Download free for 30 days
Sign in
Upload
Language (EN)
Support
Business
Mobile
Social Media
Marketing
Technology
Art & Photos
Career
Design
Education
Presentations & Public Speaking
Government & Nonprofit
Healthcare
Internet
Law
Leadership & Management
Automotive
Engineering
Software
Recruiting & HR
Retail
Sales
Services
Science
Small Business & Entrepreneurship
Food
Environment
Economy & Finance
Data & Analytics
Investor Relations
Sports
Spiritual
News & Politics
Travel
Self Improvement
Real Estate
Entertainment & Humor
Health & Medicine
Devices & Hardware
Lifestyle
Change Language
Language
English
Español
Português
Français
Deutsche
Cancel
Save
Submit search
EN
Uploaded by
aoynattaya
20,635 views
แบบทดสอบก่อนและหลังเรียน
Read more
2
Save
Share
Embed
Embed presentation
Download
Downloaded 393 times
1
/ 3
2
/ 3
Most read
3
/ 3
Most read
More Related Content
PDF
หน่วยการเรียนรู้ที่ 1 เรื่องทศนิยมและเศษส่วน
by
Inmylove Nupad
PDF
กรณฑ์ที่สอง
by
Ritthinarongron School
PDF
ชุดที่ 5 อัตราส่วนของจำนวนหลาย ๆ จำนวน
by
พิทักษ์ ทวี
PDF
ชุดการสอนที่ 4 เรื่อง เส้นขนานและรูปสามเหลี่ยม
by
วิเชียร กีรติศักดิ์กุล
PDF
เอกสารประกอบการเรียน พหุนาม ม.2
by
นายเค ครูกาย
PDF
แบบทดสอบ เรื่องพหุนาม
by
ทับทิม เจริญตา
PDF
ชุดการสอนที่ 2 เรื่อง เส้นขนานและมุมแย้ง
by
วิเชียร กีรติศักดิ์กุล
PDF
แบบทดสอบหน่วยที่ 1 กรณฑ์ที่สอง
by
Sathuta luamsai
หน่วยการเรียนรู้ที่ 1 เรื่องทศนิยมและเศษส่วน
by
Inmylove Nupad
กรณฑ์ที่สอง
by
Ritthinarongron School
ชุดที่ 5 อัตราส่วนของจำนวนหลาย ๆ จำนวน
by
พิทักษ์ ทวี
ชุดการสอนที่ 4 เรื่อง เส้นขนานและรูปสามเหลี่ยม
by
วิเชียร กีรติศักดิ์กุล
เอกสารประกอบการเรียน พหุนาม ม.2
by
นายเค ครูกาย
แบบทดสอบ เรื่องพหุนาม
by
ทับทิม เจริญตา
ชุดการสอนที่ 2 เรื่อง เส้นขนานและมุมแย้ง
by
วิเชียร กีรติศักดิ์กุล
แบบทดสอบหน่วยที่ 1 กรณฑ์ที่สอง
by
Sathuta luamsai
What's hot
PDF
บทที่ 2 ทฤษฎีบทพีทาโกรัส
by
sawed kodnara
PDF
ระบบสมการกำลังสอง
by
Ritthinarongron School
PDF
แบบฝึก แฟกทอเรียล N
by
Oranee Seelopa
PDF
3.โจทย์ปัญหาร้อยละ
by
Apirak Potpipit
PDF
คิดเลขเร็วแข่งขันป.6
by
ทับทิม เจริญตา
PDF
โครงสร้างคณิตศาสตร์ เพิ่มเติม ม.ต้น
by
Inmylove Nupad
PDF
work1
by
อ้อย ปิยาพร คงนาค
PDF
บทที่ 5 ความเท่ากันทุกประการ
by
sawed kodnara
PDF
ข้อสอบเรื่องการคูณและการหารเลขยกกำลัง
by
ทับทิม เจริญตา
PDF
ชุดกิจกรรมการเรียนรู้แบบเพื่อนคู่คิด เล่มที่ 9 การคูณเศษส่วนมากกว่าสองจำนวน
by
KanlayaratKotaboot
PDF
ระบบสมการเชิงเส้น
by
Ritthinarongron School
PDF
แบบฝึกทบทวนเรื่องเซต
by
kroojaja
PDF
ค่าสัมบูรณ์ของจำนวนจริง
by
Aon Narinchoti
PDF
อนุกรมเรขาคณิต
by
aoynattaya
PDF
ข้อสอบคณิตศาสตร์เรื่อง การบวก การลบ การคูณ การหารเศษส่วน
by
atunya2530
PDF
ข้อสอบคณิตศาสตร์ ม.1 เทอม 1 ชุดที่ 1
by
คุณครูพี่อั๋น
PDF
ค.ร.น.และห.ร.ม
by
kruminsana
PDF
แบบฝึกการคูณและหารพหุนาม
by
ทับทิม เจริญตา
PDF
ชุดการสอนที่ 3 มุมภายนอกกับมุมภายใน
by
วิเชียร กีรติศักดิ์กุล
PDF
วงกลมหนึ่งหน่วย
by
Jiraprapa Suwannajak
บทที่ 2 ทฤษฎีบทพีทาโกรัส
by
sawed kodnara
ระบบสมการกำลังสอง
by
Ritthinarongron School
แบบฝึก แฟกทอเรียล N
by
Oranee Seelopa
3.โจทย์ปัญหาร้อยละ
by
Apirak Potpipit
คิดเลขเร็วแข่งขันป.6
by
ทับทิม เจริญตา
โครงสร้างคณิตศาสตร์ เพิ่มเติม ม.ต้น
by
Inmylove Nupad
work1
by
อ้อย ปิยาพร คงนาค
บทที่ 5 ความเท่ากันทุกประการ
by
sawed kodnara
ข้อสอบเรื่องการคูณและการหารเลขยกกำลัง
by
ทับทิม เจริญตา
ชุดกิจกรรมการเรียนรู้แบบเพื่อนคู่คิด เล่มที่ 9 การคูณเศษส่วนมากกว่าสองจำนวน
by
KanlayaratKotaboot
ระบบสมการเชิงเส้น
by
Ritthinarongron School
แบบฝึกทบทวนเรื่องเซต
by
kroojaja
ค่าสัมบูรณ์ของจำนวนจริง
by
Aon Narinchoti
อนุกรมเรขาคณิต
by
aoynattaya
ข้อสอบคณิตศาสตร์เรื่อง การบวก การลบ การคูณ การหารเศษส่วน
by
atunya2530
ข้อสอบคณิตศาสตร์ ม.1 เทอม 1 ชุดที่ 1
by
คุณครูพี่อั๋น
ค.ร.น.และห.ร.ม
by
kruminsana
แบบฝึกการคูณและหารพหุนาม
by
ทับทิม เจริญตา
ชุดการสอนที่ 3 มุมภายนอกกับมุมภายใน
by
วิเชียร กีรติศักดิ์กุล
วงกลมหนึ่งหน่วย
by
Jiraprapa Suwannajak
Similar to แบบทดสอบก่อนและหลังเรียน
PDF
ตัวอย่างข้อสอบ Las คณิตศาสตร์ม.5
by
ทับทิม เจริญตา
PDF
Final 32101 53
by
Aon Narinchoti
PDF
ลำดับเรขาคณิต
by
aoynattaya
PDF
ลำดับเลขคณิต
by
aoynattaya
PDF
อนุกรมเรขาคณิต
by
aoynattaya
PDF
อนุกรสเรขาคณิต
by
aoynattaya
PDF
บทที่ 1 ลำดับและอนุกรม
by
sawed kodnara
PDF
1 pretest
by
Toongneung SP
PDF
อนุกรมเลขคณิต
by
aoynattaya
PDF
1 posttest
by
Toongneung SP
PDF
Prettest
by
Toongneung SP
DOCX
ม5พื้นฐาน วิทย์55
by
Phornpilart Wanich
PDF
ตัวอย่างข้อสอบ Las คณิตศาสตร์ม.2
by
ทับทิม เจริญตา
PDF
ลำดับ
by
aoynattaya
PDF
Pretest3
by
Toongneung SP
PDF
Posttest2
by
Toongneung SP
PDF
O-NET ม.6-ลำดับและอนุกรม
by
คุณครูพี่อั๋น
PDF
ตัวอย่างข้อสอบ Las 8คณิตศาสตร์ม.1
by
ทับทิม เจริญตา
PDF
Pretest2
by
Toongneung SP
PDF
เอกสารลำดับอนันต์กำหนดการเชิงเส้น57
by
krurutsamee
ตัวอย่างข้อสอบ Las คณิตศาสตร์ม.5
by
ทับทิม เจริญตา
Final 32101 53
by
Aon Narinchoti
ลำดับเรขาคณิต
by
aoynattaya
ลำดับเลขคณิต
by
aoynattaya
อนุกรมเรขาคณิต
by
aoynattaya
อนุกรสเรขาคณิต
by
aoynattaya
บทที่ 1 ลำดับและอนุกรม
by
sawed kodnara
1 pretest
by
Toongneung SP
อนุกรมเลขคณิต
by
aoynattaya
1 posttest
by
Toongneung SP
Prettest
by
Toongneung SP
ม5พื้นฐาน วิทย์55
by
Phornpilart Wanich
ตัวอย่างข้อสอบ Las คณิตศาสตร์ม.2
by
ทับทิม เจริญตา
ลำดับ
by
aoynattaya
Pretest3
by
Toongneung SP
Posttest2
by
Toongneung SP
O-NET ม.6-ลำดับและอนุกรม
by
คุณครูพี่อั๋น
ตัวอย่างข้อสอบ Las 8คณิตศาสตร์ม.1
by
ทับทิม เจริญตา
Pretest2
by
Toongneung SP
เอกสารลำดับอนันต์กำหนดการเชิงเส้น57
by
krurutsamee
More from aoynattaya
PDF
อนุกรมเลขคณิต
by
aoynattaya
PDF
อนุกรมเลขคณิต
by
aoynattaya
PDF
ลิมิตของลำดับ
by
aoynattaya
PDF
ลำดับเรขาคณิต
by
aoynattaya
PDF
ลำดับเลขคณิต 2
by
aoynattaya
PDF
ลำดับ
by
aoynattaya
PDF
ลิมิตของลำดับ
by
aoynattaya
PDF
51ma m1 sosu8s302 [โหมดความเข้ากันได้]
by
aoynattaya
PPT
51ma m1 sosu8s302
by
aoynattaya
อนุกรมเลขคณิต
by
aoynattaya
อนุกรมเลขคณิต
by
aoynattaya
ลิมิตของลำดับ
by
aoynattaya
ลำดับเรขาคณิต
by
aoynattaya
ลำดับเลขคณิต 2
by
aoynattaya
ลำดับ
by
aoynattaya
ลิมิตของลำดับ
by
aoynattaya
51ma m1 sosu8s302 [โหมดความเข้ากันได้]
by
aoynattaya
51ma m1 sosu8s302
by
aoynattaya
แบบทดสอบก่อนและหลังเรียน
1.
แบบทดสอบก่อนและหลังเรียน
เรื่อง ลาดับและอนุกรม วิชา คณิตศาสตร์(ค42102) ระดับชั้นมัธยมศึกษาปีที่ 5 ช่วงชั้นที่ 4 โรงเรียนฟากกว๊านวิทยาคม อ.เมือง จ.พะเยา คาชี้แจง แบบทดสอบชุดนี้เป็นแบบปรนัย 4 ตัวเลือก จานวน 20 ข้อ กรุณาเลือกคาตอบที่ถูกต้องที่สุดเพียงคาตอบ เดียว 1.เขียนลาดับ an = 2n + 4 ในรูปแจงพจน์ได้ดังข้อใด ก. 8, 10, 12, 14, . . . ข. 6, 8, 10, 12, . . . ค. 4, 6, 8, 10, . . . ง. 2, 4, 6, 8, . . . 2. ถ้ากาหนดลาดับเลขคณิตมีพจน์ที่ 1 เป็น 21 และพจน์ที่ 6 เป็น 6 แล้ว ผลต่างร่วมมีค่า เท่ากับข้อใด ก. -6 ข. -5 ค. -4 ง. -3 3. ถ้ากาหนดลาดับเลขคณิตมีพจน์ที่ 10 เป็น 28 และผลต่างร่วมเป็น 2 แล้ว พจน์ที่ 1 มีค่า เท่ากับข้อใด ก. 10 ข. 8 ค. 6 ง. 4 4. ในลาดับเลขคณิตลาดับหนึ่งถ้าพจน์ที่ 8 เป็นสองเท่าของพจน์ที่ 13 แล้ว ข้อใดต่อไปนี้ถูกต้อง ก. a2 2a8 ข. a2 2a10 ค. a2 2a12 ง. a2 2a14 5. จานวนที่หารด้วย 9 ลงตัว ซึ่งมีค่าอยู่ระหว่าง 500 และ 800 มีกี่จานวน ก. 31 ข. 32 ค. 33 ง. 34 6. นายศิริชัยซื้อบ้านหลังหนึ่งแบบผ่อนส่งโดยวางเงินดาวน์ 50,000 บาท ที่เหลือผ่อนส่งเป็นราย เดือน เดือนแรกจ่าย 5,000 บาท และเดือนถัดไปจ่ายเพิ่มจากเดือนที่แล้วเดือนละ 100 บาท จนครบ 10 ปี นายศิริชัย จ่ายค่าบ้านงวดสุดท้ายเป็นเงินกี่บาท ก. 16,900 ข. 15,900 ค. 14,900 ง. 13,900
2.
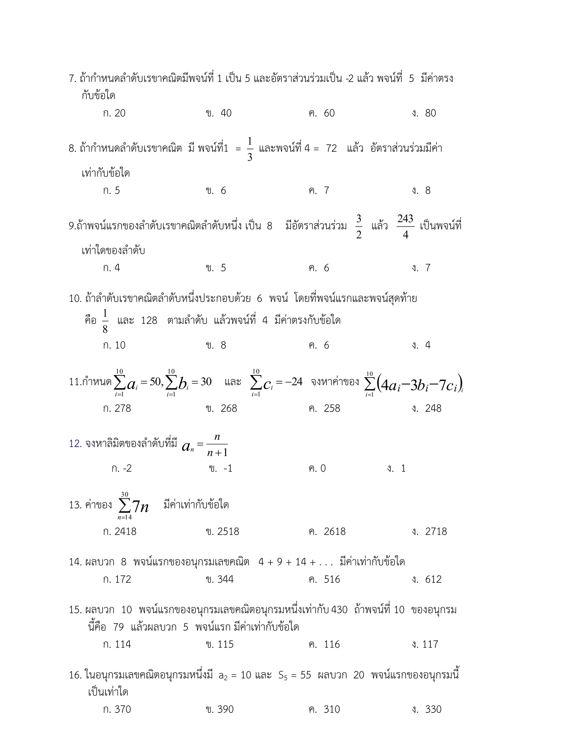
7. ถ้ากาหนดลาดับเรขาคณิตมีพจน์ที่ 1
เป็น 5 และอัตราส่วนร่วมเป็น -2 แล้ว พจน์ที่ 5 มีค่าตรง กับข้อใด ก. 20 ข. 40 ค. 60 ง. 80 1 8. ถ้ากาหนดลาดับเรขาคณิต มี พจน์ท1 = ี่ และพจน์ที่ 4 = 72 แล้ว อัตราส่วนร่วมมีค่า 3 เท่ากับข้อใด ก. 5 ข. 6 ค. 7 ง. 8 3 243 9.ถ้าพจน์แรกของลาดับเรขาคณิตลาดับหนึ่ง เป็น 8 มีอัตราส่วนร่วม แล้ว เป็นพจน์ที่ 2 4 เท่าใดของลาดับ ก. 4 ข. 5 ค. 6 ง. 7 10. ถ้าลาดับเรขาคณิตลาดับหนึ่งประกอบด้วย 6 พจน์ โดยที่พจน์แรกและพจน์สุดท้าย คือ 1 และ 128 ตามลาดับ แล้วพจน์ที่ 4 มีค่าตรงกับข้อใด 8 ก. 10 ข. 8 ค. 6 ง. 4 11.กาหนด ai 50, bi 30 และ ci 24 จงหาค่าของ 4a i 3bi 7ci 10 10 10 10 i i 1 i 1 i 1 i 1 ก. 278 ข. 268 ค. 258 ง. 248 n 12. จงหาลิมิตของลาดับที่มี an n 1 ก. -2 ข. -1 ค. 0 ง. 1 30 13. ค่าของ 7n มีค่าเท่ากับข้อใด n 14 ก. 2418 ข. 2518 ค. 2618 ง. 2718 14. ผลบวก 8 พจน์แรกของอนุกรมเลขคณิต 4 + 9 + 14 + . . . มีค่าเท่ากับข้อใด ก. 172 ข. 344 ค. 516 ง. 612 15. ผลบวก 10 พจน์แรกของอนุกรมเลขคณิตอนุกรมหนึ่งเท่ากับ 430 ถ้าพจน์ที่ 10 ของอนุกรม นี้คือ 79 แล้วผลบวก 5 พจน์แรก มีค่าเท่ากับข้อใด ก. 114 ข. 115 ค. 116 ง. 117 16. ในอนุกรมเลขคณิตอนุกรมหนึ่งมี a2 = 10 และ S5 = 55 ผลบวก 20 พจน์แรกของอนุกรมนี้ เป็นเท่าใด ก. 370 ข. 390 ค. 310 ง. 330
3.
17. ถ้าผลบวก 7
พจน์แรกของอนุกรมเลขคณิต อนุกรมหนึ่งเป็น 77 และพจน์ที่ 7 เท่ากับ 20 แล้วพจน์แรกมีค่าเท่ากับข้อใด ก. 4 ข. 3 ค. 2 ง. 1 18.ผลบวก 5 พจน์แรกของอนุกรม 18 + 24 + 32 + . . . เท่ากับข้อใด ก. 1562 ข. 1562 ค. 1562 ง. 1562 72 36 18 9 19.ผลบวก 5 พจน์แรกของอนุกรม 1 + 3 + 9 + . . . มีค่าเท่ากับข้อใด ก. 111 ข. 121 ค. 131 ง. 141 20. ผลบวก 25 พจน์แรกของอนุกรม 20 + 20 + 20 + . . . มีค่าเท่ากับข้อใด ก. 300 ข. 400 ค. 500 ง. 600
Download