Digital Signal Processing
Ladi Sandip Kumar
Introduction
I Powerful,Smaller,Faster and Cheaper Digital Computers
I Systems comprising Digital Circuits
I programmable operations (software) by Digital Processing
Hardware
Signals, Systems and Signal Processing
I A Signal is defined as any physical quantity that varies with
time, space or any other independent variable or variables
I Mathematical Description:
e.g. s1(t) = 2t
s2(t) = 5t2
s(x, y) = 4x + xy + 5y2
I Real time signals: e.g speech,image, video, ECG, EEG etc
I speech, ECG, EEG evolve as function of one independent
variable i.e. time
I Image and Video evolve as function of more than one
independent variable i.e. time and space
I Signal Sources e.g vocal cords, camera etc
I signal generation is usually associated with a system that
responds to a stimulus or force
I The Stimulus combined with system is called signal source
I A system is defined as a physical device that performs an
operation on a signal
I e.g Filters
I processing refers to passing a signal through a system, thereby
leading to signal processing
I A digital system comprises of digital hardware and software
Basic elements of DSP Systems
I Analog signal–functions of continuous variable e.g. time,
space etc.
I analog input −− > analog signal processor−− > analog
output
I Analog Signal Processor example: filters, frequency analyzers,
frequency multipliers
I analog input −− > A/D converter −− > Digital Signal
Processor −− > D/A converter −− > Analog Output
Analog Signal Processing Digita Signal Processing
1 Reconfiguration involves Reconfiguration mostly involves
redesign, testing, verification modifying the software program
2 storage, transport, storage, transport,
processing is difficult processing is easy
3 Accuracy requirement are Accuracy requirements are
not under control mostly under control
I Potential Applications: speech processing, telephone signal
transmission, image processing and transmission, seismology,
geophysics, oil exploration, detection of nuclear explosions,
satellite signal processing etc
Classification of Signals
1. Continuous time versus Discrete time signals
2. Continuous valued versus Discrete Valued Signals
3. Deterministic versus Random Signals
4. Multichannel versus Multidimensional Signals
Continuous time Vs Discrete time Signals
I continuous time signals or analog signals are defined for every
value of time and they take on values in the continuous
interval (a, b)
I (a, b) ⊆ (−∞, ∞)
I Mathematically they are functions of continuous variable
I e.g. x1(t) = sin πt, x2(t) = e−|t|, −∞ < t < ∞
t
x1(t)
t
x2(t)
I Discrete time signals are defined only at certain specific values
of time
I Those specific values of time need not be equidistant, but for
computational convenience and mathematical tractability they
are chosen at equally spaced intervals
I e.g x(tn) = e−tn , for n = 0, ±1, ±2, ...
I for equally spaced interval T,
tn = nT ⇒ x(tn) = x(nT) ⇒ x(tn) = x(n)
I Thus a discrete time signal can be represented mathematically
by a sequence of real or complex numbers
I e.g. x(n) = 0.6n, n ≥ 0, and, 0, n < 0
−1 1 2 3 4 5 6 7 8
0.2
0.4
0.6
0.8
1
n
x(n)
In applications discrete time signal may arise in two ways:
1. Sampling: i.e. by selecting values of an analog signal at
discrete time instants.
2. By accumulating a variable over a period of time, e.g.
Recording mean temperature of a place every day, recording
oxygen level of a Corona patient at 9:00 am everyday
Continuous valued vs Discrete valued Signals
I If a signal takes on all possible values on a finite or an infinite
range, it is said to be a continuous valued signal
I If the signal takes on values from a finite set of possible
values, it is said to be discrete valued signal
I A signal that is discrete in time and discrete in value is called
a digital signal
I The process of converting a continuous valued signal into a
discrete valued signal is called quantization
−1 1 2 3 4 5 6 7 8
1
2
3
4
n
x(n)
Deterministic vs random signals
I Any signal that can be uniquely described by an explicit
mathematical expression, a table of data or a well defined rule
is called deterministic
I which implies all past, present and future values of the signal
are known precisely without any uncertainty
I The signals that cannot be described by explicit mathematical
formula, which basically evolve in time in an unpredictable
manner are referred to as random
I statistical techniques are employed in the analysis of random
signals
Multichannel and Multidimensional signals
I Signals generated by multiple sources are often required to
combine for parallel processing. Such signals can be
represented mathematically by vectors. e.g
S3(t) =


s1(t)
s2(t)
s3(t)


I We refer to such a vector of signals as a multichannel signal
I A signal is called M-dimensional if it’s value is a function of M
independent variables. e.g I(x, y, t) is a 3-dimensional signal
I A 3-channel-3-dimensional signal is as follows
I(x, y, t) =


Ir (x, y, t)
Ig (x, y, t)
Ib(x, y, t)


Discrete-Time Signals and Systems
I A discrete time signal x(n) is a function of an independent
variable that is an integer
I A discrete time signal is not defined at instants between two
adjacent samples
I Also if n is not an integer it does not mean that x(n) = 0,
rather the signal x(n) is not defined for non integer values of n
Alternative representation of Discrete Time Signals
1. Functional Representation, such as
x(n) =





1 for n= 1,3
4 for n=2
0 elsewhere
2. Tabular representation, such as
n ... -2 -1 0 1 2 3 4 5 ...
x(n) ... 0 0 0 1 4 1 0 0 ...
3. Sequence Representation, such as
x(n) = { ... 0, 0, 1, 4, 1, 0, 0, ... }
↑
x(n) = { 0, 1, 4, 1, 0, 0, ... }
↑
x(n) = { 3, -1, -2, 5, 0, 4, -1 }
↑
x(n) = { 0, 1, 4, 1 }
↑
Some elementary Discrete-time signals
1 The unit sample sequence also called unit impulse is defined
as follows
δ(n) =
(
1 for n=0
0 for n6= 0
2 The unit step signal is denoted as u(n) and is defined as
u(n) =
(
1 for n ≥ 0
0 for n < 0
3 The unit ramp signal is denoted as ur (n) and is defined as
ur (n) =
(
n for n ≥ 0
0 for n < 0
4 The exponential signal is a sequence of the form
x(n) = an
for all n
x(n) being real when a is real, but when a is complex, we can
represent a as a = rejθ so that
x(n) = rn
ejnθ
= rn
(cos θn + j sin θn)
(1)
Alternatively we denote the amplitude function
|x(n)| = A(n) = rn
and the phase function
∠x(n) = φ(n) = θn
−4−3−2−1 1 2 3 4
0.2
0.4
0.6
0.8
1
n
δ(n)
−4−3−2−1 1 2 3 4
0.2
0.4
0.6
0.8
1
n
u(n)
−4−3−2−1 1 2 3 4
1
2
3
4
n
ur (n)
−4
−3
−2
−1 1 2 3 4 5
10
20
30
n
x(n)
a > 1
−4
−3
−2
−1 1 2 3 4 5
5
10
15
n
x(n)
0 < a < 1
−4
−3
−2
−1 1 2 3 4 5
−4
−2
2
4
n
x(n)
a < −1
−4
−3
−2
−1 1 2 3 4 5
−2
2
4
n
x(n)
−1 < a < 0
Classification of discrete time signals
I Energy Signals and Power Signals
I Symmetric(even) and antisymmetric(odd) signals
I Periodic Signals and Aperiodic Signals
Energy Signals and Power Signals
I The energy E of a signal x(n) is defined as
E =
∞
X
n=−∞
|x(n)|2
I The energy E of the signal can be finite or infinite
I If E is finite i.e 0 < E < ∞ then x(n) is called an Energy
Signal
I Average power of a discrete time signal x(n) is defined as
P = lim
N→∞
1
2N + 1
N
X
n=−N
|x(n)|2
I If E is finite, average power P = 0
I If E is infinite, average power P may be either finite or infinite
I If 0 < P < ∞ the signal is called a Power Signal
Example
1. Determine the average power and energy of unit step and unit
ramp sequence
sol. for x(n) = u(n)
E =
∞
X
n=−∞
|u(n)|2
=
−1
X
n=−∞
|0|2
+
∞
X
n=0
|1|2
= ∞
and
P = lim
N→∞
1
2N + 1
N
X
n=−N
|u(n)|2
= lim
N→∞
1
2N + 1
{
−1
X
n=−N
|0|2
+
N
X
n=0
|1|2
} = lim
N→∞
N + 1
2N + 1
=
1
2
it is evident that unit step sequence is a Power signal
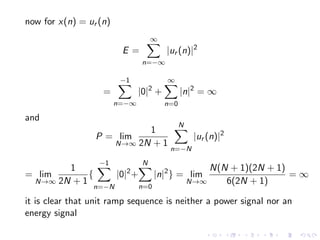
now for x(n) = ur (n)
E =
∞
X
n=−∞
|ur (n)|2
=
−1
X
n=−∞
|0|2
+
∞
X
n=0
|n|2
= ∞
and
P = lim
N→∞
1
2N + 1
N
X
n=−N
|ur (n)|2
= lim
N→∞
1
2N + 1
{
−1
X
n=−N
|0|2
+
N
X
n=0
|n|2
} = lim
N→∞
N(N + 1)(2N + 1)
6(2N + 1)
= ∞
it is clear that unit ramp sequence is neither a power signal nor an
energy signal
Symmetric(even) and antisymmetric(odd) signals
I A real valued signal x(n) is called symmetric(even) if
x(−n) = x(n)
and called antisymmetric(odd) if
x(−n) = −x(n)
I Even component of an arbitrary signal
xe(n) =
x(n) + x(−n)
2
and the odd component
xo(n) =
x(n) − x(−n)
2
I Now xe(n) + xo(n) = x(n)
Example
1. Separate x(n) into its even and odd components where
x(n) = { 1, 2, 1, 2, 1
2, 1
2 }
↑
sol.
x(−n) = { 1
2, 1
2, 2, 1, 2, 1 }
↑
xe(n) = x(n)+x(−n)
2
= { 1
4, 1
4, 1, 1
2, 1, 1 1 1
2 1 1
4
1
4}
↑
xo(n) = x(n)−x(−n)
2
= { -1
4, -1
4, -1, -1
2, -1, 0, 1, 1
2, 1, 1
4, 1
4}
↑
−4 −2 2 4
−1
−0.5
0.5
1
n
xo(n)
−5 5
0.2
0.4
0.6
0.8
1
n
xe(n)
Periodic Signals and Aperiodic Signals
Concept of frequency
Continuous Time Sinusoidal
xa(t) = A cos(Ωt + θ) or A cos(2πFt + θ), −∞ < t < ∞
Amplitude(A), Frequency(Ω or F), Phase(θ )
1. For a fixed F, xa(t) is periodic i.e xa(t + Tp) = xa(t),
Tp = 1/F
2. Continuous time sinusoidal signals with distinct frequencies
are themselves distinct
3. Increasing frequency F results in an increase in the rate of
oscillation of the signal
Discrete time Sinusoidal
x(n) = A cos(ωn + θ) or A cos(2πfn + θ), −∞ < n < ∞
A and θ bear the same terminology and ω being frequency in
radian/sample and f , frequency in cycles/sample
1 A discrete time signal is periodic only if it’s frequency is a
rational number.
A discrete time signal x(n) is periodic with period N(N > 0)
iff
x(n + N) = x(n)
for all n. The smallest possible value of N is known as
fundamental period.
For a discrete time sinusoid to be periodic, f0 should be
rational i. e. f0 = k
N
2 Discrete time sinusoids whose frequencies are separated by an
integer multiple of 2π are identical and −π ≤ ω ≤ π,
−1
2 ≤ f ≤ 1
2
3 The highest rate of oscillation in a discrete time sinusoid is
attained when ω = πor − π or f = 1
2or − 1
2
Fundamental range: 0 ≤ ω ≤ 2π or −π ≤ ω ≤ π or 0 ≤ f ≤ 1
or −1
2 ≤ f ≤ 1
2
4 when x(n + N) 6= x(n), the signal is called aperiodic or
nonperiodic
5 periodic signals are power signals
Problem Determine if the signals are periodic, if periodic then
determine their fundamental period
a x1(n) = cos(3πn)
b x2(n) = sin(3n)
c xa(t) = 3cos(5t + π/6)
d x(n) = 3cos(5n + π/6)
Simple Modifications of Discrete Time Signals
Transformation of independent variable(e.g time)
I To shift a signal x(n) in time it is required to replace the n by
n − k
I When k is a positive integer, the time shift results in a delay
of the signal by k units of time
I When k is a negative integer, the time shift results in an
advance of the signal by |k| units in time
I Delay-shifting a signal to the right and Advance-shifting a
signal to the left on the time axis
I when n is replaced by −n, the resulting operation is known as
folding or reflection of the signal about the time origin n = 0
I The operation of folding and time delaying(or advancing) is
not commutative
By assuming TD as time delay and FD as folding
TDk[x(n)] = x(n − k) k > 0
FD[x(n)] = x(−n)
TDk[FD[x(n)]] = TDk[x(−n)] = x(−(n − k)) = x(−n + k)
FD[TDk[x(n)]] = FD[x(n − k)] = x(−n − k)
I when we replace n by µn where µ being an integer, the
resulting modification is referred to as time scaling or down
sampling (Ex:2.1.4)
Addition, Multiplication and Scaling of sequences
I Amplitude Scaling of a signal by a constant A is carried out
by multiplying the value of every sample by A
y(n) = Ax(n), −∞ < n < ∞
I The sum of two signals x1(n) and x2(n) is
y(n) = x1(n) + x2(n), −∞ < n < ∞
I The product of two signals is given by
y(n) = x1(n)x2(n), −∞ < n < ∞
Discrete Time Systems
I when we wish to design a device or an algorithm that
performs some prescribed operation on a discrete time signal,
such device or algorithm is called a discrete time system
I More specifically a discrete time system is a device or an
algorithm that operates on an input(excitation) according to
some well defined rule to produce an output(response) of the
system
I In general we represent x(n) as input and y(n) as output
I We say x(n) is transformed by the system into a signal y(n)
and we denote the general relationship as given by
y(n) ≡ T[x(n)]
Input-output description of Systems
I Here the exact internal structure of the system is either
unknown or ignored
I The only way to interact with the system is by using its input
and output terminals
Example
Refer Example. 2.2.1 and 2.2.2
Block Diagram representation of discrete time system
Basic building blocks
1 An adder
2 A constant Multiplier
3 A signal Multiplier
4 A unit delay element
5 A unit advance element
Example
Refer Example 2.2.3
Classification of discrete time systems
* For a system to possess a given property, the property must
hold for every possible input signal to the system
* If a property holds for some input signal and not for others,
the system does not possess that property
1 Static vs Dynamic Systems
2 Time invariant vs time variant systems
3 Linear vs Nonlinear Systems
4 Causal vs Noncausal Systems
5 Stable vs Unstable Systems
Static vs Dynamic Systems
– A discrete time system is called static or memoryless if it’s
output at any instant n depends atmost on the input sample
at the same time, but not on past or future samples of the
input
– In any other case the system is said to dynamic or to have
memory
– If output of a system depends on samples in the interval from
n − N to n(N ≥ 0), the system is said to have memory of
duration N
– If N = 0,the system is static, if 0 < N < ∞, the system is
said to have finite memory, if N = ∞ the system is said to
have infinite memory
Example
Static or Memoryless
y(n) = ax(n)
y(n) = nx(n) + bx3
(n)
Static or memory less systems are described in general by
input-output equation of the form
y(n) = T[x(n), n]
Dynamic system or system with memory
y(n) = x(n) + 5x(n − 1)
y(n) =
n
X
k=0
x(n − k)
y(n) =
∞
X
k=0
x(n − k)
Time(shift) invariant vs Time(shift) variant systems
I A system is called time invariant if it’s input output
characteristics do not change with time
I Definition: A relaxed system T is time invariant or shift
invariant if and only if
y(n) = T[x(n)]
implies that
y(n − k) = T[x(n − k)]
I If we let y(n, k) as the output of the system when input is
x(n − k) then
1. If y(n, k) = y(n − k) for all possible values of k the system is
time invariant
2. If y(n, k) 6= x(n − k) even for one value of k the system is
time variant
Example
Determine if the following systems are time invariant or time
variant.
1 y(n) = x(n) − x(n − 1)
sol. when a delayed input by k units in time is applied to this
system, we see that the response
y(n, k) = x(n − k) − x(n − k − 1)
Now if we delay the output by k units in time, then
y(n − k) = x(n − k) − x(n − k − 1)
Therefore the system is time-invariant
2 y(n) = nx(n)
sol. Here y(n, k) = nx(n − k) while y(n − k) = (n − k)x(n − k),
so this system is time variant since y(n, k) 6= y(n − k)
3 y(n) = x(−n)
sol. Here y(n, k) = x(−n − k), while
y(n − k) = x(−(n − k)) = x(−n + k), Hence this system is
time variant
Linear vs Nonlinear Systems
I A linear system is one that satisfies the superposition principle
I The principle of superposition requires that the response of
the system to a weighted sum of signals be equal to the
corresponding weighted sum of the responses of the system to
each of the individual input signals
I Definition: A relaxed system T is linear if and only if
T[a1x1(n) + a2x2(n)] = a1T[x1(n)] + a2T[x2(n)]
x1(n) and x2(n): arbitrary input sequences
a1 and a2: arbitrary constants
I Scaling property(Linear systems): Any scaling of the input
results in an identical scaling of the output
I Additivity property(Linear System): Response of the system
to whole input signal is identical to sum of the responses of
the system to individual input signals
Hence by induction, the general linearity condition is as follows
T[
M−1
X
k=1
akxk(n)] =
M−1
X
k=1
akT[xk(n)] =
M−1
X
k=1
akyk(n)
If a relaxed system does not satisfy the superposition principle as
given by the definition above, the system is called nonlinear
Example
Q. Determine if the systems are linear or nonlinear
1. y(n) = nx(n)
sol. Let us consider x(n) = a1x1(n) + a2x2(n) and also consider
y1(n) = nx1(n) and y2(n) = nx2(n)
A linear combination of the two inputs results in an output
y3(n) = T[x(n)] = T[a1x1(n) + a2x2(n)] then
y3(n) = n(a1x1(n) + a2x2(n)) = a1nx1(n) + a2nx2(n) on the
other hand a linear combination of the two outputs y1 and y2
results in the output y4 = a1y1 + a2y2 = a1nx1(n) + a2nx2(n)
since y3 = y4 the system is linear
2. y(n) = x(n2)
sol. y1(n) = x1(n2) and y2(n) = x2(n2) also
y3(n) = a1x1(n2) + a2x2(n2) = a1y1 + a2y2 = y4 hence the
system is linear
3. y(n) = x2(n)
sol. y1(n) = x2
1 (n) and y2(n) = x2
2 (n) also y3 = (a1x1 + a2x2)2
while y4 = a1y1 + a2y2 = a1x2
1 + a2x2
2 , clearly y3 6= y4 hence
the system is nonlinear
4. y(n) = Ax(n) + B
sol. y1(n) = Ax1(n) + B and y2(n) = Ax2(n) + B also
y3 = A(a1x1 + a2x2) + B but
y4 = a1y1 + a2y2 = a1(Ax1(n) + B) + a2(Ax2(n) + B) since
y3 6= y4 the system is nonlinear
Causal vs Non Causal System
I Definition: A system is said to be causal if the output y(n)
of the system at any time n depends only on present and past
inputs [x(n), x(n − 1), ...] but does not depend on future
inputs [x(n + 1), x(n + 2), ...] i.e
y(n) = F[x(n), x(n − 1), x(n − 2), ...]
I If a system does not satisfy the above definition it is called
noncausal. Such a system has an output that depends not
only on present and past inputs but also on future inputs
Example
* Determine if the following systems are causal or non causal.
y(n) = x(n) − x(n − 1), y(n) =
Pn
k=−∞ x(k), y(n) = ax(n),
y(n) = x(2n),
y(n) = x(n) + 3x(n + 4),y(n) = x(n2),y(n) = x(−n)
Stable vs Unstable Systems
I Definition: An arbitrary relaxed system is said to be bounded
input-bounded output (BIBO) stable if and only if every
bounded input produces a bounded output
There exist some finite numbers Mx and My such that
|x(n)| ≤ Mx < ∞ and |y(n)| ≤ My < ∞ for all n
I If for some bounded input sequence x(n), the output is
unbounded(infinite), the system is classified as unstable
Example
* Determine if the following system is BIBO Stable
y(n) = y2
(n − 1) + x(n)
sol consider the bounded input x(n) = Cδ(n) and C being a
constant. Assuming y(−1) = 0
The output sequence is given by y(0) = C, y(1) = C2,
y(2) = C4,..., y(n) = C2n
so the output is unbounded if
1 < |C| < ∞.Hence the System is BIBO unstable.
Analysis of discrete time Linear Time Invariant Systems
Resolution of discrete time signals into impulses
Consider an arbitrary input signal x(n), to resolve this signal into a
sum of unit sample sequence chose
xk(n) = δ(n − k)
Now
x(n)δ(n − k) = x(k)δ(n − k)
Thus
x(n) =
∞
X
k=−∞
x(k)δ(n − k)
Thus the above equation gives the resolution of or decomposition
of any arbitrary signal x(n) into a weighted(scaled) sum of shifted
unit samples.
Example
Refer example 2.3.1
The Convolution Sum
Consider a relaxed linear system, let the output of this system to
any arbitrary input signal x(n) be y(n) i.e y(n) = T[x(n)]
Consider a unit sample at n = k, δ(n − k)
Let us denote the response of the system to this unit sample
y(n, k) as h(n, k) i.e
y(n, k) ≡ h(n, k) = T[δ(n − k)]
Considering x(k) = ck and applying the scaling property of linear
systems, we write
ckh(n, k) = x(k)h(n, k)
Finally if the input x(n) is represented as
x(n) =
∞
X
k=−∞
x(k)δ(n − k)
Then from the linearity condition, the response of the system to
x(n) is the corresponding sum of weighted outputs. That is
y(n) = T[x(n)] = T[
∞
X
k=−∞
x(k)δ(n − k)]
=
∞
X
k=−∞
x(k)T[δ(n − k)]
=
∞
X
k=−∞
x(k)h(n, k)
If in addition the system is time invariant
T[δ(n − k)] = h(n, k) = h(n − k)
Consequently The response of a linear and time invariant
(LTI/LSI) system reduces to
y(n) =
∞
X
k=−∞
x(k)h(n − k)
And this expression is known as convolution sum
We say that the input x(n) is convolved with impulse response
h(n) of a LTI system to yield the output y(n)
Note
1. If the system is linear time variant then it requires infinite
number of unit sample response function h(n, k), one for each
possible delay
2. But for a LTI system, the system is completely characterized
by a single function h(n), which is the response to unit sample
sequence δ(n)
Now to find the output of a LTI system at some n = n0, we write
y(n0) =
∞
X
k=−∞
x(k)h(n0 − k)
Computation of this above convolution sum for y(n0) or in general
for y(n) involves the following steps:
1. Folding: Fold h(k) about k = 0 to obtain h(−k)
2. Shifting: shift h(−k) by n0 to the right(left) if n0 is
positive(negative), to obtain h(n0 − k)
3. Multiplication: Multiply x(k) by h(n0 − k) to obtain
vn0 (k) = x(k)h(n0 − k)
4. Summation: Sum all the values of vn0 (k) to obtain y(n0)
step-2 to step-4 must be repeated for all time shifts −∞ < n < ∞
Example
Refer example 2.3.2
Property: Convolution operation is commutative
Proof
Let m = n − k then k = n − m now
y(n) =
∞
X
k=−∞
x(k)h(n − k) =
∞
X
m=−∞
x(n − m)h(m)
Now since m is a dummy index, let us replace m by k so that
y(n) =
∞
X
k=−∞
x(n − k)h(k)
Let wn(k) = x(n − k)h(k)
Then
y(n) =
∞
X
k=−∞
wn(k) =
∞
X
k=−∞
vn(n − k)
or
y(n) =
∞
X
k=−∞
vn(k) =
∞
X
k=−∞
wn(n − k)
Example
Refer example 2.3.3
Properties of convolution and interconnection of LTI
systems
Let us denote y(n) as
y(n) = x(n) ∗ h(n) =
∞
X
k=−∞
x(k)h(n − k)
Since convolution operation is commutative, it follows that
y(n) = h(n) ∗ x(n) =
∞
X
k=−∞
h(k)x(n − k)
Hence the commutative law of convolution is
x(n) ∗ h(n) = h(n) ∗ x(n)
Convolution also satisfies the associative law, that is
[x(n)∗h1(n)]∗h2(n) = x(n)∗[h1(n)∗h2(n)] = [x(n)∗h2(n)]∗h1(n)
If we have L LTI systems in cascade with impulse responses
h1(n), h2(n), ...hL(n) then there is an equivalent LTI system with
unit impulse response
h(n) = h1(n) ∗ h2(n) ∗ ... ∗ hL(n)
The commutative law implies that the order in which the
convolution is performed is immaterial
Distributive Law:
x(n) ∗ [h1(n) + h2(n)] = x(n) ∗ h1(n) + x(n) ∗ h2(n)
This law implies that if two LTI systems with impulse response
h1(n) and h2(n) are excited by same input signal x(n) then the
sum of the two responses is identical to the response of an overall
system with impulse response h1(n) + h2(n) (parallel combination)
For L systems in parallel with impulse responses h1(n), ......hL(n)
the equivalent impulse response
h(n) =
L
X
j=1
hj (n)
Example
1. Determine the impulse response for the cascade of two LTI
systems having impulse responses h1(n) = (1
2)nu(n) and
h2(n) = u(n)
sol. Since both the systems are LTI, Using the associative property
of convolution we get
h(n) = h1(n) ∗ h2(n) =
P∞
k=−∞ h1(k)h2(n − k), here
vn(k) = (1
2)k × 1 and it is nonzero for k ≥ 0 and n − k ≥ 0
which implies for 0 ≤ k ≤ n but for n < 0 we have vn(k) = 0
for all k and hence h(n) = 0 for n < 0 but for 0 ≤ k ≤ n
h(n) =
n
X
k=0
(
1
2
)k
× 1 =
1 − (1
2)n+1
1 − 1
2
= 2 − (
1
2
)n
for n ≥ 0 i.e
h(n) = (2 − (
1
2
)n
)u(n)
Causal LTI System
Let us consider a LTI system
y(n) =
∞
X
k=−∞
h(k)x(n − k)
Now by splitting the entire sum into two parts we write
y(n) =
−1
X
k=−∞
h(k)x(n − k) +
∞
X
k=0
h(k)x(n − k)
= [h(−1)x(n + 1) + h(−2)x(n + 2) + ...] + [h(0)x(n) + h(1)x(n −
1) + h(2)x(n − 2) + ...]
Now for this system to be causal, h(n) = 0, n < 0, Thus for causal
LTI systems
y(n) =
n
X
k=−∞
x(k)h(n − k) =
∞
X
k=0
h(k)x(n − k)
Based on the above criteria we define a signal to be causal signal if
it is zero for n < 0 and the one that is nonzero for n < 0 and
n > 0 is called noncausal signal
Now if the input to a causal LTI system is a causal signal then the
output y(n) further simplifies to
y(n) =
n
X
k=0
x(k)h(n − k) =
n
X
k=0
h(k)x(n − k)
Clearly, the response of causal system to a causal input is also
causal, since y(n) = 0 for n < 0
Example
1. Determine the unit step response of the LTI system with
impulse response h(n) = anu(n) for |a| < 1
sol. since the input and the system is causal,
y(n) =
Pn
k=0 h(k)x(n − k) =
Pn
k=0 ak × 1 = 1−an+1
1−a and
y(n) = 0 for n < 0
Stability of LTI systems
Let us apply a bounded input sequence to an LTI system, since for
an LTI system
y(n) =
∞
X
k=−∞
h(k)x(n − k)
then
|y(n)| = |
∞
X
k=−∞
h(k)x(n − k)|
Now
|y(n)| ≤
∞
X
k=−∞
|h(k)||x(n − k)|
For a bounded input x(n) not exceeding Mx
|y(n)| ≤ Mx
∞
X
k=−∞
|h(k)|
It can be observed from the above that the output is also bounded
if the following condition holds
∞
X
k=−∞
|h(k)| < ∞
That is, an LTI system is stable if it’s impulse response is
absolutely summable
Example
1. Determine the range of values of a for which the LTI system
with impulse response h(n) = anu(n) is stable
sol. For stability of the system it requires that
P∞
k=−∞ |h(k)| =
P∞
k=0 |ak| < ∞, clearly this geometric series
converges if |a| < 1 and it converges to a value 1
1−|a| . Hence
the system is stable if |a| < 1 otherwise it is unstable
2. Determine the range of values of a and b for which the LTI
system h(n) = an for n ≥ 0 and h(n) = bn for n < 0 is stable
sol. This system is clearly noncausal and the stability condition
P∞
k=−∞ |h(k)| =
P−1
k=−∞ |bk| +
P∞
k=0 |ak| < ∞ should hold
and the series converges when |a| < 1 and |b| > 1
Discrete time systems and Difference equations
Impulse response types
Finite duration impulse response(FIR) Systems
* An FIR system has an impulse response that is zero outside
some finite interval
* specifically for causal FIR systems
h(n) = 0, for n < 0 and n ≥ M
* The output y(n) for such system is given by the convolution
sum
y(n) =
M−1
X
k=0
h(k)x(n − k)
* The system acts as a window that views only the most recent
M input signals to form the output
* Thus it is said that an FIR system has a finite memory of
length M
Infinite duration impulse response(IIR) systems
* An IIR LTI system has an impulse response that is of length
infinite, hence
y(n) =
∞
X
k=0
h(k)x(n − k)
assuming system to be causal
* Since this weighted sum involves the present and all the past
input samples, it is said that the system has infinite memory
* If the system is IIR its practical implementation using
convolution sum is clearly impossible
Recursive and nonrecursive discrete time systems
There are many systems where it is necessary or desirable to
express the output of the system not only in terms of the present
and past values of the input, but also in terms of the already
available past output values
Example
Design a system that computes cumulative average of a signal
x(n) in the interval 0 ≤ k ≤ n
Nonrecursive Design:
y(n) =
1
n + 1
n
X
k=0
x(k)
for n = 0, 1, ...
The computation of y(n) requires the storage of all the input
samples x(k) for 0 ≤ k ≤ n
As n grows, the memory requirement also grows linearly with n
along with number of additions and multiplication
Recursive Design
Introducing some simple algebraic rearrangement to the non
recursive design, we get
(n + 1)y(n) = x(n) +
n−1
X
k=0
x(k)
(n + 1)y(n) = x(n) + ny(n − 1)
Hence
y(n) =
1
n + 1
x(n) +
n
n + 1
y(n − 1)
Now the computation of y(n) by recursive means requires two
multiplications, one addition and one memory element.
In general, a system whose output y(n) at time n depends on any
number of past output values y(n − 1), y(n − 2), ... is called a
recursive system
The output of a causal and practically realizable recursive system
can be expressed in general as y(n) =
F[y(n−1), y(n−2), ..., y(n−N), x(n), x(n−1), x(n−2), ..., x(n−M)]
I If y(n) depends only on present and past inputs then
y(n) = F[x(n), x(n − 1), x(n − 2), ..., x(n − M)] and such
systems are called nonrecursive
I Feedback loop is present in recursive systems where it also
contains delay elements(Fig. 2.30)
I If the system is recursive, to compute y(n0) we first need to
compute all the previous values y(0), y(1), ..., y(n0 − 1)
I If the system is nonrecursive we can compute y(n0)
immediately without the knowledge of past outputs
I The output of a recursive system should be computed in
order, whereas for nonrecursive systems output can be
computed in any order
LTI systems and Constant coefficient Difference Equations
Let us consider a recursive system given by a 1st order difference
equation
y(n) = ay(n − 1) + x(n)
While a is a constant. Since it is a constant coefficient difference
equation, the system is LTI.
Let us consider an input x(n) for n ≥ 0. Assume that there exists
an initial condition y(−1).
Now solving the above equation for y(n) for n ≥ 0 beginning with
y(0), we get
y(0) = ay(−1) + x(0)
y(1) = ay(0)+x(1) = a(ay(−1)+x(0))+x(1) = a2
y(−1)+ax(0)+x(1)
y(2) = a3
y(−1) + a2
x(0) + ax(1) + x(2)
..
..
y(n) = an+1y(−1) + anx(0) + an−1x(1) + ... + x(n)
more conveniently, we can express
y(n) = an+1
y(−1) +
n
X
k=0
ak
x(n − k)
for n ≥ 0. The response y(n) consists of two parts
I First part is the result of initial condition, which is y(−1) here
I Second part is the response of the system to input x(n)
I If the system is initially relaxed at n = 0 then it’s memory
{y(−1)} should be zero
I Thus a recursive system is said to be relaxed if it starts with
zero initial condition
I Because the memory of a system describes the state of that
system, we say the system is at zero state
I The corresponding output is called zero state or forced
response denoted by yzs(n)
I In this case yzs(n) =
Pn
k=0 akx(n − k) for n ≥ 0
Here yzs(n) resembles the output of a causal LTI system with a
causal input signal x(n) and h(n) = anu(n)
Thus the relaxed recursive system is an LTI-IIR System
I If the recursive system considered is initially non
relaxed(y(−1) 6= 0) and input is intentionally not
applied(x(n) = 0 for all n)
I The output of the system with such zero input is called zero
input response or natural response or free response yzi (n)
I Thus yzi (n) = an+1y(−1) for x(n) = 0, −∞ < n < ∞ and
n ≥ 0
I Thus a recursive system with nonzero initial condition is
nonrelaxed
I The zero input response is due to the memory of the system
I Thus in general the total response of the system can be
expressed as y(n) = yzi (n) + yzs(n)
The general form of linear constant coefficient difference equation
is
y(n) = −
N
X
k=1
aky(n − k) +
M
X
k=0
bkx(n − k)
or by considering a0 = 1
N
X
k=0
aky(n − k) =
M
X
k=0
bkx(n − k)
The integer N is called the order of the difference equation or the
order of the system
Recursive LTI systems and Linearity requirement
I The total response is equal to the sum of zero input and zero
state response(y(n) = yzs(n) + yzi (n))
I The principle of superposition applies to the zero state
response(zero state linear)
I The principle of superposition applies to zero input response
A system that does not satisfy all three separate requirements is by
definition nonlinear
Example: Refer example 2.4.2
Recursive LTI systems and Time invariancy
Since ak and bk are constants the generalized recursive LTI system
is time invariant.
Recursive LTI Systems and Stability
The Recursive LTI system is BIBO Stable if and only if for every
bounded input and every bounded initial condition the total system
response is bounded
Example
Refer example 2.4.3
Solution of Linear Constant Coefficient Difference Equation
The total solution y(n) is the sum of two parts
y(n) = yh(n) + yp(n)
yh(n) :homogeneous or complementary solution
yp(n) :Particular Solution
Homogeneous solution
By assuming x(n) = 0 we first obtain the solution to the
homogeneous difference equation
N
X
k=0
aky(n − k) = 0
The homogeneous solution is assumed to be of exponential form
below
yh(n) = λn
By substituting the assumed solution we get
N
X
k=0
akλn−k
= 0
λn
+ a1λn−1
+ a2λn−2
+ ... + anλn−N
= 0
or
λn−N
(λN
+ a1λN−1
+ a2λN−2
+ ... + aN−1λ + aN) = 0
The polynomial in parentheses is called the characteristic
polynomial of the system
This polynomial in general has N roots. Assuming the roots to be
λ1,λ2,λ3,..., λN.
Assuming all the roots to be distinct, the most general solution to
the homogeneous difference equation is
yh(n) = C1λn
1 + C2λn
2 + C3λn
3 + ... + CNλn
N
where C1,C2,...,CN are arbitrary constants or weighting coefficients.
The coefficients are determined from the initial conditions specified
for the system
Example
Refer Example. 2.4.4 and 2.4.5
If the characteristic equation contains multiple roots the form of
the solution yh(n) must be modified
e.g. if λ1 is a root of multiplicity m, then yh(n) =
C1λn
1 +C2nλn
1 +C3n2λn
1 +...+Cmnm−1λn
1 +Cm+1λn
m+1 +...+CNλN
Particular Solution
The particular solution yp(n) is required to satisfy the difference
equation for the specific input signal x(n), n ≥ 0. That is yp(n) is
any solution satisfying
N
X
k=0
akyp(n − k) =
M
X
k=0
bkx(n − k)
a0 = 1. To solve the above equation we assume for yp(n), a form
that depends on the form of the input x(n)
Example
Refer Example 2.4.6 and 2.4.7
Input Signal particular solution
x(n) yp(n)
A(constant) K
AMn KMn
AnM K0nM + K1nM−1 + ... + KM
AnnM An(K0nM + K1nM−1 + ... + KM)
Acos(ω0n) K1cos(ω0n) + K2sin(ω0n)
Asin(ω0n) K1cos(ω0n) + K2sin(ω0n)
Total solution
y(n) = yp(n) + yh(n)
Example
Refer Example 2.4.8 and 2.4.9
The impulse response of a LTI Recursive system
In case of recursive system h(n) is simply equal to the zero state
response of the system when the input x(n) is δ(n) and the system
is initially relaxed
Example
Refer Example. 2.4.10
Correlation of discrete time signals
I The objective of computing the correlation between two
signals is to measure the degree to which two signals are
similar
I Applications include radar, sonar, digital communication,
geology etc.
I Assume two signals x(n) and y(n) that we wish to compare
I In radar and sonar applications x(n) and y(n) may represent
sampled version of transmitted and received signal
I If a target is present in the space being searched by the radar
or sonar, the received signal y(n) consists of the delayed
version of the transmitted signal reflected from the target and
corrupted by noise
I Received signal sequence can be represented as
y(n) = αx(n − D) + w(n), α:round trip attenuation, D:round
trip delay, w(n):noise
I If there is no target in the space searched by radar or sonar,
the received signal y(n) consists of noise alone
I Here the task is to compare y(n) and x(n) to determine if a
target is present and if so to determine the time delay D and
compute the distance to the target
I in practice visual inspection of y(n) is difficult due to the
presence of noise
I correlation provides a means for extracting the important
information
I In digital communications a signal y(n) = xi (n) + w(n) is
received at the receiver, while the transmitted signals are
x0(n) and x1(n)
I the task of the receiver is to identify whether x0(n) or x1(n) is
received by comparing them with y(n)
I This comparison process is performed by means of correlation
Crosscorrelation and autocorrelation sequences
I consider two real sequences x(n) and y(n)
I the Crosscorrelation of x(n) and y(n) is rxy (l), defined by
rxy (l) =
∞
X
n=−∞
x(n)y(n − l)
or
rxy (l) =
∞
X
n=−∞
x(n + l)y(n)
l = 0, ±1, ±2, ...
I if we reverse the role of x(n) and y(n) we get
ryx (l) =
∞
X
n=−∞
y(n)x(n − l)
or
ryx (l) =
∞
X
n=−∞
y(n + l)x(n)
l = 0, ±1, ±2, ...
I By comparing rxy (l) and ryx (l) it can be easily seen that
rxy (l) = ryx (−l)
I Hence ryx (l) provides exactly the same information as rxy (l)
with respect to the similarity of x(n) and y(n)
I Example: refer example 2.6.1
I Crosscorrelation can be obtained using the convolution sum
by considering the inputs to be x(n) and y(−n). Hence
rxy (l) = x(l) ∗ y(−l)
I in a special case when y(n) = x(n), then we have the
autocorrelation of x(n) defined by
rxx (l) =
∞
X
n=−∞
x(n)x(n − l)
or
rxx (l) =
∞
X
n=−∞
x(n + l)x(n)
Properties of autocorrelation and Crosscorrelation
I Let us assume two sequences x(n) and y(n) with finite energy,
consider the linear combination
ax(n) + by(n − 1)
a and b are constants and l is some time shift.
I The energy of this linear combination is
∞
X
n=−∞
[ax(n) + by(n − l)]2
= a2
∞
X
n=−∞
x2
(n) + b2
∞
X
n=−∞
y2
(n − l) + 2ab
∞
X
n=−∞
x(n)y(n − l)
= a2
rxx (0) + b2
ryy (0) + 2abrxy (l)
It can be noted that rxx (0) = Ex and ryy (0) = Ey , energies of
x(n) and y(n)
I also it can be noted that a2rxx (0) + b2ryy (0) + 2abrxy (l) ≥ 0
Assuming b 6= 0 and dividing b2 to above equation we obtain
rxx (0)(
a
b
)2
+ 2rxy (l)(
a
b
) + ryy (0) ≥ 0
it follows that the discriminant of this quadratic is nonpositive that
is
4[r2
xy (l) − rxx (0)ryy (0)] ≤ 0
therefore
|rxy (l)| ≤
q
rxx (0)ryy (0) =
p
Ex Ey
I for the special case of y(n) = x(n) above equation reduces to
|rxx (l)| ≤ rxx (0) = Ex
which means the autocorrelation sequence of a signal attains
maximum at zero lag
I shape of the crosscorrelation does not change if one or both
signals are scaled
I in practice it is often desirable to normalize the autocorrelation
and crosscorrelation sequence in the range - 1 to 1
I Hence the normalized autocorrelation and crosscorrelation are
defined by
ρxx (l) =
rxx (l)
rxx (0)
and
ρxy (l) =
rxy (l)
p
rxx (0)ryy (0)
I when y(n) = x(n), rxy (l) = rxx (l) = rxx (−l), hence the
autocorrelation function is an even function
I Example:Refer example 2.6.2
Correlation of periodic sequences
I Let x(n) and y(n) be two power signals. The crosscorrelation
sequence
rxy (l) = lim
M→∞
1
2M + 1
M
X
n=−M
x(n)y(n − l)
I if x(n) = y(n) then we have the autocorrelation sequence
rxx (l) = lim
M→∞
1
2M + 1
M
X
n=−M
x(n)x(n − l)
I In particular if x(n) and y(n) are two periodic sequences with
period N the crosscorrelation and autocorrelation reduces to
rxy (l) =
1
N
N
X
n=0
x(n)y(n − l)
and
rxx (l) =
1
N
N
X
n=0
x(n)x(n − l)
I here rxy (l) and rxx (l) are periodic correlation sequences with
period N, the factor 1/N can be viewed as a normalization
scale factor
I correlation is also used to identify periodicities in a signal
which is corrupted by random interference
I consider y(n) which is of the form y(n) = x(n) + w(n),
x(n):periodic sequence of unknown period N, w(n):additive
random interference.
I assume that M samples of y(n) are observed where M >> N
I Now the autocorrelation sequence of y(n) using the
normalization factor of 1/M is
ryy (l) =
1
M
M
X
n=0
y(n)y(n − l)
=
1
M
M
X
n=0
[x(n) + w(n)][x(n − l) + w(n − l)]
= 1
M
PM
n=0 x(n)x(n − l) + 1
M
PM
n=0[x(n)w(n − l) + x(n −
l)w(n)] + 1
M
PM
n=0 w(n)w(n − l)
= rxx (l) + rxw (l) + rwx (l) + rww (l)
I The first factor in the above equation, autocorrelation of x(n)
exhibits same periodicity as x(n), which contains relatively
large peaks at l = 0, N, 2N, ...
I Assuming x(n) and w(n) to be totally unrelated, rwx and rxw
are relatively small.
I rww is expected to decay rapidly towards zero due to its
random characteristics.
I This behavior allows us to detect the presence of periodic
signal x(n) buried in the interference w(n) and to identify its
period.
I Example: Refer Example 2.6.3

Digital Signal Processing

  • 1.
  • 2.
    Introduction I Powerful,Smaller,Faster andCheaper Digital Computers I Systems comprising Digital Circuits I programmable operations (software) by Digital Processing Hardware
  • 3.
    Signals, Systems andSignal Processing I A Signal is defined as any physical quantity that varies with time, space or any other independent variable or variables I Mathematical Description: e.g. s1(t) = 2t s2(t) = 5t2 s(x, y) = 4x + xy + 5y2 I Real time signals: e.g speech,image, video, ECG, EEG etc I speech, ECG, EEG evolve as function of one independent variable i.e. time I Image and Video evolve as function of more than one independent variable i.e. time and space
  • 4.
    I Signal Sourcese.g vocal cords, camera etc I signal generation is usually associated with a system that responds to a stimulus or force I The Stimulus combined with system is called signal source
  • 5.
    I A systemis defined as a physical device that performs an operation on a signal I e.g Filters I processing refers to passing a signal through a system, thereby leading to signal processing I A digital system comprises of digital hardware and software
  • 6.
    Basic elements ofDSP Systems I Analog signal–functions of continuous variable e.g. time, space etc. I analog input −− > analog signal processor−− > analog output I Analog Signal Processor example: filters, frequency analyzers, frequency multipliers I analog input −− > A/D converter −− > Digital Signal Processor −− > D/A converter −− > Analog Output
  • 7.
    Analog Signal ProcessingDigita Signal Processing 1 Reconfiguration involves Reconfiguration mostly involves redesign, testing, verification modifying the software program 2 storage, transport, storage, transport, processing is difficult processing is easy 3 Accuracy requirement are Accuracy requirements are not under control mostly under control I Potential Applications: speech processing, telephone signal transmission, image processing and transmission, seismology, geophysics, oil exploration, detection of nuclear explosions, satellite signal processing etc
  • 8.
    Classification of Signals 1.Continuous time versus Discrete time signals 2. Continuous valued versus Discrete Valued Signals 3. Deterministic versus Random Signals 4. Multichannel versus Multidimensional Signals
  • 9.
    Continuous time VsDiscrete time Signals I continuous time signals or analog signals are defined for every value of time and they take on values in the continuous interval (a, b) I (a, b) ⊆ (−∞, ∞) I Mathematically they are functions of continuous variable I e.g. x1(t) = sin πt, x2(t) = e−|t|, −∞ < t < ∞ t x1(t) t x2(t)
  • 10.
    I Discrete timesignals are defined only at certain specific values of time I Those specific values of time need not be equidistant, but for computational convenience and mathematical tractability they are chosen at equally spaced intervals I e.g x(tn) = e−tn , for n = 0, ±1, ±2, ... I for equally spaced interval T, tn = nT ⇒ x(tn) = x(nT) ⇒ x(tn) = x(n) I Thus a discrete time signal can be represented mathematically by a sequence of real or complex numbers I e.g. x(n) = 0.6n, n ≥ 0, and, 0, n < 0
  • 11.
    −1 1 23 4 5 6 7 8 0.2 0.4 0.6 0.8 1 n x(n) In applications discrete time signal may arise in two ways: 1. Sampling: i.e. by selecting values of an analog signal at discrete time instants. 2. By accumulating a variable over a period of time, e.g. Recording mean temperature of a place every day, recording oxygen level of a Corona patient at 9:00 am everyday
  • 12.
    Continuous valued vsDiscrete valued Signals I If a signal takes on all possible values on a finite or an infinite range, it is said to be a continuous valued signal I If the signal takes on values from a finite set of possible values, it is said to be discrete valued signal I A signal that is discrete in time and discrete in value is called a digital signal I The process of converting a continuous valued signal into a discrete valued signal is called quantization −1 1 2 3 4 5 6 7 8 1 2 3 4 n x(n)
  • 13.
    Deterministic vs randomsignals I Any signal that can be uniquely described by an explicit mathematical expression, a table of data or a well defined rule is called deterministic I which implies all past, present and future values of the signal are known precisely without any uncertainty I The signals that cannot be described by explicit mathematical formula, which basically evolve in time in an unpredictable manner are referred to as random I statistical techniques are employed in the analysis of random signals
  • 14.
    Multichannel and Multidimensionalsignals I Signals generated by multiple sources are often required to combine for parallel processing. Such signals can be represented mathematically by vectors. e.g S3(t) =   s1(t) s2(t) s3(t)   I We refer to such a vector of signals as a multichannel signal I A signal is called M-dimensional if it’s value is a function of M independent variables. e.g I(x, y, t) is a 3-dimensional signal I A 3-channel-3-dimensional signal is as follows I(x, y, t) =   Ir (x, y, t) Ig (x, y, t) Ib(x, y, t)  
  • 15.
    Discrete-Time Signals andSystems I A discrete time signal x(n) is a function of an independent variable that is an integer I A discrete time signal is not defined at instants between two adjacent samples I Also if n is not an integer it does not mean that x(n) = 0, rather the signal x(n) is not defined for non integer values of n Alternative representation of Discrete Time Signals 1. Functional Representation, such as x(n) =      1 for n= 1,3 4 for n=2 0 elsewhere 2. Tabular representation, such as n ... -2 -1 0 1 2 3 4 5 ... x(n) ... 0 0 0 1 4 1 0 0 ... 3. Sequence Representation, such as x(n) = { ... 0, 0, 1, 4, 1, 0, 0, ... } ↑
  • 16.
    x(n) = {0, 1, 4, 1, 0, 0, ... } ↑ x(n) = { 3, -1, -2, 5, 0, 4, -1 } ↑ x(n) = { 0, 1, 4, 1 } ↑ Some elementary Discrete-time signals 1 The unit sample sequence also called unit impulse is defined as follows δ(n) = ( 1 for n=0 0 for n6= 0 2 The unit step signal is denoted as u(n) and is defined as u(n) = ( 1 for n ≥ 0 0 for n < 0 3 The unit ramp signal is denoted as ur (n) and is defined as ur (n) = ( n for n ≥ 0 0 for n < 0
  • 17.
    4 The exponentialsignal is a sequence of the form x(n) = an for all n x(n) being real when a is real, but when a is complex, we can represent a as a = rejθ so that x(n) = rn ejnθ = rn (cos θn + j sin θn) (1) Alternatively we denote the amplitude function |x(n)| = A(n) = rn and the phase function ∠x(n) = φ(n) = θn
  • 18.
    −4−3−2−1 1 23 4 0.2 0.4 0.6 0.8 1 n δ(n) −4−3−2−1 1 2 3 4 0.2 0.4 0.6 0.8 1 n u(n) −4−3−2−1 1 2 3 4 1 2 3 4 n ur (n)
  • 19.
    −4 −3 −2 −1 1 23 4 5 10 20 30 n x(n) a > 1 −4 −3 −2 −1 1 2 3 4 5 5 10 15 n x(n) 0 < a < 1 −4 −3 −2 −1 1 2 3 4 5 −4 −2 2 4 n x(n) a < −1 −4 −3 −2 −1 1 2 3 4 5 −2 2 4 n x(n) −1 < a < 0
  • 20.
    Classification of discretetime signals I Energy Signals and Power Signals I Symmetric(even) and antisymmetric(odd) signals I Periodic Signals and Aperiodic Signals
  • 21.
    Energy Signals andPower Signals I The energy E of a signal x(n) is defined as E = ∞ X n=−∞ |x(n)|2 I The energy E of the signal can be finite or infinite I If E is finite i.e 0 < E < ∞ then x(n) is called an Energy Signal I Average power of a discrete time signal x(n) is defined as P = lim N→∞ 1 2N + 1 N X n=−N |x(n)|2 I If E is finite, average power P = 0 I If E is infinite, average power P may be either finite or infinite I If 0 < P < ∞ the signal is called a Power Signal
  • 22.
    Example 1. Determine theaverage power and energy of unit step and unit ramp sequence sol. for x(n) = u(n) E = ∞ X n=−∞ |u(n)|2 = −1 X n=−∞ |0|2 + ∞ X n=0 |1|2 = ∞ and P = lim N→∞ 1 2N + 1 N X n=−N |u(n)|2 = lim N→∞ 1 2N + 1 { −1 X n=−N |0|2 + N X n=0 |1|2 } = lim N→∞ N + 1 2N + 1 = 1 2 it is evident that unit step sequence is a Power signal
  • 23.
    now for x(n)= ur (n) E = ∞ X n=−∞ |ur (n)|2 = −1 X n=−∞ |0|2 + ∞ X n=0 |n|2 = ∞ and P = lim N→∞ 1 2N + 1 N X n=−N |ur (n)|2 = lim N→∞ 1 2N + 1 { −1 X n=−N |0|2 + N X n=0 |n|2 } = lim N→∞ N(N + 1)(2N + 1) 6(2N + 1) = ∞ it is clear that unit ramp sequence is neither a power signal nor an energy signal
  • 24.
    Symmetric(even) and antisymmetric(odd)signals I A real valued signal x(n) is called symmetric(even) if x(−n) = x(n) and called antisymmetric(odd) if x(−n) = −x(n) I Even component of an arbitrary signal xe(n) = x(n) + x(−n) 2 and the odd component xo(n) = x(n) − x(−n) 2 I Now xe(n) + xo(n) = x(n)
  • 25.
    Example 1. Separate x(n)into its even and odd components where x(n) = { 1, 2, 1, 2, 1 2, 1 2 } ↑ sol. x(−n) = { 1 2, 1 2, 2, 1, 2, 1 } ↑ xe(n) = x(n)+x(−n) 2 = { 1 4, 1 4, 1, 1 2, 1, 1 1 1 2 1 1 4 1 4} ↑ xo(n) = x(n)−x(−n) 2 = { -1 4, -1 4, -1, -1 2, -1, 0, 1, 1 2, 1, 1 4, 1 4} ↑
  • 26.
    −4 −2 24 −1 −0.5 0.5 1 n xo(n) −5 5 0.2 0.4 0.6 0.8 1 n xe(n)
  • 27.
    Periodic Signals andAperiodic Signals Concept of frequency Continuous Time Sinusoidal xa(t) = A cos(Ωt + θ) or A cos(2πFt + θ), −∞ < t < ∞ Amplitude(A), Frequency(Ω or F), Phase(θ ) 1. For a fixed F, xa(t) is periodic i.e xa(t + Tp) = xa(t), Tp = 1/F 2. Continuous time sinusoidal signals with distinct frequencies are themselves distinct 3. Increasing frequency F results in an increase in the rate of oscillation of the signal
  • 28.
    Discrete time Sinusoidal x(n)= A cos(ωn + θ) or A cos(2πfn + θ), −∞ < n < ∞ A and θ bear the same terminology and ω being frequency in radian/sample and f , frequency in cycles/sample 1 A discrete time signal is periodic only if it’s frequency is a rational number. A discrete time signal x(n) is periodic with period N(N > 0) iff x(n + N) = x(n) for all n. The smallest possible value of N is known as fundamental period. For a discrete time sinusoid to be periodic, f0 should be rational i. e. f0 = k N 2 Discrete time sinusoids whose frequencies are separated by an integer multiple of 2π are identical and −π ≤ ω ≤ π, −1 2 ≤ f ≤ 1 2
  • 29.
    3 The highestrate of oscillation in a discrete time sinusoid is attained when ω = πor − π or f = 1 2or − 1 2 Fundamental range: 0 ≤ ω ≤ 2π or −π ≤ ω ≤ π or 0 ≤ f ≤ 1 or −1 2 ≤ f ≤ 1 2 4 when x(n + N) 6= x(n), the signal is called aperiodic or nonperiodic 5 periodic signals are power signals Problem Determine if the signals are periodic, if periodic then determine their fundamental period a x1(n) = cos(3πn) b x2(n) = sin(3n) c xa(t) = 3cos(5t + π/6) d x(n) = 3cos(5n + π/6)
  • 30.
    Simple Modifications ofDiscrete Time Signals Transformation of independent variable(e.g time) I To shift a signal x(n) in time it is required to replace the n by n − k I When k is a positive integer, the time shift results in a delay of the signal by k units of time I When k is a negative integer, the time shift results in an advance of the signal by |k| units in time I Delay-shifting a signal to the right and Advance-shifting a signal to the left on the time axis I when n is replaced by −n, the resulting operation is known as folding or reflection of the signal about the time origin n = 0 I The operation of folding and time delaying(or advancing) is not commutative By assuming TD as time delay and FD as folding TDk[x(n)] = x(n − k) k > 0
  • 31.
    FD[x(n)] = x(−n) TDk[FD[x(n)]]= TDk[x(−n)] = x(−(n − k)) = x(−n + k) FD[TDk[x(n)]] = FD[x(n − k)] = x(−n − k) I when we replace n by µn where µ being an integer, the resulting modification is referred to as time scaling or down sampling (Ex:2.1.4) Addition, Multiplication and Scaling of sequences I Amplitude Scaling of a signal by a constant A is carried out by multiplying the value of every sample by A y(n) = Ax(n), −∞ < n < ∞ I The sum of two signals x1(n) and x2(n) is y(n) = x1(n) + x2(n), −∞ < n < ∞ I The product of two signals is given by y(n) = x1(n)x2(n), −∞ < n < ∞
  • 32.
    Discrete Time Systems Iwhen we wish to design a device or an algorithm that performs some prescribed operation on a discrete time signal, such device or algorithm is called a discrete time system I More specifically a discrete time system is a device or an algorithm that operates on an input(excitation) according to some well defined rule to produce an output(response) of the system I In general we represent x(n) as input and y(n) as output I We say x(n) is transformed by the system into a signal y(n) and we denote the general relationship as given by y(n) ≡ T[x(n)]
  • 33.
    Input-output description ofSystems I Here the exact internal structure of the system is either unknown or ignored I The only way to interact with the system is by using its input and output terminals Example Refer Example. 2.2.1 and 2.2.2 Block Diagram representation of discrete time system Basic building blocks 1 An adder 2 A constant Multiplier 3 A signal Multiplier 4 A unit delay element 5 A unit advance element Example Refer Example 2.2.3
  • 34.
    Classification of discretetime systems * For a system to possess a given property, the property must hold for every possible input signal to the system * If a property holds for some input signal and not for others, the system does not possess that property 1 Static vs Dynamic Systems 2 Time invariant vs time variant systems 3 Linear vs Nonlinear Systems 4 Causal vs Noncausal Systems 5 Stable vs Unstable Systems
  • 35.
    Static vs DynamicSystems – A discrete time system is called static or memoryless if it’s output at any instant n depends atmost on the input sample at the same time, but not on past or future samples of the input – In any other case the system is said to dynamic or to have memory – If output of a system depends on samples in the interval from n − N to n(N ≥ 0), the system is said to have memory of duration N – If N = 0,the system is static, if 0 < N < ∞, the system is said to have finite memory, if N = ∞ the system is said to have infinite memory
  • 36.
    Example Static or Memoryless y(n)= ax(n) y(n) = nx(n) + bx3 (n) Static or memory less systems are described in general by input-output equation of the form y(n) = T[x(n), n] Dynamic system or system with memory y(n) = x(n) + 5x(n − 1) y(n) = n X k=0 x(n − k) y(n) = ∞ X k=0 x(n − k)
  • 37.
    Time(shift) invariant vsTime(shift) variant systems I A system is called time invariant if it’s input output characteristics do not change with time I Definition: A relaxed system T is time invariant or shift invariant if and only if y(n) = T[x(n)] implies that y(n − k) = T[x(n − k)] I If we let y(n, k) as the output of the system when input is x(n − k) then 1. If y(n, k) = y(n − k) for all possible values of k the system is time invariant 2. If y(n, k) 6= x(n − k) even for one value of k the system is time variant Example Determine if the following systems are time invariant or time variant.
  • 38.
    1 y(n) =x(n) − x(n − 1) sol. when a delayed input by k units in time is applied to this system, we see that the response y(n, k) = x(n − k) − x(n − k − 1) Now if we delay the output by k units in time, then y(n − k) = x(n − k) − x(n − k − 1) Therefore the system is time-invariant 2 y(n) = nx(n) sol. Here y(n, k) = nx(n − k) while y(n − k) = (n − k)x(n − k), so this system is time variant since y(n, k) 6= y(n − k) 3 y(n) = x(−n) sol. Here y(n, k) = x(−n − k), while y(n − k) = x(−(n − k)) = x(−n + k), Hence this system is time variant
  • 39.
    Linear vs NonlinearSystems I A linear system is one that satisfies the superposition principle I The principle of superposition requires that the response of the system to a weighted sum of signals be equal to the corresponding weighted sum of the responses of the system to each of the individual input signals I Definition: A relaxed system T is linear if and only if T[a1x1(n) + a2x2(n)] = a1T[x1(n)] + a2T[x2(n)] x1(n) and x2(n): arbitrary input sequences a1 and a2: arbitrary constants I Scaling property(Linear systems): Any scaling of the input results in an identical scaling of the output I Additivity property(Linear System): Response of the system to whole input signal is identical to sum of the responses of the system to individual input signals
  • 40.
    Hence by induction,the general linearity condition is as follows T[ M−1 X k=1 akxk(n)] = M−1 X k=1 akT[xk(n)] = M−1 X k=1 akyk(n) If a relaxed system does not satisfy the superposition principle as given by the definition above, the system is called nonlinear Example Q. Determine if the systems are linear or nonlinear 1. y(n) = nx(n) sol. Let us consider x(n) = a1x1(n) + a2x2(n) and also consider y1(n) = nx1(n) and y2(n) = nx2(n) A linear combination of the two inputs results in an output y3(n) = T[x(n)] = T[a1x1(n) + a2x2(n)] then y3(n) = n(a1x1(n) + a2x2(n)) = a1nx1(n) + a2nx2(n) on the other hand a linear combination of the two outputs y1 and y2 results in the output y4 = a1y1 + a2y2 = a1nx1(n) + a2nx2(n) since y3 = y4 the system is linear
  • 41.
    2. y(n) =x(n2) sol. y1(n) = x1(n2) and y2(n) = x2(n2) also y3(n) = a1x1(n2) + a2x2(n2) = a1y1 + a2y2 = y4 hence the system is linear 3. y(n) = x2(n) sol. y1(n) = x2 1 (n) and y2(n) = x2 2 (n) also y3 = (a1x1 + a2x2)2 while y4 = a1y1 + a2y2 = a1x2 1 + a2x2 2 , clearly y3 6= y4 hence the system is nonlinear 4. y(n) = Ax(n) + B sol. y1(n) = Ax1(n) + B and y2(n) = Ax2(n) + B also y3 = A(a1x1 + a2x2) + B but y4 = a1y1 + a2y2 = a1(Ax1(n) + B) + a2(Ax2(n) + B) since y3 6= y4 the system is nonlinear
  • 42.
    Causal vs NonCausal System I Definition: A system is said to be causal if the output y(n) of the system at any time n depends only on present and past inputs [x(n), x(n − 1), ...] but does not depend on future inputs [x(n + 1), x(n + 2), ...] i.e y(n) = F[x(n), x(n − 1), x(n − 2), ...] I If a system does not satisfy the above definition it is called noncausal. Such a system has an output that depends not only on present and past inputs but also on future inputs Example * Determine if the following systems are causal or non causal. y(n) = x(n) − x(n − 1), y(n) = Pn k=−∞ x(k), y(n) = ax(n), y(n) = x(2n), y(n) = x(n) + 3x(n + 4),y(n) = x(n2),y(n) = x(−n)
  • 43.
    Stable vs UnstableSystems I Definition: An arbitrary relaxed system is said to be bounded input-bounded output (BIBO) stable if and only if every bounded input produces a bounded output There exist some finite numbers Mx and My such that |x(n)| ≤ Mx < ∞ and |y(n)| ≤ My < ∞ for all n I If for some bounded input sequence x(n), the output is unbounded(infinite), the system is classified as unstable Example * Determine if the following system is BIBO Stable y(n) = y2 (n − 1) + x(n) sol consider the bounded input x(n) = Cδ(n) and C being a constant. Assuming y(−1) = 0 The output sequence is given by y(0) = C, y(1) = C2, y(2) = C4,..., y(n) = C2n so the output is unbounded if 1 < |C| < ∞.Hence the System is BIBO unstable.
  • 44.
    Analysis of discretetime Linear Time Invariant Systems Resolution of discrete time signals into impulses Consider an arbitrary input signal x(n), to resolve this signal into a sum of unit sample sequence chose xk(n) = δ(n − k) Now x(n)δ(n − k) = x(k)δ(n − k) Thus x(n) = ∞ X k=−∞ x(k)δ(n − k) Thus the above equation gives the resolution of or decomposition of any arbitrary signal x(n) into a weighted(scaled) sum of shifted unit samples. Example Refer example 2.3.1
  • 45.
    The Convolution Sum Considera relaxed linear system, let the output of this system to any arbitrary input signal x(n) be y(n) i.e y(n) = T[x(n)] Consider a unit sample at n = k, δ(n − k) Let us denote the response of the system to this unit sample y(n, k) as h(n, k) i.e y(n, k) ≡ h(n, k) = T[δ(n − k)] Considering x(k) = ck and applying the scaling property of linear systems, we write ckh(n, k) = x(k)h(n, k) Finally if the input x(n) is represented as x(n) = ∞ X k=−∞ x(k)δ(n − k) Then from the linearity condition, the response of the system to x(n) is the corresponding sum of weighted outputs. That is
  • 46.
    y(n) = T[x(n)]= T[ ∞ X k=−∞ x(k)δ(n − k)] = ∞ X k=−∞ x(k)T[δ(n − k)] = ∞ X k=−∞ x(k)h(n, k) If in addition the system is time invariant T[δ(n − k)] = h(n, k) = h(n − k) Consequently The response of a linear and time invariant (LTI/LSI) system reduces to y(n) = ∞ X k=−∞ x(k)h(n − k) And this expression is known as convolution sum We say that the input x(n) is convolved with impulse response h(n) of a LTI system to yield the output y(n)
  • 47.
    Note 1. If thesystem is linear time variant then it requires infinite number of unit sample response function h(n, k), one for each possible delay 2. But for a LTI system, the system is completely characterized by a single function h(n), which is the response to unit sample sequence δ(n) Now to find the output of a LTI system at some n = n0, we write y(n0) = ∞ X k=−∞ x(k)h(n0 − k) Computation of this above convolution sum for y(n0) or in general for y(n) involves the following steps: 1. Folding: Fold h(k) about k = 0 to obtain h(−k) 2. Shifting: shift h(−k) by n0 to the right(left) if n0 is positive(negative), to obtain h(n0 − k)
  • 48.
    3. Multiplication: Multiplyx(k) by h(n0 − k) to obtain vn0 (k) = x(k)h(n0 − k) 4. Summation: Sum all the values of vn0 (k) to obtain y(n0) step-2 to step-4 must be repeated for all time shifts −∞ < n < ∞ Example Refer example 2.3.2 Property: Convolution operation is commutative Proof Let m = n − k then k = n − m now y(n) = ∞ X k=−∞ x(k)h(n − k) = ∞ X m=−∞ x(n − m)h(m) Now since m is a dummy index, let us replace m by k so that y(n) = ∞ X k=−∞ x(n − k)h(k) Let wn(k) = x(n − k)h(k)
  • 49.
    Then y(n) = ∞ X k=−∞ wn(k) = ∞ X k=−∞ vn(n− k) or y(n) = ∞ X k=−∞ vn(k) = ∞ X k=−∞ wn(n − k) Example Refer example 2.3.3
  • 50.
    Properties of convolutionand interconnection of LTI systems Let us denote y(n) as y(n) = x(n) ∗ h(n) = ∞ X k=−∞ x(k)h(n − k) Since convolution operation is commutative, it follows that y(n) = h(n) ∗ x(n) = ∞ X k=−∞ h(k)x(n − k) Hence the commutative law of convolution is x(n) ∗ h(n) = h(n) ∗ x(n) Convolution also satisfies the associative law, that is [x(n)∗h1(n)]∗h2(n) = x(n)∗[h1(n)∗h2(n)] = [x(n)∗h2(n)]∗h1(n)
  • 51.
    If we haveL LTI systems in cascade with impulse responses h1(n), h2(n), ...hL(n) then there is an equivalent LTI system with unit impulse response h(n) = h1(n) ∗ h2(n) ∗ ... ∗ hL(n) The commutative law implies that the order in which the convolution is performed is immaterial Distributive Law: x(n) ∗ [h1(n) + h2(n)] = x(n) ∗ h1(n) + x(n) ∗ h2(n) This law implies that if two LTI systems with impulse response h1(n) and h2(n) are excited by same input signal x(n) then the sum of the two responses is identical to the response of an overall system with impulse response h1(n) + h2(n) (parallel combination) For L systems in parallel with impulse responses h1(n), ......hL(n) the equivalent impulse response h(n) = L X j=1 hj (n)
  • 52.
    Example 1. Determine theimpulse response for the cascade of two LTI systems having impulse responses h1(n) = (1 2)nu(n) and h2(n) = u(n) sol. Since both the systems are LTI, Using the associative property of convolution we get h(n) = h1(n) ∗ h2(n) = P∞ k=−∞ h1(k)h2(n − k), here vn(k) = (1 2)k × 1 and it is nonzero for k ≥ 0 and n − k ≥ 0 which implies for 0 ≤ k ≤ n but for n < 0 we have vn(k) = 0 for all k and hence h(n) = 0 for n < 0 but for 0 ≤ k ≤ n h(n) = n X k=0 ( 1 2 )k × 1 = 1 − (1 2)n+1 1 − 1 2 = 2 − ( 1 2 )n for n ≥ 0 i.e h(n) = (2 − ( 1 2 )n )u(n)
  • 53.
    Causal LTI System Letus consider a LTI system y(n) = ∞ X k=−∞ h(k)x(n − k) Now by splitting the entire sum into two parts we write y(n) = −1 X k=−∞ h(k)x(n − k) + ∞ X k=0 h(k)x(n − k) = [h(−1)x(n + 1) + h(−2)x(n + 2) + ...] + [h(0)x(n) + h(1)x(n − 1) + h(2)x(n − 2) + ...] Now for this system to be causal, h(n) = 0, n < 0, Thus for causal LTI systems y(n) = n X k=−∞ x(k)h(n − k) = ∞ X k=0 h(k)x(n − k)
  • 54.
    Based on theabove criteria we define a signal to be causal signal if it is zero for n < 0 and the one that is nonzero for n < 0 and n > 0 is called noncausal signal Now if the input to a causal LTI system is a causal signal then the output y(n) further simplifies to y(n) = n X k=0 x(k)h(n − k) = n X k=0 h(k)x(n − k) Clearly, the response of causal system to a causal input is also causal, since y(n) = 0 for n < 0 Example 1. Determine the unit step response of the LTI system with impulse response h(n) = anu(n) for |a| < 1 sol. since the input and the system is causal, y(n) = Pn k=0 h(k)x(n − k) = Pn k=0 ak × 1 = 1−an+1 1−a and y(n) = 0 for n < 0
  • 55.
    Stability of LTIsystems Let us apply a bounded input sequence to an LTI system, since for an LTI system y(n) = ∞ X k=−∞ h(k)x(n − k) then |y(n)| = | ∞ X k=−∞ h(k)x(n − k)| Now |y(n)| ≤ ∞ X k=−∞ |h(k)||x(n − k)| For a bounded input x(n) not exceeding Mx |y(n)| ≤ Mx ∞ X k=−∞ |h(k)| It can be observed from the above that the output is also bounded if the following condition holds
  • 56.
    ∞ X k=−∞ |h(k)| < ∞ Thatis, an LTI system is stable if it’s impulse response is absolutely summable Example 1. Determine the range of values of a for which the LTI system with impulse response h(n) = anu(n) is stable sol. For stability of the system it requires that P∞ k=−∞ |h(k)| = P∞ k=0 |ak| < ∞, clearly this geometric series converges if |a| < 1 and it converges to a value 1 1−|a| . Hence the system is stable if |a| < 1 otherwise it is unstable 2. Determine the range of values of a and b for which the LTI system h(n) = an for n ≥ 0 and h(n) = bn for n < 0 is stable sol. This system is clearly noncausal and the stability condition P∞ k=−∞ |h(k)| = P−1 k=−∞ |bk| + P∞ k=0 |ak| < ∞ should hold and the series converges when |a| < 1 and |b| > 1
  • 57.
    Discrete time systemsand Difference equations Impulse response types Finite duration impulse response(FIR) Systems * An FIR system has an impulse response that is zero outside some finite interval * specifically for causal FIR systems h(n) = 0, for n < 0 and n ≥ M * The output y(n) for such system is given by the convolution sum y(n) = M−1 X k=0 h(k)x(n − k) * The system acts as a window that views only the most recent M input signals to form the output * Thus it is said that an FIR system has a finite memory of length M
  • 58.
    Infinite duration impulseresponse(IIR) systems * An IIR LTI system has an impulse response that is of length infinite, hence y(n) = ∞ X k=0 h(k)x(n − k) assuming system to be causal * Since this weighted sum involves the present and all the past input samples, it is said that the system has infinite memory * If the system is IIR its practical implementation using convolution sum is clearly impossible
  • 59.
    Recursive and nonrecursivediscrete time systems There are many systems where it is necessary or desirable to express the output of the system not only in terms of the present and past values of the input, but also in terms of the already available past output values Example Design a system that computes cumulative average of a signal x(n) in the interval 0 ≤ k ≤ n Nonrecursive Design: y(n) = 1 n + 1 n X k=0 x(k) for n = 0, 1, ... The computation of y(n) requires the storage of all the input samples x(k) for 0 ≤ k ≤ n As n grows, the memory requirement also grows linearly with n along with number of additions and multiplication
  • 60.
    Recursive Design Introducing somesimple algebraic rearrangement to the non recursive design, we get (n + 1)y(n) = x(n) + n−1 X k=0 x(k) (n + 1)y(n) = x(n) + ny(n − 1) Hence y(n) = 1 n + 1 x(n) + n n + 1 y(n − 1) Now the computation of y(n) by recursive means requires two multiplications, one addition and one memory element. In general, a system whose output y(n) at time n depends on any number of past output values y(n − 1), y(n − 2), ... is called a recursive system The output of a causal and practically realizable recursive system can be expressed in general as y(n) = F[y(n−1), y(n−2), ..., y(n−N), x(n), x(n−1), x(n−2), ..., x(n−M)]
  • 61.
    I If y(n)depends only on present and past inputs then y(n) = F[x(n), x(n − 1), x(n − 2), ..., x(n − M)] and such systems are called nonrecursive I Feedback loop is present in recursive systems where it also contains delay elements(Fig. 2.30) I If the system is recursive, to compute y(n0) we first need to compute all the previous values y(0), y(1), ..., y(n0 − 1) I If the system is nonrecursive we can compute y(n0) immediately without the knowledge of past outputs I The output of a recursive system should be computed in order, whereas for nonrecursive systems output can be computed in any order
  • 62.
    LTI systems andConstant coefficient Difference Equations Let us consider a recursive system given by a 1st order difference equation y(n) = ay(n − 1) + x(n) While a is a constant. Since it is a constant coefficient difference equation, the system is LTI. Let us consider an input x(n) for n ≥ 0. Assume that there exists an initial condition y(−1). Now solving the above equation for y(n) for n ≥ 0 beginning with y(0), we get y(0) = ay(−1) + x(0) y(1) = ay(0)+x(1) = a(ay(−1)+x(0))+x(1) = a2 y(−1)+ax(0)+x(1) y(2) = a3 y(−1) + a2 x(0) + ax(1) + x(2) .. .. y(n) = an+1y(−1) + anx(0) + an−1x(1) + ... + x(n)
  • 63.
    more conveniently, wecan express y(n) = an+1 y(−1) + n X k=0 ak x(n − k) for n ≥ 0. The response y(n) consists of two parts I First part is the result of initial condition, which is y(−1) here I Second part is the response of the system to input x(n) I If the system is initially relaxed at n = 0 then it’s memory {y(−1)} should be zero I Thus a recursive system is said to be relaxed if it starts with zero initial condition I Because the memory of a system describes the state of that system, we say the system is at zero state I The corresponding output is called zero state or forced response denoted by yzs(n) I In this case yzs(n) = Pn k=0 akx(n − k) for n ≥ 0
  • 64.
    Here yzs(n) resemblesthe output of a causal LTI system with a causal input signal x(n) and h(n) = anu(n) Thus the relaxed recursive system is an LTI-IIR System I If the recursive system considered is initially non relaxed(y(−1) 6= 0) and input is intentionally not applied(x(n) = 0 for all n) I The output of the system with such zero input is called zero input response or natural response or free response yzi (n) I Thus yzi (n) = an+1y(−1) for x(n) = 0, −∞ < n < ∞ and n ≥ 0 I Thus a recursive system with nonzero initial condition is nonrelaxed I The zero input response is due to the memory of the system I Thus in general the total response of the system can be expressed as y(n) = yzi (n) + yzs(n)
  • 65.
    The general formof linear constant coefficient difference equation is y(n) = − N X k=1 aky(n − k) + M X k=0 bkx(n − k) or by considering a0 = 1 N X k=0 aky(n − k) = M X k=0 bkx(n − k) The integer N is called the order of the difference equation or the order of the system Recursive LTI systems and Linearity requirement I The total response is equal to the sum of zero input and zero state response(y(n) = yzs(n) + yzi (n)) I The principle of superposition applies to the zero state response(zero state linear) I The principle of superposition applies to zero input response
  • 66.
    A system thatdoes not satisfy all three separate requirements is by definition nonlinear Example: Refer example 2.4.2 Recursive LTI systems and Time invariancy Since ak and bk are constants the generalized recursive LTI system is time invariant. Recursive LTI Systems and Stability The Recursive LTI system is BIBO Stable if and only if for every bounded input and every bounded initial condition the total system response is bounded Example Refer example 2.4.3
  • 67.
    Solution of LinearConstant Coefficient Difference Equation The total solution y(n) is the sum of two parts y(n) = yh(n) + yp(n) yh(n) :homogeneous or complementary solution yp(n) :Particular Solution Homogeneous solution By assuming x(n) = 0 we first obtain the solution to the homogeneous difference equation N X k=0 aky(n − k) = 0 The homogeneous solution is assumed to be of exponential form below yh(n) = λn By substituting the assumed solution we get N X k=0 akλn−k = 0
  • 68.
    λn + a1λn−1 + a2λn−2 +... + anλn−N = 0 or λn−N (λN + a1λN−1 + a2λN−2 + ... + aN−1λ + aN) = 0 The polynomial in parentheses is called the characteristic polynomial of the system This polynomial in general has N roots. Assuming the roots to be λ1,λ2,λ3,..., λN. Assuming all the roots to be distinct, the most general solution to the homogeneous difference equation is yh(n) = C1λn 1 + C2λn 2 + C3λn 3 + ... + CNλn N where C1,C2,...,CN are arbitrary constants or weighting coefficients. The coefficients are determined from the initial conditions specified for the system
  • 69.
    Example Refer Example. 2.4.4and 2.4.5 If the characteristic equation contains multiple roots the form of the solution yh(n) must be modified e.g. if λ1 is a root of multiplicity m, then yh(n) = C1λn 1 +C2nλn 1 +C3n2λn 1 +...+Cmnm−1λn 1 +Cm+1λn m+1 +...+CNλN Particular Solution The particular solution yp(n) is required to satisfy the difference equation for the specific input signal x(n), n ≥ 0. That is yp(n) is any solution satisfying N X k=0 akyp(n − k) = M X k=0 bkx(n − k) a0 = 1. To solve the above equation we assume for yp(n), a form that depends on the form of the input x(n) Example Refer Example 2.4.6 and 2.4.7
  • 70.
    Input Signal particularsolution x(n) yp(n) A(constant) K AMn KMn AnM K0nM + K1nM−1 + ... + KM AnnM An(K0nM + K1nM−1 + ... + KM) Acos(ω0n) K1cos(ω0n) + K2sin(ω0n) Asin(ω0n) K1cos(ω0n) + K2sin(ω0n) Total solution y(n) = yp(n) + yh(n) Example Refer Example 2.4.8 and 2.4.9 The impulse response of a LTI Recursive system In case of recursive system h(n) is simply equal to the zero state response of the system when the input x(n) is δ(n) and the system is initially relaxed Example Refer Example. 2.4.10
  • 71.
    Correlation of discretetime signals I The objective of computing the correlation between two signals is to measure the degree to which two signals are similar I Applications include radar, sonar, digital communication, geology etc. I Assume two signals x(n) and y(n) that we wish to compare I In radar and sonar applications x(n) and y(n) may represent sampled version of transmitted and received signal I If a target is present in the space being searched by the radar or sonar, the received signal y(n) consists of the delayed version of the transmitted signal reflected from the target and corrupted by noise I Received signal sequence can be represented as y(n) = αx(n − D) + w(n), α:round trip attenuation, D:round trip delay, w(n):noise I If there is no target in the space searched by radar or sonar, the received signal y(n) consists of noise alone
  • 72.
    I Here thetask is to compare y(n) and x(n) to determine if a target is present and if so to determine the time delay D and compute the distance to the target I in practice visual inspection of y(n) is difficult due to the presence of noise I correlation provides a means for extracting the important information I In digital communications a signal y(n) = xi (n) + w(n) is received at the receiver, while the transmitted signals are x0(n) and x1(n) I the task of the receiver is to identify whether x0(n) or x1(n) is received by comparing them with y(n) I This comparison process is performed by means of correlation
  • 73.
    Crosscorrelation and autocorrelationsequences I consider two real sequences x(n) and y(n) I the Crosscorrelation of x(n) and y(n) is rxy (l), defined by rxy (l) = ∞ X n=−∞ x(n)y(n − l) or rxy (l) = ∞ X n=−∞ x(n + l)y(n) l = 0, ±1, ±2, ... I if we reverse the role of x(n) and y(n) we get ryx (l) = ∞ X n=−∞ y(n)x(n − l) or ryx (l) = ∞ X n=−∞ y(n + l)x(n) l = 0, ±1, ±2, ...
  • 74.
    I By comparingrxy (l) and ryx (l) it can be easily seen that rxy (l) = ryx (−l) I Hence ryx (l) provides exactly the same information as rxy (l) with respect to the similarity of x(n) and y(n) I Example: refer example 2.6.1 I Crosscorrelation can be obtained using the convolution sum by considering the inputs to be x(n) and y(−n). Hence rxy (l) = x(l) ∗ y(−l) I in a special case when y(n) = x(n), then we have the autocorrelation of x(n) defined by rxx (l) = ∞ X n=−∞ x(n)x(n − l) or rxx (l) = ∞ X n=−∞ x(n + l)x(n)
  • 75.
    Properties of autocorrelationand Crosscorrelation I Let us assume two sequences x(n) and y(n) with finite energy, consider the linear combination ax(n) + by(n − 1) a and b are constants and l is some time shift. I The energy of this linear combination is ∞ X n=−∞ [ax(n) + by(n − l)]2 = a2 ∞ X n=−∞ x2 (n) + b2 ∞ X n=−∞ y2 (n − l) + 2ab ∞ X n=−∞ x(n)y(n − l) = a2 rxx (0) + b2 ryy (0) + 2abrxy (l) It can be noted that rxx (0) = Ex and ryy (0) = Ey , energies of x(n) and y(n) I also it can be noted that a2rxx (0) + b2ryy (0) + 2abrxy (l) ≥ 0
  • 76.
    Assuming b 6=0 and dividing b2 to above equation we obtain rxx (0)( a b )2 + 2rxy (l)( a b ) + ryy (0) ≥ 0 it follows that the discriminant of this quadratic is nonpositive that is 4[r2 xy (l) − rxx (0)ryy (0)] ≤ 0 therefore |rxy (l)| ≤ q rxx (0)ryy (0) = p Ex Ey I for the special case of y(n) = x(n) above equation reduces to |rxx (l)| ≤ rxx (0) = Ex which means the autocorrelation sequence of a signal attains maximum at zero lag I shape of the crosscorrelation does not change if one or both signals are scaled
  • 77.
    I in practiceit is often desirable to normalize the autocorrelation and crosscorrelation sequence in the range - 1 to 1 I Hence the normalized autocorrelation and crosscorrelation are defined by ρxx (l) = rxx (l) rxx (0) and ρxy (l) = rxy (l) p rxx (0)ryy (0) I when y(n) = x(n), rxy (l) = rxx (l) = rxx (−l), hence the autocorrelation function is an even function I Example:Refer example 2.6.2
  • 78.
    Correlation of periodicsequences I Let x(n) and y(n) be two power signals. The crosscorrelation sequence rxy (l) = lim M→∞ 1 2M + 1 M X n=−M x(n)y(n − l) I if x(n) = y(n) then we have the autocorrelation sequence rxx (l) = lim M→∞ 1 2M + 1 M X n=−M x(n)x(n − l) I In particular if x(n) and y(n) are two periodic sequences with period N the crosscorrelation and autocorrelation reduces to rxy (l) = 1 N N X n=0 x(n)y(n − l) and rxx (l) = 1 N N X n=0 x(n)x(n − l)
  • 79.
    I here rxy(l) and rxx (l) are periodic correlation sequences with period N, the factor 1/N can be viewed as a normalization scale factor I correlation is also used to identify periodicities in a signal which is corrupted by random interference I consider y(n) which is of the form y(n) = x(n) + w(n), x(n):periodic sequence of unknown period N, w(n):additive random interference. I assume that M samples of y(n) are observed where M >> N I Now the autocorrelation sequence of y(n) using the normalization factor of 1/M is ryy (l) = 1 M M X n=0 y(n)y(n − l) = 1 M M X n=0 [x(n) + w(n)][x(n − l) + w(n − l)]
  • 80.
    = 1 M PM n=0 x(n)x(n− l) + 1 M PM n=0[x(n)w(n − l) + x(n − l)w(n)] + 1 M PM n=0 w(n)w(n − l) = rxx (l) + rxw (l) + rwx (l) + rww (l) I The first factor in the above equation, autocorrelation of x(n) exhibits same periodicity as x(n), which contains relatively large peaks at l = 0, N, 2N, ... I Assuming x(n) and w(n) to be totally unrelated, rwx and rxw are relatively small. I rww is expected to decay rapidly towards zero due to its random characteristics. I This behavior allows us to detect the presence of periodic signal x(n) buried in the interference w(n) and to identify its period. I Example: Refer Example 2.6.3