Лікарські засоби з групи вітамінів
доц. Сидоренко Людмила Василівна
КАФЕДРА ФАРМАЦЕВТИЧНОЇ ХІМІЇ
http://pharmchem.nuph.edu.ua
Інформаційні джерела:
1. Фармацевтична хімія : підруч. для студентів вищ.
фармац. навч. закл. і фармац. ф-тів III-IV рівнів
акредитації / за заг. ред. проф. П. О. Безуглого. – 2017.
– 456 с.
2. Фармацевтичний аналіз : навч. посіб. для студентів
вищ. фармац. навч. закл. / за заг. ред. В. А. Георгіянц. –
2013. – 552 с.
3. Державна Фармакопея України. – 2-е вид. –2015. – Т. 1.
– 1128 с.
4. Державна Фармакопея України. – 2-е вид. – 2014. – Т. 2.
– 724 с.
5. Державна Фармакопея України. – 2-е вид. – 2014. – Т. 3.
– 732 с.
6. Збірник тестів з фармацевтичної хімії : навч. посіб.
для студентів вищ. навч. закл. / Безуглий П. О.,
Гриценко І. С., Георгіянц В. А. та ін. – 2015. – 304 с.
План лекції
1. Методи аналізу кислоти нікотинової.
3
Похідні піридину (вітаміни групи РР)
Кислота нікотинова Acidum nicotinicum (ДФУ)
Піридин-3-карбонова кислотаN
COOH
Організм може синтезувати ніацин з
амінокислоти триптофану, якщо нема
дефіциту вітамінів В1, В2 та В6
Джерелами ніацину є овочі, фрукти, пивні дріжджі, печінка, риба,
яйця, біле м’ясо птиці, авокадо, чорнослив, гречнева крупа.
Вітамін В3 (РР, ніацин або нікотинова кислота)
4
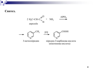
Синтез.
H2
C=CH–C
O
H
N
CH3
N
COOH
2 + NH3
AlPO4
[O]
акролеїн
3-метилпіридин піридин-3-карбонова кислота
(нікотинова кислота)
5
Ідентифікація.
1. Температура плавлення
кислоти нікотинової 234-240°С (ДФУ).
2. Інфрачервоний спектр поглинання субстанції повинен відповідати
спектру ФСЗ кислоти нікотинової (ДФУ).
6
3. Реакція на піридиновий цикл з ціанбромідними реактивом (ДФУ)
N
COR
Br
COR
HH
O OH
COR
HH
O OH
NH2
COR
N NH
N
COR
SCN
Br2 + NH4SCN BrSCN + NH4Br
BrSCN
+
– NH2SCN, HBr
+ 2
– 2H2O
2H2O
жовте забарвлення
7
4. Реакція на піридиновий цикл з 2,4-динітрохлорбензолом
N
COR
C C
COR
HH
O OH
Cl
NO2
NO2
N
COR
NO2
NO2
Cl
NH2
NO2
NO2
N
COR
NO2
NO2
C
NO2
NO2
NH O
H
ROC
+
+
OH–
+
+ OH–
бурувато-червоне
жовте забарвлення
OH–
8
5. Реакція декарбоксилування при нагріванні з безводним натрію карбонатом
N
COOH
N
Na2CO3
t0
+ CO2
6. З розчином купруму сульфату утворюється блакитний осад нікотинату
купруму, при наступному додаванні розчину амонію тіоціанату, розчин
забарвлюється в зелений колір.
N
COOH
N
COONa
N
COONa
N
COO
2
Cu
2+
+ NaOH + H2O
+ CuSO4
2
–
+ Na2SO4
або
CH3COOH
9
Кількісне визначення.
1. Алкаліметрія, пряме титрування, індикатор – фенолфталеїн, s = 1 (ДФУ).
N
COOH
N
COONa
+ NaOH + H2O
)мл/г(
1000
sМC
Т .нікот.кислNaOH
.нікот.кисл/NaOH


)%100(m
100100TK)VV(
X
вологи.нав
.нікот.кисл/NaOHNaOH.д.к.д.о
%



10
2. Куприйодометрія, зворотне титрування, після нейтралізації розчином
натрію гідроксиду за фенолфталеїном, індикатор – розчин крохмалю, s = 2 (для
ін’єкційного розчину).
N
COOH
N
COONa
N
COONa
N
COO
2
Cu
2+
+ NaOH + H2O
+ CuSO4
2
–
+ Na2SO4
2CuSO4 + 4KI Cu2I2 + I2 + 2K2SO4
I2 + 2Na2S2O3 2NaI + 2Na2S4O6
)мл/г(
1000
sМC
Т
.нікот.кислCuSO
.нікот.кисл/CuSO
4
4


.піп.ан/д
мл.к.м.нікот.кисл/CuSOOSNa
OSNa
.досл.осн
OSNa
.досл.контр
VV
1VTK)VV(
Xг 4322
322322



11
Застосування.
Протипелагричний засіб. Кислота нікотинова має судинорозширювальну та
гіпохолестеринемічну дію.
Ніацин необхідний для нормальної роботи нервової системи та мозку,
життєво важливий для синтезу статевих гормонів, кортизону, тіроксину та
інсуліну. Знижує рівень холестерину, надає шкірі здоровий вигляд, підтримує
систему травлення, запобігає мігрені, знижує підвищений тиск, покращує
роботу печінки.
Дефіцит викликає захворювання пеллагру – нервово-психічні розлади,
поява тріщин на шкірі
Кислота нікотинова викликає побічну дію: почервоніння обличчя, відчуття
приливу крові до голови.
Nicotinic acid

Nicotinic acid

  • 1.
    Лікарські засоби згрупи вітамінів доц. Сидоренко Людмила Василівна КАФЕДРА ФАРМАЦЕВТИЧНОЇ ХІМІЇ http://pharmchem.nuph.edu.ua
  • 2.
    Інформаційні джерела: 1. Фармацевтичнахімія : підруч. для студентів вищ. фармац. навч. закл. і фармац. ф-тів III-IV рівнів акредитації / за заг. ред. проф. П. О. Безуглого. – 2017. – 456 с. 2. Фармацевтичний аналіз : навч. посіб. для студентів вищ. фармац. навч. закл. / за заг. ред. В. А. Георгіянц. – 2013. – 552 с. 3. Державна Фармакопея України. – 2-е вид. –2015. – Т. 1. – 1128 с. 4. Державна Фармакопея України. – 2-е вид. – 2014. – Т. 2. – 724 с. 5. Державна Фармакопея України. – 2-е вид. – 2014. – Т. 3. – 732 с. 6. Збірник тестів з фармацевтичної хімії : навч. посіб. для студентів вищ. навч. закл. / Безуглий П. О., Гриценко І. С., Георгіянц В. А. та ін. – 2015. – 304 с. План лекції 1. Методи аналізу кислоти нікотинової.
  • 3.
    3 Похідні піридину (вітамінигрупи РР) Кислота нікотинова Acidum nicotinicum (ДФУ) Піридин-3-карбонова кислотаN COOH Організм може синтезувати ніацин з амінокислоти триптофану, якщо нема дефіциту вітамінів В1, В2 та В6 Джерелами ніацину є овочі, фрукти, пивні дріжджі, печінка, риба, яйця, біле м’ясо птиці, авокадо, чорнослив, гречнева крупа. Вітамін В3 (РР, ніацин або нікотинова кислота)
  • 4.
    4 Синтез. H2 C=CH–C O H N CH3 N COOH 2 + NH3 AlPO4 [O] акролеїн 3-метилпіридинпіридин-3-карбонова кислота (нікотинова кислота)
  • 5.
    5 Ідентифікація. 1. Температура плавлення кислотинікотинової 234-240°С (ДФУ). 2. Інфрачервоний спектр поглинання субстанції повинен відповідати спектру ФСЗ кислоти нікотинової (ДФУ).
  • 6.
    6 3. Реакція напіридиновий цикл з ціанбромідними реактивом (ДФУ) N COR Br COR HH O OH COR HH O OH NH2 COR N NH N COR SCN Br2 + NH4SCN BrSCN + NH4Br BrSCN + – NH2SCN, HBr + 2 – 2H2O 2H2O жовте забарвлення
  • 7.
    7 4. Реакція напіридиновий цикл з 2,4-динітрохлорбензолом N COR C C COR HH O OH Cl NO2 NO2 N COR NO2 NO2 Cl NH2 NO2 NO2 N COR NO2 NO2 C NO2 NO2 NH O H ROC + + OH– + + OH– бурувато-червоне жовте забарвлення OH–
  • 8.
    8 5. Реакція декарбоксилуванняпри нагріванні з безводним натрію карбонатом N COOH N Na2CO3 t0 + CO2 6. З розчином купруму сульфату утворюється блакитний осад нікотинату купруму, при наступному додаванні розчину амонію тіоціанату, розчин забарвлюється в зелений колір. N COOH N COONa N COONa N COO 2 Cu 2+ + NaOH + H2O + CuSO4 2 – + Na2SO4 або CH3COOH
  • 9.
    9 Кількісне визначення. 1. Алкаліметрія,пряме титрування, індикатор – фенолфталеїн, s = 1 (ДФУ). N COOH N COONa + NaOH + H2O )мл/г( 1000 sМC Т .нікот.кислNaOH .нікот.кисл/NaOH   )%100(m 100100TK)VV( X вологи.нав .нікот.кисл/NaOHNaOH.д.к.д.о %   
  • 10.
    10 2. Куприйодометрія, зворотнетитрування, після нейтралізації розчином натрію гідроксиду за фенолфталеїном, індикатор – розчин крохмалю, s = 2 (для ін’єкційного розчину). N COOH N COONa N COONa N COO 2 Cu 2+ + NaOH + H2O + CuSO4 2 – + Na2SO4 2CuSO4 + 4KI Cu2I2 + I2 + 2K2SO4 I2 + 2Na2S2O3 2NaI + 2Na2S4O6 )мл/г( 1000 sМC Т .нікот.кислCuSO .нікот.кисл/CuSO 4 4   .піп.ан/д мл.к.м.нікот.кисл/CuSOOSNa OSNa .досл.осн OSNa .досл.контр VV 1VTK)VV( Xг 4322 322322   
  • 11.
    11 Застосування. Протипелагричний засіб. Кислотанікотинова має судинорозширювальну та гіпохолестеринемічну дію. Ніацин необхідний для нормальної роботи нервової системи та мозку, життєво важливий для синтезу статевих гормонів, кортизону, тіроксину та інсуліну. Знижує рівень холестерину, надає шкірі здоровий вигляд, підтримує систему травлення, запобігає мігрені, знижує підвищений тиск, покращує роботу печінки. Дефіцит викликає захворювання пеллагру – нервово-психічні розлади, поява тріщин на шкірі Кислота нікотинова викликає побічну дію: почервоніння обличчя, відчуття приливу крові до голови.