หน้าที่ 1/2 
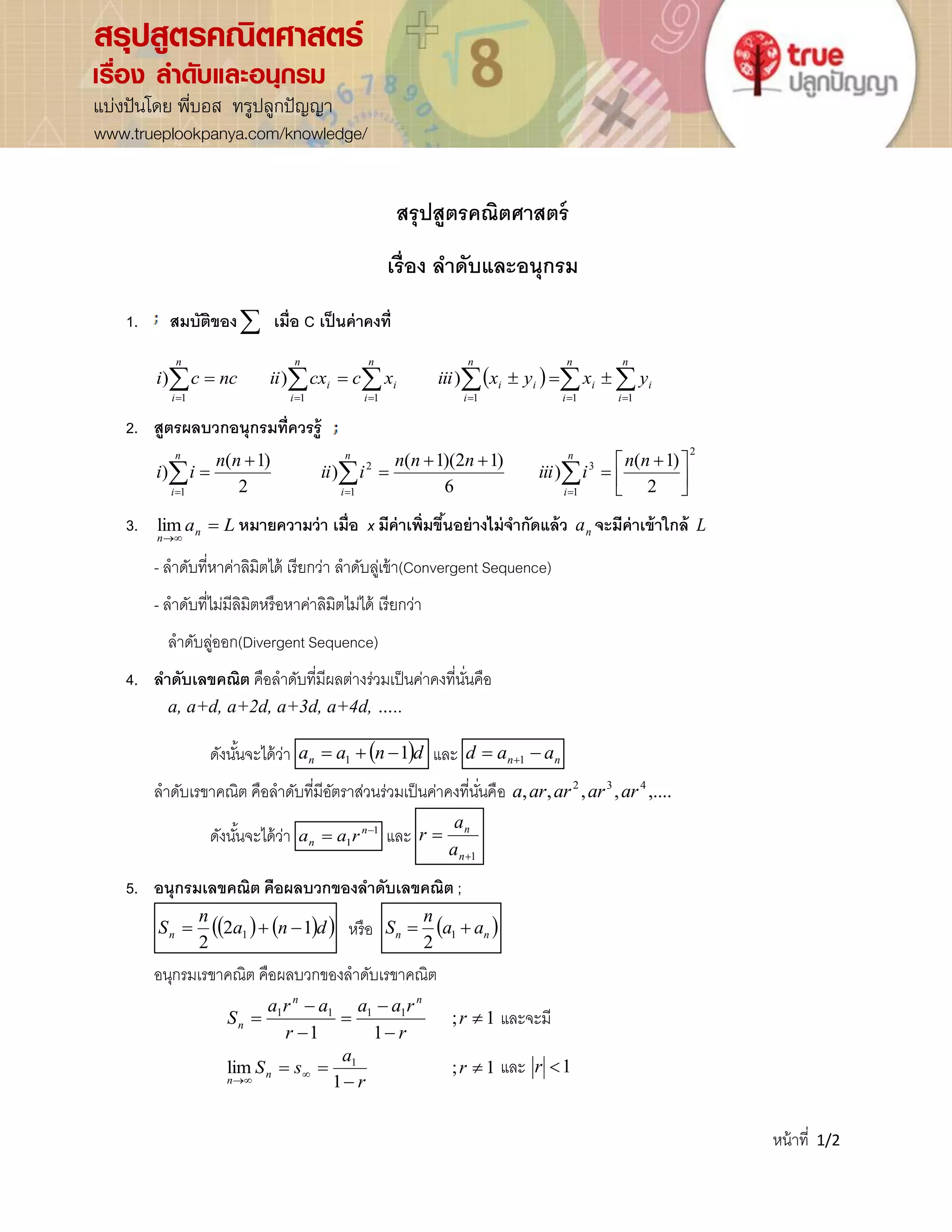
สรุปสูตรคณิตศาสตร์ 
เรื่อง ลา ดับและอนุกรม 
1. สมบัติของ เม่อื C เป็นค่าคงที่ 
       
      
     
n 
i 
i 
n 
i 
i 
n 
i 
i i 
n 
i 
i i 
n 
i 
n 
i 
i c nc ii cx c x iii x y x y 
1 1 1 1 1 1 
) ) ) 
2. สูตรผลบวกอนุกรมที่ควรรู้ 
2 
1 
3 
1 
2 
1 2 
( 1) 
) 
6 
( 1)(2 1) 
) 
2 
( 1) 
)  
 
 
 
 
  
 
  
 
 
    
   
n n 
iii i 
n n n 
ii i 
n n 
i i 
n 
i 
n 
i 
n 
i 
3. a L n 
n 
 
 
lim หมายความว่า เมื่อ x มีค่าเพ่มิขึน้อย่างไม่จา กดัแล้ว n a จะมีค่าเข้าใกล้ L 
- ลา ดับที่หาค่าลิมติได้ เรียกว่า ลา ดับลู่เข้า(Convergent Sequence) 
- ลาดับที่ไม่มีลิมิตหรือหาค่าลิมิตไม่ได้ เรียกว่า 
ลา ดับลู่ออก(Divergent Sequence) 
4. ลา ดับเลขคณิต คือลา ดับที่มีผลต่างร่วมเป็นค่าคงที่นนั่คือ 
a, a+d, a+2d, a+3d, a+4d, ….. 
ดังนัน้จะได้ว่า a a n d n 1 1    และ n n d  a  a 1 
ลา ดับเรขาคณิต คือลา ดับที่มีอัตราส่วนร่วมเป็นค่าคงที่นนั่คือ , , , , ,.... 2 3 4 a ar ar ar ar 
ดังนัน้จะได้ว่า 1 
1 
  n 
n a a r และ 
1 
 
n 
n 
a 
a 
r 
5. อนุกรมเลขคณิต คือผลบวกของลาดับเลขคณิต ; 
 a  n d  
n 
Sn 2 1 
2 1    หรือ   n n a a 
n 
S   1 2 
อนุกรมเรขาคณิต คือผลบวกของลาดับเรขาคณิต 
; 1 
1 1 
1 1 1 1  
 
 
 
 
 
 r 
r 
a a r 
r 
a r a 
S 
n n 
n และจะมี 
; 1 
1 
lim 1  
 
   
 
r 
r 
a 
S s n 
n 
และ r 1 
สรุปสูตรคณิตศาสตร์ 
เรื่อง ลาดับและอนุกรม 
แบ่งปันโดย พี่บอส ทรูปลูกปัญญา 
www.trueplookpanya.com/knowledge/
หน้าที่ 2/2 
6. พจน์ทั่วไป ของลา ดับพหุนาม 
    
 
 
    
   
 
 
   
    
! 
( 1)( 2)...( ) 
... 
2! 
( 1)( 2) 
1 2 
1 k 
n n d n n n k d 
a a n d k 
n 7. เมื่อให้ n a แทนลาดับ 
และ n S แทนอนุกรมแล้วจะได้ว่า 
- n a เป็นไดเวอร์เจนต์ n S เป็นไดเวอร์เจนต์ 
- n S เป็นคอนเวอร์เจนต์lim  0 
 
n 
n 
a 
สรุปสูตรคณิตศาสตร์ 
เรื่อง ลาดับและอนุกรม 
แบ่งปันโดย พี่บอส ทรูปลูกปัญญา 
www.trueplookpanya.com/knowledge/

สรุปสูตร ลำดับและอนุกรม

  • 1.
    หน้าที่ 1/2 สรุปสูตรคณิตศาสตร์ เรื่อง ลา ดับและอนุกรม 1. สมบัติของ เม่อื C เป็นค่าคงที่                   n i i n i i n i i i n i i i n i n i i c nc ii cx c x iii x y x y 1 1 1 1 1 1 ) ) ) 2. สูตรผลบวกอนุกรมที่ควรรู้ 2 1 3 1 2 1 2 ( 1) ) 6 ( 1)(2 1) ) 2 ( 1) )                    n n iii i n n n ii i n n i i n i n i n i 3. a L n n   lim หมายความว่า เมื่อ x มีค่าเพ่มิขึน้อย่างไม่จา กดัแล้ว n a จะมีค่าเข้าใกล้ L - ลา ดับที่หาค่าลิมติได้ เรียกว่า ลา ดับลู่เข้า(Convergent Sequence) - ลาดับที่ไม่มีลิมิตหรือหาค่าลิมิตไม่ได้ เรียกว่า ลา ดับลู่ออก(Divergent Sequence) 4. ลา ดับเลขคณิต คือลา ดับที่มีผลต่างร่วมเป็นค่าคงที่นนั่คือ a, a+d, a+2d, a+3d, a+4d, ….. ดังนัน้จะได้ว่า a a n d n 1 1    และ n n d  a  a 1 ลา ดับเรขาคณิต คือลา ดับที่มีอัตราส่วนร่วมเป็นค่าคงที่นนั่คือ , , , , ,.... 2 3 4 a ar ar ar ar ดังนัน้จะได้ว่า 1 1   n n a a r และ 1  n n a a r 5. อนุกรมเลขคณิต คือผลบวกของลาดับเลขคณิต ;  a  n d  n Sn 2 1 2 1    หรือ   n n a a n S   1 2 อนุกรมเรขาคณิต คือผลบวกของลาดับเรขาคณิต ; 1 1 1 1 1 1 1        r r a a r r a r a S n n n และจะมี ; 1 1 lim 1       r r a S s n n และ r 1 สรุปสูตรคณิตศาสตร์ เรื่อง ลาดับและอนุกรม แบ่งปันโดย พี่บอส ทรูปลูกปัญญา www.trueplookpanya.com/knowledge/
  • 2.
    หน้าที่ 2/2 6.พจน์ทั่วไป ของลา ดับพหุนาม                       ! ( 1)( 2)...( ) ... 2! ( 1)( 2) 1 2 1 k n n d n n n k d a a n d k n 7. เมื่อให้ n a แทนลาดับ และ n S แทนอนุกรมแล้วจะได้ว่า - n a เป็นไดเวอร์เจนต์ n S เป็นไดเวอร์เจนต์ - n S เป็นคอนเวอร์เจนต์lim  0  n n a สรุปสูตรคณิตศาสตร์ เรื่อง ลาดับและอนุกรม แบ่งปันโดย พี่บอส ทรูปลูกปัญญา www.trueplookpanya.com/knowledge/