Disusun Oleh :
1. Agung Anggoro
2. Agus Ahmad D
3. Hibatul Azizi
4. M. Rizki Fauzi
5. Riksa Rishanif
𝜏
𝑊
𝜏
KOEFISIEN KORELASI RANKING
PARSIAL KENDALL : 𝜏 𝑥𝑦.𝑧
 Korelasi adalah pengukuran keeratan hubungan antar dua variabel.
 Korelasi parsial mengukur korelasi antara dua buah variabel seperti
perhitungan korelasi pada umumnya, namun dengan menganggap sebuah
variabel (ketiga) yang dibuat konstan.
 Perhitungan korelasi secara per bagian ini (parsial) bertujuan untuk
mengukur pengaruh ‘efek ketiga’ pada keeratan hubungan dua variabel yang
dikorelasi.
 Keeratan hubungan antara dua variabel yang diperoleh adalah murni dan
langsung.
 Data yang digunakan ‘sekurang-kurangnya’ berskala ordinal.
Perhatikan Tabel Berikut
Subyek a b c d
Rangking pada Z 1 2 3 4
Rangking pada X 3 1 2 4
Rangking pada Y 2 1 3 4
Pasangan (a, b) (a, c) (a, d) (b, c) (b, d) (c, d)
Z + + + + + +
X − − + + + +
Y − + + + + +
Pasangan Y bertanda
sama dengan Z
Pasangan bertanda tak
sama dengan Z Total
Pasangan X bertanda
sama dengan tanda Z
A
4
B
0
A + B
4
Pasangan X bertanda tak
sama dengan tanda Z
C
1
D
1
C + D
2
Jumlah
A + C
5
B + D
1 6
𝜏 𝑥𝑦.𝑧 =
𝐴𝐷 − 𝐵𝐶
(𝐴 + 𝐵)(𝐶 + 𝐷)(𝐴 + 𝐶)(𝐵 + 𝐷)
𝜏 𝑥𝑦.𝑧 =
(4)(1) − (0)(1)
4 2 5 (1)
= 0,63 (Dari Tabel 2 X 2)
Bila terdapat angka yang sama Bila tidak terdapat angka yang tidak sama
𝜏 =
𝑆
1
2
𝑁 (𝑁 − 1)
𝜏 =
𝑆
1
2
𝑁 𝑁 − 1 − 𝑇𝑥
1
2
𝑁 𝑁 − 1 − 𝑇𝑦
𝑇𝑥 =
1
2
𝑥
𝑡(𝑡 − 1) 𝑇𝑦 =
1
2
𝑦
𝑡(𝑡 − 1)
𝝉 𝒙𝒚.𝒛 =
𝝉 𝒙𝒚 − 𝝉 𝒛𝒚 𝝉 𝒛𝒙
𝟏 − 𝝉 𝒙𝒛
𝟐 )(𝟏 − 𝝉 𝒚𝒛
𝟐
Rumus Korelasi Parsial Ranking
Kendall
Uji Signifikansi
𝐻0: Tidak terdapat hubungan yang signifikan antara variabel X dan Y dengan
variabel Z yang konstan
𝐻 𝑎: Terdapat hubungan yang signifikan antara variabel X dan Y dengan variabel Z
yang konstan
𝐻0 ∶ 𝜏 𝑥𝑦.𝑧 = 0
𝐻 𝑎 ∶ 𝜏 𝑥𝑦.𝑧 ≠ 0
Hipotesis
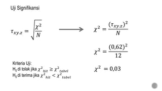
Uji Signifikansi Korelasi Partial kendal dapat dilakukan dengan uji Chi-Square
𝜏 𝑥𝑦.𝑧 =
𝜒2
𝑁
𝜒2
=
(𝜏 𝑥𝑦.𝑧)2
𝑁
Kriteria Uji :
H0 di tolak jika 𝜒2
ℎ𝑖𝑡 ≥ 𝜒2
𝑡𝑎𝑏𝑒𝑙
H0 di terima jika 𝜒2
ℎ𝑖𝑡 < 𝜒2
𝑡𝑎𝑏𝑒𝑙
IKHTISAR PROSEDUR
1. Misalkan X dan Y adalah dua variabel yang hubungannya akan kita tentukan,
dan Z adalah variabel yang efeknya terhadap X dan Y yang diparsialkan, atau
dianggap konstan.
2. Memberi ranking pada variabel X, Y, dan Z dari 1 hingga n.
3. Menentukan harga-harga observasi 𝜏 𝑥𝑦, 𝜏 𝑦𝑧, 𝑑𝑎𝑛 𝜏 𝑥𝑧.
4. Menghitung 𝜏 𝑥𝑦.𝑧
5. Uji Signifikansi
6. Kesimpulan
Contoh Soal
Dibawah ini adalah ranking dari skor keotoriteran, perjuangan status sosial, dan penyesuaian diri pada 12
orang mahasiswa. Disajikan dalam tabel berikut:
Perjuangan Stat. Sosial Keotoriteran Penyesuaian diri
X Y Z
A 3 2 1,5
B 4 6 1,5
C 2 5 3,5
D 1 1 3,5
E 8 10 5,0
F 11 9 6,0
G 10 8 7,0
H 6 3 8,0
I 7 4 9,0
J 12 12 10,5
K 5 7 10,5
L 9 11 12,0
Subjek
Rank
HIPOTESIS
𝐻0 ∶ Tidak terdapat hubungan yang signifikan antara perjuangan status
sosial dan keotoriteran dengan penyesuaian diri “yang konstan”
𝐻 𝑎 ∶ Tidak terdapat hubungan yang signifikan antara perjuangan status
sosial dan keotoriteran dengan penyesuaian diri "yang konstan"
Taraf signifikansi 𝛼 = 5% = 0,05
Setelah dihitung untuk 𝜏 𝑥𝑦, 𝜏 𝑦𝑧, 𝑑𝑎𝑛 𝜏 𝑥𝑧 adalah sebagai berikut:
𝝉 𝒙𝒚 = 𝟎, 𝟔𝟕
𝝉 𝒚𝒛 = 𝟎, 𝟑𝟔
𝝉 𝒙𝒛 = 𝟎, 𝟑𝟗
𝝉 𝒙𝒚.𝒛 =
𝝉 𝒙𝒚 − 𝝉 𝒚𝒛 𝝉 𝒙𝒛
(𝟏 − 𝝉 𝒚𝒛
𝟐)(𝟏 − 𝝉 𝒙𝒛
𝟐)
=
𝟎, 𝟔𝟕 − (𝟎, 𝟑𝟔)(𝟎, 𝟑𝟗)
(𝟏 − (𝟎, 𝟑𝟔) 𝟐)(𝟏 − (𝟎, 𝟑𝟗) 𝟐)
= 0,62
Setelah dihitung untuk 𝜏 𝑥𝑦, 𝜏 𝑦𝑧, dan 𝜏 𝑥𝑧adalah sebagai berikut:
𝜏 𝑥𝑦 = 0,67
𝜏 𝑦𝑧 = 0,36
𝜏 𝑥𝑧 = 0,39
𝜏 𝑥𝑦.𝑧 =
𝜏 𝑥𝑦 − 𝜏 𝑦𝑧 𝜏 𝑥𝑧
(1 − 𝜏 𝑦𝑧
2)(1 − 𝜏 𝑥𝑧
2)
=
0,67 − (0,36)(0,39)
(1 − (0,36)2)(1 − (0,39)2)
= 0,62
Uji Signifikansi
𝜏 𝑥𝑦.𝑧 =
𝜒2
𝑁
𝜒2
=
(𝜏 𝑥𝑦.𝑧)2
𝑁
Kriteria Uji:
H0 di tolak jika 𝜒2
ℎ𝑖𝑡 ≥ 𝜒2
𝑡𝑎𝑏𝑒𝑙
H0 di terima jika 𝜒2
ℎ𝑖𝑡 < 𝜒2
𝑡𝑎𝑏𝑒𝑙
𝜒2
=
(0,62)2
12
𝜒2
= 0,03
Taraf signifikansi α = 5% = 0,05
df = 12-1 =11
Diperoleh :
𝜒2
(0,05 , 11) = 19,68
Kesimpulan
H0 di terima karena 𝜒2
ℎ𝑖𝑡 < 𝜒2
𝑡𝑎𝑏𝑒𝑙
Yaitu, Tidak terdapat hubungan yang signifikan antara perjuangan status sosial
dan keotoriteran dengan penyesuaian diri “yang konstan”
𝑊
Koefisien konkordansi kendall: 𝑊
 Mengukur derajat asosiasi dari k buah variabel (> 2)
 Dalam praktek,sering dipakai untuk menilai tingkat
kesepakatan/kecocokan/korelasi antara beberapa 𝑘 pengamat dalam
memberikan peringkat pada suatu set obyek.
 Data berskala ordinal,interval atau rasio.
Prosedur
 Menentukan rangking terlebih dahulu pada masing masing variabel
 Menghitung jumlah rangking untuk setiap obyek
 Hitung nilai koefisien Konkordansi Kendall:W
Kecocokan Sempurna
Misalkan 𝑘 orang juri memberikan penilaian terhadap 𝑛 kontestan lomba
berupa ranking versi masing-masing juri. Pertanyaan yang muncul
adalah, bagaimanakah bentuk matriks penilaian yang ditampilkan jika
tidak terdapat atau hanya terdapat sedikit sekali kecocokan penilaian
diantara 𝑘 juri tersebut ? serta, bagaimanakah jika terjadi kecocokan
yang sempurna dalam penilaian tersebut ?
Kecocokan Sempurna
Juri
Ranking Kontestan
𝐴1 𝐴2 ... 𝐴 𝑁
𝐽1 𝑥11 𝑥12 ... 𝑥1𝑁
𝐽2 𝑥21 𝑥21 ... 𝑥2𝑁
... ... ... ... ...
𝐽 𝑘 𝑥 𝑘1 𝑥 𝑘2 ... 𝑥 𝑘𝑁
𝑅𝑗
𝑗 = 1,2, … , 𝑁
𝑖=1
𝑘
𝑥𝑖1
𝑖=1
𝑘
𝑥𝑖2
...
𝑖=1
𝑘
𝑥𝑖𝑁
Kecocokan Sempurna
Kecocokan sempurna akan terjadi jika tiap juri memberikan ranking dengan
urutan yang sama pada 𝑛 kontestan. Dimana baris terakhir berupa
penjumlahan ranking pada tiap kontestan (𝑅𝑗) akan bernilai berbeda-beda
dengan kemungkinan-kemungkinan nilai hanyalah 𝑘, 2𝑘, 3𝑘, … , 𝑛𝑘. Matriks
data seperti demikian akan menghasilkan 𝑊 = 1.
Kalkulasi 𝑾
𝑊 dihitung dengan rumus berikut
𝑊 =
𝑠
1
12
𝑘2 𝑁3 − 𝑁
dimana 𝑠 adalah jumlah kuadrat deviasi observasi dari rataan 𝑅𝑗, yaitu (3)
𝑠 =
𝑗=1
𝑁
𝑅𝑗 −
𝑗=1
𝑁
𝑅𝑗
2
=
𝑗=1
𝑁
𝑅𝑗
2
−
𝑗=1
𝑁
𝑅𝑗
2
𝑁
Kalkulasi 𝑾
Apabila terdapat objek-objek dengan ranking sama pada sebuah variabel atau
lebih, maka perhitungan disesuaikan dengan rumus
𝑊 =
𝑠
1
12
𝑘2 𝑁3 − 𝑁 − 𝑘 𝑗=1
𝑘
𝑇𝑗
𝑇𝑗 adalah hasil penjumlahan dari (𝑡3
− 𝑡)/12 dimana 𝑡 adalah banyaknya
sebuah angka ranking muncul dalam perankingan oleh variabel ke 𝑗.
Uji Signifikansi 𝑾
𝐻0 : 𝑘 himpunan Ranking independen
𝐻 𝐴 : 𝑘 himpunan Ranking dependen
Metode untuk menentukan apakah harga 𝑊 observasi signifikan berbeda
bergantung pada ukuran 𝑁 ,sbb:
 Jika N dari 3-7 dan k antara 3-20
𝐻0 ditolak jika 𝑠ℎ𝑖𝑡 ≥ 𝑠𝑡𝑎𝑏𝑒𝑙
𝐻0 diterima jika 𝑠ℎ𝑖𝑡 < 𝑠𝑡𝑎𝑏𝑒𝑙
𝑠𝑡𝑎𝑏𝑒𝑙 dapat dilihat pada tabel R (Siegel, 1986: 338)
 Jika N lebih besar dari 7, menggunakan rumus:
𝜒2
= 𝑘 𝑁 − 1 𝑊
Uji Signifikansi 𝑾
Uji Signifikansi 𝑾
[Sampel Besar]
Statistik Uji:
𝜒2
= 𝑘 𝑁 − 1 𝑊
Kriteria Uji:
H0 di tolak jika 𝜒2
ℎ𝑖𝑡 ≥ 𝜒2
𝑡𝑎𝑏𝑒𝑙
H0 di terima jika 𝜒2
ℎ𝑖𝑡 < 𝜒2
𝑡𝑎𝑏𝑒𝑙
Untuk 𝜒2
𝑡𝑎𝑏𝑒𝑙 dapat dilihat dari tabel harga-harga kritis Chi-Kuadrat. Dengan:
𝑑𝑓 = 𝑁 − 1
Contoh Soal
Ranking diberikan kepada 6 pelamar pekerjaan oleh tiga eksekutif
perusahaan. Kemudian ingin diketahui apakah ada hubungan
antara ranking yang diberikan oleh tiga eksekutif perusahaan
tersebut. (𝛼 = 5%)
Kasus Sampel Kecil dan Tidak Ada Ranking Sama
Penilai
Pelamar
a b c d e f
Eksekutif X 1 6 3 2 5 4
Eksekutif Y 1 5 6 4 2 3
Eksekutif Z 6 3 2 5 4 1
𝑅𝑗 8 14 11 11 11 8
𝑅𝑗
2
64 196 121 121 121 64
𝑅𝑗
2
= 687 𝑅𝑗 = 63dan
Kalkulasi Nilai 𝑾
𝑠 =
𝑗=1
6
𝑅𝑗
2
−
𝑗=1
6
𝑅𝑗
2
𝑁
=687−
632
6
= 25,5
𝑊 =
𝑠
1
12
𝑘2(𝑁3 − 𝑁)
=
25,5
1
12
(3)2(63 − 6)
= 0,16
Uji Signifikansi
Statistik uji :
Karena 𝑁 < 7, maka kita menggunakan harga s sebagai statistik uji.
Kriteria :
𝐻0 ditolak jika 𝑠ℎ𝑖𝑡 ≥ 𝑠𝑡𝑎𝑏𝑒𝑙
𝐻0 diterima jika 𝑠ℎ𝑖𝑡 < 𝑠𝑡𝑎𝑏𝑒𝑙 𝛼 = 0,05
Keputusan
Karena 𝑠ℎ𝑖𝑡 = 25,5 < 𝑠𝑡𝑎𝑏𝑒𝑙 = 103,9 , maka 𝐻0 diterima
Kesimpulan : Dengan tingkat keyakinan 95% kita dapat menyimpulkan bahwa Tidak
terdapat kecocokan yang signifikan pada pemberian rangking oleh eksekutif X, Y, dan Z,
yang artinya kecocokan yang terjadi merupakan kebetulan semata.
Contoh Soal
Sepuluh siswa diberi ranking berdasarkan kemampuan matematika
dalam topik trigonometri oleh tiga guru yang berbeda X, Y, dan Z.
Dengan 𝛼=0.05 selidikilah kecocokan ketiga guru tersebut dalam
memberikan ranking kepada siswa.
Kasus Sampel Besar dan Angka sama
dan
Siswa
A B C D E F G H I J
Guru X
3 4,5 4,5 2 1 7 7 7 9 10
Guru Y
3,5 3,5 5 1 2 6 7,5 7,5 10 9
Guru Z
3 2 5 4 1 7,5 6 9 7,5 10
𝑅𝑗 9,5 10 14,5 7 4 20,5 20,5 23,5 26,5 29
𝑅𝑗
2
90,25 100 210,25 49 16 420,25 420,25 552,25 702,25 841
𝑅𝑗
2
= 3275,5 𝑅𝑗 = 162
Statistik Uji
Karena N = 10 dan k = 3 maka kita menggunakan uji Konkordansi Kendall W untuk sampel
besar.
Mencari s terlebih dahulu:
𝑠 = 𝑅𝑗 −
𝑅𝑗
𝑁
2
= 651,1
Menghitung angka yang sama:
𝑇𝑋 =
𝑡3
− 𝑡
12
=
23
− 2 + 33
− 3
12
= 2,5
𝑇𝑌 =
𝑡3 − 𝑡
12
=
23 − 2 + 23 − 2
12
= 1
𝑇𝑍 =
𝑡3 − 𝑡
12
=
23 − 2
12
= 0,5
Kalkulasi 𝑾
Menghitung W:
𝑊 =
𝑠
1
12
𝑘2 𝑁3 − 𝑁 − 𝑇
=
651,1
1
12
32 103 − 10 − 4
= 0,93
Menghitung 𝜒2
𝜒2
= 𝑘 𝑁 − 1 𝑊 = 3 10 − 1 0,93 = 25,09
Keputusan:
Karena 𝜒2
ℎ𝑖𝑡 = 25,09 > 𝜒2
𝑡𝑎𝑏𝑒𝑙 = 16,92, maka 𝐻0 ditolak.
Kesimpulan:Terdapat kecocokan yang signifikan pada pemberian
ranking oleh guru X, Y, dan Z.
Uji Signifikansi
Hipotesis
𝐻0: Tidak terdapat kecocokan yang signifikan pada pemberian
rangking oleh guru X, Y, dan Z.
𝐻 𝑎: Terdapat kecocokan yang signifikan pada pemberian
rangking oleh guru X, Y, dan Z.
Taraf Signifikan:
𝛼 = 0,05 𝑑𝑎𝑛 𝑑𝑓 = 9 → 𝝌 𝟐
𝜶, 𝒅𝒇 = 𝟏𝟔, 𝟗𝟐
Daerah Penolakan 𝐻0
H0 di tolak jika 𝝌 𝟐
𝒉𝒊𝒕 ≥ 𝝌 𝟐
𝒕𝒂𝒃𝒆𝒍
Terima Kasih

Korelasi Non-Parametrik

  • 1.
    Disusun Oleh : 1.Agung Anggoro 2. Agus Ahmad D 3. Hibatul Azizi 4. M. Rizki Fauzi 5. Riksa Rishanif 𝜏 𝑊
  • 2.
  • 3.
    KOEFISIEN KORELASI RANKING PARSIALKENDALL : 𝜏 𝑥𝑦.𝑧  Korelasi adalah pengukuran keeratan hubungan antar dua variabel.  Korelasi parsial mengukur korelasi antara dua buah variabel seperti perhitungan korelasi pada umumnya, namun dengan menganggap sebuah variabel (ketiga) yang dibuat konstan.  Perhitungan korelasi secara per bagian ini (parsial) bertujuan untuk mengukur pengaruh ‘efek ketiga’ pada keeratan hubungan dua variabel yang dikorelasi.  Keeratan hubungan antara dua variabel yang diperoleh adalah murni dan langsung.  Data yang digunakan ‘sekurang-kurangnya’ berskala ordinal.
  • 4.
    Perhatikan Tabel Berikut Subyeka b c d Rangking pada Z 1 2 3 4 Rangking pada X 3 1 2 4 Rangking pada Y 2 1 3 4 Pasangan (a, b) (a, c) (a, d) (b, c) (b, d) (c, d) Z + + + + + + X − − + + + + Y − + + + + +
  • 5.
    Pasangan Y bertanda samadengan Z Pasangan bertanda tak sama dengan Z Total Pasangan X bertanda sama dengan tanda Z A 4 B 0 A + B 4 Pasangan X bertanda tak sama dengan tanda Z C 1 D 1 C + D 2 Jumlah A + C 5 B + D 1 6
  • 6.
    𝜏 𝑥𝑦.𝑧 = 𝐴𝐷− 𝐵𝐶 (𝐴 + 𝐵)(𝐶 + 𝐷)(𝐴 + 𝐶)(𝐵 + 𝐷) 𝜏 𝑥𝑦.𝑧 = (4)(1) − (0)(1) 4 2 5 (1) = 0,63 (Dari Tabel 2 X 2)
  • 7.
    Bila terdapat angkayang sama Bila tidak terdapat angka yang tidak sama 𝜏 = 𝑆 1 2 𝑁 (𝑁 − 1) 𝜏 = 𝑆 1 2 𝑁 𝑁 − 1 − 𝑇𝑥 1 2 𝑁 𝑁 − 1 − 𝑇𝑦 𝑇𝑥 = 1 2 𝑥 𝑡(𝑡 − 1) 𝑇𝑦 = 1 2 𝑦 𝑡(𝑡 − 1) 𝝉 𝒙𝒚.𝒛 = 𝝉 𝒙𝒚 − 𝝉 𝒛𝒚 𝝉 𝒛𝒙 𝟏 − 𝝉 𝒙𝒛 𝟐 )(𝟏 − 𝝉 𝒚𝒛 𝟐 Rumus Korelasi Parsial Ranking Kendall
  • 8.
    Uji Signifikansi 𝐻0: Tidakterdapat hubungan yang signifikan antara variabel X dan Y dengan variabel Z yang konstan 𝐻 𝑎: Terdapat hubungan yang signifikan antara variabel X dan Y dengan variabel Z yang konstan 𝐻0 ∶ 𝜏 𝑥𝑦.𝑧 = 0 𝐻 𝑎 ∶ 𝜏 𝑥𝑦.𝑧 ≠ 0 Hipotesis
  • 9.
    Uji Signifikansi KorelasiPartial kendal dapat dilakukan dengan uji Chi-Square 𝜏 𝑥𝑦.𝑧 = 𝜒2 𝑁 𝜒2 = (𝜏 𝑥𝑦.𝑧)2 𝑁 Kriteria Uji : H0 di tolak jika 𝜒2 ℎ𝑖𝑡 ≥ 𝜒2 𝑡𝑎𝑏𝑒𝑙 H0 di terima jika 𝜒2 ℎ𝑖𝑡 < 𝜒2 𝑡𝑎𝑏𝑒𝑙
  • 10.
    IKHTISAR PROSEDUR 1. MisalkanX dan Y adalah dua variabel yang hubungannya akan kita tentukan, dan Z adalah variabel yang efeknya terhadap X dan Y yang diparsialkan, atau dianggap konstan. 2. Memberi ranking pada variabel X, Y, dan Z dari 1 hingga n. 3. Menentukan harga-harga observasi 𝜏 𝑥𝑦, 𝜏 𝑦𝑧, 𝑑𝑎𝑛 𝜏 𝑥𝑧. 4. Menghitung 𝜏 𝑥𝑦.𝑧 5. Uji Signifikansi 6. Kesimpulan
  • 11.
    Contoh Soal Dibawah iniadalah ranking dari skor keotoriteran, perjuangan status sosial, dan penyesuaian diri pada 12 orang mahasiswa. Disajikan dalam tabel berikut: Perjuangan Stat. Sosial Keotoriteran Penyesuaian diri X Y Z A 3 2 1,5 B 4 6 1,5 C 2 5 3,5 D 1 1 3,5 E 8 10 5,0 F 11 9 6,0 G 10 8 7,0 H 6 3 8,0 I 7 4 9,0 J 12 12 10,5 K 5 7 10,5 L 9 11 12,0 Subjek Rank
  • 12.
    HIPOTESIS 𝐻0 ∶ Tidakterdapat hubungan yang signifikan antara perjuangan status sosial dan keotoriteran dengan penyesuaian diri “yang konstan” 𝐻 𝑎 ∶ Tidak terdapat hubungan yang signifikan antara perjuangan status sosial dan keotoriteran dengan penyesuaian diri "yang konstan" Taraf signifikansi 𝛼 = 5% = 0,05
  • 13.
    Setelah dihitung untuk𝜏 𝑥𝑦, 𝜏 𝑦𝑧, 𝑑𝑎𝑛 𝜏 𝑥𝑧 adalah sebagai berikut: 𝝉 𝒙𝒚 = 𝟎, 𝟔𝟕 𝝉 𝒚𝒛 = 𝟎, 𝟑𝟔 𝝉 𝒙𝒛 = 𝟎, 𝟑𝟗 𝝉 𝒙𝒚.𝒛 = 𝝉 𝒙𝒚 − 𝝉 𝒚𝒛 𝝉 𝒙𝒛 (𝟏 − 𝝉 𝒚𝒛 𝟐)(𝟏 − 𝝉 𝒙𝒛 𝟐) = 𝟎, 𝟔𝟕 − (𝟎, 𝟑𝟔)(𝟎, 𝟑𝟗) (𝟏 − (𝟎, 𝟑𝟔) 𝟐)(𝟏 − (𝟎, 𝟑𝟗) 𝟐) = 0,62 Setelah dihitung untuk 𝜏 𝑥𝑦, 𝜏 𝑦𝑧, dan 𝜏 𝑥𝑧adalah sebagai berikut: 𝜏 𝑥𝑦 = 0,67 𝜏 𝑦𝑧 = 0,36 𝜏 𝑥𝑧 = 0,39 𝜏 𝑥𝑦.𝑧 = 𝜏 𝑥𝑦 − 𝜏 𝑦𝑧 𝜏 𝑥𝑧 (1 − 𝜏 𝑦𝑧 2)(1 − 𝜏 𝑥𝑧 2) = 0,67 − (0,36)(0,39) (1 − (0,36)2)(1 − (0,39)2) = 0,62
  • 14.
    Uji Signifikansi 𝜏 𝑥𝑦.𝑧= 𝜒2 𝑁 𝜒2 = (𝜏 𝑥𝑦.𝑧)2 𝑁 Kriteria Uji: H0 di tolak jika 𝜒2 ℎ𝑖𝑡 ≥ 𝜒2 𝑡𝑎𝑏𝑒𝑙 H0 di terima jika 𝜒2 ℎ𝑖𝑡 < 𝜒2 𝑡𝑎𝑏𝑒𝑙 𝜒2 = (0,62)2 12 𝜒2 = 0,03
  • 15.
    Taraf signifikansi α= 5% = 0,05 df = 12-1 =11 Diperoleh : 𝜒2 (0,05 , 11) = 19,68 Kesimpulan H0 di terima karena 𝜒2 ℎ𝑖𝑡 < 𝜒2 𝑡𝑎𝑏𝑒𝑙 Yaitu, Tidak terdapat hubungan yang signifikan antara perjuangan status sosial dan keotoriteran dengan penyesuaian diri “yang konstan”
  • 16.
  • 17.
    Koefisien konkordansi kendall:𝑊  Mengukur derajat asosiasi dari k buah variabel (> 2)  Dalam praktek,sering dipakai untuk menilai tingkat kesepakatan/kecocokan/korelasi antara beberapa 𝑘 pengamat dalam memberikan peringkat pada suatu set obyek.  Data berskala ordinal,interval atau rasio.
  • 18.
    Prosedur  Menentukan rangkingterlebih dahulu pada masing masing variabel  Menghitung jumlah rangking untuk setiap obyek  Hitung nilai koefisien Konkordansi Kendall:W
  • 19.
    Kecocokan Sempurna Misalkan 𝑘orang juri memberikan penilaian terhadap 𝑛 kontestan lomba berupa ranking versi masing-masing juri. Pertanyaan yang muncul adalah, bagaimanakah bentuk matriks penilaian yang ditampilkan jika tidak terdapat atau hanya terdapat sedikit sekali kecocokan penilaian diantara 𝑘 juri tersebut ? serta, bagaimanakah jika terjadi kecocokan yang sempurna dalam penilaian tersebut ?
  • 20.
    Kecocokan Sempurna Juri Ranking Kontestan 𝐴1𝐴2 ... 𝐴 𝑁 𝐽1 𝑥11 𝑥12 ... 𝑥1𝑁 𝐽2 𝑥21 𝑥21 ... 𝑥2𝑁 ... ... ... ... ... 𝐽 𝑘 𝑥 𝑘1 𝑥 𝑘2 ... 𝑥 𝑘𝑁 𝑅𝑗 𝑗 = 1,2, … , 𝑁 𝑖=1 𝑘 𝑥𝑖1 𝑖=1 𝑘 𝑥𝑖2 ... 𝑖=1 𝑘 𝑥𝑖𝑁
  • 21.
    Kecocokan Sempurna Kecocokan sempurnaakan terjadi jika tiap juri memberikan ranking dengan urutan yang sama pada 𝑛 kontestan. Dimana baris terakhir berupa penjumlahan ranking pada tiap kontestan (𝑅𝑗) akan bernilai berbeda-beda dengan kemungkinan-kemungkinan nilai hanyalah 𝑘, 2𝑘, 3𝑘, … , 𝑛𝑘. Matriks data seperti demikian akan menghasilkan 𝑊 = 1.
  • 22.
    Kalkulasi 𝑾 𝑊 dihitungdengan rumus berikut 𝑊 = 𝑠 1 12 𝑘2 𝑁3 − 𝑁 dimana 𝑠 adalah jumlah kuadrat deviasi observasi dari rataan 𝑅𝑗, yaitu (3) 𝑠 = 𝑗=1 𝑁 𝑅𝑗 − 𝑗=1 𝑁 𝑅𝑗 2 = 𝑗=1 𝑁 𝑅𝑗 2 − 𝑗=1 𝑁 𝑅𝑗 2 𝑁
  • 23.
    Kalkulasi 𝑾 Apabila terdapatobjek-objek dengan ranking sama pada sebuah variabel atau lebih, maka perhitungan disesuaikan dengan rumus 𝑊 = 𝑠 1 12 𝑘2 𝑁3 − 𝑁 − 𝑘 𝑗=1 𝑘 𝑇𝑗 𝑇𝑗 adalah hasil penjumlahan dari (𝑡3 − 𝑡)/12 dimana 𝑡 adalah banyaknya sebuah angka ranking muncul dalam perankingan oleh variabel ke 𝑗.
  • 24.
    Uji Signifikansi 𝑾 𝐻0: 𝑘 himpunan Ranking independen 𝐻 𝐴 : 𝑘 himpunan Ranking dependen
  • 25.
    Metode untuk menentukanapakah harga 𝑊 observasi signifikan berbeda bergantung pada ukuran 𝑁 ,sbb:  Jika N dari 3-7 dan k antara 3-20 𝐻0 ditolak jika 𝑠ℎ𝑖𝑡 ≥ 𝑠𝑡𝑎𝑏𝑒𝑙 𝐻0 diterima jika 𝑠ℎ𝑖𝑡 < 𝑠𝑡𝑎𝑏𝑒𝑙 𝑠𝑡𝑎𝑏𝑒𝑙 dapat dilihat pada tabel R (Siegel, 1986: 338)  Jika N lebih besar dari 7, menggunakan rumus: 𝜒2 = 𝑘 𝑁 − 1 𝑊 Uji Signifikansi 𝑾
  • 26.
    Uji Signifikansi 𝑾 [SampelBesar] Statistik Uji: 𝜒2 = 𝑘 𝑁 − 1 𝑊 Kriteria Uji: H0 di tolak jika 𝜒2 ℎ𝑖𝑡 ≥ 𝜒2 𝑡𝑎𝑏𝑒𝑙 H0 di terima jika 𝜒2 ℎ𝑖𝑡 < 𝜒2 𝑡𝑎𝑏𝑒𝑙 Untuk 𝜒2 𝑡𝑎𝑏𝑒𝑙 dapat dilihat dari tabel harga-harga kritis Chi-Kuadrat. Dengan: 𝑑𝑓 = 𝑁 − 1
  • 27.
    Contoh Soal Ranking diberikankepada 6 pelamar pekerjaan oleh tiga eksekutif perusahaan. Kemudian ingin diketahui apakah ada hubungan antara ranking yang diberikan oleh tiga eksekutif perusahaan tersebut. (𝛼 = 5%) Kasus Sampel Kecil dan Tidak Ada Ranking Sama
  • 28.
    Penilai Pelamar a b cd e f Eksekutif X 1 6 3 2 5 4 Eksekutif Y 1 5 6 4 2 3 Eksekutif Z 6 3 2 5 4 1 𝑅𝑗 8 14 11 11 11 8 𝑅𝑗 2 64 196 121 121 121 64 𝑅𝑗 2 = 687 𝑅𝑗 = 63dan
  • 29.
    Kalkulasi Nilai 𝑾 𝑠= 𝑗=1 6 𝑅𝑗 2 − 𝑗=1 6 𝑅𝑗 2 𝑁 =687− 632 6 = 25,5 𝑊 = 𝑠 1 12 𝑘2(𝑁3 − 𝑁) = 25,5 1 12 (3)2(63 − 6) = 0,16
  • 30.
    Uji Signifikansi Statistik uji: Karena 𝑁 < 7, maka kita menggunakan harga s sebagai statistik uji. Kriteria : 𝐻0 ditolak jika 𝑠ℎ𝑖𝑡 ≥ 𝑠𝑡𝑎𝑏𝑒𝑙 𝐻0 diterima jika 𝑠ℎ𝑖𝑡 < 𝑠𝑡𝑎𝑏𝑒𝑙 𝛼 = 0,05 Keputusan Karena 𝑠ℎ𝑖𝑡 = 25,5 < 𝑠𝑡𝑎𝑏𝑒𝑙 = 103,9 , maka 𝐻0 diterima Kesimpulan : Dengan tingkat keyakinan 95% kita dapat menyimpulkan bahwa Tidak terdapat kecocokan yang signifikan pada pemberian rangking oleh eksekutif X, Y, dan Z, yang artinya kecocokan yang terjadi merupakan kebetulan semata.
  • 32.
    Contoh Soal Sepuluh siswadiberi ranking berdasarkan kemampuan matematika dalam topik trigonometri oleh tiga guru yang berbeda X, Y, dan Z. Dengan 𝛼=0.05 selidikilah kecocokan ketiga guru tersebut dalam memberikan ranking kepada siswa. Kasus Sampel Besar dan Angka sama
  • 33.
    dan Siswa A B CD E F G H I J Guru X 3 4,5 4,5 2 1 7 7 7 9 10 Guru Y 3,5 3,5 5 1 2 6 7,5 7,5 10 9 Guru Z 3 2 5 4 1 7,5 6 9 7,5 10 𝑅𝑗 9,5 10 14,5 7 4 20,5 20,5 23,5 26,5 29 𝑅𝑗 2 90,25 100 210,25 49 16 420,25 420,25 552,25 702,25 841 𝑅𝑗 2 = 3275,5 𝑅𝑗 = 162
  • 34.
    Statistik Uji Karena N= 10 dan k = 3 maka kita menggunakan uji Konkordansi Kendall W untuk sampel besar. Mencari s terlebih dahulu: 𝑠 = 𝑅𝑗 − 𝑅𝑗 𝑁 2 = 651,1 Menghitung angka yang sama: 𝑇𝑋 = 𝑡3 − 𝑡 12 = 23 − 2 + 33 − 3 12 = 2,5 𝑇𝑌 = 𝑡3 − 𝑡 12 = 23 − 2 + 23 − 2 12 = 1 𝑇𝑍 = 𝑡3 − 𝑡 12 = 23 − 2 12 = 0,5
  • 35.
    Kalkulasi 𝑾 Menghitung W: 𝑊= 𝑠 1 12 𝑘2 𝑁3 − 𝑁 − 𝑇 = 651,1 1 12 32 103 − 10 − 4 = 0,93
  • 36.
    Menghitung 𝜒2 𝜒2 = 𝑘𝑁 − 1 𝑊 = 3 10 − 1 0,93 = 25,09 Keputusan: Karena 𝜒2 ℎ𝑖𝑡 = 25,09 > 𝜒2 𝑡𝑎𝑏𝑒𝑙 = 16,92, maka 𝐻0 ditolak. Kesimpulan:Terdapat kecocokan yang signifikan pada pemberian ranking oleh guru X, Y, dan Z. Uji Signifikansi
  • 37.
    Hipotesis 𝐻0: Tidak terdapatkecocokan yang signifikan pada pemberian rangking oleh guru X, Y, dan Z. 𝐻 𝑎: Terdapat kecocokan yang signifikan pada pemberian rangking oleh guru X, Y, dan Z. Taraf Signifikan: 𝛼 = 0,05 𝑑𝑎𝑛 𝑑𝑓 = 9 → 𝝌 𝟐 𝜶, 𝒅𝒇 = 𝟏𝟔, 𝟗𝟐 Daerah Penolakan 𝐻0 H0 di tolak jika 𝝌 𝟐 𝒉𝒊𝒕 ≥ 𝝌 𝟐 𝒕𝒂𝒃𝒆𝒍
  • 38.