Kalkulus2-unpad 1
Barisan dan Deret
Kalkulus2-unpad
2
Barisan Tak Hingga
 Definisi
Barisan Tak Hingga adalah fungsi dengan daerah asal
bilangan asli(N).
Notasi: f : N  R
Fungsi tersebut dikenal sebagai barisan bilangan Real.
Biasa ditulis {an} atau dengan an adalah suku ke-n.
 Bentuk penulisan dari barisan :
1. bentuk eksplisit suku ke-n :
2. ditulis sejumlah berhingga suku awalnya.
3. bentuk rekursif
n
n
n
a
a
aa
+
== +
1
,1 11
n
an
1
=
( ) nanfn =
{ } 1=
∞
nn
a
Kalkulus2-unpad 3
Kekonvergenan Barisan
 Definisi:
Barisan { an} dikatakan konvergen ke L ditulis
Sebaliknya, barisan yang tidak konvergen ke suatu
bilangan L yang berhingga, maka barisan
dikatakan divergen (dalam hal ini mungkin
atau beroksilasi)
Lan
n
=
∞→
lim
ε<−⇒≥ LaNn n
∋∃>∀ Naslibilangan,0εJika
∞−∞ ,
Kalkulus2-unpad 4
Sifat Barisan Konvergen
 Jika barisan {an} konvergen ke L dan barisan {bn}
konvergen ke M, maka
1.
2.
3. , untuk M 0
 Barisan {an} dikatakan
a. Monoton naik jika an+1 > an
b. Monoton turun jika an+1 < an
Kalkulus2-unpad 5
Contoh
1.
konvergen ke ½.
Jawab:
Karena
{ }






+
=
12n
n
an
Periksa kekonvergenan barisan berikut
.
2
1
1
2
)1(
lim
12
limlim =






+
=
+
=
∞→∞→∞→
n
n
n
n
n
a
nnnn
, maka






+12n
n
2
1
lim =
∞→ nn
a
Kalkulus2-unpad 6
Contoh
2.
divergen.
Jawab:
Karena
Periksa kekonvergenan barisan berikut
, maka
{ }






+
=
3n
n
an
.
3
1
lim
3
1
)(
lim
3
limlim ∞=
+
=






+
=
+
=
∞→∞→∞→∞→
n
n
n
n
nn
n
n
a
nnn
n
n
∞=∞→
n
n
alim






+ 3n
n
Kalkulus2-unpad 7
Catatan
 Akan dijumpai banyak persoalan konvergensi barisan
yang tidak bisa langsung dicari limit tak hingga suku ke –
nnya. Untuk itu kita dapat menghitung limit di tak hingga
dari fungsi yang sesuai.
Fakta ini digunakan sebagai penyederhanaan karena
kita dapat memakai kaidah L’Hopital untuk soal
peubah kontinu.
Lxf
x
=
∞→
)(limJika Lan
n
=
∞→
lim, maka
Teorema:
Misalkan memenuhi1),( ≥= xxfy nanf =)(
Kalkulus2-unpad 8
ee
x
x
x
==





+
=
∞→
1
1
limexp
n
n
n
1
1a 





+=
Jawab:
Ambil
x
x
xf 





+=
1
1)( , sehingga
maka dikatakan












+=
∞→ x
x
x
1
1ln.limexp





 +
=
∞→ x
x
x /1
))/1(1ln(
limexp
x
x x






+
∞→
1
1lim
)
1
(
)
1
(
1limexp
2
2
x
xx
x
x
−
−
+=
∞→
Contoh
Periksa kekonvergenan
n
n





+
1
1
=∞→
)(lim xfx
Karena ,lim)(lim eaxf nnx
==
∞→∞→
n
n





+
1
1
konvergen ke e.
Kalkulus2-unpad 9
Latihan
{ }






+−
+
=
32
14
2
2
nn
n
an
{ }






+
+
=
1
23 2
n
n
an
{ }






+
=
1n
n
an
{ }






=
n
n
an
)ln(






...
5
4
,
4
3
,
3
2
,
2
11.
2.
8.
7.
6.
5.
4.
3.
Periksa kekonvergenan dari barisan berikut:
{ }






=
n
nan
π
sin
{ }






= n
n
n
a
4
π
{ } { }nnan −= 2
{ }






+
=
nn
n
an
π
sin
12
2
9.
{ }





 +
= n
nn
n
e
ee
a 2
2
2
.10
Kalkulus2-unpad 10
Deret Tak Hingga
 Bentuk deret tak hingga dinotasikan dengan
notasi sigma, sebagai berikut:
dengan an adalah suku ke-n.
Kekonvergenan suatu deret ditentukan dari
barisan jumlah parsialnya.
......321
1
+++++=∑
∞
=
n
i
i aaaaa
Kalkulus2-unpad 11
Barisan Jumlah Parsial
Misalkan Sn
menyatakan jumlah parsial ke-n suku dari deret
, maka∑
∞
=1i
ia
{Sn}, dinamakan barisan jumlah parsial deret .
1
∑
∞
=i
i
a
Dari jumlah parsial ini didapat bahwa Sn – Sn-1 = an.
∑=
=++++=
n
i
inn aaaaaS
1
321 ...
11 aS =
212 aaS +=
.
.
.
Kalkulus2-unpad 12
Kekonvergenan Deret Tak Hingga
Deret tak hingga ∑
∞
=1n
na konvergen dan mempunyai
jumlah S jika barisan jumlah parsialnya ({Sn})
konvergen ke S (artinya
divergen maka deret divergen.
SSn
n
=
∞→
lim ), sebaliknya jika
{ }n
S
Kalkulus2-unpad 13
Deret Geometri
 Bentuk umum deret geometri :
dengan a ≠ 0.
 Jumlah parsial deret ini adalah
Sehingga
n
n ararararrS ++++= ...32
n
n araSr −=− )1(
.
1 r
ara
S
n
n
−
−
=
1 2 3 1
1
...i i
i
ar a ar ar ar ar
∞
− −
=
= + + + + +∑
12
1
1
... −
=
−
++++== ∑ n
n
i
i
n arararaarS
Kalkulus2-unpad 14




≥∞+
<
−=
−
−
=
∞→∞→
1;
1;
1
1
limlim
r
r
r
a
r
ara
S
n
n
n
n
Jadi, deret geometri konvergen jika 1<r
dengan jumlah .
11 1
1
r
a
aratau
r
a
S
i
i
−
=
−
= ∑
∞
=
−
Kalkulus2-unpad 15
Contoh
Selidiki kekonvergenan deret
...
32
1
16
1
8
1
4
1
2
1
+++++1.
Jawab:
Kalau kita perhatikan, deret ini adalah deret geometri
dengan rasio ½ ( r<1).
Sehingga deret ini konvergen dengan jumlah
.1
2/11
2/1
=
−
=S
Kalkulus2-unpad 16
∑
∞
= +1 )1(
1
i ii
Jawab:
Kalau kita perhatikan
dan
Karena barisan jumlah parsialnya konvergen ke 1,
maka deret di atas juga konvergen dengan jumlah 1.
Dari sini kita peroleh bahwa jumlah parsial ke-n-nya
Sn = =
= = 1
(Deret Kolaps)2. Selidi kekonvergenan deret
∑ ∑
∞
=
∞
= +
−=
+1 1 1
11
)1(
1
i i iiii
Kalkulus2-unpad 17
3.3.
Jawab:
Dari sini kita dapatkan
Jadi deret harmonik adalah deret divergen.
∑
∞
=1
1
i i
Sn = 1 +
Sn = 1 +
≥ 1 +
= 1 +
(Deret Harmonik)
∞=∞→
n
n
SlimSehingga
Kalkulus2-unpad 18
Sifat-sifat deret tak hingga
∑
∞
=1n
na konvergen maka 0lim =
∞→
n
n
a
0lim ≠
∞→
n
n
a maka deret divergen ).
Contoh: Buktikan bahwa ∑
∞
= ++1
2
2
433n nn
n
divergen.
Bukti:
=
++
= ∞→∞→
433
limlim 2
2
nn
n
a nnn
0
3
1
43
3
1
lim
2
≠=
++
∞→
nn
n
Karena divergen.∑
∞
= ++1
2
2
433n nn
n
Jika
(jika
1. Uji kedivergenan suku ke-n
,0
3
1
lim ≠=
∞→
n
n
a maka
Kalkulus2-unpad 19
2. Sifat linear
Jika ∑ ∑ nn bdana konvergen dan c konstanta, maka
)(∑ ∑ ± nnn badanca konvergen, dan
∑ ∑ ∑
∑ ∑
±=±
=
nnnn
nn
babaii
accai
)(
)(
3. Jika ∑ na divergen dan c konstanta, maka
∑ nca divergen.
Kalkulus2-unpad
20
Uji Kekonvergenan Deret Positif
Misalkan f fungsi kontinu, positif dan monoton turun
pada selang [1,∝). Andaikan
∫
∞
1
)( dxxf∑
∞
=1n
na konvergen
1. Uji Integral
Nnnfan ∈= ),(
maka
⇔ konvergen
∑
∞
=1n
na
Kalkulus2-unpad
Contoh
1. Selidiki kekonvergenan dari ∑
∞
=
−
1n
n2
en
Jawab: ambil .)(
2
x
exxf −
=
dxex x2
1
−∞
∫ =−
∞→ ∫ dxex x
b
b
2
1
lim ∫
−
∞→
b
x
b
xde
1
2
)(lim
2
1 2
b
x
b
e
1
2
lim
2
1 −
∞→
−= )
11
(lim
2
1
2
eebb
−−=
∞→
e2
1
=
=
Karena dxex x2
1
−
∞
∫ konvergen, maka ∑
∞
=
−
1
2
n
n
en konvergen.
f kontinu, positif ,
turun di (buktikan sendiri !), maka
21
),1[ ∞
Kalkulus2-unpad 22
Contoh
2. Selidiki kekonvergenan dari
Jawab: ambil , kontinu,positif,turun di
Karena divergen, maka divergen.
∑
∞
=2 ln
1
n nn
xx
xf
ln
1
)( =
∫∫ ∞→
∞
=
b
b xx
dx
xx
dx
22 ln
lim
ln 2
(ln )
lim
ln
b
b
d x
x→∞
= ∫
( ) ( ) ( ) ∞=−==
∞→∞→
2lnlnlnlnlimlnlnlim bx
bb
∫
∞
2 ln xx
dx
∑
∞
=2n
nlnn
1
),2[ ∞
Kalkulus2-unpad 23
Latihan
∑
∞
=2n
2
nlnn
1
∑
∞
= +1n 1n2
1
∑
∞
= +1n
2
1n4
1
( )
∑
∞
= +1n 2
3
n34
1
3.
2.
4.
5.
1.
Selidiki kekonvergenan deret berikut:
( )∑
∞
= −3n
2
2n
1
6. Tentukan syarat k agar deret 0,
ln
1
2
>∑
∞
=
k
nnn
k
konvergen.
Kalkulus2-unpad 24
Uji Deret Positif
2. Uji Deret -p
Deret-p berbentuk .
1
1
∑
∞
=n
p
n
dengan menggunakan uji integral, kita dapatkan
=∫
∞
∞→
dx
xpt 1
1
lim
p
t p
t −
−
=
−
∞→ 1
1
lim
1




<≤∞
>
−
−
=
10;
1;
1
1
p
p
p
Jika p<0
Jika
.
1
lim ∞=
∞→ pn n
Maka deret divergen.
,0≥p
Sehingga
∑
∞
=1
1
n
p
n
konvergen jika p>1 dan divergen jika .1≤p







≠
−
=∞=
−
∞→
∞→
1;
11
lim
1;
1
lnlim
1
p
t
p
x
p
t
x
p
t
t
Kalkulus2-unpad 25
Contoh
Apakah deret berikut konvergen atau divergen?
1. ∑
∞
=1
001,1
1
n n
Berdasarkan uji deret-p, deret ∑
∞
=1
001,1
1
n n konvergen
karena p=1,001 > 1
2.
Berdasarkan uji deret-p, deret divergen
karena p= ½ < 1
∑
∞
=1 2
1
1
n n
∑
∞
=1 2
1
1
n n
Kalkulus2-unpad 26
Uji Deret Positif
3. Uji banding biasa
Andaikan ∑
∞
= `1n
na ∑
∞
= `1n
nbdan deret positif, maka
1. Jika konvergen, maka
∑
∞
= `1n
na
∑
∞
=
≥
`1
dan
n
nnn bab
∑
∞
=
≤
`1
dan
n
nnn bab
∑
∞
= `1n
na konvergen.
2. Jika divergen, maka divergen.
Kalkulus2-unpad 27
Contoh
1. Selidiki Kekonvergenan deret ∑
∞
= −3
2
5n n
n
Jawab:
Bandingkan dengan
52
−
=
n
n
an
Perhatikan bahwa .
5
1
atau
5 222
−
<
−
<
n
n
nn
n
n
n
Karena ∑
∞
=1n
n
1
∑
∞
= −3
2
5n n
n
deret divergen(harmonik), maka
juga deret yang divergen.
nn
n
bn
1
2
==
Kalkulus2-unpad 28
Jawab:
Bandingkan dengan
konvergen.
∑
∞
= +1
2
53
1
n n
2
1
1
3 5n n
∞
= +
∑
5
11
.
3
1
3
1
222
+
>=
nnn
53
1
2
+
=
n
an
2
1
1
n n
∞
=
∑
Perhatikan bahwa
Karena konvergen dengan uji deret-p (p=2)
maka
2. Selidiki kekonvergenan deret
2
1
n
bn
=
Kalkulus2-unpad 29
Latihan
Selidiki kekonvergenan deret berikut :
∑
∞
= +1
5
2
5n n
n
∑
∞
= −6 5
1
n n
∑
∞
= +1n
n
12
1
∑
∞
=
+
1
2
cos6
n n
n
∑
∞
= −1n 1n2
12.
4.
5.
3.
1.
∑
∞
= −1 1
.6
n n
n
Kalkulus2-unpad 30
4. Uji Banding limit
Andaikan dan deret positif dan
n
n
n
b
a
L ∞→
= lim
Uji Deret Positif
1. Jika 0 < L < ∞ maka ∑
∞
= `1n
na ∑
∞
= `1n
nbdan sama-sama
konvergen atau divergen.
2. Jika L = 0 dan ∑
∞
= `1n
nb
∑
∞
= `1n
na
konvergen maka
konvergen.
∑
∞
= `1n
na ∑
∞
= `1n
nb
Kalkulus2-unpad 31
Contoh
Selidiki kekonvergenan dari deret berikut :
∑
∞
= +−
+
1
23
75
32
.1
n nn
n
Gunakan Uji Banding Limit.
sehingga
Pilih
lim n
n
n
a
L
b→∞
=
∑
∞
= +−
+
1n
23
7n5n
3n2
konvergen.
= 2
Karena L=2 dan
Jawab:
2
1
n
bn =
2
23
1
75
32
lim
n
nn
n
n
+−
+
= ∞→ 75
32
lim 23
23
+−
+
= ∞→
nn
nn
n
konvergen dengan uji
deret-p, maka
∑∑ = 2
1
n
bn
Kalkulus2-unpad 32
Gunakan Uji Banding Limit.
sehingga
Pilih
lim n
n
n
a
L
b→∞
=
divergen.
Karena L=1 dan
Jawab:
divergen (deret harmoik),
∑
∞
= +1
2
4
1
.2
n n
∑
∞
= +1n
2
4n
1
n
bn
1
=
n
n
n 1
4
1
lim
2
+=
∞→
1
4
lim 2
2
=
+
=
∞→ n
n
n
∑
∞
=1
1
n n
maka
Kalkulus2-unpad 33
Latihan
Selidiki kekonvergenan dari deret berikut:
∑
∞
= ++1n
2
3n2n
n
∑
∞
= −
+
1n
3
4n
1n3
∑
∞
= +1n 1nn
1
∑
∞
=
+
1n
2
n
3n2
∑
∞
=1n
2
n
nln2.
4.
5.
3.
1.
∑
∞
= −1 12
1
.6
n
n
Kalkulus2-unpad 34
5. Uji Hasil Bagi
Uji Deret Positif
∑
∞
=1n
na
n
n
n a
a 1
lim +
∞→
=ρ
Diketahui merupakan suatu deret dengan
ρ ∑
∞
=1n
na1. Jika < 1 maka deret konvergen
suku-suku yang positif, dan
ρ ∑
∞
=1n
na divergen2. Jika > 1 maka deret
ρ = 1 maka tidak dapat diambil kesimpulan.3. Jika
Kalkulus2-unpad 35
Contoh
Selidiki kekonvergenan deret berikut:
1. ∑
∞
=1 !
3
n
n
n
⇒=
!
3
n
a
n
n
( )!1
3 1
1
+
=
+
+
n
a
n
n
sehingga
Karena ∑
∞
=1 !
3
n
n
n
konvergen.
Jawab:
( )1
3
lim
+
=
∞→
nn
0=
( )!n
!n
n
n
n
13
3
lim
1
+
=
+
∞→
( )
!n
!n
n
n
n 3
1
3
lim
1
+
=
+
∞→
n
n
n a
a 1
lim +
∞→
=ρ
10 <=ρ , maka
n
n
n
n
nn 3
!
.
!)1(
3.3
lim
+
=
∞→
Kalkulus2-unpad 36
Contoh
2. ∑
∞
=1
2
3
n
n
n
2
3
n
a
n
n = dan
( )2
1
1
1
3
+
=
+
+
n
a
n
n
sehingga
Karena ∑
∞
=1
2
3
n
n
n
divergen.
Jawab:
3=
2
1
3lim 





+
=
∞→ n
n
n( )2
21
13
3
lim
+
=
+
∞→
n
n
n
n
n
( )
2
2
1
3
1
3
lim
n
n
n
n
n
+
=
+
∞→
n
n
n a
a 1
lim +
∞→
=ρ
3=ρ maka
Kalkulus2-unpad 37
Latihan
Selidiki kekonvergenan dari deret berikut:
∑
∞
=1
2
!n n
n
∑
∞
=
+
1 !
5
n n
n
( )∑
∞
=1 !2
.8
n
n
n
n
∑
∞
=
+
1 !
4
n
n
n
n
( )∑
∞
=1
3
!2n n
n
2.
5.
6.
3.
1.
∑
∞
=1
!2
.7
n
n
n
n
n
∑
∞
=1
!
n
n
n
n
4.
∑
∞
=1 4
!
n
n
n
Kalkulus2-unpad 38
Uji Deret Positif
6. Uji Akar
∑
∞
=1n
naDiketahui merupakan suatu deret dengan
1. Jika a <1, maka deret konvergen
suku-suku yang positif, misalkan
2. Jika a > 1, maka deret divergen
3. Jika a = 1, maka uji tidak memberi kesimpulan.
n
n
n
aa
∞→
= lim
Kalkulus2-unpad 39
Contoh
Selidiki kekonvergenan deret
1. ∑
∞
=






−
+
1 1
22
n
n
n
n
Jawab: n
n
n
n
a 





−
+
=
1
22
, maka
nn
n
n
n
n n
n
aa
/1
1
22
limlim














−
+
==
∞→∞→
Karena a=2, maka deret ∑
∞
=






−
+
1 1
22
n
n
n
n
divergen.
.2
1
22
lim =
−
+
=
∞→ n
n
n
Kalkulus2-unpad 40
2. ∑
∞
=






−
+
1 12
2
n
n
n
n
Jawab:
n
n
n
n
a 





−
+
=
12
2
, maka
nn
n
n
n
n n
n
aa
/1
12
2
limlim














−
+
==
∞→∞→
Karena a = ½ , maka deret ∑
∞
=






−
+
1 1
22
n
n
n
n
konvergen.
.
2
1
12
2
lim =
−
+
=
∞→ n
n
n
Kalkulus2-unpad 41
Latihan
Selidiki kekonvergenan dari deret berikut:
∑
∞
=






1 ln
1
n
n
n
∑
∞
=






−
+
1 12
23
n
n
n
n
∑
∞
=






+1 23n
n
n
n
∑
∞
=






+
1
1
2
1
n
n
n
2. 4.
3.1.
Kalkulus2-unpad 42
Kesimpulan
Untuk menguji kekonvergenan deret ∑ na perhatikan ;na
1. Jika
2. Jika an memuat bentuk
∑⇒≠
∞→
nn
n
aa 0lim divergen.
nn
nrn ,,! , gunakan uji hasil bagi.
3. Jika an hanya memuat bentuk pangkat n yang konstan,
gunakan uji banding limit.
4. Usaha terakhir, cobakan uji banding biasa, uji akar,
atau uji integral.
Latihan
∑
∞
= −3
2
5
1
.1
n n
Periksa kekonvergenan dari deret berikut :
∑
∞
= +1
2
5
.2
n n
n
( )∑
∞
= −3
2
2
1
.4
n n
∑
∞
=1 !
5
.3
n
n
n
∑
∞
=
+
1
2
2
2
3
.5
n
n
nn
e
ee
∑
∞
=2
ln
.6
n n
n
∑
∞
=1 !
.7
n
n
n
n
Kalkulus2-unpad 44
Deret Ganti Tanda (DGT)
dan Kekonvergenan Mutlak
( ) ...1 4321
1
1
+−+−=−∑
∞
=
+
aaaaa
n
n
n
dengan an > 0, untuk semua n.
Contoh : deret harmonik berganti tanda,
( ) ...
4
1
3
1
2
1
1
n
1
1
1n
1n
+−+−=−∑
∞
=
+
Bentuk umum :
Deret Ganti Tanda
Kalkulus2-unpad 45
Uji Deret Ganti Tanda
Deret ganti tanda dikatakan konvergen jika
0lim.2 =
∞→
n
n
a
,.1
1+n
n
a
a
1. an monoton turun
Pengujian apakah an monoton turun dapat dilakukan
2. Tentukan
salah satu dari cara berikut :
jika ,1
1
>
+n
n
a
a
maka an turun.
),(' xf jika .turun0)(' naxf →<
Kalkulus2-unpad 46
n
an
1
=
1
1
1
+
=+
n
an
a. Karena 1
1
1
1
1
1
1
1
>+=
+
=
+
=
+ nn
n
n
n
a
a
n
n
0
1
limlim. ==
∞→∞→ n
ab
n
n
n
Karena kedua syarat terpenuhi maka deret tersebut
konvergen.
Jawab :
dan
maka nn aa <+1
1. Periksa kekonvergenan deret ganti tanda ...
4
1
3
1
2
1
1 +−+−
Contoh
atau an turun.
Kalkulus2-unpad 47
Dari soal ini kita punya
!
1
n
an = , dan
( )!1
1
1
+
=+
n
an
a.
( )
11
!1
1
!
1
1
>+=
+
=
+
n
n
n
a
a
n
n
 an >an+1 (an turun).
b. 0
!
1
limlim ==
∞→∞→ n
a
n
n
n
Karena kedua syarat terpenuhi, maka deret konvergen.
...
!4
1
!3
1
!2
1
1.2 +−+−
Kalkulus2-unpad 48
Latihan
Selidiki kekonvergenan dari deret ganti tanda berikut:
( )∑
∞
=
+
+
−
1
1
13
2
1
n
n
n
( )∑
∞
=
−
1 3
1
n
n
n n
( )∑
∞
= +
+
−
1
2
3
1
n
n
nn
n
( )∑
∞
=
+
−
1
1
!
1
n
n
n
n
n
( )∑
∞
= +
−
1 )1(
1
1
n
n
nn
2.
4.
5.
3.
1.
∑
∞
=
+
−
1
1 ln
)1(
n
n
n
n
6.
Kalkulus2-unpad 49
Konvergen Mutlak dan
Konvergen Bersyarat
∑
∞
=1n
nU
∑
∞
=1n
nU
∑
∞
=1n
nU konvergen, maka
∑
∞
=1n
nU konvergen, maka
∑
∞
=1n
nU
Misalkan deret dengan suku-suku tak nol,
(i) konvergen mutlak.
(ii)
disebut konvergen bersyarat.
∑
∞
=1n
nUdivergen, tapi
Jika
Jika
Kalkulus2-unpad 50
Pengujian Kekonvergenan
Mutlak
∑
∞
=1
||
n
nU
Karena ∑
∞
=1n
nU semua sukunya positif, maka gunakan
Uji deret positif.
Langkah pengujian :
Uji
Konv  deret konvergen mutlak
Div  Uji ∑ nU
Konv  deret konvergen
bersyarat
Div  deret divergen
(dgn DGT)
(uji deret pos)
Kalkulus2-unpad 51
Contoh
1. ( )∑
∞
=
+
−
1
1
!
2
1
n
n
n
n
Jawab:
n
n
n
n
n 2
!
)!1(
2
lim
1
+
=
+
∞→ 1
2
lim
+
=
∞→ nn
Dari soal diatas kita punya ( )
!
2
1 1
n
U
n
n
n
+
−= , dan ( )!
2
||
n
U
n
n =
Menurut uji hasilbagi,
Sehingga dengan uji hasil bagi,
0=
n
n
n U
U 1
lim
+
∞→
=ρ
∑
∞
=1n
nU konvergen, maka ( )∑
∞
=
+
−
1
1
!
2
1
n
n
n
n
konvergen mutlak.
Selidiki, apakah deret konvergen mutlak, bersyarat atau
divergen.
Kalkulus2-unpad 52
2. ( )∑
∞
=
+
−
1
1 1
1
n
n
n
Jawab:
( )∑
∞
=
+
−
1
1 1
1
n
n
n
Selanjutnya uji ( )∑
∞
=
+
−
1
1 1
1
n
n
n
∑ ∑
∞
=
∞
=
=
1 1
1
n n
n
n
U
konvergen bersyarat.
divergen dengan uji deret-p.
(i) turun.na→
(ii) 0
1
limlim ==
∞→∞→ n
a
n
n
n
dari (i) dan (ii) DGT konvergen atau
1
1
1
11
1/1
/1
1
>+=
+
=
+
=
+
=
+ nn
n
n
n
n
n
a
a
n
n
dengan uji DGT
Karena ∑
∞
=1n
nU divergen, tapi ∑
∞
=1n
nU
∑
∞
=1n
nU konvergen.
konvergen, maka
Kalkulus2-unpad 53
Latihan
( )∑
∞
=






−
1 5
1
n
n
n n
∑
∞
=
−
1
2
)4(
n
n
n
∑
∞
= +
−
1 23
)1(
n
n
n
( )
( )∑
∞
= +
−
1 1
1
1
n
n
nn
∑
∞
=
+
−
2
1
ln
)1(
n
n
nn
∑
∞
=
+
+
−
1
1
1
)1(
n
n
nn
1.
2.
3.
5.
6.
7.
Selidiki apakah deret berikut konvergen mutlak, konvergen
bersyarat atau divergen:
∑
∞
=
−
2
ln
)1(.8
n
n
n
n
∑
∞
=
−
1
)1(
.4
n
nn
n
e
Kalkulus2-unpad 54
Deret Pangkat / Deret Kuasa
2. Deret kuasa dalam (x – b) (pusat x = b)
Selanjutnya kita akan mencari himpunan konvergenan(HK).
Bentuk Umum deret kuasa:
1. Deret kuasa dalam x (pusat x = 0)
∑
∞
=
++++=
0
3
3
2
210 ...
n
n
n xaxaxaaxa
∑
∞
=
+−+−+−+=−
0
3
3
2
210 ...)()()()(
n
n
n bxabxabxaabxa
Yaitu himpunan semua bilangan real x sehingga deret kuasa
konvergen.
Kalkulus2-unpad 55
Himpunan Kekonvergenan (HK)
Misalkan ∑∑
∞
=
∞
=
=
00 n
n
n
n
n Uxa dan
1. Jika , maka deret konvergen mutlak.
2. Jika , maka deret divergen
3. Jika , tidak dapat diambil kesimpulan
sebelumnya.
n
n
n U
U 1
lim
+
∞→
=ρ
1<ρ
1=ρ
1ρ >
Kalkulus2-unpad 56
Soal
∑
∞
= +0 2)1(n
n
n
n
x
∑
∞
=0 !n
n
n
x
∑
∞
=0
!
n
n
nx
1.
2.
3.
∑
∞
=
+
+
0
1
2
)1(
.4
n
n
n
x
Tentukan Himpunan kekonvergenan dari
57
Jawab :
Kita akan gunakan Uji Hasilbagi Mutlak, untuk menyelidiki
kekonvergenan mutlak.
Deret tersebut konvergen mutlak apabila , yaitu
Kemudian akan kita cek untuk titik ujung intervalnya
yaitu
x = 2 dan x = -2 .
n
n
n
n
n n
x
n
x
2)1(
:
)2(2
lim 1
1
++
= +
+
∞→ 2
x
=
)2(
)1(
2
lim
+
+
=
∞→ n
nx
n
( ) ( )∑∑
∞
=
∞
= +
=
+ 11 1
1
21
2
nn
n
n
nn
deret ini divergen dengan uji banding limit, maka
n
n
n U
U 1
lim
+
∞→
=ρ
1<ρ
221
2
<<−⇔< x
x
Untuk x = 2 
HK∉2
∑
∞
= +0 2)1(
.1
n
n
n
n
x
Kalkulus2-unpad
Kalkulus2-unpad 58
 Untuk x = –2 
Sehingga selang kekonvergenannya adalah [-2,2).
Ini DGT, maka diuji dengan uji DGT:
( )
( )
( )
( )∑∑
∞
=
∞
= +
−
=
+
−
11 1
1
21
2
n
n
n
n
n
nn
(i)  an monoton turun
(ii) 0
1
1
limlim =
+
=
∞→∞→ n
a
n
n
n
1
1
1
1
1
2
2/1
1/1
1
>
+
+=
+
+
=
+
+
=
+ nn
n
n
n
a
a
n
n
Dari (i) dan (ii) disimpulkan DGT konvergen,  HK∈− 2
Kalkulus2-unpad 59
Jawab :
Karena , maka deret selalu konvergen untuk
semua nilai x.
Gunanakan Uji Hasilbagi Mutlak ;
( ) !
:
!1
lim
1
n
x
n
x nn
n +
=
+
∞→ ( )1
lim
+
=
∞→ n
x
n
Jadi selang kekonvergenannya adalah (-∞,∞)=R.
∑
∞
=0 !
.2
n
n
n
x
n
n
n U
U 1
lim
+
∞→
=ρ
1
1
lim||
+
=
∞→ n
x
n
0=
10 <=ρ
Kalkulus2-unpad 60
Jawab:
Gunakan Uji Hasilbagi Mutlak ;
Jadi deret tersebut konvergen hanya untuk x = 0.
!
)!1(
lim
1
nx
nx
n
n
n
+
=
+
∞→
( ) xn
n
1lim +=
∞→



≠∞
=
=
0,
0,0
xjika
xjika
∑
∞
=0
!.3
n
n
nx
n
n
n U
U 1
lim
+
∞→
=ρ )1(lim|| +=
∞→
nx
n
Sehingga HK={0}.
Kalkulus2-unpad 61
Jawab : ∑
∞
=
+
+
0
1
2
)1(
.4
n
n
n
x
n
n
n U
U 1
lim
+
∞→
=ρ 11
2
)1(
2
.
2
)1(
lim ++
+
∞→ +
+
= n
n
n
n
n x
x
2
)1(
lim
+
=
∞→
x
n 2
1+
=
x
* Deret konvergen jika 132121
2
1
<<−⇔<+<−⇔<
+
xx
x
* Uji x=-3  ∑∑∑
∞
=
+
∞
=
++∞
=
+
−=
−
=
−
0
1
0
11
0
1
2.)1(
2
2)1(
2
)2(
n
n
n
n
nn
n
n
n
Ini DGT, 02lim ≠=
∞→
n
n
a jadi DGT divergen.
* Untuk x = 1  .2
2
)2(
00
1
∑∑
∞
=
∞
=
+
=
nn
n
n
Deret ini divergen dengan uji
kedivergenan suku ke-n. Jadi HK = (-3,1).
Gunakan uji hasil bagi mutlak;
Kalkulus2-unpad 62
Teorema 1
Himpunan kekonvergenan deret kuasa ∑
∞
=0n
n
n xa
selang yang berupa salah satu dari ketiga jenis berikut:
1. satu titik x = 0 (jari-jari ; r = 0)
2. selang (-c, c), mungkin ditambah salah satu atau kedua
titik ujungnya. (jari-jari ; r = c)
3. seluruh himpunan bilangan real ( jari-jari ; r = )
berbentuk
∞
Kalkulus2-unpad 63
Teorema 2
Himpunan kekonvergenan deret kuasa ∑
∞
=
−
0
)(
n
n
n bxa
berbentuk selang yang berupa salah satu dari ketiga
jenis berikut :
1. satu titik x = b (jari-jari; r = 0)
2. selang (b-c, c+b), mungkin ditambah salah satu atau
kedua titik ujungnya (jari-jari; r = c)
3. seluruh himpunan bilangan real (jari-jari; r = )∞
Dari contoh sebelumnya;
1. HK=[-2,2); r = 2; pusat x = 0
2. HK=R ; r = ; pusat x = 0
3. HK={0} ; r = 0 ; pusat x = 0
4. HK=(-3,1) ; r = 2 ; pusat x =-1
∞
Kalkulus2-unpad 64
Latihan
Tentukan selang kekonvergenan deret pangkat berikut:
( )∑
∞
= +
−
0
2
1
)1(
.1
n
n
n
x
( ) ( ) ( ) ...
!3
2
!2
2
2.7
32
+
+
+
+
++
xx
x
( )∑
∞
= +
+
0 31
)2(
.2
n
n
n
n
x
∑
∞
=
−
1 2
)1(
.3
n
n
nn
n
x
∑
∞
=
−
0
2
4
)1(
.4
n
n
n
x
∑
∞
=
+−
1
2
)12()2(
.5
n
nn
n
x
( )∑
∞
=
+
+
−
−
1
1
1
)2(
)1(.6
n
n
n
n
x
( ) ( ) ...
27.3
3ln)2(
9.2
2ln2
3
1ln2
.8
32
+
+
+
+
+
+ xxx
Kalkulus2-unpad 65
Operasi pada Deret Kuasa
∑
∞
=
=
0
)(
n
n
n xaxS
[ ] ...)()(')( 3
3
2
210
0
++++== ∑
∞
=
xaxaxaaDxaDxSi x
n
n
nx
∑
∞
=
−
=
1
1
n
n
n xna
∫
x
dttSii
0
)()( ∑∫
∞
=
=
0
0
n
x
n
n dtta ∑
∞
=
+
+
=
0
1
1n
nn
x
n
a
Misal
maka
Kalkulus2-unpad
( )2
1
1
x− ( )2
1
1
1
1
xx
Dx
−
=





−
= 1
1
−
∞
=
∑= n
n
xn
(i) Perhatikan, ...1 32
0
++++=∑
∞
=
xxxx
n
n
merupakan deret geometri
dengan a = 1 ; r = x, maka
1||;
1
1
0
<
−
=∑
∞
=
x
x
x
n
n
(ii)
2 3
0 0
1
1 ...
1
x x
dt t t t dt
t
= + + + +
−∫ ∫(iii)
66
...
3
1
2
1
)1ln( 32
−+−=+ xxxx
...
4
1
3
1
2
1
)1ln( 432
+−−−−=− xxxxx
...
4
1
3
1
2
1
...
4
1
3
1
2
1
)1ln( 432
0
432
++++=++++=−− xxxxttttx
x
1||;
1
)1()1ln(
1
1
<−=+ ∑
∞
=
+
xx
n
x n
n
n
Kalkulus2-unpad
68
(iv)Perhatikan ∑
∞
=0 !n
n
n
x
Deret ini konvergen untuk setiap x bilangan real.
Misal ...
!3!2
1)(
32
++++=
xx
xxS
...
!3!2
1)('
32
++++=
xx
xxS
S(x)=S ’(x)
x
exS =)(
Jadi
∑
∞
=
=
0 !n
n
x
n
x
e
Kalkulus2-unpad 69
Latihan
x
xf
+
=
1
1
)(
x
x
xf
+
=
1
)(
2






+
−
=
x
x
xf
1
1
ln)(
( )2
1
1
)(
x
xf
+
=
1.
3.
6.2.
5. f(x)=tan-1
(x)
( )x
xf
32
1
)(
+
=7.
2
1
1
)(
x
xf
+
=4.
Tuliskan fungsi berikut dalam bentuk deret pangkat
xx
eexf −
+=)(.8
x
exf 3
)(.9 =
Kalkulus2-unpad 70
Deret Taylor dan Deret Maclurin
( )∑
∞
=
−=
0
)(
!
)(
)(
n
n
n
bx
n
bf
xf
Deret di atas disebut Deret Taylor dengan pusat x = b.
Bila b = 0, diperoleh Deret Mac Laurin, yaitu
( )∑
∞
=0
)(
!
)0(
n
n
n
x
n
f
...
!2
)()(''
!1
)()('
)()(
2
+
−
+
−
+=
bxbfbxbf
bfxf
Misalkan f(x) dapat diturunkan hingga n kali pada x = b,
Maka f(x) dapat dinyatakan sebagai deret kuasa dalam (x-b):
...
!2
)0(''
)0(')0( 2
+++= x
f
xff
Contoh
1. Tentukan deret Taylor untuk
2
1
)(
+
=
x
xf dengan pusat 1=x
Jawab:
44
33
22
3
6
)1('''
)2(
6
)('''
3
2
)1(''
)2(
2
)(''
3
1
)1('
)2(
1
)('
3
1
)1(
−
=→
+
−
=
=→
+
=
−
=→
+
−
=
=
f
x
xf
f
x
xf
f
x
xf
f
…
Sehingga
...)1(
!3
)1('''
)1(
!2
)1(''
)1(
!1
)1('
)1()( 32
+−+−+−+= x
f
x
f
x
f
fxf
...)1(
!33
6
)1(
!23
2
)1(
!13
1
3
1
)( 3
4
2
32
+−−−+−−= xxxxf
n
n
n
n
x )1(
3
1
)1(
0
1
−−= ∑
∞
=
+
Kalkulus2-unpad 73
f(x) = sin x
f ’(x) = cos x
f ’’(x) = - sin x  f’’(0) = 0
 f’(0) = 1
 f(0) = 0
f ’’’(x) = - cos x  f’’’(0) = -1
f lV
(x) = sin x  f lV
(0) = 0
Sehingga,
...
!7!5!3
sin)(
753
+−+−==
xxx
xxxf ( )
( )∑
∞
=
+
+
−=
0
12
!12
1
n
n
n
n
x
2. Tentukan deret MacLaurin untuk xxf sin)( =
Kalkulus2-unpad 74
f(x) = ex
f ’(x) = ex
f ’’(x) = ex
 f’’(1) = e1
 f’(1) = e1
 f(1) = e1
f ’’’(x) = ex
 f’’’(1) = e1
f lV
(x) = ex
 f lV
(1) = e1
Sehingga,
...
!4
)1(
!3
)1(
!2
)1(
)1()(
432
+
−
+
−
+
−
+−+==
x
e
x
e
x
exeeexf x
∑
∞
=
−
=
0 !
)1(
n
n
n
xe
x
exf =)(3. Tentukan deret Taylor dari dengan pusat x = 1.
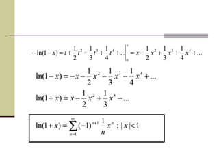
Kalkulus2-unpad 75
Atau, kita dapat menggunakan operasi deret,
11+−
= xx
ee
1
. −
= x
ee
∑
∞
=
−
=
0 !
)1(
n
n
n
x
e
∑
∞
=
−
=
0 !
)1(
n
n
n
xe
Kalkulus2-unpad 76
Latihan
1. Perderetkan f(x) berikut dalam deret Maclaurin
a. f(x) = cos x
b. f(x) = ln(3+2x)
a. f(x) = ex
, a = 2
c. f(x) = tan x
2. Perderetkan f(x) berikut dalam deret taylor dengan pusat
x = a
1
1
)(.
+
=
x
xfd
1,
5
1
)(. =
+
= a
x
xfb
3,
1
)(. == a
x
xfc

Barisan dan Deret ( Kalkulus 2 )

  • 1.
  • 2.
    Kalkulus2-unpad 2 Barisan Tak Hingga Definisi Barisan Tak Hingga adalah fungsi dengan daerah asal bilangan asli(N). Notasi: f : N  R Fungsi tersebut dikenal sebagai barisan bilangan Real. Biasa ditulis {an} atau dengan an adalah suku ke-n.  Bentuk penulisan dari barisan : 1. bentuk eksplisit suku ke-n : 2. ditulis sejumlah berhingga suku awalnya. 3. bentuk rekursif n n n a a aa + == + 1 ,1 11 n an 1 = ( ) nanfn = { } 1= ∞ nn a
  • 3.
    Kalkulus2-unpad 3 Kekonvergenan Barisan Definisi: Barisan { an} dikatakan konvergen ke L ditulis Sebaliknya, barisan yang tidak konvergen ke suatu bilangan L yang berhingga, maka barisan dikatakan divergen (dalam hal ini mungkin atau beroksilasi) Lan n = ∞→ lim ε<−⇒≥ LaNn n ∋∃>∀ Naslibilangan,0εJika ∞−∞ ,
  • 4.
    Kalkulus2-unpad 4 Sifat BarisanKonvergen  Jika barisan {an} konvergen ke L dan barisan {bn} konvergen ke M, maka 1. 2. 3. , untuk M 0  Barisan {an} dikatakan a. Monoton naik jika an+1 > an b. Monoton turun jika an+1 < an
  • 5.
    Kalkulus2-unpad 5 Contoh 1. konvergen ke½. Jawab: Karena { }       + = 12n n an Periksa kekonvergenan barisan berikut . 2 1 1 2 )1( lim 12 limlim =       + = + = ∞→∞→∞→ n n n n n a nnnn , maka       +12n n 2 1 lim = ∞→ nn a
  • 6.
    Kalkulus2-unpad 6 Contoh 2. divergen. Jawab: Karena Periksa kekonvergenanbarisan berikut , maka { }       + = 3n n an . 3 1 lim 3 1 )( lim 3 limlim ∞= + =       + = + = ∞→∞→∞→∞→ n n n n nn n n a nnn n n ∞=∞→ n n alim       + 3n n
  • 7.
    Kalkulus2-unpad 7 Catatan  Akandijumpai banyak persoalan konvergensi barisan yang tidak bisa langsung dicari limit tak hingga suku ke – nnya. Untuk itu kita dapat menghitung limit di tak hingga dari fungsi yang sesuai. Fakta ini digunakan sebagai penyederhanaan karena kita dapat memakai kaidah L’Hopital untuk soal peubah kontinu. Lxf x = ∞→ )(limJika Lan n = ∞→ lim, maka Teorema: Misalkan memenuhi1),( ≥= xxfy nanf =)(
  • 8.
    Kalkulus2-unpad 8 ee x x x ==      + = ∞→ 1 1 limexp n n n 1 1a       += Jawab: Ambil x x xf      += 1 1)( , sehingga maka dikatakan             += ∞→ x x x 1 1ln.limexp       + = ∞→ x x x /1 ))/1(1ln( limexp x x x       + ∞→ 1 1lim ) 1 ( ) 1 ( 1limexp 2 2 x xx x x − − += ∞→ Contoh Periksa kekonvergenan n n      + 1 1 =∞→ )(lim xfx Karena ,lim)(lim eaxf nnx == ∞→∞→ n n      + 1 1 konvergen ke e.
  • 9.
    Kalkulus2-unpad 9 Latihan { }       +− + = 32 14 2 2 nn n an {}       + + = 1 23 2 n n an { }       + = 1n n an { }       = n n an )ln(       ... 5 4 , 4 3 , 3 2 , 2 11. 2. 8. 7. 6. 5. 4. 3. Periksa kekonvergenan dari barisan berikut: { }       = n nan π sin { }       = n n n a 4 π { } { }nnan −= 2 { }       + = nn n an π sin 12 2 9. { }       + = n nn n e ee a 2 2 2 .10
  • 10.
    Kalkulus2-unpad 10 Deret TakHingga  Bentuk deret tak hingga dinotasikan dengan notasi sigma, sebagai berikut: dengan an adalah suku ke-n. Kekonvergenan suatu deret ditentukan dari barisan jumlah parsialnya. ......321 1 +++++=∑ ∞ = n i i aaaaa
  • 11.
    Kalkulus2-unpad 11 Barisan JumlahParsial Misalkan Sn menyatakan jumlah parsial ke-n suku dari deret , maka∑ ∞ =1i ia {Sn}, dinamakan barisan jumlah parsial deret . 1 ∑ ∞ =i i a Dari jumlah parsial ini didapat bahwa Sn – Sn-1 = an. ∑= =++++= n i inn aaaaaS 1 321 ... 11 aS = 212 aaS += . . .
  • 12.
    Kalkulus2-unpad 12 Kekonvergenan DeretTak Hingga Deret tak hingga ∑ ∞ =1n na konvergen dan mempunyai jumlah S jika barisan jumlah parsialnya ({Sn}) konvergen ke S (artinya divergen maka deret divergen. SSn n = ∞→ lim ), sebaliknya jika { }n S
  • 13.
    Kalkulus2-unpad 13 Deret Geometri Bentuk umum deret geometri : dengan a ≠ 0.  Jumlah parsial deret ini adalah Sehingga n n ararararrS ++++= ...32 n n araSr −=− )1( . 1 r ara S n n − − = 1 2 3 1 1 ...i i i ar a ar ar ar ar ∞ − − = = + + + + +∑ 12 1 1 ... − = − ++++== ∑ n n i i n arararaarS
  • 14.
    Kalkulus2-unpad 14     ≥∞+ < −= − − = ∞→∞→ 1; 1; 1 1 limlim r r r a r ara S n n n n Jadi, deretgeometri konvergen jika 1<r dengan jumlah . 11 1 1 r a aratau r a S i i − = − = ∑ ∞ = −
  • 15.
    Kalkulus2-unpad 15 Contoh Selidiki kekonvergenanderet ... 32 1 16 1 8 1 4 1 2 1 +++++1. Jawab: Kalau kita perhatikan, deret ini adalah deret geometri dengan rasio ½ ( r<1). Sehingga deret ini konvergen dengan jumlah .1 2/11 2/1 = − =S
  • 16.
    Kalkulus2-unpad 16 ∑ ∞ = +1)1( 1 i ii Jawab: Kalau kita perhatikan dan Karena barisan jumlah parsialnya konvergen ke 1, maka deret di atas juga konvergen dengan jumlah 1. Dari sini kita peroleh bahwa jumlah parsial ke-n-nya Sn = = = = 1 (Deret Kolaps)2. Selidi kekonvergenan deret ∑ ∑ ∞ = ∞ = + −= +1 1 1 11 )1( 1 i i iiii
  • 17.
    Kalkulus2-unpad 17 3.3. Jawab: Dari sinikita dapatkan Jadi deret harmonik adalah deret divergen. ∑ ∞ =1 1 i i Sn = 1 + Sn = 1 + ≥ 1 + = 1 + (Deret Harmonik) ∞=∞→ n n SlimSehingga
  • 18.
    Kalkulus2-unpad 18 Sifat-sifat derettak hingga ∑ ∞ =1n na konvergen maka 0lim = ∞→ n n a 0lim ≠ ∞→ n n a maka deret divergen ). Contoh: Buktikan bahwa ∑ ∞ = ++1 2 2 433n nn n divergen. Bukti: = ++ = ∞→∞→ 433 limlim 2 2 nn n a nnn 0 3 1 43 3 1 lim 2 ≠= ++ ∞→ nn n Karena divergen.∑ ∞ = ++1 2 2 433n nn n Jika (jika 1. Uji kedivergenan suku ke-n ,0 3 1 lim ≠= ∞→ n n a maka
  • 19.
    Kalkulus2-unpad 19 2. Sifatlinear Jika ∑ ∑ nn bdana konvergen dan c konstanta, maka )(∑ ∑ ± nnn badanca konvergen, dan ∑ ∑ ∑ ∑ ∑ ±=± = nnnn nn babaii accai )( )( 3. Jika ∑ na divergen dan c konstanta, maka ∑ nca divergen.
  • 20.
    Kalkulus2-unpad 20 Uji Kekonvergenan DeretPositif Misalkan f fungsi kontinu, positif dan monoton turun pada selang [1,∝). Andaikan ∫ ∞ 1 )( dxxf∑ ∞ =1n na konvergen 1. Uji Integral Nnnfan ∈= ),( maka ⇔ konvergen ∑ ∞ =1n na
  • 21.
    Kalkulus2-unpad Contoh 1. Selidiki kekonvergenandari ∑ ∞ = − 1n n2 en Jawab: ambil .)( 2 x exxf − = dxex x2 1 −∞ ∫ =− ∞→ ∫ dxex x b b 2 1 lim ∫ − ∞→ b x b xde 1 2 )(lim 2 1 2 b x b e 1 2 lim 2 1 − ∞→ −= ) 11 (lim 2 1 2 eebb −−= ∞→ e2 1 = = Karena dxex x2 1 − ∞ ∫ konvergen, maka ∑ ∞ = − 1 2 n n en konvergen. f kontinu, positif , turun di (buktikan sendiri !), maka 21 ),1[ ∞
  • 22.
    Kalkulus2-unpad 22 Contoh 2. Selidikikekonvergenan dari Jawab: ambil , kontinu,positif,turun di Karena divergen, maka divergen. ∑ ∞ =2 ln 1 n nn xx xf ln 1 )( = ∫∫ ∞→ ∞ = b b xx dx xx dx 22 ln lim ln 2 (ln ) lim ln b b d x x→∞ = ∫ ( ) ( ) ( ) ∞=−== ∞→∞→ 2lnlnlnlnlimlnlnlim bx bb ∫ ∞ 2 ln xx dx ∑ ∞ =2n nlnn 1 ),2[ ∞
  • 23.
    Kalkulus2-unpad 23 Latihan ∑ ∞ =2n 2 nlnn 1 ∑ ∞ = +1n1n2 1 ∑ ∞ = +1n 2 1n4 1 ( ) ∑ ∞ = +1n 2 3 n34 1 3. 2. 4. 5. 1. Selidiki kekonvergenan deret berikut: ( )∑ ∞ = −3n 2 2n 1 6. Tentukan syarat k agar deret 0, ln 1 2 >∑ ∞ = k nnn k konvergen.
  • 24.
    Kalkulus2-unpad 24 Uji DeretPositif 2. Uji Deret -p Deret-p berbentuk . 1 1 ∑ ∞ =n p n dengan menggunakan uji integral, kita dapatkan =∫ ∞ ∞→ dx xpt 1 1 lim p t p t − − = − ∞→ 1 1 lim 1     <≤∞ > − − = 10; 1; 1 1 p p p Jika p<0 Jika . 1 lim ∞= ∞→ pn n Maka deret divergen. ,0≥p Sehingga ∑ ∞ =1 1 n p n konvergen jika p>1 dan divergen jika .1≤p        ≠ − =∞= − ∞→ ∞→ 1; 11 lim 1; 1 lnlim 1 p t p x p t x p t t
  • 25.
    Kalkulus2-unpad 25 Contoh Apakah deretberikut konvergen atau divergen? 1. ∑ ∞ =1 001,1 1 n n Berdasarkan uji deret-p, deret ∑ ∞ =1 001,1 1 n n konvergen karena p=1,001 > 1 2. Berdasarkan uji deret-p, deret divergen karena p= ½ < 1 ∑ ∞ =1 2 1 1 n n ∑ ∞ =1 2 1 1 n n
  • 26.
    Kalkulus2-unpad 26 Uji DeretPositif 3. Uji banding biasa Andaikan ∑ ∞ = `1n na ∑ ∞ = `1n nbdan deret positif, maka 1. Jika konvergen, maka ∑ ∞ = `1n na ∑ ∞ = ≥ `1 dan n nnn bab ∑ ∞ = ≤ `1 dan n nnn bab ∑ ∞ = `1n na konvergen. 2. Jika divergen, maka divergen.
  • 27.
    Kalkulus2-unpad 27 Contoh 1. SelidikiKekonvergenan deret ∑ ∞ = −3 2 5n n n Jawab: Bandingkan dengan 52 − = n n an Perhatikan bahwa . 5 1 atau 5 222 − < − < n n nn n n n Karena ∑ ∞ =1n n 1 ∑ ∞ = −3 2 5n n n deret divergen(harmonik), maka juga deret yang divergen. nn n bn 1 2 ==
  • 28.
    Kalkulus2-unpad 28 Jawab: Bandingkan dengan konvergen. ∑ ∞ =+1 2 53 1 n n 2 1 1 3 5n n ∞ = + ∑ 5 11 . 3 1 3 1 222 + >= nnn 53 1 2 + = n an 2 1 1 n n ∞ = ∑ Perhatikan bahwa Karena konvergen dengan uji deret-p (p=2) maka 2. Selidiki kekonvergenan deret 2 1 n bn =
  • 29.
    Kalkulus2-unpad 29 Latihan Selidiki kekonvergenanderet berikut : ∑ ∞ = +1 5 2 5n n n ∑ ∞ = −6 5 1 n n ∑ ∞ = +1n n 12 1 ∑ ∞ = + 1 2 cos6 n n n ∑ ∞ = −1n 1n2 12. 4. 5. 3. 1. ∑ ∞ = −1 1 .6 n n n
  • 30.
    Kalkulus2-unpad 30 4. UjiBanding limit Andaikan dan deret positif dan n n n b a L ∞→ = lim Uji Deret Positif 1. Jika 0 < L < ∞ maka ∑ ∞ = `1n na ∑ ∞ = `1n nbdan sama-sama konvergen atau divergen. 2. Jika L = 0 dan ∑ ∞ = `1n nb ∑ ∞ = `1n na konvergen maka konvergen. ∑ ∞ = `1n na ∑ ∞ = `1n nb
  • 31.
    Kalkulus2-unpad 31 Contoh Selidiki kekonvergenandari deret berikut : ∑ ∞ = +− + 1 23 75 32 .1 n nn n Gunakan Uji Banding Limit. sehingga Pilih lim n n n a L b→∞ = ∑ ∞ = +− + 1n 23 7n5n 3n2 konvergen. = 2 Karena L=2 dan Jawab: 2 1 n bn = 2 23 1 75 32 lim n nn n n +− + = ∞→ 75 32 lim 23 23 +− + = ∞→ nn nn n konvergen dengan uji deret-p, maka ∑∑ = 2 1 n bn
  • 32.
    Kalkulus2-unpad 32 Gunakan UjiBanding Limit. sehingga Pilih lim n n n a L b→∞ = divergen. Karena L=1 dan Jawab: divergen (deret harmoik), ∑ ∞ = +1 2 4 1 .2 n n ∑ ∞ = +1n 2 4n 1 n bn 1 = n n n 1 4 1 lim 2 += ∞→ 1 4 lim 2 2 = + = ∞→ n n n ∑ ∞ =1 1 n n maka
  • 33.
    Kalkulus2-unpad 33 Latihan Selidiki kekonvergenandari deret berikut: ∑ ∞ = ++1n 2 3n2n n ∑ ∞ = − + 1n 3 4n 1n3 ∑ ∞ = +1n 1nn 1 ∑ ∞ = + 1n 2 n 3n2 ∑ ∞ =1n 2 n nln2. 4. 5. 3. 1. ∑ ∞ = −1 12 1 .6 n n
  • 34.
    Kalkulus2-unpad 34 5. UjiHasil Bagi Uji Deret Positif ∑ ∞ =1n na n n n a a 1 lim + ∞→ =ρ Diketahui merupakan suatu deret dengan ρ ∑ ∞ =1n na1. Jika < 1 maka deret konvergen suku-suku yang positif, dan ρ ∑ ∞ =1n na divergen2. Jika > 1 maka deret ρ = 1 maka tidak dapat diambil kesimpulan.3. Jika
  • 35.
    Kalkulus2-unpad 35 Contoh Selidiki kekonvergenanderet berikut: 1. ∑ ∞ =1 ! 3 n n n ⇒= ! 3 n a n n ( )!1 3 1 1 + = + + n a n n sehingga Karena ∑ ∞ =1 ! 3 n n n konvergen. Jawab: ( )1 3 lim + = ∞→ nn 0= ( )!n !n n n n 13 3 lim 1 + = + ∞→ ( ) !n !n n n n 3 1 3 lim 1 + = + ∞→ n n n a a 1 lim + ∞→ =ρ 10 <=ρ , maka n n n n nn 3 ! . !)1( 3.3 lim + = ∞→
  • 36.
    Kalkulus2-unpad 36 Contoh 2. ∑ ∞ =1 2 3 n n n 2 3 n a n n= dan ( )2 1 1 1 3 + = + + n a n n sehingga Karena ∑ ∞ =1 2 3 n n n divergen. Jawab: 3= 2 1 3lim       + = ∞→ n n n( )2 21 13 3 lim + = + ∞→ n n n n n ( ) 2 2 1 3 1 3 lim n n n n n + = + ∞→ n n n a a 1 lim + ∞→ =ρ 3=ρ maka
  • 37.
    Kalkulus2-unpad 37 Latihan Selidiki kekonvergenandari deret berikut: ∑ ∞ =1 2 !n n n ∑ ∞ = + 1 ! 5 n n n ( )∑ ∞ =1 !2 .8 n n n n ∑ ∞ = + 1 ! 4 n n n n ( )∑ ∞ =1 3 !2n n n 2. 5. 6. 3. 1. ∑ ∞ =1 !2 .7 n n n n n ∑ ∞ =1 ! n n n n 4. ∑ ∞ =1 4 ! n n n
  • 38.
    Kalkulus2-unpad 38 Uji DeretPositif 6. Uji Akar ∑ ∞ =1n naDiketahui merupakan suatu deret dengan 1. Jika a <1, maka deret konvergen suku-suku yang positif, misalkan 2. Jika a > 1, maka deret divergen 3. Jika a = 1, maka uji tidak memberi kesimpulan. n n n aa ∞→ = lim
  • 39.
    Kalkulus2-unpad 39 Contoh Selidiki kekonvergenanderet 1. ∑ ∞ =       − + 1 1 22 n n n n Jawab: n n n n a       − + = 1 22 , maka nn n n n n n n aa /1 1 22 limlim               − + == ∞→∞→ Karena a=2, maka deret ∑ ∞ =       − + 1 1 22 n n n n divergen. .2 1 22 lim = − + = ∞→ n n n
  • 40.
    Kalkulus2-unpad 40 2. ∑ ∞ =       − + 112 2 n n n n Jawab: n n n n a       − + = 12 2 , maka nn n n n n n n aa /1 12 2 limlim               − + == ∞→∞→ Karena a = ½ , maka deret ∑ ∞ =       − + 1 1 22 n n n n konvergen. . 2 1 12 2 lim = − + = ∞→ n n n
  • 41.
    Kalkulus2-unpad 41 Latihan Selidiki kekonvergenandari deret berikut: ∑ ∞ =       1 ln 1 n n n ∑ ∞ =       − + 1 12 23 n n n n ∑ ∞ =       +1 23n n n n ∑ ∞ =       + 1 1 2 1 n n n 2. 4. 3.1.
  • 42.
    Kalkulus2-unpad 42 Kesimpulan Untuk mengujikekonvergenan deret ∑ na perhatikan ;na 1. Jika 2. Jika an memuat bentuk ∑⇒≠ ∞→ nn n aa 0lim divergen. nn nrn ,,! , gunakan uji hasil bagi. 3. Jika an hanya memuat bentuk pangkat n yang konstan, gunakan uji banding limit. 4. Usaha terakhir, cobakan uji banding biasa, uji akar, atau uji integral.
  • 43.
    Latihan ∑ ∞ = −3 2 5 1 .1 n n Periksakekonvergenan dari deret berikut : ∑ ∞ = +1 2 5 .2 n n n ( )∑ ∞ = −3 2 2 1 .4 n n ∑ ∞ =1 ! 5 .3 n n n ∑ ∞ = + 1 2 2 2 3 .5 n n nn e ee ∑ ∞ =2 ln .6 n n n ∑ ∞ =1 ! .7 n n n n
  • 44.
    Kalkulus2-unpad 44 Deret GantiTanda (DGT) dan Kekonvergenan Mutlak ( ) ...1 4321 1 1 +−+−=−∑ ∞ = + aaaaa n n n dengan an > 0, untuk semua n. Contoh : deret harmonik berganti tanda, ( ) ... 4 1 3 1 2 1 1 n 1 1 1n 1n +−+−=−∑ ∞ = + Bentuk umum : Deret Ganti Tanda
  • 45.
    Kalkulus2-unpad 45 Uji DeretGanti Tanda Deret ganti tanda dikatakan konvergen jika 0lim.2 = ∞→ n n a ,.1 1+n n a a 1. an monoton turun Pengujian apakah an monoton turun dapat dilakukan 2. Tentukan salah satu dari cara berikut : jika ,1 1 > +n n a a maka an turun. ),(' xf jika .turun0)(' naxf →<
  • 46.
    Kalkulus2-unpad 46 n an 1 = 1 1 1 + =+ n an a. Karena1 1 1 1 1 1 1 1 >+= + = + = + nn n n n a a n n 0 1 limlim. == ∞→∞→ n ab n n n Karena kedua syarat terpenuhi maka deret tersebut konvergen. Jawab : dan maka nn aa <+1 1. Periksa kekonvergenan deret ganti tanda ... 4 1 3 1 2 1 1 +−+− Contoh atau an turun.
  • 47.
    Kalkulus2-unpad 47 Dari soalini kita punya ! 1 n an = , dan ( )!1 1 1 + =+ n an a. ( ) 11 !1 1 ! 1 1 >+= + = + n n n a a n n  an >an+1 (an turun). b. 0 ! 1 limlim == ∞→∞→ n a n n n Karena kedua syarat terpenuhi, maka deret konvergen. ... !4 1 !3 1 !2 1 1.2 +−+−
  • 48.
    Kalkulus2-unpad 48 Latihan Selidiki kekonvergenandari deret ganti tanda berikut: ( )∑ ∞ = + + − 1 1 13 2 1 n n n ( )∑ ∞ = − 1 3 1 n n n n ( )∑ ∞ = + + − 1 2 3 1 n n nn n ( )∑ ∞ = + − 1 1 ! 1 n n n n n ( )∑ ∞ = + − 1 )1( 1 1 n n nn 2. 4. 5. 3. 1. ∑ ∞ = + − 1 1 ln )1( n n n n 6.
  • 49.
    Kalkulus2-unpad 49 Konvergen Mutlakdan Konvergen Bersyarat ∑ ∞ =1n nU ∑ ∞ =1n nU ∑ ∞ =1n nU konvergen, maka ∑ ∞ =1n nU konvergen, maka ∑ ∞ =1n nU Misalkan deret dengan suku-suku tak nol, (i) konvergen mutlak. (ii) disebut konvergen bersyarat. ∑ ∞ =1n nUdivergen, tapi Jika Jika
  • 50.
    Kalkulus2-unpad 50 Pengujian Kekonvergenan Mutlak ∑ ∞ =1 || n nU Karena∑ ∞ =1n nU semua sukunya positif, maka gunakan Uji deret positif. Langkah pengujian : Uji Konv  deret konvergen mutlak Div  Uji ∑ nU Konv  deret konvergen bersyarat Div  deret divergen (dgn DGT) (uji deret pos)
  • 51.
    Kalkulus2-unpad 51 Contoh 1. ()∑ ∞ = + − 1 1 ! 2 1 n n n n Jawab: n n n n n 2 ! )!1( 2 lim 1 + = + ∞→ 1 2 lim + = ∞→ nn Dari soal diatas kita punya ( ) ! 2 1 1 n U n n n + −= , dan ( )! 2 || n U n n = Menurut uji hasilbagi, Sehingga dengan uji hasil bagi, 0= n n n U U 1 lim + ∞→ =ρ ∑ ∞ =1n nU konvergen, maka ( )∑ ∞ = + − 1 1 ! 2 1 n n n n konvergen mutlak. Selidiki, apakah deret konvergen mutlak, bersyarat atau divergen.
  • 52.
    Kalkulus2-unpad 52 2. ()∑ ∞ = + − 1 1 1 1 n n n Jawab: ( )∑ ∞ = + − 1 1 1 1 n n n Selanjutnya uji ( )∑ ∞ = + − 1 1 1 1 n n n ∑ ∑ ∞ = ∞ = = 1 1 1 n n n n U konvergen bersyarat. divergen dengan uji deret-p. (i) turun.na→ (ii) 0 1 limlim == ∞→∞→ n a n n n dari (i) dan (ii) DGT konvergen atau 1 1 1 11 1/1 /1 1 >+= + = + = + = + nn n n n n n a a n n dengan uji DGT Karena ∑ ∞ =1n nU divergen, tapi ∑ ∞ =1n nU ∑ ∞ =1n nU konvergen. konvergen, maka
  • 53.
    Kalkulus2-unpad 53 Latihan ( )∑ ∞ =       − 15 1 n n n n ∑ ∞ = − 1 2 )4( n n n ∑ ∞ = + − 1 23 )1( n n n ( ) ( )∑ ∞ = + − 1 1 1 1 n n nn ∑ ∞ = + − 2 1 ln )1( n n nn ∑ ∞ = + + − 1 1 1 )1( n n nn 1. 2. 3. 5. 6. 7. Selidiki apakah deret berikut konvergen mutlak, konvergen bersyarat atau divergen: ∑ ∞ = − 2 ln )1(.8 n n n n ∑ ∞ = − 1 )1( .4 n nn n e
  • 54.
    Kalkulus2-unpad 54 Deret Pangkat/ Deret Kuasa 2. Deret kuasa dalam (x – b) (pusat x = b) Selanjutnya kita akan mencari himpunan konvergenan(HK). Bentuk Umum deret kuasa: 1. Deret kuasa dalam x (pusat x = 0) ∑ ∞ = ++++= 0 3 3 2 210 ... n n n xaxaxaaxa ∑ ∞ = +−+−+−+=− 0 3 3 2 210 ...)()()()( n n n bxabxabxaabxa Yaitu himpunan semua bilangan real x sehingga deret kuasa konvergen.
  • 55.
    Kalkulus2-unpad 55 Himpunan Kekonvergenan(HK) Misalkan ∑∑ ∞ = ∞ = = 00 n n n n n Uxa dan 1. Jika , maka deret konvergen mutlak. 2. Jika , maka deret divergen 3. Jika , tidak dapat diambil kesimpulan sebelumnya. n n n U U 1 lim + ∞→ =ρ 1<ρ 1=ρ 1ρ >
  • 56.
    Kalkulus2-unpad 56 Soal ∑ ∞ = +02)1(n n n n x ∑ ∞ =0 !n n n x ∑ ∞ =0 ! n n nx 1. 2. 3. ∑ ∞ = + + 0 1 2 )1( .4 n n n x Tentukan Himpunan kekonvergenan dari
  • 57.
    57 Jawab : Kita akangunakan Uji Hasilbagi Mutlak, untuk menyelidiki kekonvergenan mutlak. Deret tersebut konvergen mutlak apabila , yaitu Kemudian akan kita cek untuk titik ujung intervalnya yaitu x = 2 dan x = -2 . n n n n n n x n x 2)1( : )2(2 lim 1 1 ++ = + + ∞→ 2 x = )2( )1( 2 lim + + = ∞→ n nx n ( ) ( )∑∑ ∞ = ∞ = + = + 11 1 1 21 2 nn n n nn deret ini divergen dengan uji banding limit, maka n n n U U 1 lim + ∞→ =ρ 1<ρ 221 2 <<−⇔< x x Untuk x = 2  HK∉2 ∑ ∞ = +0 2)1( .1 n n n n x Kalkulus2-unpad
  • 58.
    Kalkulus2-unpad 58  Untukx = –2  Sehingga selang kekonvergenannya adalah [-2,2). Ini DGT, maka diuji dengan uji DGT: ( ) ( ) ( ) ( )∑∑ ∞ = ∞ = + − = + − 11 1 1 21 2 n n n n n nn (i)  an monoton turun (ii) 0 1 1 limlim = + = ∞→∞→ n a n n n 1 1 1 1 1 2 2/1 1/1 1 > + += + + = + + = + nn n n n a a n n Dari (i) dan (ii) disimpulkan DGT konvergen,  HK∈− 2
  • 59.
    Kalkulus2-unpad 59 Jawab : Karena, maka deret selalu konvergen untuk semua nilai x. Gunanakan Uji Hasilbagi Mutlak ; ( ) ! : !1 lim 1 n x n x nn n + = + ∞→ ( )1 lim + = ∞→ n x n Jadi selang kekonvergenannya adalah (-∞,∞)=R. ∑ ∞ =0 ! .2 n n n x n n n U U 1 lim + ∞→ =ρ 1 1 lim|| + = ∞→ n x n 0= 10 <=ρ
  • 60.
    Kalkulus2-unpad 60 Jawab: Gunakan UjiHasilbagi Mutlak ; Jadi deret tersebut konvergen hanya untuk x = 0. ! )!1( lim 1 nx nx n n n + = + ∞→ ( ) xn n 1lim += ∞→    ≠∞ = = 0, 0,0 xjika xjika ∑ ∞ =0 !.3 n n nx n n n U U 1 lim + ∞→ =ρ )1(lim|| += ∞→ nx n Sehingga HK={0}.
  • 61.
    Kalkulus2-unpad 61 Jawab :∑ ∞ = + + 0 1 2 )1( .4 n n n x n n n U U 1 lim + ∞→ =ρ 11 2 )1( 2 . 2 )1( lim ++ + ∞→ + + = n n n n n x x 2 )1( lim + = ∞→ x n 2 1+ = x * Deret konvergen jika 132121 2 1 <<−⇔<+<−⇔< + xx x * Uji x=-3  ∑∑∑ ∞ = + ∞ = ++∞ = + −= − = − 0 1 0 11 0 1 2.)1( 2 2)1( 2 )2( n n n n nn n n n Ini DGT, 02lim ≠= ∞→ n n a jadi DGT divergen. * Untuk x = 1  .2 2 )2( 00 1 ∑∑ ∞ = ∞ = + = nn n n Deret ini divergen dengan uji kedivergenan suku ke-n. Jadi HK = (-3,1). Gunakan uji hasil bagi mutlak;
  • 62.
    Kalkulus2-unpad 62 Teorema 1 Himpunankekonvergenan deret kuasa ∑ ∞ =0n n n xa selang yang berupa salah satu dari ketiga jenis berikut: 1. satu titik x = 0 (jari-jari ; r = 0) 2. selang (-c, c), mungkin ditambah salah satu atau kedua titik ujungnya. (jari-jari ; r = c) 3. seluruh himpunan bilangan real ( jari-jari ; r = ) berbentuk ∞
  • 63.
    Kalkulus2-unpad 63 Teorema 2 Himpunankekonvergenan deret kuasa ∑ ∞ = − 0 )( n n n bxa berbentuk selang yang berupa salah satu dari ketiga jenis berikut : 1. satu titik x = b (jari-jari; r = 0) 2. selang (b-c, c+b), mungkin ditambah salah satu atau kedua titik ujungnya (jari-jari; r = c) 3. seluruh himpunan bilangan real (jari-jari; r = )∞ Dari contoh sebelumnya; 1. HK=[-2,2); r = 2; pusat x = 0 2. HK=R ; r = ; pusat x = 0 3. HK={0} ; r = 0 ; pusat x = 0 4. HK=(-3,1) ; r = 2 ; pusat x =-1 ∞
  • 64.
    Kalkulus2-unpad 64 Latihan Tentukan selangkekonvergenan deret pangkat berikut: ( )∑ ∞ = + − 0 2 1 )1( .1 n n n x ( ) ( ) ( ) ... !3 2 !2 2 2.7 32 + + + + ++ xx x ( )∑ ∞ = + + 0 31 )2( .2 n n n n x ∑ ∞ = − 1 2 )1( .3 n n nn n x ∑ ∞ = − 0 2 4 )1( .4 n n n x ∑ ∞ = +− 1 2 )12()2( .5 n nn n x ( )∑ ∞ = + + − − 1 1 1 )2( )1(.6 n n n n x ( ) ( ) ... 27.3 3ln)2( 9.2 2ln2 3 1ln2 .8 32 + + + + + + xxx
  • 65.
    Kalkulus2-unpad 65 Operasi padaDeret Kuasa ∑ ∞ = = 0 )( n n n xaxS [ ] ...)()(')( 3 3 2 210 0 ++++== ∑ ∞ = xaxaxaaDxaDxSi x n n nx ∑ ∞ = − = 1 1 n n n xna ∫ x dttSii 0 )()( ∑∫ ∞ = = 0 0 n x n n dtta ∑ ∞ = + + = 0 1 1n nn x n a Misal maka
  • 66.
    Kalkulus2-unpad ( )2 1 1 x− ()2 1 1 1 1 xx Dx − =      − = 1 1 − ∞ = ∑= n n xn (i) Perhatikan, ...1 32 0 ++++=∑ ∞ = xxxx n n merupakan deret geometri dengan a = 1 ; r = x, maka 1||; 1 1 0 < − =∑ ∞ = x x x n n (ii) 2 3 0 0 1 1 ... 1 x x dt t t t dt t = + + + + −∫ ∫(iii) 66
  • 67.
    ... 3 1 2 1 )1ln( 32 −+−=+ xxxx ... 4 1 3 1 2 1 )1ln(432 +−−−−=− xxxxx ... 4 1 3 1 2 1 ... 4 1 3 1 2 1 )1ln( 432 0 432 ++++=++++=−− xxxxttttx x 1||; 1 )1()1ln( 1 1 <−=+ ∑ ∞ = + xx n x n n n
  • 68.
    Kalkulus2-unpad 68 (iv)Perhatikan ∑ ∞ =0 !n n n x Deretini konvergen untuk setiap x bilangan real. Misal ... !3!2 1)( 32 ++++= xx xxS ... !3!2 1)(' 32 ++++= xx xxS S(x)=S ’(x) x exS =)( Jadi ∑ ∞ = = 0 !n n x n x e
  • 69.
    Kalkulus2-unpad 69 Latihan x xf + = 1 1 )( x x xf + = 1 )( 2       + − = x x xf 1 1 ln)( ( )2 1 1 )( x xf + = 1. 3. 6.2. 5.f(x)=tan-1 (x) ( )x xf 32 1 )( + =7. 2 1 1 )( x xf + =4. Tuliskan fungsi berikut dalam bentuk deret pangkat xx eexf − +=)(.8 x exf 3 )(.9 =
  • 70.
    Kalkulus2-unpad 70 Deret Taylordan Deret Maclurin ( )∑ ∞ = −= 0 )( ! )( )( n n n bx n bf xf Deret di atas disebut Deret Taylor dengan pusat x = b. Bila b = 0, diperoleh Deret Mac Laurin, yaitu ( )∑ ∞ =0 )( ! )0( n n n x n f ... !2 )()('' !1 )()(' )()( 2 + − + − += bxbfbxbf bfxf Misalkan f(x) dapat diturunkan hingga n kali pada x = b, Maka f(x) dapat dinyatakan sebagai deret kuasa dalam (x-b): ... !2 )0('' )0(')0( 2 +++= x f xff
  • 71.
    Contoh 1. Tentukan deretTaylor untuk 2 1 )( + = x xf dengan pusat 1=x Jawab: 44 33 22 3 6 )1(''' )2( 6 )(''' 3 2 )1('' )2( 2 )('' 3 1 )1(' )2( 1 )(' 3 1 )1( − =→ + − = =→ + = − =→ + − = = f x xf f x xf f x xf f … Sehingga ...)1( !3 )1(''' )1( !2 )1('' )1( !1 )1(' )1()( 32 +−+−+−+= x f x f x f fxf
  • 72.
  • 73.
    Kalkulus2-unpad 73 f(x) =sin x f ’(x) = cos x f ’’(x) = - sin x  f’’(0) = 0  f’(0) = 1  f(0) = 0 f ’’’(x) = - cos x  f’’’(0) = -1 f lV (x) = sin x  f lV (0) = 0 Sehingga, ... !7!5!3 sin)( 753 +−+−== xxx xxxf ( ) ( )∑ ∞ = + + −= 0 12 !12 1 n n n n x 2. Tentukan deret MacLaurin untuk xxf sin)( =
  • 74.
    Kalkulus2-unpad 74 f(x) =ex f ’(x) = ex f ’’(x) = ex  f’’(1) = e1  f’(1) = e1  f(1) = e1 f ’’’(x) = ex  f’’’(1) = e1 f lV (x) = ex  f lV (1) = e1 Sehingga, ... !4 )1( !3 )1( !2 )1( )1()( 432 + − + − + − +−+== x e x e x exeeexf x ∑ ∞ = − = 0 ! )1( n n n xe x exf =)(3. Tentukan deret Taylor dari dengan pusat x = 1.
  • 75.
    Kalkulus2-unpad 75 Atau, kitadapat menggunakan operasi deret, 11+− = xx ee 1 . − = x ee ∑ ∞ = − = 0 ! )1( n n n x e ∑ ∞ = − = 0 ! )1( n n n xe
  • 76.
    Kalkulus2-unpad 76 Latihan 1. Perderetkanf(x) berikut dalam deret Maclaurin a. f(x) = cos x b. f(x) = ln(3+2x) a. f(x) = ex , a = 2 c. f(x) = tan x 2. Perderetkan f(x) berikut dalam deret taylor dengan pusat x = a 1 1 )(. + = x xfd 1, 5 1 )(. = + = a x xfb 3, 1 )(. == a x xfc