ЛІКАРСЬКІ ЗАСОБИ,
ПОХІДНІ ЕТЕРІВ ТА ЕСТЕРІВ
доц. Сидоренко Людмила Василівна
доц. Сич Ірина Анатоліївна
КАФЕДРА ФАРМАЦЕВТИЧНОЇ ХІМІЇ
http://pharmchem.nuph.edu.ua
КАФЕДРА МЕДИЧНОЇ ХІМІЇ
http://medchem.nuph.edu.ua
Інформаційні джерела:
1. Фармацевтична хімія : підруч. для студентів
вищ. фармац. навч. закл. і фармац. ф-тів III-IV
рівнів акредитації / за заг. ред. проф. П. О.
Безуглого. – 2017. – 456 с.
2. Фармацевтичний аналіз : навч. посіб. для
студентів вищ. фармац. навч. закл. / за заг. ред.
В. А. Георгіянц. –2013. – 552 с.
3. Державна Фармакопея України. – 2-е вид. –2015.
– Т. 1. – 1128 с.
4. Державна Фармакопея України. – 2-е вид. – 2014.
– Т. 2. – 724 с.
5. Державна Фармакопея України. – 2-е вид. – 2014.
– Т. 3. – 732 с.
6. Збірник тестів з фармацевтичної хімії : навч.
посіб. для студентів вищ. навч. закл. / Безуглий
П. О., Гриценко І. С., Георгіянц В. А. та ін. –
2015. – 304 с.
План лекції
1. Етери. Загальна характеристика.
2. Дифенгідраміну гідрохлорид: добування, вимоги ДФУ
щодо якості субстанції, ідентифікація, кількісне
визначення. Використання в медицині.
3. Естери. Загальна характеристика.
4. Кальцію гліцерофосфат: добування, вимоги ДФУ щодо
якості субстанції, ідентифікація, кількісне визначення.
Використання в медицині.
Прості ефіри (етери) можна розглядати як продукти заміщення атома
водню в гідроксилом спирту радикалом (R):
R OH → R O R‒ ‒ ‒
Прості ефіри можна розглядати і як похідні води (а), в молекулі якої
водневі атоми заміщені радикалами, і як ангідриди спиртів (б):
а) Н O H → R O R‒ ‒ ‒ ‒
б) 2R OH → R O R + H‒ ‒ ‒ 2O
Якщо в молекулі ефіру радикали різні, вони називаються змішаними:
R O R '‒ ‒
Характерною властивістю простих ефірів є їх здатність
утворювати оксоніевие солі з концентрованими кислотами. Це
обумовлено тим, що у кисню простого ефіру є дві пари вільних
електронів, які притягують до себе протон кислоти:
Оксоніеві солі подібні амонієвим, але на відміну від останніх менш стійкі
і легко розкладаються в присутності води. Утворенням оксоніевих солей
використовується у фармацевтичному аналізі, так як деякі оксоніеві солі
пофарбовані (наприклад, для ідентифікації дифенгідраміну
гідрохлориду).
R O
H
R'
+
HSO4
_
ДИФЕНГІДРАМІНУ ГІДРОХЛОРИД
DIPHENHYDRAMINI HYDROCHLORIDUM
DIPHENHYDRAMINE HYDROCHLORIDE
Димедрол Dimedrolum
або
2-(Дифенілметокси)-N,N-диметилетанамінгідрохлорид
C17H22ClNO М.м. 291.8
CH3
N
CH3H5C6
CH
H5
C6
O CH2 CH2
. HCl
O
N
CH3
CH3
. HCl
Добування.
CH3
N
CH3
C6H5
CH
C6
H5
O CH2 CH2
C6H5
CH
C6H5
OH
CH3
N
CH3
CH2 CH2Cl
CH3
N
CH3
C6H5
CH
C6H5
O CH2 CH2
. HCl
. HCl+
NaOH
-NaCl
-H2O
HCl
бензгідрол диметиламіноетилхлорид
β-диметиламіноетиловий ефір бензгідролу
β−диметиламіноетилового ефіру бензгідролу гідрохлорид
Властивості. Кристалічний порошок білого або майже білого
кольору. Дуже легко розчинний у воді, легко розчинний у 96 %
спирті.
Ідентифікація:
А. Температура плавлення від 168°С до 172°С.
В. Ультрафіолетовий спектр
поглинання спиртового розчину
субстанції (50 мг в 100 мл) в області
від 230 нм до 350 нм повинен мати
три максимуми: за довжин хвиль 253
нм, 258 нм і 264 нм. Відношення
оптичної густини в максимумі за
довжини хвилі 258 нм до оптичної
густини в максимумі задовжини
хвилі 253 нм має бути від 1.1 до 1.3.
Відношення оптичної густини в
максимумі за довжини хвилі 258 нм
до оптичної густини в максимумі за
довжини хвилі 264 нм має бути від
1.2 до 1.4.
18,1
652,0
770,0
A
A
)253(
)258(
== 27,1
608,0
770,0
A
A
)267(
)258(
==
D. Субстанція дає реакції на хлориди:
a) Clˉ + AgNO3 → ↓AgCl + NO3ˉ
AgCl + 2NH4OH → [Ag(NH3)2]Cl + 2H2O
b)4Clˉ + K2Cr2O7 + 3H2SO4 → 
 → 2CrO2Cl2 + 3SO4
2
ˉ + 2K+
 + 3H2O
N
H
C
N
O
N
H
N
C6
H5
C6
H5
N
C
N
OH
N
H
N
C6
H5
C6
H5
NN
N N
C
C6
H5
C6H5
OC
N N
NN
O
C6
H5
C6H5
Cr
H
H
N
H
C
N
H
O
N
H
N
H
C6
H5
C6
H5
N
H
C
N
O
N
N
C6
H5
C6
H5
N
C
N
O
N
N
C6
H5
C6
H5
Cr+2
2 2
+  2H+
- 2e
_ H
- 2e
_
Cr+6 + 4e              Cr+2
_
Нефармакопейні реакції ідентифікації:
1. До розчину субстанції (1:20) додають кислоту сірчану;
поступово з'являється інтенсивно жовте забарвлення, яке
переходить в червоне забарвлення при додаванні кислоти
азотної. До отриманого розчину додають воду, охолоджують,
додають хлороформ і струшують; хлороформний шар
забарвлюється в інтенсивно фіолетовий колір.
2.
CH3
N
CH3
C6
H5
CH
C6H5
O CH2 CH2
CH3
N
CH3
C6H5
CH
C6
H5
O CH2
CH2
H H  
H2SO4
_ HCl
SO4
2-
+ +
. HCl
3.
CH3
N
CH3
C6
H5
CH
C6
H5
O CH2
CH2
C6
H5
CH
C6
H5
OH
CH3
N
CH3
OH CH2
CH2
HCl, H2O, t0
. HCl
. HCl+
Т.пл. 62-670С
Кількісне визначення:
1. Алкаліметрія: розчинник – спирт; в присутності 5.0 мл 0.01 М розчину
кислоти хлористоводневої; титрують 0,1 М розчином натрію гідроксиду
потенціометрично. До розрахунку беруть об'єм титранту між двома
стрибками потенціалів на кривій титрування. (s = 1)
HCl + NaOH → NaCl + H2O
C6H5
CHOCH2CH2
C6
H5 CH3
N
CH3
C6H5
CHOCH2
CH2
C6H5 CH3
N
CH3
. HCl  +  NaOH
+ NaCl  +  H2O
( )вологин
NaOH
m
ТКV
Х
%100
100100
(%)
−⋅
⋅⋅⋅⋅
=
1000
s..
/
/
/
⋅⋅
=
−
−
хграміну
дифенгідNaOH
хграміну
дифенгідNaOH
мМСм
T
Нефармакопейні методи кількісного визначення.
2. Метод  кислотно-основного  титрування  в  неводних 
розчинниках; розчинник - безводна кислота оцтова, у
присутності ртуті (II) ацетату; індикатор - кристалічний
фіолетовий. s=1
C6H5
CH
C6H5
OCH2CH2N
CH3
CH3
C6
H5
CH
C6
H5
OCH2CH2N
CH3
CH3H
б/в 
CH3COOH
+
2 . HCl + 2HClO4 + (CH3COO)2Hg
2 . ClO4   +  HgCl2  +  CH3COOH
_
( )
н
дослідйконтрольниHClOдослідосновнийHClO
m
ТКVV
Х
100
(%) 44
⋅⋅⋅−
=
1000
s..
/
/
/
4
4
⋅⋅
=
−
−
хграміну
дифенгідHClO
хграміну
дифенгідHClO
мМСм
T
3. Йодхлорометрія (зворотне титрування): індикатор - розчин
крохмалю; s=1
IСl + KI  →  I2 + KCl
I2 + 2Na2S2O3  →  2NaI + Na2S4O6
CH3
N
CH3
C6
H5
CH
C6H5
O CH2 CH2
CH3
N
CH3
C6
H5
CH
C6H5
O CH2 CH2
. HCl + ICl
. HCl . ICl
( )
н
димедролIClOSNaOSNaIClICl
m
ТКVКV
Х
100
(%)
/322322
⋅⋅⋅−⋅
=
1000
s..
/
/
/
⋅⋅
=
−
−
хграміну
дифенгідICl
хграміну
дифенгідICl
мМСм
T
4. Аргентометричний метод, зворотне титрування за Фольгардом,
індикатор – розчин заліза (III) амонію сульфату; s = 1
AgNO3 + NH4CNS  →  AgCNS↓  + NH4NO3
3NH4CNS + FeNH4(SO4)2  → 
→ Fe(CNS)3  + 2(NH4)2SO4
CH3
N
CH3
C6H5
CH
C6
H5
O CH2 CH2
CH3
N
CH3
C6
H5
CH
C6
H5
O CH2
CH2
. HCl + AgNO3
. HNO3 + AgCl
( )
н
димедролAgNOCNSNHCNSNHAgNOAgNO
m
ТКVКV
Х
100
(%)
/34433
⋅⋅⋅−⋅
=
5. Алкаліметрія в присутності хлороформу; індикатор – розчин
фенолфталеїну. s = 1.
CH3
N
CH3
C6
H5
CH
C6
H5
O CH2
CH2
CH3
N
CH3
C6
H5
CH
C6
H5
O CH2
CH2
. HCl  +  NaOH
+ NaCl  +  H2O
CHCl3
н
NaOH
m
ТКV
X
100
(%)
⋅⋅⋅
=
1000
s..
/
/
/
⋅⋅
=
−
−
хграміну
дифенгідNaOH
хграміну
дифенгідNaOH
мМСм
T
Застосування. Антигістамінний (протиалергічний) засіб.
Складні ефіри (естери) можна розглядати як похідні кислот, водень
карбоксильної групи яких заміщений радикалом (R '):
Їх можна також розглядати як похідні спиртів, в молекулі яких водень
гідроксилу заміщений залишком кислоти:
Низькомолекулярні складні ефіри - рухливі рідини з характерним
специфічним запахом, високомолекулярні - тверді речовини. Всі складні
ефіри нерозчинні у воді і добре розчинні в органічних розчинниках. Якщо
ефір утворений кислотою, яка є окислювачем, то він вибухонебезпечний,
так як можливо внутримолекулярное окислення спирту (наприклад,
нітрогліцерин).
Характерною властивістю складних ефірів є їх здатність легко
гидролизоваться. По продуктах гідролізу і визначають справжність
складних ефірів, а так як продукти гідролізу у кожного складного ефіру
різні, це характеризує їх індивідуальність.
Загальною реакцією на складні ефіри є реакція утворення солей
гідроксамових кислот (гідроксамат), які в більшості випадків бувають
пофарбовані, що використовується для цілей ідентифікації складноефірного
групи в молекулі будь-якого препарату.
R C
O
OH R C
O
OR'
R OH O C
O
OR'R
КАЛЬЦІЮ ГЛИЦЕРОФОСФАТ
CALCII GLYCEROPHOSPHAS
CH2
CH
OH
OH
CH2
O P
O
O
O
Ca
O P
O
O
CH2
CH
OH
CH2
OH
O
Ca
α-изомер β-изомер
С3
Н7
СаО6
Р М.м. 210.1
Кальцію гліцерофосфат є сумішшю у змінному співвідношенні
кальцію (RS)-2,3-дигідроксипропілфосфату та кальцію 2-гідрокси-1-
(гідроксиметил)етилфосфату, яка може бути гідратована. Кальцію
гліцерофосфат містить не менше 18.6 % і не більше 19.4 % Са, у
перерахунку на суху речовину.
Властивості. Порошок білого або майже білого
кольору. Гігроскопічний. Помірно розчинний у воді,
практично не розчинний у 96 % спирті.
CH2
CH
OH
OH
CH2
OH
OH
P
OH
CH2
CH
OH
OH
CH2
O
O
OH
P
OH
O
O
CH2
CH
OH
CH2
OH
ONa
P
ONa
CH2
CH
OH
OH
CH2
O
O
OH
P
OH
CH2
CH
OH
OH
CH2
O
O
Na2HPO4, t0C
NaOH
ONa
P
ONa
CH2
CH
OH
OH
CH2
O
O
O
P
O
CH2
CH
OH
OH
CH2
O
O
Ca
+ (CH3COO)2Ca + (CH3COO)2Ca
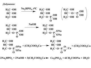
2Na2HPO4 + 2NaOH + 3(CH3COO)2Ca Ca3(PO4)2 + 6CH3COONa + 2H2O
Добування:
Ідентифікація.
A. Субстанцію змішують з калію гідросульфатом у пробірці, спорядженій
скляною трубкою, й обережно нагрівають, направляючи білу пару на
фільтрувальний папір, змочений свіжоприготованим розчином 10 г/л
натрію нітропрусиду. Фільтрувальний папір має забарвитися у синій колір
при взаємодії з піперидином
CH2
CH
OH
OH
CH2
O P
O
O
O
Ca
CH2
CH
C OH
Na2
[Fe(CN)5
HC=CH C
O
H
O
C
H
CH2
CH
+ KHSO4
+ CaSO4 + KH2PO4 + H2O
Na2[Fe(CN)5NO] ]
піперидин
t0C
B. Субстанцію спалюють у тиглі, додають кислоту азотною,
нагрівають на водяній бані протягом 1 хв і фільтрують.
Одержаний фільтрат дає реакції на фосфати:
a) с розчином срібла нітрату:
PO4
3-
+ 3AgNO3 → ↓Ag3PO4 + 3NO3‾
b) с молибденованадіевим реактивом :
PO4
3-
+ HVO3 + 11H2MoO4 + 4NH4+ →
→ (NH4)4[PO4(MoO3)11VO3] + 11H2O + H+
C. Субстанція дає реакції на кальцій:
a)
b) Ca2+
+ 2NH4Cl + K4[Fe(CN)6] →
→ (NH4)2Ca[Fe(CN)6]↓ + 2KCl + 2K+
N C
H
OH
C N
OH
N C
H
O
C N
OCa
+ Ca2+
CHCl3
HH - 2H+
c) Ca2+
+ (NH4)2C2O4 Ca(C2O4) ↓ + 2NH4
+
d) Сіль кальцію, змочена кислотою
хлористоводневою і внесена у безбарвне
полум'я, забарвлює його в
оранжево-червоний колір.
CH3COOH
Нефармакопейні реакції ідентифікації:
1. До розчину препарату в кислоті оцтової розведеної додають
розчин свинцю ацетату; утворюється білий осад, легко
розчинний в азотній кислоті (кислота гліцерофосфорна):
CH2
CH
OH
OH
CH2
O P
O
O
O
Ca
CH2
CH
OH
OH
CH2
O P
O
O
O
Pb
+ (CH3COO)Pb + (CH3COO)Ca
2. Препарат змішують в ступці з калію бісульфатом, суміш
нагрівають у тиглі до обвуглювання. При цьому виділяється
гострий газ із запахом акролеїну (залишок гліцерину). До
залишку в тиглі додають кислоту азотну і фільтрують. Фільтрат
нагрівають до 60° С і додають розчин амонію молібдату -
виділяється жовтий осад (залишок фосфорної кислоти).
H3
PO4
+ 12(NH4
)2
MoO4
+ 21HNO3
→
→(NH4
)2
PO4
.
12MoO2
+ 21NH4
NO3
CH2
CH
OH
OH
CH2
O P
O
O
O
Ca
CH2
CH
C OH
+ KHSO4
+ CaSO4 + KH2PO4 + H2O
t0C
Кількісне визначення: комплексонометричний метод: в
присутності розчину натрію гідроксиду концентрованого;
індикатор – кальконкарбонова кислота; s = 1.
N
OH
COOH
SO3H
OH
N
SO3Na
O
NN
O
COONa
Ca
2 NaOH
(конц.)
+ Сa2+
- 2 H+
CH2
CH2
N
CH2
COOH
CH2COOH
N
CH2
COONa
CH2COONa
CH2
CH2 N
CH2
COO
CH2
COO
N
CH2
COONa
CH2
COONa
CaCa
2+
CH2
CH2
N
CH2COOH
CH2COOH
N
CH2
COONa
CH2COONa
CH2
CH2
N
CH2
COO
CH2COO
N
CH2
COONa
CH2COONa
Ca
NaOH (конц.)
H2Ind + CaCl2 CaInd + H2SO4
+
- 2Na+; - 2H+
+ H2Ind+ CaInd
н
едетатаNa
m
ТКV
=)X(
100
%
⋅⋅⋅
млг
вАsСм
=T
CaэдетатNa
CaедетатNa /
1000
..
/
⋅⋅
Застосування. Препарат підсилює анаболічні процеси (синтез
білка). Застосовують як загальнозміцнюючий і тонізуючий засіб
при гіпотрофії, перевтомі, виснаженні нервової системи, рахіті.
Висновки
1.Дана загальна характеристика етерів
(простих ефірів).
2.Розглянуто добування, реакції ідентифікації
та кількісне визначення дифенгідраміну
гідрохлориду.
3.Дана загальна характеристика естерів
(складних ефірів).
4.Розглянуто добування, реакції ідентифікації
та кількісне визначення кальцію
гліцерофосфату.
Dimedrol, kaltsiu glitserofosfat

Dimedrol, kaltsiu glitserofosfat

  • 1.
    ЛІКАРСЬКІ ЗАСОБИ, ПОХІДНІ ЕТЕРІВТА ЕСТЕРІВ доц. Сидоренко Людмила Василівна доц. Сич Ірина Анатоліївна КАФЕДРА ФАРМАЦЕВТИЧНОЇ ХІМІЇ http://pharmchem.nuph.edu.ua КАФЕДРА МЕДИЧНОЇ ХІМІЇ http://medchem.nuph.edu.ua
  • 2.
    Інформаційні джерела: 1. Фармацевтичнахімія : підруч. для студентів вищ. фармац. навч. закл. і фармац. ф-тів III-IV рівнів акредитації / за заг. ред. проф. П. О. Безуглого. – 2017. – 456 с. 2. Фармацевтичний аналіз : навч. посіб. для студентів вищ. фармац. навч. закл. / за заг. ред. В. А. Георгіянц. –2013. – 552 с. 3. Державна Фармакопея України. – 2-е вид. –2015. – Т. 1. – 1128 с. 4. Державна Фармакопея України. – 2-е вид. – 2014. – Т. 2. – 724 с. 5. Державна Фармакопея України. – 2-е вид. – 2014. – Т. 3. – 732 с. 6. Збірник тестів з фармацевтичної хімії : навч. посіб. для студентів вищ. навч. закл. / Безуглий П. О., Гриценко І. С., Георгіянц В. А. та ін. – 2015. – 304 с.
  • 3.
    План лекції 1. Етери.Загальна характеристика. 2. Дифенгідраміну гідрохлорид: добування, вимоги ДФУ щодо якості субстанції, ідентифікація, кількісне визначення. Використання в медицині. 3. Естери. Загальна характеристика. 4. Кальцію гліцерофосфат: добування, вимоги ДФУ щодо якості субстанції, ідентифікація, кількісне визначення. Використання в медицині.
  • 4.
    Прості ефіри (етери)можна розглядати як продукти заміщення атома водню в гідроксилом спирту радикалом (R): R OH → R O R‒ ‒ ‒ Прості ефіри можна розглядати і як похідні води (а), в молекулі якої водневі атоми заміщені радикалами, і як ангідриди спиртів (б): а) Н O H → R O R‒ ‒ ‒ ‒ б) 2R OH → R O R + H‒ ‒ ‒ 2O Якщо в молекулі ефіру радикали різні, вони називаються змішаними: R O R '‒ ‒ Характерною властивістю простих ефірів є їх здатність утворювати оксоніевие солі з концентрованими кислотами. Це обумовлено тим, що у кисню простого ефіру є дві пари вільних електронів, які притягують до себе протон кислоти: Оксоніеві солі подібні амонієвим, але на відміну від останніх менш стійкі і легко розкладаються в присутності води. Утворенням оксоніевих солей використовується у фармацевтичному аналізі, так як деякі оксоніеві солі пофарбовані (наприклад, для ідентифікації дифенгідраміну гідрохлориду). R O H R' + HSO4 _
  • 5.
    ДИФЕНГІДРАМІНУ ГІДРОХЛОРИД DIPHENHYDRAMINI HYDROCHLORIDUM DIPHENHYDRAMINEHYDROCHLORIDE Димедрол Dimedrolum або 2-(Дифенілметокси)-N,N-диметилетанамінгідрохлорид C17H22ClNO М.м. 291.8 CH3 N CH3H5C6 CH H5 C6 O CH2 CH2 . HCl O N CH3 CH3 . HCl
  • 6.
    Добування. CH3 N CH3 C6H5 CH C6 H5 O CH2 CH2 C6H5 CH C6H5 OH CH3 N CH3 CH2CH2Cl CH3 N CH3 C6H5 CH C6H5 O CH2 CH2 . HCl . HCl+ NaOH -NaCl -H2O HCl бензгідрол диметиламіноетилхлорид β-диметиламіноетиловий ефір бензгідролу β−диметиламіноетилового ефіру бензгідролу гідрохлорид
  • 7.
    Властивості. Кристалічний порошокбілого або майже білого кольору. Дуже легко розчинний у воді, легко розчинний у 96 % спирті. Ідентифікація: А. Температура плавлення від 168°С до 172°С.
  • 8.
    В. Ультрафіолетовий спектр поглинанняспиртового розчину субстанції (50 мг в 100 мл) в області від 230 нм до 350 нм повинен мати три максимуми: за довжин хвиль 253 нм, 258 нм і 264 нм. Відношення оптичної густини в максимумі за довжини хвилі 258 нм до оптичної густини в максимумі задовжини хвилі 253 нм має бути від 1.1 до 1.3. Відношення оптичної густини в максимумі за довжини хвилі 258 нм до оптичної густини в максимумі за довжини хвилі 264 нм має бути від 1.2 до 1.4. 18,1 652,0 770,0 A A )253( )258( == 27,1 608,0 770,0 A A )267( )258( ==
  • 9.
    D. Субстанція дає реакціїна хлориди: a) Clˉ + AgNO3 → ↓AgCl + NO3ˉ AgCl + 2NH4OH → [Ag(NH3)2]Cl + 2H2O b)4Clˉ + K2Cr2O7 + 3H2SO4 →   → 2CrO2Cl2 + 3SO4 2 ˉ + 2K+  + 3H2O N H C N O N H N C6 H5 C6 H5 N C N OH N H N C6 H5 C6 H5 NN N N C C6 H5 C6H5 OC N N NN O C6 H5 C6H5 Cr H H N H C N H O N H N H C6 H5 C6 H5 N H C N O N N C6 H5 C6 H5 N C N O N N C6 H5 C6 H5 Cr+2 2 2 +  2H+ - 2e _ H - 2e _ Cr+6 + 4e              Cr+2 _
  • 10.
    Нефармакопейні реакції ідентифікації: 1. До розчинусубстанції (1:20) додають кислоту сірчану; поступово з'являється інтенсивно жовте забарвлення, яке переходить в червоне забарвлення при додаванні кислоти азотної. До отриманого розчину додають воду, охолоджують, додають хлороформ і струшують; хлороформний шар забарвлюється в інтенсивно фіолетовий колір. 2. CH3 N CH3 C6 H5 CH C6H5 O CH2 CH2 CH3 N CH3 C6H5 CH C6 H5 O CH2 CH2 H H   H2SO4 _ HCl SO4 2- + + . HCl
  • 11.
  • 12.
    Кількісне визначення: 1. Алкаліметрія: розчинник– спирт; в присутності 5.0 мл 0.01 М розчину кислоти хлористоводневої; титрують 0,1 М розчином натрію гідроксиду потенціометрично. До розрахунку беруть об'єм титранту між двома стрибками потенціалів на кривій титрування. (s = 1) HCl + NaOH → NaCl + H2O C6H5 CHOCH2CH2 C6 H5 CH3 N CH3 C6H5 CHOCH2 CH2 C6H5 CH3 N CH3 . HCl  +  NaOH + NaCl  +  H2O ( )вологин NaOH m ТКV Х %100 100100 (%) −⋅ ⋅⋅⋅⋅ = 1000 s.. / / / ⋅⋅ = − − хграміну дифенгідNaOH хграміну дифенгідNaOH мМСм T
  • 13.
    Нефармакопейні методи кількісноговизначення. 2. Метод  кислотно-основного  титрування  в  неводних  розчинниках; розчинник - безводна кислота оцтова, у присутності ртуті (II) ацетату; індикатор - кристалічний фіолетовий. s=1 C6H5 CH C6H5 OCH2CH2N CH3 CH3 C6 H5 CH C6 H5 OCH2CH2N CH3 CH3H б/в  CH3COOH + 2 . HCl + 2HClO4 + (CH3COO)2Hg 2 . ClO4   +  HgCl2  +  CH3COOH _ ( ) н дослідйконтрольниHClOдослідосновнийHClO m ТКVV Х 100 (%) 44 ⋅⋅⋅− = 1000 s.. / / / 4 4 ⋅⋅ = − − хграміну дифенгідHClO хграміну дифенгідHClO мМСм T
  • 14.
    3. Йодхлорометрія (зворотнетитрування): індикатор - розчин крохмалю; s=1 IСl + KI  →  I2 + KCl I2 + 2Na2S2O3  →  2NaI + Na2S4O6 CH3 N CH3 C6 H5 CH C6H5 O CH2 CH2 CH3 N CH3 C6 H5 CH C6H5 O CH2 CH2 . HCl + ICl . HCl . ICl ( ) н димедролIClOSNaOSNaIClICl m ТКVКV Х 100 (%) /322322 ⋅⋅⋅−⋅ = 1000 s.. / / / ⋅⋅ = − − хграміну дифенгідICl хграміну дифенгідICl мМСм T
  • 15.
    4. Аргентометричний метод, зворотнетитрування за Фольгардом, індикатор – розчин заліза (III) амонію сульфату; s = 1 AgNO3 + NH4CNS  →  AgCNS↓  + NH4NO3 3NH4CNS + FeNH4(SO4)2  →  → Fe(CNS)3  + 2(NH4)2SO4 CH3 N CH3 C6H5 CH C6 H5 O CH2 CH2 CH3 N CH3 C6 H5 CH C6 H5 O CH2 CH2 . HCl + AgNO3 . HNO3 + AgCl ( ) н димедролAgNOCNSNHCNSNHAgNOAgNO m ТКVКV Х 100 (%) /34433 ⋅⋅⋅−⋅ =
  • 16.
    5. Алкаліметрія вприсутності хлороформу; індикатор – розчин фенолфталеїну. s = 1. CH3 N CH3 C6 H5 CH C6 H5 O CH2 CH2 CH3 N CH3 C6 H5 CH C6 H5 O CH2 CH2 . HCl  +  NaOH + NaCl  +  H2O CHCl3 н NaOH m ТКV X 100 (%) ⋅⋅⋅ = 1000 s.. / / / ⋅⋅ = − − хграміну дифенгідNaOH хграміну дифенгідNaOH мМСм T
  • 17.
  • 18.
    Складні ефіри (естери)можна розглядати як похідні кислот, водень карбоксильної групи яких заміщений радикалом (R '): Їх можна також розглядати як похідні спиртів, в молекулі яких водень гідроксилу заміщений залишком кислоти: Низькомолекулярні складні ефіри - рухливі рідини з характерним специфічним запахом, високомолекулярні - тверді речовини. Всі складні ефіри нерозчинні у воді і добре розчинні в органічних розчинниках. Якщо ефір утворений кислотою, яка є окислювачем, то він вибухонебезпечний, так як можливо внутримолекулярное окислення спирту (наприклад, нітрогліцерин). Характерною властивістю складних ефірів є їх здатність легко гидролизоваться. По продуктах гідролізу і визначають справжність складних ефірів, а так як продукти гідролізу у кожного складного ефіру різні, це характеризує їх індивідуальність. Загальною реакцією на складні ефіри є реакція утворення солей гідроксамових кислот (гідроксамат), які в більшості випадків бувають пофарбовані, що використовується для цілей ідентифікації складноефірного групи в молекулі будь-якого препарату. R C O OH R C O OR' R OH O C O OR'R
  • 19.
    КАЛЬЦІЮ ГЛИЦЕРОФОСФАТ CALCII GLYCEROPHOSPHAS CH2 CH OH OH CH2 OP O O O Ca O P O O CH2 CH OH CH2 OH O Ca α-изомер β-изомер С3 Н7 СаО6 Р М.м. 210.1 Кальцію гліцерофосфат є сумішшю у змінному співвідношенні кальцію (RS)-2,3-дигідроксипропілфосфату та кальцію 2-гідрокси-1- (гідроксиметил)етилфосфату, яка може бути гідратована. Кальцію гліцерофосфат містить не менше 18.6 % і не більше 19.4 % Са, у перерахунку на суху речовину. Властивості. Порошок білого або майже білого кольору. Гігроскопічний. Помірно розчинний у воді, практично не розчинний у 96 % спирті.
  • 20.
  • 21.
    Ідентифікація. A. Субстанцію змішуютьз калію гідросульфатом у пробірці, спорядженій скляною трубкою, й обережно нагрівають, направляючи білу пару на фільтрувальний папір, змочений свіжоприготованим розчином 10 г/л натрію нітропрусиду. Фільтрувальний папір має забарвитися у синій колір при взаємодії з піперидином CH2 CH OH OH CH2 O P O O O Ca CH2 CH C OH Na2 [Fe(CN)5 HC=CH C O H O C H CH2 CH + KHSO4 + CaSO4 + KH2PO4 + H2O Na2[Fe(CN)5NO] ] піперидин t0C
  • 22.
    B. Субстанцію спалюютьу тиглі, додають кислоту азотною, нагрівають на водяній бані протягом 1 хв і фільтрують. Одержаний фільтрат дає реакції на фосфати: a) с розчином срібла нітрату: PO4 3- + 3AgNO3 → ↓Ag3PO4 + 3NO3‾ b) с молибденованадіевим реактивом : PO4 3- + HVO3 + 11H2MoO4 + 4NH4+ → → (NH4)4[PO4(MoO3)11VO3] + 11H2O + H+
  • 23.
    C. Субстанція даєреакції на кальцій: a) b) Ca2+ + 2NH4Cl + K4[Fe(CN)6] → → (NH4)2Ca[Fe(CN)6]↓ + 2KCl + 2K+ N C H OH C N OH N C H O C N OCa + Ca2+ CHCl3 HH - 2H+
  • 24.
    c) Ca2+ + (NH4)2C2O4Ca(C2O4) ↓ + 2NH4 + d) Сіль кальцію, змочена кислотою хлористоводневою і внесена у безбарвне полум'я, забарвлює його в оранжево-червоний колір. CH3COOH
  • 25.
    Нефармакопейні реакції ідентифікації: 1.До розчину препарату в кислоті оцтової розведеної додають розчин свинцю ацетату; утворюється білий осад, легко розчинний в азотній кислоті (кислота гліцерофосфорна): CH2 CH OH OH CH2 O P O O O Ca CH2 CH OH OH CH2 O P O O O Pb + (CH3COO)Pb + (CH3COO)Ca
  • 26.
    2. Препарат змішуютьв ступці з калію бісульфатом, суміш нагрівають у тиглі до обвуглювання. При цьому виділяється гострий газ із запахом акролеїну (залишок гліцерину). До залишку в тиглі додають кислоту азотну і фільтрують. Фільтрат нагрівають до 60° С і додають розчин амонію молібдату - виділяється жовтий осад (залишок фосфорної кислоти). H3 PO4 + 12(NH4 )2 MoO4 + 21HNO3 → →(NH4 )2 PO4 . 12MoO2 + 21NH4 NO3 CH2 CH OH OH CH2 O P O O O Ca CH2 CH C OH + KHSO4 + CaSO4 + KH2PO4 + H2O t0C
  • 27.
    Кількісне визначення: комплексонометричнийметод: в присутності розчину натрію гідроксиду концентрованого; індикатор – кальконкарбонова кислота; s = 1. N OH COOH SO3H OH N SO3Na O NN O COONa Ca 2 NaOH (конц.) + Сa2+ - 2 H+
  • 28.
    CH2 CH2 N CH2 COOH CH2COOH N CH2 COONa CH2COONa CH2 CH2 N CH2 COO CH2 COO N CH2 COONa CH2 COONa CaCa 2+ CH2 CH2 N CH2COOH CH2COOH N CH2 COONa CH2COONa CH2 CH2 N CH2 COO CH2COO N CH2 COONa CH2COONa Ca NaOH (конц.) H2Ind+ CaCl2 CaInd + H2SO4 + - 2Na+; - 2H+ + H2Ind+ CaInd н едетатаNa m ТКV =)X( 100 % ⋅⋅⋅ млг вАsСм =T CaэдетатNa CaедетатNa / 1000 .. / ⋅⋅
  • 29.
    Застосування. Препарат підсилюєанаболічні процеси (синтез білка). Застосовують як загальнозміцнюючий і тонізуючий засіб при гіпотрофії, перевтомі, виснаженні нервової системи, рахіті.
  • 30.
    Висновки 1.Дана загальна характеристикаетерів (простих ефірів). 2.Розглянуто добування, реакції ідентифікації та кількісне визначення дифенгідраміну гідрохлориду. 3.Дана загальна характеристика естерів (складних ефірів). 4.Розглянуто добування, реакції ідентифікації та кількісне визначення кальцію гліцерофосфату.

Editor's Notes

  • #28 <number>
  • #29 <number>