.
CONTENTS 
PRINCIPLE 
INSTRUMENTATION 
sampling handling system 
ion source, mass analysers, detectors 
TYPES IONS 
FRAGMENTAION 
GC/MS 
LC/MS 
INTERPRETATION 
APPLICATIONS
PRINCIPLE 
It is also called as positive ion spectra or line spectra 
Sample is bombarded with the high electron beam 
produce the positive ions. 
They travel in straight path 
When a maganatic field or electric field is applied 
then travels in curved path 
The fragments of different masses are seperated 
based on the radius of curvature. 
m/e α r2
Instrumentation: 
Sample inlet ion source ion separator 
detector 
read out device
1. SAMPLE HANDLING SYSTEM: 
 Different types of samples having the 
different sample inlet systems 
 Heated inlet system: 
 gases and less volatile liquids, 
the liquids vaporized externally an then 
slowly introduced into the ionization source. 
 Direct inlet system: 
 Solids, nonvolatile liquids, unstable 
compounds directly introduced into the ion 
source. 
 Non volatile liquids : steroids, carbohydrates 
polymeric substances etc..
2) ION SOURCE 
TYPES: 
1.ELETRON IMPACT TECHNIQUE (EI) 
2.CHEMICAL IONIZATION MS(CIMS) 
3.FAST ATOM BOMBARDMENT MS (FAB-MS) 
4.MATRIX ASSISTED LASER 
DESORPTION/IONIZATION MS (MALDI-MS)
1) ELECTRON IMPACT: 
Electrons are produced from electrically heated 
tungsten. These electrons are accelerated by an 
electric field to an average electron beam energy of 
about 70ev. 
8-12ev is sufficient to the ionisation of the sample. 
 the vapour of the sample anlaysed introduced at 
right angles to the electron beam. 
The sample pressure is about 10-6 – 10-7 torr 
Drawback: sample need to be vaporised. It may cause 
the thermal decomposition of the compound.
2) CHEMICAL IONISATION: 
In this reagent gas is used normally methane 
On electron impact gives primary ion like CH4.+ CH3.+ 
These react with excess of CH4 to give secondary ions. 
CH4+e  CH4++2e 
CH4+e  CH3++H+2e 
CH4+ +CH4  CH5++CH3 
CH3.+ +CH4  C2H5+ + H2 
these secondary ions react with sample(M) 
CH5++M  CH4+MH+ 
C2H5++M  C2H4+MH+
3) FAB: 
Few μg of sample is dissolved in few μl of glycerol as 
matrix. 
 this solution is bombarded by a beam of fast xenon 
atoms. 
These fast atoms are prepared by accelerating xenon 
ions to an energy of 6-9 keV, these ions are transfered 
to the xenon gas ,where these ion get the electrons 
and forms the high energy xe atom.
After the impact of fast xenon atoms into the solution, 
the sample is desorbed as ion by momentum transfer. 
The beam of sample ion is analyzed in mass 
spectrometer. 
ADVANTAGES:- 
• High resolution, rapid & simple 
• Tolerant to variations in sampling 
DISADVANTAGES:- 
• matrix also forms ions on bombardment which 
complicates the spectrum
MATRIX ASSISTED LASER DESORPTION 
It is new ionization method, which shows accurate 
molecular weight information of compounds ranging 
in molecular weight from few thousands to several 
hundred thousand Daltons 
In this technique low concentration of the analyte is 
uniformly dispersed in a solid or liquid matrix 
deposited on the metal plate. 
The metal plate put in vaccum chamber and laser 
beam focussed on the sample. 
Then martix and the sample strongly absorb the laser 
radiation. Then the sample gets ionized.
The most common type of mass analyser used 
with the is the time of flight analyser 
Various types of matrix 
Nicotinic acid matrix - to analyte the proteins 
glycoproteins 
Ferulic acid matrix to analyte the proteins and 
Caffieic acid matrix oligonucleotides 
Succinic acid – to analyte the proteins.
ELECTRON SPRAY IONISATION:. 
A solution of the sample pumped through a stainless steel 
capillary neddle. 
↓ 
The resulting charged spray of fine droplets pass through 
the desolvating capillary, 
↓ 
 where evporation of the solvent attaining the charge to 
the molecules(desolvation) 
↓ 
desolvation process continues through various pumping 
stages as the molecular ion travels towards the mass 
analyzer .
It is one of the most important technique for analysing the biomolecules, 
proteins and oligonucleotides having the molecular weights of 100000 Da or 
more
MASS ANALYSERS: ion seperator 
SINGLE FOCUSSING ANALYSER 
DOUBLE FOCUSSING ANALYSER 
QUADRUPOLE ANALYSER 
TIME OF FLIGHT ANALYSER
1. SINGLE FOCUSSING ANALYSER:
 It has horse shoe shaped glass tube which is 
evacuated, consists of sample inlet, electron 
bombarding source, accelerating plates on one end,& 
collector slit at other end. 
• At curvature of tube there is provision to apply 
electric/magnetic field 
• Sample in the form vapour is allowed through inlet 
and bombarded with electron beam at 70eV.
It knocks off one electron from every molecule then 
they become +vely charged ion. 
 as these molecules become +ve charged, they are 
accelerated by accelerating plates and travel in 
straight path. 
By application of electric or magnetic field they travel 
in curved path & molecular ions are separated 
according to their masses and collected 
Different fragments fall on detector then mass 
spectrum is recorded
DOUBLE FOCUSSING ANALYSER:
It is used differentiate the small mass differences of 
the fragment. 
These provides the high resolution 
To achieve better focusing, energy has to be reduced 
before ions are allowed to enter the magnetic field 
and increase resolving power can be obtained two 
mass analysers in series.
QUADRUPOLE MASS ANALYSER:
It consists of 4 voltage carrying rods. 
The ions are pass from one end to another end 
During this apply the radiofrequency and voltage 
complex oscillations will takes place. 
Here the single positive charge ions shows the stable 
oscillation and the remaining the shows the unstable 
oscillations 
Mass scanning is carried out by varying each of the rf 
and voltage frequencies ratios keeping their ratios 
constant. 
Quadrupole ion storage (ion trap) 
It store the unsorted ions temporarily, they released to 
the detector by scanning the electric field.
TIME OF FLIGHT ANALYSER: 
In this type of analyser the sorting of ions is done in 
absence of magnetic field. 
The ions produced are acquiring different velocities 
depending on their masses 
Here the particles reach the detector in the order of the 
increasing order of their masses 
Here electron multiplier detector is used. 
The resolution power of this is 500-600
MASS DETECTORS: 
The Faraday cup detector: 
 the detector is very simple. 
The basic principle is that the incident ion strikes the 
dynode surface. 
 which emits electrons and induces a current which is 
amplified and recorded. 
The dynode electrode is made of a secondary emitting 
material like Cs,Sb, or BeO.
Electron multiplier 
The sensitvity of the detector is 1000times greater than the faradaycup detector 
Two types of detectors 1) series of dyanodes are used 2) single horne shaped 
dyanode. This is similar to the PMT.
photomultiplier detector: 
Positive ions 
↓ 
Strike dyanode 
↓ 
Release electrons 
↓ 
Fall on the 
phosphorent screen 
↓ 
Realease the 
photons 
↓ 
Transfer to PMT 
↓ 
amplification
Types of ions produced: 
1)Molecular ion or parent ions 
2)Fragment ion 
3)Rearrangement ion 
4)Metastable ions 
5)Multiple charged ions 
6)Isotope ions 
7)Negative ions
Molecular ion: 
If the electron beam energy is excess than ionisation 
potential, electrons may be ejected from a lower lying 
molecular orbital. That type of ions are called 
molecular ion. 
The molecular ions are formed in the ground state, 
the yield of molecular ions can be increased by 
increasing the electron beam energy 
Fragment ion: 
CH3-CH2-Cl  CH3CH2Cl+ + 2e- 
CH3-CH2-Cl-  CH3 CH2+ + Cl- 
CH2CH2+ + HCl
Rearrangement ions: 
This ions re produced by rearrangement of hydrogen 
atoms one part of the ion to another part. 
Rearrangement process common in the unsaturated 
compounds 
Ex : Mc Lafferty rearrangement
Metastable ions: 
Stable and unstable ion on fragmentation gives the 
sharp peaks, but intermediate stability ions gives the 
broad peaks 
Multiplecharged ions: 
Loss of two or more electrons from a molecule with out 
fragmentation produce double and triple charged ions 
M + e-  M+++ + 3e- 
M + e-  M++ + 4e-
Isotope ions: 
If the molecule having the F, Cl, Br, I, P produce the 
isotope peaks. 
Ex; methyl bromide 
CH3 Br79 gives one parent peak at m/e 94 
CH3 Br81 gives one parent peak at m/e 96 
Negative ions: 
In few cases only negative ions are formed during the 
fragmentation. 
These are formed by capture of the electron by the 
molecule during the collission.
FRAGMENTATION 
The process of breaking molecules/ions into fragments 
is known as fragmentation. 
This can be seen in the form of peaks in mass spectra 
Methanol can be divided in to 4fragments 
CH3OH CH3OH⁺ +e¯ 
CH3OH CH3⁺ + OH¯ 
CH3OH CH2OH⁺+ H¯ 
CH3OH CHO⁺ + H2¯
Benzamide 
C6H5CONH2  C6H5CONH2+ + 2e- 
-C6H5 -NH2 
CONH2+ C6H5CO+ 
C6H5+ 
-CO
FRAGMENTATION RULES: 
1) Straight chain compound – relative height molecular 
ion peak great 
branched chain – height decreases 
2)Molecular wt increases - height decreases
3)Cleavage is favoured at branched carbon atoms, 
more branched more likely the cleavage 
4) Cleavage occurs at alkyl substituted carbon atom, 
the more substituted, more likely is the cleavage. 
Consequence of increased stability of 3˚ carbonium 
ion over a 2˚ which in turn more stable than 1˚. 
[R C ]˙+ R˙ + +C
5)In alkyl substituted aromatic compounds, cleavage 
occur at bond β to the ring 
CH2 R CH2 CH2+ 
α β 
-R . 
+ 
6)Cleavage of c-x bond is difficult than c-c bond, if 
occur +ve charge is carried by carbon atom not by 
the hetero atom 
C C X+ C C+ + X˙
7)Saturated ring lose alkyl side chain at α bond. +ve 
charge tends to stay with ring fragment. 
R .+ 
+ 
8)Double bond favours allylic cleavage & gives resonance 
stabilized allylic carbonium ion. 
CH2=CH-CH2-R CH3+-CH=CH2
FRAGMENTATION PATTERN 
Relative abundance of ions of various masses is 
characteristic of particular compound under the 
specified conditions of excitation, is known as 
fragmentation pattern 
Strong peak of large mass number is taken as parent 
peak.
Molecular peak of a compound depends up on:- 
stability of molecular ion & stability of radical lost 
Stability of ion can be justified by stabilization of charge 
Increased order of stability is 
amines<alcohols<acids<esters<ethers<alkanes<ketones< 
cyclo-alkenes<alkenes< conjugated polyenes<aromatic 
and hetero aromatic compounds
 MCLAFFERTY REARRANGEMENT:- 
Rearrangement ions are fragments, they are formed 
due to the result of intermolecular atomic 
rearrangement during fragmentation 
To undergo this rearrangement the molecule must 
posses heteroatom, one double bond and hydrogen 
atom
NITROGEN RULE:- 
It is used for determination of molecular mass of 
compounds and its elemental composition 
Molecules having odd mass number contain odd 
number of nitrogen atoms. 
Molecules having even mass number contain even no 
of nitrogen atoms.
1.Hydrocarbons 
•Hydrocarbons give clusters of peaks. 
•Molecular ion peaks of very low abundance are observed for linear hydrocarbons. 
•For branched hydrocarbons give a low intensity at M+. 
•Intensity of (CnH2n+1) peaks decreases with increasing mass. 
47
General rules of Fragmentation 
Cleavage at branched carbon is favored due to higher stability 
at tertiary carbocation. 
H 
C > C 
> C 
H 
H 
> 
H 
C 
H 
H 
tert. sec. primary methyl 
48
CH3 
1 2 3 4 5 6 7 8 
+ 
cleavage at 6-1 
cleavage at 6-2 
cleavage at 6-3 
C4H9 
C H 
C3H7 
+ 
CH3 
C H 
C4H9 
+ 
CH3 
C H 
C3H7 
+ 
(F1) 
(F2) 
(F3) 
H3C CH2 CH2 C 
H 
CH2 CH2 CH2 CH3 
Eg. 
Produces three secondary cations, the most favored fragments 
at C-4 of 
4- methyl octane. 
Note that C4 is common for fragments (F1)(F2) And (F3). 49
General rules of Fragmentation 
Most important rule covers 70% of mass fragmentation. 
X C1 C2 R X CH 
a b 
Cleavage favored at b bond leaving positive charge on C1. 
50
H3C CH2 O CH2 CH3 
H3C CH2 O CH2 CH3 
CH2 O CH2 
m/e = M-15 
1. 
H3C 
2. 
CH2 CH2 CH3 
H3C CH2 N CH2 
N 
C2H5 
C3H7 
H2C 
N 
C2H5 
H2C 
H2C 
m-57 m-29 
N 
CH2 
C3H7 
m-15 
CH2 
tert.amine 
B1 
B3 B2 
e.g.: A) (x) = O, N, S. 
51
3. 
CH2 S CH2 CH2 CH3 
H2C S 
CH2 
H2C S 
M-71 C3H7 
M-29 
B2 B1 
B1 
B2
R 
CH2 
CH2 
+ 
+ 
m/e = ( M-R ) Stable 
benzylic cation 
+ 
m/e = 91 
Tropylium cation 
+ 
b) Benzylic clevage 
b) 
m/e = 65 
cyclopentadienyl 
cation 
-(x)- = 
53
O 
+ 
O C CH + 3 
m/e = M-R m/e = M-15 
Simarly for x= N & S 
+ 
Very common fragment for ester 
C. Allylic Cleavage 
M-31 = methyl ester 
M-45 = ethyl ester 
H2C 
R 
m/e = M-R stable allyliz cation 
O 
H3C CH3 
R CH3 
R C O 
i) 
ii) 
O 
R C OCH3 
R C O 
m/e = M-31 
+ 
54
General rules of Fragmentation 
4 Rule of elimination of small neutral molecule 
A) b - Elimination 
The high temperature and high vacuum are quite favourable for elimination reaction 
H 
C 
C 
OH 
C C 
+ 
+ H2O 
m/e M - 18 
and hence 
i)Loss of water (H2O) for alcohols (M-18) is a prominent fragment. 
Tertiary alcohols lose the water so fast that in many cases M.I. Peak is absent. 
55
ii)Loss of Ammonia (NH3)(M-17) for primary amines and primary 
and secondary alkyl ammonia derivatives 
For 
C C 
NH 
C C + NH2 
M - 46 
C2H5 
C2H5 
H 
C 
C 
NH2 
C C + 
M - 17 
NH3 
56
iii)Elimination at Hydrogen sulphide (H2S)[M-34] confirms thiols 
(mercaptons) 
H 
C 
C 
SH 
C C + H2S 
M - 34 
iv)Elimination of Hydrogen cyanide (HCN)[M-27] confirms nitriles. 
H 
C 
C 
CN 
C C + HCN 
M - 27 
57
v)Elimination of Hydrogen halide(HX), 
Common for tertiary halides. 
H 
C 
C 
X 
C C 
m/e = M - HX 
X = F, Cl, Br, I 
58
General rules of Fragmentation 
High temperature high vacuum highly favorable for(DA) common for all these 
six membered cyclic mono olefins. 
+ 
O 
O 
O 
O + O 
O 
diene dienophile 
59
MCLAFFERTY REARRANGEMENT:- 
Rearrangement ions are fragments, they are formed 
due to the result of intermolecular atomic 
rearrangement during fragmentation 
To undergo this rearrangement the molecule must 
posses heteroatom, one double bond and hydrogen atom
MMccLLaaffffeerrttyy 
x 
CH2 
CH2 
H 
CH2 
O 
C 
Y 
+ 
YY  HH,, RR,, OOHH,, NNRR22 
IIoonn SSttaabbiilliizzeedd 
bbyy rreessoonnaannccee 
x 
CH2 
CH2 
H 
CH2 
O 
C 
Y 
-- CCHH22==CCHH22 
x 
CH2 
O 
C 
Y 
H 
x 
+ 
CH2 
O+ 
C 
Y 
H 
x 
CH2 
O 
C+ 
Y 
H 
61
NITROGEN RULE:- 
It is used for determination of molecular mass of compounds 
and its elemental composition 
Molecules having odd mass number contain odd number of 
nitrogen atoms. 
H3C 
Molecules having even mass number contain even no of 
nitrogen H3C atoms. 
CH3 
H 
MMWW == 5599 
((oodddd)) 
MMWW == 5588 
((eevveenn)) 
IIoonniissaattiioonn 
[[MM++HH]] 
[[MM++HH]] 
MMWW == 6600 
MMWW == 5599 
CH3 
N 
H3C CH3 
62
63
Fragmentation Patterns 
Alkanes: 
Fragmentation often splits off simple alkyl groups: 
Loss of methyl M+ - 15 
Loss of ethyl M+ - 29 
Loss of propyl M+ - 43 
Loss of butyl M+ - 57 
Branched alkanes tend to fragment forming the most stable 
carbocations. 
64
FMraassg spmectreumn otfa 2t-mioethnyl pPenatatneterns
Fragmentation Patterns 
H3C CH3 
H3C CH3 
H3C CH3 
CH2 
H3C CH3 
H3C CH3 
+ 
H2C 
CH2 
H2C 
H3C CH3 
H3C CH3 
+ 
H2C 
+ 
CH2 
H2C 
CH2 
CH 
CH2 
CH2 
Aklenes (olefins) 
CH2 
CH2 
m/z 69 mm//zz 6 973
Fragmentation Patterns
FArormaagticms maey nalstoa hatvieo a npea kP ata mt/zt e= 7r7n fosr the benzene 
ring. 
NO2 
77 
M+ = 123 
77
FArlcaohgolms entation Patterns 
Fragment easily resulting in very small or missing 
parent ion peak 
May lose hydroxyl radical or water 
M+ - 17 or M+ - 18 
Commonly lose an alkyl group attached to the carbinol 
carbon forming an oxonium ion. 
1o alcohol usually has prominent peak at m/z = 31 
corresponding to H2C=OH+
Fragmentation Patterns 
MS for 1-propanol 
M+-18 M+ 
CH3CH2CH2OH 
H2C OH 
SDBSWeb : http://riodb01.ibase.aist.go.jp/sdbs/ (National Institute of Advanced 
Industrial Science and Technology, 11/28/09)
Fragmentation Patterns 
Ethers 
a-cleavage forming oxonium ion 
Loss of alkyl group forming oxonium ion 
Loss of alkyl group forming a carbocation
Fragmentation Patterns 
Aldehydes (RCHO) 
Fragmentation may form acylium ion 
RC O 
Common fragments: 
M+ - 1 for 
M+ - 29 for 
RC O 
R (i.e. RCHO - CHO)
Fragmentation Patterns 
Ketones 
O 
Fragmentation leads to formation of acylium ion: 
 Loss of R forming 
 Loss of R’ forming 
R'C O 
RC O 
RCR'
FrMaSg fomr 2e-pnenttaantoinoen Patterns 
O 
CH3CCH2CH2CH3 
CH3CH2CH2C O 
M+ 
CH3C O 
SDBSWeb : http://riodb01.ibase.aist.go.jp/sdbs/ (National Institute of Advanced 
Industrial Science and Technology, 11/28/09)
Fragmentation Patterns 
Esters (RCO2R’) 
Common fragmentation patterns include: 
 Loss of OR’ 
 peak at M+ - OR’ 
 Loss of R’ 
 peak at M+ - R’
Fragmentation Patterns 
M+ = 136 
77 105 
O 
C 
O CH3 
105 
77 
SDBSWeb : http://riodb01.ibase.aist.go.jp/sdbs/ (National Institute of Advanced 
Industrial Science and Technology, 11/28/09)
GC/MS 
GC is coupled to MS through an interface, in this 
complex mixtures of chemicals are separated, identified 
and quantified 
Compound to be analyzed should be volatile & thermally 
stable 
Sample solution is injected in to GC inlet there it is 
vapourised and swept on chromatographic column by 
carrier gas 
Sample flows through column and compounds in the 
sample mixture are separated by their interaction with 
column coating mixture and carrier gas
That separated components are passed through the MS 
inlet, into the MS and there the compounds are 
analysed and detected.
LC/MS 
Liquid chromatography-mass spectrometry is a 
technique that combines the physical separation 
capabilities of liquid chromatography (or HPLC) with 
the mass analysis capabilities of mass spectrometry . 
In this Sample solution is injected in to HPLC 
columns. 
These columns comprises of narrow stain less steel 
tube, packed with chemically modified silica particles.
Components eluting from the chromatographic 
column are then introduced to mass spectra via 
specialized interface. 
The most commonly used interfaces are electrospray 
ionization, atmospheric pressure chemical ionization 
interfaces.
INTERPRETATION OF METHANOL 
5 10 15 20 25 30 35 
120 
100 
80 
60 
40 
20 
0 
CHO⁺ 
CH3OH⁺ 
CH3⁺ 
CH2OH⁺ 
intensity m/e
INTERPRETATION OF PENTANE
? Why it is use Mass Spectroscopy ? 
85
APPLICATIONS 
Determination of molecular mass & ionization 
potential 
Determination of elemental composition 
To know the reaction kinetics 
To elucidate chemical structure of molecule 
Detection of impurities 
Used in drug metabolism studies 
Determination of bond dissociation energies 
Determination of isotopic composition of elements 
in molecule
REFERENCES 
Spectrometric identification of organic compounds 
by Robert.M, Silverstein. 
Instrumental methods of chemical analysis by 
Gurdeep, R.chatwal 
Organic spectroscopy by William kemp
Mass part 2 2

Mass part 2 2

  • 1.
  • 2.
    CONTENTS PRINCIPLE INSTRUMENTATION sampling handling system ion source, mass analysers, detectors TYPES IONS FRAGMENTAION GC/MS LC/MS INTERPRETATION APPLICATIONS
  • 3.
    PRINCIPLE It isalso called as positive ion spectra or line spectra Sample is bombarded with the high electron beam produce the positive ions. They travel in straight path When a maganatic field or electric field is applied then travels in curved path The fragments of different masses are seperated based on the radius of curvature. m/e α r2
  • 4.
    Instrumentation: Sample inletion source ion separator detector read out device
  • 6.
    1. SAMPLE HANDLINGSYSTEM:  Different types of samples having the different sample inlet systems  Heated inlet system:  gases and less volatile liquids, the liquids vaporized externally an then slowly introduced into the ionization source.  Direct inlet system:  Solids, nonvolatile liquids, unstable compounds directly introduced into the ion source.  Non volatile liquids : steroids, carbohydrates polymeric substances etc..
  • 7.
    2) ION SOURCE TYPES: 1.ELETRON IMPACT TECHNIQUE (EI) 2.CHEMICAL IONIZATION MS(CIMS) 3.FAST ATOM BOMBARDMENT MS (FAB-MS) 4.MATRIX ASSISTED LASER DESORPTION/IONIZATION MS (MALDI-MS)
  • 8.
    1) ELECTRON IMPACT: Electrons are produced from electrically heated tungsten. These electrons are accelerated by an electric field to an average electron beam energy of about 70ev. 8-12ev is sufficient to the ionisation of the sample.  the vapour of the sample anlaysed introduced at right angles to the electron beam. The sample pressure is about 10-6 – 10-7 torr Drawback: sample need to be vaporised. It may cause the thermal decomposition of the compound.
  • 10.
    2) CHEMICAL IONISATION: In this reagent gas is used normally methane On electron impact gives primary ion like CH4.+ CH3.+ These react with excess of CH4 to give secondary ions. CH4+e  CH4++2e CH4+e  CH3++H+2e CH4+ +CH4  CH5++CH3 CH3.+ +CH4  C2H5+ + H2 these secondary ions react with sample(M) CH5++M  CH4+MH+ C2H5++M  C2H4+MH+
  • 11.
    3) FAB: Fewμg of sample is dissolved in few μl of glycerol as matrix.  this solution is bombarded by a beam of fast xenon atoms. These fast atoms are prepared by accelerating xenon ions to an energy of 6-9 keV, these ions are transfered to the xenon gas ,where these ion get the electrons and forms the high energy xe atom.
  • 12.
    After the impactof fast xenon atoms into the solution, the sample is desorbed as ion by momentum transfer. The beam of sample ion is analyzed in mass spectrometer. ADVANTAGES:- • High resolution, rapid & simple • Tolerant to variations in sampling DISADVANTAGES:- • matrix also forms ions on bombardment which complicates the spectrum
  • 14.
    MATRIX ASSISTED LASERDESORPTION It is new ionization method, which shows accurate molecular weight information of compounds ranging in molecular weight from few thousands to several hundred thousand Daltons In this technique low concentration of the analyte is uniformly dispersed in a solid or liquid matrix deposited on the metal plate. The metal plate put in vaccum chamber and laser beam focussed on the sample. Then martix and the sample strongly absorb the laser radiation. Then the sample gets ionized.
  • 15.
    The most commontype of mass analyser used with the is the time of flight analyser Various types of matrix Nicotinic acid matrix - to analyte the proteins glycoproteins Ferulic acid matrix to analyte the proteins and Caffieic acid matrix oligonucleotides Succinic acid – to analyte the proteins.
  • 17.
    ELECTRON SPRAY IONISATION:. A solution of the sample pumped through a stainless steel capillary neddle. ↓ The resulting charged spray of fine droplets pass through the desolvating capillary, ↓  where evporation of the solvent attaining the charge to the molecules(desolvation) ↓ desolvation process continues through various pumping stages as the molecular ion travels towards the mass analyzer .
  • 18.
    It is oneof the most important technique for analysing the biomolecules, proteins and oligonucleotides having the molecular weights of 100000 Da or more
  • 19.
    MASS ANALYSERS: ionseperator SINGLE FOCUSSING ANALYSER DOUBLE FOCUSSING ANALYSER QUADRUPOLE ANALYSER TIME OF FLIGHT ANALYSER
  • 20.
  • 21.
     It hashorse shoe shaped glass tube which is evacuated, consists of sample inlet, electron bombarding source, accelerating plates on one end,& collector slit at other end. • At curvature of tube there is provision to apply electric/magnetic field • Sample in the form vapour is allowed through inlet and bombarded with electron beam at 70eV.
  • 22.
    It knocks offone electron from every molecule then they become +vely charged ion.  as these molecules become +ve charged, they are accelerated by accelerating plates and travel in straight path. By application of electric or magnetic field they travel in curved path & molecular ions are separated according to their masses and collected Different fragments fall on detector then mass spectrum is recorded
  • 23.
  • 24.
    It is useddifferentiate the small mass differences of the fragment. These provides the high resolution To achieve better focusing, energy has to be reduced before ions are allowed to enter the magnetic field and increase resolving power can be obtained two mass analysers in series.
  • 25.
  • 26.
    It consists of4 voltage carrying rods. The ions are pass from one end to another end During this apply the radiofrequency and voltage complex oscillations will takes place. Here the single positive charge ions shows the stable oscillation and the remaining the shows the unstable oscillations Mass scanning is carried out by varying each of the rf and voltage frequencies ratios keeping their ratios constant. Quadrupole ion storage (ion trap) It store the unsorted ions temporarily, they released to the detector by scanning the electric field.
  • 27.
    TIME OF FLIGHTANALYSER: In this type of analyser the sorting of ions is done in absence of magnetic field. The ions produced are acquiring different velocities depending on their masses Here the particles reach the detector in the order of the increasing order of their masses Here electron multiplier detector is used. The resolution power of this is 500-600
  • 29.
    MASS DETECTORS: TheFaraday cup detector:  the detector is very simple. The basic principle is that the incident ion strikes the dynode surface.  which emits electrons and induces a current which is amplified and recorded. The dynode electrode is made of a secondary emitting material like Cs,Sb, or BeO.
  • 30.
    Electron multiplier Thesensitvity of the detector is 1000times greater than the faradaycup detector Two types of detectors 1) series of dyanodes are used 2) single horne shaped dyanode. This is similar to the PMT.
  • 31.
    photomultiplier detector: Positiveions ↓ Strike dyanode ↓ Release electrons ↓ Fall on the phosphorent screen ↓ Realease the photons ↓ Transfer to PMT ↓ amplification
  • 32.
    Types of ionsproduced: 1)Molecular ion or parent ions 2)Fragment ion 3)Rearrangement ion 4)Metastable ions 5)Multiple charged ions 6)Isotope ions 7)Negative ions
  • 33.
    Molecular ion: Ifthe electron beam energy is excess than ionisation potential, electrons may be ejected from a lower lying molecular orbital. That type of ions are called molecular ion. The molecular ions are formed in the ground state, the yield of molecular ions can be increased by increasing the electron beam energy Fragment ion: CH3-CH2-Cl  CH3CH2Cl+ + 2e- CH3-CH2-Cl-  CH3 CH2+ + Cl- CH2CH2+ + HCl
  • 34.
    Rearrangement ions: Thisions re produced by rearrangement of hydrogen atoms one part of the ion to another part. Rearrangement process common in the unsaturated compounds Ex : Mc Lafferty rearrangement
  • 35.
    Metastable ions: Stableand unstable ion on fragmentation gives the sharp peaks, but intermediate stability ions gives the broad peaks Multiplecharged ions: Loss of two or more electrons from a molecule with out fragmentation produce double and triple charged ions M + e-  M+++ + 3e- M + e-  M++ + 4e-
  • 36.
    Isotope ions: Ifthe molecule having the F, Cl, Br, I, P produce the isotope peaks. Ex; methyl bromide CH3 Br79 gives one parent peak at m/e 94 CH3 Br81 gives one parent peak at m/e 96 Negative ions: In few cases only negative ions are formed during the fragmentation. These are formed by capture of the electron by the molecule during the collission.
  • 37.
    FRAGMENTATION The processof breaking molecules/ions into fragments is known as fragmentation. This can be seen in the form of peaks in mass spectra Methanol can be divided in to 4fragments CH3OH CH3OH⁺ +e¯ CH3OH CH3⁺ + OH¯ CH3OH CH2OH⁺+ H¯ CH3OH CHO⁺ + H2¯
  • 38.
    Benzamide C6H5CONH2 C6H5CONH2+ + 2e- -C6H5 -NH2 CONH2+ C6H5CO+ C6H5+ -CO
  • 39.
    FRAGMENTATION RULES: 1)Straight chain compound – relative height molecular ion peak great branched chain – height decreases 2)Molecular wt increases - height decreases
  • 40.
    3)Cleavage is favouredat branched carbon atoms, more branched more likely the cleavage 4) Cleavage occurs at alkyl substituted carbon atom, the more substituted, more likely is the cleavage. Consequence of increased stability of 3˚ carbonium ion over a 2˚ which in turn more stable than 1˚. [R C ]˙+ R˙ + +C
  • 41.
    5)In alkyl substitutedaromatic compounds, cleavage occur at bond β to the ring CH2 R CH2 CH2+ α β -R . + 6)Cleavage of c-x bond is difficult than c-c bond, if occur +ve charge is carried by carbon atom not by the hetero atom C C X+ C C+ + X˙
  • 42.
    7)Saturated ring losealkyl side chain at α bond. +ve charge tends to stay with ring fragment. R .+ + 8)Double bond favours allylic cleavage & gives resonance stabilized allylic carbonium ion. CH2=CH-CH2-R CH3+-CH=CH2
  • 43.
    FRAGMENTATION PATTERN Relativeabundance of ions of various masses is characteristic of particular compound under the specified conditions of excitation, is known as fragmentation pattern Strong peak of large mass number is taken as parent peak.
  • 44.
    Molecular peak ofa compound depends up on:- stability of molecular ion & stability of radical lost Stability of ion can be justified by stabilization of charge Increased order of stability is amines<alcohols<acids<esters<ethers<alkanes<ketones< cyclo-alkenes<alkenes< conjugated polyenes<aromatic and hetero aromatic compounds
  • 45.
     MCLAFFERTY REARRANGEMENT:- Rearrangement ions are fragments, they are formed due to the result of intermolecular atomic rearrangement during fragmentation To undergo this rearrangement the molecule must posses heteroatom, one double bond and hydrogen atom
  • 46.
    NITROGEN RULE:- Itis used for determination of molecular mass of compounds and its elemental composition Molecules having odd mass number contain odd number of nitrogen atoms. Molecules having even mass number contain even no of nitrogen atoms.
  • 47.
    1.Hydrocarbons •Hydrocarbons giveclusters of peaks. •Molecular ion peaks of very low abundance are observed for linear hydrocarbons. •For branched hydrocarbons give a low intensity at M+. •Intensity of (CnH2n+1) peaks decreases with increasing mass. 47
  • 48.
    General rules ofFragmentation Cleavage at branched carbon is favored due to higher stability at tertiary carbocation. H C > C > C H H > H C H H tert. sec. primary methyl 48
  • 49.
    CH3 1 23 4 5 6 7 8 + cleavage at 6-1 cleavage at 6-2 cleavage at 6-3 C4H9 C H C3H7 + CH3 C H C4H9 + CH3 C H C3H7 + (F1) (F2) (F3) H3C CH2 CH2 C H CH2 CH2 CH2 CH3 Eg. Produces three secondary cations, the most favored fragments at C-4 of 4- methyl octane. Note that C4 is common for fragments (F1)(F2) And (F3). 49
  • 50.
    General rules ofFragmentation Most important rule covers 70% of mass fragmentation. X C1 C2 R X CH a b Cleavage favored at b bond leaving positive charge on C1. 50
  • 51.
    H3C CH2 OCH2 CH3 H3C CH2 O CH2 CH3 CH2 O CH2 m/e = M-15 1. H3C 2. CH2 CH2 CH3 H3C CH2 N CH2 N C2H5 C3H7 H2C N C2H5 H2C H2C m-57 m-29 N CH2 C3H7 m-15 CH2 tert.amine B1 B3 B2 e.g.: A) (x) = O, N, S. 51
  • 52.
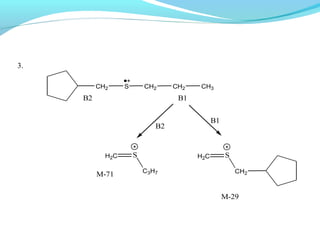
    3. CH2 SCH2 CH2 CH3 H2C S CH2 H2C S M-71 C3H7 M-29 B2 B1 B1 B2
  • 53.
    R CH2 CH2 + + m/e = ( M-R ) Stable benzylic cation + m/e = 91 Tropylium cation + b) Benzylic clevage b) m/e = 65 cyclopentadienyl cation -(x)- = 53
  • 54.
    O + OC CH + 3 m/e = M-R m/e = M-15 Simarly for x= N & S + Very common fragment for ester C. Allylic Cleavage M-31 = methyl ester M-45 = ethyl ester H2C R m/e = M-R stable allyliz cation O H3C CH3 R CH3 R C O i) ii) O R C OCH3 R C O m/e = M-31 + 54
  • 55.
    General rules ofFragmentation 4 Rule of elimination of small neutral molecule A) b - Elimination The high temperature and high vacuum are quite favourable for elimination reaction H C C OH C C + + H2O m/e M - 18 and hence i)Loss of water (H2O) for alcohols (M-18) is a prominent fragment. Tertiary alcohols lose the water so fast that in many cases M.I. Peak is absent. 55
  • 56.
    ii)Loss of Ammonia(NH3)(M-17) for primary amines and primary and secondary alkyl ammonia derivatives For C C NH C C + NH2 M - 46 C2H5 C2H5 H C C NH2 C C + M - 17 NH3 56
  • 57.
    iii)Elimination at Hydrogensulphide (H2S)[M-34] confirms thiols (mercaptons) H C C SH C C + H2S M - 34 iv)Elimination of Hydrogen cyanide (HCN)[M-27] confirms nitriles. H C C CN C C + HCN M - 27 57
  • 58.
    v)Elimination of Hydrogenhalide(HX), Common for tertiary halides. H C C X C C m/e = M - HX X = F, Cl, Br, I 58
  • 59.
    General rules ofFragmentation High temperature high vacuum highly favorable for(DA) common for all these six membered cyclic mono olefins. + O O O O + O O diene dienophile 59
  • 60.
    MCLAFFERTY REARRANGEMENT:- Rearrangementions are fragments, they are formed due to the result of intermolecular atomic rearrangement during fragmentation To undergo this rearrangement the molecule must posses heteroatom, one double bond and hydrogen atom
  • 61.
    MMccLLaaffffeerrttyy x CH2 CH2 H CH2 O C Y + YY  HH,, RR,, OOHH,, NNRR22 IIoonn SSttaabbiilliizzeedd bbyy rreessoonnaannccee x CH2 CH2 H CH2 O C Y -- CCHH22==CCHH22 x CH2 O C Y H x + CH2 O+ C Y H x CH2 O C+ Y H 61
  • 62.
    NITROGEN RULE:- Itis used for determination of molecular mass of compounds and its elemental composition Molecules having odd mass number contain odd number of nitrogen atoms. H3C Molecules having even mass number contain even no of nitrogen H3C atoms. CH3 H MMWW == 5599 ((oodddd)) MMWW == 5588 ((eevveenn)) IIoonniissaattiioonn [[MM++HH]] [[MM++HH]] MMWW == 6600 MMWW == 5599 CH3 N H3C CH3 62
  • 63.
  • 64.
    Fragmentation Patterns Alkanes: Fragmentation often splits off simple alkyl groups: Loss of methyl M+ - 15 Loss of ethyl M+ - 29 Loss of propyl M+ - 43 Loss of butyl M+ - 57 Branched alkanes tend to fragment forming the most stable carbocations. 64
  • 65.
    FMraassg spmectreumn otfa2t-mioethnyl pPenatatneterns
  • 66.
    Fragmentation Patterns H3CCH3 H3C CH3 H3C CH3 CH2 H3C CH3 H3C CH3 + H2C CH2 H2C H3C CH3 H3C CH3 + H2C + CH2 H2C CH2 CH CH2 CH2 Aklenes (olefins) CH2 CH2 m/z 69 mm//zz 6 973
  • 67.
  • 68.
    FArormaagticms maey nalstoahatvieo a npea kP ata mt/zt e= 7r7n fosr the benzene ring. NO2 77 M+ = 123 77
  • 69.
    FArlcaohgolms entation Patterns Fragment easily resulting in very small or missing parent ion peak May lose hydroxyl radical or water M+ - 17 or M+ - 18 Commonly lose an alkyl group attached to the carbinol carbon forming an oxonium ion. 1o alcohol usually has prominent peak at m/z = 31 corresponding to H2C=OH+
  • 70.
    Fragmentation Patterns MSfor 1-propanol M+-18 M+ CH3CH2CH2OH H2C OH SDBSWeb : http://riodb01.ibase.aist.go.jp/sdbs/ (National Institute of Advanced Industrial Science and Technology, 11/28/09)
  • 71.
    Fragmentation Patterns Ethers a-cleavage forming oxonium ion Loss of alkyl group forming oxonium ion Loss of alkyl group forming a carbocation
  • 73.
    Fragmentation Patterns Aldehydes(RCHO) Fragmentation may form acylium ion RC O Common fragments: M+ - 1 for M+ - 29 for RC O R (i.e. RCHO - CHO)
  • 74.
    Fragmentation Patterns Ketones O Fragmentation leads to formation of acylium ion:  Loss of R forming  Loss of R’ forming R'C O RC O RCR'
  • 75.
    FrMaSg fomr 2e-pnenttaantoinoenPatterns O CH3CCH2CH2CH3 CH3CH2CH2C O M+ CH3C O SDBSWeb : http://riodb01.ibase.aist.go.jp/sdbs/ (National Institute of Advanced Industrial Science and Technology, 11/28/09)
  • 76.
    Fragmentation Patterns Esters(RCO2R’) Common fragmentation patterns include:  Loss of OR’  peak at M+ - OR’  Loss of R’  peak at M+ - R’
  • 77.
    Fragmentation Patterns M+= 136 77 105 O C O CH3 105 77 SDBSWeb : http://riodb01.ibase.aist.go.jp/sdbs/ (National Institute of Advanced Industrial Science and Technology, 11/28/09)
  • 78.
    GC/MS GC iscoupled to MS through an interface, in this complex mixtures of chemicals are separated, identified and quantified Compound to be analyzed should be volatile & thermally stable Sample solution is injected in to GC inlet there it is vapourised and swept on chromatographic column by carrier gas Sample flows through column and compounds in the sample mixture are separated by their interaction with column coating mixture and carrier gas
  • 79.
    That separated componentsare passed through the MS inlet, into the MS and there the compounds are analysed and detected.
  • 80.
    LC/MS Liquid chromatography-massspectrometry is a technique that combines the physical separation capabilities of liquid chromatography (or HPLC) with the mass analysis capabilities of mass spectrometry . In this Sample solution is injected in to HPLC columns. These columns comprises of narrow stain less steel tube, packed with chemically modified silica particles.
  • 81.
    Components eluting fromthe chromatographic column are then introduced to mass spectra via specialized interface. The most commonly used interfaces are electrospray ionization, atmospheric pressure chemical ionization interfaces.
  • 82.
    INTERPRETATION OF METHANOL 5 10 15 20 25 30 35 120 100 80 60 40 20 0 CHO⁺ CH3OH⁺ CH3⁺ CH2OH⁺ intensity m/e
  • 83.
  • 85.
    ? Why itis use Mass Spectroscopy ? 85
  • 86.
    APPLICATIONS Determination ofmolecular mass & ionization potential Determination of elemental composition To know the reaction kinetics To elucidate chemical structure of molecule Detection of impurities Used in drug metabolism studies Determination of bond dissociation energies Determination of isotopic composition of elements in molecule
  • 87.
    REFERENCES Spectrometric identificationof organic compounds by Robert.M, Silverstein. Instrumental methods of chemical analysis by Gurdeep, R.chatwal Organic spectroscopy by William kemp