S TAT I S T I K A
R E G R E S I I I N E A R S E D E R H A N A
KELOMPOK
AYDA FITRIANI
TRI HIDAYAH LAILA
VALENTINI
VIRDYA NAMIRA ROCHAIRA
Analisis
Regresi
Terdapat
perbedaan
yang mendasar
antara analisis
korelasi dan
regresi.
Analisis korelasi
digunakan untuk
mencari arah dan
kuatnya hubungan
antara dua variabel
atau lebih, baik
hubungan yang b
ersifat simetris,
kausal, dan
reciprocal.
Sedangkan analisis
regresi digunakan untuk
memprediksi seberapa
jauh perubahan nilai
variabel dependen, bila
nilai variabel
independen
dimanipulasi atau
dirubah-rubah atau
dinaik turunkan
Regresi sederhana
didasarkan pada
hubungan
fungsional ataupun
kausal satu variabel
independen
dengan satu
variabel dependen.
A. Regresi Linier
Sederhana
Persamaan umum regresi linier
adalah :
𝑌 = a + bX
Dimana :
Ý = Subyek dalam variabel dependen yang diprediksikan.
a = Harga Y ketika harga X = 0 (harga konstan)
b = Angka arah atau koefisien regresi, yang menunjukkan angka peningkatan ataupun
penurunan variabel dependen yang didasarkan pada perubahan variabel
independen. Bila (+) arah garis naik, dan bila (-) maka arah garis turun.
X = Subyek pada variabel independen yang mempunyai nilai tertentu.
𝑌 = a + bX
LANJUTAN.............
Secara teknis harga b merupakan tangen dari (perbandingan) antara panjang garis
variabel dependen, setelah persamaan regresi ditemukan.
Dimana :
r = Koefisien korelasi product moment antara variabel X dengan variabel Y.
Sy = Simpangan baku variabel Y.
Sx = Simpangan baku variabel X.
Harga b = r
Sy
Sx
Harga a = Y - bX
LANJUTAN......
Selain itu harga a dan b dapat dicari dengan rumus berikut :
𝑎 =
( 𝑋2
)( 𝑌) − ( 𝑋)( 𝑋𝑌)
𝑛( 𝑋2) − ( 𝑋)2
b =
𝑛( 𝑋𝑌) − ( 𝑋)( 𝑌)
𝑛( 𝑋2) − ( 𝑋)2
Model Regresi sederhana 𝑌 = a +
bX yang diperoleh masih perlu diuji
signifikansinya. Pengujian
signifikansi model regresi dan
kelinearan model regresi
menggunakan teknik ANAVA.
Statistik yang digunakan dalam
ANAVA ialah statistik F.
UJI SIGNIFIKANSI
REGRESI
Untuk menguji signifikansi model regresi dalam
ANAVA digunakan nilai F yang diperoleh dari
rumus:
Dimana :
𝑆 𝑟𝑒𝑔
2 adalah variansi regresi atau Jumlah Kuadrat
b/a yang dihitung dari rumus
JKReg = b. 𝑥𝑦 = 𝑏. 𝑋𝑌 −
( 𝑋).( 𝑌)
𝑛
𝑆 𝑠𝑖𝑠
2
adalah variansi sisa jumlah Kuadrat Sisa
yang dihitung dari rumus
JKs=JKT –JKa-JKReg
untuk JKT = 𝑌
2
dan JKa =
( 𝑌)2
𝑛
UJI LINEARITAS
REGRESI
Untuk menguji kelinearan model regresi dalam
ANAVA digunakan nilai F yang diperoleh dari
rumus:
Dimana :
𝑆 𝑇𝐶
2
adalah variansi tuna cocok atau Jumlah
Kuadrat TC yang dihitung dari rumus
JK (TC) = 𝐽𝐾 𝑆 − 𝐽𝐾 𝐺
𝑆 𝐺
2
adalah variansi galat atau JKG dihitung dari
rumus
JKG= ( 𝑦 𝑘
2
)
= 𝑌𝑘
2
−
( 𝑌 𝑘)2
𝑛 𝑘
CONTOH SOAL
Berikut Data Yang Didapat Dari Penelitian Korelasi Antara Motivasi Dengan
Prestasi Belajar Ipa SD Kelas 5 Di SDN 09 Pagi Petukangan Utara
Siswa X Y
1 41 34
2 42 36
3 42 39
4 43 39
5 44 39
6 45 40
7 46 41
8 46 41
9 49 42
10 50 42
∑ 448 393
HIPOTESIS STATISTIK
1. Ho: 𝜌 𝑦𝑥 ≤ 0
H1: 𝜌 𝑦𝑥 > 0
2. Ho: 𝜌 𝑦𝑥 = 0
Ho: 𝜌 𝑦𝑥 ≠ 0
KODE RESPONDEN X Y X2 Y2 XY
1 41 34
1681 1156 1394
2 42 36
1764 1296 1512
3 42 39
1764 1521 1638
4 43 39
1849 1521 1677
5 44 39
1936 1521 1716
6 45 40
2025 1600 1800
7 46 41
2116 1681 1886
8 46 41
2116 1681 1886
9 49 42
2401 1764 2058
10 50 42
2500 1764 2100
∑ 448 393
20152 15505 17667
TABEL PENOLONG UNTUK MENGHITUNG PERSAMAAN REGRESI
SEDERHANA
PENYELESAIAN
𝑎 =
( 𝑋2
)( 𝑌) − ( 𝑋) ( 𝑋𝑌)
𝑛 𝑋2 − ( 𝑋)
2
𝑎 =
20152.393 − (448.17667)
10 20152 − (448)2
𝑎 =
4920
816
= 6,029
= 6,03
𝑏 =
𝑛 𝑋𝑌 − ( 𝑋) ( 𝑌)
𝑛 𝑋2 − ( 𝑋)
2
𝑏 =
(10. 17667) − (448.393)
(10. 20152) − (448)2
𝑏 =0,742647059
𝑏 =0,74
Uji Hipotesis (regresi linear sederhana)
a. Model Regresi
Persamaan Regresi :
𝑌 = 6,03 + 0,74𝑋
Kesimpulan : setiap kenaikan satu skor
X (motivasi) maka prestasi belajar Ipa
akan naik sebesar 0,74 pada
konstanta 6,03
• Jumlah kuadrat total (JKT)
JKT = 𝑌
2
= 15505
• Jumlah kuadrat regresi a
(JKa)
JKa =
( 𝑌)2
𝑛
=
(393)2
10
=
154449
10
= 15444,9
• Jumlah kuadrat tereduksi
(JKR)
JKR = JKT ─ JKa atau JKR =
𝑦
2
JKR = 15505 ─ 15444,9 =
60,1
• Jumlah kuadrat regresi b (JKb
atau JKReg)
• JKb = JKReg =
b. 𝑥𝑦 = 𝑏. 𝑋𝑌 −
( 𝑋).( 𝑌)
𝑛
= 0,74 . 17667 −
(448). (393))
10
= 0,74 . 17667 − 17606,4
= 0,74 . 60,6
= 44,844
b. Jumlah Kuadrat (JK) dan derajat
kebebasan
Jumlah kuadrat sisa (JKs)
JKs=JKT –JKa-JKReg
=JKR-JKReg
=60,1 − 44,844 = 15,256
Jumlah kuadrat Galat (JKg)
JKG= ( 𝑦 𝑘
2
)
= 𝑌𝑘
2
−
( 𝑌 𝑘)2
𝑛 𝑘
No 1 2 3 4 5 6 7 8 9 1
X
4
1
4
2
4
2
4
3
4
4
4
5
4
6
4
6
4
9
5
0
Y
3
4
3
6
3
9
3
9
3
9
4
0
4
1
4
1
4
2
4
2
K 1 2 3 4 5 6 7 8
G 0 4,5 0 0 0 0 0 0
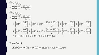
JKG= ( 𝑦𝑘
2
)
= 𝑌𝑘
2
−
( 𝑌 𝑘)2
𝑛 𝑘
JKG= ( 𝑦𝑘
2
)
= 𝑌𝑘
2
−
( 𝑌 𝑘)2
𝑛 𝑘
= 342 −
342
1
+ 362 + 392 −
36 + 39 2
2
+ 392 −
392
1
+ 392 −
392
1
+ 402 −
402
1
+ 412 + 412 −
41 + 41 2
2
+ 422 −
422
1
+ 422 −
422
1
= 0 + 4,5 + 0 + 0 + 0 + 0 + 0 + 0 = 4,5
Tuna Cocok
JK (TC) = 𝐽𝐾 𝑆 − 𝐽𝐾 𝐺 = 15,256 − 4,5 = 10,756
UJI SIGNIFIKANSI
Hipotesis:
Ho : 𝜷 𝟏 = 𝟎 𝜷 𝟏 ≤ 𝟎
H1 : 𝜷 𝟏 ≠ 𝟎 𝜷 𝟏 > 𝟎
Pengujian:
𝑭 𝒉 =
𝑺 𝒓𝒆𝒈
𝟐
𝑺 𝒔𝒊𝒔
𝟐
𝑭 𝒉 =
JK 𝑅𝑒𝑔
1
JK 𝑆
𝑛 − 2
=
𝟒𝟒, 𝟖𝟒𝟒
𝟏
𝟏𝟓, 𝟐𝟓𝟔
𝟖
= 𝟐𝟑, 𝟓𝟐
Karena :
Fh= 23,52>Ft (0,05) =5,32
Fh= 23,52>Ft (0,01) =11,26
Maka Ho ditolak berarti (koefisien) regresi sangat signifikan
Hipotesis:
Ho : 𝒀 = 𝒂 𝟏 + 𝜷 𝟏 𝑿 𝟏
H1 : 𝒀 ≠ 𝒂 𝟏 + 𝜷 𝟏 𝑿 𝟏
Pengujian:
𝑭 𝒉 =
𝑺 𝑻𝑪
𝟐
𝑺 𝑮
𝟐
𝑭 𝒉 =
JK TC
𝑘 − 2
JK 𝐺
𝑛 − 𝑘
=
𝟏𝟎, 𝟕𝟓𝟔
𝟔
𝟒, 𝟓
𝟐
=
𝟏, 𝟕𝟗𝟑
𝟐, 𝟐𝟓
= 𝟎, 𝟕𝟗𝟕
Karena :
Fh= 0,797>Ft (0,05) =19,33
Fh= 0,797>Ft (0,01) =99,33
Maka Ho diterima berarti regresi linear
UJI LINEARITAS
0
2
4
6
8
10
12
0 1 2 3 4 5 6
Y-Values Grafik Persamaan Regresi antara X dan Y
DAFTAR PUSTAKA
Kusdiwelirawan, A. 2013. Statistik Pendidikan. Jakarta: Uhamka PRESS
Sugiyono. 2010. Statistika untuk Penelitian. Bandung: Alfabeta.
Regegresi sederhana ayda tri_valen_virdya

Regegresi sederhana ayda tri_valen_virdya

  • 1.
    S TAT IS T I K A R E G R E S I I I N E A R S E D E R H A N A
  • 2.
    KELOMPOK AYDA FITRIANI TRI HIDAYAHLAILA VALENTINI VIRDYA NAMIRA ROCHAIRA
  • 3.
    Analisis Regresi Terdapat perbedaan yang mendasar antara analisis korelasidan regresi. Analisis korelasi digunakan untuk mencari arah dan kuatnya hubungan antara dua variabel atau lebih, baik hubungan yang b ersifat simetris, kausal, dan reciprocal. Sedangkan analisis regresi digunakan untuk memprediksi seberapa jauh perubahan nilai variabel dependen, bila nilai variabel independen dimanipulasi atau dirubah-rubah atau dinaik turunkan
  • 4.
    Regresi sederhana didasarkan pada hubungan fungsionalataupun kausal satu variabel independen dengan satu variabel dependen. A. Regresi Linier Sederhana Persamaan umum regresi linier adalah : 𝑌 = a + bX
  • 5.
    Dimana : Ý =Subyek dalam variabel dependen yang diprediksikan. a = Harga Y ketika harga X = 0 (harga konstan) b = Angka arah atau koefisien regresi, yang menunjukkan angka peningkatan ataupun penurunan variabel dependen yang didasarkan pada perubahan variabel independen. Bila (+) arah garis naik, dan bila (-) maka arah garis turun. X = Subyek pada variabel independen yang mempunyai nilai tertentu. 𝑌 = a + bX
  • 6.
    LANJUTAN............. Secara teknis hargab merupakan tangen dari (perbandingan) antara panjang garis variabel dependen, setelah persamaan regresi ditemukan. Dimana : r = Koefisien korelasi product moment antara variabel X dengan variabel Y. Sy = Simpangan baku variabel Y. Sx = Simpangan baku variabel X. Harga b = r Sy Sx Harga a = Y - bX
  • 7.
    LANJUTAN...... Selain itu hargaa dan b dapat dicari dengan rumus berikut : 𝑎 = ( 𝑋2 )( 𝑌) − ( 𝑋)( 𝑋𝑌) 𝑛( 𝑋2) − ( 𝑋)2 b = 𝑛( 𝑋𝑌) − ( 𝑋)( 𝑌) 𝑛( 𝑋2) − ( 𝑋)2
  • 8.
    Model Regresi sederhana𝑌 = a + bX yang diperoleh masih perlu diuji signifikansinya. Pengujian signifikansi model regresi dan kelinearan model regresi menggunakan teknik ANAVA. Statistik yang digunakan dalam ANAVA ialah statistik F.
  • 9.
    UJI SIGNIFIKANSI REGRESI Untuk mengujisignifikansi model regresi dalam ANAVA digunakan nilai F yang diperoleh dari rumus: Dimana : 𝑆 𝑟𝑒𝑔 2 adalah variansi regresi atau Jumlah Kuadrat b/a yang dihitung dari rumus JKReg = b. 𝑥𝑦 = 𝑏. 𝑋𝑌 − ( 𝑋).( 𝑌) 𝑛 𝑆 𝑠𝑖𝑠 2 adalah variansi sisa jumlah Kuadrat Sisa yang dihitung dari rumus JKs=JKT –JKa-JKReg untuk JKT = 𝑌 2 dan JKa = ( 𝑌)2 𝑛
  • 10.
    UJI LINEARITAS REGRESI Untuk mengujikelinearan model regresi dalam ANAVA digunakan nilai F yang diperoleh dari rumus: Dimana : 𝑆 𝑇𝐶 2 adalah variansi tuna cocok atau Jumlah Kuadrat TC yang dihitung dari rumus JK (TC) = 𝐽𝐾 𝑆 − 𝐽𝐾 𝐺 𝑆 𝐺 2 adalah variansi galat atau JKG dihitung dari rumus JKG= ( 𝑦 𝑘 2 ) = 𝑌𝑘 2 − ( 𝑌 𝑘)2 𝑛 𝑘
  • 11.
    CONTOH SOAL Berikut DataYang Didapat Dari Penelitian Korelasi Antara Motivasi Dengan Prestasi Belajar Ipa SD Kelas 5 Di SDN 09 Pagi Petukangan Utara Siswa X Y 1 41 34 2 42 36 3 42 39 4 43 39 5 44 39 6 45 40 7 46 41 8 46 41 9 49 42 10 50 42 ∑ 448 393
  • 12.
    HIPOTESIS STATISTIK 1. Ho:𝜌 𝑦𝑥 ≤ 0 H1: 𝜌 𝑦𝑥 > 0 2. Ho: 𝜌 𝑦𝑥 = 0 Ho: 𝜌 𝑦𝑥 ≠ 0
  • 13.
    KODE RESPONDEN XY X2 Y2 XY 1 41 34 1681 1156 1394 2 42 36 1764 1296 1512 3 42 39 1764 1521 1638 4 43 39 1849 1521 1677 5 44 39 1936 1521 1716 6 45 40 2025 1600 1800 7 46 41 2116 1681 1886 8 46 41 2116 1681 1886 9 49 42 2401 1764 2058 10 50 42 2500 1764 2100 ∑ 448 393 20152 15505 17667 TABEL PENOLONG UNTUK MENGHITUNG PERSAMAAN REGRESI SEDERHANA
  • 14.
    PENYELESAIAN 𝑎 = ( 𝑋2 )(𝑌) − ( 𝑋) ( 𝑋𝑌) 𝑛 𝑋2 − ( 𝑋) 2 𝑎 = 20152.393 − (448.17667) 10 20152 − (448)2 𝑎 = 4920 816 = 6,029 = 6,03 𝑏 = 𝑛 𝑋𝑌 − ( 𝑋) ( 𝑌) 𝑛 𝑋2 − ( 𝑋) 2 𝑏 = (10. 17667) − (448.393) (10. 20152) − (448)2 𝑏 =0,742647059 𝑏 =0,74
  • 15.
    Uji Hipotesis (regresilinear sederhana) a. Model Regresi Persamaan Regresi : 𝑌 = 6,03 + 0,74𝑋 Kesimpulan : setiap kenaikan satu skor X (motivasi) maka prestasi belajar Ipa akan naik sebesar 0,74 pada konstanta 6,03
  • 16.
    • Jumlah kuadrattotal (JKT) JKT = 𝑌 2 = 15505 • Jumlah kuadrat regresi a (JKa) JKa = ( 𝑌)2 𝑛 = (393)2 10 = 154449 10 = 15444,9 • Jumlah kuadrat tereduksi (JKR) JKR = JKT ─ JKa atau JKR = 𝑦 2 JKR = 15505 ─ 15444,9 = 60,1 • Jumlah kuadrat regresi b (JKb atau JKReg) • JKb = JKReg = b. 𝑥𝑦 = 𝑏. 𝑋𝑌 − ( 𝑋).( 𝑌) 𝑛 = 0,74 . 17667 − (448). (393)) 10 = 0,74 . 17667 − 17606,4 = 0,74 . 60,6 = 44,844 b. Jumlah Kuadrat (JK) dan derajat kebebasan
  • 17.
    Jumlah kuadrat sisa(JKs) JKs=JKT –JKa-JKReg =JKR-JKReg =60,1 − 44,844 = 15,256 Jumlah kuadrat Galat (JKg) JKG= ( 𝑦 𝑘 2 ) = 𝑌𝑘 2 − ( 𝑌 𝑘)2 𝑛 𝑘 No 1 2 3 4 5 6 7 8 9 1 X 4 1 4 2 4 2 4 3 4 4 4 5 4 6 4 6 4 9 5 0 Y 3 4 3 6 3 9 3 9 3 9 4 0 4 1 4 1 4 2 4 2 K 1 2 3 4 5 6 7 8 G 0 4,5 0 0 0 0 0 0
  • 18.
    JKG= ( 𝑦𝑘 2 ) =𝑌𝑘 2 − ( 𝑌 𝑘)2 𝑛 𝑘 JKG= ( 𝑦𝑘 2 ) = 𝑌𝑘 2 − ( 𝑌 𝑘)2 𝑛 𝑘 = 342 − 342 1 + 362 + 392 − 36 + 39 2 2 + 392 − 392 1 + 392 − 392 1 + 402 − 402 1 + 412 + 412 − 41 + 41 2 2 + 422 − 422 1 + 422 − 422 1 = 0 + 4,5 + 0 + 0 + 0 + 0 + 0 + 0 = 4,5 Tuna Cocok JK (TC) = 𝐽𝐾 𝑆 − 𝐽𝐾 𝐺 = 15,256 − 4,5 = 10,756
  • 19.
    UJI SIGNIFIKANSI Hipotesis: Ho :𝜷 𝟏 = 𝟎 𝜷 𝟏 ≤ 𝟎 H1 : 𝜷 𝟏 ≠ 𝟎 𝜷 𝟏 > 𝟎 Pengujian: 𝑭 𝒉 = 𝑺 𝒓𝒆𝒈 𝟐 𝑺 𝒔𝒊𝒔 𝟐 𝑭 𝒉 = JK 𝑅𝑒𝑔 1 JK 𝑆 𝑛 − 2 = 𝟒𝟒, 𝟖𝟒𝟒 𝟏 𝟏𝟓, 𝟐𝟓𝟔 𝟖 = 𝟐𝟑, 𝟓𝟐 Karena : Fh= 23,52>Ft (0,05) =5,32 Fh= 23,52>Ft (0,01) =11,26 Maka Ho ditolak berarti (koefisien) regresi sangat signifikan
  • 20.
    Hipotesis: Ho : 𝒀= 𝒂 𝟏 + 𝜷 𝟏 𝑿 𝟏 H1 : 𝒀 ≠ 𝒂 𝟏 + 𝜷 𝟏 𝑿 𝟏 Pengujian: 𝑭 𝒉 = 𝑺 𝑻𝑪 𝟐 𝑺 𝑮 𝟐 𝑭 𝒉 = JK TC 𝑘 − 2 JK 𝐺 𝑛 − 𝑘 = 𝟏𝟎, 𝟕𝟓𝟔 𝟔 𝟒, 𝟓 𝟐 = 𝟏, 𝟕𝟗𝟑 𝟐, 𝟐𝟓 = 𝟎, 𝟕𝟗𝟕 Karena : Fh= 0,797>Ft (0,05) =19,33 Fh= 0,797>Ft (0,01) =99,33 Maka Ho diterima berarti regresi linear UJI LINEARITAS
  • 21.
    0 2 4 6 8 10 12 0 1 23 4 5 6 Y-Values Grafik Persamaan Regresi antara X dan Y
  • 22.
    DAFTAR PUSTAKA Kusdiwelirawan, A.2013. Statistik Pendidikan. Jakarta: Uhamka PRESS Sugiyono. 2010. Statistika untuk Penelitian. Bandung: Alfabeta.