WEBINAR ON DISCRETE TIME SYSTEM
ANALYSIS
Day 5 – 24/7/2020
1
K.Vijay Anand - Associate Professor
Department of Electronics and Instrumentation Engineering
R.M.K Engineering College
Recap:
SOLUTION OF DIFFERENCE EQUATION
Agenda
Convolution :
Linear Convolution
 Circular Convolution
CONVOLUTION
DIFFERENCE BETWEEN LINEAR AND CIRCULAR
LINEAR CONVOLUTION
If x(n) have L number of samples
the h(n) have M number of
samples the result y(n)wil have
N=L+M-1 number of samples.
CIRCULAR CONVOLUTON
If x(n) have L number of samples
the h(n) have M number of
samples the result y(n)wil have
N=MAX[L,M] number of samples
CONVOLUTION
• LINEAR CONVOLUTION
• CIRCULAR CONVOLUTION
LINEAR CONVOLUTION
• GRAPHICAL METHOD
• TABULATION METHOD
• MATRIX MULTIPLICATION METHOD
Problem 1
• Determine the output response y(n)=(1,1,1) & x(n)=(1,2,3,1)
CIRCULAR CONVOLUTION
• CONCENTRIC CIRCLE METHOD
• MATRIX MULTIPLICATION METHOD
STEPS INVOLVED IN CONCENTRIC CIRCLE METHOD
STEP 1 : ARRANGE THE VALUES OF X (N) ANTICLOCKWISE DIRECTON IN OUTER CRCLE
STEP 2 : ARRANGE VALUE OF H (N) IN CLOCKWISE DIRECCTION IN INNER CIRCLE
STEP 3 : MULTIPLY IN CORRESPODING VALUES AND ALL THE ADD VALUES
STEP 4 : IF THE VALUES OF N IS POSITIVE ROTATE IN INNER CIRCLE IN ANTICOCKWISE DIRECTION AND REPEAT STEP 3
STEP 5: REPEAT STEP 4 UNTIL ALL THE ELEMENT ARE ARRANGED AS IN THE INITIAL STEP
STEPSINVOLVED IN MATRIX MULTIPICATION METHOD
• ARRANGE THE VALES OF X1(N)& X2(N) IN MATRIX FORMS OF
FOLLOWS
• IN THE ABOVE REPRENTATON X2(N) IS ROTATED CIRCULARLY AND IT IS
REPRESENTED IN NXN FORM
• X1 (N) IS REPRESENTED IN COLUMN MATRIX FORM
• WHEN THE BOTH OF THESE X1(N ) AND X2(N) ARE MULTIPLIED,X3(N)
CAN BE OBTANED COLUMN MATRIX FORM
PROBLEM 1
FIND THE CIRCULAR CONVOLUTION OF TWO FINITE DURATION SEQUENCES
X1(n)={1,-1,-2,3,-1} X2(n)={1,2,3}
SOLUTION
GIVEN DATA X1(n)={1,-1,-2,3,-1} AND X2(n)={1,2,3}
THE LENGTH OF X1(n)=5
THE LENGTH OF X2(n)=3
THE LENGTH OF X3(n)=MAX[5,3] =5
SO TWO ZEROS WILL BE APPENDED TO THE X2(n) SEQUENCE
• (IE) NEW X2(N)={1,2,3,0,0}
PROBLEM 2
• FIND THE CIRCULAR CONVOLUTON OF THE TWO SEQUENCES
X1(N)={1,2,2,1} AND X2(N)={1,2,3,1} BY USING
• CONCENTRIC CIRCLE METHOD
• MATRIX METHOD
SOLUTION
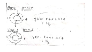
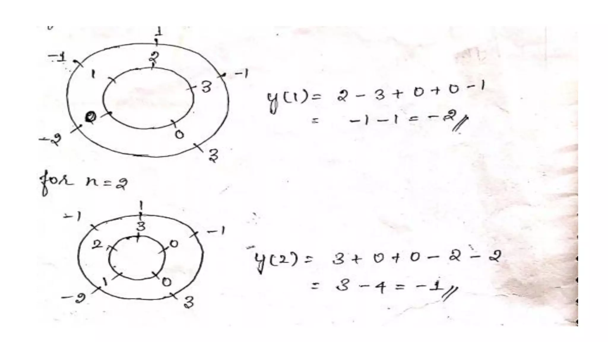
GIVEN DATA X1(N)={1,2,2,1} X2(N)={1,2,3,1}
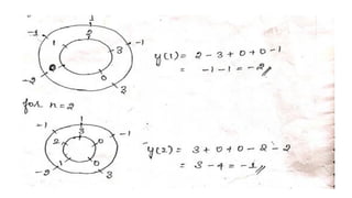
CONCENTRIC CIRCLE METHOD
HERE VALUE OF N =4 SINCE LENGTH OF M L=4
STEP 1 ARRANGE THE ELEMENT OF X1(N)&X2(N)
X1(N)={1,2,2,1} X2(N)={1,2,3,1}
PROBLEM :
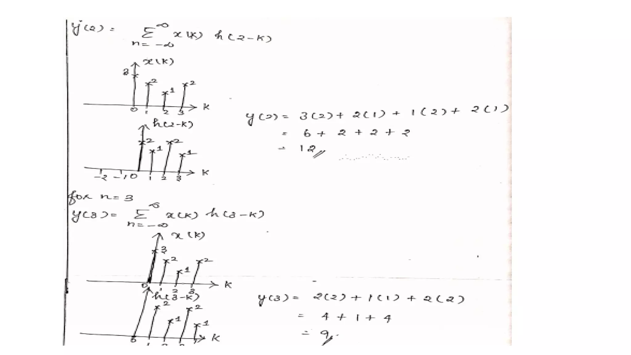
• GIVEN SEQUENCES X1(N) ={1,2,3,4};X2(N)={1,1,2,2,} FIND X3(N) SUCH
THAT X3(K)=X1(k).X2(K)
• SOLUTION
• X3(N)=IDFT[X3(K)] = IDFT[X1(k).X2(K)
= X1 (N) N X2 (N)
DO CIRCULAR CONVOLUTION TO FIND X3 (N)
X1 (N) ={1,2,3,4}
x2 (N) ={1,1,2,2}
PROBLEM
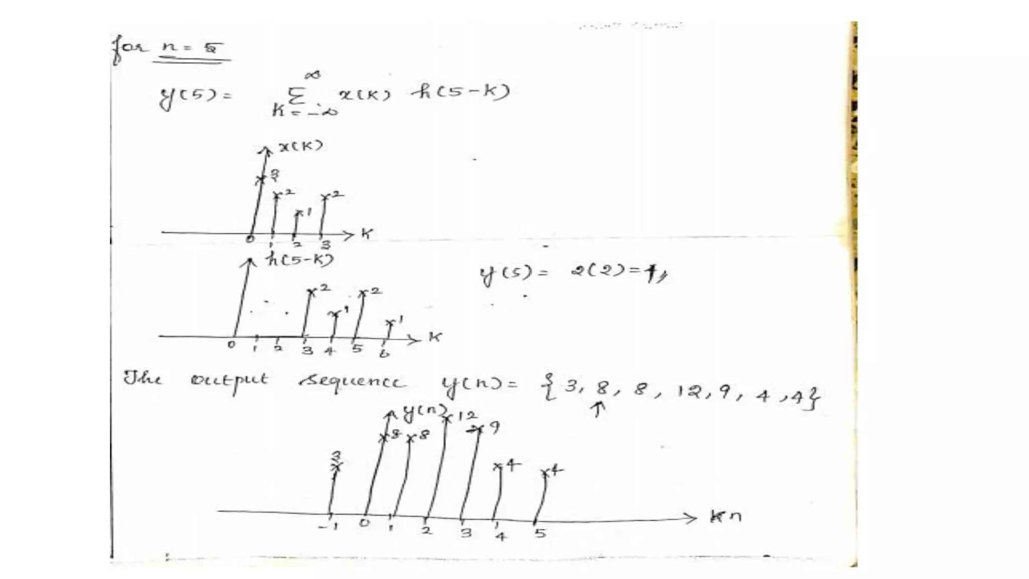
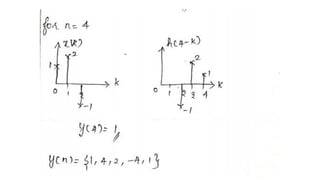
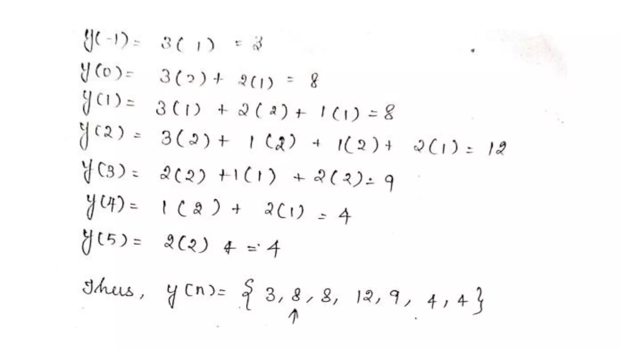
• CONSIDER THE SEQUENCES X1(N)={0,1,2,3,4}
X2(N)={0,1,0,0}.DETERMINE A SEQUENCES Y(N) SO THAT
Y(K)=X1(K).X2(K)
• SOLUTION
• USING CIRCULAR CONVOLUTION THE VALUE OF Y(n) CAN FOUND
OUT BY USING X1(N)&X2(N)
QUIZ QUESTIONS
THANK YOU

Convolution linear and circular using z transform day 5

  • 1.
    WEBINAR ON DISCRETETIME SYSTEM ANALYSIS Day 5 – 24/7/2020 1 K.Vijay Anand - Associate Professor Department of Electronics and Instrumentation Engineering R.M.K Engineering College
  • 2.
  • 3.
  • 4.
  • 5.
    DIFFERENCE BETWEEN LINEARAND CIRCULAR LINEAR CONVOLUTION If x(n) have L number of samples the h(n) have M number of samples the result y(n)wil have N=L+M-1 number of samples. CIRCULAR CONVOLUTON If x(n) have L number of samples the h(n) have M number of samples the result y(n)wil have N=MAX[L,M] number of samples
  • 6.
  • 7.
    LINEAR CONVOLUTION • GRAPHICALMETHOD • TABULATION METHOD • MATRIX MULTIPLICATION METHOD
  • 26.
    Problem 1 • Determinethe output response y(n)=(1,1,1) & x(n)=(1,2,3,1)
  • 30.
    CIRCULAR CONVOLUTION • CONCENTRICCIRCLE METHOD • MATRIX MULTIPLICATION METHOD
  • 31.
    STEPS INVOLVED INCONCENTRIC CIRCLE METHOD STEP 1 : ARRANGE THE VALUES OF X (N) ANTICLOCKWISE DIRECTON IN OUTER CRCLE STEP 2 : ARRANGE VALUE OF H (N) IN CLOCKWISE DIRECCTION IN INNER CIRCLE STEP 3 : MULTIPLY IN CORRESPODING VALUES AND ALL THE ADD VALUES STEP 4 : IF THE VALUES OF N IS POSITIVE ROTATE IN INNER CIRCLE IN ANTICOCKWISE DIRECTION AND REPEAT STEP 3 STEP 5: REPEAT STEP 4 UNTIL ALL THE ELEMENT ARE ARRANGED AS IN THE INITIAL STEP
  • 32.
    STEPSINVOLVED IN MATRIXMULTIPICATION METHOD • ARRANGE THE VALES OF X1(N)& X2(N) IN MATRIX FORMS OF FOLLOWS
  • 33.
    • IN THEABOVE REPRENTATON X2(N) IS ROTATED CIRCULARLY AND IT IS REPRESENTED IN NXN FORM • X1 (N) IS REPRESENTED IN COLUMN MATRIX FORM • WHEN THE BOTH OF THESE X1(N ) AND X2(N) ARE MULTIPLIED,X3(N) CAN BE OBTANED COLUMN MATRIX FORM
  • 34.
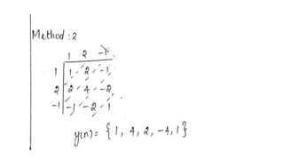
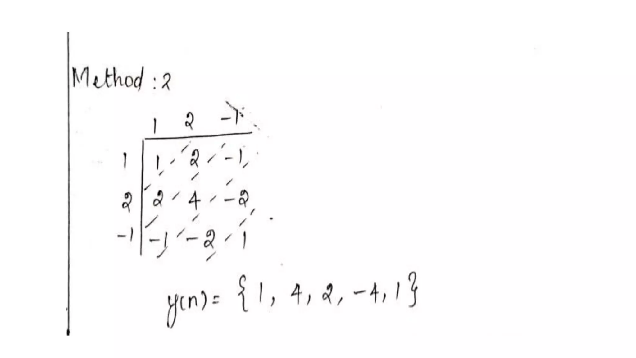
    PROBLEM 1 FIND THECIRCULAR CONVOLUTION OF TWO FINITE DURATION SEQUENCES X1(n)={1,-1,-2,3,-1} X2(n)={1,2,3} SOLUTION GIVEN DATA X1(n)={1,-1,-2,3,-1} AND X2(n)={1,2,3} THE LENGTH OF X1(n)=5 THE LENGTH OF X2(n)=3 THE LENGTH OF X3(n)=MAX[5,3] =5 SO TWO ZEROS WILL BE APPENDED TO THE X2(n) SEQUENCE • (IE) NEW X2(N)={1,2,3,0,0}
  • 40.
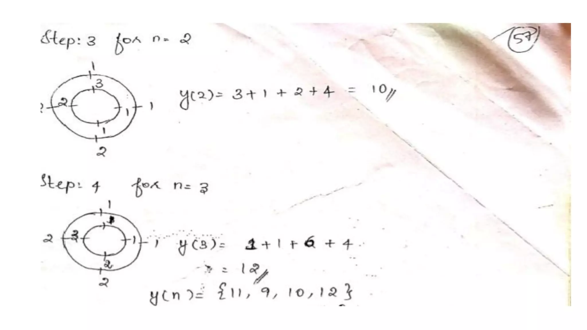
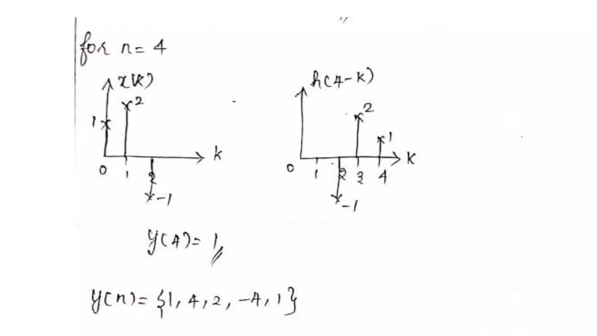
    PROBLEM 2 • FINDTHE CIRCULAR CONVOLUTON OF THE TWO SEQUENCES X1(N)={1,2,2,1} AND X2(N)={1,2,3,1} BY USING • CONCENTRIC CIRCLE METHOD • MATRIX METHOD SOLUTION GIVEN DATA X1(N)={1,2,2,1} X2(N)={1,2,3,1} CONCENTRIC CIRCLE METHOD HERE VALUE OF N =4 SINCE LENGTH OF M L=4 STEP 1 ARRANGE THE ELEMENT OF X1(N)&X2(N)
  • 44.
  • 45.
    PROBLEM : • GIVENSEQUENCES X1(N) ={1,2,3,4};X2(N)={1,1,2,2,} FIND X3(N) SUCH THAT X3(K)=X1(k).X2(K) • SOLUTION • X3(N)=IDFT[X3(K)] = IDFT[X1(k).X2(K) = X1 (N) N X2 (N) DO CIRCULAR CONVOLUTION TO FIND X3 (N) X1 (N) ={1,2,3,4} x2 (N) ={1,1,2,2}
  • 49.
    PROBLEM • CONSIDER THESEQUENCES X1(N)={0,1,2,3,4} X2(N)={0,1,0,0}.DETERMINE A SEQUENCES Y(N) SO THAT Y(K)=X1(K).X2(K) • SOLUTION • USING CIRCULAR CONVOLUTION THE VALUE OF Y(n) CAN FOUND OUT BY USING X1(N)&X2(N)
  • 54.
  • 60.