1.   Differentiate fats from oils.
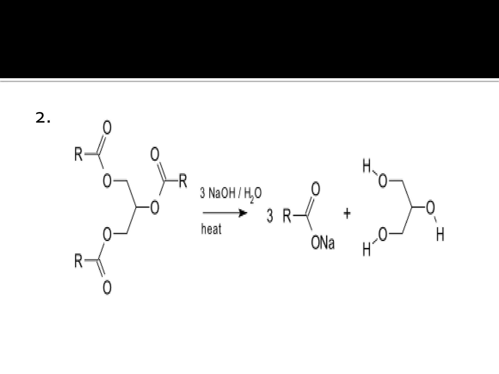
2.   Write an equation showing the
     saponification of fats and oils with NaOH.
3.   Draw the complete structures, showing all
     bonds , for stearic acid and sodium stearate.
4.   Draw structures of some syndets.
1.          Fats                 Oils
     Tend to be solid or Tend to be liquid at
     semi-solid at room room temperature
        temperature
     Usually come from Usually come from
       animal sources      plant sources

      More saturated        Less saturated
2.
3. Structure of stearic acid
Structure of sodium stearate
4. Structure of some syndets
   To observe the preparation of soap.
   To compare syndets and prepared soap.
   Observation:
     When we mixed the lard & the NaOH in 35ml of 1:1
      ethanol-water. The lard was insoluble in the mixture.
     When heated for 2 minutes the lard dissolved
     When heated for 5 minutes the solution became
      viscous
     We stopped heating when we reached 18 minutes the
      solution became very thick. (homogeneous mixture)
     After mixing a salt solution with the soap mixture the
      soap from a homogeneous mixture it became little
      pieces.
Mixed lard and NaOH solution   2 minutes   5 minutes




     18 minutes
SOAP USED:
SYNDET           LIQUID SOAP

WINGS                 SURF
Oil
Prepared:      Syndet:         Liquid:     Distilled
                                            water:
 Miscible      Miscible     Immiscible    Immiscible
  Oil is        Oil is       Oil is not    Oil is not
emulsified    emulsified    emulsified    emulsified

                 Tap Water:
Prepared:      Syndet:         Liquid:     Distilled
                                            water:
    No            No            No            No
precipitate   precipitate   precipitate   precipitate
 Soaps are soluble both in water and oil.
 The carboxylate end of the long-chain molecule is ionic
  and therefore hydrophilic, or attracted to water.
 The long hydrocarbon portion of the molecule, however
  is non-polar and hydrophobic, or water avoiding, and
  therefore more soluble in oils.
 Since the liquid soap wasn’t soluble in oil. We can
  conclude that it isn’t effective in removing oils from the
  dishes.
 There was no precipitate formed when we placed the
  soap in the tap water. This indicates that the tap water
  doesn’t contain soluble sodium carboxylates .
CaCl2
    Prepared:             Syndet:             Liquid:
 No precipitate        No precipitate     No precipitate
    formed                formed             formed

                          FeCl2
  Prepared:               Syndet:             Liquid:
 No precipitate      Precipitate formed Precipitate formed
    formed
                          MgCl3
    Prepared:             Syndet:            Liquid:
precipitate formed     No precipitate     No precipitate
                          formed             formed
   Soaps have some drawbacks
   In hard water, w/c contains Ca2+, Mg2+, Fe3+,
    SO42-, and HCO3-, soluble sodium
    carboxylates are converted into insoluble
    metal salts (precipitate), leaving the familiar
    ring of scum around bathtubs and the gray
    tinge on white clothes.
Litmus paper test:
   Prepared:            Syndet:
     Blue                Blue

  Phenolphthalein solution:
   Prepared:            Syndet:
Colorless to Pink   Colorless to Pink
Litmus Paper Test:
   Since the color of the paper is blue this means
    that the soaps are basic.
   Soap is made from sodium hydroxide and fats.
   The presence of sodium hydroxide makes it basic

Phenolphthalein test:
    Phenolphthalein turns pink when the solution is basic

    With this it is proven that the prepared soap and the
    syndet are both basic which is one of the qualities of
    a soap.
1.    Explain why you poured the hydrolyzed fat
      mixture into a concentrated solution to
      precipitate the soap.
2.    Why is the hydrolysis of a fat called
      saponification.
3.    Describe the cleansing action of soap.
4.    Assuming a soap to be pure sodium stearate,
      give an equation.
     1. That shows why its solutions are alkaline
     2. For its reactions with Mg+2 in hard water
     3. For its reaction with hydrochloric acid
1.Because in mixing the NaOH solution to the
  lard both soap and glycerol is produced.
GLYCEROL- interferes with testing so we need
  to take the glycerol out to take it out we add
  the salt solution which has a salting out
  effect thereby removing glycerol.
  Additionally, we wash the soap with cold
  water to remove the remaining glycerol and
  salt.
2.   The hydrolysis of fat is called saponification
     after the Latin word sapo, “soap”. This
     reaction then results to the formation of
     soap. Soap is a mixture of carboxylate salts
     of fatty acids derived from the fatty acids of
     the triacylglycerols contained in the fat or
     oil.
3. The cleansing action of both soaps and detergents
   results from their ability to emulsify or disperse water-
   insoluble materials (dirt, oil, grease, etc.) and hold
   them in suspension in water. This ability comes from
   the molecular structure of soaps and detergents.
   When a soap or detergent is added to water that
   contains oil or other water-insoluble materials, the
   soap or detergent molecules surround the oil droplets.
   The oil or grease is “dissolved” in the alkyl groups of
   the soap molecules while the ionic end allows the
   micelle to dissolve in water. As a result, the oil
   droplets are dispersed throughout the water (this is
   referred to as emulsification ) and can be rinsed away
a.CH3(CH2)16COONa + HCl   CH3(CH2)16COOH +NaCl


b.


c.
   Soaps are prepared through the process of
    saponification. Soaps are basic, soluble in
    both water and oil, but creates precipitate in
    hard water (contains Ca2+, Mg2+, Fe3+, SO42-,
    and HCO3-, soluble sodium carboxylates ).

Experiment 16

  • 2.
    1. Differentiate fats from oils. 2. Write an equation showing the saponification of fats and oils with NaOH. 3. Draw the complete structures, showing all bonds , for stearic acid and sodium stearate. 4. Draw structures of some syndets.
  • 3.
    1. Fats Oils Tend to be solid or Tend to be liquid at semi-solid at room room temperature temperature Usually come from Usually come from animal sources plant sources More saturated Less saturated
  • 4.
  • 5.
    3. Structure ofstearic acid
  • 6.
  • 7.
    4. Structure ofsome syndets
  • 8.
    To observe the preparation of soap.  To compare syndets and prepared soap.
  • 10.
    Observation:  When we mixed the lard & the NaOH in 35ml of 1:1 ethanol-water. The lard was insoluble in the mixture.  When heated for 2 minutes the lard dissolved  When heated for 5 minutes the solution became viscous  We stopped heating when we reached 18 minutes the solution became very thick. (homogeneous mixture)  After mixing a salt solution with the soap mixture the soap from a homogeneous mixture it became little pieces.
  • 11.
    Mixed lard andNaOH solution 2 minutes 5 minutes 18 minutes
  • 12.
    SOAP USED: SYNDET LIQUID SOAP WINGS SURF
  • 13.
    Oil Prepared: Syndet: Liquid: Distilled water: Miscible Miscible Immiscible Immiscible Oil is Oil is Oil is not Oil is not emulsified emulsified emulsified emulsified Tap Water: Prepared: Syndet: Liquid: Distilled water: No No No No precipitate precipitate precipitate precipitate
  • 15.
     Soaps aresoluble both in water and oil.  The carboxylate end of the long-chain molecule is ionic and therefore hydrophilic, or attracted to water.  The long hydrocarbon portion of the molecule, however is non-polar and hydrophobic, or water avoiding, and therefore more soluble in oils.  Since the liquid soap wasn’t soluble in oil. We can conclude that it isn’t effective in removing oils from the dishes.  There was no precipitate formed when we placed the soap in the tap water. This indicates that the tap water doesn’t contain soluble sodium carboxylates .
  • 17.
    CaCl2 Prepared: Syndet: Liquid: No precipitate No precipitate No precipitate formed formed formed FeCl2 Prepared: Syndet: Liquid: No precipitate Precipitate formed Precipitate formed formed MgCl3 Prepared: Syndet: Liquid: precipitate formed No precipitate No precipitate formed formed
  • 19.
    Soaps have some drawbacks  In hard water, w/c contains Ca2+, Mg2+, Fe3+, SO42-, and HCO3-, soluble sodium carboxylates are converted into insoluble metal salts (precipitate), leaving the familiar ring of scum around bathtubs and the gray tinge on white clothes.
  • 20.
    Litmus paper test: Prepared: Syndet: Blue Blue Phenolphthalein solution: Prepared: Syndet: Colorless to Pink Colorless to Pink
  • 22.
    Litmus Paper Test:  Since the color of the paper is blue this means that the soaps are basic.  Soap is made from sodium hydroxide and fats.  The presence of sodium hydroxide makes it basic Phenolphthalein test: Phenolphthalein turns pink when the solution is basic With this it is proven that the prepared soap and the syndet are both basic which is one of the qualities of a soap.
  • 23.
    1. Explain why you poured the hydrolyzed fat mixture into a concentrated solution to precipitate the soap. 2. Why is the hydrolysis of a fat called saponification. 3. Describe the cleansing action of soap. 4. Assuming a soap to be pure sodium stearate, give an equation. 1. That shows why its solutions are alkaline 2. For its reactions with Mg+2 in hard water 3. For its reaction with hydrochloric acid
  • 24.
    1.Because in mixingthe NaOH solution to the lard both soap and glycerol is produced. GLYCEROL- interferes with testing so we need to take the glycerol out to take it out we add the salt solution which has a salting out effect thereby removing glycerol. Additionally, we wash the soap with cold water to remove the remaining glycerol and salt.
  • 25.
    2. The hydrolysis of fat is called saponification after the Latin word sapo, “soap”. This reaction then results to the formation of soap. Soap is a mixture of carboxylate salts of fatty acids derived from the fatty acids of the triacylglycerols contained in the fat or oil.
  • 26.
    3. The cleansingaction of both soaps and detergents results from their ability to emulsify or disperse water- insoluble materials (dirt, oil, grease, etc.) and hold them in suspension in water. This ability comes from the molecular structure of soaps and detergents. When a soap or detergent is added to water that contains oil or other water-insoluble materials, the soap or detergent molecules surround the oil droplets. The oil or grease is “dissolved” in the alkyl groups of the soap molecules while the ionic end allows the micelle to dissolve in water. As a result, the oil droplets are dispersed throughout the water (this is referred to as emulsification ) and can be rinsed away
  • 27.
    a.CH3(CH2)16COONa + HCl CH3(CH2)16COOH +NaCl b. c.
  • 28.
    Soaps are prepared through the process of saponification. Soaps are basic, soluble in both water and oil, but creates precipitate in hard water (contains Ca2+, Mg2+, Fe3+, SO42-, and HCO3-, soluble sodium carboxylates ).

Editor's Notes

  • #16 hydrophilic-tending to dissolve in, mix with, or be wetted by waterHydrophobic-lacking affinity for water; tending to repel and not absorb water; tending not to dissolve in or mix with or be wetted by water
  • #20 water hardness was defined as the measure of the capacity of the water to precipitate soap.
  • #23 Sodium Hydroxide comes under the metal hydroxide category, so yes, it is a base.