Gluconeogenesis

   Some tissues, such as brain, RBCs, kidney
    medulla, testes, embrionic tissues and exercising
    muscle require a continuous supply of glucose for
    metabolic energy.
    – The human brain requires over 120 gm of glucose per
      day.
   Mammalian cells make glucose from simpler
    precursors.
   Liver glycogen can meet these needs for only 10 to
    18 hours without dietary carbohydrate.
During a prolonged fast,

   Hepatic liver stores are depleted, glc is formed from
    other molecules, such as
        •   Lactate
        •   Pyruvate
        •   Glycerol
        •   Alpha keto acids


   The formation of glc from nonhexose precursors is
    called gluconeogenesis (formation of new sugar).
Pyruvate precursors

   The direct Glc reserves are sufficient to meet Glc needs
    for about a day!
   Gluconeogenic pathway makes Glc from pyruvate
    precursors.
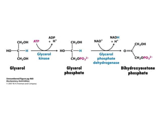
   Triacyl glycerol  Glycerol + Fatty acids
   Glycerol is a precursor of glc, glycerol enters glycolytic
    pathway as dihydroxyacetone phosphate.
Gluconeogenesis is NOT a reversal of glycolysis

   Several reactions MUST differ because of the
    irreversible steps.
        • HK (hexokinase)
        • PFK (phosphofructokinase)
        • PK (pyruvate kinase)
Let’s make Glc from pyruvate

 1. Carboxylation of pyruvate


 Pyruvate + CO2 + ATP + H2O  OA +ADP + Pi + 2H
       » Enzyme: Pyruvate carboxylase

 OA + GTP  PEP+ GDP + CO2
       » Enzyme: PEP-carboxykinase
Domain structure of pyruvate carboxylase
ATP grasp:
• Activates bicarbonate ions and transfers CO2 to the
  biotin domain.
• From there, CO2 is transferred to pyruvate.
Carboxylation of pyruvate



   Pyruvate carboxylase contains BIOTIN, which is
    covalently bound to the enzyme through lysine

        • Enzyme + CO2 + ATP-----> Carboxybiotin-enzyme
          +ADP +Pi
        • Carboxybiotin-enzyme + pyruvate------->OA +
          Enzyme

    – BIOTIN carries CO2...
Biotin is covalently attached group

   Biotin serves as a carrier for activated CO2.
    -amino group and carboxylate group of biotin are linked.
   CO2 is found mainly as HCO3 in our system.
   When Acetyl CoA is high, then biotin is carboxylated.
   The activated carboxyl group is transferred from
    carboxybiotin to pyruvate to form oxaloacetate.
2. Transport of OA to the cytoplasm

• Pyuvate carboxylase is a mitochondrial enzyme,
  whereas the other enzymes in gluconeogenesis are
  cytoplasmic.
• OA should be transported to the cytoplasm.
• How?
  – It is reduced to MALATE first and then transferred to
    the cytoplasm.
  – In the cytoplasm, it is reoxidized to OA.
3. Decarboxylation of cytoplasmic OA


   OA is decarboxylated and P-lated by PEP carboxykinase
    in the cytosol (PEP is made then!)
   The overall reaction catalyzed by the combined action of
    pyruvate carboxylase and PEP carboxykinase provides a
    pathway from Pyruvate  PEP.
   Therefore, once PEP is formed, it enters the reversed
    reactions of glycolysis until it reaches F-1,6 Bisphosphate!
4. Dephosphorylation of F-1,6BP


  Fructose 1,6-bisphosphate + H2O  F-6-P + Pi
       » Enzyme: Fructose1,6-bisphosphatase

     This enzyme plays an important role in regulation.
     It is inhibited by F 2,6 BisP, an allosteric modifier
      whose concentration is influenced by the levels of
      circulating glucagon.
     This enzyme is found in liver and kidney.
5. Generation of free Glc

Dephospharylation of Glc 6-P

Glc 6-P + H2O  D-Glc + Pi
     » Enzyme: Glc 6-phosphatase

   It is found in liver and kidney but not in muscle and brain.
   Thus, muscle and brain cannot make Glc by
    gluconeogenesis
   Type I glycogen storage disease results from an inherited
    deficiency of glc 6-phosphatase.
Freeing Glc

   The final step, freeing Glc, takes place in ER lumen where it
    is hydrolyzed to Glc by Glc 6-Phosphatase, a membrane
    bound enzyme.
   Calcium binding protein (SP) is necessary for phosphatase
    activity.
   Glc and Pi are shuttled back to the cytosol by a pair of
    transporters.
   The glucose transporter in the ER membrane is like those
    found in the plasma membrane.
Gluconeogenesis is energetically costly!
   The stoichiometry of gluconeogenesis is:
2 pruvate + 4 ATP + 2 GTP + 2 NADH + 6 H2O 
               Glc + 4 ADP + 2 GDP + 6 Pi + 2 NAD+ + 2 H+

   In contrast, the stoichiometry of reversal of glycolysis is:
2 pyruvate + 2 ATP + NADH + 2 H2O 
                       Glc + 2 ADP + 2 Pi + 2 NAD+ + 2 H+

   The difference is 4 ATP. This is needed to turn energetically
    unfavorable process to a favorable one!
Gluconeogenesis and glycolysis
are reciprocally regulated


    Both glycolysis and gluconeogenesis are highly exorgonic
     under cellular conditions so there is no thermodynamic
     barrier.
    But, amounts and activities of the distinctive enzymes of
     each pathway are controlled so that both pathways are not
     highly active at the same time.
Substrate cycles

                       F-6-P  F 1,6BisP
   A pair of reactions such as the above one is called
    “substrate cycle”
      There is also some cycling in irreversible reactions.
      “Imperfection” in metabolism?
      They are sometimes referred as “futile cycles”
        • Futile cycles amplify metabolic signals!
   The other potential biological role of substrate cycles is the
    generation of heat produced by the hydrolysis of ATP.
Lactate and alanine formed by contracting
muscle are used by other organs

   Lactate is a dead end in metabolism.
   Lactate should be converted to pyruvate.
   The plasma membranes of most cells are highly permeable
    to lactate and pyruvate; therefore, they easily diffuse to go
    to liver!
   Excess lactate enters the liver and is converted to pyruvate
    first and then to glucose.
        • Thus, the liver restores the level of glucose necessary for active
          muscle cells, which derive ATP from the glycolytic conversion of
          glucose into lactate. Contracting skeletal muscle supplies lactate to the
          liver, which uses it to make glucose.
        • These reactions constitute the CORI CYCLE.
LDH enzyme


   Lactate  Pyruvate by LDH (lactate dehydrogenase).

   The interconversion of pyruvate and lactate are done by
    different subunits of LDH. LDH is a tetramer.
     H  in the heart
     M  in the muscle
REGULATION
1. Control point: Pyruvate carboxylase
    Acetyl CoA is a + allosteric modulator for the pyruvate
     carboxylase enzyme.
     – Glc is made from pyruvate when there is a lot of Acetyl CoA
       (more Acetyl CoA than TCA cycle can handle)
     – Acetyl CoA inhibits the pyruvate dehydrogenase enzyme but
       stimulates the pyruvate carboxylase.


2. Control point: F 1,6 bisphoshatase reaction

3.Control point: F-2,6 bisphosphate
   Hormonal control
Hormonal Control

     The special role of the liver is to maintain constant
      blood glucose level and requires additional control
      mechanisms.
     When blood glucose decreases, glucagon increases and
      glucose is released.
     This hormonal regulation in the liver is mediated by
      fructose-2,6-bisphosphate, which is a allosteric effector
      for PFK-1, and F-1,6-bisphosphate
Role of F2,6BP in regulation of Glycolysis
          and Gluconeogenesis
What is F-2,6-BP?
   It is structurally related to F-1,6-BP.
   It is not an intermediate.
   It is a “regulator”
   F-2,6-BP activates PFK-1 and glycolysis.
   FBPase and PFK-2 are part of the same enzyme!
   An increase in glucagon (during starvation) leads to a
    decrease in F-2,6-BP overall which goes to a decrease in
    glycolysis, an increase in gluconeogenesis
   A decrease in glucagon (after a carbohydrate rich diet)
    leads to an increase in F-2,6-BP and an increase in
    glycolysis.
   Therefore, F-2,6-BP acts as an intracellular signal
    indicating “glucose abundant”.
Pathway integration
   Glycolysis and gluconeogenesis are coordinated in
    a tissue specific fashion

   Consider a sprinter
     Skeletal muscle  lactate will build up
     Cardiac muscle  lactate will be converted into
      pyruvate
     Liver  gluconeogenesis, a primary function of
      the liver, will take place to ensure that enough Glc
      is present in the blood for skeletal and cardiac
      muscle, as well as for other tissues.
Lec08 gluco neo

Lec08 gluco neo

  • 1.
    Gluconeogenesis  Some tissues, such as brain, RBCs, kidney medulla, testes, embrionic tissues and exercising muscle require a continuous supply of glucose for metabolic energy. – The human brain requires over 120 gm of glucose per day.  Mammalian cells make glucose from simpler precursors.  Liver glycogen can meet these needs for only 10 to 18 hours without dietary carbohydrate.
  • 2.
    During a prolongedfast,  Hepatic liver stores are depleted, glc is formed from other molecules, such as • Lactate • Pyruvate • Glycerol • Alpha keto acids  The formation of glc from nonhexose precursors is called gluconeogenesis (formation of new sugar).
  • 7.
    Pyruvate precursors  The direct Glc reserves are sufficient to meet Glc needs for about a day!  Gluconeogenic pathway makes Glc from pyruvate precursors.  Triacyl glycerol  Glycerol + Fatty acids  Glycerol is a precursor of glc, glycerol enters glycolytic pathway as dihydroxyacetone phosphate.
  • 9.
    Gluconeogenesis is NOTa reversal of glycolysis  Several reactions MUST differ because of the irreversible steps. • HK (hexokinase) • PFK (phosphofructokinase) • PK (pyruvate kinase)
  • 14.
    Let’s make Glcfrom pyruvate 1. Carboxylation of pyruvate Pyruvate + CO2 + ATP + H2O  OA +ADP + Pi + 2H » Enzyme: Pyruvate carboxylase OA + GTP  PEP+ GDP + CO2 » Enzyme: PEP-carboxykinase
  • 16.
    Domain structure ofpyruvate carboxylase ATP grasp: • Activates bicarbonate ions and transfers CO2 to the biotin domain. • From there, CO2 is transferred to pyruvate.
  • 17.
    Carboxylation of pyruvate  Pyruvate carboxylase contains BIOTIN, which is covalently bound to the enzyme through lysine • Enzyme + CO2 + ATP-----> Carboxybiotin-enzyme +ADP +Pi • Carboxybiotin-enzyme + pyruvate------->OA + Enzyme – BIOTIN carries CO2...
  • 18.
    Biotin is covalentlyattached group  Biotin serves as a carrier for activated CO2.  -amino group and carboxylate group of biotin are linked.  CO2 is found mainly as HCO3 in our system.  When Acetyl CoA is high, then biotin is carboxylated.  The activated carboxyl group is transferred from carboxybiotin to pyruvate to form oxaloacetate.
  • 22.
    2. Transport ofOA to the cytoplasm • Pyuvate carboxylase is a mitochondrial enzyme, whereas the other enzymes in gluconeogenesis are cytoplasmic. • OA should be transported to the cytoplasm. • How? – It is reduced to MALATE first and then transferred to the cytoplasm. – In the cytoplasm, it is reoxidized to OA.
  • 24.
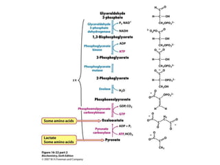
    3. Decarboxylation ofcytoplasmic OA  OA is decarboxylated and P-lated by PEP carboxykinase in the cytosol (PEP is made then!)  The overall reaction catalyzed by the combined action of pyruvate carboxylase and PEP carboxykinase provides a pathway from Pyruvate  PEP.  Therefore, once PEP is formed, it enters the reversed reactions of glycolysis until it reaches F-1,6 Bisphosphate!
  • 27.
    4. Dephosphorylation ofF-1,6BP Fructose 1,6-bisphosphate + H2O  F-6-P + Pi » Enzyme: Fructose1,6-bisphosphatase  This enzyme plays an important role in regulation.  It is inhibited by F 2,6 BisP, an allosteric modifier whose concentration is influenced by the levels of circulating glucagon.  This enzyme is found in liver and kidney.
  • 28.
    5. Generation offree Glc Dephospharylation of Glc 6-P Glc 6-P + H2O  D-Glc + Pi » Enzyme: Glc 6-phosphatase  It is found in liver and kidney but not in muscle and brain.  Thus, muscle and brain cannot make Glc by gluconeogenesis  Type I glycogen storage disease results from an inherited deficiency of glc 6-phosphatase.
  • 29.
    Freeing Glc  The final step, freeing Glc, takes place in ER lumen where it is hydrolyzed to Glc by Glc 6-Phosphatase, a membrane bound enzyme.  Calcium binding protein (SP) is necessary for phosphatase activity.  Glc and Pi are shuttled back to the cytosol by a pair of transporters.  The glucose transporter in the ER membrane is like those found in the plasma membrane.
  • 31.
    Gluconeogenesis is energeticallycostly!  The stoichiometry of gluconeogenesis is: 2 pruvate + 4 ATP + 2 GTP + 2 NADH + 6 H2O  Glc + 4 ADP + 2 GDP + 6 Pi + 2 NAD+ + 2 H+  In contrast, the stoichiometry of reversal of glycolysis is: 2 pyruvate + 2 ATP + NADH + 2 H2O  Glc + 2 ADP + 2 Pi + 2 NAD+ + 2 H+  The difference is 4 ATP. This is needed to turn energetically unfavorable process to a favorable one!
  • 32.
    Gluconeogenesis and glycolysis arereciprocally regulated  Both glycolysis and gluconeogenesis are highly exorgonic under cellular conditions so there is no thermodynamic barrier.  But, amounts and activities of the distinctive enzymes of each pathway are controlled so that both pathways are not highly active at the same time.
  • 34.
    Substrate cycles F-6-P  F 1,6BisP  A pair of reactions such as the above one is called “substrate cycle”  There is also some cycling in irreversible reactions.  “Imperfection” in metabolism?  They are sometimes referred as “futile cycles” • Futile cycles amplify metabolic signals!  The other potential biological role of substrate cycles is the generation of heat produced by the hydrolysis of ATP.
  • 38.
    Lactate and alanineformed by contracting muscle are used by other organs  Lactate is a dead end in metabolism.  Lactate should be converted to pyruvate.  The plasma membranes of most cells are highly permeable to lactate and pyruvate; therefore, they easily diffuse to go to liver!  Excess lactate enters the liver and is converted to pyruvate first and then to glucose. • Thus, the liver restores the level of glucose necessary for active muscle cells, which derive ATP from the glycolytic conversion of glucose into lactate. Contracting skeletal muscle supplies lactate to the liver, which uses it to make glucose. • These reactions constitute the CORI CYCLE.
  • 39.
    LDH enzyme  Lactate  Pyruvate by LDH (lactate dehydrogenase).  The interconversion of pyruvate and lactate are done by different subunits of LDH. LDH is a tetramer.  H  in the heart  M  in the muscle
  • 41.
    REGULATION 1. Control point:Pyruvate carboxylase  Acetyl CoA is a + allosteric modulator for the pyruvate carboxylase enzyme. – Glc is made from pyruvate when there is a lot of Acetyl CoA (more Acetyl CoA than TCA cycle can handle) – Acetyl CoA inhibits the pyruvate dehydrogenase enzyme but stimulates the pyruvate carboxylase. 2. Control point: F 1,6 bisphoshatase reaction 3.Control point: F-2,6 bisphosphate  Hormonal control
  • 48.
    Hormonal Control  The special role of the liver is to maintain constant blood glucose level and requires additional control mechanisms.  When blood glucose decreases, glucagon increases and glucose is released.  This hormonal regulation in the liver is mediated by fructose-2,6-bisphosphate, which is a allosteric effector for PFK-1, and F-1,6-bisphosphate
  • 50.
    Role of F2,6BPin regulation of Glycolysis and Gluconeogenesis
  • 51.
    What is F-2,6-BP?  It is structurally related to F-1,6-BP.  It is not an intermediate.  It is a “regulator”  F-2,6-BP activates PFK-1 and glycolysis.  FBPase and PFK-2 are part of the same enzyme!  An increase in glucagon (during starvation) leads to a decrease in F-2,6-BP overall which goes to a decrease in glycolysis, an increase in gluconeogenesis  A decrease in glucagon (after a carbohydrate rich diet) leads to an increase in F-2,6-BP and an increase in glycolysis.  Therefore, F-2,6-BP acts as an intracellular signal indicating “glucose abundant”.
  • 52.
    Pathway integration  Glycolysis and gluconeogenesis are coordinated in a tissue specific fashion  Consider a sprinter  Skeletal muscle  lactate will build up  Cardiac muscle  lactate will be converted into pyruvate  Liver  gluconeogenesis, a primary function of the liver, will take place to ensure that enough Glc is present in the blood for skeletal and cardiac muscle, as well as for other tissues.