ЛІКАРСЬКІ РЕЧОВИНИ – ПОХІДНІ
ФЕНОЛІВ, АРОМАТИЧНИХ АМІНІВ
доц. Сидоренко Людмила Василівна
доц. Сич Ірина Анатоліївна
КАФЕДРА ФАРМАЦЕВТИЧНОЇ ХІМІЇ
http://pharmchem.nuph.edu.ua
КАФЕДРА МЕДИЧНОЇ ХІМІЇ
http://medchem.nuph.edu.ua
Інформаційні джерела:
1. Фармацевтична хімія : підруч. для студентів
вищ. фармац. навч. закл. і фармац. ф-тів III-IV
рівнів акредитації / за заг. ред. проф. П. О.
Безуглого. – 2017. – 456 с.
2. Фармацевтичний аналіз : навч. посіб. для
студентів вищ. фармац. навч. закл. / за заг. ред.
В. А. Георгіянц. –2013. – 552 с.
3. Державна Фармакопея України. – 2-е вид. –2015.
– Т. 1. – 1128 с.
4. Державна Фармакопея України. – 2-е вид. – 2014.
– Т. 2. – 724 с.
5. Державна Фармакопея України. – 2-е вид. – 2014.
– Т. 3. – 732 с.
6. Збірник тестів з фармацевтичної хімії : навч.
посіб. для студентів вищ. навч. закл. / Безуглий
П. О., Гриценко І. С., Георгіянц В. А. та ін. –
2015. – 304 с.
План лекції
1. Фенол: добування, вимоги ДФУ щодо якості субстанції,
ідентифікація, кількісне визначення. Використання в
медицині.
2. Парацетамол: добування, вимоги ДФУ щодо якості
субстанції, ідентифікація, кількісне визначення.
Використання в медицині.
OH
ФЕНОЛ PHENOLUM
PHENOL
Оксибензол
С6
Н6
О М.м. 94.1
Вміст: не менше 99,0% і не більше 100,5%.
Властивості: безбарвні, або блідо-рожеві, або блідо-
жовтаві кристали або кристалічна маса, що розпливається
на повітрі. Розчинний у воді, дуже легко розчиний у 96%
спирті, гліцерині, метиленхлориді. Реакція водного
розчину слабокисла.
S
O
O
HO
S
O
O
O
2
S
O
O
ONa
ONa OH
-2H2O
2 + 2H2SO4 2
Ca(OH)2
Ca2+
Na2CO3
-CaCO3
2
-Na2SO3, - H2O
2
H2SO4
-Na2SO4
2
NaOH, t0C
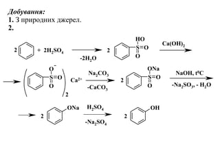
Добування:
1. З природних джерел.
2.
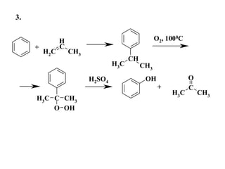
CH
CH3 CH3
C CH3
CH3
O OH
OH
CH2
C
H
CH3
CH3
C
CH3
O
+
O2, 1000C
H2SO4
+
3.
OH OO
NHO
OH
OHNO
NaOCl NH3
Ідентифікація:
А.
OH OFeCl2+ FeCl3 + HCl
В.
C.
OH OH
Br
Br
Br+ 3Br2 + 3HBr
OH
OH OH
OH
OH
OH
O
O
пірокатехін резорцин гідрохінон
Нефармакопейні методи ідентифікації:
1.
NH2
SO2
OH
N
SO2
OH
N N
SO2
OH
N
NaO
OH
NaNO2, HCl
+
NaOH
Cl
_
OH OHON
O NOH
OH
OHNO
HNO2 , HCl
2.
N
N
C6
H5
CH3
O
CH3
NH2
OH
N
N
C6
H5
CH3
O
CH3
NO
+
K3[Fe(CN)6); [OH ]
_
3.
ONa ONaCl2
CH ONaC
O
H
ONa ONa
C
OH
ONa CH
ONa
ONa
O C
ONa
ONa
CHCl3, t0C
+2 - H2O
- 2HCl
H2O
4.
OH
H C
H
O
OH
CH2
OH
OH
CH
O
- H2O
2
[O]
5.
OH OH
NO
O
NOH
O
NNa OO O
HNO3
O
+ _
Na OH
+ _
OH OClN
Cl
Cl
ON
Cl
Cl
OH+
- HCl
6.
7.
NaOH або
NH4OH
KBrO3
+ 5KBr + 6HCl → 3Br2
+ 6KCl + 3H2
O
OH OH
Br
Br
Br+ 3Br2 + 3HBr
CHCl3
Кількісне визначення:
1. Метод броматометрії, зворотне титрування; метод
піпетування; індикатор – крохмаль; s = 1:
Br2
+ 2KI → I2
+ 2KBr
I2
+ 2Na2
S2
O3
→ 2NaI + Na2
S4
O6
млг
sмМСм
T
фенолуKBrO
фенолKBrO /
1000
..3
3 /
⋅⋅
=
( )
.
...дослід.контр. 100
(%) 322322322
пипн
кмOSNaOSNaOSNa
Vm
VТКVV
X
⋅
⋅⋅⋅⋅−
=
ідоснов.дослвв
OH OH
I
I
I+ 3I2 + 3HI
Нефармакопейні методи кількісного визначення:
2. Метод йодометрії, зворотне титрування; індикатор –
крохмаль; s = 1/3:
HI + CH3
COONa → CH3
COOH + NaI
I2
+ 2Na2
S2
O3
→ 2NaI + Na2
S4
O6
млг
sмМСм
T
фенолуI
фенолI /
1000
..2
2 /
⋅⋅
=
( )
н
OSNaOSNaII
m
ТКVКV
Х
100
(%) 32232222
⋅⋅⋅−⋅
=
OH OH
I
I
I+ 3ICl + 3HCl
3. Метод йодохлорометрії, зворотне титрування; індикатор –
крохмаль; s = 1/3:
.
ICl + KI → I2
+ KCl
I2
+ 2Na2
S2
O3
→ 2NaI + Na2
S4
O6
млг
sмМСм
T
фенолуICl
фенолICl /
1000
..
/
⋅⋅
=
( )
н
OSNaOSNaIClICl
m
ТКVКV
X
100
(%) 322322
⋅⋅⋅−⋅
=
Застосування: Розчини фенолу мають сильну бактерицидну
активність відносно вегетативних форм мікроорганізмів; на
спори впливають слабо. Застосовують у вигляді 3% або 5%
розчину для дезінфекції предметів домашнього та лікарняного
побуту, інструментів, білизни, виділень і т.п. Для дезінфекції
приміщень застосовують мильно-карболовий розчин. Фенол
використовують також в цілях дезинсекції; застосовують
фенольно-гасові, фенольно-скипидарні та інші суміші.
В фармацевтичній практиці використовують фенол (0,5-0,1%)
для консервації лікарських засобів, сироваток, свічок і ін.
NH2
NH2
OH
NH
O
NHCOCH3
Простейшим амином ароматического ряда является анилин, который способен
снижать температуру тела, но из-за своей токсичности в медицинской практике не
применяется. В качестве жаропонижающего средства применялся ацетанилид
(антифебрин). Он менее токсичный, но при длительном применении также вызывает
отравления. Установлено, что анилин, образующийся в результате гидролиза
ацетанилида, окисляется в организме до п-аминофенола. Такое окисление можно
рассматривать как защитную реакцию, так как п-аминофенол менее токсичный и
сравнительно легко выводится из организма. В результате изучения
фармакологического действия производных п-аминофенола были синтезированы
малотоксичные лекарственные средства парацетамол и фенацетин. Создание новых
лекарственных средств на основе продуктов преобразования анилина в организме
известно под названием "принцип фенацетина".
Лекарственные препараты, ацетилированные
производные пара-аминофенола
OH
NHCOCH3
ПАРАЦЕТАМОЛ PARACETAMOLUM (ДФУ 1.1)
PARACETAMOL
N-(4-Гидроксифенил)ацетамид
C8
H9
NO2
М.м. 151.2
Свойства: Белый кристаллический
порошок. Умеренно растворим в воде,
легко растворим в 96% спирте, очень
легко растворим в эфире и
метиленхлориде.
OH
NHCOCH3
OH OH
NO
OH
NH2
NaNO2 H2S; NH3
CH3COOH
-H2OH2SO4
Получение:
Идентификация:
А. Температура плавлення от 168°С до 172°С.
В. УФ-спектрофотометрия: λ = 249 нм; 980860%1
1 =смА
bC
A
A см
⋅
=%1
1
Удельный показатель поглощения
рассчитывают, исходя из
измеренной оптической плотности
для растворов с известной
концентрацией:
b – длина оптического пути, в
сантиметрах; = 1 см
С. ИК-спектр поглощения субстанции должен соответствовать
спектру ФСО парацетамола
NHCOCH3
OH
NH2
OH
NH
O
OH NH2
N NH2
O
N NH
OH
HCl, t0C K2Cr2O7
-H2O- CH3COOH
D. Реакция образования индофенола
NHCOCH3
OH
NH2
OH
H2O, t0C
+ CH3COOH
La3+ + 3CH3COO + 2H2O
t0C, NH4OH, I2_
La(OH)2CH3COO + 2CH3COOH
E. Субстанция дает реакцию на ацетил.
NHCOCH3
OH
NH2
OH
H+, t0C
+ CH3COOH
Нефармакопейные реакции идентификации:
1.
CH3
C OC2
H5
O
CH3COOH + C2H5OH
к. H2SO4, t0C
+ H2O–
– 9CH3
COOˉ + 3FeCl3
+ 2H2
O →
→ [Fe3
(OH)2
(CH3
COO)6
].
CH3
COOˉ + 9Clˉ + 2CH3
COOH
NHCOCH3
OH
N
R
N
NN
NHCOCH3
ONa
R
- NaCl; - 2H2O
+
2NaOH
Cl
_
+
2.
3.
NHCOCH3
OH
NH2
OH
N
OH
N
OH
N
OH
N
NaO
HCl, t0C NaNO2
Cl
+
NaOH
- CH3COOH HCl
_
OH
NHCOCH3
OFeCl2
NHCOCH3
+ FeCl3 + HCl
4. 
NHCOCH3
OH
NH2
OH
H2SO4, t0C
+ CH3COOH
NH
O
NH2
OH
+ 2Ce(SO4)2
+ Ce2(SO4)3 + H2SO4
H+
Количественное определение:
1. Метод цериметрии,  прямое  титрование;  индикатор  – 
ферроин; s = 1/2:
N
N
3
N
N
3
Fe
2+
+ Ce4+
3+
+ Ce3+Fe
мл/г
1000
.м.МsСм
T
лaпарацетамо)SO(Ce
лпарацетамо/)SO(Ce
24
24
⋅⋅
=
m
TKV
X
еконтр.опытв)Ce(SOосн.опытев)Ce(SO 100)V(
% 2424
⋅⋅⋅−
=
Fe2+
+ Ce4+
→ Fe3+
+ Ce3+
NHCOCH3
OH
NH2
OH
NH2
OH
N
OH
N
 
HCl, t0C
- CH3COOH
NaNO2, HCl
Cl
+
KBr
_
Нефармакопейные методы количественного определения:
2. Метод определения аминного азота в соединениях,
содержащих первичную ароматическую аминогрупу (метод
нитритометрии); 
s = 1
Точку  эквивалентности  определяют  электрометрическими 
методами
или  с  помощью  внешнего  индикатора  –  йодкрахмальной 
бумаги; s = 1. 
2KIO3 + 5NaNO2 + 2HCl →
→ I2 + 5NaNO3 + 2KCl + H2O 
( )
н
опытеконтр.вNaNOопытеосн.вNaNO
m
100ТКVV
(%)Х 22
⋅⋅⋅−
=
н
NaNO
m
100ТКV
(%)Х 2
⋅⋅⋅
=
1000
s.м.МСм
Т
лпарацетамоNaNO
лпарацетамо/NaNO
2
2
⋅⋅
=
3.  Метод алкалиметрии;  прямое  титрование  с  контрольным 
опытом; индикатор – фенолфталеин; s = 1.
CH3COOH + NaOH → CH3COONa + H2O
HCl + NaOH → NaCl + H2O 
NHCOCH3
OH
NH2
OH
HCl, t0C
+ CH3COOH
( )
н
опыте.контрвNaOHопыте.основвNaOH
m
100ТКVV
(%)X
⋅⋅⋅−
=
Применение:  Оказывает  жаропонижающее  и  болеутоляющее  действие, 
обладает  слабой  противовоспалительной  активностью.  При  длительном 
применении,  особенно  в  больших  дозах,  может  оказывать 
нефротоксическое  и  гепатотоксическое  действие.  Имеется  целый  ряд 
комбинированных  лекарственных  форм,  содержащих  парацетамол: 
Колдрекс  (сочетание  с  мезатоном,  кофеином,  терпингидраом,  кислотой 
аскорбиновой);  Солпадеин  (сочетание  с  кодеином  и  кофеином); 
Панадеин (сочетание с кодеином фосфатом); Панадол-экстра (сочетание 
с  кофеином)  и  др.  –  применяются  при  головной  боли  и  простудных 
заболеваниях.
Висновки
1.Розглянуто добування, реакції ідентифікації
та кількісне визначення фенолу.
2.Розглянуто добування, реакції ідентифікації
та кількісне визначення парацетамолу.
Fenol, paratsetamol

Fenol, paratsetamol

  • 1.
    ЛІКАРСЬКІ РЕЧОВИНИ –ПОХІДНІ ФЕНОЛІВ, АРОМАТИЧНИХ АМІНІВ доц. Сидоренко Людмила Василівна доц. Сич Ірина Анатоліївна КАФЕДРА ФАРМАЦЕВТИЧНОЇ ХІМІЇ http://pharmchem.nuph.edu.ua КАФЕДРА МЕДИЧНОЇ ХІМІЇ http://medchem.nuph.edu.ua
  • 2.
    Інформаційні джерела: 1. Фармацевтичнахімія : підруч. для студентів вищ. фармац. навч. закл. і фармац. ф-тів III-IV рівнів акредитації / за заг. ред. проф. П. О. Безуглого. – 2017. – 456 с. 2. Фармацевтичний аналіз : навч. посіб. для студентів вищ. фармац. навч. закл. / за заг. ред. В. А. Георгіянц. –2013. – 552 с. 3. Державна Фармакопея України. – 2-е вид. –2015. – Т. 1. – 1128 с. 4. Державна Фармакопея України. – 2-е вид. – 2014. – Т. 2. – 724 с. 5. Державна Фармакопея України. – 2-е вид. – 2014. – Т. 3. – 732 с. 6. Збірник тестів з фармацевтичної хімії : навч. посіб. для студентів вищ. навч. закл. / Безуглий П. О., Гриценко І. С., Георгіянц В. А. та ін. – 2015. – 304 с.
  • 3.
    План лекції 1. Фенол:добування, вимоги ДФУ щодо якості субстанції, ідентифікація, кількісне визначення. Використання в медицині. 2. Парацетамол: добування, вимоги ДФУ щодо якості субстанції, ідентифікація, кількісне визначення. Використання в медицині.
  • 4.
    OH ФЕНОЛ PHENOLUM PHENOL Оксибензол С6 Н6 О М.м.94.1 Вміст: не менше 99,0% і не більше 100,5%.
  • 5.
    Властивості: безбарвні, абоблідо-рожеві, або блідо- жовтаві кристали або кристалічна маса, що розпливається на повітрі. Розчинний у воді, дуже легко розчиний у 96% спирті, гліцерині, метиленхлориді. Реакція водного розчину слабокисла.
  • 6.
    S O O HO S O O O 2 S O O ONa ONa OH -2H2O 2 +2H2SO4 2 Ca(OH)2 Ca2+ Na2CO3 -CaCO3 2 -Na2SO3, - H2O 2 H2SO4 -Na2SO4 2 NaOH, t0C Добування: 1. З природних джерел. 2.
  • 7.
    CH CH3 CH3 C CH3 CH3 OOH OH CH2 C H CH3 CH3 C CH3 O + O2, 1000C H2SO4 + 3.
  • 8.
  • 9.
    OH OFeCl2+ FeCl3+ HCl В. C. OH OH Br Br Br+ 3Br2 + 3HBr OH OH OH OH OH OH O O пірокатехін резорцин гідрохінон
  • 10.
  • 11.
    OH OHON O NOH OH OHNO HNO2, HCl 2. N N C6 H5 CH3 O CH3 NH2 OH N N C6 H5 CH3 O CH3 NO + K3[Fe(CN)6); [OH ] _ 3.
  • 12.
    ONa ONaCl2 CH ONaC O H ONaONa C OH ONa CH ONa ONa O C ONa ONa CHCl3, t0C +2 - H2O - 2HCl H2O 4.
  • 13.
  • 14.
    OH OH NO O NOH O NNa OOO HNO3 O + _ Na OH + _ OH OClN Cl Cl ON Cl Cl OH+ - HCl 6. 7. NaOH або NH4OH
  • 15.
    KBrO3 + 5KBr +6HCl → 3Br2 + 6KCl + 3H2 O OH OH Br Br Br+ 3Br2 + 3HBr CHCl3 Кількісне визначення: 1. Метод броматометрії, зворотне титрування; метод піпетування; індикатор – крохмаль; s = 1: Br2 + 2KI → I2 + 2KBr I2 + 2Na2 S2 O3 → 2NaI + Na2 S4 O6 млг sмМСм T фенолуKBrO фенолKBrO / 1000 ..3 3 / ⋅⋅ = ( ) . ...дослід.контр. 100 (%) 322322322 пипн кмOSNaOSNaOSNa Vm VТКVV X ⋅ ⋅⋅⋅⋅− = ідоснов.дослвв
  • 16.
    OH OH I I I+ 3I2+ 3HI Нефармакопейні методи кількісного визначення: 2. Метод йодометрії, зворотне титрування; індикатор – крохмаль; s = 1/3: HI + CH3 COONa → CH3 COOH + NaI I2 + 2Na2 S2 O3 → 2NaI + Na2 S4 O6 млг sмМСм T фенолуI фенолI / 1000 ..2 2 / ⋅⋅ = ( ) н OSNaOSNaII m ТКVКV Х 100 (%) 32232222 ⋅⋅⋅−⋅ =
  • 17.
    OH OH I I I+ 3ICl+ 3HCl 3. Метод йодохлорометрії, зворотне титрування; індикатор – крохмаль; s = 1/3: . ICl + KI → I2 + KCl I2 + 2Na2 S2 O3 → 2NaI + Na2 S4 O6 млг sмМСм T фенолуICl фенолICl / 1000 .. / ⋅⋅ = ( ) н OSNaOSNaIClICl m ТКVКV X 100 (%) 322322 ⋅⋅⋅−⋅ =
  • 18.
    Застосування: Розчини фенолумають сильну бактерицидну активність відносно вегетативних форм мікроорганізмів; на спори впливають слабо. Застосовують у вигляді 3% або 5% розчину для дезінфекції предметів домашнього та лікарняного побуту, інструментів, білизни, виділень і т.п. Для дезінфекції приміщень застосовують мильно-карболовий розчин. Фенол використовують також в цілях дезинсекції; застосовують фенольно-гасові, фенольно-скипидарні та інші суміші. В фармацевтичній практиці використовують фенол (0,5-0,1%) для консервації лікарських засобів, сироваток, свічок і ін.
  • 19.
    NH2 NH2 OH NH O NHCOCH3 Простейшим амином ароматическогоряда является анилин, который способен снижать температуру тела, но из-за своей токсичности в медицинской практике не применяется. В качестве жаропонижающего средства применялся ацетанилид (антифебрин). Он менее токсичный, но при длительном применении также вызывает отравления. Установлено, что анилин, образующийся в результате гидролиза ацетанилида, окисляется в организме до п-аминофенола. Такое окисление можно рассматривать как защитную реакцию, так как п-аминофенол менее токсичный и сравнительно легко выводится из организма. В результате изучения фармакологического действия производных п-аминофенола были синтезированы малотоксичные лекарственные средства парацетамол и фенацетин. Создание новых лекарственных средств на основе продуктов преобразования анилина в организме известно под названием "принцип фенацетина". Лекарственные препараты, ацетилированные производные пара-аминофенола
  • 20.
    OH NHCOCH3 ПАРАЦЕТАМОЛ PARACETAMOLUM (ДФУ1.1) PARACETAMOL N-(4-Гидроксифенил)ацетамид C8 H9 NO2 М.м. 151.2 Свойства: Белый кристаллический порошок. Умеренно растворим в воде, легко растворим в 96% спирте, очень легко растворим в эфире и метиленхлориде.
  • 21.
    OH NHCOCH3 OH OH NO OH NH2 NaNO2 H2S;NH3 CH3COOH -H2OH2SO4 Получение: Идентификация: А. Температура плавлення от 168°С до 172°С.
  • 22.
    В. УФ-спектрофотометрия: λ= 249 нм; 980860%1 1 =смА bC A A см ⋅ =%1 1 Удельный показатель поглощения рассчитывают, исходя из измеренной оптической плотности для растворов с известной концентрацией: b – длина оптического пути, в сантиметрах; = 1 см
  • 23.
    С. ИК-спектр поглощениясубстанции должен соответствовать спектру ФСО парацетамола
  • 24.
    NHCOCH3 OH NH2 OH NH O OH NH2 N NH2 O NNH OH HCl, t0C K2Cr2O7 -H2O- CH3COOH D. Реакция образования индофенола
  • 25.
    NHCOCH3 OH NH2 OH H2O, t0C + CH3COOH La3++ 3CH3COO + 2H2O t0C, NH4OH, I2_ La(OH)2CH3COO + 2CH3COOH E. Субстанция дает реакцию на ацетил.
  • 26.
    NHCOCH3 OH NH2 OH H+, t0C + CH3COOH Нефармакопейныереакции идентификации: 1. CH3 C OC2 H5 O CH3COOH + C2H5OH к. H2SO4, t0C + H2O– – 9CH3 COOˉ + 3FeCl3 + 2H2 O → → [Fe3 (OH)2 (CH3 COO)6 ]. CH3 COOˉ + 9Clˉ + 2CH3 COOH
  • 27.
    NHCOCH3 OH N R N NN NHCOCH3 ONa R - NaCl; -2H2O + 2NaOH Cl _ + 2. 3. NHCOCH3 OH NH2 OH N OH N OH N OH N NaO HCl, t0C NaNO2 Cl + NaOH - CH3COOH HCl _
  • 28.
  • 29.
    NHCOCH3 OH NH2 OH H2SO4, t0C + CH3COOH NH O NH2 OH +2Ce(SO4)2 + Ce2(SO4)3 + H2SO4 H+ Количественное определение: 1. Метод цериметрии,  прямое  титрование;  индикатор  –  ферроин; s = 1/2:
  • 30.
  • 31.
    NHCOCH3 OH NH2 OH NH2 OH N OH N   HCl, t0C - CH3COOH NaNO2,HCl Cl + KBr _ Нефармакопейные методы количественного определения: 2. Метод определения аминного азота в соединениях, содержащих первичную ароматическую аминогрупу (метод нитритометрии);  s = 1
  • 32.
    Точку  эквивалентности  определяют электрометрическими  методами или  с  помощью  внешнего  индикатора  –  йодкрахмальной  бумаги; s = 1.  2KIO3 + 5NaNO2 + 2HCl → → I2 + 5NaNO3 + 2KCl + H2O  ( ) н опытеконтр.вNaNOопытеосн.вNaNO m 100ТКVV (%)Х 22 ⋅⋅⋅− = н NaNO m 100ТКV (%)Х 2 ⋅⋅⋅ = 1000 s.м.МСм Т лпарацетамоNaNO лпарацетамо/NaNO 2 2 ⋅⋅ =
  • 33.
    3.  Метод алкалиметрии; прямое  титрование  с  контрольным  опытом; индикатор – фенолфталеин; s = 1. CH3COOH + NaOH → CH3COONa + H2O HCl + NaOH → NaCl + H2O  NHCOCH3 OH NH2 OH HCl, t0C + CH3COOH ( ) н опыте.контрвNaOHопыте.основвNaOH m 100ТКVV (%)X ⋅⋅⋅− =
  • 34.
    Применение:  Оказывает  жаропонижающее и  болеутоляющее  действие,  обладает  слабой  противовоспалительной  активностью.  При  длительном  применении,  особенно  в  больших  дозах,  может  оказывать  нефротоксическое  и  гепатотоксическое  действие.  Имеется  целый  ряд  комбинированных  лекарственных  форм,  содержащих  парацетамол:  Колдрекс  (сочетание  с  мезатоном,  кофеином,  терпингидраом,  кислотой  аскорбиновой);  Солпадеин  (сочетание  с  кодеином  и  кофеином);  Панадеин (сочетание с кодеином фосфатом); Панадол-экстра (сочетание  с  кофеином)  и  др.  –  применяются  при  головной  боли  и  простудных  заболеваниях.
  • 35.
    Висновки 1.Розглянуто добування, реакціїідентифікації та кількісне визначення фенолу. 2.Розглянуто добування, реакції ідентифікації та кількісне визначення парацетамолу.