Embed presentation
Download to read offline
![NPTEL – Physics – Mathematical Physics - 1
Lecture 20
Tutorials
1. Invert the following matrix,
1 1 1
𝐴 = (1 2 1)
1 1 3
2. Write 𝑏⃑⃗ as a linear combination of 𝑎⃑⃑⃑⃑1⃗ and 𝑎⃑⃑⃑⃑2⃗. 𝑏⃑⃗ = [3, 2], ⃑𝑎⃑⃑⃑1⃗ =
[4, 1], ⃑𝑎⃑⃑⃑2⃗ = [2, 5]
1 5
Ans: 𝐴⃗ = (𝑎⃑⃑⃑⃑1⃗, ⃑𝑎⃑⃑⃑2⃗) = [4
2] ; 𝐴−1 = [
1 5 − 2
18 −1 4
]
𝑦 = 𝐴−1𝑏⃑⃗ =
1
[ 18 −1 4 2
5 − 2 3
] [ ]
= 1
[11
18 5
]
𝑦1 =
18
, 𝑦2 =
18
11 5
[3
Page 16 of 17
Joint initiative of IITs and IISc – Funded by MHRD
2
] = ( ) [ ] + ( ) [ ]
3. 𝐴 = [
3 6
] and P = [ ]
4 − 2 1 2
3 4
a. Find 𝐵 = 𝑃−1𝐴𝑃
b. Verify 𝑇𝑟(𝐴) = 𝑇𝑟(𝐵), where Tr defines Trace of a matrix which means sum
of all the diagonal elements.
c. Verify 𝑑𝑒𝑡 (𝐵) = 𝑑𝑒𝑡 (𝐴).
−2 1
Ans: 1. 𝑃−1 = [3
2 2
− 1]
𝐵 = [3
−
1] [
3 6
] [ ]
−2 1
2 2
4 − 2 1 2
3 4
= [ 25 30
−27 − 15
]
2. 𝑇𝑟 (𝐴) = 𝑇𝑟 (𝐵) = 10.
3. 𝐷𝑒𝑡(𝐴) = 𝑑𝑒𝑡 (𝐵) = 30
11 4 5 2
18 1 18 5](https://image.slidesharecdn.com/lec20-231023100919-ae308e7b/75/lec20-ppt-1-2048.jpg)
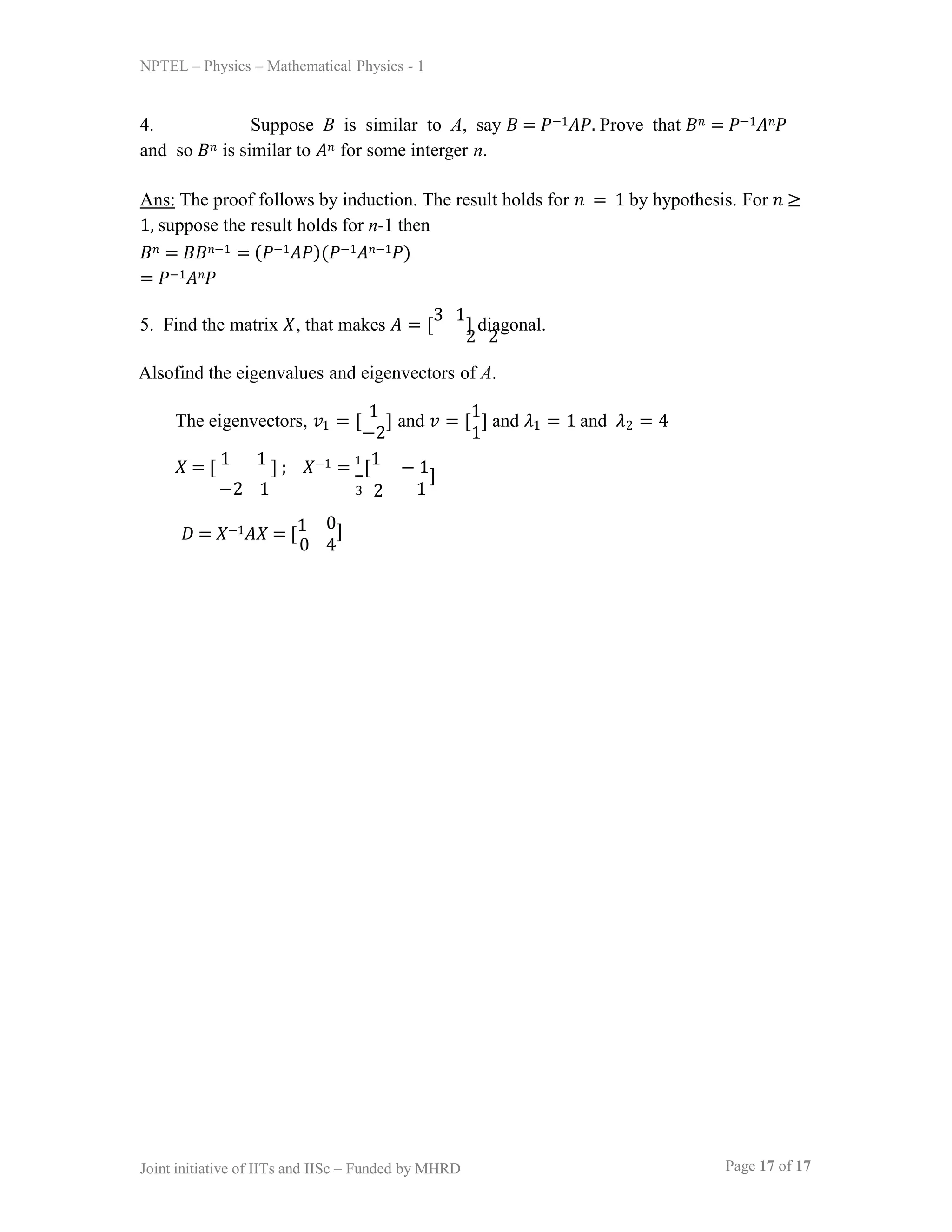
![NPTEL – Physics – Mathematical Physics - 1
4. Suppose B is similar to A, say 𝐵 = 𝑃−1𝐴𝑃. Prove that 𝐵𝑛 = 𝑃−1𝐴𝑛𝑃
and so 𝐵𝑛 is similar to 𝐴𝑛 for some interger n.
Ans: The proof follows by induction. The result holds for 𝑛 = 1 by hypothesis. For 𝑛 ≥
1, suppose the result holds for n-1 then
𝐵𝑛 = 𝐵𝐵𝑛−1 = (𝑃−1𝐴𝑃)(𝑃−1𝐴𝑛−1𝑃)
= 𝑃−1𝐴𝑛𝑃
5. Find the matrix 𝑋, that makes 𝐴 = [ ] diagonal.
3 1
2 2
Alsofind the eigenvalues and eigenvectors of A.
The eigenvectors, 𝑣 = [ ] and 𝑣 = [ ] and 𝜆 = 1 and 𝜆 = 4
1 1
1 1
−2 1 2
𝑋 = [ 1 1 ] ; 𝑋−1 = 1
[1
Page 17 of 17
Joint initiative of IITs and IISc – Funded by MHRD
−2 1
𝐷 = 𝑋−1𝐴𝑋 = [1
3 2
− 1]
1
0]
0 4](https://image.slidesharecdn.com/lec20-231023100919-ae308e7b/75/lec20-ppt-2-2048.jpg)

This document contains a series of tutorial problems related to matrices and linear algebra. Problem 1 asks to invert a 3x3 matrix. Problem 2 asks to write a vector as a linear combination of two other vectors. Problem 3 involves finding the inverse, trace, and determinant of related matrices. Problem 4 proves a property about powers of similar matrices. Problem 5 diagonalizes a 2x2 matrix and finds its eigenvalues and eigenvectors.
![NPTEL – Physics – Mathematical Physics - 1
Lecture 20
Tutorials
1. Invert the following matrix,
1 1 1
𝐴 = (1 2 1)
1 1 3
2. Write 𝑏⃑⃗ as a linear combination of 𝑎⃑⃑⃑⃑1⃗ and 𝑎⃑⃑⃑⃑2⃗. 𝑏⃑⃗ = [3, 2], ⃑𝑎⃑⃑⃑1⃗ =
[4, 1], ⃑𝑎⃑⃑⃑2⃗ = [2, 5]
1 5
Ans: 𝐴⃗ = (𝑎⃑⃑⃑⃑1⃗, ⃑𝑎⃑⃑⃑2⃗) = [4
2] ; 𝐴−1 = [
1 5 − 2
18 −1 4
]
𝑦 = 𝐴−1𝑏⃑⃗ =
1
[ 18 −1 4 2
5 − 2 3
] [ ]
= 1
[11
18 5
]
𝑦1 =
18
, 𝑦2 =
18
11 5
[3
Page 16 of 17
Joint initiative of IITs and IISc – Funded by MHRD
2
] = ( ) [ ] + ( ) [ ]
3. 𝐴 = [
3 6
] and P = [ ]
4 − 2 1 2
3 4
a. Find 𝐵 = 𝑃−1𝐴𝑃
b. Verify 𝑇𝑟(𝐴) = 𝑇𝑟(𝐵), where Tr defines Trace of a matrix which means sum
of all the diagonal elements.
c. Verify 𝑑𝑒𝑡 (𝐵) = 𝑑𝑒𝑡 (𝐴).
−2 1
Ans: 1. 𝑃−1 = [3
2 2
− 1]
𝐵 = [3
−
1] [
3 6
] [ ]
−2 1
2 2
4 − 2 1 2
3 4
= [ 25 30
−27 − 15
]
2. 𝑇𝑟 (𝐴) = 𝑇𝑟 (𝐵) = 10.
3. 𝐷𝑒𝑡(𝐴) = 𝑑𝑒𝑡 (𝐵) = 30
11 4 5 2
18 1 18 5](https://image.slidesharecdn.com/lec20-231023100919-ae308e7b/75/lec20-ppt-1-2048.jpg)
![NPTEL – Physics – Mathematical Physics - 1
4. Suppose B is similar to A, say 𝐵 = 𝑃−1𝐴𝑃. Prove that 𝐵𝑛 = 𝑃−1𝐴𝑛𝑃
and so 𝐵𝑛 is similar to 𝐴𝑛 for some interger n.
Ans: The proof follows by induction. The result holds for 𝑛 = 1 by hypothesis. For 𝑛 ≥
1, suppose the result holds for n-1 then
𝐵𝑛 = 𝐵𝐵𝑛−1 = (𝑃−1𝐴𝑃)(𝑃−1𝐴𝑛−1𝑃)
= 𝑃−1𝐴𝑛𝑃
5. Find the matrix 𝑋, that makes 𝐴 = [ ] diagonal.
3 1
2 2
Alsofind the eigenvalues and eigenvectors of A.
The eigenvectors, 𝑣 = [ ] and 𝑣 = [ ] and 𝜆 = 1 and 𝜆 = 4
1 1
1 1
−2 1 2
𝑋 = [ 1 1 ] ; 𝑋−1 = 1
[1
Page 17 of 17
Joint initiative of IITs and IISc – Funded by MHRD
−2 1
𝐷 = 𝑋−1𝐴𝑋 = [1
3 2
− 1]
1
0]
0 4](https://image.slidesharecdn.com/lec20-231023100919-ae308e7b/75/lec20-ppt-2-2048.jpg)