คู่มือประกอบสื่อการสอน วิชาคณิตศาสตร์

                    เรื่อง

                   ตรีโกณมิติ
               (เนื้อหาตอนที่ 8)
           ฟังก์ชันตรีโกณมิติผกผัน

                    โดย

      รองศาสตราจารย์ จิตรจวบ เปาอินทร์


     สื่อการสอนชุดนี้ เป็นความร่วมมือระหว่าง
  คณะวิทยาศาสตร์ จุฬาลงกรณ์มหาวิทยาลัย กับ
สานักงานคณะกรรมการการศึกษาขั้นพื้นฐาน (สพฐ.)
              กระทรวงศึกษาธิการ
คู่มือสื่อการสอนวิชาคณิตศาสตร์ โดยความร่วมมือระหว่าง
       สานักงานคณะกรรมการการศึกษาขั้นพื้นฐาน และ คณะวิทยาศาสตร์ จุฬาลงกรณ์มหาวิทยาลัย


                               สื่อการสอน เรื่อง ตรีโกณมิติ
      สื่อการสอน เรื่อง ตรีโกณมิติ มีจานวนตอนทั้งหมดรวม 15 ตอน ซึ่งประกอบด้วย

1. บทนา เรื่อง ตรีโกณมิติ
2. เนื้อหาตอนที่ 1 อัตราส่วนตรีโกณมิติ
                     - สมบัติของรูปสามเหลี่ยมมุมฉากและทฤษฎีบทพีทาโกรัส
                     - อัตราส่วนตรีโกณมิติ
                     - อัตราส่วนตรีโกณมิติของมุม 30 45 และ 60
3. เนื้อหาตอนที่ 2 เอกลักษณ์ของอัตราส่วนตรีโกณมิติและวงกลมหนึ่งหน่วย
                     - เอกลักษณ์ของอัตราส่วนตรีโกณมิติ
                     - วงกลมหนึ่งหน่วย การวัดมุมและหน่วยของมุม
4. เนื้อหาตอนที่ 3 ฟังก์ชันตรีโกณมิติ 1
                     - ฟังก์ชันตรีโกณมิติของค่าจริงและของมุม
                     - ค่าฟังก์ชันตรีโกณมิติของมุม 30 45 และ 60
5. เนื้อหาตอนที่ 4 ฟังก์ชันตรีโกณมิติ 2
                     - ความแตกต่างและความสัมพันธ์ของอัตราส่วนตรีโกณมิติ
                        กับฟังก์ชันตรีโกณมิติ
                     - ค่าฟังก์ชันตรีโกณมิติของมุมในจตุภาคต่าง ๆ
6. เนื้อหาตอนที่ 5 ฟังก์ชันตรีโกณมิติ 3
                     - ค่าฟังก์ชันตรีโกณมิติของผลบวกและผลต่างของมุม
                     - สูตรผลคูณ ผลบวกและผลต่างของฟังก์ชันตรีโกณมิติ
7. เนื้อหาตอนที่ 6 กฎของไซน์และกฎของโคไซน์
                     - กฎของไซน์
                     - กฎของโคไซน์
8. เนื้อหาตอนที่ 7 กราฟของฟังก์ชันตรีโกณมิติ
                     - การเปิดตารางหาค่าฟังก์ชันตรีโกณมิติ
                     - กราฟของฟังก์ชันตรีโกณมิติ




                                                 1
คู่มือสื่อการสอนวิชาคณิตศาสตร์ โดยความร่วมมือระหว่าง
        สานักงานคณะกรรมการการศึกษาขั้นพื้นฐาน และ คณะวิทยาศาสตร์ จุฬาลงกรณ์มหาวิทยาลัย



9. เนื้อหาตอนที่ 8        ฟังก์ชันตรีโกณมิติผกผัน
                         - ฟังก์ชันตรีโกณมิติผกผัน
                         - สมบัติและความสัมพันธ์ของฟังก์ชันตรีโกณมิติผกผัน
 8. แบบฝึกหัด (พื้นฐาน 1)
 9. แบบฝึกหัด (พื้นฐาน 2)
10. แบบฝึกหัด (พื้นฐาน 3)
11. แบบฝึกหัด (พื้นฐาน 4)
12. แบบฝึกหัด (ขั้นสูง)
13. สื่อปฏิสัมพันธ์ เรื่อง มุมบนวงกลมหนึ่งหน่วย
14. สื่อปฏิสัมพันธ์ เรื่อง กราฟของฟังก์ชันตรีโกณมิติและฟังก์ชันตรีโกณมิติผกผัน
15. สื่อปฏิสัมพันธ์ เรื่อง กฎของไซน์และกฎของโคไซน์

         คณะผู้จัดทาหวังเป็นอย่างยิ่งว่า สื่อการสอนชุดนี้จะเป็นประโยชน์ต่อการเรียนการสอนสาหรับ
ครู และนักเรียนทุกโรงเรียนที่ใช้สื่อชุดนี้ร่วมกับการเรียนการสอนวิชาคณิตศาสตร์ เรื่อง ตรีโกณมิติ
นอกจากนี้หากท่านสนใจสื่อการสอนวิชาคณิตศาสตร์ในเรื่องอื่นๆที่คณะผู้จัดทาได้ดาเนินการไปแล้ว
ท่านสามารถดูชื่อเรื่อง และชื่อตอนได้จากรายชื่อสื่อการสอนวิชาคณิตศาสตร์ทั้งหมดในตอนท้า ยของ
คู่มือฉบับนี้




                                                  2
คู่มือสื่อการสอนวิชาคณิตศาสตร์ โดยความร่วมมือระหว่าง
               สานักงานคณะกรรมการการศึกษาขั้นพื้นฐาน และ คณะวิทยาศาสตร์ จุฬาลงกรณ์มหาวิทยาลัย



เรื่อง         ตรีโกณมิติ (ฟังก์ชันตรีโกณมิติผกผัน)
หมวด           เนื้อหา
ตอนที่         8 (8 / 8)

หัวข้อย่อย     1. ฟังก์ชันตรีโกณมิติผกผัน
               2. สมบัติและความสัมพันธ์ของฟังก์ชันตรีโกณมิติผกผัน



จุดประสงค์การเรียนรู้
       เพื่อให้ผู้เรียน
    1. เข้าใจในมโนทัศน์ของตัวผกผันของฟังก์ชันตรีโกณมิติและเงื่อนไขที่ทาให้ตัวผกผันของ
       ฟังก์ชันตรีโกณมิติเป็นฟังก์ชันได้
    2. หาค่าฟังก์ชันตรีโกณมิติผกผันได้
    3. วาดกราฟของฟังก์ชันตรีโกณมิติผกผันได้
    4. เข้าใจสมบัติต่าง ๆ ของฟังก์ชันตรีโกณมิติผกผันโดยพิจารณาจากกราฟ



ผลการเรียนรู้
       ผู้เรียนสามารถ
    1. บอกเงื่อนไขที่ทาให้ตัวผกผันของฟังกันตรีโกณมิติทั้ง 6 แบบ เป็นฟังก์ชันได้
    2. หาค่าฟังก์ชันตรีโกณมิติผกผันได้
    3. วาดกราฟของฟังก์ชันตรีโกณมิติผกผันได้
    4. นาความรู้เกี่ยวกับสมบัติต่าง ๆ ของฟังก์ชันตรีโกณมิติผกผันมาประยุกต์ในการแก้ปัญหาได้




                                                         3
คู่มือสื่อการสอนวิชาคณิตศาสตร์ โดยความร่วมมือระหว่าง
สานักงานคณะกรรมการการศึกษาขั้นพื้นฐาน และ คณะวิทยาศาสตร์ จุฬาลงกรณ์มหาวิทยาลัย


                          เนื้อหาในสื่อการสอน




                                          4
คู่มือสื่อการสอนวิชาคณิตศาสตร์ โดยความร่วมมือระหว่าง
สานักงานคณะกรรมการการศึกษาขั้นพื้นฐาน และ คณะวิทยาศาสตร์ จุฬาลงกรณ์มหาวิทยาลัย


                               เนื้อหาทั้งหมด




                                          5
คู่มือสื่อการสอนวิชาคณิตศาสตร์ โดยความร่วมมือระหว่าง
สานักงานคณะกรรมการการศึกษาขั้นพื้นฐาน และ คณะวิทยาศาสตร์ จุฬาลงกรณ์มหาวิทยาลัย




              1. ฟังก์ชันตรีโกณมิติผกผัน




                                          6
คู่มือสื่อการสอนวิชาคณิตศาสตร์ โดยความร่วมมือระหว่าง
                สานักงานคณะกรรมการการศึกษาขั้นพื้นฐาน และ คณะวิทยาศาสตร์ จุฬาลงกรณ์มหาวิทยาลัย


                                      1. ฟังก์ชันตรีโกณมิติผกผัน

         ในตอนที่ 8 นี้ นักเรียนจะได้ศึกษาเรื่องของฟังก์ชันผกผันของฟังก์ชันตรีโกณมิติ แต่ต้องทา
ความเข้าใจกันก่อนว่า โดยทั่ว ๆ ไปแล้ว ตัวผกผันของฟังก์ชันใด ๆ อาจไม่เป็นฟังก์ชัน เช่น
ถ้า f = {(a, 1), (b, 1), (c, 2), (b, 3)} เป็นฟังก์ชันจาก {a, b, c, d} ไปยัง {1, 2, 3}
แต่ตัวผกผันของ f คือ f –1 = {(1, a), (1, b), (2, c), (3, b)} ไม่เป็นฟังก์ชัน
เนื่องจาก (1, a) และ (1, b)  f –1 แต่ a  b




จากตอนที่ 7 นักเรียนได้เห็นสมบัติหนึ่งของฟังก์ชันตรีโกณมิติทั้งหลายที่กล่าวว่า
ฟังก์ชันตรีโกณมิติเป็นฟังก์ชันที่มคาบ กล่าวคือ
                                  ี




                                                          7
คู่มือสื่อการสอนวิชาคณิตศาสตร์ โดยความร่วมมือระหว่าง
                 สานักงานคณะกรรมการการศึกษาขั้นพื้นฐาน และ คณะวิทยาศาสตร์ จุฬาลงกรณ์มหาวิทยาลัย


         เราอยากจะศึกษาตัวผกผันของฟังก์ชันตรีโกณมิติ และต้องการให้ตัวผกผันเหล่านี้เป็นฟังก์ชันด้วย
ดังนั้นเราต้องจากัดโดเมนของฟังก์ชันตรีโกณมิติต่าง ๆ เสียก่อน ซึ่งก็คือการกาหนดเงื่อนไขให้กับฟังก์ชัน
ตรีโกณมิติ เพื่อให้ตัวผกผันเป็นฟังก์ชัน และเราจะเรียกฟังก์ชันผกผันนี้ว่า ฟังก์ชันตรีโกณมิติผกผัน

  ฟังก์ชันไซน์




   ฟังก์ชันโคไซน์




                                                           8
คู่มือสื่อการสอนวิชาคณิตศาสตร์ โดยความร่วมมือระหว่าง
สานักงานคณะกรรมการการศึกษาขั้นพื้นฐาน และ คณะวิทยาศาสตร์ จุฬาลงกรณ์มหาวิทยาลัย




                                          9
คู่มือสื่อการสอนวิชาคณิตศาสตร์ โดยความร่วมมือระหว่าง
            สานักงานคณะกรรมการการศึกษาขั้นพื้นฐาน และ คณะวิทยาศาสตร์ จุฬาลงกรณ์มหาวิทยาลัย


ฟังก์ชันแทนเจนต์




ฟังก์ชันโคซีแคนต์




                                                      10
คู่มือสื่อการสอนวิชาคณิตศาสตร์ โดยความร่วมมือระหว่าง
            สานักงานคณะกรรมการการศึกษาขั้นพื้นฐาน และ คณะวิทยาศาสตร์ จุฬาลงกรณ์มหาวิทยาลัย



ฟังก์ชันซีแคนต์




ฟังก์ชันโคแทนเจนต์




                                                      11
คู่มือสื่อการสอนวิชาคณิตศาสตร์ โดยความร่วมมือระหว่าง
สานักงานคณะกรรมการการศึกษาขั้นพื้นฐาน และ คณะวิทยาศาสตร์ จุฬาลงกรณ์มหาวิทยาลัย




                                          12
คู่มือสื่อการสอนวิชาคณิตศาสตร์ โดยความร่วมมือระหว่าง
                   สานักงานคณะกรรมการการศึกษาขั้นพื้นฐาน และ คณะวิทยาศาสตร์ จุฬาลงกรณ์มหาวิทยาลัย




สาหรับตัวอย่างสุดท้าย เราสามารถใช้อีกวิธีในการแสดงว่า
                                               x
                   sin (arctan x) =                          เมื่อ    x
                                           1 x2
                                                                           
ให้    x      และ    y = arctan x      แล้ว       tan y = x ,         y
                                                                      2     2
ใช้เอกลักษณ์ตรีโกณมิติ                sec2 y = 1 + tan2 y

แล้ว                                  sec2 y = 1 + x2

แต่    sec y > 0   ดังนั้น            sec y =           1 x2

                                                      1
แล้ว      sin (arctan x) = sin y = tan y 
                                                    sec y
                                                    1                 x
                                       = x                  
                                                   1 x2             1 x2

ต่อไปนักเรียนสามารถใช้วิธีทานองเดียวกันนี้ พิสูจน์ข้อความต่อไปนี้
1.     cos (arcsin x) = sin (arccos x) =                1 x2          , x  [–1, 1]

                                                    1
2.     tan (arccot x) = cot (arctan x) =                               ,     x   – {0}
                                                    x
                                                         1
3.     cos (arctan x) = sin (arccot x) =                               ,     x
                                                        1 x2
                                                         x
4.     sin (arctan x) = cos (arccot x) =                               ,     x
                                                        1 x2



                                                                 13
คู่มือสื่อการสอนวิชาคณิตศาสตร์ โดยความร่วมมือระหว่าง
               สานักงานคณะกรรมการการศึกษาขั้นพื้นฐาน และ คณะวิทยาศาสตร์ จุฬาลงกรณ์มหาวิทยาลัย


                                          แบบฝึกหัดเพิ่มเติม
                                                 เรื่อง
                                       ฟังก์ชันตรีโกณมิติผกผัน

1. จงหาค่าต่อไปนี้
                                                                                 3
    1.1   arcsin (– 1)                                         1.2    arccos
                                                                                2
                    3
    1.3   arctan  
                  3 
                                                               1.4    arccsc     2
                     
    1.5   arcsec (– 2)                                         1.6    arccot (– 1)
                 1                                                            2
    1.7   arcsin                                             1.8    arccos  
                                                                              2 
                 2                                                             


2. จงหาค่าต่อไปนี้โดยใช้ตารางค่าฟังก์ชันตรีโกณมิติ
    2.1   arcsin 0.2784                                        2.2    arccos 0.3118

    2.3   arctan 0.1944                                        2.4    arccot 1.9626

    2.5   arcsin (– 0.6561)                                    2.6    arccos (– 0.5736)


3. จงหาค่าต่อไปนี้
                       1                                                     1
    3.1   cos  arcsin                                     3.2    tan  arcsin 
                       2                                                     3
                                                                                   3
    3.3   sin (arctan (– 3))                                   3.4    cot  arccos
                                                                                    
                                                                                  3 
                                                                                     
                       2 5                                                     1 
    3.5   sec  arcsin  
                                                            3.6    tan  arccos    
              
                          5 
                                                                                 3 
                          1 
    3.7   cosec  arccos                                   3.8    sin (arctan (– 2))
                          3 




                                                         14
คู่มือสื่อการสอนวิชาคณิตศาสตร์ โดยความร่วมมือระหว่าง
               สานักงานคณะกรรมการการศึกษาขั้นพื้นฐาน และ คณะวิทยาศาสตร์ จุฬาลงกรณ์มหาวิทยาลัย


4. จงแสดงว่า
    4.1   cos (arcsin x) =       1 x2               , x  [– 1, 1]

    4.2   sin (arccos x) =       1 x2               , x  [– 1, 1]
                           1
    4.3   tan (arccot x) =                           , x       – {0}
                           x
                           1
    4.4   cot (arctan x) =                           , x       – {0}
                           x
                                   1
    4.5   cos (arctan x) =                           , x
                                 1 x2
                                  1
    4.6   sin (arccot x) =                           , x
                                 1 x2
                                  x
    4.7   cos (arccot x) =                           , x
                                 1 x2


5. จงใช้ข้อ 4. ในการหาค่าต่อไปนี้
                         3                                                     1 
    5.1   cos  arcsin  
                       2                                 5.2    sin  arccos    
                                                                               2 
                                                                                    1 
    5.3   tan (arccot 5)                                       5.4    cos  arc cot    
                                                                                    3 
                        1                  1 
    5.5   sin  arc cot      cos  arctan    
                        13                 13  




                                                         15
คู่มือสื่อการสอนวิชาคณิตศาสตร์ โดยความร่วมมือระหว่าง
สานักงานคณะกรรมการการศึกษาขั้นพื้นฐาน และ คณะวิทยาศาสตร์ จุฬาลงกรณ์มหาวิทยาลัย




          2. สมบัตและความสัมพันธ์ของ
                   ิ
             ฟังก์ชันตรีโกณมิติผกผัน




                                          16
คู่มือสื่อการสอนวิชาคณิตศาสตร์ โดยความร่วมมือระหว่าง
                   สานักงานคณะกรรมการการศึกษาขั้นพื้นฐาน และ คณะวิทยาศาสตร์ จุฬาลงกรณ์มหาวิทยาลัย


                   2. สมบัติและความสัมพันธ์ของฟังก์ชันตรีโกณมิติผกผัน

        เราสามารถพิสูจน์สมบัติและความสัมพันธ์ของฟังก์ชันตรีโกณมิติผกผันได้จากบทนิยาม แต่เพื่อให้
นักเรียนได้คุ้นเคยกับกราฟของฟังก์ชันตรีโกณมิติผกผัน เราจะใช้กราฟของฟังก์ชันเหล่านี้หาสมบัติบางประการ

ฟังก์ชัน arcsin




สรุปได้ว่า         arcsin (– x) = – arcsin x             เมื่อ   x  [– 1, 1]


และถ้าจะใช้บทนิยามเพื่อพิสูจน์ข้อความข้างต้น ทาได้ดังนี้
                                                                   
        สมมติ               y = arcsin (– x)         เมื่อ   y   , 
                                                                  2 2
        แล้ว                sin y = – x                  ดังนั้น   x = – sin (y) = sin (– y)

        จะได้ว่า            – y = arcsin x               หรือ       y = – arcsin x       นั่นเอง
        สรุปได้ว่า          arcsin (– x) = arcsin x




                                                             17
คู่มือสื่อการสอนวิชาคณิตศาสตร์ โดยความร่วมมือระหว่าง
                    สานักงานคณะกรรมการการศึกษาขั้นพื้นฐาน และ คณะวิทยาศาสตร์ จุฬาลงกรณ์มหาวิทยาลัย


ฟังก์ชัน arccos




สรุปได้ว่า          arccos (– x) =  – arccos x               เมื่อ    x  [– 1, 1]


และถ้าจะใช้บทนิยามเพื่อพิสูจน์ข้อความข้างต้น ทาได้ดังนี้
        สมมติ                y = arccos (– x)         เมื่อ   y  [0, ]

        แล้ว                 cos y = – x

        เรามีว่า             cos ( – y) = – cos y

        ดังนั้น              cos ( – y) = – ( –x) = x

        จึงได้ว่า             – y = arccos x             หรือ        y =  – arccos x     นั่นเอง
        สรุปได้ว่า           arccos (– x) =  – arccos x




                                                              18
คู่มือสื่อการสอนวิชาคณิตศาสตร์ โดยความร่วมมือระหว่าง
                  สานักงานคณะกรรมการการศึกษาขั้นพื้นฐาน และ คณะวิทยาศาสตร์ จุฬาลงกรณ์มหาวิทยาลัย


ฟังก์ชัน arctan




สรุปได้ว่า        arctan (– x) = – arctan x                 เมื่อ    x

                                                                                        
                            lim arctan x  
                            x 
                                                           และ       lim arctan x
                                                                     x 
                                                                                    =
                                                    2                                    2

และถ้าจะใช้บทนิยามเพื่อพิสูจน์ข้อความข้างต้น ทาได้ดังนี้
                                                                  
        สมมติ              y = arctan (– x)        เมื่อ    y   , 
                                                                 2 2
        แล้ว               tan y = – x                     ดังนั้น   x = – tan (y) = tan (– y)
        จึงได้ว่า          – y = arctan x                  หรือ      y = – arctan x     นั่นเอง
        สรุปได้ว่า         arctan (– x) = – arctan x

นอกจากสมบัติของฟังก์ชันตรีโกณมิติผกผัน 3 ฟังก์ชันคือ
   1. arcsin (– x) = – arcsin x      , x  [– 1, 1]
   2. arccos (– x) =  – arccos x , x  [– 1, 1]
   3. arctan (– x) = – arctan x , x 

                                                              19
คู่มือสื่อการสอนวิชาคณิตศาสตร์ โดยความร่วมมือระหว่าง
                    สานักงานคณะกรรมการการศึกษาขั้นพื้นฐาน และ คณะวิทยาศาสตร์ จุฬาลงกรณ์มหาวิทยาลัย


เรายังหาสมบัติของฟังก์ชันตรีโกณมิติผกผันที่เหลือได้ดังนี้


                      arccsc (– x) = – arccsc x

                                                           
ข้อพิสูจน์ ให้      y = arccsc (– x)       เมื่อ     y    ,  – {0}
                                                          2 2
        แล้ว        cosec y = – x                  ดังนั้น   x = – cosec y = cosec (– y)

        จึงได้ว่า    – y = arccsc x                หรือ      y = – arccsc x

        สรุปได้ว่า           arccsc (– x) = – arccsc x



                      arcsec (– x) =  – arcsec x

                                                                   
ข้อพิสูจน์ ให้       y = arcsec (– x)        เมื่อ    y  [0, ] –  
                                                                   2
        แล้ว        sec y = – x                    แต่       sec ( – y) = – sec y = – (– x) = x

        จึงได้ว่า     – y = arcsec x              หรือ      y =  – arcsec x

        สรุปได้ว่า           arcsec (– x) =  – arcsec x



                      arccot (– x) =  – arccot x


ข้อพิสูจน์ ให้      y = arccot (– x)       เมื่อ     y  (0, )

        แล้ว        cot y = – x                    ดังนั้น   cot ( – y) = – cot y = – (– x) = x

        จึงได้ว่า    – y = arccot x               หรือ      y =  – arccot x

        สรุปได้ว่า           arccot (– x) =  – arccot x




                                                               20
คู่มือสื่อการสอนวิชาคณิตศาสตร์ โดยความร่วมมือระหว่าง
              สานักงานคณะกรรมการการศึกษาขั้นพื้นฐาน และ คณะวิทยาศาสตร์ จุฬาลงกรณ์มหาวิทยาลัย


และจากบทนิยามเราก็สามารถพิสูจน์ความสัมพันธ์ของฟังก์ชันตรีโกณมิติผกผันมากมายดังนี้




สรุปเป็น




                                                        21
คู่มือสื่อการสอนวิชาคณิตศาสตร์ โดยความร่วมมือระหว่าง
                    สานักงานคณะกรรมการการศึกษาขั้นพื้นฐาน และ คณะวิทยาศาสตร์ จุฬาลงกรณ์มหาวิทยาลัย




ตัวอย่างเพิ่มเติม
                                         1          1
ตัวอย่าง จงหาค่าของ          arctan        + arctan
                                         2          3

                                     1                         1
วิธีทา สมมติ        x = arctan            และ    y = arctan
                                     2                         3
                      1                                         1              
ดังนั้น   tan x =       , x        0,         และ    tan y =      , y       0, 
                      2               2                          3              2

เราต้องการหาค่า       x+y      โดยที่     x + y  (0, )

เนื่องจากเรามีค่า    tan x   และ     tan y    เราจะใช้สูตร
                                          tan x  tan y
                    tan (x + y) =
                                         1  tan x tan y

เมื่อแทนค่า   tan x   และ    tan y    จะได้
                               1 1     5
                                 
                tan (x + y) = 2 3  6 = 1
                                 1 1   5
                              1 
                                 2 3   6
                                                                           1          1   
แต่       tan   = 1 ดังนั้น x + y =    ฉะนั้น                       arctan     + arctan   =
              4                      4                                       2          3   4




                                                              22
คู่มือสื่อการสอนวิชาคณิตศาสตร์ โดยความร่วมมือระหว่าง
                      สานักงานคณะกรรมการการศึกษาขั้นพื้นฐาน และ คณะวิทยาศาสตร์ จุฬาลงกรณ์มหาวิทยาลัย


         นักเรียนได้เห็นวิธีการพิสูจน์ข้อความที่เกี่ยวกับฟังก์ชันตรีโกณมิติผกผัน หรือหาค่าของนิพจน์
ที่ประกอบด้วยฟังก์ชันตรีโกณมิติผกผันกันแล้ว ซึ่งก็คือเริ่มต้นด้วยการกาหนดตัวแปรตัวใหม่ให้เท่ากับฟังก์ชัน
ตรีโกณมิติผกผันที่ปรากฏในข้อความ ซึ่งอาจจะมีตัวแปรใหม่หลายตัวได้ แล้วจึงใช้บทนิยามของฟังก์ชัน
ตรีโกณมิติผกผันนั้น ๆ เพื่อพิสูจน์และหาค่าที่ต้องการต่อไป และนอกจากนั้นเราอาจต้องใช้สูตรที่เกี่ยวกับ
ฟังก์ชันตรีโกณมิติประกอบด้วย ดังตัวอย่าง 2 ตัวอย่างต่อไปนี้

                                              1         5
ตัวอย่าง จงหาค่าของ              sin  2 arctan  arctan 
                                              5        12 

                                      1                          5
วิธีทา สมมติ          x = arctan           และ   y = arctan
                                      5                         12
                        1                                           5              
ดังนั้น    tan x =               , x   0,      และ      tan y =             , y   0, 
                        5               2                           12              2
เราต้องการหาค่า        sin (2x – y)

เรามีสูตร             sin (A – B) = sin A cos B – cos A sin B

ถ้าแทน     A   ด้วย
               2x และแทน B ด้วย y แล้วเราต้องหาค่า sin 2x , cos 2x , sin y                                 และ cos y ดังนี้
              1
จาก   tan x =    และ tan y = 5 จะได้รูปสามเหลี่ยมมุมฉากต่อไปนี้
              5              12



                            26                                                     13                  5
                                            1

                        x                                                      y
                                 5                                                      12

                                          1    5      10     5
ดังนั้น    sin (2x) = 2 sin x cos x = 2               
                                          26 26       26    13
                                        25 1       24    12
           cos (2x) = cos2 x – sin2 x =              
                                        26 26      26    13
                     5
           sin y =       และ cos y = 12
                    13                   13
                                                                            5 12   12 5
ฉะนั้น     sin (2x – y) = sin (2x) cos y – cos (2x) sin y =                            0
                                                                           13 13   13 13
                         1         5
จะได้ว่า    sin  2 arctan  arctan   0
                         5        12 



                                                                23
คู่มือสื่อการสอนวิชาคณิตศาสตร์ โดยความร่วมมือระหว่าง
                    สานักงานคณะกรรมการการศึกษาขั้นพื้นฐาน และ คณะวิทยาศาสตร์ จุฬาลงกรณ์มหาวิทยาลัย

                                                                            2x 
ตัวอย่าง จงพิสูจน์ว่า ถ้า            x>1    แล้ว       2 arctan x + arcsin      2 
                                                                                     =
                                                                            1 x 

                                                                               2x 
วิธีทา ให้      x>1         และให้    y = arctan x            และ  z = arcsin      2 
                                                                               1 x 
                                                                      2x                        
แล้ว        tan y = x         , y   0,               และ     sin z =           , z             0, 
                                     2                                1 x2                      2
เราต้องแสดงว่า      2y + z = 

จะใช้สูตรของฟังก์ชันตรีโกณมิติ (เลือกใช้                 sin หรือ tan          ก็ได้)
                    sin (A + B) = sin A cos B + cos A sin B

แทน     A   ด้วย   2y   และแทน       B    ด้วย z
                                             2x
จาก    tan y = x        และ     sin z =                  จะได้รูปสามเหลี่ยมมุมฉากต่อไปนี้
                                            1 x2




                        1 x2                                                           1+x2               2x
                                               x

                        y                                                               z
                                 1
                                                                               (1  x 2 ) 2  4x 2  |1  x 2 |  x 2  1



แล้ว         sin (2y + z) = sin (2y) cos z + cos (2y) sin z

                                = 2 sin y cos y cos z + (cos2 y – sin2 y) sin z
                                           x             1          x 2 1  1     x 2  2x
                                = 2                                                       =0
                                          1 x2         1 x2       1 x2  1 x2 1 x2  1 x2

เรามีว่า    sin (n) = 0        ทุก       n

                 3 
แต่    2y + z   0,           ดังนั้น    2y + z =                เท่านั้น
                 2 
                                         2x 
จึงสรุปได้ว่า       2 arctan x + arcsin      2 
                                                  = 
                                         1 x 


                                                                       24
คู่มือสื่อการสอนวิชาคณิตศาสตร์ โดยความร่วมมือระหว่าง
               สานักงานคณะกรรมการการศึกษาขั้นพื้นฐาน และ คณะวิทยาศาสตร์ จุฬาลงกรณ์มหาวิทยาลัย


ต่อไปเป็นการประยุกต์ฟังก์ชันตรีโกณมิติผกผัน




                                                         25
คู่มือสื่อการสอนวิชาคณิตศาสตร์ โดยความร่วมมือระหว่าง
สานักงานคณะกรรมการการศึกษาขั้นพื้นฐาน และ คณะวิทยาศาสตร์ จุฬาลงกรณ์มหาวิทยาลัย




                                          26
คู่มือสื่อการสอนวิชาคณิตศาสตร์ โดยความร่วมมือระหว่าง
              สานักงานคณะกรรมการการศึกษาขั้นพื้นฐาน และ คณะวิทยาศาสตร์ จุฬาลงกรณ์มหาวิทยาลัย


                              แบบฝึกหัดเพิ่มเติม
                                    เรื่อง
                สมบัติและความสัมพันธ์ของฟังก์ชันตรีโกณมิติผกผัน

1. จงหาค่าต่อไปนี้
                  1            1                                                                    1
    1.1   arcsin    + arccos                                      1.2     3 arccsc (5) – 3 arcsin  
                  7            7                                                                    5
                               
    1.3   arcsin  cos 2  sin 2                                       1.4     arctan 1 + arctan 2 + arctan 3
                       12      12 
                 1         1          1     1                                              1           1
    1.4   arctan + arctan + arctan + arctan                             1.6     4 arctan     – arctan
                 3         5          7     8                                              5          239


2. จงหาผลเฉลยของสมการ
                                                                               x 1          x 1 
    2.1   arctan 2x + arctan 3x =                                2.2   arctan        + arctan     
                                        4                                       x2           x2 4
    2.3                       
          arcsin   2 arccos x  = 0
                 2             
                                                                 2.4                           
                                                                       2 arcsin x + arcsin 2x 1  x 2     
                                                                                                            3


3. จงแสดงว่า
   3.1 arctan 1 + arctan 2 + arctan 3      = 
                                                        
    3.2   ถ้า x > 0 แล้ว arctan x + arctan 1 
                                            x           2
                                                             
    3.3   ถ้า x < 0 แล้ว arctan x + arctan 1            
                                             x               2
                          x        2
                                    x
    3.4   sin   2arccos              1 ทุก         x  [–2, 2]
              2            2       2
    3.5   ถ้า x = arctan 1 และ y = arctan 1             แล้ว      cos 2x = sin 4y
                          7                    3


4. ให้นักเรียนไปวัดส่วนต่าง ๆ ของสนามฟุตบอลในโรงเรียนของนักเรียน แล้วจงหาว่านักเรียนจะต้อง
    เตะบอลในตาแหน่งจุดโทษ ด้วยมุมเตะไม่เกินเท่าใด ถึงจะทาให้ลูกบอลไม่เลยคานประตู เมื่อ
    4.1 ยิงบริเวณกลาง ๆ ประตู                                    4.2 ยิงบริเวณริม ๆ ประตู



                                                        27
คู่มือสื่อการสอนวิชาคณิตศาสตร์ โดยความร่วมมือระหว่าง
สานักงานคณะกรรมการการศึกษาขั้นพื้นฐาน และ คณะวิทยาศาสตร์ จุฬาลงกรณ์มหาวิทยาลัย




              สรุปสาระสาคัญประจาตอน




                                          28
คู่มือสื่อการสอนวิชาคณิตศาสตร์ โดยความร่วมมือระหว่าง
สานักงานคณะกรรมการการศึกษาขั้นพื้นฐาน และ คณะวิทยาศาสตร์ จุฬาลงกรณ์มหาวิทยาลัย


                      สรุปสาระสาคัญประจาตอน




                                          29
คู่มือสื่อการสอนวิชาคณิตศาสตร์ โดยความร่วมมือระหว่าง
           สานักงานคณะกรรมการการศึกษาขั้นพื้นฐาน และ คณะวิทยาศาสตร์ จุฬาลงกรณ์มหาวิทยาลัย




                                            เอกสารอ้างอิง

1. ดารงค์ ทิพย์โยธา, เสริมความรู้มุ่งสู่โอลิมปิกคณิตศาสตร์โลกตรีโกณมิติ,
    โรงพิมพ์แห่งจุฬาลงกรณ์มหาวิทยาลัย, 2550.




                                                     30
คู่มือสื่อการสอนวิชาคณิตศาสตร์ โดยความร่วมมือระหว่าง
สานักงานคณะกรรมการการศึกษาขั้นพื้นฐาน และ คณะวิทยาศาสตร์ จุฬาลงกรณ์มหาวิทยาลัย




                   ภาคผนวกที่ 1
              แบบฝึกหัด / เนื้อหาเพิ่มเติม




                                          31
คู่มือสื่อการสอนวิชาคณิตศาสตร์ โดยความร่วมมือระหว่าง
                  สานักงานคณะกรรมการการศึกษาขั้นพื้นฐาน และ คณะวิทยาศาสตร์ จุฬาลงกรณ์มหาวิทยาลัย


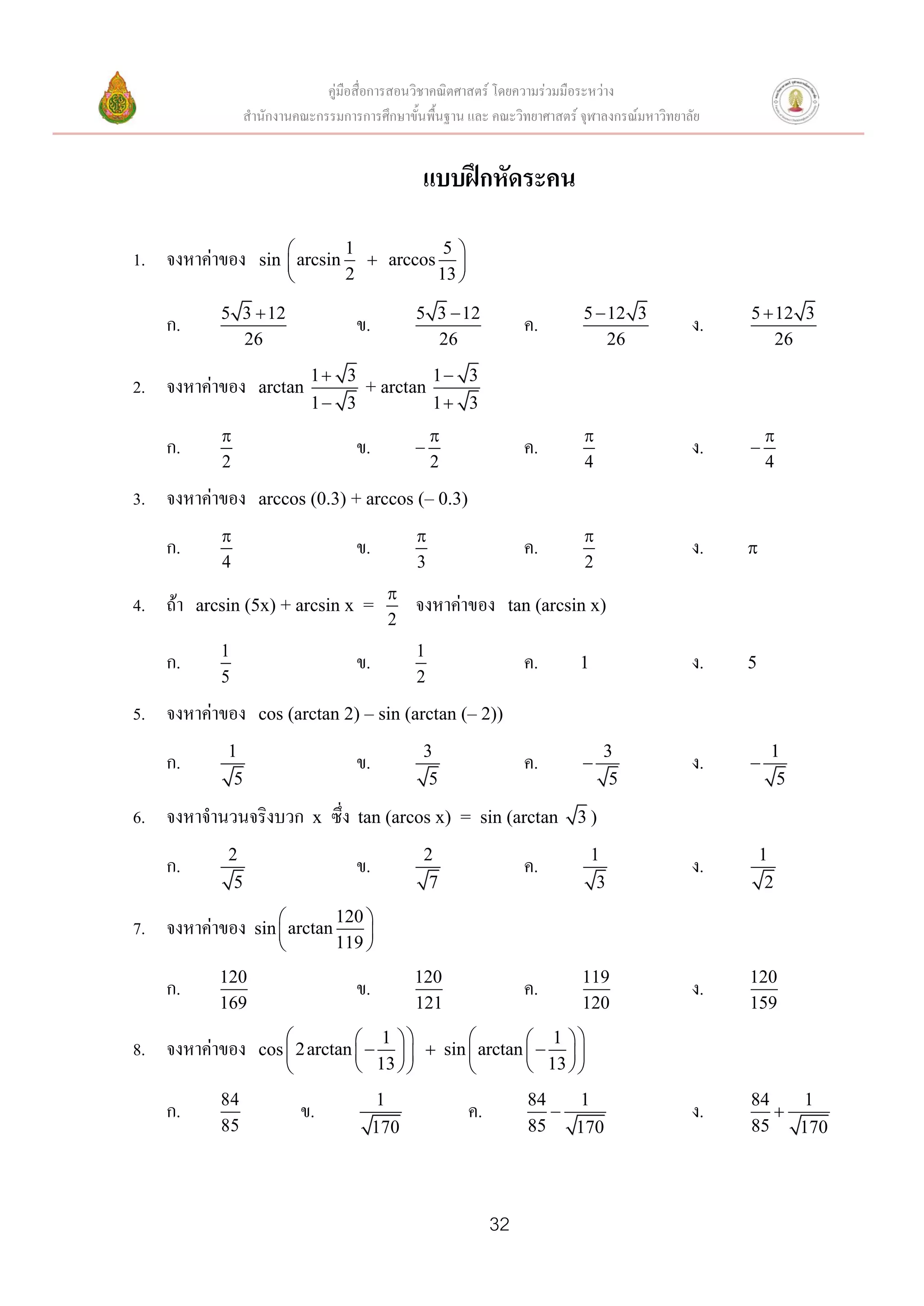
                                                   แบบฝึกหัดระคน

                               1         5
1. จงหาค่าของ       sin  arcsin  arccos 
                               2        13 

            5 3  12                               5 3  12                 5  12 3               5  12 3
   ก.                                   ข.                           ค.                       ง.
              26                                     26                         26                     26
                             1 3          1 3
2. จงหาค่าของ       arctan        + arctan
                             1 3          1 3
                                                                                                    
   ก.                                   ข.                          ค.                       ง.   
            2                                          2                    4                          4

3. จงหาค่าของ       arccos (0.3) + arccos (– 0.3)
                                                                          
   ก.                                   ข.                           ค.                       ง.   
            4                                      3                        2
                                              
4. ถ้า   arcsin (5x) + arcsin x =                  จงหาค่าของ    tan (arcsin x)
                                              2
            1                                      1
   ก.                                   ข.                           ค.    1                  ง.   5
            5                                      2

5. จงหาค่าของ       cos (arctan 2) – sin (arctan (– 2))

             1                                     3                            3                       1
   ก.                                   ข.                           ค.                      ง.   
              5                                     5                            5                       5

6. จงหาจานวนจริงบวก          x   ซึ่ง   tan (arcos x) = sin (arctan        3)

             2                                      2                          1                       1
   ก.                                   ข.                           ค.                       ง.
              5                                      7                          3                       2
                               120 
7. จงหาค่าของ      sin  arctan     
                               119 
            120                                    120                     119                     120
   ก.                                   ข.                           ค.                       ง.
            169                                    121                     120                     159
                                   1                  1 
8. จงหาค่าของ       cos  2 arctan      sin  arctan    
                                   13                 13  
            84                               1                       84   1                        84   1
   ก.                      ข.                              ค.                                ง.      
            85                               170                     85   170                      85   170




                                                                32
คู่มือสื่อการสอนวิชาคณิตศาสตร์ โดยความร่วมมือระหว่าง
               สานักงานคณะกรรมการการศึกษาขั้นพื้นฐาน และ คณะวิทยาศาสตร์ จุฬาลงกรณ์มหาวิทยาลัย


9. จงพิจารณาว่าข้อใดต่อไปนี้ถูกต้อง
    ก.    arccos (– x) = – arccos x ,          x  [– 1, 1]

                             1
    ข.    arccsc x = arcsin             ,   x  [– 1, 1] – {0}
                             x
                 1
    ค.    arcsec   = arccos x            ,   x  [– 1, 1] – {0}
                 x

    ง.   arctan x + arccot x =            ,    x



10. จงพิจารณาว่าข้อใดต่อไปนี้ผิด
    ก.    cos (arcsin x) = sin (arccos x)            ,    x  [– 1, 1]

    ข.    tan (arccot x) = cot (arctan x)            ,    x0

    ค.    cos (arccot x) = x sin (arccot x)          ,    x

    ง.   sin (arctan x) = – cos (arctan x) ,              x




                                                         33
คู่มือสื่อการสอนวิชาคณิตศาสตร์ โดยความร่วมมือระหว่าง
สานักงานคณะกรรมการการศึกษาขั้นพื้นฐาน และ คณะวิทยาศาสตร์ จุฬาลงกรณ์มหาวิทยาลัย




                           ภาคผนวกที่ 2
                          เฉลยแบบฝึกหัด




                                          34
คู่มือสื่อการสอนวิชาคณิตศาสตร์ โดยความร่วมมือระหว่าง
                  สานักงานคณะกรรมการการศึกษาขั้นพื้นฐาน และ คณะวิทยาศาสตร์ จุฬาลงกรณ์มหาวิทยาลัย


                                                เฉลยแบบฝึกหัด
                                        เรื่องฟังก์ชันตรีโกณมิติผกผัน
                                                                                               
1. 1.1                    1.2                             1.3                            1.4
             2                     6                                      6                       4
         2                                                                                     3
   1.5                     1.6                            1.7                             1.8
          3                            4                              6                            4

2. 2.1   0.2822            2.2    1.2537                   2.3    0.1920

   2.4   0.4712            2.5    – 0.7156                 2.6    2.1817

              3                      2                                    3 10                     2
3. 3.1                     3.2                             3.3                            3.4
             2                      4                                      10                     2
                                                                      3 2                         2 5
   3.5       5             3.6     2 2                    3.7                             3.8
                                                                       4                            5
         1                           3                 1                              10                    26
5. 5.1                     5.2                   5.3                      5.4                        5.5
         2                          2                  5                             10                     170




                                     เฉลยแบบฝึกหัด
                  เรื่องสมบัติและความสัมพันธ์ของฟังก์ชันตรีโกณมิติผกผัน
                                                                                
1. 1.1                                 1.2   0                            1.3
         2                                                                       3
                                                                                
   1.4                                1.5                                1.6
                                             4                                   4
         1                                         2                              2                          3 1
2. 2.1                                 2.2                               2.3                         2.4
         6                                        2                              2                          2 2


                                             เฉลยแบบฝึกหัดระคน
1. ง                       2. ข                            3. ง                            4. ก                     5. ข
6. ข                       7. ก                            8. ค                            9. ค                     10. ง

                                                                 35
คู่มือสื่อการสอนวิชาคณิตศาสตร์ โดยความร่วมมือระหว่าง
สานักงานคณะกรรมการการศึกษาขั้นพื้นฐาน และ คณะวิทยาศาสตร์ จุฬาลงกรณ์มหาวิทยาลัย




                รายชื่อสื่อการสอนวิชาคณิตศาสตร์
                           จานวน 92 ตอน




                                          36
คู่มือสื่อการสอนวิชาคณิตศาสตร์ โดยความร่วมมือระหว่าง
                 สานักงานคณะกรรมการการศึกษาขั้นพื้นฐาน และ คณะวิทยาศาสตร์ จุฬาลงกรณ์มหาวิทยาลัย


                             รายชื่อสื่อการสอนวิชาคณิตศาสตร์ จานวน 92 ตอน

                เรื่อง                                                             ตอน
เซต                                    บทนา เรื่อง เซต
                                       ความหมายของเซต
                                       เซตกาลังและการดาเนินการบนเซต
                                       เอกลักษณ์ของการดาเนินการบนเซตและแผนภาพเวนน์-ออยเลอร์
                                       สื่อปฏิสัมพันธ์เรื่องแผนภาพเวนน์-ออยเลอร์
การให้เหตุผลและตรรกศาสตร์              บทนา เรื่อง การให้เหตุผลและตรรกศาสตร์
                                       การให้เหตุผล
                                       ประพจน์และการสมมูล
                                       สัจนิรันดร์และการอ้างเหตุผล
                                       ประโยคเปิดและวลีบงปริมาณ
                                                             ่
                                       สื่อปฏิสัมพันธ์เรื่องหอคอยฮานอย
                                       สื่อปฏิสัมพันธ์เรื่องตารางค่าความจริง
จานวนจริง                              บทนา เรื่อง จานวนจริง
                                       สมบัติของจานวนจริง
                                       การแยกตัวประกอบ
                                       ทฤษฏีบทตัวประกอบ
                                       สมการพหุนาม
                                       อสมการ
                                       เทคนิคการแก้อสมการ
                                       ค่าสัมบูรณ์
                                       การแก้อสมการค่าสัมบูรณ์
                                       กราฟค่าสัมบูรณ์
                                       สื่อปฏิสัมพันธ์เรื่องช่วงบนเส้นจานวน
                                       สื่อปฏิสัมพันธ์เรื่องสมการและอสมการพหุนาม
                                       สื่อปฏิสัมพันธ์เรื่องกราฟค่าสัมบูรณ์
ทฤษฎีจานวนเบื้องต้น                    บทนา เรื่อง ทฤษฎีจานวนเบื้องต้น
                                       การหารลงตัวและจานวนเฉพาะ
                                       (การหารลงตัวและตัววคูณร่วมมาก)
                                       ตัวหารร่วมมากและตั หารร่ วมน้อย
ความสัมพันธ์และฟังก์ชัน                บทนา เรื่อง ความสัมพันธ์และฟังก์ชัน
                                       ความสัมพันธ์




                                                             37
คู่มือสื่อการสอนวิชาคณิตศาสตร์ โดยความร่วมมือระหว่าง
                   สานักงานคณะกรรมการการศึกษาขั้นพื้นฐาน และ คณะวิทยาศาสตร์ จุฬาลงกรณ์มหาวิทยาลัย


                  เรื่อง                                                              ตอน
ความสัมพันธ์และฟังก์ชัน                    โดเมนและเรนจ์
                                           อินเวอร์สของความสัมพันธ์และบทนิยามของฟังก์ชัน
                                           ฟังก์ชันเบื้องต้น
                                           พีชคณิตของฟังก์ชัน
                                           อินเวอร์สของฟังก์ชันและฟังก์ชันอินเวอร์ส
                                           ฟังก์ชันประกอบ
ฟังก์ชันชีกาลังและฟังก์ชันลอการิทึม
          ้                                บทนา เรื่อง ฟังก์ชันชี้กาลังและฟังก์ชันลอการิทึม
                                           เลขยกกาลัง
                                           ฟังก์ชันชีกาลังและฟังก์ชันลอการิทึม
                                                     ้
                                           ลอการิทึม
                                           อสมการเลขชี้กาลัง
                                           อสมการลอการิทึม
ตรีโกณมิติ                                 บทนา เรื่อง ตรีโกณมิติ
                                           อัตราส่วนตรีโกณมิติ
                                           เอกลักษณ์ของอัตราส่วนตรีโกณมิติ และวงกลมหนึ่งหน่วย
                                           ฟังก์ชันตรีโกณมิติ 1
                                           ฟังก์ชันตรีโกณมิติ 2
                                           ฟังก์ชันตรีโกณมิติ 3
                                           กฎของไซน์และโคไซน์
                                           กราฟของฟังก์ชันตรีโกณมิติ
                                           ฟังก์ชันตรีโกณมิติผกผัน
                                           สื่อปฏิสัมพันธ์เรื่องมุมบนวงกลมหนึงหน่วย
                                                                               ่
                                           สื่อปฏิสัมพันธ์เรื่องกราฟของฟังก์ชันตรีโกณมิติ
                                           สื่อปฏิสัมพันธ์เรื่องกฎของไซน์และกฎของโคไซน์
กาหนดการเชิงเส้น                           บทนา เรื่อง กาหนดการเชิงเส้น
                                           การสร้างแบบจาลองทางคณิตศาสตร์
                                           การหาค่าสุดขีด
ลาดับและอนุกรม                             บทนา เรื่อง ลาดับและอนุกรม
                                           ลาดับ
                                           การประยุกต์ลาดับเลขคณิตและเรขาคณิต
                                           ลิมิตของลาดับ
                                           ผลบวกย่อย
                                           อนุกรม
                                           ทฤษฎีบทการลู่เข้าของอนุกรม




                                                             38
คู่มือสื่อการสอนวิชาคณิตศาสตร์ โดยความร่วมมือระหว่าง
                   สานักงานคณะกรรมการการศึกษาขั้นพื้นฐาน และ คณะวิทยาศาสตร์ จุฬาลงกรณ์มหาวิทยาลัย



                 เรื่อง                                                             ตอน
การนับและความน่าจะเป็น                     บทนา เรื่อง การนับและความน่าจะเป็น
                     .                     การนับเบื้องต้น
                                           การเรียงสับเปลี่ยน
                                           การจัดหมู่
                                           ทฤษฎีบททวินาม
                                           การทดลองสุ่ม
                                           ความน่าจะเป็น 1
                                           ความน่าจะเป็น 2
สถิติและการวิเคราะห์ข้อมูล                 บทนา เรื่อง สถิติและการวิเคราะห์ข้อมูล
                                           บทนา เนื้อหา
                                           แนวโน้มเข้าสู่ส่วนกลาง 1
                                           แนวโน้มเข้าสู่ส่วนกลาง 2
                                           แนวโน้มเข้าสู่ส่วนกลาง 3
                                           การกระจายของข้อมูล
                                           การกระจายสัมบูรณ์ 1
                                           การกระจายสัมบูรณ์ 2
                                           การกระจายสัมบูรณ์ 3
                                           การกระจายสัมพัทธ์
                                           คะแนนมาตรฐาน
                                           ความสัมพันธ์ระหว่างข้อมูล 1
                                           ความสัมพันธ์ระหว่างข้อมูล 2
                                           โปรแกรมการคานวณทางสถิติ 1
                                           โปรแกรมการคานวณทางสถิติ 2
โครงงานคณิตศาสตร์                          การลงทุน SET50 โดยวิธีการลงทุนแบบถัวเฉลี่ย
                                           ปัญหาการวางตัวเบี้ยบนตารางจัตุรัส
                                           การถอดรากที่สาม
                                           เส้นตรงล้อมเส้นโค้ง
                                           กระเบื้องที่ยืดหดได้




                                                              39

51 ตรีโกณมิติ ตอนที่8_ฟังก์ชันตรีโกณมิติผกผัน

  • 1.
    คู่มือประกอบสื่อการสอน วิชาคณิตศาสตร์ เรื่อง ตรีโกณมิติ (เนื้อหาตอนที่ 8) ฟังก์ชันตรีโกณมิติผกผัน โดย รองศาสตราจารย์ จิตรจวบ เปาอินทร์ สื่อการสอนชุดนี้ เป็นความร่วมมือระหว่าง คณะวิทยาศาสตร์ จุฬาลงกรณ์มหาวิทยาลัย กับ สานักงานคณะกรรมการการศึกษาขั้นพื้นฐาน (สพฐ.) กระทรวงศึกษาธิการ
  • 2.
    คู่มือสื่อการสอนวิชาคณิตศาสตร์ โดยความร่วมมือระหว่าง สานักงานคณะกรรมการการศึกษาขั้นพื้นฐาน และ คณะวิทยาศาสตร์ จุฬาลงกรณ์มหาวิทยาลัย สื่อการสอน เรื่อง ตรีโกณมิติ สื่อการสอน เรื่อง ตรีโกณมิติ มีจานวนตอนทั้งหมดรวม 15 ตอน ซึ่งประกอบด้วย 1. บทนา เรื่อง ตรีโกณมิติ 2. เนื้อหาตอนที่ 1 อัตราส่วนตรีโกณมิติ - สมบัติของรูปสามเหลี่ยมมุมฉากและทฤษฎีบทพีทาโกรัส - อัตราส่วนตรีโกณมิติ - อัตราส่วนตรีโกณมิติของมุม 30 45 และ 60 3. เนื้อหาตอนที่ 2 เอกลักษณ์ของอัตราส่วนตรีโกณมิติและวงกลมหนึ่งหน่วย - เอกลักษณ์ของอัตราส่วนตรีโกณมิติ - วงกลมหนึ่งหน่วย การวัดมุมและหน่วยของมุม 4. เนื้อหาตอนที่ 3 ฟังก์ชันตรีโกณมิติ 1 - ฟังก์ชันตรีโกณมิติของค่าจริงและของมุม - ค่าฟังก์ชันตรีโกณมิติของมุม 30 45 และ 60 5. เนื้อหาตอนที่ 4 ฟังก์ชันตรีโกณมิติ 2 - ความแตกต่างและความสัมพันธ์ของอัตราส่วนตรีโกณมิติ กับฟังก์ชันตรีโกณมิติ - ค่าฟังก์ชันตรีโกณมิติของมุมในจตุภาคต่าง ๆ 6. เนื้อหาตอนที่ 5 ฟังก์ชันตรีโกณมิติ 3 - ค่าฟังก์ชันตรีโกณมิติของผลบวกและผลต่างของมุม - สูตรผลคูณ ผลบวกและผลต่างของฟังก์ชันตรีโกณมิติ 7. เนื้อหาตอนที่ 6 กฎของไซน์และกฎของโคไซน์ - กฎของไซน์ - กฎของโคไซน์ 8. เนื้อหาตอนที่ 7 กราฟของฟังก์ชันตรีโกณมิติ - การเปิดตารางหาค่าฟังก์ชันตรีโกณมิติ - กราฟของฟังก์ชันตรีโกณมิติ 1
  • 3.
    คู่มือสื่อการสอนวิชาคณิตศาสตร์ โดยความร่วมมือระหว่าง สานักงานคณะกรรมการการศึกษาขั้นพื้นฐาน และ คณะวิทยาศาสตร์ จุฬาลงกรณ์มหาวิทยาลัย 9. เนื้อหาตอนที่ 8 ฟังก์ชันตรีโกณมิติผกผัน - ฟังก์ชันตรีโกณมิติผกผัน - สมบัติและความสัมพันธ์ของฟังก์ชันตรีโกณมิติผกผัน 8. แบบฝึกหัด (พื้นฐาน 1) 9. แบบฝึกหัด (พื้นฐาน 2) 10. แบบฝึกหัด (พื้นฐาน 3) 11. แบบฝึกหัด (พื้นฐาน 4) 12. แบบฝึกหัด (ขั้นสูง) 13. สื่อปฏิสัมพันธ์ เรื่อง มุมบนวงกลมหนึ่งหน่วย 14. สื่อปฏิสัมพันธ์ เรื่อง กราฟของฟังก์ชันตรีโกณมิติและฟังก์ชันตรีโกณมิติผกผัน 15. สื่อปฏิสัมพันธ์ เรื่อง กฎของไซน์และกฎของโคไซน์ คณะผู้จัดทาหวังเป็นอย่างยิ่งว่า สื่อการสอนชุดนี้จะเป็นประโยชน์ต่อการเรียนการสอนสาหรับ ครู และนักเรียนทุกโรงเรียนที่ใช้สื่อชุดนี้ร่วมกับการเรียนการสอนวิชาคณิตศาสตร์ เรื่อง ตรีโกณมิติ นอกจากนี้หากท่านสนใจสื่อการสอนวิชาคณิตศาสตร์ในเรื่องอื่นๆที่คณะผู้จัดทาได้ดาเนินการไปแล้ว ท่านสามารถดูชื่อเรื่อง และชื่อตอนได้จากรายชื่อสื่อการสอนวิชาคณิตศาสตร์ทั้งหมดในตอนท้า ยของ คู่มือฉบับนี้ 2
  • 4.
    คู่มือสื่อการสอนวิชาคณิตศาสตร์ โดยความร่วมมือระหว่าง สานักงานคณะกรรมการการศึกษาขั้นพื้นฐาน และ คณะวิทยาศาสตร์ จุฬาลงกรณ์มหาวิทยาลัย เรื่อง ตรีโกณมิติ (ฟังก์ชันตรีโกณมิติผกผัน) หมวด เนื้อหา ตอนที่ 8 (8 / 8) หัวข้อย่อย 1. ฟังก์ชันตรีโกณมิติผกผัน 2. สมบัติและความสัมพันธ์ของฟังก์ชันตรีโกณมิติผกผัน จุดประสงค์การเรียนรู้ เพื่อให้ผู้เรียน 1. เข้าใจในมโนทัศน์ของตัวผกผันของฟังก์ชันตรีโกณมิติและเงื่อนไขที่ทาให้ตัวผกผันของ ฟังก์ชันตรีโกณมิติเป็นฟังก์ชันได้ 2. หาค่าฟังก์ชันตรีโกณมิติผกผันได้ 3. วาดกราฟของฟังก์ชันตรีโกณมิติผกผันได้ 4. เข้าใจสมบัติต่าง ๆ ของฟังก์ชันตรีโกณมิติผกผันโดยพิจารณาจากกราฟ ผลการเรียนรู้ ผู้เรียนสามารถ 1. บอกเงื่อนไขที่ทาให้ตัวผกผันของฟังกันตรีโกณมิติทั้ง 6 แบบ เป็นฟังก์ชันได้ 2. หาค่าฟังก์ชันตรีโกณมิติผกผันได้ 3. วาดกราฟของฟังก์ชันตรีโกณมิติผกผันได้ 4. นาความรู้เกี่ยวกับสมบัติต่าง ๆ ของฟังก์ชันตรีโกณมิติผกผันมาประยุกต์ในการแก้ปัญหาได้ 3
  • 5.
  • 6.
  • 7.
  • 8.
    คู่มือสื่อการสอนวิชาคณิตศาสตร์ โดยความร่วมมือระหว่าง สานักงานคณะกรรมการการศึกษาขั้นพื้นฐาน และ คณะวิทยาศาสตร์ จุฬาลงกรณ์มหาวิทยาลัย 1. ฟังก์ชันตรีโกณมิติผกผัน ในตอนที่ 8 นี้ นักเรียนจะได้ศึกษาเรื่องของฟังก์ชันผกผันของฟังก์ชันตรีโกณมิติ แต่ต้องทา ความเข้าใจกันก่อนว่า โดยทั่ว ๆ ไปแล้ว ตัวผกผันของฟังก์ชันใด ๆ อาจไม่เป็นฟังก์ชัน เช่น ถ้า f = {(a, 1), (b, 1), (c, 2), (b, 3)} เป็นฟังก์ชันจาก {a, b, c, d} ไปยัง {1, 2, 3} แต่ตัวผกผันของ f คือ f –1 = {(1, a), (1, b), (2, c), (3, b)} ไม่เป็นฟังก์ชัน เนื่องจาก (1, a) และ (1, b)  f –1 แต่ a  b จากตอนที่ 7 นักเรียนได้เห็นสมบัติหนึ่งของฟังก์ชันตรีโกณมิติทั้งหลายที่กล่าวว่า ฟังก์ชันตรีโกณมิติเป็นฟังก์ชันที่มคาบ กล่าวคือ ี 7
  • 9.
    คู่มือสื่อการสอนวิชาคณิตศาสตร์ โดยความร่วมมือระหว่าง สานักงานคณะกรรมการการศึกษาขั้นพื้นฐาน และ คณะวิทยาศาสตร์ จุฬาลงกรณ์มหาวิทยาลัย เราอยากจะศึกษาตัวผกผันของฟังก์ชันตรีโกณมิติ และต้องการให้ตัวผกผันเหล่านี้เป็นฟังก์ชันด้วย ดังนั้นเราต้องจากัดโดเมนของฟังก์ชันตรีโกณมิติต่าง ๆ เสียก่อน ซึ่งก็คือการกาหนดเงื่อนไขให้กับฟังก์ชัน ตรีโกณมิติ เพื่อให้ตัวผกผันเป็นฟังก์ชัน และเราจะเรียกฟังก์ชันผกผันนี้ว่า ฟังก์ชันตรีโกณมิติผกผัน ฟังก์ชันไซน์ ฟังก์ชันโคไซน์ 8
  • 10.
  • 11.
    คู่มือสื่อการสอนวิชาคณิตศาสตร์ โดยความร่วมมือระหว่าง สานักงานคณะกรรมการการศึกษาขั้นพื้นฐาน และ คณะวิทยาศาสตร์ จุฬาลงกรณ์มหาวิทยาลัย ฟังก์ชันแทนเจนต์ ฟังก์ชันโคซีแคนต์ 10
  • 12.
    คู่มือสื่อการสอนวิชาคณิตศาสตร์ โดยความร่วมมือระหว่าง สานักงานคณะกรรมการการศึกษาขั้นพื้นฐาน และ คณะวิทยาศาสตร์ จุฬาลงกรณ์มหาวิทยาลัย ฟังก์ชันซีแคนต์ ฟังก์ชันโคแทนเจนต์ 11
  • 13.
  • 14.
    คู่มือสื่อการสอนวิชาคณิตศาสตร์ โดยความร่วมมือระหว่าง สานักงานคณะกรรมการการศึกษาขั้นพื้นฐาน และ คณะวิทยาศาสตร์ จุฬาลงกรณ์มหาวิทยาลัย สาหรับตัวอย่างสุดท้าย เราสามารถใช้อีกวิธีในการแสดงว่า x sin (arctan x) = เมื่อ x 1 x2   ให้ x และ y = arctan x แล้ว tan y = x ,  y 2 2 ใช้เอกลักษณ์ตรีโกณมิติ sec2 y = 1 + tan2 y แล้ว sec2 y = 1 + x2 แต่ sec y > 0 ดังนั้น sec y = 1 x2 1 แล้ว sin (arctan x) = sin y = tan y  sec y 1 x = x  1 x2 1 x2 ต่อไปนักเรียนสามารถใช้วิธีทานองเดียวกันนี้ พิสูจน์ข้อความต่อไปนี้ 1. cos (arcsin x) = sin (arccos x) = 1 x2 , x  [–1, 1] 1 2. tan (arccot x) = cot (arctan x) = , x – {0} x 1 3. cos (arctan x) = sin (arccot x) = , x 1 x2 x 4. sin (arctan x) = cos (arccot x) = , x 1 x2 13
  • 15.
    คู่มือสื่อการสอนวิชาคณิตศาสตร์ โดยความร่วมมือระหว่าง สานักงานคณะกรรมการการศึกษาขั้นพื้นฐาน และ คณะวิทยาศาสตร์ จุฬาลงกรณ์มหาวิทยาลัย แบบฝึกหัดเพิ่มเติม เรื่อง ฟังก์ชันตรีโกณมิติผกผัน 1. จงหาค่าต่อไปนี้ 3 1.1 arcsin (– 1) 1.2 arccos 2  3 1.3 arctan    3  1.4 arccsc 2   1.5 arcsec (– 2) 1.6 arccot (– 1) 1  2 1.7 arcsin   1.8 arccos    2  2   2. จงหาค่าต่อไปนี้โดยใช้ตารางค่าฟังก์ชันตรีโกณมิติ 2.1 arcsin 0.2784 2.2 arccos 0.3118 2.3 arctan 0.1944 2.4 arccot 1.9626 2.5 arcsin (– 0.6561) 2.6 arccos (– 0.5736) 3. จงหาค่าต่อไปนี้   1   1 3.1 cos  arcsin     3.2 tan  arcsin    2   3  3 3.3 sin (arctan (– 3)) 3.4 cot  arccos    3     2 5    1  3.5 sec  arcsin     3.6 tan  arccos        5     3    1  3.7 cosec  arccos     3.8 sin (arctan (– 2))   3  14
  • 16.
    คู่มือสื่อการสอนวิชาคณิตศาสตร์ โดยความร่วมมือระหว่าง สานักงานคณะกรรมการการศึกษาขั้นพื้นฐาน และ คณะวิทยาศาสตร์ จุฬาลงกรณ์มหาวิทยาลัย 4. จงแสดงว่า 4.1 cos (arcsin x) = 1 x2 , x  [– 1, 1] 4.2 sin (arccos x) = 1 x2 , x  [– 1, 1] 1 4.3 tan (arccot x) = , x – {0} x 1 4.4 cot (arctan x) = , x – {0} x 1 4.5 cos (arctan x) = , x 1 x2 1 4.6 sin (arccot x) = , x 1 x2 x 4.7 cos (arccot x) = , x 1 x2 5. จงใช้ข้อ 4. ในการหาค่าต่อไปนี้   3    1  5.1 cos  arcsin     2  5.2 sin  arccos          2    1  5.3 tan (arccot 5) 5.4 cos  arc cot       3    1    1  5.5 sin  arc cot      cos  arctan       13     13   15
  • 17.
    คู่มือสื่อการสอนวิชาคณิตศาสตร์ โดยความร่วมมือระหว่าง สานักงานคณะกรรมการการศึกษาขั้นพื้นฐาน และคณะวิทยาศาสตร์ จุฬาลงกรณ์มหาวิทยาลัย 2. สมบัตและความสัมพันธ์ของ ิ ฟังก์ชันตรีโกณมิติผกผัน 16
  • 18.
    คู่มือสื่อการสอนวิชาคณิตศาสตร์ โดยความร่วมมือระหว่าง สานักงานคณะกรรมการการศึกษาขั้นพื้นฐาน และ คณะวิทยาศาสตร์ จุฬาลงกรณ์มหาวิทยาลัย 2. สมบัติและความสัมพันธ์ของฟังก์ชันตรีโกณมิติผกผัน เราสามารถพิสูจน์สมบัติและความสัมพันธ์ของฟังก์ชันตรีโกณมิติผกผันได้จากบทนิยาม แต่เพื่อให้ นักเรียนได้คุ้นเคยกับกราฟของฟังก์ชันตรีโกณมิติผกผัน เราจะใช้กราฟของฟังก์ชันเหล่านี้หาสมบัติบางประการ ฟังก์ชัน arcsin สรุปได้ว่า arcsin (– x) = – arcsin x เมื่อ x  [– 1, 1] และถ้าจะใช้บทนิยามเพื่อพิสูจน์ข้อความข้างต้น ทาได้ดังนี้    สมมติ y = arcsin (– x) เมื่อ y   ,   2 2 แล้ว sin y = – x ดังนั้น x = – sin (y) = sin (– y) จะได้ว่า – y = arcsin x หรือ y = – arcsin x นั่นเอง สรุปได้ว่า arcsin (– x) = arcsin x 17
  • 19.
    คู่มือสื่อการสอนวิชาคณิตศาสตร์ โดยความร่วมมือระหว่าง สานักงานคณะกรรมการการศึกษาขั้นพื้นฐาน และ คณะวิทยาศาสตร์ จุฬาลงกรณ์มหาวิทยาลัย ฟังก์ชัน arccos สรุปได้ว่า arccos (– x) =  – arccos x เมื่อ x  [– 1, 1] และถ้าจะใช้บทนิยามเพื่อพิสูจน์ข้อความข้างต้น ทาได้ดังนี้ สมมติ y = arccos (– x) เมื่อ y  [0, ] แล้ว cos y = – x เรามีว่า cos ( – y) = – cos y ดังนั้น cos ( – y) = – ( –x) = x จึงได้ว่า  – y = arccos x หรือ y =  – arccos x นั่นเอง สรุปได้ว่า arccos (– x) =  – arccos x 18
  • 20.
    คู่มือสื่อการสอนวิชาคณิตศาสตร์ โดยความร่วมมือระหว่าง สานักงานคณะกรรมการการศึกษาขั้นพื้นฐาน และ คณะวิทยาศาสตร์ จุฬาลงกรณ์มหาวิทยาลัย ฟังก์ชัน arctan สรุปได้ว่า arctan (– x) = – arctan x เมื่อ x   lim arctan x   x  และ lim arctan x x  = 2 2 และถ้าจะใช้บทนิยามเพื่อพิสูจน์ข้อความข้างต้น ทาได้ดังนี้    สมมติ y = arctan (– x) เมื่อ y   ,   2 2 แล้ว tan y = – x ดังนั้น x = – tan (y) = tan (– y) จึงได้ว่า – y = arctan x หรือ y = – arctan x นั่นเอง สรุปได้ว่า arctan (– x) = – arctan x นอกจากสมบัติของฟังก์ชันตรีโกณมิติผกผัน 3 ฟังก์ชันคือ 1. arcsin (– x) = – arcsin x , x  [– 1, 1] 2. arccos (– x) =  – arccos x , x  [– 1, 1] 3. arctan (– x) = – arctan x , x  19
  • 21.
    คู่มือสื่อการสอนวิชาคณิตศาสตร์ โดยความร่วมมือระหว่าง สานักงานคณะกรรมการการศึกษาขั้นพื้นฐาน และ คณะวิทยาศาสตร์ จุฬาลงกรณ์มหาวิทยาลัย เรายังหาสมบัติของฟังก์ชันตรีโกณมิติผกผันที่เหลือได้ดังนี้ arccsc (– x) = – arccsc x    ข้อพิสูจน์ ให้ y = arccsc (– x) เมื่อ y    ,  – {0}  2 2 แล้ว cosec y = – x ดังนั้น x = – cosec y = cosec (– y) จึงได้ว่า – y = arccsc x หรือ y = – arccsc x สรุปได้ว่า arccsc (– x) = – arccsc x arcsec (– x) =  – arcsec x  ข้อพิสูจน์ ให้ y = arcsec (– x) เมื่อ y  [0, ] –   2 แล้ว sec y = – x แต่ sec ( – y) = – sec y = – (– x) = x จึงได้ว่า  – y = arcsec x หรือ y =  – arcsec x สรุปได้ว่า arcsec (– x) =  – arcsec x arccot (– x) =  – arccot x ข้อพิสูจน์ ให้ y = arccot (– x) เมื่อ y  (0, ) แล้ว cot y = – x ดังนั้น cot ( – y) = – cot y = – (– x) = x จึงได้ว่า  – y = arccot x หรือ y =  – arccot x สรุปได้ว่า arccot (– x) =  – arccot x 20
  • 22.
    คู่มือสื่อการสอนวิชาคณิตศาสตร์ โดยความร่วมมือระหว่าง สานักงานคณะกรรมการการศึกษาขั้นพื้นฐาน และ คณะวิทยาศาสตร์ จุฬาลงกรณ์มหาวิทยาลัย และจากบทนิยามเราก็สามารถพิสูจน์ความสัมพันธ์ของฟังก์ชันตรีโกณมิติผกผันมากมายดังนี้ สรุปเป็น 21
  • 23.
    คู่มือสื่อการสอนวิชาคณิตศาสตร์ โดยความร่วมมือระหว่าง สานักงานคณะกรรมการการศึกษาขั้นพื้นฐาน และ คณะวิทยาศาสตร์ จุฬาลงกรณ์มหาวิทยาลัย ตัวอย่างเพิ่มเติม 1 1 ตัวอย่าง จงหาค่าของ arctan + arctan 2 3 1 1 วิธีทา สมมติ x = arctan และ y = arctan 2 3 1   1   ดังนั้น tan x = , x  0,  และ tan y = , y  0,  2  2 3  2 เราต้องการหาค่า x+y โดยที่ x + y  (0, ) เนื่องจากเรามีค่า tan x และ tan y เราจะใช้สูตร tan x  tan y tan (x + y) = 1  tan x tan y เมื่อแทนค่า tan x และ tan y จะได้ 1 1 5  tan (x + y) = 2 3  6 = 1 1 1 5 1  2 3 6   1 1  แต่ tan = 1 ดังนั้น x + y = ฉะนั้น arctan + arctan = 4 4 2 3 4 22
  • 24.
    คู่มือสื่อการสอนวิชาคณิตศาสตร์ โดยความร่วมมือระหว่าง สานักงานคณะกรรมการการศึกษาขั้นพื้นฐาน และ คณะวิทยาศาสตร์ จุฬาลงกรณ์มหาวิทยาลัย นักเรียนได้เห็นวิธีการพิสูจน์ข้อความที่เกี่ยวกับฟังก์ชันตรีโกณมิติผกผัน หรือหาค่าของนิพจน์ ที่ประกอบด้วยฟังก์ชันตรีโกณมิติผกผันกันแล้ว ซึ่งก็คือเริ่มต้นด้วยการกาหนดตัวแปรตัวใหม่ให้เท่ากับฟังก์ชัน ตรีโกณมิติผกผันที่ปรากฏในข้อความ ซึ่งอาจจะมีตัวแปรใหม่หลายตัวได้ แล้วจึงใช้บทนิยามของฟังก์ชัน ตรีโกณมิติผกผันนั้น ๆ เพื่อพิสูจน์และหาค่าที่ต้องการต่อไป และนอกจากนั้นเราอาจต้องใช้สูตรที่เกี่ยวกับ ฟังก์ชันตรีโกณมิติประกอบด้วย ดังตัวอย่าง 2 ตัวอย่างต่อไปนี้  1 5 ตัวอย่าง จงหาค่าของ sin  2 arctan  arctan   5 12  1 5 วิธีทา สมมติ x = arctan และ y = arctan 5 12 1   5   ดังนั้น tan x = , x   0,  และ tan y = , y   0,  5  2 12  2 เราต้องการหาค่า sin (2x – y) เรามีสูตร sin (A – B) = sin A cos B – cos A sin B ถ้าแทน A ด้วย 2x และแทน B ด้วย y แล้วเราต้องหาค่า sin 2x , cos 2x , sin y และ cos y ดังนี้ 1 จาก tan x = และ tan y = 5 จะได้รูปสามเหลี่ยมมุมฉากต่อไปนี้ 5 12 26 13 5 1 x y 5 12 1 5 10 5 ดังนั้น sin (2x) = 2 sin x cos x = 2     26 26 26 13 25 1 24 12 cos (2x) = cos2 x – sin2 x =    26 26 26 13 5 sin y = และ cos y = 12 13 13 5 12 12 5 ฉะนั้น sin (2x – y) = sin (2x) cos y – cos (2x) sin y =     0 13 13 13 13  1 5 จะได้ว่า sin  2 arctan  arctan   0  5 12  23
  • 25.
    คู่มือสื่อการสอนวิชาคณิตศาสตร์ โดยความร่วมมือระหว่าง สานักงานคณะกรรมการการศึกษาขั้นพื้นฐาน และ คณะวิทยาศาสตร์ จุฬาลงกรณ์มหาวิทยาลัย  2x  ตัวอย่าง จงพิสูจน์ว่า ถ้า x>1 แล้ว 2 arctan x + arcsin  2  =  1 x   2x  วิธีทา ให้ x>1 และให้ y = arctan x และ z = arcsin  2   1 x    2x   แล้ว tan y = x , y   0,  และ sin z = , z  0,   2 1 x2  2 เราต้องแสดงว่า 2y + z =  จะใช้สูตรของฟังก์ชันตรีโกณมิติ (เลือกใช้ sin หรือ tan ก็ได้) sin (A + B) = sin A cos B + cos A sin B แทน A ด้วย 2y และแทน B ด้วย z 2x จาก tan y = x และ sin z = จะได้รูปสามเหลี่ยมมุมฉากต่อไปนี้ 1 x2 1 x2 1+x2 2x x y z 1 (1  x 2 ) 2  4x 2  |1  x 2 |  x 2  1 แล้ว sin (2y + z) = sin (2y) cos z + cos (2y) sin z = 2 sin y cos y cos z + (cos2 y – sin2 y) sin z x 1 x 2 1  1 x 2  2x = 2      =0 1 x2 1 x2 1 x2  1 x2 1 x2  1 x2 เรามีว่า sin (n) = 0 ทุก n  3  แต่ 2y + z   0,  ดังนั้น 2y + z =  เท่านั้น  2   2x  จึงสรุปได้ว่า 2 arctan x + arcsin  2  =   1 x  24
  • 26.
    คู่มือสื่อการสอนวิชาคณิตศาสตร์ โดยความร่วมมือระหว่าง สานักงานคณะกรรมการการศึกษาขั้นพื้นฐาน และ คณะวิทยาศาสตร์ จุฬาลงกรณ์มหาวิทยาลัย ต่อไปเป็นการประยุกต์ฟังก์ชันตรีโกณมิติผกผัน 25
  • 27.
  • 28.
    คู่มือสื่อการสอนวิชาคณิตศาสตร์ โดยความร่วมมือระหว่าง สานักงานคณะกรรมการการศึกษาขั้นพื้นฐาน และ คณะวิทยาศาสตร์ จุฬาลงกรณ์มหาวิทยาลัย แบบฝึกหัดเพิ่มเติม เรื่อง สมบัติและความสัมพันธ์ของฟังก์ชันตรีโกณมิติผกผัน 1. จงหาค่าต่อไปนี้  1  1 1 1.1 arcsin    + arccos    1.2 3 arccsc (5) – 3 arcsin    7  7 5    1.3 arcsin  cos 2  sin 2  1.4 arctan 1 + arctan 2 + arctan 3  12 12  1 1 1 1 1 1 1.4 arctan + arctan + arctan + arctan 1.6 4 arctan – arctan 3 5 7 8 5 239 2. จงหาผลเฉลยของสมการ  x 1 x 1  2.1 arctan 2x + arctan 3x = 2.2 arctan + arctan  4 x2 x2 4 2.3   arcsin   2 arccos x  = 0 2  2.4  2 arcsin x + arcsin 2x 1  x 2    3 3. จงแสดงว่า 3.1 arctan 1 + arctan 2 + arctan 3 =   3.2 ถ้า x > 0 แล้ว arctan x + arctan 1  x 2  3.3 ถ้า x < 0 แล้ว arctan x + arctan 1   x 2  x 2 x 3.4 sin   2arccos    1 ทุก x  [–2, 2] 2 2 2 3.5 ถ้า x = arctan 1 และ y = arctan 1 แล้ว cos 2x = sin 4y 7 3 4. ให้นักเรียนไปวัดส่วนต่าง ๆ ของสนามฟุตบอลในโรงเรียนของนักเรียน แล้วจงหาว่านักเรียนจะต้อง เตะบอลในตาแหน่งจุดโทษ ด้วยมุมเตะไม่เกินเท่าใด ถึงจะทาให้ลูกบอลไม่เลยคานประตู เมื่อ 4.1 ยิงบริเวณกลาง ๆ ประตู 4.2 ยิงบริเวณริม ๆ ประตู 27
  • 29.
  • 30.
  • 31.
    คู่มือสื่อการสอนวิชาคณิตศาสตร์ โดยความร่วมมือระหว่าง สานักงานคณะกรรมการการศึกษาขั้นพื้นฐาน และ คณะวิทยาศาสตร์ จุฬาลงกรณ์มหาวิทยาลัย เอกสารอ้างอิง 1. ดารงค์ ทิพย์โยธา, เสริมความรู้มุ่งสู่โอลิมปิกคณิตศาสตร์โลกตรีโกณมิติ, โรงพิมพ์แห่งจุฬาลงกรณ์มหาวิทยาลัย, 2550. 30
  • 32.
    คู่มือสื่อการสอนวิชาคณิตศาสตร์ โดยความร่วมมือระหว่าง สานักงานคณะกรรมการการศึกษาขั้นพื้นฐาน และคณะวิทยาศาสตร์ จุฬาลงกรณ์มหาวิทยาลัย ภาคผนวกที่ 1 แบบฝึกหัด / เนื้อหาเพิ่มเติม 31
  • 33.
    คู่มือสื่อการสอนวิชาคณิตศาสตร์ โดยความร่วมมือระหว่าง สานักงานคณะกรรมการการศึกษาขั้นพื้นฐาน และ คณะวิทยาศาสตร์ จุฬาลงกรณ์มหาวิทยาลัย แบบฝึกหัดระคน  1 5 1. จงหาค่าของ sin  arcsin  arccos   2 13  5 3  12 5 3  12 5  12 3 5  12 3 ก. ข. ค. ง. 26 26 26 26 1 3 1 3 2. จงหาค่าของ arctan + arctan 1 3 1 3     ก. ข.  ค. ง.  2 2 4 4 3. จงหาค่าของ arccos (0.3) + arccos (– 0.3)    ก. ข. ค. ง.  4 3 2  4. ถ้า arcsin (5x) + arcsin x = จงหาค่าของ tan (arcsin x) 2 1 1 ก. ข. ค. 1 ง. 5 5 2 5. จงหาค่าของ cos (arctan 2) – sin (arctan (– 2)) 1 3 3 1 ก. ข. ค.  ง.  5 5 5 5 6. จงหาจานวนจริงบวก x ซึ่ง tan (arcos x) = sin (arctan 3) 2 2 1 1 ก. ข. ค. ง. 5 7 3 2  120  7. จงหาค่าของ sin  arctan   119  120 120 119 120 ก. ข. ค. ง. 169 121 120 159   1    1  8. จงหาค่าของ cos  2 arctan      sin  arctan       13     13   84 1 84 1 84 1 ก. ข. ค.  ง.  85 170 85 170 85 170 32
  • 34.
    คู่มือสื่อการสอนวิชาคณิตศาสตร์ โดยความร่วมมือระหว่าง สานักงานคณะกรรมการการศึกษาขั้นพื้นฐาน และ คณะวิทยาศาสตร์ จุฬาลงกรณ์มหาวิทยาลัย 9. จงพิจารณาว่าข้อใดต่อไปนี้ถูกต้อง ก. arccos (– x) = – arccos x , x  [– 1, 1]  1 ข. arccsc x = arcsin    , x  [– 1, 1] – {0}  x 1 ค. arcsec   = arccos x , x  [– 1, 1] – {0} x ง. arctan x + arccot x =  , x 10. จงพิจารณาว่าข้อใดต่อไปนี้ผิด ก. cos (arcsin x) = sin (arccos x) , x  [– 1, 1] ข. tan (arccot x) = cot (arctan x) , x0 ค. cos (arccot x) = x sin (arccot x) , x ง. sin (arctan x) = – cos (arctan x) , x 33
  • 35.
  • 36.
    คู่มือสื่อการสอนวิชาคณิตศาสตร์ โดยความร่วมมือระหว่าง สานักงานคณะกรรมการการศึกษาขั้นพื้นฐาน และ คณะวิทยาศาสตร์ จุฬาลงกรณ์มหาวิทยาลัย เฉลยแบบฝึกหัด เรื่องฟังก์ชันตรีโกณมิติผกผัน     1. 1.1  1.2 1.3  1.4 2 6 6 4 2   3 1.5 1.6  1.7 1.8 3 4 6 4 2. 2.1 0.2822 2.2 1.2537 2.3 0.1920 2.4 0.4712 2.5 – 0.7156 2.6 2.1817 3 2 3 10 2 3. 3.1 3.2 3.3  3.4 2 4 10 2 3 2 2 5 3.5 5 3.6 2 2 3.7 3.8 4 5 1 3 1 10 26 5. 5.1 5.2 5.3 5.4  5.5 2 2 5 10 170 เฉลยแบบฝึกหัด เรื่องสมบัติและความสัมพันธ์ของฟังก์ชันตรีโกณมิติผกผัน   1. 1.1 1.2 0 1.3 2 3   1.4  1.5 1.6 4 4 1 2 2 3 1 2. 2.1 2.2  2.3 2.4 6 2 2 2 2 เฉลยแบบฝึกหัดระคน 1. ง 2. ข 3. ง 4. ก 5. ข 6. ข 7. ก 8. ค 9. ค 10. ง 35
  • 37.
    คู่มือสื่อการสอนวิชาคณิตศาสตร์ โดยความร่วมมือระหว่าง สานักงานคณะกรรมการการศึกษาขั้นพื้นฐาน และคณะวิทยาศาสตร์ จุฬาลงกรณ์มหาวิทยาลัย รายชื่อสื่อการสอนวิชาคณิตศาสตร์ จานวน 92 ตอน 36
  • 38.
    คู่มือสื่อการสอนวิชาคณิตศาสตร์ โดยความร่วมมือระหว่าง สานักงานคณะกรรมการการศึกษาขั้นพื้นฐาน และ คณะวิทยาศาสตร์ จุฬาลงกรณ์มหาวิทยาลัย รายชื่อสื่อการสอนวิชาคณิตศาสตร์ จานวน 92 ตอน เรื่อง ตอน เซต บทนา เรื่อง เซต ความหมายของเซต เซตกาลังและการดาเนินการบนเซต เอกลักษณ์ของการดาเนินการบนเซตและแผนภาพเวนน์-ออยเลอร์ สื่อปฏิสัมพันธ์เรื่องแผนภาพเวนน์-ออยเลอร์ การให้เหตุผลและตรรกศาสตร์ บทนา เรื่อง การให้เหตุผลและตรรกศาสตร์ การให้เหตุผล ประพจน์และการสมมูล สัจนิรันดร์และการอ้างเหตุผล ประโยคเปิดและวลีบงปริมาณ ่ สื่อปฏิสัมพันธ์เรื่องหอคอยฮานอย สื่อปฏิสัมพันธ์เรื่องตารางค่าความจริง จานวนจริง บทนา เรื่อง จานวนจริง สมบัติของจานวนจริง การแยกตัวประกอบ ทฤษฏีบทตัวประกอบ สมการพหุนาม อสมการ เทคนิคการแก้อสมการ ค่าสัมบูรณ์ การแก้อสมการค่าสัมบูรณ์ กราฟค่าสัมบูรณ์ สื่อปฏิสัมพันธ์เรื่องช่วงบนเส้นจานวน สื่อปฏิสัมพันธ์เรื่องสมการและอสมการพหุนาม สื่อปฏิสัมพันธ์เรื่องกราฟค่าสัมบูรณ์ ทฤษฎีจานวนเบื้องต้น บทนา เรื่อง ทฤษฎีจานวนเบื้องต้น การหารลงตัวและจานวนเฉพาะ (การหารลงตัวและตัววคูณร่วมมาก) ตัวหารร่วมมากและตั หารร่ วมน้อย ความสัมพันธ์และฟังก์ชัน บทนา เรื่อง ความสัมพันธ์และฟังก์ชัน ความสัมพันธ์ 37
  • 39.
    คู่มือสื่อการสอนวิชาคณิตศาสตร์ โดยความร่วมมือระหว่าง สานักงานคณะกรรมการการศึกษาขั้นพื้นฐาน และ คณะวิทยาศาสตร์ จุฬาลงกรณ์มหาวิทยาลัย เรื่อง ตอน ความสัมพันธ์และฟังก์ชัน โดเมนและเรนจ์ อินเวอร์สของความสัมพันธ์และบทนิยามของฟังก์ชัน ฟังก์ชันเบื้องต้น พีชคณิตของฟังก์ชัน อินเวอร์สของฟังก์ชันและฟังก์ชันอินเวอร์ส ฟังก์ชันประกอบ ฟังก์ชันชีกาลังและฟังก์ชันลอการิทึม ้ บทนา เรื่อง ฟังก์ชันชี้กาลังและฟังก์ชันลอการิทึม เลขยกกาลัง ฟังก์ชันชีกาลังและฟังก์ชันลอการิทึม ้ ลอการิทึม อสมการเลขชี้กาลัง อสมการลอการิทึม ตรีโกณมิติ บทนา เรื่อง ตรีโกณมิติ อัตราส่วนตรีโกณมิติ เอกลักษณ์ของอัตราส่วนตรีโกณมิติ และวงกลมหนึ่งหน่วย ฟังก์ชันตรีโกณมิติ 1 ฟังก์ชันตรีโกณมิติ 2 ฟังก์ชันตรีโกณมิติ 3 กฎของไซน์และโคไซน์ กราฟของฟังก์ชันตรีโกณมิติ ฟังก์ชันตรีโกณมิติผกผัน สื่อปฏิสัมพันธ์เรื่องมุมบนวงกลมหนึงหน่วย ่ สื่อปฏิสัมพันธ์เรื่องกราฟของฟังก์ชันตรีโกณมิติ สื่อปฏิสัมพันธ์เรื่องกฎของไซน์และกฎของโคไซน์ กาหนดการเชิงเส้น บทนา เรื่อง กาหนดการเชิงเส้น การสร้างแบบจาลองทางคณิตศาสตร์ การหาค่าสุดขีด ลาดับและอนุกรม บทนา เรื่อง ลาดับและอนุกรม ลาดับ การประยุกต์ลาดับเลขคณิตและเรขาคณิต ลิมิตของลาดับ ผลบวกย่อย อนุกรม ทฤษฎีบทการลู่เข้าของอนุกรม 38
  • 40.
    คู่มือสื่อการสอนวิชาคณิตศาสตร์ โดยความร่วมมือระหว่าง สานักงานคณะกรรมการการศึกษาขั้นพื้นฐาน และ คณะวิทยาศาสตร์ จุฬาลงกรณ์มหาวิทยาลัย เรื่อง ตอน การนับและความน่าจะเป็น บทนา เรื่อง การนับและความน่าจะเป็น . การนับเบื้องต้น การเรียงสับเปลี่ยน การจัดหมู่ ทฤษฎีบททวินาม การทดลองสุ่ม ความน่าจะเป็น 1 ความน่าจะเป็น 2 สถิติและการวิเคราะห์ข้อมูล บทนา เรื่อง สถิติและการวิเคราะห์ข้อมูล บทนา เนื้อหา แนวโน้มเข้าสู่ส่วนกลาง 1 แนวโน้มเข้าสู่ส่วนกลาง 2 แนวโน้มเข้าสู่ส่วนกลาง 3 การกระจายของข้อมูล การกระจายสัมบูรณ์ 1 การกระจายสัมบูรณ์ 2 การกระจายสัมบูรณ์ 3 การกระจายสัมพัทธ์ คะแนนมาตรฐาน ความสัมพันธ์ระหว่างข้อมูล 1 ความสัมพันธ์ระหว่างข้อมูล 2 โปรแกรมการคานวณทางสถิติ 1 โปรแกรมการคานวณทางสถิติ 2 โครงงานคณิตศาสตร์ การลงทุน SET50 โดยวิธีการลงทุนแบบถัวเฉลี่ย ปัญหาการวางตัวเบี้ยบนตารางจัตุรัส การถอดรากที่สาม เส้นตรงล้อมเส้นโค้ง กระเบื้องที่ยืดหดได้ 39