
                         =           2
                                        (182)

                         =      2,821
 ผลบวกของทุกจานวนคี่จาก 61 ถึง 121 คือ 2,821
แบบฝึกหัดที่ 12
                                   เรื่องอนุกรมเลขคณิต
คาชี้แจง   ให้นักเรียนแสดงวิธีทา

1.กาหนด จงหาผลบวก n พจน์แรกตามเงื่อนไขที่กาหนดในแต่ละข้อต่อไปนี้
    1.1 a1 = -3 , d = 6 จงหา S10
    1.2 a1 = 10 , d = 5 จงหา S20
    1.3 a1 = 60 , d = -2 จงหา S20
    1.4 a1 = 8 , d = 4 จงหา S30
    1.5 a1 = 8 , d = 14 จงหา S15
2. จงหาผลบวก n พจน์แรกของอนุกรมเลขคณิตต่อไปนี้
    2.1 2 + 4 + 6 + . . . + 100
    2.2 10 + 20 + 30 + . . . + 400
    2.3 1 + 3 + 5 + . . . + 41
3. อนุกรมเลขคณิตชุดหนึ่ง มีผลบวกพจน์ที่ 2 กับพจน์ที่ 4 เท่ากับ 15 และผลบวกของพจน์ที่ 5
กับพจน์ที่ 6 เท่ากับ 25 จงหาผลบวกของ 20 พจน์แรก
4. ผลบวกของจานวนเต็มที่อยู่ระหว่าง 50 และ 350 และมีหลักหน่วยเป็น 1 มีค่าเท่าไร
5. จงหาผลบวกของจานวนเต็มที่อยู่ระหว่าง 65 กับ 193 ที่หารด้วย 4 ลงตัว
6. นายปรีชาได้รับรายได้จากการขายของเดือนแรก 3,600 บาท และรายได้ดังกล่าวจะเพิ่มขึ้นเดือน
ละ 200 บาททุกเดือน จงหารายได้ทั้งหมดเมื่อเขาทางานครบ 12 เดือน
เฉลยแบบฝึกหัดที่ 12
                   เรื่องอนุกรมเลขคณิต


1)   1.1   240
     1.2   1,150
     1.3   820
     1.4   750
     1.5

2)   2.1 5,100
     2.2 82,000
     2.3 861
3)   2,660
4)   5,880
5)   4,160
6)   56,400

อนุกรมเลขคณิต

  • 1.
    เรื่อง อนุกรมเรขาคณิต ใบความรู้ที่ 8 สัญลักษณ์แทนการบวก (Sigma notation) สัญลักษณ์แทนการบวกจะใช้อักษรกรีก  (อ่านว่า ซิกมา) เป็นสัญลักษณ์แทนการบวก n โดยที่ a1 + a2 + a3 + . . . + an =  ai i 1  และ a1 + a2 + a3 + . . . =  ai i 1 n ซึ่ง  a i อ่านว่า การบวก aI เมื่อ i = 1 ถึง i = n i 1   a i อ่านว่า การบวก aI เมื่อ i มีค่าตั้งแต่ 1 ขึ้นไป i 1 6 เช่น  i = 1 + 2 + 3 + 4 + 5 + 6 i 1  2 2 2  i2 = 1 + 2 + 3 + . . . i 1 ตัวอย่างที่ 1 จงเขียน 2x2 + 2x3 + 2x4 + 2x5 + 2x6 + 2x7 โดยใช้สัญลักษณ์การบวก วิธีทา 2x2 + 2x3 + 2x4 + 2x5 + 2x6 + 2x7 = 2(x2 + x3 + x4 + x5 + x6 + x7) 7 =  2x i i2 ตัวอย่างที่ 2 จงเขียน 2 + 4 + 6 + . . . + 100 โดยใช้เครื่องหมาย  วิธีทา 2 + 4 + 6 + . . . + 100 = 2(1) + 2(2) + 2(3) + . . . + 2(50) 50 =  2i i 1 ตัวอย่างที่ 3 จงเขียน 3 + 6 + 9 + . . . + 180 โดยใช้สัญลักษณ์การบวก วิธีทา 3 + 6 + 9 + . . . + 180 = 3(1) + 3(2) + 3(3) + . . . + 3(60) 60 =  3i i 1
  • 2.
    สาระสาคัญ สมบัติของ  ที่ควรทราบ มีดังนี้ n 1.  c  nc เมื่อ c เป็นค่าคงตัว i 1 n n 2.  c ai  c  ai เมื่อ c เป็นค่าคงตัว i 1 i 1 n n n 3.  (ai  bi )   ai   bi i 1 i 1 i 1 สมบัติของ  ที่ควรทราบ สมบัติของ  ที่ควรทราบ มีดังนี้ n 1.  c  nc เมื่อ c เป็นค่าคงตัว i 1 n พิสูจน์ c = c + c + c + . . . + c (n พจน์) i 1 = nc n   c = nc i 1 n n 2.  c ai  c  ai เมื่อ c เป็นค่าคงตัว i 1 i 1 n พิสูจน์  c ai = ca1 + ca2 + ca3 + . . . + can i 1 = c(a1 + a2 + a3 + . . . + an) n n   c ai  c  ai i 1 i 1
  • 3.
    n n n 3.  (ai  bi )   ai   bi i 1 i 1 i 1 n พิสูจน์  (ai  bi ) = (a1  b1 )  (a2  b 2 )  (a3  b 3 )  . . .  (an  bn ) i 1 = (a1  a2  a3  . . .  an )  (b1  b 2  b 3  . . .  bn ) n n n   (ai  bi )   ai   bi i 1 i 1 i 1 ตัวอย่างที่ 1 จงหาค่าของ 5 1.1  8 i 1 4 1.2  3i2 i 1 5 วิธีทา 1.1 8 i 1 = 8+8+8+8+8 = 85 = 40 4 4 1.2  5i i 1 2 = 5  i2 i 1 = 5(12 + 22 + 32 + 42) = 5(30) = 150 5 ตัวอย่างที่ 2 จงหาค่าของ  (4i 2 - 5i  8) i 1 5 5 5 5 วิธีทา  (2i2 - 3i  7) =  i 1 4i 2 -  i 1 5i  8 i 1 i 1 5 5 5 = 4  i 2 - 5 i  8 i 1 i 1 i 1 = 4(1 + 2 + 3 + 4 + 52) – 5(1 + 2 + 3 + 4 + 5) + (5  2 2 2 2 8) = 4(55) – 5(15) + 40 = 220 – 75 + 40 = 185
  • 4.
    สาระสาคัญ n n(n  1)  i หมายถึง  i  2 i 1 n  i2 หมายถึง  i2  n(n  1)(2n  1) 6 i 1 n 2  i3 หมายถึง  i3    i 2  n(n  1)    2  i 1   การหาสูตรของ  i ,  i2 และ  i3 n n(n  1) 1.  i  2 i 1 n พิสูจน์  i = 1 + 2 + 3 + . . . + (n – 2) + (n – 1) + n …………  i 1 n  i = n + (n – 1) + (n – 2) + . . . + 3 + 2 + 1 …………  i 1 n + 2i = (n + 1) + (n + 1) + (n + 1) + . . . + (n + 1) ; i 1 (n วงเล็บ) = n (n + 1) n n(n  1)  i  2 i 1 10 ตัวอย่างที่ 1 จงหาค่าของ  6i i 1 10 10 วิธีทา  i 1 6i = 6 i i 1 10(10  1)  = 6   2  = 6(55) = 330 n n(n  1)(2n  1) 2.  i2  6 i 1
  • 5.
    n พิสูจน์ ให้ S =  i2 i 1 = 12 + 22 + 32 + . . . + n2 เนื่องจาก x3 – (x – 1)3 = 3x2 – 3x + 1 ถ้า x = 1 จะได้ 13 – 03 = 3(1)2 – 3(1) + 1 ถ้า x = 2 จะได้ 23 – 13 = 3(2)2 – 3(2) + 1 ถ้า x = 3 จะได้ 33 – 23 = 3(3)2 – 3(3) + 1 .. .. ‘ .. . . 3 ถ้า x = n – 1 จะได้ (n – 1) – (n – 2) = 3(n – 1)2 – 3(n – 1) + 1 3 ถ้า x = n จะได้ n3 – (n – 1)3 = 3(n)2 – 3(n) + 1 นาพจน์ทางซ้ายมือของทุกสมการบวกกัน และนาพจน์ทางขวามือของทุกสมการบวกกัน จะได้ n3 = 3(12 + 22 + 32 + . . . + n2) – 3(1 + 2 + 3 + . . . + n) + (1 1  1 .      . . 1)  n พจน์  n(n  1)  = 3S - 3    n  2  3n(n  1) n3 = 3S -  n 2 3n(n  1) 3S = n3  - n 2 6S = 2n3 + 3n2 + n 6S = n(2n2 + 3n + 1) 6S = n(n + 1)(2n + 1) n(n  1)(2n  1)  S = 6 4 ตัวอย่างที่ 2 จงหาค่าของ  - k2 k 1 4 4 วิธีทา  - k2 = (1)  k2 k 1 k 1 = (1)[1  22  32  4 2 ] 2  4(4 1)(8  1)  = (1)  6    = (1)(30) = 30
  • 6.
    n 2  n(n  1)  3.  i3   2  i 1   n พิสูจน์ ให้ S =  i3 i 1 = 13 + 23 + 33 + . . . + n3 แต่ x4 – (x – 1)4 = 4x3 – 6x2 + 4x – 1 ถ้า x = 1 จะได้ 14 - 04 = 4(1)3 – 6(1)2 + 4(1) – 1 ถ้า x = 2 จะได้ 24 - 14 = 4(2)3 – 6(2)2 + 4(2) – 1 ถ้า x = 3 จะได้ 34 - 24 = 4(3)3 – 6(3)2 + 4(3) – 1 .. . ถ้า x = n – 1 จะได้ (n – 1)4 – (n – 1)4 = 4(n – 1)3 – 6(n – 1)2 + 4(n – 1) – 1 ถ้า x = n จะได้ n4 – (n – 1)4 = 4(n)3 – 6(n)2 + 4(n) – 1 นาพจน์ทางซ้ายมือของทุกสมการบวกกัน และพจน์ทางขวามือของทุกสมการบวกกัน จะได้ n4 =4(13 + 23 + 33 + . . . + n3) – 6(12 + 22 + 32 + . . . + n2) + (1 + 2 + 3 + . . . + n) + (-1-1.  - 1 1 - - . . - 1) n พจน์ 4 [(n(n  1)(2n  1)] n  n = 4S – 6 6  4  (n  1) - n 2   n4 = 4S – n(n + 1)(2n + 1) + 2n(n + 1) – n 4S = n4 + n(n + 1)(2n + 1) + 2n(n + 1) + n 4S = n [n3 + 2n2 + 3n + 1 – 2n – 2 + 1] 4S = n [n3 + 2n2 + n] 4S = n2 [n2 + 2n + 1] n 2 (n  1) 2 S = 4 2  n(n  1)  =  2    n 2  n(n  1)    i3   2  i 1  
  • 7.
    10 ตัวอย่างที่ 3 จงหาค่าของ  (4i3 - 5) i 1 10 10 10 วิธีทา  (4i3 - 5) =  4i 3 - 5 i 1 i 1 i 1 10 10 = 4  i3 -  5 i 1 i 1 2 10(10  1)  = 4  - (10  5)  2  2 = 4(55) – 50 = 4(3025) – 50 = 12100 – 50 = 12,050
  • 8.
    แบบฝึกหัดที่ 11 เรื่อง สัญลักษณ์แทนการบวก คาชี้แจง ให้นักเรียนแสดงวิธีทาแต่ละข้อต่อไปนี้ให้ถูกต้องโดยการกระจายในรูปการบวก 8 1. จงหาค่าของ  5 k 1 4 2. จงหาค่าของ  5n2 n 1 6 3. จงหาค่าของ  (5i2  3i  6) i 1 3 4. จงหาค่าของ  (6i - 4) i 1 10 5. จงหาค่าของ  (5i - 2) i 1 4 6. จงหาค่าของ  5(k  3) k 1 คาชี้แจง ให้นักเรียนแสดงวิธีทาแต่ละข้อต่อไปนี้ให้ถูกต้องโดยการใช้สูตร 12 7. จงหาค่าของ  5i i 1 8 8. จงหาค่าของ  (5n2 - 2n) n 1 7 9. จงหาค่าของ  (6i3 - 2) i 1 10 10. จงหาค่าของ  (i3  9i2  18i) i 1 20 11. จงหาค่าของ  (3k 3  k) k  11
  • 9.
    เฉลยแบบฝึกหัดที่ 11 เรื่อง สัญลักษณ์แทนการบวก 1) 40 2) 150 3) 554 4) 24 5) 255 6) 110 7) 390 8) 948 9) 770 10) 7480 11) 7610
  • 10.
    เรื่องอนุกรมจากัดและอนุกรมอนันต์ คาชี้แจง ให้นักเรียนเติมคาตอบลงในช่องว่างแต่ละข้อต่อไปนี้ให้ถูกต้องสมบูรณ์ ข้อที่ ลาดับ อนุกรม ประเภทของอนุกรม อนุกรม อนุกรมอนันต์ จากัด 1 1, 7, 14, 21, 28, 35 1 + 7 + 14 + 21 + 28 + 35 / 2 1 1 1 1 , , , ... , n , ... 1 1 1 1    ...  n  ... / 2 4 8 2 2 4 8 2 3 3, 6, 9, 12, 15, 18 4 9, 7, 5, 3, 1, -1, -3 5 3, 4 , 5 , . . . , n + 2 , . . . 6 3, 5,7 . . . , 2n+1, . . . 7 -3, -6, -9, . . . , -3n, . . . 8 5,10,15,20,25,30,35 ดังนั้น อนุกรมจากัด คือ ……………………………………………………………… ………………………………………………………………………………………………………. ………………………………………………………………………………………………………. อนุกรมอนันต์ คือ ………………………………………………………………. ………………………………………………………………………………………………………. ……………………………………………………………………………………………………….
  • 11.
    เอกสารแนะแนวทางที่ 6 เรื่องอนุกรมจากัดและอนุกรมอนันต์ ข้อที่ อนุกรม ประเภทของอนุกรม อนุกรมจากัด อนุกรมอนันต์ 3 4 + 7 + 10 + 13 + 16 + 19 / 4 8+6+4+2+0–2–4 / 5 2 + 3 + 4 + . . . + (n + 1) + . . . / 6 1 + 3 + 5 + . . . + (2n – 1) + . . . / 7 – 2 – 4 – 6 – . . . – 2n – . . . / 8 10 + 13 + 16 + 19 + 22 + 25 / ดังนั้น อนุกรมจากัด คือ อนุกรมที่ได้จากการบวกพจน์ของลาดับจากัด ถ้าให้ a1, a2, a3, . . ., an เป็นลาดับจากัด จะได้ a1 + a2 + a3 + . . . + an เป็นอนุกรม จากัด อนุกรมอนันต์ คือ อนุกรมที่ได้จากการบวกพจน์ทุกพจน์ของลาดับอนันต์ ถ้าให้ a1, a2, a3, . . ., an, . . . เป็นลาดับอนันต์ จะได้ a1 + a2 + a3 + . . . + an + . . . เป็นอนุกรมอนันต์
  • 12.
    เรื่อง อนุกรมเลขคณิต ใบกิจกรรมที่ 6 คาชี้แจง ให้นักเรียนเติมคาตอบลงในช่องว่างแต่ละข้อต่อไปนี้ให้ถูกต้องสมบูรณ์ ข้อที่ อนุกรม ผลต่างร่วม อนุกรมเลขคณิต เป็น ไม่เป็น 1 2 + 4 + 6 + 8 + 10 2 / - 2 1 + 3 + 5 + . . . + (2n – 1) + . . . 2 - / 3 1 + 4 + 9 + 16 + 25 4 7 + 11 + 15 + 19 + 23 5 11 + 2 – 7 + . . . + (20 – 9n) + . . . 6 1 1 1    ...  1  ... 2 4 8 2n 7 (x + 3) + (x + 6) + (x + 9) + . . . + (x + 3n) + . . . 8 3 4 5    ...  n2  ... 4 5 6 n3 9 1 + 8 + 27 + 64 + . . . 10 3 + 3 + 3 + 3 + 3 อนุกรมเลขคณิต คือ …………………………………………………………..…………… ………………………………………………………………………………………………………. ………………………………………………………………………………………………………. ………………………………………………………………………………………………………. ……………………………………………………………………………………………………….
  • 13.
    เอกสารแนะแนวทางที่ 7 เรื่อง อนุกรมเลขคณิต ข้อที่ ผลต่างร่วม อนุกรมเลขคณิต เป็น ไม่เป็น 4 4 / – 5 -9 / – 6 ไม่มี – / 7 3 / – 8 ไม่มี – / 9 ไม่มี – / 10 0 / – อนุกรมเลขคณิต คือ ผลบวกของแต่ละพจน์ของลาดับเลขคณิต ถ้าให้ a1, a2, a3, . . ., an เป็น ลาดับเลขคณิต a1 + a2 + a3 + . . . + an เรียกว่า อนุกรมเลขคณิต
  • 14.
    ใบความรู้ที่ 9 สาระสาคัญ n ผลบวก n พจน์แรกของอนุกรมเลขคณิต คือ Sn = [2a1  (n - 1)d] 2 n หรือ Sn = (a1  a n ) 2 สาระการเรียนรู้ การหาสูตรผลบวก n พจน์แรกของอนุกรมเลขคณิต ผลบวกของพจน์ของลาดับเลขคณิต เรียกว่า อนุกรมเลขคณิต ในการหาผลบวก n พจน์ แรกของอนุกรมเลขคณิต ทาได้ดังนี้ ให้ Sn = a1 + a2 + a3 + . . . + an (เมื่อ a1, a2, a3, . . ., an เป็นลาดับเลข คณิต) = a1 + (a1 + d) + (a1 + 2d) + . . . + [a1 + (n – 1)d] = a11 a11  d  2d  3d .  a     ...  a    . .  (n - 1)d   n ตัว n - 1 ตัว = na1 + [1 + 2 + 3 + . . . + (n – 1)]d = na1  n - 1 [1  (n - 1)]d 2 (n - 1) = na1  2 nd 2na1  (n - 1) nd = 2 n [2a1  (n - 1)d] = 2 n  Sn = 2 [2a1  (n - 1)d] ………………..  n หรือ Sn = 2 [a1  a1  (n - 1)d] n Sn = 2 (a1  a n ) ………………….  สรุป สูตรการหาผลบวก n พจน์แรกของอนุกรมเลขคณิต คือ Sn = n [2a1  (n - 1)d] 2
  • 15.
    หรือ Sn = n (a1  an ) 2 เมื่อ Sn แทน ผลบวก n พจน์แรกของอนุกรมเลขคณิต a1 แทน พจน์ที่ 1 ของอนุกรมเลขคณิต d แทน ผลต่างร่วมของอนุกรมเลขคณิต an แทน พจน์ที่ n ของอนุกรมเลขคณิต ตัวอย่างที่ 1 จากอนุกรมเลขคณิต 100 + 95 + 90 + . . . จงหา S15 วิธีทา จากสูตร Sn = n [2a1  (n - 1)d] 2 จากโจทย์ จะได้ a1 = 100 , d = 5 , n = 15 แทนค่า S15 = 15 2(100)  (15 - 1)(5) 2 15 = [ 200 - 70 ] 2 15 = (130) 2 = 975 ตัวอย่างที่ 2 จงหาผลบวกของอนุกรมเลขคณิต 1 + 2 + 3 + . . . + 300 วิธีทา จากอนุกรมเลขคณิต 1 + 2 + 3 + . . . + 300 จะได้ a1 = 1 , n = 300 , an = 300 จากสูตร Sn = n (a1  an ) 2 300 แทนค่า S300 = 2 (1  300) = 150(301) = 45,150 ตัวอย่างที่ 3 ให้ลาดับเลขคณิตลาดับหนึ่งมีผลต่างร่วมเท่ากับ 4 และพจน์ที่ 13 คือ 51 จงหาผลบวก 13 พจน์แรก วิธีทา จาก an = a1 + (n – 1)d จากโจทย์ จะได้ d = 4 และ a13 = 51 แทนค่า 51 = a1 + 12(4) a1 = 3 จากสูตร Sn = n (a1  an ) 2 13  S13 = 2 [a1  a13 ] 13 = 2 [3  51] 13 = 2 (54) = 351  ผลบวก 13 พจน์แรก มีค่าเท่ากับ 351
  • 16.
    ตัวอย่างที่ 4 ให้อนุกรมเลขคณิตชุดหนึ่ง มีผลบวก 11 พจน์แรกเท่ากับ 77 และ ผลต่างร่วมเท่ากับ 3 จงหาพจน์แรกและพจน์ที่ 11 วิธีทา จากโจทย์ จะได้ d = 3 และ S11 = 77 จาก an = a1 + (n – 1)d  a11= a1 + 0(3) a11 – a1 – 30 = 0 …………………….  n จากสูตร Sn = (a1  a n ) 2 11  S11 = [a1  a11 ] 2 11 77 = [a1  a11 ] 2 154 = 11a1 + 11a11 11a11 – 11a1 – 154 = 0 ……………………    11 11a11 – 11a1 – 330 = 0 ……………………  + 22a11 – 484 = 0 22a11 = 484 a11 = 22 แทนค่า a11 ใน  22 – a1 – 30 = 0 – a1 – 8 = 0  a1 = –8  พจน์แรก มีค่าเท่ากับ – 8 พจน์ที่ 11 มีค่าเท่ากับ 22 ตัวอย่างที่ 5 จงหาผลบวกของทุกจานวนคี่จาก 61 ถึง 121 วิธีทา จากโจทย์ จะได้ a1 = 61 , d = 2 และ an = 121 จากสูตร an = a1 + (n – 1)d แทนค่า 121 = 61 + (n – 1)(2) 121 = 61 + 2n – 2 2n = 62  n = 31 n จากสูตร Sn = 2 (a1  a n ) 31 แทนค่า S31 = 2 [61  121] 31 = 2 (182) = 2,821  ผลบวกของทุกจานวนคี่จาก 61 ถึง 121 คือ 2,821
  • 17.
    แบบฝึกหัดที่ 12 เรื่องอนุกรมเลขคณิต คาชี้แจง ให้นักเรียนแสดงวิธีทา 1.กาหนด จงหาผลบวก n พจน์แรกตามเงื่อนไขที่กาหนดในแต่ละข้อต่อไปนี้ 1.1 a1 = -3 , d = 6 จงหา S10 1.2 a1 = 10 , d = 5 จงหา S20 1.3 a1 = 60 , d = -2 จงหา S20 1.4 a1 = 8 , d = 4 จงหา S30 1.5 a1 = 8 , d = 14 จงหา S15 2. จงหาผลบวก n พจน์แรกของอนุกรมเลขคณิตต่อไปนี้ 2.1 2 + 4 + 6 + . . . + 100 2.2 10 + 20 + 30 + . . . + 400 2.3 1 + 3 + 5 + . . . + 41 3. อนุกรมเลขคณิตชุดหนึ่ง มีผลบวกพจน์ที่ 2 กับพจน์ที่ 4 เท่ากับ 15 และผลบวกของพจน์ที่ 5 กับพจน์ที่ 6 เท่ากับ 25 จงหาผลบวกของ 20 พจน์แรก 4. ผลบวกของจานวนเต็มที่อยู่ระหว่าง 50 และ 350 และมีหลักหน่วยเป็น 1 มีค่าเท่าไร 5. จงหาผลบวกของจานวนเต็มที่อยู่ระหว่าง 65 กับ 193 ที่หารด้วย 4 ลงตัว 6. นายปรีชาได้รับรายได้จากการขายของเดือนแรก 3,600 บาท และรายได้ดังกล่าวจะเพิ่มขึ้นเดือน ละ 200 บาททุกเดือน จงหารายได้ทั้งหมดเมื่อเขาทางานครบ 12 เดือน
  • 18.
    เฉลยแบบฝึกหัดที่ 12 เรื่องอนุกรมเลขคณิต 1) 1.1 240 1.2 1,150 1.3 820 1.4 750 1.5 2) 2.1 5,100 2.2 82,000 2.3 861 3) 2,660 4) 5,880 5) 4,160 6) 56,400