Embed presentation
Downloaded 21 times



















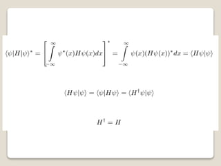
Hermitian operators represent physical variables in quantum mechanics. Physical variables must have real expectation values, which implies that the operators representing them are equal to their own Hermitian conjugate. Operators with this property are called Hermitian operators. The document goes on to define Hermitian operators and prove that their eigenvalues are real and their eigenfunctions are orthonormal.

















