INTRODUCTION
 Glycobiology is the study of the roles of sugar in health and
disease
 Glycome is the entire complement of sugar, whether free or
present in more complex molecules of an organism
 Glyconomics is the comprehensive study of glycome, including,
genetic, physiologic, pathologic and other aspects
 Glycoproteins are proteins that contain oligosaccharide
chains(glycans) covalently attached to their polypeptide backbone
 Glycosylation is the enzymatic attachment of sugar to protein
 Glycation is the non enzymatic attachment of sugar to protein
 The carbohydrate content of glycoprotein ranges from 1% to
85% by weight
NOMENCLATURE
Glycoprotein, Proteoglycan, Glycosaminoglycan
 A glycoprotein is a compound containing carbohydrate (or
glycan) covalently linked to protein.
 The carbohydrate may be in the form of a monosaccharide,
disaccharide(s). oligosaccharide(s), or their derivatives (e.g.
sulfo- or phospho-substituted).
 One, a few, or many carbohydrate units may be present.
 Proteoglycans are a subclass of glycoproteins in which the
carbohydrate units are polysaccharides that contain amino
sugars.
 Such polysaccharides are also known
as glycosaminoglycans.
DIFFERENCES BETWEEN
GLYCOPROTEIN AND GAG’S
GLYCOPROTEINS GLYCOSAMINOGLYCANS
Length of carbohydrate chain
is short(2-10 sugar units)
Carbohydrate chain is long
No diglucosyl repeated units Diglucosyl repeated units are
present
Chains may or may not be
negatively charged
Chains are negatively charged
Carbohydrate contain is
variable(4-85%)
Carbohydrate contain is more
than 95%
Storage diseases are called
oligosaccharidosis
Storage diseases are called
mucopolysaccharidosis
Glycopeptides, glyco-amino-acids and glycosyl-
amino-acids
 A glycopeptide is a compound consisting of
carbohydrate linked to an oligopeptide composed
of L- and/or D-amino acids.
 A glyco-amino-acid is a saccharide attached to a
single amino acid by any kind of covalent bond.
 A glycosyl-amino- acid is a compound consisting of
saccharide linked through a glycosyl linkage (O-, N-
or S-) to an amino acid.
 (The hyphens are needed to avoid implying that the
carbohydrate is necessarily linked to the amino
group.)
Peptidoglycans.
 A peptidoglycan consists of a glycosaminoglycan
formed by alternating residues of D-glucosamine
and muramic acid
 The carboxyl group of the muramic acid is
commonly substituted by a peptide containing
residues of both L- and D-amino acids, whereas
that of L-talosaminuronic acid is substituted by a
peptide consisting of L-amino acids only.
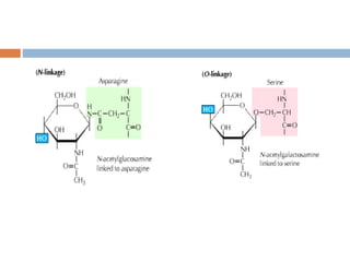
THERE ARE THREE MAJOR CLASSES
OF GLYCOPROTEINS
 Based on the nature of the linkage between their polypeptide chains and
their oligosaccharide chains, glycoproteins can be divided into three
major classes
(1) those containing an O-glycosidic linkage (ie, O-linked), involving the
hydroxyl side chain of serine or threonine and a sugar such as N-
acetylgalactosamine (GalNAc-Ser[Thr]);
(2) those containing an N-glycosidic linkage (ie, N-linked), involving the
amide nitrogen of asparagine and N-acetylglucosamine (GlcNAc- Asn);
and
(3) those linked to the carboxyl terminal amino acid of a protein via a
phosphoryl-ethanolamine moiety joined to an oligosaccharide (glycan),
which in turn is linked via glucosamine to phosphatidylinositol (PI). This
latter class is referred to as glycosylphosphatidylinositol- anchored (GPI-
anchored, or GPIlinked) glycoproteins.
Other minor classes of glycoproteins also exist.
N-glycosylation and O-glycosylation
 In N-glycosylation, the addition of sugar chains can
happen at the amide nitrogen on the side-chain of
the asparagine.
They can be of 2 types
1. Complex oligosaccharide- diverse group of sugar like
GlcNac, L-fucose, NANA are present
2. High mannose oligosaccharide- contain primarily
mannose
 In O- glycosylation, the addition of sugar chains can
happen on the hydroxyl oxygen on the side-chain
of hydroxy lysine, hydroxy proline, serine, or threonine.
FEATURES OF O-GLYCOSYLATION
 Involves a battery of membrane-bound glycoprotein
glycosyltransferases acting in a stepwise manner; each
transferase is generally specific for a particular type of
linkage.
• The enzymes involved are located in various
subcompartments of the Golgi apparatus.
• Each glycosylation reaction involves the appropriate
nucleotide-sugar.
• Dolichol-P-P-oligosaccharide is not involved, nor are
glycosidases; and the reactions are not inhibited by
tunicamycin.
• O-Glycosylation occurs post translationally at certain Ser
and Thr residues
FEATURES OF N-GLYCOSYLATION
 The oligosaccharide Glc3Man9(GIcNAc)2 is transferred from dolichol-
P-P-oligosaccharide in a reaction catalyzed by oligosaccharide:protein
transferase, which is inhibited by tunicamycin.
• Transfer can occur cotranslationally in the endoplasmic reticulum.
• The protein-bound oligosaccharide is then partially processed by
glucosidases and mannosidases; if no additional sugars are added, this
results in a high-mannose chain.
• If processing occurs down to the core heptasaccharide (Man5[GlcNAc]2),
complex chains are synthesized by the addition of GlcNAc, removal of
two Man, and the stepwise addition of individual sugars in reactions
catalyzed by specific transferases (eg, GlcNAc, Gal, NeuAc transferases)
that employ appropriate nucleotide sugars.
Phospho-serine glycosylation
 Xylose, fucose, mannose, and GlcNAc phospho-serine
glycans have been reported in the literature. Fucose
and GlcNAc have been found only in Dictyostelium
discoideum, mannose in Leishmania mexicana, and
xylose in Trypanosoma cruzi.
 Mannose has recently been reported in a vertebrate,
the mouse, Mus musculus, on the cell-surface
laminin receptor alpha dystroglycan.
 It has been suggested this rare finding may be linked
to the fact that alpha dystroglycan is highly conserved
from lower vertebrates to mammals
C-mannosylation
 A mannose sugar is added to the first tryptophan residue
in the sequence W-X-X-W (W indicates tryptophan; X is
any amino acid).
 Thrombospondins are one of the most commonly C-
modified proteins, although this form of glycosylation
appears elsewhere as well.
 C-mannosylation is unusual because the sugar is linked to
a carbon rather than a reactive atom such
as nitrogen or oxygen.
 Recently, the first crystal structure of a protein containing
this type of glycosylation has been determined - that of
human complement component 8, PDB ID 3OJY
BIOMEDICAL IMPORTANCE
 Almost all the plasma proteins of humans—except albumin—are
glycoprotein.
 Many proteins of cellular membranes contain substantial amounts of
carbohydrate.
 A number of the blood group substances are glycoproteins, whereas
others are glycosphingolipids.
 Certain hormones are glycoprotein.
 Hormones that are glycoprotein include:
1. Follicle-stimulating hormone
2. Luteinizing hormone
3. Thyroid-stimulating hormone
4. Human chorionic gonadotropin
5. Alpha-fetoprotein
6. Erythropoietin (EPO)
 A major problem in cancer is metastasis, the
phenomenon whereby cancer cells leave their tissue
of origin (eg, the breast), migrate through the
bloodstream to some distant site in the body (eg, the
brain), and grow there in an unregulated manner,
with catastrophic results for the affected individual.
 Many cancer researchers think that alterations in the
structures of glycoproteins and other glyco conjugates
on the surfaces of cancer cells are important in the
phenomenon of metastasis
FUNCTIONS OF GLYCOPROTEINS
Function Glycoproteins
Structural molecule Collagens
Lubricant and protective agent Mucins
Transport molecule Transferrin, ceruloplasmin
Immunologic molecule
Immunoglobins, histocompatibi
lity antigens
Hormone
Human chorionic
gonadotropin (HCG), thyroid-
stimulating hormone (TSH)
Enzyme
Various, e.g.,
alkaline phosphatase
Cell attachment-recognition site
Various proteins involved in cell–cell
(e.g., sperm–oocyte), virus–cell,
bacterium–cell, and hormone–cell
interactions
Antifreeze protein
Certain plasma proteins of coldwater
fish
Interact with specific carbohydrates
Lectins, selectins (cell adhesion
lectins), antibodies
Receptor
Various proteins involved in hormone
and drug action
Affect folding of certain proteins Calnexin, calreticulin
Regulation of development
Notch and its analogs, key proteins in
development
Hemostasis (and thrombosis)
Specific glycoproteins on the surface
membranes of platelets
SUGARS IN HUMAN
GLYCOPROTEIN
 200 monosaccharides are found in nature, however
only 8 are commonly found in oligosaccharide chains
of glycoproteins
 N-Acetylneuramic acid(NeuAc) is usually found at
terminal of oligosaccharide chain, attached to
subterminal galactose(Gal) or N-
acetylgalactosamine(Gal-Nac) residue
 The other sugars are found in more internal positions
 Sulphate is often found in glycoproteins, usually
attached to Gal, GalNac, or GlcNac
PRINCIPLE SUGARS FOUND IN
GLYCOPROTEINS
Sugar Type Abbreviation
β-D-Glucose Hexose Glc
β-D-Galactose Hexose Gal
β-D-Mannose Hexose Man
α-L-Fucose Deoxyhexose Fuc
N-Acetylgalactosamine Aminohexose GalNAc
N-Acetylglucosamine Aminohexose GlcNAc
N-Acetylneuraminic acid
Aminononulosonic acid
(Sialic acid)
NeuNAc
Xylose Pentose Xyl
SOME FEATURES OF MUCIN
 Found in secretions of the gastrointestinal,
respiratory, and reproductive tracts and also in
membranes of various cells.
• Exhibit high content of O-glycan chains, usually
containing NeuAc.
• Contain repeating amino acid sequences rich in
serine, threonine, and proline.
• Extended structure contributes to their high
viscoelasticity.
• Form protective physical barrier on epithelial
surfaces, are involved in cell-cell interactions, and
may contain or mask certain surface antigens.
EXO- & ENDOGLYCOSIDASES FACILITATE
STUDY OF GLYCOPROTEINS
 A number of glycosidases of defined specificity have proved useful
in examining structural and functional aspects of
glycoproteins.These enzymes act at either external
(exoglycosidases) or internal (endoglycosidases) positions of
oligosaccharide chains.
 Examples of exoglycosidases are neuraminidases and
galactosidases; their sequential use removes terminal NeuAc and
subterminal Gal residues from most glycoproteins.
 Endoglycosidases F and H are examples of the latter class; these
enzymes cleave the oligosaccharide chains at specific GlcNAc
residues close to the polypeptide
 A glycoprotein can be treated with one or more of the above
glycosidases to analyze the effects on its biologic behavior of
removal of specific sugars.
Some glycosidases used to study the
structure and function of glycoproteins
Enzymes Type
Neuraminidases Exoglycosidase
Galactosidases Exo- or endoglycosidase
Endoglycosidase F Endoglycosidase
Endoglycosidase H Endoglycosidase
LECTINS CAN BE USED TO
PURIFY GLYCOPROTEINS
& TO PROBE THEIR FUNCTIONS
 Lectins are carbohydrate-binding proteins that agglutinate cells or
precipitate glycoconjugates;
 a number of lectins are themselves glycoproteins.
 Immunoglobulins that react with sugars are not considered
lectins.
 Lectins contain at least two sugar-binding sites; proteins with a
single sugar-binding site will not agglutinate cells or precipitate
glycoconjugates.
 The specificity of a lectin is usually defined by the sugars that are
best at inhibiting its ability to cause agglutination or precipitation.
 Enzymes, toxins, and transport proteins can be classified as
lectins if they bind carbohydrate
Some functions of the
oligosaccharide chains of glycoproteins
 Modulate physicochemical properties, eg, solubility,
viscosity, charge, conformation, denaturation, and
binding sites for bacteria and viruses
• Protect against proteolysis, from inside and outside of cell
• Affect proteolytic processing of precursor proteins to
smaller products
• Are involved in biologic activity, eg, of human chorionic
gonadotropin (hCG)
• Affect insertion into membranes, intracellular migration,
sorting and secretion
• Affect embryonic development and differentiation
• May affect sites of metastases selected by cancer cells
Some important methods used to
study glycoproteins.
Method Use
Periodic acid-Schiff stain
Detects glycoproteins as pink bands
after electrophoretic separation.
Incubation of cultured cells with glycoproteins
asradioactive decay bands
Leads to detection of a radioactive sugar after
electrophoretic separation.
Treatment with appropriate endo-
or exoglycosidase orphospholipases
Resultant shifts in electrophoretic migration
help distinguish among proteins with N-glycan,
O-glycan, or GPI linkages and also between
high mannose and complex N-glycans.
Agarose-lectin column chromatography, lectin
affinity chromatography
To purify glycoproteins or glycopeptides that
bind the particular lectin used.
Lectin affinity electrophoresis
Resultant shifts in electrophoretic migration
help distinguish and characterize glycoforms
i.e. variants of a glycoprotein differing in
carbohydrate.
Compositional analysis following
acid hydrolysis
Identifies sugars that the glycoprotein contains
and their stoichiometry.
Method use
Mass spectrometry
Provides information on molecular
mass, composition, sequence, and
sometimes branching of a glycan
chain.
NMR spectroscopy
To identify specific sugars, their
sequence, linkages, and the anomeric
nature of glycosidic chain.
Dual Polarisation Interferometry
Measures the mechanisms underlying
the biomolecular interactions,
including reaction rates, affinities and
associated conformational changes.
Methylation (linkage) analysis To determine linkage between sugars.
Amino acid or cDNA sequencing
Determination of amino acid
sequence.
Three inhibitors of enzymes involved in the
glycosylation of glycoproteins and their sites of action
Inhibitor Site of Action
Tunicamycin Inhibits GlcNAc-P transferase, the
enzyme
catalyzing addition of GlcNAc to
dolichol-P, the first step in the
biosynthesis of oligosaccharide-P-P-
dolichol
Deoxynojirimycin Inhibitor of glucosidases I and II
Swainsonine Inhibitor of mannosidase II
Glycoproteins Are Important
in Fertilization
 To reach the plasma membrane of an oocyte, a sperm has to traverse the
zona pellucida (ZP), a thick, transparent, noncellular envelope that
surrounds the oocyte.
 The zona pellucida contains three glycoproteins of interest, ZP1–3.
 Of particular note is ZP3, an O-linked glycoprotein that functions as a
receptor for the sperm.
 A protein on the sperm surface, possibly galactosyl transferase, interacts
specifically with oligosaccharide chains of ZP3; this interaction, by
transmembrane signaling, induces the acrosomal reaction, in which
enzymes such as proteases and hyaluronidase and other contents of the
acrosome of the sperm are released
 Liberation of these enzymes helps the sperm to pass through the zona
pellucida and reach the plasma membrane (PM) of the oocyte
Selectins Play Key Roles in Inflammation
 Leukocytes play important roles in many inflammatory and
immunologic phenomena.
 The first steps in many of these phenomena are interactions
between circulating leukocytes and endothelial cells prior to
passage of the former out of the circulation.
 Work done to identify specific molecules on the surfaces of the
cells involved in such interactions has revealed that leukocytes
and endothelial cells contain on their surfaces specific lectins,
called selectins
 Selectins are single-chain Ca2+-binding transmembrane proteins
that contain a number of domains.
 Their amino terminal ends contain the lectin domain, which is
involved in binding to specific carbohydrate ligands
Inherited Diseases
 I-cell disease, or leroy disease
 I-Cell disease is a severe and rare genetic disease,
inherited in an autonomic recessive manner and
caused by the lack of Golgi GlcNAc
phosphotransferase
 Clinical features.
 Typical patients present with mental retardation,
coarse facial features with gingival hyperplasia,
and short-trunk dwarfism; they generally die in
the first decade of life
Summary of the causation of I-cell
disease (MIM 252500)
Mutations in DNA
Mutant GlcNAc phosphotransferase
Lack of normal transfer of GlcNAc 1-P
to specific mannose residues of certain enzymes
destined for lysosomes
These enzymes consequently lack Man 6-P
and are secreted from cells (eg, into the plasma)
rather than targeted to lysosomes
Lysosomes are thus deficient in certain hydrolases, do
not function properly, and accumulate partly digested
cellular material, manifesting as inclusion bodies
CHILD WITH I CELL DISEASE
LACK OF ENZYME
DEFICIENCY
Congenital disorders of glycosylation
Another newly delineated group of carbohydrate-related genetic diseases
is termed congenital disorders of glycosylation (CDG; previously known
as carbohydrate-deficient glycoprotein syndrome).
 Two types are described, based on the enzymatic defect: type I
corresponds to the CDG that involve enzymatic steps up to the
assembling of the glycoprotein; type II are the CDG in which processing
is involved.
 The most common one is CDG Ia (>300 patients worldwide), which is
attributable to a deficiency in cytosolic phosphomanno mutase activity in
the metabolism of mannose.
Clinical features.
 CDG other than type Ib are multisystemic disorders involving
neurological dysfunction.
 CDG Ia infants have a typical morphology with abnormal distribution of
subcutaneous fat and inverted nipples.
Leukocyte-adhesion deficiency
type ii
Leukocyte-adhesion deficiency type II (LAD II) is a rare
severe immunological disease.
Clinical features
 LAD II is clinically similar to the well-described LAD I, in
that is also involves severe mental retardation, short
stature, and dysmorphic features.
 The two syndromes differ in the molecular basis of their
adhesion defects.
 LAD I is caused by a deficiency in the CD18 integrin-
adhesion molecule, whereas LAD II neutrophils are
devoid of sialyl Lewis x, which is a ligand for the selectin
family.
Hereditary erythroblastic multinuclearity with a
positive acidified serum test
Hereditary erythroblastic multinuclearity with a positive
acidified serum test (HEMPAS), also called congenital
dyserythropoietic anemia type II, is a rare autosomal
recessive disorder caused by membrane abnormality, with
>300 known patients, and is a multifactorial disease.
Clinical features.
Congenital dyserythropoietic anemia type II patients
suffer from
 a long-life anemia,
 hepatosplenomegaly,
 liver hemosiderosis, and
 cirrhosis.
Wiskott-aldrich syndrome
Wiskott-Aldrich syndrome (WAS) is an X-linked, rare
disease characterized by eczema, thrombocytopenia, and
immunodeficiency.
Clinical features.
 The clinical features begin early in life and include
recurrent infections, bleeding, and eczema.
 The prognosis is grave.
 Circulating platelets are decreased in number and size.
 IgM concentrations usually are below normal, IgG
concentrations are normal, and IgA and IgE
concentrations are high.
 Monoclonal gammopathy is common.
Glycoproteinoses
The common feature of these diseases is the genetic
deficiency of any one of the lysosomal glycosidases
involved in the catabolism pathway of glycoproteins
(single-entity incidence between 1 in 100 000 and 1 in
250 000).
Clinical features.
 Most of these diseases are characterized by different
clinical phenotypes, depending the age of the patient.
 The clinical feature in the infantile form is most
often dominated by neurologic symptoms.
 Retinal abnormalities are frequent.
PAROXSMAL NOCTURNAL
HEMOGLOBINURIA(PNH)
 Acquired mild anaemia with presence of Hb in
urine due to hemolysis of RBC, particularly in
sleep
 Basic defect of PNH is somatic mutation of PIG-
A(phosphatidylinositol glycan class A) gene
 Product of this gene is enzyme that links PIG to
GPI structure
 Diagnosis is by HAM’s TEST- RBC are more
sensitive to hemolysis in normal serum acidified to
pH 6.2
CONGENITAL MUSCULAR
DYSTROPHY
 Defect in synthesis of glycan in protein alpha-
dystroglycan(ALPHA-DG)
RHEUMATOID ARTHRITIS
 Associated with an alteration in glycosylation of
circulating IgG molecules
 They lack galactose in their Fc regions and
terminate in GlcNAc
VIRAL DISEASES
 (1) The influenza virus possesses a neuraminidase
that plays a key role in elution of newly
synthesized progeny from infected cells. If this
process is inhibited, spread of the virus is
markedly diminished. Inhibitors of this enzyme
are now available for use in treating patients with
influenza.
 (2) HIV-1, causative agent of AIDS, attaches to
cells via one of its surface glycoproteins, gp120
and gp41.
Advanced glycation end-product
 An advanced glycation end-product (AGE) is the result
of a chain of chemical reactions after an
initial glycation reaction.
 The intermediate products are known, variously,
as Amadori, Schiff base and Maillard products, named
after the researchers who first described them.
 AGEs may be less, or more, reactive than the initial
sugars they were formed from.
 They are absorbed by the body during digestion with
about 30% efficiency
 Many cells in the body (for example, endothelial
cells, smooth muscle, and cells of the immune
system) from tissue such as lung, liver, kidney, and
peripheral blood bear the Receptor for Advanced
Glycation End-products (RAGE) that, when binding
AGEs, contributes to age- and diabetes-related
chronic inflammatory diseases such
as atherosclerosis, asthma, arthritis, myocardial
infarction, nephropathy, retinopathy, periodontitis a
nd neuropathy
 They are also believed to play a causative role in the
vascular complications of diabetes mellitus.
THANK
YOU

Glycoproteins

  • 1.
    INTRODUCTION  Glycobiology isthe study of the roles of sugar in health and disease  Glycome is the entire complement of sugar, whether free or present in more complex molecules of an organism  Glyconomics is the comprehensive study of glycome, including, genetic, physiologic, pathologic and other aspects  Glycoproteins are proteins that contain oligosaccharide chains(glycans) covalently attached to their polypeptide backbone  Glycosylation is the enzymatic attachment of sugar to protein  Glycation is the non enzymatic attachment of sugar to protein  The carbohydrate content of glycoprotein ranges from 1% to 85% by weight
  • 2.
    NOMENCLATURE Glycoprotein, Proteoglycan, Glycosaminoglycan A glycoprotein is a compound containing carbohydrate (or glycan) covalently linked to protein.  The carbohydrate may be in the form of a monosaccharide, disaccharide(s). oligosaccharide(s), or their derivatives (e.g. sulfo- or phospho-substituted).  One, a few, or many carbohydrate units may be present.  Proteoglycans are a subclass of glycoproteins in which the carbohydrate units are polysaccharides that contain amino sugars.  Such polysaccharides are also known as glycosaminoglycans.
  • 3.
    DIFFERENCES BETWEEN GLYCOPROTEIN ANDGAG’S GLYCOPROTEINS GLYCOSAMINOGLYCANS Length of carbohydrate chain is short(2-10 sugar units) Carbohydrate chain is long No diglucosyl repeated units Diglucosyl repeated units are present Chains may or may not be negatively charged Chains are negatively charged Carbohydrate contain is variable(4-85%) Carbohydrate contain is more than 95% Storage diseases are called oligosaccharidosis Storage diseases are called mucopolysaccharidosis
  • 4.
    Glycopeptides, glyco-amino-acids andglycosyl- amino-acids  A glycopeptide is a compound consisting of carbohydrate linked to an oligopeptide composed of L- and/or D-amino acids.  A glyco-amino-acid is a saccharide attached to a single amino acid by any kind of covalent bond.  A glycosyl-amino- acid is a compound consisting of saccharide linked through a glycosyl linkage (O-, N- or S-) to an amino acid.  (The hyphens are needed to avoid implying that the carbohydrate is necessarily linked to the amino group.)
  • 5.
    Peptidoglycans.  A peptidoglycanconsists of a glycosaminoglycan formed by alternating residues of D-glucosamine and muramic acid  The carboxyl group of the muramic acid is commonly substituted by a peptide containing residues of both L- and D-amino acids, whereas that of L-talosaminuronic acid is substituted by a peptide consisting of L-amino acids only.
  • 6.
    THERE ARE THREEMAJOR CLASSES OF GLYCOPROTEINS  Based on the nature of the linkage between their polypeptide chains and their oligosaccharide chains, glycoproteins can be divided into three major classes (1) those containing an O-glycosidic linkage (ie, O-linked), involving the hydroxyl side chain of serine or threonine and a sugar such as N- acetylgalactosamine (GalNAc-Ser[Thr]); (2) those containing an N-glycosidic linkage (ie, N-linked), involving the amide nitrogen of asparagine and N-acetylglucosamine (GlcNAc- Asn); and (3) those linked to the carboxyl terminal amino acid of a protein via a phosphoryl-ethanolamine moiety joined to an oligosaccharide (glycan), which in turn is linked via glucosamine to phosphatidylinositol (PI). This latter class is referred to as glycosylphosphatidylinositol- anchored (GPI- anchored, or GPIlinked) glycoproteins. Other minor classes of glycoproteins also exist.
  • 7.
    N-glycosylation and O-glycosylation In N-glycosylation, the addition of sugar chains can happen at the amide nitrogen on the side-chain of the asparagine. They can be of 2 types 1. Complex oligosaccharide- diverse group of sugar like GlcNac, L-fucose, NANA are present 2. High mannose oligosaccharide- contain primarily mannose  In O- glycosylation, the addition of sugar chains can happen on the hydroxyl oxygen on the side-chain of hydroxy lysine, hydroxy proline, serine, or threonine.
  • 9.
    FEATURES OF O-GLYCOSYLATION Involves a battery of membrane-bound glycoprotein glycosyltransferases acting in a stepwise manner; each transferase is generally specific for a particular type of linkage. • The enzymes involved are located in various subcompartments of the Golgi apparatus. • Each glycosylation reaction involves the appropriate nucleotide-sugar. • Dolichol-P-P-oligosaccharide is not involved, nor are glycosidases; and the reactions are not inhibited by tunicamycin. • O-Glycosylation occurs post translationally at certain Ser and Thr residues
  • 10.
    FEATURES OF N-GLYCOSYLATION The oligosaccharide Glc3Man9(GIcNAc)2 is transferred from dolichol- P-P-oligosaccharide in a reaction catalyzed by oligosaccharide:protein transferase, which is inhibited by tunicamycin. • Transfer can occur cotranslationally in the endoplasmic reticulum. • The protein-bound oligosaccharide is then partially processed by glucosidases and mannosidases; if no additional sugars are added, this results in a high-mannose chain. • If processing occurs down to the core heptasaccharide (Man5[GlcNAc]2), complex chains are synthesized by the addition of GlcNAc, removal of two Man, and the stepwise addition of individual sugars in reactions catalyzed by specific transferases (eg, GlcNAc, Gal, NeuAc transferases) that employ appropriate nucleotide sugars.
  • 11.
    Phospho-serine glycosylation  Xylose,fucose, mannose, and GlcNAc phospho-serine glycans have been reported in the literature. Fucose and GlcNAc have been found only in Dictyostelium discoideum, mannose in Leishmania mexicana, and xylose in Trypanosoma cruzi.  Mannose has recently been reported in a vertebrate, the mouse, Mus musculus, on the cell-surface laminin receptor alpha dystroglycan.  It has been suggested this rare finding may be linked to the fact that alpha dystroglycan is highly conserved from lower vertebrates to mammals
  • 12.
    C-mannosylation  A mannosesugar is added to the first tryptophan residue in the sequence W-X-X-W (W indicates tryptophan; X is any amino acid).  Thrombospondins are one of the most commonly C- modified proteins, although this form of glycosylation appears elsewhere as well.  C-mannosylation is unusual because the sugar is linked to a carbon rather than a reactive atom such as nitrogen or oxygen.  Recently, the first crystal structure of a protein containing this type of glycosylation has been determined - that of human complement component 8, PDB ID 3OJY
  • 13.
    BIOMEDICAL IMPORTANCE  Almostall the plasma proteins of humans—except albumin—are glycoprotein.  Many proteins of cellular membranes contain substantial amounts of carbohydrate.  A number of the blood group substances are glycoproteins, whereas others are glycosphingolipids.  Certain hormones are glycoprotein.  Hormones that are glycoprotein include: 1. Follicle-stimulating hormone 2. Luteinizing hormone 3. Thyroid-stimulating hormone 4. Human chorionic gonadotropin 5. Alpha-fetoprotein 6. Erythropoietin (EPO)
  • 15.
     A majorproblem in cancer is metastasis, the phenomenon whereby cancer cells leave their tissue of origin (eg, the breast), migrate through the bloodstream to some distant site in the body (eg, the brain), and grow there in an unregulated manner, with catastrophic results for the affected individual.  Many cancer researchers think that alterations in the structures of glycoproteins and other glyco conjugates on the surfaces of cancer cells are important in the phenomenon of metastasis
  • 16.
    FUNCTIONS OF GLYCOPROTEINS FunctionGlycoproteins Structural molecule Collagens Lubricant and protective agent Mucins Transport molecule Transferrin, ceruloplasmin Immunologic molecule Immunoglobins, histocompatibi lity antigens Hormone Human chorionic gonadotropin (HCG), thyroid- stimulating hormone (TSH) Enzyme Various, e.g., alkaline phosphatase
  • 17.
    Cell attachment-recognition site Variousproteins involved in cell–cell (e.g., sperm–oocyte), virus–cell, bacterium–cell, and hormone–cell interactions Antifreeze protein Certain plasma proteins of coldwater fish Interact with specific carbohydrates Lectins, selectins (cell adhesion lectins), antibodies Receptor Various proteins involved in hormone and drug action Affect folding of certain proteins Calnexin, calreticulin Regulation of development Notch and its analogs, key proteins in development Hemostasis (and thrombosis) Specific glycoproteins on the surface membranes of platelets
  • 19.
    SUGARS IN HUMAN GLYCOPROTEIN 200 monosaccharides are found in nature, however only 8 are commonly found in oligosaccharide chains of glycoproteins  N-Acetylneuramic acid(NeuAc) is usually found at terminal of oligosaccharide chain, attached to subterminal galactose(Gal) or N- acetylgalactosamine(Gal-Nac) residue  The other sugars are found in more internal positions  Sulphate is often found in glycoproteins, usually attached to Gal, GalNac, or GlcNac
  • 20.
    PRINCIPLE SUGARS FOUNDIN GLYCOPROTEINS Sugar Type Abbreviation β-D-Glucose Hexose Glc β-D-Galactose Hexose Gal β-D-Mannose Hexose Man α-L-Fucose Deoxyhexose Fuc N-Acetylgalactosamine Aminohexose GalNAc N-Acetylglucosamine Aminohexose GlcNAc N-Acetylneuraminic acid Aminononulosonic acid (Sialic acid) NeuNAc Xylose Pentose Xyl
  • 23.
    SOME FEATURES OFMUCIN  Found in secretions of the gastrointestinal, respiratory, and reproductive tracts and also in membranes of various cells. • Exhibit high content of O-glycan chains, usually containing NeuAc. • Contain repeating amino acid sequences rich in serine, threonine, and proline. • Extended structure contributes to their high viscoelasticity. • Form protective physical barrier on epithelial surfaces, are involved in cell-cell interactions, and may contain or mask certain surface antigens.
  • 24.
    EXO- & ENDOGLYCOSIDASESFACILITATE STUDY OF GLYCOPROTEINS  A number of glycosidases of defined specificity have proved useful in examining structural and functional aspects of glycoproteins.These enzymes act at either external (exoglycosidases) or internal (endoglycosidases) positions of oligosaccharide chains.  Examples of exoglycosidases are neuraminidases and galactosidases; their sequential use removes terminal NeuAc and subterminal Gal residues from most glycoproteins.  Endoglycosidases F and H are examples of the latter class; these enzymes cleave the oligosaccharide chains at specific GlcNAc residues close to the polypeptide  A glycoprotein can be treated with one or more of the above glycosidases to analyze the effects on its biologic behavior of removal of specific sugars.
  • 25.
    Some glycosidases usedto study the structure and function of glycoproteins Enzymes Type Neuraminidases Exoglycosidase Galactosidases Exo- or endoglycosidase Endoglycosidase F Endoglycosidase Endoglycosidase H Endoglycosidase
  • 26.
    LECTINS CAN BEUSED TO PURIFY GLYCOPROTEINS & TO PROBE THEIR FUNCTIONS  Lectins are carbohydrate-binding proteins that agglutinate cells or precipitate glycoconjugates;  a number of lectins are themselves glycoproteins.  Immunoglobulins that react with sugars are not considered lectins.  Lectins contain at least two sugar-binding sites; proteins with a single sugar-binding site will not agglutinate cells or precipitate glycoconjugates.  The specificity of a lectin is usually defined by the sugars that are best at inhibiting its ability to cause agglutination or precipitation.  Enzymes, toxins, and transport proteins can be classified as lectins if they bind carbohydrate
  • 27.
    Some functions ofthe oligosaccharide chains of glycoproteins  Modulate physicochemical properties, eg, solubility, viscosity, charge, conformation, denaturation, and binding sites for bacteria and viruses • Protect against proteolysis, from inside and outside of cell • Affect proteolytic processing of precursor proteins to smaller products • Are involved in biologic activity, eg, of human chorionic gonadotropin (hCG) • Affect insertion into membranes, intracellular migration, sorting and secretion • Affect embryonic development and differentiation • May affect sites of metastases selected by cancer cells
  • 28.
    Some important methodsused to study glycoproteins. Method Use Periodic acid-Schiff stain Detects glycoproteins as pink bands after electrophoretic separation. Incubation of cultured cells with glycoproteins asradioactive decay bands Leads to detection of a radioactive sugar after electrophoretic separation. Treatment with appropriate endo- or exoglycosidase orphospholipases Resultant shifts in electrophoretic migration help distinguish among proteins with N-glycan, O-glycan, or GPI linkages and also between high mannose and complex N-glycans. Agarose-lectin column chromatography, lectin affinity chromatography To purify glycoproteins or glycopeptides that bind the particular lectin used. Lectin affinity electrophoresis Resultant shifts in electrophoretic migration help distinguish and characterize glycoforms i.e. variants of a glycoprotein differing in carbohydrate. Compositional analysis following acid hydrolysis Identifies sugars that the glycoprotein contains and their stoichiometry.
  • 29.
    Method use Mass spectrometry Providesinformation on molecular mass, composition, sequence, and sometimes branching of a glycan chain. NMR spectroscopy To identify specific sugars, their sequence, linkages, and the anomeric nature of glycosidic chain. Dual Polarisation Interferometry Measures the mechanisms underlying the biomolecular interactions, including reaction rates, affinities and associated conformational changes. Methylation (linkage) analysis To determine linkage between sugars. Amino acid or cDNA sequencing Determination of amino acid sequence.
  • 30.
    Three inhibitors ofenzymes involved in the glycosylation of glycoproteins and their sites of action Inhibitor Site of Action Tunicamycin Inhibits GlcNAc-P transferase, the enzyme catalyzing addition of GlcNAc to dolichol-P, the first step in the biosynthesis of oligosaccharide-P-P- dolichol Deoxynojirimycin Inhibitor of glucosidases I and II Swainsonine Inhibitor of mannosidase II
  • 31.
    Glycoproteins Are Important inFertilization  To reach the plasma membrane of an oocyte, a sperm has to traverse the zona pellucida (ZP), a thick, transparent, noncellular envelope that surrounds the oocyte.  The zona pellucida contains three glycoproteins of interest, ZP1–3.  Of particular note is ZP3, an O-linked glycoprotein that functions as a receptor for the sperm.  A protein on the sperm surface, possibly galactosyl transferase, interacts specifically with oligosaccharide chains of ZP3; this interaction, by transmembrane signaling, induces the acrosomal reaction, in which enzymes such as proteases and hyaluronidase and other contents of the acrosome of the sperm are released  Liberation of these enzymes helps the sperm to pass through the zona pellucida and reach the plasma membrane (PM) of the oocyte
  • 32.
    Selectins Play KeyRoles in Inflammation  Leukocytes play important roles in many inflammatory and immunologic phenomena.  The first steps in many of these phenomena are interactions between circulating leukocytes and endothelial cells prior to passage of the former out of the circulation.  Work done to identify specific molecules on the surfaces of the cells involved in such interactions has revealed that leukocytes and endothelial cells contain on their surfaces specific lectins, called selectins  Selectins are single-chain Ca2+-binding transmembrane proteins that contain a number of domains.  Their amino terminal ends contain the lectin domain, which is involved in binding to specific carbohydrate ligands
  • 33.
    Inherited Diseases  I-celldisease, or leroy disease  I-Cell disease is a severe and rare genetic disease, inherited in an autonomic recessive manner and caused by the lack of Golgi GlcNAc phosphotransferase  Clinical features.  Typical patients present with mental retardation, coarse facial features with gingival hyperplasia, and short-trunk dwarfism; they generally die in the first decade of life
  • 34.
    Summary of thecausation of I-cell disease (MIM 252500) Mutations in DNA Mutant GlcNAc phosphotransferase Lack of normal transfer of GlcNAc 1-P to specific mannose residues of certain enzymes destined for lysosomes These enzymes consequently lack Man 6-P and are secreted from cells (eg, into the plasma) rather than targeted to lysosomes Lysosomes are thus deficient in certain hydrolases, do not function properly, and accumulate partly digested cellular material, manifesting as inclusion bodies
  • 35.
    CHILD WITH ICELL DISEASE
  • 36.
  • 37.
    Congenital disorders ofglycosylation Another newly delineated group of carbohydrate-related genetic diseases is termed congenital disorders of glycosylation (CDG; previously known as carbohydrate-deficient glycoprotein syndrome).  Two types are described, based on the enzymatic defect: type I corresponds to the CDG that involve enzymatic steps up to the assembling of the glycoprotein; type II are the CDG in which processing is involved.  The most common one is CDG Ia (>300 patients worldwide), which is attributable to a deficiency in cytosolic phosphomanno mutase activity in the metabolism of mannose. Clinical features.  CDG other than type Ib are multisystemic disorders involving neurological dysfunction.  CDG Ia infants have a typical morphology with abnormal distribution of subcutaneous fat and inverted nipples.
  • 38.
    Leukocyte-adhesion deficiency type ii Leukocyte-adhesiondeficiency type II (LAD II) is a rare severe immunological disease. Clinical features  LAD II is clinically similar to the well-described LAD I, in that is also involves severe mental retardation, short stature, and dysmorphic features.  The two syndromes differ in the molecular basis of their adhesion defects.  LAD I is caused by a deficiency in the CD18 integrin- adhesion molecule, whereas LAD II neutrophils are devoid of sialyl Lewis x, which is a ligand for the selectin family.
  • 39.
    Hereditary erythroblastic multinuclearitywith a positive acidified serum test Hereditary erythroblastic multinuclearity with a positive acidified serum test (HEMPAS), also called congenital dyserythropoietic anemia type II, is a rare autosomal recessive disorder caused by membrane abnormality, with >300 known patients, and is a multifactorial disease. Clinical features. Congenital dyserythropoietic anemia type II patients suffer from  a long-life anemia,  hepatosplenomegaly,  liver hemosiderosis, and  cirrhosis.
  • 40.
    Wiskott-aldrich syndrome Wiskott-Aldrich syndrome(WAS) is an X-linked, rare disease characterized by eczema, thrombocytopenia, and immunodeficiency. Clinical features.  The clinical features begin early in life and include recurrent infections, bleeding, and eczema.  The prognosis is grave.  Circulating platelets are decreased in number and size.  IgM concentrations usually are below normal, IgG concentrations are normal, and IgA and IgE concentrations are high.  Monoclonal gammopathy is common.
  • 41.
    Glycoproteinoses The common featureof these diseases is the genetic deficiency of any one of the lysosomal glycosidases involved in the catabolism pathway of glycoproteins (single-entity incidence between 1 in 100 000 and 1 in 250 000). Clinical features.  Most of these diseases are characterized by different clinical phenotypes, depending the age of the patient.  The clinical feature in the infantile form is most often dominated by neurologic symptoms.  Retinal abnormalities are frequent.
  • 42.
    PAROXSMAL NOCTURNAL HEMOGLOBINURIA(PNH)  Acquiredmild anaemia with presence of Hb in urine due to hemolysis of RBC, particularly in sleep  Basic defect of PNH is somatic mutation of PIG- A(phosphatidylinositol glycan class A) gene  Product of this gene is enzyme that links PIG to GPI structure  Diagnosis is by HAM’s TEST- RBC are more sensitive to hemolysis in normal serum acidified to pH 6.2
  • 43.
    CONGENITAL MUSCULAR DYSTROPHY  Defectin synthesis of glycan in protein alpha- dystroglycan(ALPHA-DG)
  • 44.
    RHEUMATOID ARTHRITIS  Associatedwith an alteration in glycosylation of circulating IgG molecules  They lack galactose in their Fc regions and terminate in GlcNAc
  • 45.
    VIRAL DISEASES  (1)The influenza virus possesses a neuraminidase that plays a key role in elution of newly synthesized progeny from infected cells. If this process is inhibited, spread of the virus is markedly diminished. Inhibitors of this enzyme are now available for use in treating patients with influenza.  (2) HIV-1, causative agent of AIDS, attaches to cells via one of its surface glycoproteins, gp120 and gp41.
  • 47.
    Advanced glycation end-product An advanced glycation end-product (AGE) is the result of a chain of chemical reactions after an initial glycation reaction.  The intermediate products are known, variously, as Amadori, Schiff base and Maillard products, named after the researchers who first described them.  AGEs may be less, or more, reactive than the initial sugars they were formed from.  They are absorbed by the body during digestion with about 30% efficiency
  • 48.
     Many cellsin the body (for example, endothelial cells, smooth muscle, and cells of the immune system) from tissue such as lung, liver, kidney, and peripheral blood bear the Receptor for Advanced Glycation End-products (RAGE) that, when binding AGEs, contributes to age- and diabetes-related chronic inflammatory diseases such as atherosclerosis, asthma, arthritis, myocardial infarction, nephropathy, retinopathy, periodontitis a nd neuropathy  They are also believed to play a causative role in the vascular complications of diabetes mellitus.
  • 49.

Editor's Notes

  • #8 Fucose is a deoxy hexose sugar synthesised from GDP-MANNOSE
  • #10 Dolichol is a ER membrane protein 80-100 carbon long. UDP glucose snthesised from glu1 phosphate and UTP Glu 6 phos is converted to glu 1 phos by phosphoglucomutase
  • #21 NANA is a 9 carbon acidic monosaccharide. C and N come from N acetyl mannosamine and phosphoenol pyruvate(glycolysis)
  • #23 9 carbon acidic monosaccharide is NANA
  • #31 Inhibitor block only n-glycosylation
  • #34 Named I cell disease due to presence of inclusion bodies